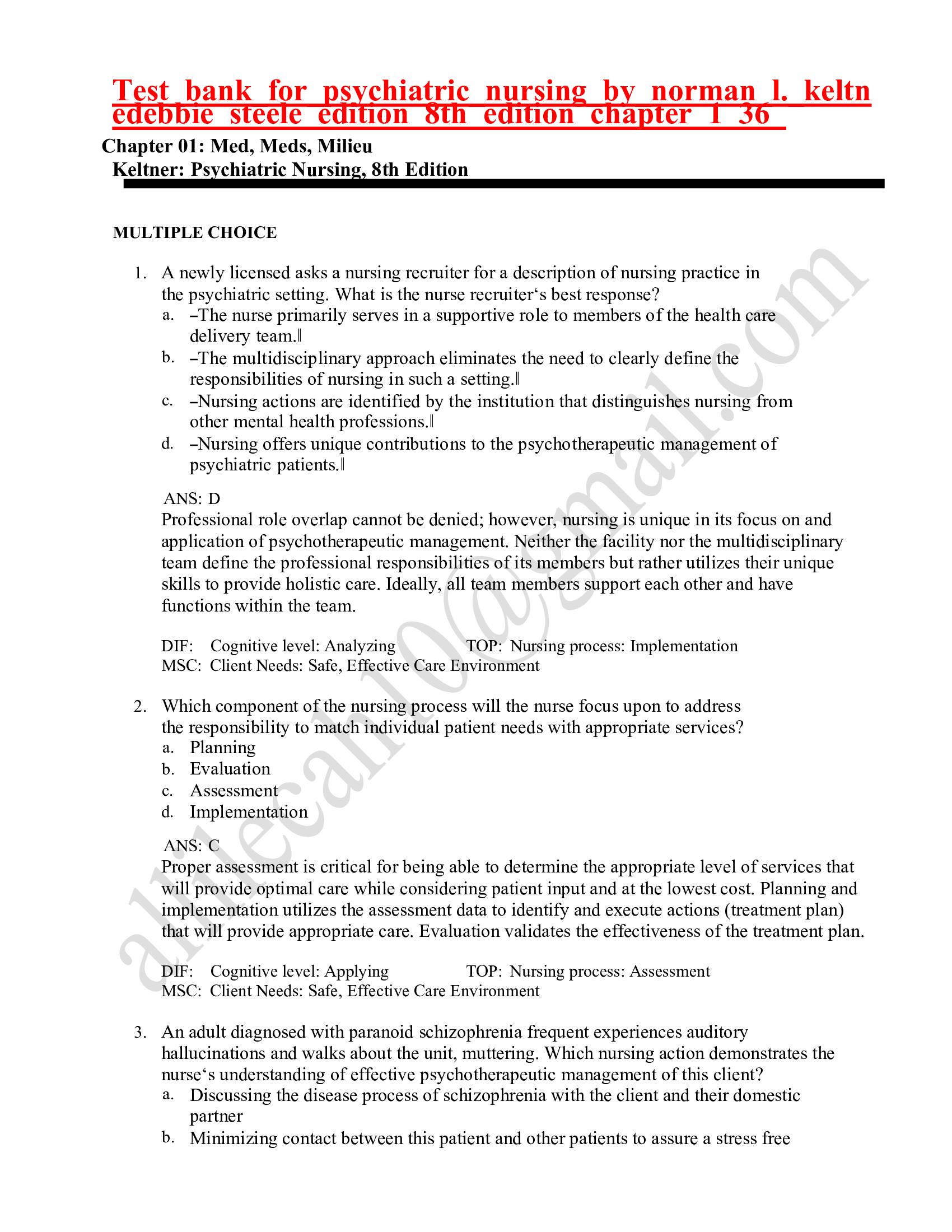
Pasing Grades
  • Start Selling
  • Blog
  • Contact
  • 0

    Your cart is empty!

English

  • English
  • Spanish
  • Arabic
Create Account Sign In
  • Library
    • New Prep Guides
    • Featured Prep Guides
    • Free Exam Prep Guides
    • Best sellers
  • General
  • Nursing
    • Research Paper
    • Case Study
    • Discussion Post
    • Assignment
    • Exam
    • Practice Questions and Answers
    • Test Bank
    • solutions manual
    • study guide
  • Accounting
    • Case Study
    • Thesis
    • Study Guide
    • Summary
    • Research Paper
    • test bank
  • English
    • Creative Writing
    • Research Paper
    • Summary
    • Rhetorics
    • Literature
    • Journal
    • Exam
    • Grammar
    • Discussion Post
    • Essay
  • Psychology
    • Hesi
    • Presentation
    • Essay
    • Summary
    • Study Guide
    • Essay
    • Solution Manual
    • Final Exam Review
    • Class Notes
    • test bank
  • Business
    • Lecture Notes
    • Solution Manual
    • Presentation
    • Business Plan
    • Class Notes
    • Experiment
    • Summary
    • Practice Questions
    • Study Guide
    • Case Study
    • test bank
    • Exam
  • More
    • Computer Science
    • Economics
    • Statistics
    • Engineering
    • Biology
    • Religious Studies
    • Physics
    • Chemistry
    • Mathematics
    • History
    • Sociology
    • Science
    • Philosophy
    • Law
  • Pages
    • About Us
    • Selling Tips
    • Delivery Policy
    • Faq
    • Privacy Policy
  • Flash Sale
  • Home
  • Tags

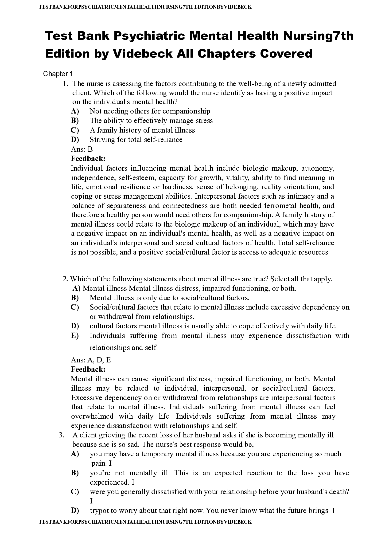
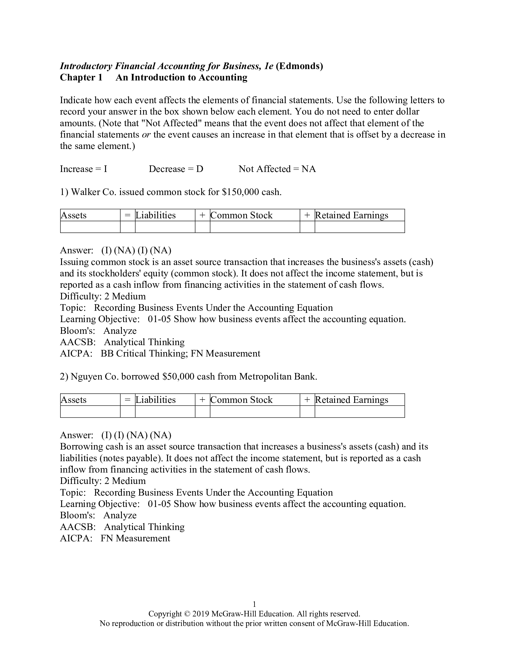
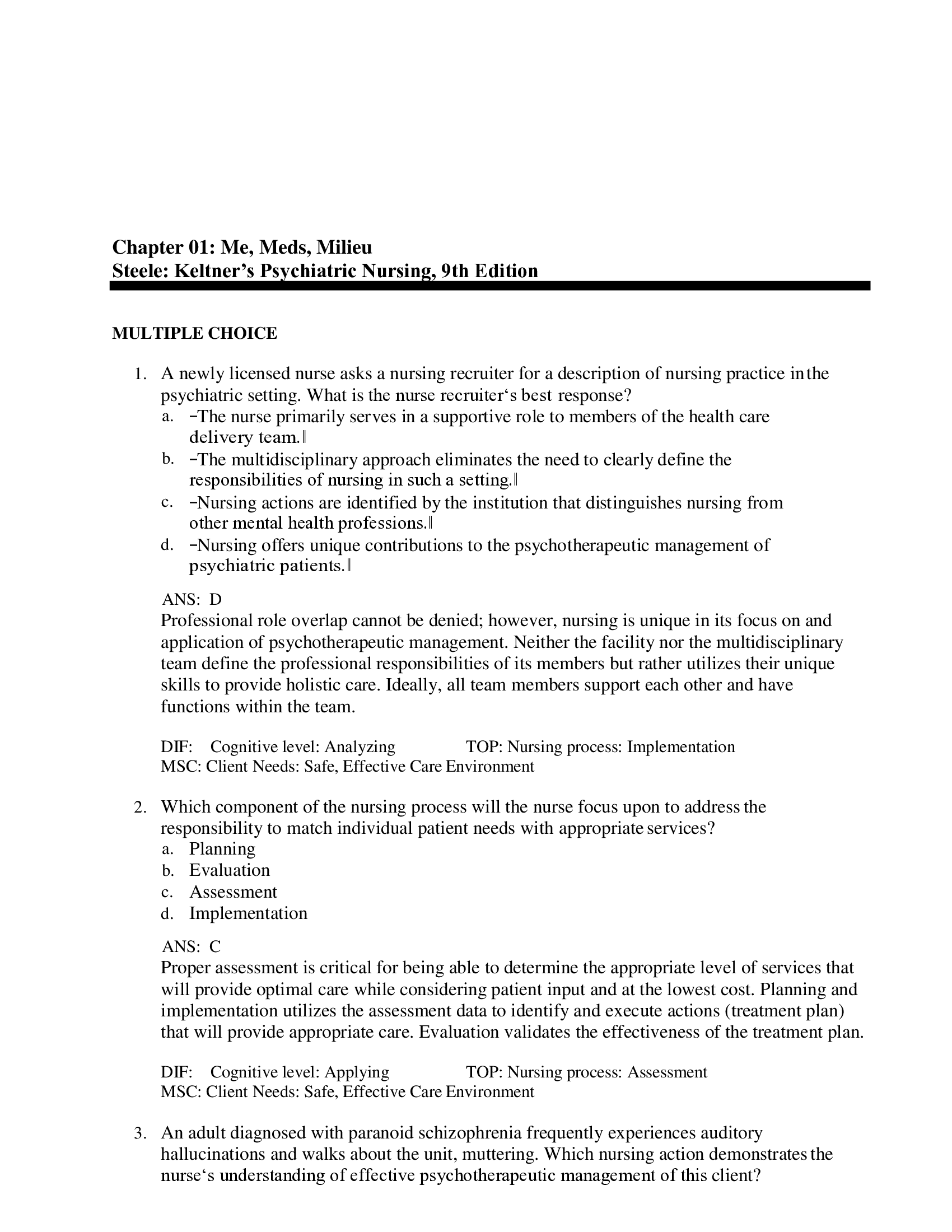
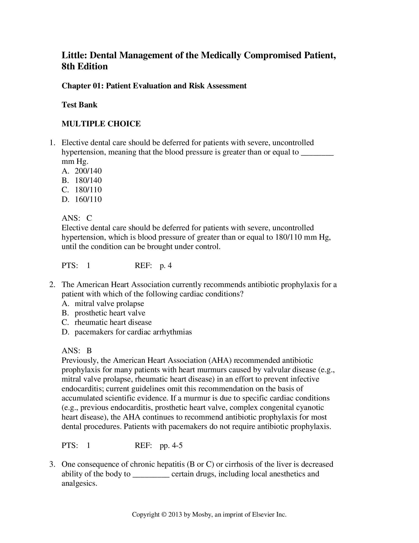
test bank

COMPLETE BANK: Madura International Financial Management 13th Edition | Graded A+ Chapter 1-21 | Complete 2026
View Document

COMPLETE BANK: Madura International Financial Management 13th Edition | Graded A+ Chapter 1-21 | Complete 2026

  • mentor2000

    mentor2000

  • test bank

TESTBANK For International Financial Management 13th Edition Madura All Chapters 1 - 21 Full Complete 2026...

15 USD

0

0

HESI Med Surg Test Bank 2026 | 350 Real Exam Questions & Detailed Rationales | Evolve Elsevier
View Document

HESI Med Surg Test Bank 2026 | 350 Real Exam Questions & Detailed Rationales | Evolve Elsevier

  • mentor2000

    mentor2000

  • test bank

Evolve Elsevier hesi med surg latest 2026 test bank complete 350 real exam questions and correct answers with well-elabo...

12 USD

0

0

EMS InstructorCoordinator Exam Test Bank and Final Exam Review Questions and Answers 2026
View Document

EMS InstructorCoordinator Exam Test Bank and Final Exam Review Questions and Answers 2026

  • Angelicer

    Angelicer

  • exam

EMS InstructorCoordinator Exam Test Bank and Final Exam Review Questions and Answers 2026...

10 USD

0

0

Test Bank for Microbiology, The Human Experience 3rd Edition by John W. Foster, Zarrintaj Aliabadi, Joan L. Slonczewski | All Chapters
View Document

Test Bank for Microbiology, The Human Experience 3rd Edition by John W. Foster, Zarrintaj Aliabadi, Joan L. Slonczewski | All Chapters

  • Angelicer

    Angelicer

  • exam

Test Bank for Microbiology, The Human Experience 3rd Edition by John W. Foster, Zarrintaj Aliabadi, Joan L. Slonczewski ...

15 USD

0

0

Test Bank for Financial Accounting for Managers, 1st Edition, Wayne Thomas, Michael Drake, Jake Thornock, David Spiceland
View Document

Test Bank for Financial Accounting for Managers, 1st Edition, Wayne Thomas, Michael Drake, Jake Thornock, David Spiceland

  • Kaponga

    Kaponga

  • test bank

Test Bank for Financial Accounting for Managers, 1st Edition, Wayne Thomas, Michael Drake, Jake Thornock, David Spicelan...

15 USD

0

0

TEST BANK For Clinical Immunology & Serology A Laboratory Perspective 5th Edition by Miller & Stevens, Chapters 1-25, Latest Edition PDF
View Document

TEST BANK For Clinical Immunology & Serology A Laboratory Perspective 5th Edition by Miller & Stevens, Chapters 1-25, Latest Edition PDF

  • Pasing-Grades

    Pasing-Grades

  • test bank

TEST BANK For Clinical Immunology & Serology A Laboratory Perspective 5th Edition by Miller & Stevens, Chapters 1-25, La...

15 USD

0

0

Edelman's TEST BANK for Health Promotion Throughout the Life Span, 11th Edition by Carole Lium Edelman, Elizabeth Connelly Kudzma
View Document

Edelman's TEST BANK for Health Promotion Throughout the Life Span, 11th Edition by Carole Lium Edelman, Elizabeth Connelly Kudzma

  • Pasing-Grades

    Pasing-Grades

  • test bank

Download Test Bank for Edelman's Health Promotion Throughout the Life Span, 11th Edition by Carole Lium Edelman, Elizabe...

15 USD

0

0

Test Bank For Strategic Management Concepts and Cases, 4th Edition By Dyer, Godfrey, Jensen, Bryce
View Document

Test Bank For Strategic Management Concepts and Cases, 4th Edition By Dyer, Godfrey, Jensen, Bryce

  • Angelicer

    Angelicer

  • exam

Test Bank For Strategic Management Concepts and Cases, 4th Edition By Dyer, Godfrey, Jensen, Bryce...

15 USD

0

0

Modeling and Simulation (M&S) Module Test Bank [2026 Official Q&A] Certified Practitioner Prep
View Document

Modeling and Simulation (M&S) Module Test Bank [2026 Official Q&A] Certified Practitioner Prep

  • Pasing-Grades

    Pasing-Grades

  • exam

Modeling and Simulation (M&S) Module Test Bank [2026 Official Q&A] Certified Practitioner Prep...

10 USD

0

0

SPēD SAPPC Combined Certification Exam  2026/2027 Test Bank  | Complete Study  Guide, All Domains, Practice Questions & Verified Answers
View Document

SPēD SAPPC Combined Certification Exam 2026/2027 Test Bank | Complete Study Guide, All Domains, Practice Questions & Verified Answers

  • Rosalyne

    Rosalyne

  • exam

SPēD SAPPC Combined Certification Exam Review 2026/2027 Test Bank | Complete Study Guide, All Domains, Practice Que...

7 USD

0

0

Nutrition: An Applied Approach, 5e  (Thompson/Manore) Exam Test Bank | Latest Updated Questions & Answers
View Document

Nutrition: An Applied Approach, 5e (Thompson/Manore) Exam Test Bank | Latest Updated Questions & Answers

  • Rosalyne

    Rosalyne

  • exam

Nutrition: An Applied Approach, 5e (Thompson/Manore) Exam Test Bank | Latest Updated Questions & Answers...

7 USD

0

0

NRNP 6675 Midterm Exam, NR 603 Week 7  Test Bank 2026/2027 | Complete Exam Prep, Practice Questions & Verified Answers
View Document

NRNP 6675 Midterm Exam, NR 603 Week 7 Test Bank 2026/2027 | Complete Exam Prep, Practice Questions & Verified Answers

  • Rosalyne

    Rosalyne

  • exam

NRNP 6675 Midterm Exam, NR 603 Week 7 Test Bank 2026/2027 | Complete Exam Prep, Practice Questions & Verified Answers...

13 USD

0

0

JBL EMT Final Exam Comprehensive Test  Bank 2026/2027 | Latest Update | Questions & Verified Answers
View Document

JBL EMT Final Exam Comprehensive Test Bank 2026/2027 | Latest Update | Questions & Verified Answers

  • Rosalyne

    Rosalyne

  • exam

JBL EMT Final Exam Comprehensive Test Bank 2026/2027 | Latest Update | Questions & Verified Answers...

5 USD

0

0

JBL EMT Final Exam Comprehensive Test  Bank 2026/2027 | Complete Exam Review | Questions, Answers & Rationales
View Document

JBL EMT Final Exam Comprehensive Test Bank 2026/2027 | Complete Exam Review | Questions, Answers & Rationales

  • Rosalyne

    Rosalyne

  • exam

JBL EMT Final Exam Comprehensive Test Bank 2026/2027 | Complete Exam Review | Questions, Answers & Rationales...

6 USD

0

0

JBLearning EMT Final Exam Comprehensive  Review  Test Bank 2026/2027 Latest Update | Full Practice Exam with Verified Answers
View Document

JBLearning EMT Final Exam Comprehensive Review Test Bank 2026/2027 Latest Update | Full Practice Exam with Verified Answers

  • Rosalyne

    Rosalyne

  • exam

JBLearning EMT Final Exam Comprehensive Review Test Bank 2026/2027 Latest Update | Full Practice Exam with Verified A...

12 USD

0

0

JBL EMT Midterm  Exam Comprehensive  Test Bank 2026/2027 | Complete Exam  Review | Questions, Answers & Rationales
View Document

JBL EMT Midterm Exam Comprehensive Test Bank 2026/2027 | Complete Exam Review | Questions, Answers & Rationales

  • Rosalyne

    Rosalyne

  • exam

JBL EMT Midterm Exam Comprehensive Test Bank 2026/2027 | Complete Exam Review | Questions, Answers & Rationales...

7 USD

0

0

JBLearning EMT Midterm  Exam  Comprehensive Review Test Bank  2026/2027 | Complete Exam Review | Questions & Answers
View Document

JBLearning EMT Midterm Exam Comprehensive Review Test Bank 2026/2027 | Complete Exam Review | Questions & Answers

  • Rosalyne

    Rosalyne

  • exam

JBLearning EMT Midterm Exam Comprehensive Review Test Bank 2026/2027 | Complete Exam Review | Questions & Answers...

7 USD

0

0

ALL EMT Midterm Questions & Answers  2026/2027 | JBL 12th Edition EMT Midterm Review | Test Bank
View Document

ALL EMT Midterm Questions & Answers 2026/2027 | JBL 12th Edition EMT Midterm Review | Test Bank

  • Rosalyne

    Rosalyne

  • exam

ALL EMT Midterm Questions & Answers 2026/2027 | JBL 12th Edition EMT Midterm Review | Test Bank...

9 USD

0

0

EMT Midterm Exam Study Guide (Chapters  1–24) 2026/2027 | Complete Test Bank | Questions, Answers & Rationales
View Document

EMT Midterm Exam Study Guide (Chapters 1–24) 2026/2027 | Complete Test Bank | Questions, Answers & Rationales

  • Rosalyne

    Rosalyne

  • exam

EMT Midterm Exam Study Guide (Chapters 1–24) 2026/2027 | Complete Test Bank | Questions, Answers & Rationales...

6 USD

0

0

Econ 104 Final Study Guide 2026/2027 |   Test Bank with Exam Questions & Verified Solutions
View Document

Econ 104 Final Study Guide 2026/2027 | Test Bank with Exam Questions & Verified Solutions

  • Rosalyne

    Rosalyne

  • exam

Econ 104 Final Study Guide 2026/2027 | Test Bank with Exam Questions & Verified Solutions...

7 USD

0

0

WGU Health C458 Unit 3 Exam Test Bank |  Practice Questions with Verified Answers | 2026/2027
View Document

WGU Health C458 Unit 3 Exam Test Bank | Practice Questions with Verified Answers | 2026/2027

  • Rosalyne

    Rosalyne

  • exam

WGU Health C458 Unit 3 Exam Test Bank | Practice Questions with Verified Answers | 2026/2027...

8 USD

0

0

Nursing Home Administrator Test Bank  | Comprehensive Exam Prep | 2026/2027
View Document

Nursing Home Administrator Test Bank | Comprehensive Exam Prep | 2026/2027

  • Rosalyne

    Rosalyne

  • exam

Nursing Home Administrator Test Bank | Comprehensive Exam Prep | 2026/2027...

7 USD

0

0

Federal Nursing Home Administrator  Exam Test Bank | Comprehensive Exam Prep | 2026/2027
View Document

Federal Nursing Home Administrator Exam Test Bank | Comprehensive Exam Prep | 2026/2027

  • Rosalyne

    Rosalyne

  • exam

Federal Nursing Home Administrator Exam Test Bank | Comprehensive Exam Prep | 2026/2027...

8 USD

0

0

Nursing Home Administrator Test Exam   Test Bank | Verified Questions & Solutions | 2026/2027
View Document

Nursing Home Administrator Test Exam Test Bank | Verified Questions & Solutions | 2026/2027

  • Rosalyne

    Rosalyne

  • exam

Nursing Home Administrator Test Exam Test Bank | Verified Questions & Solutions | 2026/2027...

6 USD

0

0

Nursing Home Administrator Exam Review   Test Bank | Comprehensive Exam Prep | 2026/2027
View Document

Nursing Home Administrator Exam Review Test Bank | Comprehensive Exam Prep | 2026/2027

  • Rosalyne

    Rosalyne

  • exam

Nursing Home Administrator Exam Review Test Bank | Comprehensive Exam Prep | 2026/2027...

6 USD

0

0

QCAA Biology: Unit 1- Part 1 Test Bank | Full Practice Exam | 2026/2027
View Document

QCAA Biology: Unit 1- Part 1 Test Bank | Full Practice Exam | 2026/2027

  • Rosalyne

    Rosalyne

  • exam

QCAA Biology: Unit 1- Part 1 Test Bank | Full Practice Exam | 2026/2027...

6 USD

0

0

USMLE STEP 1 Pharmacology Test Bank  | High-Yield Practice Questions & Verified Answers | 2026/2027
View Document

USMLE STEP 1 Pharmacology Test Bank | High-Yield Practice Questions & Verified Answers | 2026/2027

  • Rosalyne

    Rosalyne

  • exam

USMLE STEP 1 Pharmacology Test Bank | High-Yield Practice Questions & Verified Answers | 2026/2027...

6 USD

0

0

NR602 Final Exam Test Bank | High-Yield  Questions & Verified Answers | 2026/2027
View Document

NR602 Final Exam Test Bank | High-Yield Questions & Verified Answers | 2026/2027

  • Rosalyne

    Rosalyne

  • exam

NR602 Final Exam Test Bank | High-Yield Questions & Verified Answers | 2026/2027...

6 USD

0

0

DHS Courses Exam Review Test Bank | Practice Questions with Verified Answers | 2026/2027
View Document

DHS Courses Exam Review Test Bank | Practice Questions with Verified Answers | 2026/2027

  • Rosalyne

    Rosalyne

  • exam

DHS Courses Exam Review Test Bank | Practice Questions with Verified Answers | 2026/2027...

7 USD

0

0

NC Real Estate Post Licensing 301 Exam  Prep 2026/2027 | Broker Relationships & Responsibilities Test Bank
View Document

NC Real Estate Post Licensing 301 Exam Prep 2026/2027 | Broker Relationships & Responsibilities Test Bank

  • Rosalyne

    Rosalyne

  • exam

NC Real Estate Post Licensing 301 Exam Prep 2026/2027 | Broker Relationships & Responsibilities Test Bank...

7 USD

0

0

NC Post Licensing 301 Broker  Relationships & Responsibilities Exam Prep 2026/2027 | Latest Test Bank
View Document

NC Post Licensing 301 Broker Relationships & Responsibilities Exam Prep 2026/2027 | Latest Test Bank

  • Rosalyne

    Rosalyne

  • exam

NC Post Licensing 301 Broker Relationships & Responsibilities Exam Prep 2026/2027 | Latest Test Bank...

8 USD

0

0

LMSW Licensing Exam Test  Bank 2026/2027 | Latest  Questions & Verified Answers  Study Guide
View Document

LMSW Licensing Exam Test Bank 2026/2027 | Latest Questions & Verified Answers Study Guide

  • Rosalyne

    Rosalyne

  • exam

LMSW Licensing Exam Test Bank 2026/2027 | Latest Questions & Verified Answers Study Guide...

9 USD

0

0

LMSW Exam Test Bank 2026/2027 |  Comprehensive Practice Questions & Correct Answers
View Document

LMSW Exam Test Bank 2026/2027 | Comprehensive Practice Questions & Correct Answers

  • Rosalyne

    Rosalyne

  • exam

LMSW Exam Test Bank 2026/2027 | Comprehensive Practice Questions & Correct Answers...

7 USD

0

0

LMSW Certification Test Bank  2026/2027 | Complete Study Guide & Practice Questions
View Document

LMSW Certification Test Bank 2026/2027 | Complete Study Guide & Practice Questions

  • Rosalyne

    Rosalyne

  • exam

LMSW Certification Test Bank 2026/2027 | Complete Study Guide & Practice Questions...

8 USD

0

0

Accident and Health Producer Exam Test  Bank 2026/2027 | Latest Study Guide & Verified Questions
View Document

Accident and Health Producer Exam Test Bank 2026/2027 | Latest Study Guide & Verified Questions

  • Rosalyne

    Rosalyne

  • exam

Accident and Health Producer Exam Test Bank 2026/2027 | Latest Study Guide & Verified Questions...

8 USD

0

0

NSG 3160 Exam 1 Study Guide 2026/2027 |  Comprehensive Test Bank with Practice Questions & Detailed Explanations
View Document

NSG 3160 Exam 1 Study Guide 2026/2027 | Comprehensive Test Bank with Practice Questions & Detailed Explanations

  • Rosalyne

    Rosalyne

  • exam

NSG 3160 Exam 1 Study Guide 2026/2027 | Comprehensive Test Bank with Practice Questions & Detailed Explanations...

12 USD

0

0

WGU C841 Exam 2026/2027 | Legal Issues in Information Security Study Guide Test Bank  & Practice Questions
View Document

WGU C841 Exam 2026/2027 | Legal Issues in Information Security Study Guide Test Bank & Practice Questions

  • Rosalyne

    Rosalyne

  • exam

WGU C841 Exam 2026/2027 | Legal Issues in Information Security Study Guide Test Bank & Practice Questions...

6 USD

0

0

WGU C841 Legal Issues in Information  Security Test Bank 2026/2027 | Practice Exam & Answers
View Document

WGU C841 Legal Issues in Information Security Test Bank 2026/2027 | Practice Exam & Answers

  • Rosalyne

    Rosalyne

  • exam

WGU C841 Legal Issues in Information Security Test Bank 2026/2027 | Practice Exam & Answers...

7 USD

0

0

EMT HOSA Competitive Event  Exam 2026/2027 | Complete  Study Guide, Practice Test Bank  & Verified Solutions
View Document

EMT HOSA Competitive Event Exam 2026/2027 | Complete Study Guide, Practice Test Bank & Verified Solutions

  • Rosalyne

    Rosalyne

  • exam

EMT HOSA Competitive Event Exam 2026/2027 | Complete Study Guide, Practice Test Bank & Verified Solutions...

12 USD

0

0

HOSA EMT Competitive Event Exam  2026/2027 | 150+ Verified Practice  Questions with Detailed Answers &  Rationales | Emergency Medical  Technician National Prep | Latest Updated Test Bank
View Document

HOSA EMT Competitive Event Exam 2026/2027 | 150+ Verified Practice Questions with Detailed Answers & Rationales | Emergency Medical Technician National Prep | Latest Updated Test Bank

  • Rosalyne

    Rosalyne

  • exam

HOSA EMT Competitive Event Exam 2026/2027 | 150+ Verified Practice Questions with Detailed Answers & Rationales | ...

12 USD

0

0

EXSS 288 Exam 4 Practice Exam 2026/2027  | Test Bank with Updated Questions & Verified Answers
View Document

EXSS 288 Exam 4 Practice Exam 2026/2027 | Test Bank with Updated Questions & Verified Answers

  • Rosalyne

    Rosalyne

  • exam

EXSS 288 Exam 4 Practice Exam 2026/2027 | Test Bank with Updated Questions & Verified Answers...

12 USD

0

0

EXSS 288 Final Exam Test Bank  2026/2027 | Complete Practice Questions & Verified Answers
View Document

EXSS 288 Final Exam Test Bank 2026/2027 | Complete Practice Questions & Verified Answers

  • Rosalyne

    Rosalyne

  • exam

EXSS 288 Final Exam Test Bank 2026/2027 | Complete Practice Questions & Verified Answers...

12 USD

0

0

Travel Agent Proficiency Test Final Review  Exam Test Bank  | Updated Practice Test & Detailed Solutions 2026/2027
View Document

Travel Agent Proficiency Test Final Review Exam Test Bank | Updated Practice Test & Detailed Solutions 2026/2027

  • Rosalyne

    Rosalyne

  • exam

Travel Agent Proficiency Test Final Review Exam Test Bank | Updated Practice Test & Detailed Solutions 2026/2027...

12 USD

0

0

Certified Travel Advisor Exam Review |  Comprehensive Test Bank & Detailed Solutions 2026/2027 Update
View Document

Certified Travel Advisor Exam Review | Comprehensive Test Bank & Detailed Solutions 2026/2027 Update

  • Rosalyne

    Rosalyne

  • exam

Certified Travel Advisor Exam Review | Comprehensive Test Bank & Detailed Solutions 2026/2027 Update...

12 USD

0

0

CIBTAC & CIDESCO Certification Exam Prep  | Updated Test Bank & Detailed Solutions  2026/2027 Latest Update
View Document

CIBTAC & CIDESCO Certification Exam Prep | Updated Test Bank & Detailed Solutions 2026/2027 Latest Update

  • Rosalyne

    Rosalyne

  • exam

CIBTAC & CIDESCO Certification Exam Prep | Updated Test Bank & Detailed Solutions 2026/2027 Latest Update...

12 USD

0

0

CIDESCO Exam Test Bank 2026/2027 |  Complete Practice Questions & Verified Answers
View Document

CIDESCO Exam Test Bank 2026/2027 | Complete Practice Questions & Verified Answers

  • Rosalyne

    Rosalyne

  • exam

CIDESCO Exam Test Bank 2026/2027 | Complete Practice Questions & Verified Answers...

20 USD

0

0

Test Bank for Advanced Practice Nursing Roles, 6th Edition Core Concepts for Professional Development by Blair, Kathryn A
View Document

Test Bank for Advanced Practice Nursing Roles, 6th Edition Core Concepts for Professional Development by Blair, Kathryn A

  • mentor2000

    mentor2000

  • test bank

Download PDF Test Bank for Advanced Practice Nursing Roles, 6th Edition Core Concepts for Professional Development by Bl...

15 USD

0

0

MRSO REAL EXAM TEST BANK Magnetic Resonance Safety Officer Exam Test Bank Questions and Answers 2026
View Document

MRSO REAL EXAM TEST BANK Magnetic Resonance Safety Officer Exam Test Bank Questions and Answers 2026

  • Pasing-Grades

    Pasing-Grades

  • test bank

MRSO REAL EXAM TEST BANK Magnetic Resonance Safety Officer Exam Test Bank Questions and Answers 2026...

10 USD

0

0

Real Estate Sales Associate Pre-License Exam  Prep 2026/2027 – Gold Coast Highlights Test Bank
View Document

Real Estate Sales Associate Pre-License Exam Prep 2026/2027 – Gold Coast Highlights Test Bank

  • Rosalyne

    Rosalyne

  • exam

Real Estate Sales Associate Pre-License Exam Prep 2026/2027 – Gold Coast Highlights Test Bank...

13 USD

0

0

Lehne’s Pharmacology for Nursing Care 12th Edition Test Bank | Nursing Pharmacology Exam Questions
View Document

Lehne’s Pharmacology for Nursing Care 12th Edition Test Bank | Nursing Pharmacology Exam Questions

  • Topseller

    Topseller

  • test bank

Lehne’s Pharmacology for Nursing Care 12th Edition Test Bank | Nursing Pharmacology Exam Questions | NCLEX Pharmacolog...

37 USD

0

0

NGN NURSING HESI EXIT EXAM   LATEST 2026Study Guide NEWEST   2026 ACTUAL EXAM TEST   BANK QUESTIONS AND   CORRECT DETAILED ANSWERS   VERIFIED ANSWERS ALREADY  GRADED A+
View Document

NGN NURSING HESI EXIT EXAM LATEST 2026Study Guide NEWEST 2026 ACTUAL EXAM TEST BANK QUESTIONS AND CORRECT DETAILED ANSWERS VERIFIED ANSWERS ALREADY GRADED A+

  • Rosalyne

    Rosalyne

  • exam

NGN NURSING HESI EXIT EXAM LATEST 2026 EXAM NEWEST 2026 ACTUAL EXAM TEST BANK QUESTIONS AND CORRECT DETAILED...

15 USD

0

0

NYC Tour Guide Test 333 Questions Test  Bank 2026/2027 – Comprehensive Exam Prep with Verified Answers
View Document

NYC Tour Guide Test 333 Questions Test Bank 2026/2027 – Comprehensive Exam Prep with Verified Answers

  • Rosalyne

    Rosalyne

  • exam

NYC Tour Guide Test 333 Questions Test Bank 2026/2027 – Comprehensive Exam Prep with Verified Answers...

12 USD

0

0

Ole Miss Diamond Girl Selection Exam 2026/2027 – Complete Test Bank with Correct Answers
View Document

Ole Miss Diamond Girl Selection Exam 2026/2027 – Complete Test Bank with Correct Answers

  • Rosalyne

    Rosalyne

  • exam

Ole Miss Diamond Girl Selection Exam 2026/2027 – Complete Test Bank with Correct Answers...

5 USD

0

0

Dubai RERA Broker Exam 2026/2027 – Comprehensive Test Bank & Practice Questions with Verified Answers
View Document

Dubai RERA Broker Exam 2026/2027 – Comprehensive Test Bank & Practice Questions with Verified Answers

  • Rosalyne

    Rosalyne

  • exam

Dubai RERA Broker Exam 2026/2027 – Comprehensive Test Bank & Practice Questions with Verified Answers...

12 USD

0

0

ASCP Phlebotomy Complete Test Bank  2026/2027 – Verified Questions & Answers
View Document

ASCP Phlebotomy Complete Test Bank 2026/2027 – Verified Questions & Answers

  • Rosalyne

    Rosalyne

  • exam

ASCP Phlebotomy Complete Test Bank 2026/2027 – Verified Questions & Answers...

12 USD

0

0

68W Combat Medic Mod 5 Exam Review  2026/2027 –   Comprehensive Test Bank with Latest Questions & Detailed Solutions
View Document

68W Combat Medic Mod 5 Exam Review 2026/2027 – Comprehensive Test Bank with Latest Questions & Detailed Solutions

  • Rosalyne

    Rosalyne

  • exam

68W Combat Medic Mod 5 Exam Review 2026/2027 – Comprehensive Test Bank with Latest Questions & Detailed Solutions...

15 USD

0

0

NCLEX Practice Questions 2026 – Updated NCLEX Test Bank  Comprehensive Q&A + Rationales
View Document

NCLEX Practice Questions 2026 – Updated NCLEX Test Bank Comprehensive Q&A + Rationales

  • Angelicer

    Angelicer

  • ati

NCLEX Practice Questions 2026 – Updated NCLEX Test Bank Comprehensive Q&A + Rationales...

12 USD

0

0

Concepts for Nursing Practice 4th Edition Test Bank (1260 NGN Questions) | NCLEX Readiness | Concept-Based Exam Prep PDF
View Document

Concepts for Nursing Practice 4th Edition Test Bank (1260 NGN Questions) | NCLEX Readiness | Concept-Based Exam Prep PDF

  • Topseller

    Topseller

  • test bank

Prepare with confidence using this comprehensive Nursing Test Bank developed strictly from Concepts for Nursing Practice...

30 USD

0

0

RIMS-CRMP Certification Exam Study  Guide 2026/2027 – Complete Risk  Management Review & Test Bank/ 100% Accurate & Verified
View Document

RIMS-CRMP Certification Exam Study Guide 2026/2027 – Complete Risk Management Review & Test Bank/ 100% Accurate & Verified

  • Rosalyne

    Rosalyne

  • exam

RIMS-CRMP Certification Exam Study Guide 2026/2027 – Complete Risk Management Review & Test Bank/ 100% Accurate & ...

8 USD

0

0

CBSPD Multi-Choice Test Bank Exam  2026/2027 – Full Practice Questions with Verified Answers
View Document

CBSPD Multi-Choice Test Bank Exam 2026/2027 – Full Practice Questions with Verified Answers

  • Rosalyne

    Rosalyne

  • exam

CBSPD Multi-Choice Test Bank Exam 2026/2027 – Full Practice Questions with Verified Answers...

8 USD

0

0

NURS 6700 EXAM 2 Test Bank – Comprehensive Real Exam Questions with 100% Correct Solutions
View Document

NURS 6700 EXAM 2 Test Bank – Comprehensive Real Exam Questions with 100% Correct Solutions

  • Rosalyne

    Rosalyne

  • exam

NURS 6700 EXAM 2 Test Bank – Comprehensive Real Exam Questions with 100% Correct Solutions...

8 USD

0

0

Fundamentals of Nursing Test 1 Practice  Questions Exam Test Bank (2026/2027) – Actual Exam Questions & Verified Correct Answers | Latest Update
View Document

Fundamentals of Nursing Test 1 Practice Questions Exam Test Bank (2026/2027) – Actual Exam Questions & Verified Correct Answers | Latest Update

  • Rosalyne

    Rosalyne

  • exam

Fundamentals of Nursing Test 1 Practice Questions Exam Test Bank (2026/2027) – Actual Exam Questions & Verified Corr...

8 USD

0

0

NURS 620A Exam 1 Test Bank  (2026/2027) – Actual Exam Questions &  Verified Correct Answers | Latest Update
View Document

NURS 620A Exam 1 Test Bank (2026/2027) – Actual Exam Questions & Verified Correct Answers | Latest Update

  • Rosalyne

    Rosalyne

  • exam

NURS 620A Exam 1 Test Bank (2026/2027) – Actual Exam Questions & Verified Correct Answers | Latest Update...

8 USD

0

0

QAL Qualified Applicator License – Plant  Agriculture Comprehensive Exam Test  Bank 2026/2027 with Verified Correct Answers
View Document

QAL Qualified Applicator License – Plant Agriculture Comprehensive Exam Test Bank 2026/2027 with Verified Correct Answers

  • Rosalyne

    Rosalyne

  • exam

QAL Qualified Applicator License – Plant Agriculture Comprehensive Exam Test Bank 2026/2027 with Verified Correct ...

10 USD

0

0

NURS 6700: Exam 2 2026/2027 Comprehensive Study Guide & Test Bank with Verified Questions & Correct Answers
View Document

NURS 6700: Exam 2 2026/2027 Comprehensive Study Guide & Test Bank with Verified Questions & Correct Answers

  • Rosalyne

    Rosalyne

  • exam

NURS 6700: Exam 2 2026/2027 Comprehensive Study Guide & Test Bank with Verified Questions & Correct Answers...

8 USD

0

0

NASM CES Final Exam Review 2026/2027  Latest Test Bank with  Practice Questions &  Correct Answers 100 % Accurate & Verified
View Document

NASM CES Final Exam Review 2026/2027 Latest Test Bank with Practice Questions & Correct Answers 100 % Accurate & Verified

  • Rosalyne

    Rosalyne

  • exam

NASM CES Final Exam Review 2026/2027 Latest Test Bank with Practice Questions & Correct Answers 100 % Accurate & Ve...

8 USD

0

0

ICC California UST Inspector Exam 2026/2027 –  Test Bank with Actual Questions & Verified Answers | Latest Update
View Document

ICC California UST Inspector Exam 2026/2027 – Test Bank with Actual Questions & Verified Answers | Latest Update

  • Rosalyne

    Rosalyne

  • exam

ICC California UST Inspector Exam 2026/2027 – Test Bank with Actual Questions & Verified Answers | Latest Update...

8 USD

0

0

MGY377 Full Exam Test Bank /Microbial Disease Exam 2026/2027 – Practice Questions with Verified Answers
View Document

MGY377 Full Exam Test Bank /Microbial Disease Exam 2026/2027 – Practice Questions with Verified Answers

  • Rosalyne

    Rosalyne

  • exam

MGY377 Full Exam Test Bank /Microbial Disease Exam 2026/2027 – Practice Questions with Verified Answers...

5 USD

0

0

ATLS Post Test / ATLS TEST BANK   2026/2027 LATEST UPDATE QUESTIONS AND ANSWERS / PASS GUARANTEED
View Document

ATLS Post Test / ATLS TEST BANK 2026/2027 LATEST UPDATE QUESTIONS AND ANSWERS / PASS GUARANTEED

  • Rosalyne

    Rosalyne

  • exam

ATLS Post Test / ATLS TEST BANK 2026/2027 LATEST UPDATE QUESTIONS AND ANSWERS / PASS GUARANTEED...

8 USD

0

0

ANS 103 Exam Prep 2026/ 2027 Test Bank with Verified Correct Answers/ Pass Guaranteed
View Document

ANS 103 Exam Prep 2026/ 2027 Test Bank with Verified Correct Answers/ Pass Guaranteed

  • Rosalyne

    Rosalyne

  • exam

ANS 103 Exam Prep 2026/ 2027 Test Bank with Verified Correct Answers/ Pass Guaranteed...

8 USD

0

0

Captain’s Exam – Rules of the Road   2026/2027 Prep Exam & Test Bank | Verified Questions & Answers
View Document

Captain’s Exam – Rules of the Road 2026/2027 Prep Exam & Test Bank | Verified Questions & Answers

  • Rosalyne

    Rosalyne

  • exam

Captain’s Exam – Rules of the Road 2026/2027 Prep Exam & Test Bank | Verified Questions & Answers...

8 USD

0

0

Advanced Pathophysiology NURS 5350 Exam 2 Units 5-8 Latest Test Bank  Exam Update 2026/ 2027
View Document

Advanced Pathophysiology NURS 5350 Exam 2 Units 5-8 Latest Test Bank Exam Update 2026/ 2027

  • Rosalyne

    Rosalyne

  • exam

Advanced Pathophysiology NURS 5350 Exam 2 Units 5-8 Latest Test Bank Exam Update 2026/ 2027...

8 USD

0

0

CompTIA Network+ (N10-008) Certification Exam 2026/2027 | Real Exam Questions & Verified Answers | Latest Updated Test Bank
View Document

CompTIA Network+ (N10-008) Certification Exam 2026/2027 | Real Exam Questions & Verified Answers | Latest Updated Test Bank

  • Rosalyne

    Rosalyne

  • exam

CompTIA Network+ (N10-008) Certification Exam 2026/2027 | Real Exam Questions & Verified Answers | Latest Updated Test B...

8 USD

0

0

CompTIA Network+ (N10-008) All-in-One Study  Guide & Test Bank | Real Exam Prep with Verified Answers
View Document

CompTIA Network+ (N10-008) All-in-One Study Guide & Test Bank | Real Exam Prep with Verified Answers

  • Rosalyne

    Rosalyne

  • exam

CompTIA Network+ (N10-008) All-in-One Study Guide & Test Bank | Real Exam Prep with Verified Answers...

8 USD

0

0

Leadership Roles & Management Functions in  Nursing (Marquis & Huston) Test Bank Ch. 8, 11, 12, 13, 15 | Correct Answers Included
View Document

Leadership Roles & Management Functions in Nursing (Marquis & Huston) Test Bank Ch. 8, 11, 12, 13, 15 | Correct Answers Included

  • Rosalyne

    Rosalyne

  • exam

Leadership Roles & Management Functions in Nursing (Marquis & Huston) Test Bank Ch. 8, 11, 12, 13, 15 | Correct Answer...

8 USD

0

0

HRCI aPHR® Practice Exam 2026/2027 | Real Exam  Questions & Verified Correct Answers | Latest Updated Test Bank
View Document

HRCI aPHR® Practice Exam 2026/2027 | Real Exam Questions & Verified Correct Answers | Latest Updated Test Bank

  • Rosalyne

    Rosalyne

  • exam

HRCI aPHR® Practice Exam 2026/2027 | Real Exam Questions & Verified Correct Answers | Latest Updated Test Bank...

8 USD

0

0

HRCI aPHR® Certification Ultimate Test Bank  2026/2027 | Real Exam Questions & Verified Correct Answers | Latest Updated
View Document

HRCI aPHR® Certification Ultimate Test Bank 2026/2027 | Real Exam Questions & Verified Correct Answers | Latest Updated

  • Rosalyne

    Rosalyne

  • exam

HRCI aPHR® Certification Ultimate Test Bank 2026/2027 | Real Exam Questions & Verified Correct Answers | Latest Updat...

8 USD

0

0

Psychology 100 Ultimate Final Exam Test Bank  2026/2027 – Actual Exam Questions with Accurate Answers
View Document

Psychology 100 Ultimate Final Exam Test Bank 2026/2027 – Actual Exam Questions with Accurate Answers

  • Rosalyne

    Rosalyne

  • exam

Psychology 100 Ultimate Final Exam Test Bank 2026/2027 – Actual Exam Questions with Accurate Answers...

8 USD

0

0

ICU Exam 1 – Practice Questions and Answers  2026/2027 Latest Update Test Bank/ Pass Guaranteed
View Document

ICU Exam 1 – Practice Questions and Answers 2026/2027 Latest Update Test Bank/ Pass Guaranteed

  • Rosalyne

    Rosalyne

  • exam

ICU Exam 1 – Practice Questions and Answers 2026/2027 Latest Update Test Bank/ Pass Guaranteed...

8 USD

0

0

Fundamentals of Nursing Study Guide & MCQ Test Bank | Exam-Focused Revision
View Document

Fundamentals of Nursing Study Guide & MCQ Test Bank | Exam-Focused Revision

  • Topseller

    Topseller

  • questions & answers

This Fundamentals of Nursing Study Guide and MCQ Practice Test Bank is a fast-revision resource designed for ADN and BSN...

37 USD

0

0

Fundamentals of Nursing Study Guide & MCQ Test Bank | Canadian Nursing
View Document

Fundamentals of Nursing Study Guide & MCQ Test Bank | Canadian Nursing

  • Topseller

    Topseller

  • exam

This Fundamentals of Nursing Study Guide & Practice MCQ Test Bank is a fast-revision learning resource designed to suppo...

35 USD

0

0

Test Bank Organizational Behaviour Understanding and Managing Life at Work 13th Edition By Gary Johns, Alan Saks All Chapters
View Document

Test Bank Organizational Behaviour Understanding and Managing Life at Work 13th Edition By Gary Johns, Alan Saks All Chapters

  • mentor2000

    mentor2000

  • study guide

Test Bank Organizational Behaviour Understanding and Managing Life at Work 13th Edition By Gary Johns, Alan Saks All Cha...

15 USD

0

0

Test Bank For Nursing Research In Canada, 5th Edition by Mina Singh
View Document

Test Bank For Nursing Research In Canada, 5th Edition by Mina Singh

  • mentor2000

    mentor2000

  • study guide

Test Bank For Nursing Research In Canada, 5th Edition by Mina Singh...

15 USD

0

0

Test Bank for MacroEconomics 7th Edition By Paul Krugman, Robin Wells
View Document

Test Bank for MacroEconomics 7th Edition By Paul Krugman, Robin Wells

  • mentor2000

    mentor2000

  • study guide

Test Bank for MacroEconomics 7th Edition By Paul Krugman, Robin Wells...

15 USD

0

0

TEST BANK for Rector's Community and Public Health Nursing Promoting the Public's Health 11th edition by Mary Jo Stanley, Charlene Niemi
View Document

TEST BANK for Rector's Community and Public Health Nursing Promoting the Public's Health 11th edition by Mary Jo Stanley, Charlene Niemi

  • Pasing-Grades

    Pasing-Grades

  • test bank

TEST BANK for Rector's Community and Public Health Nursing Promoting the Public's Health 11th edition by Mary Jo Stanley...

15 USD

0

0

Chapter 8 Dermatological Disorders
View Document

Chapter 8 Dermatological Disorders

  • Eloise

    Eloise

  • questions & answers

Chapter 8 Dermatological Disorders...

5 USD

0

0

Final Study Guide FF1/FF2 /Firefighter 1 & 2  Comprehensive Final Study Guide + Test Bank  2026/2027 | Updated Exam Prep with Verified Answers
View Document

Final Study Guide FF1/FF2 /Firefighter 1 & 2 Comprehensive Final Study Guide + Test Bank 2026/2027 | Updated Exam Prep with Verified Answers

  • Rosalyne

    Rosalyne

  • exam

Final Study Guide FF1/FF2 /Firefighter 1 & 2 Comprehensive Final Study Guide + Test Bank 2026/2027 | Updated Exam Pr...

10 USD

0

0

Fundamentals of Nursing MCQ Study Guide & Practice Test Bank (Potter & Perry Canada)
View Document

Fundamentals of Nursing MCQ Study Guide & Practice Test Bank (Potter & Perry Canada)

  • Topseller

    Topseller

  • questions & answers

This fast-revision study guide and practice MCQ test bank is designed to support undergraduate nursing students studying...

37 USD

0

0

Health assessment NURS 6512 Chapter 12 Test Bank Exam 2026/2027 | Real Practice Questions with Verified Answers
View Document

Health assessment NURS 6512 Chapter 12 Test Bank Exam 2026/2027 | Real Practice Questions with Verified Answers

  • Rosalyne

    Rosalyne

  • exam

Health assessment NURS 6512 Chapter 12 Test Bank Exam 2026/2027 | Practice Questions with Verified Answers...

8 USD

0

0

Health assessment NURS 6512 Chapter 12 Test Bank Exam 2026/2027 | Practice Questions with Verified Answers
View Document

Health assessment NURS 6512 Chapter 12 Test Bank Exam 2026/2027 | Practice Questions with Verified Answers

  • Rosalyne

    Rosalyne

  • exam

Health assessment NURS 6512 Chapter 12 Test Bank Exam 2026/2027 | Practice Questions with Verified Answers...

8 USD

0

0

WGU D570 Cognitive Psychology Test Bank Exam  2026/2027 | Comprehensive Questions with Verified Answers
View Document

WGU D570 Cognitive Psychology Test Bank Exam 2026/2027 | Comprehensive Questions with Verified Answers

  • Rosalyne

    Rosalyne

  • exam

WGU D570 Cognitive Psychology Test Bank Exam 2026/2027 | Comprehensive Questions with Verified Answers...

8 USD

0

0

Final Exam NSG430/ NSG 430 Final Exam Questions  & Answers 2026/2027 | Updated Test Bank with Correct Solutions
View Document

Final Exam NSG430/ NSG 430 Final Exam Questions & Answers 2026/2027 | Updated Test Bank with Correct Solutions

  • Rosalyne

    Rosalyne

  • exam

Final Exam NSG430/ NSG 430 Final Exam Questions & Answers 2026/2027 | Updated Test Bank with Correct Solutions...

8 USD

0

0

NSG 430 Exam 1 Practice  Questions & Answers 2026/2027 |  Updated  Ultimate Test Bank with  Correct Solutions
View Document

NSG 430 Exam 1 Practice Questions & Answers 2026/2027 | Updated Ultimate Test Bank with Correct Solutions

  • Rosalyne

    Rosalyne

  • exam

NSG 430 Exam 1 Practice Questions & Answers 2026/2027 | Updated Ultimate Test Bank with Correct Solutions...

8 USD

0

0

Advanced Cardiovascular Life Support (ACLS )  Comprehensive Practice Exam 2026/2027 – Latest Protocols Practice Test Bank
View Document

Advanced Cardiovascular Life Support (ACLS ) Comprehensive Practice Exam 2026/2027 – Latest Protocols Practice Test Bank

  • Rosalyne

    Rosalyne

  • exam

Advanced Cardiovascular Life Support (ACLS ) Comprehensive Practice Exam 2026/2027 – Latest Protocols Practice Test ...

8 USD

0

0

Final Exam Advanced Pathophysiology,  Pathophysiology Finals 2026/ 2027 Latest Exam/   Ultimate Test Bank with Verified Questions & Answers
View Document

Final Exam Advanced Pathophysiology, Pathophysiology Finals 2026/ 2027 Latest Exam/ Ultimate Test Bank with Verified Questions & Answers

  • Rosalyne

    Rosalyne

  • exam

Final Exam Advanced Pathophysiology, Pathophysiology Finals 2026/ 2027 Latest Exam/ Ultimate Test Bank with Verifie...

8 USD

0

0

Indiana State Life & Health Exam 2026/  2027 Latest Ultimate Test Bank & Study Guide/ Pass Guaranteed
View Document

Indiana State Life & Health Exam 2026/ 2027 Latest Ultimate Test Bank & Study Guide/ Pass Guaranteed

  • Rosalyne

    Rosalyne

  • exam

Indiana State Life & Health Exam 2026/ 2027 Latest Ultimate Test Bank & Study Guide/ Pass Guaranteed...

8 USD

0

0

NUNP 6541 Pediatric Final Exam-Walden  University 2026/ 2027 Comprehensive Study Guide & Ultimate Test Bank/ Pass Guaranteed
View Document

NUNP 6541 Pediatric Final Exam-Walden University 2026/ 2027 Comprehensive Study Guide & Ultimate Test Bank/ Pass Guaranteed

  • Rosalyne

    Rosalyne

  • exam

NUNP 6541 Pediatric Final Exam-Walden University 2026/ 2027 Comprehensive Study Guide & Ultimate Test Bank/ Pass Guara...

8 USD

0

0

Walden University NURS 6541 Growth And  Development Prep Exam  2026/ 2027 Ultimate Test Bank with Verified  Questions & Answers
View Document

Walden University NURS 6541 Growth And Development Prep Exam 2026/ 2027 Ultimate Test Bank with Verified Questions & Answers

  • Rosalyne

    Rosalyne

  • exam

Walden University NURS 6541 Growth And Development Prep Exam 2026/ 2027 Ultimate Test Bank with Verified Questions &...

10 USD

0

0

WGU D119 Pediatric Primary Care Prep  Exam 2026/2027 – Complete Test Bank
View Document

WGU D119 Pediatric Primary Care Prep Exam 2026/2027 – Complete Test Bank

  • Rosalyne

    Rosalyne

  • exam

WGU D119 Pediatric Primary Care Prep Exam 2026/2027 – Complete Test Bank...

8 USD

0

0

WGU D119 Pediatric Primary Care Success  Prep Exam 2026/2027 | Updated Test Bank & Study Guide
View Document

WGU D119 Pediatric Primary Care Success Prep Exam 2026/2027 | Updated Test Bank & Study Guide

  • Rosalyne

    Rosalyne

  • exam

WGU D119 Pediatric Primary Care Success Prep Exam 2026/2027 | Updated Test Bank & Study Guide...

10 USD

0

0

Lewis’s Medical-Surgical Nursing 11th Edition  – Harding Test Bank 2026/2027 | 100% Verified & Accurate
View Document

Lewis’s Medical-Surgical Nursing 11th Edition – Harding Test Bank 2026/2027 | 100% Verified & Accurate

  • Rosalyne

    Rosalyne

  • exam

Lewis’s Medical-Surgical Nursing 11th Edition – Harding Test Bank 2026/2027 | 100% Verified & Accurate...

12 USD

0

0

Emergency Care: 12th Edition Test  Bank  – Comprehensive Study Guide &  Actual Exam Questions 2026/ 2027 Latest  Update
View Document

Emergency Care: 12th Edition Test Bank – Comprehensive Study Guide & Actual Exam Questions 2026/ 2027 Latest Update

  • Rosalyne

    Rosalyne

  • exam

Emergency Care: 12th Edition Test Bank – Comprehensive Study Guide & Exam Questions 2026/ 2027 Latest Update...

11 USD

0

0

EMT 12th Edition FINAL Exam / Emergency Care  12th Edition – Ultimate Test Bank 2026/2027  With Verified Questions and Answers/ A Graded
View Document

EMT 12th Edition FINAL Exam / Emergency Care 12th Edition – Ultimate Test Bank 2026/2027 With Verified Questions and Answers/ A Graded

  • Rosalyne

    Rosalyne

  • exam

EMT 12th Edition FINAL Exam / Emergency Care 12th Edition – Ultimate Test Bank 2026/2027 With Verified Questions a...

12 USD

0

0

Certified Ophthalmic Assistant (COA)  Exam – Comprehensive Test Bank & Actual  Practice Questions (2026/ 2027 Latest  Version)
View Document

Certified Ophthalmic Assistant (COA) Exam – Comprehensive Test Bank & Actual Practice Questions (2026/ 2027 Latest Version)

  • Rosalyne

    Rosalyne

  • exam

Certified Ophthalmic Assistant (COA) Exam – Comprehensive Test Bank & Practice Questions (2026/ 2027 Latest Vers...

11 USD

0

0

Certified Ophthalmic Assistant (COA)  Exam – Comprehensive Test Bank &  Practice Questions (2026/ 2027 Latest  Version)
View Document

Certified Ophthalmic Assistant (COA) Exam – Comprehensive Test Bank & Practice Questions (2026/ 2027 Latest Version)

  • Rosalyne

    Rosalyne

  • exam

Certified Ophthalmic Assistant (COA) Exam – Comprehensive Test Bank & Practice Questions (2026/ 2027 Latest Vers...

11 USD

0

0

Certified Ophthalmic Assistant (COA)  Study Guide 2026/2027 | Latest Test  Bank with Practice Questions & Answers
View Document

Certified Ophthalmic Assistant (COA) Study Guide 2026/2027 | Latest Test Bank with Practice Questions & Answers

  • Rosalyne

    Rosalyne

  • exam

Certified Ophthalmic Assistant (COA) Study Guide 2026/2027 | Latest Test Bank with Practice Questions & Answers...

11 USD

0

0

Certified Ophthalmic Assistant COA Study  Guide 2026/2027 Latest Updated Test Bank  – Comprehensive Practice Questions & Exam Review
View Document

Certified Ophthalmic Assistant COA Study Guide 2026/2027 Latest Updated Test Bank – Comprehensive Practice Questions & Exam Review

  • Rosalyne

    Rosalyne

  • exam

Certified Ophthalmic Assistant COA Study Guide 2026/2027 Latest Updated Test Bank – Comprehensive Practice Question...

11 USD

0

0

Certified Ophthalmic Assistant (COA) Exam  2026/2027 – Comprehensive Ultimate Test Bank & Review/ Pass Guaranteed
View Document

Certified Ophthalmic Assistant (COA) Exam 2026/2027 – Comprehensive Ultimate Test Bank & Review/ Pass Guaranteed

  • Rosalyne

    Rosalyne

  • exam

Certified Ophthalmic Assistant (COA) Exam 2026/2027 – Comprehensive Ultimate Test Bank & Review/ Pass Guaranteed...

11 USD

0

0

Nursing Nutrition Study Guide & Practice MCQs | Diet Therapy Test Bank
View Document

Nursing Nutrition Study Guide & Practice MCQs | Diet Therapy Test Bank

  • Topseller

    Topseller

  • exam

This digital resource is a nursing-focused Nutrition & Diet Therapy study guide and practice MCQ test bank developed str...

30 USD

0

0

Test Bank For Cultural Anthropology, A Perspective on the Human Condition 10e By Emily Schultz, Robert Lavenda (All Chapters)
View Document

Test Bank For Cultural Anthropology, A Perspective on the Human Condition 10e By Emily Schultz, Robert Lavenda (All Chapters)

  • tutorvalentine

    tutorvalentine

  • exam

Test Bank For Cultural Anthropology, A Perspective on the Human Condition 10e By Emily Schultz, Robert Lavenda (All Chap...

15 USD

0

0

Test Bank For Criminal Justice Today, 16th Edition An Introductory Text For The 21st Century by Frank Schmalleger (All Chapters)
View Document

Test Bank For Criminal Justice Today, 16th Edition An Introductory Text For The 21st Century by Frank Schmalleger (All Chapters)

  • tutorvalentine

    tutorvalentine

  • exam

Test Bank For Criminal Justice Today, 16th Edition An Introductory Text For The 21st Century by Frank Schmalleger (All C...

15 USD

0

0

Test Bank Digital Fundamentals, 11th Edition. By Thomas Floyd All Chapters
View Document

Test Bank Digital Fundamentals, 11th Edition. By Thomas Floyd All Chapters

  • tutorvalentine

    tutorvalentine

  • exam

Test Bank Digital Fundamentals, 11th Edition. By Thomas Floyd All Chapters...

15 USD

0

0

Williams’ Essentials of Nutrition & Diet Therapy Test Bank (13th Ed) | Nursing Nutrition
View Document

Williams’ Essentials of Nutrition & Diet Therapy Test Bank (13th Ed) | Nursing Nutrition

  • NursingExamPrepUSA

    NursingExamPrepUSA

  • questions & answers

Designed for nursing students, PNLE and NCLEX-RN candidates, and allied health learners, this test bank mirrors the clin...

18 USD

0

0

Test Bank for Burns' Pediatric Primary Care, 8th Edition | Verified | All Chapters
View Document

Test Bank for Burns' Pediatric Primary Care, 8th Edition | Verified | All Chapters

  • Opati-Kaka

    Opati-Kaka

  • test bank

Test Bank for Burns' Pediatric Primary Care, 8th Edition by Dawn Lee Garzon Mary Dirks, Martha Driessnack, Karen G. Dude...

15 USD

0

0

RNSG 1128 Fluid &  Electrolytes Exam 2026/2027 | Comprehensive Test Bank with Verified Answers &  Rationales | Latest Update
View Document

RNSG 1128 Fluid & Electrolytes Exam 2026/2027 | Comprehensive Test Bank with Verified Answers & Rationales | Latest Update

  • Rosalyne

    Rosalyne

  • exam

RNSG 1128 Fluid & Electrolytes Exam 2026/2027 | Comprehensive Test Bank with Verified Answers & Rationales | Latest ...

12 USD

0

0

TX Fire Instructor I Exam 2026/2027 |  Comprehensive Test Bank with Verified  Answers & Detailed Rationales | Latest Update
View Document

TX Fire Instructor I Exam 2026/2027 | Comprehensive Test Bank with Verified Answers & Detailed Rationales | Latest Update

  • Rosalyne

    Rosalyne

  • exam

TX Fire Instructor I Exam 2026/2027 | Comprehensive Test Bank with Verified Answers & Detailed Rationales | Latest U...

12 USD

0

0

CHPN® Certification Exam 2026/2027 |  Updated Test Bank | Detailed Rationales | A+ Guaranteed
View Document

CHPN® Certification Exam 2026/2027 | Updated Test Bank | Detailed Rationales | A+ Guaranteed

  • Rosalyne

    Rosalyne

  • exam

CHPN® Certification Exam 2026/2027 | Updated Test Bank | Detailed Rationales | A+ Guaranteed...

12 USD

0

0

PGA PGM 3.0 Level 1 Test Bank 2026/2027 |  Complete study guide Practice Questions & Verified Answers | Latest Update
View Document

PGA PGM 3.0 Level 1 Test Bank 2026/2027 | Complete study guide Practice Questions & Verified Answers | Latest Update

  • Rosalyne

    Rosalyne

  • exam

PGA PGM 3.0 Level 1 Test Bank 2026/2027 | Complete study guide Practice Questions & Verified Answers | Latest Update...

16 USD

0

0

CBAD 201 Financial Accounting – Final Exam  Test Bank 2026 / 2027| Verified Questions & Answers
View Document

CBAD 201 Financial Accounting – Final Exam Test Bank 2026 / 2027| Verified Questions & Answers

  • Rosalyne

    Rosalyne

  • exam

CBAD 201 Financial Accounting – Final Exam Test Bank 2026 / 2027| Verified Questions & Answers...

20 USD

0

0

CBAD 201 Final Exam Test Bank 2026/2027 – Complete  Study Review  withPractice Questions & Answers
View Document

CBAD 201 Final Exam Test Bank 2026/2027 – Complete Study Review withPractice Questions & Answers

  • Rosalyne

    Rosalyne

  • exam

CBAD 201 Final Exam Test Bank 2026/2027 – Complete Study Review withPractice Questions & Answers...

20 USD

0

0

CBAD 201 Final Exam Test Bank 2026 – Complete Practice Questions & Answers
View Document

CBAD 201 Final Exam Test Bank 2026 – Complete Practice Questions & Answers

  • Rosalyne

    Rosalyne

  • exam

CBAD 201 Final Exam Test Bank 2026 – Complete Practice Questions & Answers...

20 USD

0

0

USCG Captain’s License Final Test  Review – Complete Test Bank with  Verified Questions & Answers 2026- 2027 Latest Update/ Pass Guaranteed
View Document

USCG Captain’s License Final Test Review – Complete Test Bank with Verified Questions & Answers 2026- 2027 Latest Update/ Pass Guaranteed

  • Rosalyne

    Rosalyne

  • exam

USCG Captain’s License Final Test Review – Complete Test Bank with Verified Questions & Answers 2026- 2027 Lates...

20 USD

0

0

Captain’s License 2026/2027 – Complete Prep  Exam & Test Bank | Verified Questions & Answers/ Pass Guaranteed
View Document

Captain’s License 2026/2027 – Complete Prep Exam & Test Bank | Verified Questions & Answers/ Pass Guaranteed

  • Rosalyne

    Rosalyne

  • exam

Captain’s License 2026/2027 – Complete Prep Exam & Test Bank | Verified Questions & Answers/ Pass Guaranteed...

20 USD

0

0

OUPV 6-Pack Captain’s License 2026/2027  – Complete Prep Exam & Test Bank | Verified Questions & Answers
View Document

OUPV 6-Pack Captain’s License 2026/2027 – Complete Prep Exam & Test Bank | Verified Questions & Answers

  • Rosalyne

    Rosalyne

  • exam

OUPV 6-Pack Captain’s License 2026/2027 – Complete Prep Exam & Test Bank | Verified Questions & Answers...

20 USD

0

0

USCG Masters 25–100 Ton 2026/2027 – Complete  Prep Exam & Test Bank | Verified Questions & Answers
View Document

USCG Masters 25–100 Ton 2026/2027 – Complete Prep Exam & Test Bank | Verified Questions & Answers

  • Rosalyne

    Rosalyne

  • exam

USCG Masters 25–100 Ton 2026/2027 – Complete Prep Exam & Test Bank | Verified Questions & Answers...

20 USD

0

0

Captain’s License Module 2 – Deck General &  Safety 2026/2027 Practice Exam & Test Bank | Verified Q&A
View Document

Captain’s License Module 2 – Deck General & Safety 2026/2027 Practice Exam & Test Bank | Verified Q&A

  • Rosalyne

    Rosalyne

  • exam

Captain’s License Module 2 – Deck General & Safety 2026/2027 Practice Exam & Test Bank | Verified Q&A...

20 USD

0

0

RBT Exam 2026/2027 – Complete Practice  Test Bank | Verified Study Review with Questions & Answer Latest Update/ Pass Guaranteed
View Document

RBT Exam 2026/2027 – Complete Practice Test Bank | Verified Study Review with Questions & Answer Latest Update/ Pass Guaranteed

  • Rosalyne

    Rosalyne

  • exam

RBT Exam 2026/2027 – Complete Practice Test Bank | Verified Study Review with Questions & Answer Latest Update/ Pass...

20 USD

0

0

Captain’s License Module 2 – Deck General &  Safety 2026/2027 Prep Exam & Test Bank | Verified Q&A
View Document

Captain’s License Module 2 – Deck General & Safety 2026/2027 Prep Exam & Test Bank | Verified Q&A

  • Rosalyne

    Rosalyne

  • exam

Captain’s License Module 2 – Deck General & Safety 2026/2027 Prep Exam & Test Bank | Verified Q&A...

20 USD

0

0

RBT Exam 2026/2027 – Complete Practice  Test Bank | Verified Questions & Answer Latest Update/ Pass Guaranteed
View Document

RBT Exam 2026/2027 – Complete Practice Test Bank | Verified Questions & Answer Latest Update/ Pass Guaranteed

  • Rosalyne

    Rosalyne

  • exam

RBT Exam 2026/2027 – Complete Practice Test Bank | Verified Questions & Answer Latest Update/ Pass Guaranteed...

20 USD

0

0

RBT – All Modules 2026/2027 Exam  Questions & Test Bank | Complete Verified Q&A Latest Update / Pass  Guaranteed
View Document

RBT – All Modules 2026/2027 Exam Questions & Test Bank | Complete Verified Q&A Latest Update / Pass Guaranteed

  • Rosalyne

    Rosalyne

  • exam

RBT – All Modules 2026/2027 Exam Questions & Test Bank | Complete Verified Q&A Latest Update / Pass Guaranteed...

20 USD

0

0

Pearson RBT Exam 2026/2027 – Complete  Prep & Test Bank | Verified Questions &  Answers Latest Update / Pass Guaranteed
View Document

Pearson RBT Exam 2026/2027 – Complete Prep & Test Bank | Verified Questions & Answers Latest Update / Pass Guaranteed

  • Rosalyne

    Rosalyne

  • exam

Pearson RBT Exam 2026/2027 – Complete Prep & Test Bank | Verified Questions & Answers Latest Update / Pass Guarant...

20 USD

0

0

WGU C784 Applied Healthcare Statistics  Test Bank — Questions & Verified Answers (2026/2027)/ Pass Guaranteed
View Document

WGU C784 Applied Healthcare Statistics Test Bank — Questions & Verified Answers (2026/2027)/ Pass Guaranteed

  • Rosalyne

    Rosalyne

  • exam

WGU C784 Applied Healthcare Statistics Test Bank — Questions & Verified Answers (2026/2027)/ Pass Guaranteed...

20 USD

0

0

Applied Healthcare Statistics (C784)  Comprehensive Test Bank — WGU Exam Prep  Updated 2026/2027)
View Document

Applied Healthcare Statistics (C784) Comprehensive Test Bank — WGU Exam Prep Updated 2026/2027)

  • Rosalyne

    Rosalyne

  • exam

Applied Healthcare Statistics (C784) Comprehensive Test Bank — WGU Exam Prep Updated 2026/2027)...

20 USD

0

0

PSY 515 Midterm Test Bank  2026/2027 | Latest Updated  Questions & Verified Answers | Research Methods
View Document

PSY 515 Midterm Test Bank 2026/2027 | Latest Updated Questions & Verified Answers | Research Methods

  • Rosalyne

    Rosalyne

  • exam

PSY 515 Midterm Test Bank 2026/2027 | Latest Updated Questions & Verified Answers | Research Methods...

20 USD

0

0

Basic Code Enforcement TEEX &  TDLR Exam Prep 2026/2027 | Test  Bank & Practice Exam/ A + Graded
View Document

Basic Code Enforcement TEEX & TDLR Exam Prep 2026/2027 | Test Bank & Practice Exam/ A + Graded

  • Rosalyne

    Rosalyne

  • exam

Basic Code Enforcement TEEX & TDLR Exam Prep 2026/2027 | Test Bank & Practice Exam/ A + Graded...

20 USD

0

0

Texas Code Enforcement Exam Prep  2026/2027 | Test Bank & Practice  Exam/ Pass Guaranteed
View Document

Texas Code Enforcement Exam Prep 2026/2027 | Test Bank & Practice Exam/ Pass Guaranteed

  • Rosalyne

    Rosalyne

  • exam

Texas Code Enforcement Exam Prep 2026/2027 | Test Bank & Practice Exam/ Pass Guaranteed...

20 USD

0

0

Basic Code Enforcement TEEX & TDLR Exam 2026/2027 | Guaranteed Pass Test Bank
View Document

Basic Code Enforcement TEEX & TDLR Exam 2026/2027 | Guaranteed Pass Test Bank

  • Rosalyne

    Rosalyne

  • exam

Basic Code Enforcement TEEX & TDLR Exam 2026/2027 | Guaranteed Pass Test Bank...

20 USD

0

0

ONS/ONCC Chemotherapy &  Immunotherapy Certificate 2026/2027 | Guaranteed Pass Test Bank
View Document

ONS/ONCC Chemotherapy & Immunotherapy Certificate 2026/2027 | Guaranteed Pass Test Bank

  • Rosalyne

    Rosalyne

  • exam

ONS/ONCC Chemotherapy & Immunotherapy Certificate 2026/2027 | Guaranteed Pass Test Bank...

20 USD

0

0

ONS/ONCC Chemotherapy &  Immunotherapy Certificate Prep  Exam 2026/2027 | Complete Test  Bank with verified Questions &  Answers
View Document

ONS/ONCC Chemotherapy & Immunotherapy Certificate Prep Exam 2026/2027 | Complete Test Bank with verified Questions & Answers

  • Rosalyne

    Rosalyne

  • exam

ONS/ONCC Chemotherapy & Immunotherapy Certificate Prep Exam 2026/2027 | Complete Test Bank with verified Questions...

20 USD

0

0

ONS/ONCC Chemo Renewal Oncology Exam  Bundle 2026/2027 | Complete Test Bank with Verified Questions & Correct Answers
View Document

ONS/ONCC Chemo Renewal Oncology Exam Bundle 2026/2027 | Complete Test Bank with Verified Questions & Correct Answers

  • Rosalyne

    Rosalyne

  • exam

ONS/ONCC Chemo Renewal Oncology Exam Bundle 2026/2027 | Complete Test Bank with Verified Questions & Correct Answers...

20 USD

0

0

NURS 6512N Advanced Health  Assessment & Diagnostic  Reasoning Ultimate Prep Exam 1  Test Bank 2026/2027 | Verified Q&A
View Document

NURS 6512N Advanced Health Assessment & Diagnostic Reasoning Ultimate Prep Exam 1 Test Bank 2026/2027 | Verified Q&A

  • Rosalyne

    Rosalyne

  • exam

NURS 6512N Advanced Health Assessment & Diagnostic Reasoning Ultimate Prep Exam 1 Test Bank 2026/2027 | Verified Q...

20 USD

0

0

NYC Tour Guide License Exam Prep  2026/2027 | Test Bank with Verified  Questions and Detailed Solution/ Pass Guaranteed
View Document

NYC Tour Guide License Exam Prep 2026/2027 | Test Bank with Verified Questions and Detailed Solution/ Pass Guaranteed

  • Rosalyne

    Rosalyne

  • exam

NYC Tour Guide License Exam Prep 2026/2027 | Test Bank with Verified Questions and Detailed Solution/ Pass Guarantee...

20 USD

0

0

NYC Tour Guide 333 Questions Test Bank  2026/2027 | Comprehensive Exam Prep with Verified Questions & Answers
View Document

NYC Tour Guide 333 Questions Test Bank 2026/2027 | Comprehensive Exam Prep with Verified Questions & Answers

  • Rosalyne

    Rosalyne

  • exam

NYC Tour Guide 333 Questions Test Bank 2026/2027 | Comprehensive Exam Prep with Verified Questions & Answers...

20 USD

0

0

NYC Tour Guide Ultimate Exam Prep  2026/2027 | Verified Questions &  Answers/ Test Bank /Pass Guaranteed
View Document

NYC Tour Guide Ultimate Exam Prep 2026/2027 | Verified Questions & Answers/ Test Bank /Pass Guaranteed

  • Rosalyne

    Rosalyne

  • exam

NYC Tour Guide Ultimate Exam Prep 2026/2027 | Verified Questions & Answers/ Test Bank /Pass Guaranteed...

20 USD

0

0

NYC Tour Guide History, Economy & Culture Exam  Prep 2026/2027 | Test Bank & Review with Verified Questions and Correct Answers
View Document

NYC Tour Guide History, Economy & Culture Exam Prep 2026/2027 | Test Bank & Review with Verified Questions and Correct Answers

  • Rosalyne

    Rosalyne

  • exam

NYC Tour Guide History, Economy & Culture Exam Prep 2026/2027 | Test Bank & Review with Verified Questions and Correct...

16 USD

0

0

NRNP 6645 Midterm 2026/2027 –  Comprehensive Study Guide &  Verified Q&A Test Bank/ Latest  Update/ A Graded
View Document

NRNP 6645 Midterm 2026/2027 – Comprehensive Study Guide & Verified Q&A Test Bank/ Latest Update/ A Graded

  • Rosalyne

    Rosalyne

  • exam

NRNP 6645 Midterm 2026/2027 – Comprehensive Study Guide & Verified Q&A Test Bank/ Latest Update/ A Graded...

16 USD

0

0

Test Bank For Career Development Interventions, 6th Edition by Spencer G. Niles, JoAnn E. Harris-Bowlsbey | All Chapters Updated 2026
View Document

Test Bank For Career Development Interventions, 6th Edition by Spencer G. Niles, JoAnn E. Harris-Bowlsbey | All Chapters Updated 2026

  • wangeci

    wangeci

  • test bank

Test Bank for Career Development Interventions 6th Edition by Niles & Harris-Bowlsbey. Chapters 1–15 with exam-style q...

15 USD

0

0

NHA CCMA Exam Test Bank 2026 - Certified Clinical Medical Assistant Practice Questions & Test Prep Answers
View Document

NHA CCMA Exam Test Bank 2026 - Certified Clinical Medical Assistant Practice Questions & Test Prep Answers

  • Emily

    Emily

  • questions & answers

NHA CCMA Exam Test Bank 2026 - Certified Clinical Medical Assistant Practice Questions & Test Prep Answers...

6 USD

0

0

Test Bank for Henke's Med-Math Dosage Calculation, Preparation And Administration 10th Edition By Susan Buchholz
View Document

Test Bank for Henke's Med-Math Dosage Calculation, Preparation And Administration 10th Edition By Susan Buchholz

  • Opati-Kaka

    Opati-Kaka

  • test bank

Henke's Test Bank for Med-Math Dosage Calculation, Preparation And Administration 10th Edition By Susan Buchholz...

15 USD

0

33

Chapter 4 Treatment Settings and Therapeutic Programs - psychiatric nursing test bank pdf
View Document

Chapter 4 Treatment Settings and Therapeutic Programs - psychiatric nursing test bank pdf

  • bundlestudent

    bundlestudent

  • questions & answers

Chapter 4 Treatment Settings and Therapeutic Programs - psychiatric nursing test bank pdf...

5 USD

0

0

Chapter 2  Neurobiologic Theories and Psychopharmacology - psychiatric nursing test bank pdf
View Document

Chapter 2 Neurobiologic Theories and Psychopharmacology - psychiatric nursing test bank pdf

  • bundlestudent

    bundlestudent

  • questions & answers

Chapter 2 Neurobiologic Theories and Psychopharmacology - psychiatric nursing test bank pdf...

5 USD

0

0

Chapter 1 Foundations of Psychiatric–Mental Health Nursing - psychiatric nursing test bank pdf
View Document

Chapter 1 Foundations of Psychiatric–Mental Health Nursing - psychiatric nursing test bank pdf

  • bundlestudent

    bundlestudent

  • questions & answers

Chapter 1 Foundations of Psychiatric–Mental Health Nursing - psychiatric nursing test bank pdf...

5 USD

0

0

Test Bank: Psychiatric-Mental Health Nursing, 10th Edition by Sheila L. Videbeck | Chapters 1–24
View Document

Test Bank: Psychiatric-Mental Health Nursing, 10th Edition by Sheila L. Videbeck | Chapters 1–24

  • Eloise

    Eloise

  • test bank

Complete test bank for Psychiatric-Mental Health Nursing, 10th Edition by Sheila L. Videbeck. Covers Chapters 1–24 wit...

15 USD

0

0

Latest Test Bank for International Business: The Challenges of Globalization (9th Edition) – Wild & Wild – Complete Exam Questions & Verified Answers
View Document

Latest Test Bank for International Business: The Challenges of Globalization (9th Edition) – Wild & Wild – Complete Exam Questions & Verified Answers

  • Kaponga

    Kaponga

  • test bank

Download the complete Test Bank for International Business: The Challenges of Globalization (9th Edition). Includes veri...

15 USD

0

0

Solution Manual — International Business: The Challenges of Globalization (8th Ed., Wild & Wild) — Full Chapter Solutions, Instructor Keys & Worked Examples (PDF, Instant Download)
View Document

Solution Manual — International Business: The Challenges of Globalization (8th Ed., Wild & Wild) — Full Chapter Solutions, Instructor Keys & Worked Examples (PDF, Instant Download)

  • mentor2000

    mentor2000

  • solution manual

Download Complete Solution Manual & Test Bank for International Business (8th ed., Wild & Wild). Full chapter solutions,...

15 USD

0

0

Test Bank for International Business The Challenges of Globalization 8th Edition By John Wild, Kenneth Wild
View Document

Test Bank for International Business The Challenges of Globalization 8th Edition By John Wild, Kenneth Wild

  • mentor2000

    mentor2000

  • test bank

Test Bank for International Business The Challenges of Globalization 8th Edition By John Wild, Kenneth Wild...

15 USD

0

0

Test Bank for Systems Analysis and Design 11th Edition By Kenneth Kendall, Julie Kendall | All Chapters
View Document

Test Bank for Systems Analysis and Design 11th Edition By Kenneth Kendall, Julie Kendall | All Chapters

  • Kaponga

    Kaponga

  • exam elaborations

Test Bank for Systems Analysis and Design 11th Edition By Kenneth Kendall, Julie Kendall...

15 USD

0

0

HESI Health Assessment MENP Exam 2026 – Real Exam Questions & Verified Answers (Updated Q&A)
View Document

HESI Health Assessment MENP Exam 2026 – Real Exam Questions & Verified Answers (Updated Q&A)

  • Kaponga

    Kaponga

  • exam

Download the HESI Health Assessment MENP 2026 real exam questions and correct answers. Updated study pack for accelerate...

10 USD

0

0

Actual HESI Health Assessment Exam | Latest Release | 2025/2026
View Document

Actual HESI Health Assessment Exam | Latest Release | 2025/2026

  • mentor2000

    mentor2000

  • hesi

Get the latest HESI Health Assessment Exam 2025/2026 with verified questions and answers. Perfect for MEPN, RN, and HESI...

15 USD

0

67

Test Bank for Organizational Behavior 17TH Edition (Global edition) Robbins & Judge
View Document

Test Bank for Organizational Behavior 17TH Edition (Global edition) Robbins & Judge

  • mentor2000

    mentor2000

  • test bank

Test Bank for Organizational Behavior 17TH Edition (Global edition) Robbins & Judge...

16 USD

0

0

HESI Pathophysiology Version 2 (V2) Exam Questions and Answers 2026
View Document

HESI Pathophysiology Version 2 (V2) Exam Questions and Answers 2026

  • mentor2000

    mentor2000

  • hesi

Get the latest HESI Pathophysiology Version 2 (V2) Exam Questions and Answers for 2026. Download verified, high-quality ...

15 USD

0

0

ATI RN Exit Test Bank – Comprehensive Review & Correct Answer Key (Nursing Management, Med-Surg, Psych, Maternal-Newborn)
View Document

ATI RN Exit Test Bank – Comprehensive Review & Correct Answer Key (Nursing Management, Med-Surg, Psych, Maternal-Newborn)

  • Kaponga

    Kaponga

  • exam elaborations

ATI RN Exit Test Bank – Comprehensive Review & Correct Answer Key (Nursing Management, Med-Surg, Psych, Maternal-Newbo...

10 USD

0

0

College Board Question Bank for AP Psychology Real Scoring Guide
View Document

College Board Question Bank for AP Psychology Real Scoring Guide

  • Angelicer

    Angelicer

  • test bank

Get this exam-ready AP Psychology question bank (2025-26 edition): MCQs, FRQs (AAQ & EBQ), full explanations, PDF digita...

15 USD

0

0

Test Bank for Human Development A Life-Span View, 9th Edition by Robert V. Kail; John C. Cavanaugh
View Document

Test Bank for Human Development A Life-Span View, 9th Edition by Robert V. Kail; John C. Cavanaugh

  • mentor2000

    mentor2000

  • test bank

Test Bank for Human Development A Life-Span View, 9th Edition by Robert V. Kail; John C. Cavanaugh...

15 USD

0

0

Test Bank For Growth and Development Across the Lifespan 3rd Edition By Gloria Leifer, Eve Fleck
View Document

Test Bank For Growth and Development Across the Lifespan 3rd Edition By Gloria Leifer, Eve Fleck

  • tutor_gesco

    tutor_gesco

  • test bank

Test Bank For Growth and Development Across the Lifespan 3rd Edition By Gloria Leifer, Eve Fleck...

15 USD

0

0

CON 3900V Exam Practice Questions Test Bank
View Document

CON 3900V Exam Practice Questions Test Bank

  • Angelicer

    Angelicer

  • questions & answers

CON 3900V Exam Practice Questions Test Bank...

6 USD

0

0

NURS 231 Portage Learning Pathophysiology Module 1 – Module 10 Test Bank and Final Exam
View Document

NURS 231 Portage Learning Pathophysiology Module 1 – Module 10 Test Bank and Final Exam

  • Pasing-Grades

    Pasing-Grades

  • questions & answers

NURS 231 Portage Learning Pathophysiology Module 1 – Module 10 Test Bank and Final Exam...

10 USD

0

0

Test Bank for Data Analytics for Accounting, 3rd Edition by Vernon Richardson | Verified Chapters 1–9, Complete Updated Version
View Document

Test Bank for Data Analytics for Accounting, 3rd Edition by Vernon Richardson | Verified Chapters 1–9, Complete Updated Version

  • Pasing-Grades

    Pasing-Grades

  • test bank

TEST BANK For Data Analytics for Accounting, 3rd Edition by Vernon Richardson, Verified Chapters 1 - 9, Complete Newest ...

15 USD

0

0

Test Bank for Intermediate Accounting, 11th Edition by David Spiceland, Mark Nelson, Wayne Thomas & Jennifer Thomas | All Chapters Solutions
View Document

Test Bank for Intermediate Accounting, 11th Edition by David Spiceland, Mark Nelson, Wayne Thomas & Jennifer Thomas | All Chapters Solutions

  • Pasing-Grades

    Pasing-Grades

  • test bank

Test Bank for Intermediate Accounting, 11th Edition by David Spiceland, Mark Nelson, Wayne Thomas & Jennifer...

15 USD

0

0

Test Bank for Introductory Clinical Pharmacology, 12th Edition by Susan M. Ford — All Chapters, Verified Questions & Answers
View Document

Test Bank for Introductory Clinical Pharmacology, 12th Edition by Susan M. Ford — All Chapters, Verified Questions & Answers

  • Pasing-Grades

    Pasing-Grades

  • test bank

Master nursing pharmacology with Ford’s Introductory Clinical Pharmacology 12th Edition Test Bank—verified NCLEX-sty...

15 USD

0

0

APEA PREDICTOR EXAM 2026 TEST BANK 300+ QUESTIONS AND CORRECT ANSWERS WITH RATIONALES ALREADY GRADED A+ BRAND NEW!!
View Document

APEA PREDICTOR EXAM 2026 TEST BANK 300+ QUESTIONS AND CORRECT ANSWERS WITH RATIONALES ALREADY GRADED A+ BRAND NEW!!

  • TutorOlivia

    TutorOlivia

  • test bank

APEA PREDICTOR EXAM 2026 TEST BANK 300+ QUESTIONS AND CORRECT ANSWERS WITH RATIONALES ALREADY GRADED A+ BRAND NEW!!...

16 USD

0

0

TEST BANK FOR ESSENTIALS FOR NURSING PRACTICE 8TH EDITION
View Document

TEST BANK FOR ESSENTIALS FOR NURSING PRACTICE 8TH EDITION

  • KIMANI

    KIMANI

  • test bank

TEST BANK FOR ESSENTIALS FOR NURSING PRACTICE 8TH EDITION 2025 update...

15 USD

0

0

Test Bank For Transcultural Caring Dynamics in Nursing and Health Care 2nd Edition by Marilyn A. Ray
View Document

Test Bank For Transcultural Caring Dynamics in Nursing and Health Care 2nd Edition by Marilyn A. Ray

  • tutor_gesco

    tutor_gesco

  • test bank

Test Bank For Transcultural Caring Dynamics in Nursing and Health Care 2nd Edition by Marilyn A. Ray...

15 USD

0

0

Test Bank For Therapeutic Exercise Foundations and Techniques 7th Edition by Carolyn Kisner
View Document

Test Bank For Therapeutic Exercise Foundations and Techniques 7th Edition by Carolyn Kisner

  • tutor_gesco

    tutor_gesco

  • test bank

Test Bank For Therapeutic Exercise Foundations and Techniques 7th Edition by Carolyn Kisner...

15 USD

0

0

Test Bank For The New Leadership Challenge Creating the Future of Nursing 4th Edition by Sheila C. Grossman
View Document

Test Bank For The New Leadership Challenge Creating the Future of Nursing 4th Edition by Sheila C. Grossman

  • tutor_gesco

    tutor_gesco

  • test bank

Test Bank For The New Leadership Challenge Creating the Future of Nursing 4th Edition by Sheila C. Grossman...

15 USD

0

0

Test Bank For The Intentional Relationship Occupational Therapy and Use of Self 2nd Edition by Renee R. Taylor
View Document

Test Bank For The Intentional Relationship Occupational Therapy and Use of Self 2nd Edition by Renee R. Taylor

  • tutor_gesco

    tutor_gesco

  • test bank

Test Bank For The Intentional Relationship Occupational Therapy and Use of Self 2nd Edition by Renee R. Taylor...

15 USD

0

0

Test Bank For Successful Nurse Communication Revised Reprint Safe Care Healthy Workplaces & Rewarding Careers by Beth Boynton
View Document

Test Bank For Successful Nurse Communication Revised Reprint Safe Care Healthy Workplaces & Rewarding Careers by Beth Boynton

  • tutor_gesco

    tutor_gesco

  • test bank

Test Bank For Successful Nurse Communication Revised Reprint Safe Care Healthy Workplaces & Rewarding Careers by Beth Bo...

15 USD

0

0

Test Bank For Sports Nutrition for Health Professionals 1st Edition by Natalie Digate
View Document

Test Bank For Sports Nutrition for Health Professionals 1st Edition by Natalie Digate

  • tutor_gesco

    tutor_gesco

  • test bank

Test Bank For Sports Nutrition for Health Professionals 1st Edition by Natalie Digate...

15 USD

0

0

Test Bank for Research Methods for Business Students 9th edition by Mark Saunders, Adrian Thornhill, Philip Lewis
View Document

Test Bank for Research Methods for Business Students 9th edition by Mark Saunders, Adrian Thornhill, Philip Lewis

  • tutor_gesco

    tutor_gesco

  • test bank

Test Bank for Research Methods for Business Students 9th edition by Mark Saunders, Adrian Thornhill, Philip Lewis...

15 USD

0

0

Test Bank For Reading Understanding and Applying Nursing Research 5th Edition by James A. Fain
View Document

Test Bank For Reading Understanding and Applying Nursing Research 5th Edition by James A. Fain

  • tutor_gesco

    tutor_gesco

  • test bank

Test Bank For Reading Understanding and Applying Nursing Research 5th Edition by James A. Fain...

15 USD

0

0

Test Bank for Maternity Newborn And Women’s Health Nursing A Case-Based Approach 1st Edition O’Meara
View Document

Test Bank for Maternity Newborn And Women’s Health Nursing A Case-Based Approach 1st Edition O’Meara

  • tutor_gesco

    tutor_gesco

  • test bank

Test Bank for Maternity Newborn And Women’s Health Nursing A Case-Based Approach 1st Edition O’Meara...

15 USD

0

0

Test Bank For Mader's Understanding Human Anatomy & Physiology, 10th Edition by Susannah Nelson Longenbaker
View Document

Test Bank For Mader's Understanding Human Anatomy & Physiology, 10th Edition by Susannah Nelson Longenbaker

  • tutor_gesco

    tutor_gesco

  • test bank

Test Bank For Mader's Understanding Human Anatomy & Physiology, 10th Edition by Susannah Nelson Longenbaker...

15 USD

0

0

Test Bank For Communication for Nurses How to Prevent Harmful Events and Promote Patient Safety 1st Edition
View Document

Test Bank For Communication for Nurses How to Prevent Harmful Events and Promote Patient Safety 1st Edition

  • tutor_gesco

    tutor_gesco

  • test bank

Test Bank For Communication for Nurses How to Prevent Harmful Events and Promote Patient Safety 1st Edition...

15 USD

0

0

Test Bank For Calculating Drug Dosages A Patient Safe Approach to Nursing and Math | 2nd Edition Sandra Luz
View Document

Test Bank For Calculating Drug Dosages A Patient Safe Approach to Nursing and Math | 2nd Edition Sandra Luz

  • tutor_gesco

    tutor_gesco

  • test bank

Test Bank For Calculating Drug Dosages A Patient Safe Approach to Nursing and Math | 2nd Edition Sandra Luz...

15 USD

0

0

Test Bank For Assessment of the School Age Child and Adolescent Margaret R Colyar | All Chapters
View Document

Test Bank For Assessment of the School Age Child and Adolescent Margaret R Colyar | All Chapters

  • tutor_gesco

    tutor_gesco

  • test bank

Test Bank For Assessment of the School Age Child and Adolescent Margaret R Colyar...

15 USD

0

0

Test Bank for Anatomy and Physiology, 1st Edition Elizabeth Co, Hilary Engebretson | All Chapters
View Document

Test Bank for Anatomy and Physiology, 1st Edition Elizabeth Co, Hilary Engebretson | All Chapters

  • tutor_gesco

    tutor_gesco

  • test bank

Test Bank for Anatomy and Physiology, 1st Edition Elizabeth Co, Hilary Engebretson...

15 USD

0

0

Test Bank For Anatomy and Physiology in a Flash Book and Flash Cards An Interactive Flash Card Approach Joy Hurst All Chapters
View Document

Test Bank For Anatomy and Physiology in a Flash Book and Flash Cards An Interactive Flash Card Approach Joy Hurst All Chapters

  • tutor_gesco

    tutor_gesco

  • test bank

Test Bank For Anatomy and Physiology in a Flash Book and Flash Cards An Interactive Flash Card Approach Joy Hurst All Ch...

15 USD

0

0

Test Bank For Advancing Your Career Concepts in Professional Nursing 6th Edition Rose Kearney Nunnery
View Document

Test Bank For Advancing Your Career Concepts in Professional Nursing 6th Edition Rose Kearney Nunnery

  • tutor_gesco

    tutor_gesco

  • test bank

Test Bank For Advancing Your Career Concepts in Professional Nursing 6th Edition Rose Kearney Nunnery...

15 USD

0

0

Test Bank for Research Methods for Business Students 4th edition by Mark Saunders, Adrian Thornhill, Philip Lewis
View Document

Test Bank for Research Methods for Business Students 4th edition by Mark Saunders, Adrian Thornhill, Philip Lewis

  • Angelicer

    Angelicer

  • test bank

Test Bank for Research Methods for Business Students 4th edition by Mark Saunders, Adrian Thornhill, Philip Lewis...

18 USD

0

0

Test bank for ECGs Made Easy 7th Edition by. Barbara J Aehlert All Chapters
View Document

Test bank for ECGs Made Easy 7th Edition by. Barbara J Aehlert All Chapters

  • wangeci

    wangeci

  • test bank

Test bank for ECGs Made Easy 7th Edition by. Barbara J Aehlert All Chapters...

15 USD

0

0

Test Bank for Tappero & Honeyfield’s Physical Assessment of the Newborn 7th Edition Witt, Wallman All Chapters (1–16)
View Document

Test Bank for Tappero & Honeyfield’s Physical Assessment of the Newborn 7th Edition Witt, Wallman All Chapters (1–16)

  • wangeci

    wangeci

  • test bank

Test Bank for Tappero & Honeyfield’s Physical Assessment of the Newborn 7th Edition Witt, Wallman All Chapters | Insta...

15 USD

0

0

Test Bank For Statistics Informed Decisions Using Data, Global Edition, 7th Edition By Michael Sullivan | All Chapters
View Document

Test Bank For Statistics Informed Decisions Using Data, Global Edition, 7th Edition By Michael Sullivan | All Chapters

  • wangeci

    wangeci

  • test bank

Test Bank For Statistics Informed Decisions Using Data, Global Edition, 7th Edition By Michael Sullivan...

15 USD

0

0

Test Bank For Medical Terminology Get Connected!, 4th Edition By Suzanne S Frucht | All Chapters
View Document

Test Bank For Medical Terminology Get Connected!, 4th Edition By Suzanne S Frucht | All Chapters

  • wangeci

    wangeci

  • test bank

Test Bank For Medical Terminology Get Connected!, 4th Edition By Suzanne S Frucht...

15 USD

0

6

Test Bank for How Children Develop 7th Edition By Robert S. Siegler
View Document

Test Bank for How Children Develop 7th Edition By Robert S. Siegler

  • wangeci

    wangeci

  • test bank

Download PDF Test Bank for How Children Develop 7th Edition By Robert S. Siegler, Jenny Saffran, Nancy Eisenberg, Elizab...

15 USD

0

0

Test Bank for Exceptional Children, An Introduction to Special Education, 12th edition
View Document

Test Bank for Exceptional Children, An Introduction to Special Education, 12th edition

  • wangeci

    wangeci

  • test bank

Test Bank for Exceptional Children, An Introduction to Special Education, 12th edition William L. Heward, Sheila R. Albe...

15 USD

0

0

Solutions Manual For South-Western Federal Taxation 2023 Essentials of Taxation Individuals and Business Entities 26th Edition By Nellen, Cuccia, Persellin, Young
View Document

Solutions Manual For South-Western Federal Taxation 2023 Essentials of Taxation Individuals and Business Entities 26th Edition By Nellen, Cuccia, Persellin, Young

  • wangeci

    wangeci

  • test bank

Solutions Manual For South-Western Federal Taxation 2023 Essentials of Taxation Individuals and Business Entities 26th E...

15 USD

0

0

Test Bank for ECGs Made Easy, 7th Edition Barbara J Aehlert All Chapters 1-10 Latest Verified Answers
View Document

Test Bank for ECGs Made Easy, 7th Edition Barbara J Aehlert All Chapters 1-10 Latest Verified Answers

  • mentor2000

    mentor2000

  • test bank

Master ECG interpretation with the ECGs Made Easy 7th Edition Test Bank—chapters 1–10, verified questions, answers, ...

15 USD

0

0

FULL TEST BANK CALCULATION OF DRUG DOSAGES I2TH EDITION PRINTED PDF ] ORIGINAL DIRECTLY FROM THE PUBLISHER [ 100% VERIFIED ANSWERS ] DOWNLOAD IMMEDIATELY AFTER THE ORDER
View Document

FULL TEST BANK CALCULATION OF DRUG DOSAGES I2TH EDITION PRINTED PDF ] ORIGINAL DIRECTLY FROM THE PUBLISHER [ 100% VERIFIED ANSWERS ] DOWNLOAD IMMEDIATELY AFTER THE ORDER

  • Pdfseller

    Pdfseller

  • test bank

FULL TEST BANK CALCULATION OF DRUG DOSAGES I2TH EDITION PRINTED PDF ] ORIGINAL DIRECTLY FROM THE PUBLISHER [ 100% VERIFI...

Free

0

0

Test Bank For Gould's Pathophysiology for the Health Professions 7th Edition By Karin C. VanMeter, Robert J. Hubert |All Chapters, Complete Q & A, Latest|
View Document

Test Bank For Gould's Pathophysiology for the Health Professions 7th Edition By Karin C. VanMeter, Robert J. Hubert |All Chapters, Complete Q & A, Latest|

  • Pdfseller

    Pdfseller

  • test bank

Gould's Pathophysiology for the Health Professions 7th Edition By Karin C. VanMeter, Robert J. Hubert |All Chapters, Com...

16 USD

0

0

TEST BANK For Strategic Management, 6th Edition 2024 By Rothaermel Frank, Verified Chapters 1 - 12, Complete Newest Version-All Chapters
View Document

TEST BANK For Strategic Management, 6th Edition 2024 By Rothaermel Frank, Verified Chapters 1 - 12, Complete Newest Version-All Chapters

  • Angelicer

    Angelicer

  • test bank

TEST BANK For Strategic Management, 6th Edition 2024 By Rothaermel Frank, Verified Chapters 1 - 12, Complete Newest Vers...

15 USD

0

0

Test Bank For Nester's Microbiology A Human Perspective 10th Edition by Denise Anderson, Sarah Salm, Mira Beins, Eugene Nester , All Chapters 1-30, Complete Guide A+-All Chapters
View Document

Test Bank For Nester's Microbiology A Human Perspective 10th Edition by Denise Anderson, Sarah Salm, Mira Beins, Eugene Nester , All Chapters 1-30, Complete Guide A+-All Chapters

  • Angelicer

    Angelicer

  • test bank

Test Bank For Nester's Microbiology A Human Perspective 10th Edition by Denise Anderson, Sarah Salm, Mira Beins, Eugene ...

15 USD

0

0

Test Bank for Microbiology Fundamentals A Clinical Approach 4th Edition Complete Chapters with Verified Answers 2026 PDF-All Chapters
View Document

Test Bank for Microbiology Fundamentals A Clinical Approach 4th Edition Complete Chapters with Verified Answers 2026 PDF-All Chapters

  • Angelicer

    Angelicer

  • test bank

Test Bank for Microbiology Fundamentals A Clinical Approach 4th Edition Complete Chapters with Verified Answers 2025 PDF...

15 USD

0

0

Test Bank For Fundamentals of Nursing - The Art and Science of Person-Centered Care 10th Edition by Carol-All Chapters
View Document

Test Bank For Fundamentals of Nursing - The Art and Science of Person-Centered Care 10th Edition by Carol-All Chapters

  • Angelicer

    Angelicer

  • test bank

Test Bank For Fundamentals of Nursing - The Art and Science of Person-Centered Care 10th Edition by Carol-All Chapters...

15 USD

0

0

Test Bank for Fundamental Nursing Skills and Concepts 13th Edition by Loretta A. Donnelly-Moreno  All Chapters
View Document

Test Bank for Fundamental Nursing Skills and Concepts 13th Edition by Loretta A. Donnelly-Moreno All Chapters

  • Angelicer

    Angelicer

  • test bank

Test Bank for Fundamental Nursing Skills and Concepts 13th Edition by Loretta A. Donnelly-Moreno All Chapters...

15 USD

0

0

Test Bank For Concepts of Biology 1st Edition by Samantha Fowler, Rebecca Roush, James Wise 9781938168116 Chapter 1-21 Complete Guide-All Chapters
View Document

Test Bank For Concepts of Biology 1st Edition by Samantha Fowler, Rebecca Roush, James Wise 9781938168116 Chapter 1-21 Complete Guide-All Chapters

  • Angelicer

    Angelicer

  • test bank

Test Bank For Concepts of Biology 1st Edition by Samantha Fowler, Rebecca Roush, James Wise 9781938168116 Chapter 1-21 C...

15 USD

0

0

Test Bank for Biochemistry 7th Edition by Garrett and Grisham verified chapters 1 - 32 questions with complete solutions.-All Chapters
View Document

Test Bank for Biochemistry 7th Edition by Garrett and Grisham verified chapters 1 - 32 questions with complete solutions.-All Chapters

  • Angelicer

    Angelicer

  • test bank

Test Bank for Biochemistry 7th Edition by Garrett and Grisham verified chapters 1 - 32 questions with complete solutions...

15 USD

0

0

Test Bank For A People and a Nation, A History of the United States - 11th - 2019 All Chapters-All Chapters
View Document

Test Bank For A People and a Nation, A History of the United States - 11th - 2019 All Chapters-All Chapters

  • Angelicer

    Angelicer

  • test bank

Test Bank For A People and a Nation, A History of the United States - 11th - 2019 All Chapters-All Chapters...

15 USD

0

0

ISDS 2001 CH. 2 TEST BANK QUESTIONS AND CORRECT ANSWERS 100% VERIFIED!!
View Document

ISDS 2001 CH. 2 TEST BANK QUESTIONS AND CORRECT ANSWERS 100% VERIFIED!!

  • brook

    brook

  • exam

ISDS 2001 CH. 2 TEST BANK QUESTIONS AND CORRECT ANSWERS 100% VERIFIED!!...

20 USD

0

0

Test Bank for Anthropology of Religion, Magic, and Witchcraft, 4th Edition Stein | Complete Chapters with Verified Questions & Answer
View Document

Test Bank for Anthropology of Religion, Magic, and Witchcraft, 4th Edition Stein | Complete Chapters with Verified Questions & Answer

  • claratutor1

    claratutor1

  • test bank

Master anthropology with the Religion, Magic, and Witchcraft 4th Edition Test Bank—complete chapters, verified questio...

15 USD

0

0

Test Bank: The Anthropology of Religion, Magic, and Witchcraft: 5th Edition by Rebecca L. Stein, Philip L. Stein, Benjamin R. Kracht, and Marjorie M. Snipes
View Document

Test Bank: The Anthropology of Religion, Magic, and Witchcraft: 5th Edition by Rebecca L. Stein, Philip L. Stein, Benjamin R. Kracht, and Marjorie M. Snipes

  • Angelicer

    Angelicer

  • test bank

Test Bank: The Anthropology of Religion, Magic, and Witchcraft: 5th Edition by Rebecca L. Stein, Philip L. Stein, Benjam...

15 USD

0

0

TEST BANK | Human Anatomy, 6th Edition by McKinley, Brien | Chapters 1–28 (Complete Collection)
View Document

TEST BANK | Human Anatomy, 6th Edition by McKinley, Brien | Chapters 1–28 (Complete Collection)

  • LecHaven

    LecHaven

  • test bank

Ace your Anatomy exams with this comprehensive TEST BANK for Human Anatomy, 6th Edition by McKinley, O’Loughlin, and P...

11 USD

0

0

Comprehensive Final Examination — Introduction to Maternity & Pediatric Nursing (Chapters 1–34, 9th Ed.)
View Document

Comprehensive Final Examination — Introduction to Maternity & Pediatric Nursing (Chapters 1–34, 9th Ed.)

  • LecHaven

    LecHaven

  • test bank

This meticulously crafted exam assesses mastery across the full spectrum of maternal, newborn, and pediatric nursing as ...

11 USD

0

0

McCance & Huether’s Pathophysiology 9th Edition (Chapters 1–49) Complete Study Guide, Test Bank & Exam Prep
View Document

McCance & Huether’s Pathophysiology 9th Edition (Chapters 1–49) Complete Study Guide, Test Bank & Exam Prep

  • LecHaven

    LecHaven

  • test bank

Master every concept from McCance & Huether’s Pathophysiology, 9th Edition with this complete Study Guide + Test Bank ...

11 USD

0

0

TEST BANK   Pharmacotherapy Principles  \& Practice  4thEdition  by Burn,Wells Chapter 1 to 67
View Document

TEST BANK Pharmacotherapy Principles \& Practice 4thEdition by Burn,Wells Chapter 1 to 67

  • LecHaven

    LecHaven

  • test bank

TEST BANK Pharmacotherapy Principles \& Practice 4thEdition by Burn,Wells Chapter 1 to 67 TEST BANK Pharm...

11 USD

0

0

Physics 12th Edition by Cutnell (Chapters 1–32) | Complete Study Guide, Test Bank & Exam Prep
View Document

Physics 12th Edition by Cutnell (Chapters 1–32) | Complete Study Guide, Test Bank & Exam Prep

  • LecHaven

    LecHaven

  • test bank

Master college-level physics with this comprehensive study guide and test bank covering all 32 chapters of Physics, 12th...

11 USD

0

1

Quick and Easy Medical Terminology 9th Edition by Leonard – Complete Chapter 1–15 Study Guide, Test Bank & Exam Prep
View Document

Quick and Easy Medical Terminology 9th Edition by Leonard – Complete Chapter 1–15 Study Guide, Test Bank & Exam Prep

  • LecHaven

    LecHaven

  • test bank

Master medical vocabulary effortlessly with this Quick and Easy Medical Terminology 9th Edition (Leonard) complete resou...

12 USD

0

0

Theory and Practice of Counseling and Psychotherapy (10th Edition by Gerald Corey) – Complete Chapter Summaries (Ch. 1–16) | Study Guide & Exam Prep
View Document

Theory and Practice of Counseling and Psychotherapy (10th Edition by Gerald Corey) – Complete Chapter Summaries (Ch. 1–16) | Study Guide & Exam Prep

  • LecHaven

    LecHaven

  • test bank

Ace your counseling and psychology exams with this comprehensive study guide based on Theory and Practice of Counseling ...

11 USD

0

0

Test Bank for The Mind and Heart of the Negotiator, 7th Edition, Leigh L. Thompson
View Document

Test Bank for The Mind and Heart of the Negotiator, 7th Edition, Leigh L. Thompson

  • claratutor1

    claratutor1

  • test bank

Test Bank for The Mind and Heart of the Negotiator, 7th Edition, Leigh L. Thompson...

15 USD

0

0

Test Bank for The Essentials of Family Therapy, 7th Edition, Michael P. Nichols, Sean D. Davis
View Document

Test Bank for The Essentials of Family Therapy, 7th Edition, Michael P. Nichols, Sean D. Davis

  • claratutor1

    claratutor1

  • test bank

Test Bank for The Essentials of Family Therapy, 7th Edition, Michael P. Nichols, Sean D. Davis...

15 USD

0

0

Test Bank for Sociology Now, 3rd Edition, Michael S. Kimmel, Amy Aronson, Tristan Bridges
View Document

Test Bank for Sociology Now, 3rd Edition, Michael S. Kimmel, Amy Aronson, Tristan Bridges

  • claratutor1

    claratutor1

  • test bank

Test Bank for Sociology Now, 3rd Edition, Michael S. Kimmel, Amy Aronson, Tristan Bridges...

15 USD

0

0

Test Bank for Social Psychology, 14th Edition, Nyla R. Branscombe, Robert A. Baron
View Document

Test Bank for Social Psychology, 14th Edition, Nyla R. Branscombe, Robert A. Baron

  • claratutor1

    claratutor1

  • test bank

Test Bank for Social Psychology, 14th Edition, Nyla R. Branscombe, Robert A. Baron...

15 USD

0

0

Test Bank for Social Problems, 16th Edition, William Kornblum, Karen T. Seccombe
View Document

Test Bank for Social Problems, 16th Edition, William Kornblum, Karen T. Seccombe

  • claratutor1

    claratutor1

  • test bank

Test Bank for Social Problems, 16th Edition, William Kornblum, Karen T. Seccombe...

15 USD

0

0

Test Bank for Social Problems in a Diverse Society, 7th Edition, Diana Kendall
View Document

Test Bank for Social Problems in a Diverse Society, 7th Edition, Diana Kendall

  • claratutor1

    claratutor1

  • test bank

Test Bank for Social Problems in a Diverse Society, 7th Edition, Diana Kendall...

15 USD

0

0

Test Bank for Infants and Children, Prenatal through Middle Childhood, 8th Edition, Laura E. Berk, Adena B. Meyers
View Document

Test Bank for Infants and Children, Prenatal through Middle Childhood, 8th Edition, Laura E. Berk, Adena B. Meyers

  • claratutor1

    claratutor1

  • test bank

Test Bank for Infants and Children, Prenatal through Middle Childhood, 8th Edition, Laura E. Berk, Adena B. Meyers...

15 USD

0

0

Test Bank for Human Sexuality, 5th Edition, Roger R. Hock
View Document

Test Bank for Human Sexuality, 5th Edition, Roger R. Hock

  • claratutor1

    claratutor1

  • test bank

Test Bank for Human Sexuality, 5th Edition, Roger R. Hock...

15 USD

0

0

Test Bank for Human Sexuality Today, 10th Edition, Pamela Regan, Bruce M. King
View Document

Test Bank for Human Sexuality Today, 10th Edition, Pamela Regan, Bruce M. King

  • claratutor1

    claratutor1

  • test bank

Test Bank for Human Sexuality Today, 10th Edition, Pamela Regan, Bruce M. King...

15 USD

0

0

Test Bank for Human Sexuality in a World of Diversity, 7th Canadian Edition, Spencer A. Rathus, Jeffrey S. Nevid, Lois Fichner-Rathus, Lisa Dawn Hamilton, Alex McKay, Robin Milhausen
View Document

Test Bank for Human Sexuality in a World of Diversity, 7th Canadian Edition, Spencer A. Rathus, Jeffrey S. Nevid, Lois Fichner-Rathus, Lisa Dawn Hamilton, Alex McKay, Robin Milhausen

  • claratutor1

    claratutor1

  • test bank

Test Bank for Human Sexuality in a World of Diversity, 7th Canadian Edition, Spencer A. Rathus, Jeffrey S. Nevid, Lois F...

15 USD

0

0

Test Bank for Human Sexuality in a Changing World, 11th Edition, Spencer A. Rathus
View Document

Test Bank for Human Sexuality in a Changing World, 11th Edition, Spencer A. Rathus

  • claratutor1

    claratutor1

  • test bank

Test Bank for Human Sexuality in a Changing World, 11th Edition, Spencer A. Rathus, Jeffrey S. Nevid, Taylor Rathus...

15 USD

0

0

Test Bank for Human Learning, 8th Edition, Jeanne Ellis Ormrod
View Document

Test Bank for Human Learning, 8th Edition, Jeanne Ellis Ormrod

  • claratutor1

    claratutor1

  • test bank

Test Bank for Human Learning, 8th Edition, Jeanne Ellis Ormrod...

15 USD

0

0

Test Bank for Biological Science, 8th Edition, Scott Freeman
View Document

Test Bank for Biological Science, 8th Edition, Scott Freeman

  • claratutor1

    claratutor1

  • test bank

Test Bank for Biological Science, 8th Edition, Scott Freeman, Kim Quillin, Lizabeth Allison, Michael Black, Jeff Carmich...

15 USD

0

0

Test Bank for Olds’ Maternal-Newborn Nursing & Women’s Health Across the Lifespan, 11th Edition by Michele Davidson: Complete Chapters 1–36 | Verified NCLEX-Style Questions & Answers (Updated 2026)
View Document

Test Bank for Olds’ Maternal-Newborn Nursing & Women’s Health Across the Lifespan, 11th Edition by Michele Davidson: Complete Chapters 1–36 | Verified NCLEX-Style Questions & Answers (Updated 2026)

  • mentor2000

    mentor2000

  • test bank

Prepare for exams with Olds’ Maternal-Newborn Nursing 11th Edition Test Bank. All 36 chapters, verified NCLEX-style qu...

15 USD

0

0

Pathophysiology: A Practical Approach (5th Edition, Lachel Story) – Complete Test Bank | All Chapters | A+ Guide
View Document

Pathophysiology: A Practical Approach (5th Edition, Lachel Story) – Complete Test Bank | All Chapters | A+ Guide

  • ALLSTUDYGUIDE

    ALLSTUDYGUIDE

  • test bank

Pathophysiology: A Practical Approach (5th Edition, Lachel Story) – Complete Test Bank | All Chapters | A+ Guide...

19 USD

0

0

4th Edition: Myers’ Psychology for the AP® Course TEST BANK | All Chapters
View Document

4th Edition: Myers’ Psychology for the AP® Course TEST BANK | All Chapters

  • mentor2000

    mentor2000

  • test bank

Test Bank for Myers’ Psychology for the AP® Course, 4th Edition by David G. Myers and C. Nathan DeWall...

15 USD

0

54

Test Bank- Neonatal and Pediatric Respiratory Care 6th Edition (Walsh,2024) ,Latest Edition|| All Chapters
View Document

Test Bank- Neonatal and Pediatric Respiratory Care 6th Edition (Walsh,2024) ,Latest Edition|| All Chapters

  • ALLSTUDYGUIDE

    ALLSTUDYGUIDE

  • test bank

Test Bank- Neonatal and Pediatric Respiratory Care 6th Edition (Walsh,2024) ,Latest Edition|| All Chapters...

18 USD

0

0

Test Bank - Contemporary Nursing: Issues, Trends, & Management 10th Edition (Author: by Barbara Cherry,2024) Latest Edition || All Chapters.
View Document

Test Bank - Contemporary Nursing: Issues, Trends, & Management 10th Edition (Author: by Barbara Cherry,2024) Latest Edition || All Chapters.

  • ALLSTUDYGUIDE

    ALLSTUDYGUIDE

  • test bank

Test Bank - Contemporary Nursing: Issues, Trends, & Management 10th Edition (Author: by Barbara Cherry,2024) Latest Edit...

30 USD

0

0

TEST BANK FOR NURSING RESEARCH METHODS AND CRITICAL APPRAISAL FOR EVIDENCE-BASED PRACTICE 9TH EDITION BY GERI LOBIONDO- WOOD, AND JUDITH HABER CHAPTER 1-21| COMPLETE GUIDE (A+).
View Document

TEST BANK FOR NURSING RESEARCH METHODS AND CRITICAL APPRAISAL FOR EVIDENCE-BASED PRACTICE 9TH EDITION BY GERI LOBIONDO- WOOD, AND JUDITH HABER CHAPTER 1-21| COMPLETE GUIDE (A+).

  • ALLSTUDYGUIDE

    ALLSTUDYGUIDE

  • test bank

TEST BANK FOR NURSING RESEARCH METHODS AND CRITICAL APPRAISAL FOR EVIDENCE-BASED PRACTICE 9TH EDITION BY GERI LOBIONDO- ...

30 USD

0

0

Test Bank for Physical Examination and Health Assessment 9th Edition by Carolyn Jarvis, Ann.
View Document

Test Bank for Physical Examination and Health Assessment 9th Edition by Carolyn Jarvis, Ann.

  • ALLSTUDYGUIDE

    ALLSTUDYGUIDE

  • test bank

Test Bank for Physical Examination and Health Assessment 9th Edition by Carolyn Jarvis, Ann....

30 USD

0

0

Test Bank for Anatomy & Physiology: The Unity of Form and Function 10th Edition by Saladin | Verified Exam Questions and Answers 100% Correct.
View Document

Test Bank for Anatomy & Physiology: The Unity of Form and Function 10th Edition by Saladin | Verified Exam Questions and Answers 100% Correct.

  • ALLSTUDYGUIDE

    ALLSTUDYGUIDE

  • test bank

Test Bank for Anatomy & Physiology: The Unity of Form and Function 10th Edition by Saladin | Verified Exam Questions and...

30 USD

0

0

Business Analytics: Data Analysis & Decision Making (7th Edition by Albright) – Complete Study Guide & Test Bank (Chapters 1–19)
View Document

Business Analytics: Data Analysis & Decision Making (7th Edition by Albright) – Complete Study Guide & Test Bank (Chapters 1–19)

  • LecHaven

    LecHaven

  • test bank

Ace your Business Analytics course with this comprehensive study guide covering Chapters 1–19 from Data Analysis & Dec...

11 USD

0

0

Advanced Physiology and Pathophysiology Essentials for Clinical Practice (2nd Edition, Tkacs) – Complete Study Guide (Chapters 1–17)
View Document

Advanced Physiology and Pathophysiology Essentials for Clinical Practice (2nd Edition, Tkacs) – Complete Study Guide (Chapters 1–17)

  • LecHaven

    LecHaven

  • test bank

Master advanced physiology and pathophysiology with this comprehensive study guide covering Chapters 1–17 from Advance...

11 USD

0

0

Essentials of Oral Histology and Embryology 6th Edition by Chiego – Chapter 1 to 10 | Complete Study Guide & Test Bank
View Document

Essentials of Oral Histology and Embryology 6th Edition by Chiego – Chapter 1 to 10 | Complete Study Guide & Test Bank

  • LecHaven

    LecHaven

  • test bank

Master the fundamentals of oral histology and embryology with this comprehensive guide covering Chapters 1–10 from Ess...

11 USD

0

0

Lehne's Pharmacology for Nursing Care, 12th Edition by Rosenthal – Complete Study Guide & Test Bank (Chapters 1–113)
View Document

Lehne's Pharmacology for Nursing Care, 12th Edition by Rosenthal – Complete Study Guide & Test Bank (Chapters 1–113)

  • LecHaven

    LecHaven

  • test bank

Master your nursing pharmacology exams with this comprehensive study guide and test bank covering all 113 chapters from ...

11 USD

0

0

Managerial Accounting: Creating Value in a Dynamic Business Environment (13th Edition, Hilton) – Complete Study Guide & Exam Solutions (Ch. 1–17)
View Document

Managerial Accounting: Creating Value in a Dynamic Business Environment (13th Edition, Hilton) – Complete Study Guide & Exam Solutions (Ch. 1–17)

  • LecHaven

    LecHaven

  • test bank

Ace your Managerial Accounting exams with this comprehensive study guide covering Chapters 1 to 17 from Hilton’s Manag...

11 USD

0

0

Pharmacotherapy Principles and Practice 5th Edition (Chisholm-Burns) | Complete Study Guide & Test Bank (Chapters 1–102)
View Document

Pharmacotherapy Principles and Practice 5th Edition (Chisholm-Burns) | Complete Study Guide & Test Bank (Chapters 1–102)

  • LecHaven

    LecHaven

  • test bank

Master your pharmacotherapy exams with this comprehensive study guide and test bank covering all 102 chapters of Pharmac...

11 USD

0

0

Test Bank For LPN to RN Transitions 6th Edition by Lora Claywell all chapters included graded A+
View Document

Test Bank For LPN to RN Transitions 6th Edition by Lora Claywell all chapters included graded A+

  • ALLSTUDYGUIDE

    ALLSTUDYGUIDE

  • test bank

Test Bank For LPN to RN Transitions 6th Edition by Lora Claywell all chapters included graded A+...

30 USD

0

0

TEST BANK Exploring Anatomy & Physiology in the Laboratory 4/E Erin Amerman.
View Document

TEST BANK Exploring Anatomy & Physiology in the Laboratory 4/E Erin Amerman.

  • ALLSTUDYGUIDE

    ALLSTUDYGUIDE

  • test bank

TEST BANK Exploring Anatomy & Physiology in the Laboratory 4/E Erin Amerman....

30 USD

0

0

Test Bank for Financial Accounting with International Financial Reporting Standards (IFRS) 5th Edition By Jerry Weygandt, Paul Kimmel
View Document

Test Bank for Financial Accounting with International Financial Reporting Standards (IFRS) 5th Edition By Jerry Weygandt, Paul Kimmel

  • Angelicer

    Angelicer

  • exam

Test Bank for Financial Accounting with International Financial Reporting Standards (IFRS) 5th Edition By Jerry Weygandt...

15 USD

0

0

Test Bank  Abrams’ Clinical Drug Therapy Rationales for Nursing Practice 13th Edition (North American)  Geralyn Frandsen & Sandra Pennington
View Document

Test Bank Abrams’ Clinical Drug Therapy Rationales for Nursing Practice 13th Edition (North American) Geralyn Frandsen & Sandra Pennington

  • Angelicer

    Angelicer

  • exam

Test Bank Abrams’ Clinical Drug Therapy Rationales for Nursing Practice 13th Edition (North American) Geralyn Frands...

15 USD

0

0

Test Bank For Understanding Anatomy & Physiology : A Visual, Auditory, Interactive Approach 3rd Edition Gale Sloan Thompson
View Document

Test Bank For Understanding Anatomy & Physiology : A Visual, Auditory, Interactive Approach 3rd Edition Gale Sloan Thompson

  • ALLSTUDYGUIDE

    ALLSTUDYGUIDE

  • test bank

Test Bank For Understanding Anatomy & Physiology : A Visual, Auditory, Interactive Approach 3rd Edition Gale Sloan Tho...

30 USD

0

0

Test Bank Lewis Medical-Surgical Nursing: Assessment and Management of Clinical Problems 12th Edition By Harding & Kwong
View Document

Test Bank Lewis Medical-Surgical Nursing: Assessment and Management of Clinical Problems 12th Edition By Harding & Kwong

  • ALLSTUDYGUIDE

    ALLSTUDYGUIDE

  • test bank

Test Bank Lewis Medical-Surgical Nursing: Assessment and Management of Clinical Problems 12th Edition By Harding & Kwong...

30 USD

0

0

TEST BANK  Experience Sociology 5th Edition   By Croteau, Chapter 1 to 17 Covered
View Document

TEST BANK Experience Sociology 5th Edition By Croteau, Chapter 1 to 17 Covered

  • LecHaven

    LecHaven

  • test bank

Comprehensive Test Bank for Experience Sociology 5th Edition by David Croteau. Covers all 17 chapters, including multipl...

12 USD

0

0

TEST BANK  Environmental Science 16th Edition  by Enger, Chapter 1 to 20 Covered
View Document

TEST BANK Environmental Science 16th Edition by Enger, Chapter 1 to 20 Covered

  • LecHaven

    LecHaven

  • test bank

Comprehensive Test Bank for Environmental Science, 16th Edition by Eldon D. Enger. Covers Chapters 1–20 with verified ...

12 USD

0

0

TEST BANK  Economic Development 13th Edition   by Todaro, Chapter 1 to 15 Covered
View Document

TEST BANK Economic Development 13th Edition by Todaro, Chapter 1 to 15 Covered

  • LecHaven

    LecHaven

  • test bank

Complete Test Bank for Economic Development, 13th Edition by Michael Todaro, covering Chapters 1 through 15. Includes ve...

12 USD

0

0

TEST BANK  Death, Society and Human Experience  13th Edition by Kastenbaum & Moreman  Chapter 1 to 15 Covered
View Document

TEST BANK Death, Society and Human Experience 13th Edition by Kastenbaum & Moreman Chapter 1 to 15 Covered

  • LecHaven

    LecHaven

  • test bank

Comprehensive test bank for Death, Society and Human Experience (13th Edition) by Kastenbaum & Moreman. Includes all cha...

12 USD

0

0

TEST BANK  Animal Behavior 12th Edition   by Dustin Rubenstein, Chapter 1 to 14 Covered
View Document

TEST BANK Animal Behavior 12th Edition by Dustin Rubenstein, Chapter 1 to 14 Covered

  • LecHaven

    LecHaven

  • test bank

Comprehensive test bank for Animal Behavior, 12th Edition by Dustin Rubenstein, covering Chapters 1 through 14. Includes...

12 USD

0

0

TEST BANK  Anatomy and Physiology 11th Edition  by Patton, Chapter 1 to 48 Covered
View Document

TEST BANK Anatomy and Physiology 11th Edition by Patton, Chapter 1 to 48 Covered

  • LecHaven

    LecHaven

  • test bank

Complete Test Bank for Anatomy and Physiology 11th Edition by Patton, covering all chapters (1–48). Includes verified ...

12 USD

0

0

TEST BANK  An Invitation to Health 20th Edition   by Tunks, Chapter 1 to 20 Covered
View Document

TEST BANK An Invitation to Health 20th Edition by Tunks, Chapter 1 to 20 Covered

  • LecHaven

    LecHaven

  • test bank

Comprehensive TEST BANK for An Invitation to Health, 20th Edition by Tunks, covering Chapters 1 through 20. Includes ver...

12 USD

0

0

TEST BANK: Lehninger Principles of Biochemistry, 8th Edition (Nelson & Cox): FULL CHAPTERS 1–28
View Document

TEST BANK: Lehninger Principles of Biochemistry, 8th Edition (Nelson & Cox): FULL CHAPTERS 1–28

  • wangeci

    wangeci

  • solution manual

Test Bank for Lehninger Principles of Biochemistry, 8th Edition (Nelson & Cox) — Full Chapters 1–28 + Verified Answe...

15 USD

0

0

Test Bank for Yoder-Wise’s Leading & Managing in Canadian Nursing, 3rd Edition (Walton & Waddell) — All Chapters, Verified Questions & Rationales (2026 Update)
View Document

Test Bank for Yoder-Wise’s Leading & Managing in Canadian Nursing, 3rd Edition (Walton & Waddell) — All Chapters, Verified Questions & Rationales (2026 Update)

  • wangeci

    wangeci

  • solution manual

Test Bank for Yoder-Wise's Leading and Managing in Canadian Nursing, 3rd Edition by Nancy Walton and Janice Waddel...

15 USD

0

0

TEST BANK: Principles of Auditing & Other Assurance Services, 22nd Edition Whittington & Pany: ALL CHAPTERS
View Document

TEST BANK: Principles of Auditing & Other Assurance Services, 22nd Edition Whittington & Pany: ALL CHAPTERS

  • claratutor1

    claratutor1

  • test bank

Test Bank for Principles of Auditing & Other Assurance Services, 22nd Edition (Whittington & Pany) — All Chapters, Ver...

15 USD

0

0

TEST BANK: University Physics with Modern Physics, 13th Edition | ALL CHAPTERS
View Document

TEST BANK: University Physics with Modern Physics, 13th Edition | ALL CHAPTERS

  • claratutor1

    claratutor1

  • test bank

Test Bank for University Physics with Modern Physics, 13th Edition (Young & Freedman): All Chapters, Verified Questions ...

20 USD

0

0

TEST BANK INTRODUCTORY MATERNITY & PEDIATRIC NURSING NANCY HATFIELD & CYNTHIA KINCHELOE 5th Edition.
View Document

TEST BANK INTRODUCTORY MATERNITY & PEDIATRIC NURSING NANCY HATFIELD & CYNTHIA KINCHELOE 5th Edition.

  • ALLSTUDYGUIDE

    ALLSTUDYGUIDE

  • test bank

TEST BANK INTRODUCTORY MATERNITY & PEDIATRIC NURSING NANCY HATFIELD & CYNTHIA KINCHELOE 5th Edition....

17 USD

0

0

Test Bank for “Local Anesthesia for the Dental Hygienist, 3rd Edition” by Logothetis — All Chapters, Verified Questions & Rationales
View Document

Test Bank for “Local Anesthesia for the Dental Hygienist, 3rd Edition” by Logothetis — All Chapters, Verified Questions & Rationales

  • Angelicer

    Angelicer

  • solution manual

Test Bank for “Local Anesthesia for the Dental Hygienist, 3rd Edition” by Logothetis — All Chapters, Verified Ques...

15 USD

0

0

Test Bank Bates Guide To Physical Examination and History taking 14th Edition Bickley’s Latest Questions and Answers 2025/2026 Updated.
View Document

Test Bank Bates Guide To Physical Examination and History taking 14th Edition Bickley’s Latest Questions and Answers 2025/2026 Updated.

  • ALLSTUDYGUIDE

    ALLSTUDYGUIDE

  • test bank

Test Bank Bates Guide To Physical Examination and History taking 14th Edition Bickley’s Latest Questions and Answers 2...

15 USD

0

0

Test Bank for Taylor’s Clinical Nursing Skills, 6th Edition (Pamela B. Lynn) — All 18 Core Chapters | Verified Answers & Clinical Judgment Questions
View Document

Test Bank for Taylor’s Clinical Nursing Skills, 6th Edition (Pamela B. Lynn) — All 18 Core Chapters | Verified Answers & Clinical Judgment Questions

  • Pasing-Grades

    Pasing-Grades

  • exam elaborations

Test Bank for Taylor’s Clinical Nursing Skills 6e — all chapters, NCLEX-style questions, verified answers & rational...

15 USD

0

0

Test Bank - Timby's Fundamental Nursing Skills and Concepts 12th Edition ( Loretta A Donnelly-Moreno, 2024) All Chapters 1-38| Newest Edition
View Document

Test Bank - Timby's Fundamental Nursing Skills and Concepts 12th Edition ( Loretta A Donnelly-Moreno, 2024) All Chapters 1-38| Newest Edition

  • ALLSTUDYGUIDE

    ALLSTUDYGUIDE

  • test bank

Test Bank - Timby's Fundamental Nursing Skills and Concepts 12th Edition ( Loretta A Donnelly-Moreno, 2024) All Chapters...

23 USD

0

0

Introductory Clinical Pharmacology 12th Edition Test Bank by Susan Ford Chapters 1-54| Latest Practice Exam 100% Verified Answers
View Document

Introductory Clinical Pharmacology 12th Edition Test Bank by Susan Ford Chapters 1-54| Latest Practice Exam 100% Verified Answers

  • ALLSTUDYGUIDE

    ALLSTUDYGUIDE

  • test bank

Introductory Clinical Pharmacology 12th Edition Test Bank by Susan Ford Chapters 1-54| Latest Practice Exam 100% Verifi...

22 USD

0

0

Test Bank for Fundamentals of Nursing, The Art and Science of Person-Centered Care 10th Edition | Taylor, Lynn & Bartlett | All Chapters 1-47
View Document

Test Bank for Fundamentals of Nursing, The Art and Science of Person-Centered Care 10th Edition | Taylor, Lynn & Bartlett | All Chapters 1-47

  • mentor2000

    mentor2000

  • test bank

Test Bank for Fundamentals of Nursing, The Art and Science of Person-Centered Care 10th Edition by Carol R. Taylor, Pame...

15 USD

0

0

TEST BANK Primary Care The Art and Science of Advanced Practice Nursing – An Interprofessional Approach 6th Edition by Debera J. Dunphy| Complete Guide Chapter 1-82
View Document

TEST BANK Primary Care The Art and Science of Advanced Practice Nursing – An Interprofessional Approach 6th Edition by Debera J. Dunphy| Complete Guide Chapter 1-82

  • ALLSTUDYGUIDE

    ALLSTUDYGUIDE

  • test bank

TEST BANK Primary Care The Art and Science of Advanced Practice Nursing – An Interprofessional Approach 6th Edition by...

22 USD

0

0

TEST BANK for Fundamentals of Nursing 11TH Edition by Potter Perry PDF
View Document

TEST BANK for Fundamentals of Nursing 11TH Edition by Potter Perry PDF

  • ALLSTUDYGUIDE

    ALLSTUDYGUIDE

  • test bank

TEST BANK for Fundamentals of Nursing 11TH Edition by Potter Perry PDF...

23 USD

0

0

TEST BANK Varcarolis’ Essentials of Psychiatric Mental Health Nursing: A Communication Approach to Evidence-Based Care 5th Edition By Chyllia D Fosbre | Complete Guide chapter 1-28
View Document

TEST BANK Varcarolis’ Essentials of Psychiatric Mental Health Nursing: A Communication Approach to Evidence-Based Care 5th Edition By Chyllia D Fosbre | Complete Guide chapter 1-28

  • ALLSTUDYGUIDE

    ALLSTUDYGUIDE

  • test bank

TEST BANK Varcarolis’ Essentials of Psychiatric Mental Health Nursing: A Communication Approach to Evidence-Based Care...

22 USD

0

0

Test Bank Concepts for Nursing Practice (3RD Ed) by Jean Giddens 2025/2026 UPDATED.
View Document

Test Bank Concepts for Nursing Practice (3RD Ed) by Jean Giddens 2025/2026 UPDATED.

  • ALLSTUDYGUIDE

    ALLSTUDYGUIDE

  • test bank

Test Bank Concepts for Nursing Practice (3RD Ed) by Jean Giddens 2024/2025 UPDATED....

24 USD

0

0

HESI RN EXIT EXAM TEST BANK LATEST FINAL EXAM UPDATED FOR 2026  ACTUAL QUESTIONS WITH 100% CERTIFIED, ELABORATED & VERIFIED  SOLUTIONS TOP SCORE✓✓✓ ACE YOUR EXAMS
View Document

HESI RN EXIT EXAM TEST BANK LATEST FINAL EXAM UPDATED FOR 2026 ACTUAL QUESTIONS WITH 100% CERTIFIED, ELABORATED & VERIFIED SOLUTIONS TOP SCORE✓✓✓ ACE YOUR EXAMS

  • ALLGENIUS

    ALLGENIUS

  • hesi

HESI RN EXIT EXAM TEST BANK LATEST FINAL EXAM UPDATED FOR 2026 ACTUAL QUESTIONS WITH 100% CERTIFIED, ELABORATED & VERI...

25 USD

0

0

HESI PHARMACOLOGY TEST BANK LATEST FINAL EXAM  UPDATED FOR 2026-2026 ACTUAL QUESTIONS WITH 100%  CERTIFIED, ELABORATED & VERIFIED SOLUTIONS TOP  SCORE✓✓✓ ACE YOUR EXAMS
View Document

HESI PHARMACOLOGY TEST BANK LATEST FINAL EXAM UPDATED FOR 2026-2026 ACTUAL QUESTIONS WITH 100% CERTIFIED, ELABORATED & VERIFIED SOLUTIONS TOP SCORE✓✓✓ ACE YOUR EXAMS

  • ALLGENIUS

    ALLGENIUS

  • hesi

HESI PHARMACOLOGY TEST BANK LATEST FINAL EXAM UPDATED FOR 2025-2026 ACTUAL QUESTIONS WITH 100% CERTIFIED, ELABORATED...

19 USD

0

0

HESI OB PEDS TEST BANK LATEST FINAL EXAM UPDATED FOR   2026 ACTUAL QUESTIONS WITH 100% CERTIFIED,   ELABORATED & VERIFIED SOLUTIONS TOP SCORE✓✓✓ ACE YOUR  EXAMS
View Document

HESI OB PEDS TEST BANK LATEST FINAL EXAM UPDATED FOR 2026 ACTUAL QUESTIONS WITH 100% CERTIFIED, ELABORATED & VERIFIED SOLUTIONS TOP SCORE✓✓✓ ACE YOUR EXAMS

  • ALLGENIUS

    ALLGENIUS

  • hesi

HESI OB PEDS TEST BANK LATEST FINAL EXAM UPDATED FOR 2026 ACTUAL QUESTIONS WITH 100% CERTIFIED, ELABORATED & VERIF...

15 USD

0

0

ADULT HEALTH HESI TEST-BANK LATEST FINAL EXAM UPDATED FOR 2026  ACTUAL QUESTIONS WITH 100% CERTIFIED, ELABORATED & VERIFIED  SOLUTIONS TOP SCORE✓✓✓ ACE YOUR EXAMS
View Document

ADULT HEALTH HESI TEST-BANK LATEST FINAL EXAM UPDATED FOR 2026 ACTUAL QUESTIONS WITH 100% CERTIFIED, ELABORATED & VERIFIED SOLUTIONS TOP SCORE✓✓✓ ACE YOUR EXAMS

  • ALLGENIUS

    ALLGENIUS

  • hesi

ADULT HEALTH HESI TEST-BANK LATEST FINAL EXAM UPDATED FOR 2026 ACTUAL QUESTIONS WITH 100% CERTIFIED, ELABORATED & VERI...

20 USD

0

0

Testbank for Sole’s Introduction to Critical Care Nursing, 9th Edition by MaryBeth & Lauren
View Document

Testbank for Sole’s Introduction to Critical Care Nursing, 9th Edition by MaryBeth & Lauren

  • Testbank-Guru

    Testbank-Guru

  • test bank

This comprehensive test bank for Sole’s Introduction to Critical Care Nursing, 9th Edition by MaryBeth & Lauren covers...

18 USD

0

0

Testbank for McCance and Huether’s Pathophysiology: The Biological Basis for Diseases in Adults and Children, 9th Edition – All Chapters, Complete Guide 2024–2026
View Document

Testbank for McCance and Huether’s Pathophysiology: The Biological Basis for Diseases in Adults and Children, 9th Edition – All Chapters, Complete Guide 2024–2026

  • Testbank-Guru

    Testbank-Guru

  • test bank

This complete test bank covers all chapters of McCance and Huether’s Pathophysiology, 9th Edition, providing verified ...

18 USD

0

0

Abram’s Clinical Drug Therapy – Rationales for Nursing Practice, 13th Edition by Geralyn Frandsen, Test Bank Complete Guide 2024–2026, Chapters 1–61
View Document

Abram’s Clinical Drug Therapy – Rationales for Nursing Practice, 13th Edition by Geralyn Frandsen, Test Bank Complete Guide 2024–2026, Chapters 1–61

  • Testbank-Guru

    Testbank-Guru

  • test bank

This comprehensive 2024–2025 test bank for Abram’s Clinical Drug Therapy: Rationales for Nursing Practice, 13th Edit...

19 USD

0

0

Full Test Bank – Advanced Practice Nursing: Essentials for Role Development, 5th Edition Joel
View Document

Full Test Bank – Advanced Practice Nursing: Essentials for Role Development, 5th Edition Joel

  • Testbank-Guru

    Testbank-Guru

  • test bank

This comprehensive test bank for Advanced Practice Nursing: Essentials for Role Development, 5th Edition by Joel, covers...

18 USD

0

0

Anatomy & Physiology for Emergency Care, 3rd Edition – Bledsoe’s Test Bank Guide 2024–2026
View Document

Anatomy & Physiology for Emergency Care, 3rd Edition – Bledsoe’s Test Bank Guide 2024–2026

  • Testbank-Guru

    Testbank-Guru

  • test bank

This comprehensive test bank for Anatomy & Physiology for Emergency Care, 3rd Edition by Bledsoe, covers essential topic...

18 USD

0

0

Test Bank – Lehne’s Pharmacotherapeutics for Advanced Practice Nursing Attendants and Physician Assistants, 3rd Edition Rosenthal Guide 2024–2026
View Document

Test Bank – Lehne’s Pharmacotherapeutics for Advanced Practice Nursing Attendants and Physician Assistants, 3rd Edition Rosenthal Guide 2024–2026

  • Testbank-Guru

    Testbank-Guru

  • test bank

This comprehensive test bank accompanies Lehne’s Pharmacotherapeutics for Advanced Practice Nursing Attendants and Phy...

18 USD

0

0

Essentials of Maternity, Newborn, and Women’s Health Nursing, 5th Edition Ricci – Test Bank/Complete Guide 2024–2026
View Document

Essentials of Maternity, Newborn, and Women’s Health Nursing, 5th Edition Ricci – Test Bank/Complete Guide 2024–2026

  • Testbank-Guru

    Testbank-Guru

  • test bank

This comprehensive 2024–2025 test bank for Essentials of Maternity, Newborn, and Women’s Health Nursing, 5th Edition...

18 USD

0

0

Test Bank – Seidel’s Guide to Physical Examination, 10th Edition
View Document

Test Bank – Seidel’s Guide to Physical Examination, 10th Edition

  • Testbank-Guru

    Testbank-Guru

  • test bank

This test bank for Seidel’s Guide to Physical Examination, 10th Edition, includes multiple-choice, true/false, and sho...

19 USD

0

0

Test Bank for Evidence-Based Nursing: The Research-Practice Connection, 5th Edition
View Document

Test Bank for Evidence-Based Nursing: The Research-Practice Connection, 5th Edition

  • Testbank-Guru

    Testbank-Guru

  • test bank

This comprehensive test bank for Evidence-Based Nursing: The Research-Practice Connection, 5th Edition, includes multipl...

17 USD

0

0

Introductory Mental Health Nursing, 5th Edition Womble/Kincheloe Test Bank 2026
View Document

Introductory Mental Health Nursing, 5th Edition Womble/Kincheloe Test Bank 2026

  • Testbank-Guru

    Testbank-Guru

  • test bank

This 2025 test bank for Introductory Mental Health Nursing, 5th Edition by Womble and Kincheloe, includes comprehensive ...

18 USD

0

0

Leddy and Pepper’s Professional Nursing, 10th Edition – Test Bank by Lucy J. Hood, Latest 2026, Complete Guide, Chapters 1–22
View Document

Leddy and Pepper’s Professional Nursing, 10th Edition – Test Bank by Lucy J. Hood, Latest 2026, Complete Guide, Chapters 1–22

  • Testbank-Guru

    Testbank-Guru

  • test bank

This complete test bank for Leddy and Pepper’s Professional Nursing, 10th Edition by Lucy J. Hood covers all 22 chapte...

18 USD

0

0

Maternity, Newborn, and Women’s Health Nursing: A Case-Based Approach, 2nd Edition O’Meara – Test Bank
View Document

Maternity, Newborn, and Women’s Health Nursing: A Case-Based Approach, 2nd Edition O’Meara – Test Bank

  • Testbank-Guru

    Testbank-Guru

  • test bank

This comprehensive test bank for Maternity, Newborn, and Women’s Health Nursing: A Case-Based Approach, 2nd Edition by...

18 USD

0

0

Pharmacology for Canadian Health Care Practice, 4th Edition Lilley’s Test Bank – All Chapters 1–58
View Document

Pharmacology for Canadian Health Care Practice, 4th Edition Lilley’s Test Bank – All Chapters 1–58

  • Testbank-Guru

    Testbank-Guru

  • test bank

This comprehensive test bank for Pharmacology for Canadian Health Care Practice, 4th Edition by Lilley, covers all 58 ch...

18 USD

0

0

Pharmacotherapeutics for Advanced Practice Nurse Prescribers, 6th Edition Woo & Robinson – Test Bank
View Document

Pharmacotherapeutics for Advanced Practice Nurse Prescribers, 6th Edition Woo & Robinson – Test Bank

  • Testbank-Guru

    Testbank-Guru

  • test bank

This comprehensive test bank for Pharmacotherapeutics for Advanced Practice Nurse Prescribers, 6th Edition by Woo & Robi...

18 USD

0

0

Philosophies and Theories for Advanced Nursing Practice, 4th Edition – Complete Test Bank, Chapters 1–26
View Document

Philosophies and Theories for Advanced Nursing Practice, 4th Edition – Complete Test Bank, Chapters 1–26

  • Testbank-Guru

    Testbank-Guru

  • test bank

This comprehensive test bank for Philosophies and Theories for Advanced Nursing Practice, 4th Edition, covers all 26 cha...

18 USD

0

0

Porth’s Pathophysiology: Concepts of Altered Health States, 11th Edition Tommie L. Norris – Test Bank
View Document

Porth’s Pathophysiology: Concepts of Altered Health States, 11th Edition Tommie L. Norris – Test Bank

  • Testbank-Guru

    Testbank-Guru

  • test bank

This test bank for Porth’s Pathophysiology: Concepts of Altered Health States, 11th Edition by Tommie L. Norris, provi...

15 USD

0

0

Test Bank - Understanding Anatomy and Physiology, 4th Edition (Thompson, 2026), Chapter 1-25 | All Chapters
View Document

Test Bank - Understanding Anatomy and Physiology, 4th Edition (Thompson, 2026), Chapter 1-25 | All Chapters

  • ALLSTUDYGUIDE

    ALLSTUDYGUIDE

  • test bank

Test Bank - Understanding Anatomy and Physiology, 4th Edition (Thompson, 2025), Chapter 1-25 | All Chapters...

15 USD

0

0

Test Bank - Community and Public Health Nursing: Evidence for Practice, 4th Edition (DeMarco, 2024), Chapter 1-25 | All Chapters
View Document

Test Bank - Community and Public Health Nursing: Evidence for Practice, 4th Edition (DeMarco, 2024), Chapter 1-25 | All Chapters

  • ALLSTUDYGUIDE

    ALLSTUDYGUIDE

  • test bank

Test Bank - Community and Public Health Nursing: Evidence for Practice, 4th Edition (DeMarco, 2024), Chapter 1-25 | All ...

40 USD

0

0

Test Bank For Clayton’s Basic Pharmacology for Nurses 19th Edition| Verified 2024 Update Chapter 1-Chapter48|Complete Questions and Answers With Rationale.
View Document

Test Bank For Clayton’s Basic Pharmacology for Nurses 19th Edition| Verified 2024 Update Chapter 1-Chapter48|Complete Questions and Answers With Rationale.

  • ALLSTUDYGUIDE

    ALLSTUDYGUIDE

  • test bank

Test Bank For Clayton’s Basic Pharmacology for Nurses 19th Edition| Verified 2024 Update Chapter 1-Chapter48|Complete ...

18 USD

0

0

Test Bank - Townsend's Psychiatric Mental Health Nursing, 11th Edition (Morgan, 2024), Chapter 1-41 + Next-Generation NCLEX Case Studies with answers | All Chapter
View Document

Test Bank - Townsend's Psychiatric Mental Health Nursing, 11th Edition (Morgan, 2024), Chapter 1-41 + Next-Generation NCLEX Case Studies with answers | All Chapter

  • ALLSTUDYGUIDE

    ALLSTUDYGUIDE

  • test bank

Test Bank - Townsend's Psychiatric Mental Health Nursing, 11th Edition (Morgan, 2024), Chapter 1-41 + Next-Generation NC...

25 USD

0

0

Test Bank - Introductory Mental Health Nursing, 5th Edition (Kincheloe, 2024), Chapter 1-19 | All Chapters
View Document

Test Bank - Introductory Mental Health Nursing, 5th Edition (Kincheloe, 2024), Chapter 1-19 | All Chapters

  • ALLSTUDYGUIDE

    ALLSTUDYGUIDE

  • test bank

Test Bank - Introductory Mental Health Nursing, 5th Edition (Kincheloe, 2024), Chapter 1-19 | All Chapters...

30 USD

0

0

Complete Test Bank for Stallings’ Network Security Essentials: Applications & Standards, 6th Edition – Expert-Verified Q&A
View Document

Complete Test Bank for Stallings’ Network Security Essentials: Applications & Standards, 6th Edition – Expert-Verified Q&A

  • claratutor1

    claratutor1

  • test bank

Test Bank for Network Security Essentials Applications and Standards, 6th Edition William Stallings...

15 USD

0

0

Complete Test Bank: Moore’s Clinically Oriented Anatomy 9th Ed — All Sections, Updated Content & Verified Solutions
View Document

Complete Test Bank: Moore’s Clinically Oriented Anatomy 9th Ed — All Sections, Updated Content & Verified Solutions

  • claratutor1

    claratutor1

  • test bank

Complete Test Bank: Moore’s Clinically Oriented Anatomy 9th Ed — All Sections, Updated Content & Verified Solutions...

15 USD

0

0

Test Bank for Nutrition Basics An Active Approach 2nd Edition by Zimmerman (All Chapters PDF)
View Document

Test Bank for Nutrition Basics An Active Approach 2nd Edition by Zimmerman (All Chapters PDF)

  • claratutor1

    claratutor1

  • test bank

Test Bank for Nutrition Basics An Active Approach 2nd Edition by Zimmerman...

15 USD

0

0

Test Bank for Foundations in Kinesiology and Biomechanics, 2nd Edition by Vickie Samuels-Colt
View Document

Test Bank for Foundations in Kinesiology and Biomechanics, 2nd Edition by Vickie Samuels-Colt

  • mentor2000

    mentor2000

  • test bank

Test Bank for Foundations in Kinesiology and Biomechanics, 2nd Edition by Vickie Samuels-Colt...

15 USD

0

0

Test Bank for Fundamentals of Nursing, 12th Edition – Potter, Perry, Stockert, Hall, Ostendorf All Chapters 1-50
View Document

Test Bank for Fundamentals of Nursing, 12th Edition – Potter, Perry, Stockert, Hall, Ostendorf All Chapters 1-50

  • Kaponga

    Kaponga

  • test bank

Download the Fundamentals of Nursing 12th Edition Test Bank. Practice NCLEX-style questions, strengthen clinical judgmen...

15 USD

5

48

Psychotherapy for the Advanced Practice Psychiatric Nurse 3rd Edition Test Bank – Comprehensive Exam Questions and Answers
View Document

Psychotherapy for the Advanced Practice Psychiatric Nurse 3rd Edition Test Bank – Comprehensive Exam Questions and Answers

  • Testbank-Guru

    Testbank-Guru

  • test bank

This test bank contains comprehensive exam questions and answers from the 3rd edition of Psychotherapy for the Advanced ...

12 USD

0

0

Test Bank | Focus on Personal Finance: 2026 Release, 8th Edition by Jack Kapoor (Ch 1–14)
View Document

Test Bank | Focus on Personal Finance: 2026 Release, 8th Edition by Jack Kapoor (Ch 1–14)

  • LecHaven

    LecHaven

  • test bank

Complete Test Bank for Focus on Personal Finance: 2025 Release, 8th Edition by Jack Kapoor covering chapters 1 through 1...

12 USD

0

0

COMPLETE Test Bank – Gynecologic Health Care with Introduction to Prenatal and Postpartum Care, 4th Edition by Kerri Durnell Schuiling
View Document

COMPLETE Test Bank – Gynecologic Health Care with Introduction to Prenatal and Postpartum Care, 4th Edition by Kerri Durnell Schuiling

  • Testbank-Guru

    Testbank-Guru

  • test bank

This complete test bank accompanies Gynecologic Health Care with an Introduction to Prenatal and Postpartum Care, 4th Ed...

12 USD

0

0

Full Test Bank – Davis Advantage for Pediatric Nursing: Critical Components of Nursing Care, 3rd Edition by Kathryn Rudd
View Document

Full Test Bank – Davis Advantage for Pediatric Nursing: Critical Components of Nursing Care, 3rd Edition by Kathryn Rudd

  • Testbank-Guru

    Testbank-Guru

  • test bank

This full test bank accompanies Davis Advantage for Pediatric Nursing: Critical Components of Nursing Care, 3rd Edition ...

12 USD

0

0

Full Test Bank – Leading and Managing in Nursing, 8th Edition by Patricia S. Yoder-Wise & Susan Sportsman
View Document

Full Test Bank – Leading and Managing in Nursing, 8th Edition by Patricia S. Yoder-Wise & Susan Sportsman

  • Testbank-Guru

    Testbank-Guru

  • test bank

This full test bank for Leading and Managing in Nursing, 8th Edition, provides comprehensive exam questions with verifie...

12 USD

0

0

Full Test Bank – Leading and Managing in Nursing, 8th Edition by Patricia S. Yoder-Wise & Susan Sportsman
View Document

Full Test Bank – Leading and Managing in Nursing, 8th Edition by Patricia S. Yoder-Wise & Susan Sportsman

  • Testbank-Guru

    Testbank-Guru

  • test bank

This full test bank for Leading and Managing in Nursing, 8th Edition, provides comprehensive exam questions with verifie...

12 USD

0

0

Test Bank for Bontrager’s Radiographic Positioning and Related Anatomy 10th Edition & Approach 7th Edition – Complete Guide
View Document

Test Bank for Bontrager’s Radiographic Positioning and Related Anatomy 10th Edition & Approach 7th Edition – Complete Guide

  • Testbank-Guru

    Testbank-Guru

  • test bank

This comprehensive test bank provides questions and answers for Bontrager’s Textbook of Radiographic Positioning and R...

12 USD

0

0

Test Bank for Ham's Primary Care Geriatrics – A Case-Based Approach, 7th Edition Complete Guide
View Document

Test Bank for Ham's Primary Care Geriatrics – A Case-Based Approach, 7th Edition Complete Guide

  • Testbank-Guru

    Testbank-Guru

  • test bank

This comprehensive test bank accompanies Ham's Primary Care Geriatrics, 7th Edition, providing a complete set of case-ba...

12 USD

0

0

Test Bank for Introductory Clinical Pharmacology 12th Edition by Susan Ford – Complete Guide Chapters 1–54
View Document

Test Bank for Introductory Clinical Pharmacology 12th Edition by Susan Ford – Complete Guide Chapters 1–54

  • Testbank-Guru

    Testbank-Guru

  • test bank

This comprehensive test bank covers all 54 chapters of Introductory Clinical Pharmacology, 12th Edition by Susan Ford. I...

12 USD

0

0

Test Bank for Introductory Clinical Pharmacology 12th Edition by Susan Ford – Complete Guide Chapters 1–54
View Document

Test Bank for Introductory Clinical Pharmacology 12th Edition by Susan Ford – Complete Guide Chapters 1–54

  • Testbank-Guru

    Testbank-Guru

  • test bank

This comprehensive test bank covers all 54 chapters of Introductory Clinical Pharmacology, 12th Edition by Susan Ford. I...

12 USD

0

0

Test Bank for Nursing Delegation and Management of Patient Care, 3rd Edition – Motacki RN MSN & Burke RN PhD
View Document

Test Bank for Nursing Delegation and Management of Patient Care, 3rd Edition – Motacki RN MSN & Burke RN PhD

  • Testbank-Guru

    Testbank-Guru

  • test bank

This test bank provides comprehensive practice questions and answers for Nursing Delegation and Management of Patient Ca...

15 USD

0

0

TEST BANK INTERPERSONAL RELATIONSHIPS PROFESSIONAL  COMMUNICATION SKILLS FOR NURSES 9TH EDITION
View Document

TEST BANK INTERPERSONAL RELATIONSHIPS PROFESSIONAL COMMUNICATION SKILLS FOR NURSES 9TH EDITION

  • Testbank-Guru

    Testbank-Guru

  • test bank

This test bank provides a complete set of exam questions with answers and rationales for Foundations for Population Heal...

12 USD

0

0

Test Bank for Foundations for Population Health in Community/Public Health Nursing, 6th Edition by Marcia Stanhope – Comprehensive Exam Preparation
View Document

Test Bank for Foundations for Population Health in Community/Public Health Nursing, 6th Edition by Marcia Stanhope – Comprehensive Exam Preparation

  • Testbank-Guru

    Testbank-Guru

  • test bank

This test bank provides a complete set of exam questions with answers and rationales for Foundations for Population Heal...

12 USD

0

0

Test Bank for Introduction to Critical Care Nursing, 9th Edition by Sole – Comprehensive Questions and Answers
View Document

Test Bank for Introduction to Critical Care Nursing, 9th Edition by Sole – Comprehensive Questions and Answers

  • Testbank-Guru

    Testbank-Guru

  • test bank

This test bank provides a complete set of questions and answers for Introduction to Critical Care Nursing, 9th Edition b...

12 USD

0

0

Test Bank for Community & Public Health Nursing: Promoting the Health of Populations, 8th Edition – Comprehensive Exam Questions with Verified Answers
View Document

Test Bank for Community & Public Health Nursing: Promoting the Health of Populations, 8th Edition – Comprehensive Exam Questions with Verified Answers

  • Testbank-Guru

    Testbank-Guru

  • test bank

This test bank provides a complete set of exam questions with verified answers for Community & Public Health Nursing: Pr...

12 USD

0

0

Test Bank for Financial Accounting for MBAs, 8th Edition by Easton – Complete Questions and Answers for Exam Preparation
View Document

Test Bank for Financial Accounting for MBAs, 8th Edition by Easton – Complete Questions and Answers for Exam Preparation

  • Testbank-Guru

    Testbank-Guru

  • test bank

This test bank provides comprehensive questions and answers for Financial Accounting for MBAs, 8th Edition by Easton. De...

12 USD

0

0

Test Bank for Financial Accounting for MBAs, 8th Edition by Easton – Complete Questions and Answers for Exam Preparation
View Document

Test Bank for Financial Accounting for MBAs, 8th Edition by Easton – Complete Questions and Answers for Exam Preparation

  • Testbank-Guru

    Testbank-Guru

  • test bank

This test bank provides comprehensive questions and answers for Financial Accounting for MBAs, 8th Edition by Easton. De...

12 USD

0

0

Advanced Pharmacology for Prescribers 1st Edition – Luu Kayingo’s Test Bank with Verified Questions and Answers
View Document

Advanced Pharmacology for Prescribers 1st Edition – Luu Kayingo’s Test Bank with Verified Questions and Answers

  • Testbank-Guru

    Testbank-Guru

  • test bank

This test bank accompanies Advanced Pharmacology for Prescribers, 1st Edition by Luu Kayingo. It contains verified quest...

12 USD

0

0

Test Bank for Lewis Medical-Surgical Nursing in Canada – 5th Edition with Verified Questions and Answers
View Document

Test Bank for Lewis Medical-Surgical Nursing in Canada – 5th Edition with Verified Questions and Answers

  • Testbank-Guru

    Testbank-Guru

  • test bank

This comprehensive test bank accompanies Lewis Medical-Surgical Nursing in Canada, 5th Edition. It contains verified que...

16 USD

0

21

Test Bank for RAUS Respiratory Care Pharmacology, 11th Edition by Gardenhire – All Chapters 1–23
View Document

Test Bank for RAUS Respiratory Care Pharmacology, 11th Edition by Gardenhire – All Chapters 1–23

  • Testbank-Guru

    Testbank-Guru

  • test bank

This test bank provides comprehensive questions and answers for RAUS Respiratory Care Pharmacology, 11th Edition by Gard...

12 USD

0

0

Test Bank for Lemone & Burke’s Medical-Surgical Nursing: Clinical Reasoning in Hospital Client Care, 7th Edition – Complete Chapters 1–52
View Document

Test Bank for Lemone & Burke’s Medical-Surgical Nursing: Clinical Reasoning in Hospital Client Care, 7th Edition – Complete Chapters 1–52

  • Testbank-Guru

    Testbank-Guru

  • test bank

This official test bank for Lemone & Burke’s Medical-Surgical Nursing: Clinical Reasoning in Hospital Client Care, 7th...

12 USD

0

0

Test Bank – Essential Health Assessment, 2nd Edition by Thompson | Complete Guide with Answers (2026)
View Document

Test Bank – Essential Health Assessment, 2nd Edition by Thompson | Complete Guide with Answers (2026)

  • Testbank-Guru

    Testbank-Guru

  • test bank

Download complete test bank for Essential Health Assessment, 2nd Edition PDF by Thompson. A reliable resource for nursin...

15 USD

0

0

Test Bank – Potter Perry Fundamentals of Nursing, 11th Edition, Complete Guide (Chapters 1–50)
View Document

Test Bank – Potter Perry Fundamentals of Nursing, 11th Edition, Complete Guide (Chapters 1–50)

  • Testbank-Guru

    Testbank-Guru

  • test bank

This complete test bank for Potter & Perry Fundamentals of Nursing, 11th Edition covers all chapters (1–50) with verif...

12 USD

0

0

Test Bank for Modern Advanced Accounting in Canada (10th Edition PDF) | All Chapters | HERAUF
View Document

Test Bank for Modern Advanced Accounting in Canada (10th Edition PDF) | All Chapters | HERAUF

  • claratutor1

    claratutor1

  • test bank

Test Bank for Modern Advanced Accounting in Canada (10th Edition by Darrell Herauf & Chima Mbagwu...

15 USD

0

0

Test Bank For Introduction to Counseling: Voices from the Field 8th Edition By Jeffrey A. Kottler
View Document

Test Bank For Introduction to Counseling: Voices from the Field 8th Edition By Jeffrey A. Kottler

  • claratutor1

    claratutor1

  • test bank

Test Bank For Introduction to Counseling: Voices from the Field 8th Edition By Jeffrey A. Kottler...

15 USD

0

0

Test Bank for Consumer Behavior, 8th Edition, Wayne D. Hoyer, Deborah J. MacInnis, Rik Pieters, Angeline Close-Scheinbaum
View Document

Test Bank for Consumer Behavior, 8th Edition, Wayne D. Hoyer, Deborah J. MacInnis, Rik Pieters, Angeline Close-Scheinbaum

  • claratutor1

    claratutor1

  • test bank

Test Bank for Consumer Behavior, 8th Edition, Wayne D. Hoyer, Deborah J. MacInnis, Rik Pieters, Angeline Close-Scheinbau...

15 USD

0

0

Test Bank for Nutrition For Health and Healthcare, 8th Edition by Linda Kelley DeBruyne Kathryn Pinna All Chapters
View Document

Test Bank for Nutrition For Health and Healthcare, 8th Edition by Linda Kelley DeBruyne Kathryn Pinna All Chapters

  • claratutor1

    claratutor1

  • test bank

Test Bank for Nutrition For Health and Healthcare, 8th Edition by Linda Kelley DeBruyne Kathryn Pinna...

15 USD

0

0

Test Bank for The Psychology of Women and Gender 8th Edition By Margaret Matlin, Rebecca Foushée All Chapters
View Document

Test Bank for The Psychology of Women and Gender 8th Edition By Margaret Matlin, Rebecca Foushée All Chapters

  • claratutor1

    claratutor1

  • test bank

Test Bank for The Psychology of Women and Gender 8th Edition By Margaret Matlin, Rebecca Foushée All Chapters...

15 USD

0

0

Complete Test Bank for Bushong’s Radiologic Science for Technologists 13th Edition — All Chapters 1-42, Verified Answers
View Document

Complete Test Bank for Bushong’s Radiologic Science for Technologists 13th Edition — All Chapters 1-42, Verified Answers

  • claratutor1

    claratutor1

  • test bank

Test Bank For Bushong's Radiologic Science for Technologists: Physics, Biology, and Protection 13th Edition by Stewart C...

15 USD

0

16

Test Bank for Pathophysiology A Practical Approach 5th Edition by Lachel Story All Chapters [PDF]
View Document

Test Bank for Pathophysiology A Practical Approach 5th Edition by Lachel Story All Chapters [PDF]

  • claratutor1

    claratutor1

  • test bank

Test Bank for Pathophysiology A Practical Approach 5th Edition by Lachel Story...

15 USD

0

0

Biology 6th Edition Test Bank: All 60 Chapters + Expert-Verified Solutions (Brooker et al.)
View Document

Biology 6th Edition Test Bank: All 60 Chapters + Expert-Verified Solutions (Brooker et al.)

  • Pasing-Grades

    Pasing-Grades

  • exam elaborations

Complete Test Bank: Biology 6th Edition by Brooker/Widmaier — verified question bank across 60 chapters; ideal for exa...

15 USD

0

0

Test Bank for Gray Morris's Calculate with Confidence, Canadian Edition, 2nd Edition by Killian
View Document

Test Bank for Gray Morris's Calculate with Confidence, Canadian Edition, 2nd Edition by Killian

  • Pasing-Grades

    Pasing-Grades

  • exam elaborations

Test Bank for Gray Morris's Calculate with Confidence, Canadian Edition, 2nd Edition by Killian...

15 USD

0

0

Test Bank for Nursing Health Assessment, A Clinical Judgment Approach 4th Edition Jensen (All Chapters)
View Document

Test Bank for Nursing Health Assessment, A Clinical Judgment Approach 4th Edition Jensen (All Chapters)

  • Pasing-Grades

    Pasing-Grades

  • exam elaborations

Test Bank for Nursing Health Assessment, A Clinical Judgment Approach 4th Edition Jensen...

15 USD

0

0

Test Bank for Microeconomics, 17th Canadian Edition, By Christopher Ragan | All Chapters
View Document

Test Bank for Microeconomics, 17th Canadian Edition, By Christopher Ragan | All Chapters

  • tutor_gesco

    tutor_gesco

  • test bank

Test Bank for Microeconomics, 17th Canadian Edition, By Christopher Ragan...

15 USD

0

0

Pharmacotherapeutics for Advanced Practice Nurse Prescribers, 6th Edition – Woo & Robinson | Test Bank
View Document

Pharmacotherapeutics for Advanced Practice Nurse Prescribers, 6th Edition – Woo & Robinson | Test Bank

  • LecHaven

    LecHaven

  • test bank

Comprehensive Test Bank for Pharmacotherapeutics for Advanced Practice Nurse Prescribers, 6th Edition by Woo & Robinson....

11 USD

0

0

Pharmacology for Canadian Health Care Practice, 4th Edition – Lilley’s Test Bank | All Chapters 1-58
View Document

Pharmacology for Canadian Health Care Practice, 4th Edition – Lilley’s Test Bank | All Chapters 1-58

  • LecHaven

    LecHaven

  • test bank

Complete test bank for Lilley’s Pharmacology for Canadian Health Care Practice, 4th Edition. Covers all 58 chapters wi...

11 USD

0

0

Maternity, Newborn, and Women’s Health Nursing – A Case-Based Approach, 2nd Edition | O’Meara’s Test Bank
View Document

Maternity, Newborn, and Women’s Health Nursing – A Case-Based Approach, 2nd Edition | O’Meara’s Test Bank

  • LecHaven

    LecHaven

  • test bank

Comprehensive Test Bank for Maternity, Newborn, and Women’s Health Nursing: A Case-Based Approach, 2nd Edition by O’...

12 USD

0

0

Leddy and Pepper’s Professional Nursing 10th Edition – Test Bank | Complete 2024 Guide | Chapters 1-22
View Document

Leddy and Pepper’s Professional Nursing 10th Edition – Test Bank | Complete 2024 Guide | Chapters 1-22

  • LecHaven

    LecHaven

  • test bank

Comprehensive Test Bank for Leddy and Pepper’s Professional Nursing 10th Edition (Lucy J. Hood, 2024). Includes questi...

12 USD

0

0

Introductory Mental Health Nursing, 5th Edition | Womble/Kincheloe Test Bank 2024
View Document

Introductory Mental Health Nursing, 5th Edition | Womble/Kincheloe Test Bank 2024

  • LecHaven

    LecHaven

  • test bank

Comprehensive Test Bank for Introductory Mental Health Nursing, 5th Edition by Womble and Kincheloe (2024). Includes ver...

12 USD

0

0

Test Bank for Lehne’s Pharmacotherapeutics for Advanced Practice Nursing Attendants and Physician Assistants | 3rd Edition – Rosenthal
View Document

Test Bank for Lehne’s Pharmacotherapeutics for Advanced Practice Nursing Attendants and Physician Assistants | 3rd Edition – Rosenthal

  • LecHaven

    LecHaven

  • test bank

Comprehensive Test Bank for Lehne’s Pharmacotherapeutics 3rd Edition by Rosenthal. Includes multiple-choice questions ...

12 USD

0

0

Anatomy & Physiology for Emergency Care, 3rd Edition | Bledsoe’s Testbank
View Document

Anatomy & Physiology for Emergency Care, 3rd Edition | Bledsoe’s Testbank

  • LecHaven

    LecHaven

  • test bank

Comprehensive test bank for Anatomy & Physiology for Emergency Care, 3rd Edition by Bledsoe. Includes verified multiple-...

12 USD

0

0

Full Test Bank | Advanced Practice Nursing: Essentials for Role Development, 5th Edition – Joel
View Document

Full Test Bank | Advanced Practice Nursing: Essentials for Role Development, 5th Edition – Joel

  • LecHaven

    LecHaven

  • test bank

Get Full Test Bank for Advanced Practice Nursing: Essentials for Role Development, 5th Edition by Joel. Instant PDF Down...

15 USD

0

0

Abram’s Clinical Drug Therapy: Rationales for Nursing Practice, 13th Edition | Test Bank/Complete Guide 2024-2026 | All Chapters 1-61
View Document

Abram’s Clinical Drug Therapy: Rationales for Nursing Practice, 13th Edition | Test Bank/Complete Guide 2024-2026 | All Chapters 1-61

  • LecHaven

    LecHaven

  • test bank

Comprehensive Test Bank and Complete Guide for Abram’s Clinical Drug Therapy: Rationales for Nursing Practice, 13th Ed...

12 USD

0

0

Test Bank for McCance and Huether’s Pathophysiology: The Biological Basis for Diseases in Adults and Children, 9th Edition | All Chapters Complete Guide 2024-2026
View Document

Test Bank for McCance and Huether’s Pathophysiology: The Biological Basis for Diseases in Adults and Children, 9th Edition | All Chapters Complete Guide 2024-2026

  • LecHaven

    LecHaven

  • test bank

Comprehensive test bank for McCance and Huether’s Pathophysiology, 9th Edition covering all chapters. Includes multipl...

11 USD

0

0

Test Bank for Sole’s Introduction to Critical Care Nursing, 9th Edition by Mary Beth & Lauren
View Document

Test Bank for Sole’s Introduction to Critical Care Nursing, 9th Edition by Mary Beth & Lauren

  • LecHaven

    LecHaven

  • test bank

Comprehensive Test Bank for Sole’s Introduction to Critical Care Nursing, 9th Edition. Includes verified multiple-choi...

15 USD

0

21

Test Bank for Diseases of the Human Body (7th Edition) by Carol D. Tamparo & Jennifer T. Davis
View Document

Test Bank for Diseases of the Human Body (7th Edition) by Carol D. Tamparo & Jennifer T. Davis

  • LecHaven

    LecHaven

  • test bank

Comprehensive Test Bank for Diseases of the Human Body, 7th Edition by Carol D. Tamparo and Jennifer T. Davis. Contains ...

11 USD

0

0

[NR 312 – Pharmacology Nursing] Full Test Bank – Pharmacology and the Nursing Process, 10th Edition: Linda Lilley, Rainforth Collins, Julie Snyder | Complete Guide A+
View Document

[NR 312 – Pharmacology Nursing] Full Test Bank – Pharmacology and the Nursing Process, 10th Edition: Linda Lilley, Rainforth Collins, Julie Snyder | Complete Guide A+

  • Testbank-Guru

    Testbank-Guru

  • test bank

This comprehensive test bank for Pharmacology and the Nursing Process, 10th Edition, provides verified multiple-choice, ...

12 USD

0

0

[NR 221 – Professional Nursing Concepts] Full Test Bank – Professional Nursing: Concepts and Challenges, 10th Edition by Beth Black – Complete Guide
View Document

[NR 221 – Professional Nursing Concepts] Full Test Bank – Professional Nursing: Concepts and Challenges, 10th Edition by Beth Black – Complete Guide

  • Testbank-Guru

    Testbank-Guru

  • test bank

This comprehensive test bank for Professional Nursing: Concepts and Challenges, 10th Edition by Beth Black, provides a c...

12 USD

0

0

[NR 412 – Advanced Practice Nursing: Geriatrics] Test Bank – Advanced Practice Nursing in the Care of Older Adults, 3rd Edition Kennedy-Malone
View Document

[NR 412 – Advanced Practice Nursing: Geriatrics] Test Bank – Advanced Practice Nursing in the Care of Older Adults, 3rd Edition Kennedy-Malone

  • Testbank-Guru

    Testbank-Guru

  • test bank

This comprehensive test bank for Advanced Practice Nursing in the Care of Older Adults, 3rd Edition by Kennedy-Malone, i...

11 USD

0

0

[NR 324 – Respiratory Nursing] Test Bank – Clinical Manifestations and Assessment of Respiratory Disease, 9th Edition by Des Jardins & Goolsby, Chapters 1–22 | Complete
View Document

[NR 324 – Respiratory Nursing] Test Bank – Clinical Manifestations and Assessment of Respiratory Disease, 9th Edition by Des Jardins & Goolsby, Chapters 1–22 | Complete

  • Testbank-Guru

    Testbank-Guru

  • test bank

This comprehensive test bank for Clinical Manifestations and Assessment of Respiratory Disease, 9th Edition by Des Jardi...

12 USD

0

0

[NR 314 – Advanced Health Assessment] Test Bank for Advanced Assessment: Interpreting Findings and Formulating Differential Diagnoses, 5th Edition Goolsby, Chapters 1–22 | Complete
View Document

[NR 314 – Advanced Health Assessment] Test Bank for Advanced Assessment: Interpreting Findings and Formulating Differential Diagnoses, 5th Edition Goolsby, Chapters 1–22 | Complete

  • Testbank-Guru

    Testbank-Guru

  • test bank

This comprehensive test bank covers Advanced Assessment: Interpreting Findings and Formulating Differential Diagnoses, 5...

12 USD

0

0

Solution Manual for Marketing Management by Greg W. Marshall & Mark Johnston | Verified Answers
View Document

Solution Manual for Marketing Management by Greg W. Marshall & Mark Johnston | Verified Answers

  • LecHaven

    LecHaven

  • test bank

Comprehensive Solution Manual for Marketing Management by Greg W. Marshall and Mark Johnston. Includes complete and veri...

11 USD

0

0

[PHAR 301 – Pharmacology] Test Bank for Basic and Clinical Pharmacology, 16th Edition Katzung – All Chapters 1–66, Complete Guide 2024–2026
View Document

[PHAR 301 – Pharmacology] Test Bank for Basic and Clinical Pharmacology, 16th Edition Katzung – All Chapters 1–66, Complete Guide 2024–2026

  • Testbank-Guru

    Testbank-Guru

  • test bank

This comprehensive test bank for Basic and Clinical Pharmacology, 16th Edition by Katzung covers all 66 chapters. It inc...

12 USD

0

0

[CMA 201 – Clinical Procedures for Medical Assistants] Test Bank for Clinical Procedures for Medical Assistants, 11th Edition – Complete Guide, Chapters 1–23, 2024–2026
View Document

[CMA 201 – Clinical Procedures for Medical Assistants] Test Bank for Clinical Procedures for Medical Assistants, 11th Edition – Complete Guide, Chapters 1–23, 2024–2026

  • Testbank-Guru

    Testbank-Guru

  • test bank

This comprehensive test bank covers Clinical Procedures for Medical Assistants, 11th Edition, including all 23 chapters....

12 USD

0

0

[NR 325 – Community and Public Health Nursing]Test Bank for Community and Public Health Nursing: Evidence for Practice, 4th Edition by DeMarco and Walsh – Complete Guide
View Document

[NR 325 – Community and Public Health Nursing]Test Bank for Community and Public Health Nursing: Evidence for Practice, 4th Edition by DeMarco and Walsh – Complete Guide

  • Testbank-Guru

    Testbank-Guru

  • test bank

This comprehensive test bank accompanies Community and Public Health Nursing: Evidence for Practice, 4th Edition by DeMa...

12 USD

0

0

[NR 325 – Gerontologic Nursing] Test Bank for Gerontologic Nursing, 6th Edition by Meiner – Complete Guide 2024–2026
View Document

[NR 325 – Gerontologic Nursing] Test Bank for Gerontologic Nursing, 6th Edition by Meiner – Complete Guide 2024–2026

  • Testbank-Guru

    Testbank-Guru

  • test bank

This comprehensive test bank for Gerontologic Nursing, 6th Edition by Meiner, covers all key concepts for 2024–2025. I...

12 USD

0

0

[NR 323 – Nursing Pharmacology] Test Bank for Karch's Focus on Nursing Pharmacology, 9th Edition by Rebecca Tucker – All Chapters 1–59, Complete Guide 2024–2026
View Document

[NR 323 – Nursing Pharmacology] Test Bank for Karch's Focus on Nursing Pharmacology, 9th Edition by Rebecca Tucker – All Chapters 1–59, Complete Guide 2024–2026

  • Testbank-Guru

    Testbank-Guru

  • test bank

This comprehensive test bank for Karch's Focus on Nursing Pharmacology, 9th Edition by Rebecca Tucker, covers all 59 cha...

12 USD

0

0

Test Bank for Davis Advantage for Wilkinson’s Fundamentals of Nursing 5th Edition | Verified Questions & Answers
View Document

Test Bank for Davis Advantage for Wilkinson’s Fundamentals of Nursing 5th Edition | Verified Questions & Answers

  • LecHaven

    LecHaven

  • test bank

Comprehensive test bank for Wilkinson’s Fundamentals of Nursing, 5th Edition (Davis Advantage). Contains verified ques...

12 USD

0

0

[NR 321 – Nursing Leadership & Management] NR 321 – Nursing Leadership & Management
View Document

[NR 321 – Nursing Leadership & Management] NR 321 – Nursing Leadership & Management

  • Testbank-Guru

    Testbank-Guru

  • test bank

This comprehensive test bank covers all chapters (1–25) of Leadership Roles and Management Functions in Nursing, 11th ...

10 USD

0

0

Test Bank for Business Communication and Character 11th Edition by Amy Newman | Verified Questions & Answers
View Document

Test Bank for Business Communication and Character 11th Edition by Amy Newman | Verified Questions & Answers

  • LecHaven

    LecHaven

  • test bank

Comprehensive test bank for Business Communication and Character, 11th Edition by Amy Newman. Contains verified question...

12 USD

0

0

[NUR 210 – LPN to RN Transition] Test Bank for Lora Claywell – LPN to RN Transitions, 6th Edition, Complete Guide 2026
View Document

[NUR 210 – LPN to RN Transition] Test Bank for Lora Claywell – LPN to RN Transitions, 6th Edition, Complete Guide 2026

  • Testbank-Guru

    Testbank-Guru

  • test bank

This verified test bank for LPN to RN Transitions: Achieving Success in Your New Role, 6th Edition by Lora Claywell, pro...

15 USD

0

0

Test Bank for Essentials of Anatomy & Physiology (8th Edition) by Martini & Bartholomew | Verified Questions and Answers
View Document

Test Bank for Essentials of Anatomy & Physiology (8th Edition) by Martini & Bartholomew | Verified Questions and Answers

  • LecHaven

    LecHaven

  • test bank

Comprehensive test bank for Essentials of Anatomy & Physiology, 8th Edition by Martini & Bartholomew. Contains verified ...

11 USD

0

0

[MEDT 101 – Medical Terminology] Test Bank – Quick and Easy Medical Terminology, 10th Edition by Leonard, All Chapters
View Document

[MEDT 101 – Medical Terminology] Test Bank – Quick and Easy Medical Terminology, 10th Edition by Leonard, All Chapters

  • Testbank-Guru

    Testbank-Guru

  • test bank

This complete test bank for Quick and Easy Medical Terminology, 10th Edition by Leonard includes all chapters with verif...

11 USD

0

0

[RADT 221 – Radiographic Imaging and Exposure] RADT 221 – Radiographic Imaging and Exposure
View Document

[RADT 221 – Radiographic Imaging and Exposure] RADT 221 – Radiographic Imaging and Exposure

  • Testbank-Guru

    Testbank-Guru

  • test bank

This complete test bank for Radiographic Imaging and Exposure, 7th Edition by Fauber covers Chapters 1–10. It includes...

12 USD

0

0

Test Bank for Davis Advantage for Townsend’s Psychiatric Mental Health Nursing, 11th Edition by Morgan
View Document

Test Bank for Davis Advantage for Townsend’s Psychiatric Mental Health Nursing, 11th Edition by Morgan

  • LecHaven

    LecHaven

  • test bank

Comprehensive test bank for Davis Advantage for Townsend’s Psychiatric Mental Health Nursing, 11th Edition by Morgan. ...

11 USD

0

0

[MEDT 101 – Medical Terminology] Test Bank for The Language of Medicine 13th Edition by Chabner – All Chapters 1–21 Complete Guide 2024–2026
View Document

[MEDT 101 – Medical Terminology] Test Bank for The Language of Medicine 13th Edition by Chabner – All Chapters 1–21 Complete Guide 2024–2026

  • Testbank-Guru

    Testbank-Guru

  • test bank

This complete 2024–2025 test bank for The Language of Medicine, 13th Edition by Chabner, includes verified questions a...

12 USD

0

0

[NR 324 – Nursing Research] Test Bank for Understanding Nursing Research, 8th Edition by Susan Grove & Jennifer Gray – All Chapters, Latest 2026
View Document

[NR 324 – Nursing Research] Test Bank for Understanding Nursing Research, 8th Edition by Susan Grove & Jennifer Gray – All Chapters, Latest 2026

  • Testbank-Guru

    Testbank-Guru

  • test bank

This is the complete 2025 test bank for Understanding Nursing Research, 8th Edition by Susan Grove and Jennifer Gray. It...

12 USD

0

0

Test Bank for Chemistry, Seventh Edition by Julia Burdge | Verified Questions & Answers
View Document

Test Bank for Chemistry, Seventh Edition by Julia Burdge | Verified Questions & Answers

  • LecHaven

    LecHaven

  • test bank

Comprehensive test bank for Chemistry, Seventh Edition by Julia Burdge, including chapter-by-chapter questions with veri...

12 USD

0

0

Test Bank for Cellular and Molecular Immunology – 11th Edition by Abul Abbas | Verified Questions and Answers
View Document

Test Bank for Cellular and Molecular Immunology – 11th Edition by Abul Abbas | Verified Questions and Answers

  • LecHaven

    LecHaven

  • test bank

Comprehensive test bank for Cellular and Molecular Immunology (11th Edition, Abul K. Abbas). Includes verified questions...

11 USD

0

0

[NUR 215 – Pharmacology for Nursing] Test Bank for Understanding Pharmacology: Essentials for Medication Safety, 3rd Edition
View Document

[NUR 215 – Pharmacology for Nursing] Test Bank for Understanding Pharmacology: Essentials for Medication Safety, 3rd Edition

  • Testbank-Guru

    Testbank-Guru

  • test bank

This verified test bank for Understanding Pharmacology: Essentials for Medication Safety, 3rd Edition, provides comprehe...

12 USD

0

0

Test Bank for Calculation of Drug Dosages: A Work Text by Sheila J. Ogden – All Chapters Included
View Document

Test Bank for Calculation of Drug Dosages: A Work Text by Sheila J. Ogden – All Chapters Included

  • LecHaven

    LecHaven

  • test bank

Comprehensive test bank for Calculation of Drug Dosages: A Work Text by Sheila J. Ogden. Covers all chapters with verifi...

11 USD

0

0

[NUR 220 – Pharmacology for Nursing] Test Bank – Lehne’s Pharmacology for Nursing Care, 12th Edition by Jacqueline Burchum & Laura Rosenthal, All Chapters 1–112 Complete Guide 2024–2026
View Document

[NUR 220 – Pharmacology for Nursing] Test Bank – Lehne’s Pharmacology for Nursing Care, 12th Edition by Jacqueline Burchum & Laura Rosenthal, All Chapters 1–112 Complete Guide 2024–2026

  • Testbank-Guru

    Testbank-Guru

  • test bank

This complete test bank for Lehne’s Pharmacology for Nursing Care, 12th Edition by Jacqueline Burchum and Laura Rosent...

12 USD

0

0

[NUR 320 – Gerontological Nursing] Toward Healthy Aging, 11th Edition – Green Book B Test Bank (Latest 2026 Verified Version)
View Document

[NUR 320 – Gerontological Nursing] Toward Healthy Aging, 11th Edition – Green Book B Test Bank (Latest 2026 Verified Version)

  • Testbank-Guru

    Testbank-Guru

  • test bank

This complete test bank for Toward Healthy Aging, 11th Edition – Green Book B provides verified questions and answers ...

12 USD

0

0

Test Bank for Business Analytics, 3rd Edition by James R. Evans | Verified Questions & Answers
View Document

Test Bank for Business Analytics, 3rd Edition by James R. Evans | Verified Questions & Answers

  • LecHaven

    LecHaven

  • test bank

Comprehensive Test Bank for Business Analytics (3rd Edition) by James R. Evans. Includes verified multiple-choice and ap...

10 USD

0

0

Test Bank for Auditing & Assurance Services, 9th Edition by Jerry Strawser & Timothy Louwers
View Document

Test Bank for Auditing & Assurance Services, 9th Edition by Jerry Strawser & Timothy Louwers

  • LecHaven

    LecHaven

  • test bank

Comprehensive test bank for Auditing & Assurance Services (9th Edition) by Jerry Strawser and Timothy Louwers. Contains ...

11 USD

0

0

Test Bank – American Democracy Now 8th Edition by Brigid Callahan, Jean Wahl Harris, Michelle D. Deardorff
View Document

Test Bank – American Democracy Now 8th Edition by Brigid Callahan, Jean Wahl Harris, Michelle D. Deardorff

  • LecHaven

    LecHaven

  • test bank

Comprehensive test bank for American Democracy Now (8th Edition). Includes multiple-choice, true/false, short-answer, an...

11 USD

0

0

Test Bank for Genetics Essentials: Concepts and Connections (5th Edition) by Benjamin Pierce
View Document

Test Bank for Genetics Essentials: Concepts and Connections (5th Edition) by Benjamin Pierce

  • LecHaven

    LecHaven

  • test bank

Comprehensive test bank for Genetics Essentials: Concepts and Connections, 5th Edition by Benjamin A. Pierce. Contains v...

11 USD

0

0

UPC Plumbing Exam Test Bank 2026 (Uniform Plumbing Code) – Complete Topics + Verified Answers & Explanations
View Document

UPC Plumbing Exam Test Bank 2026 (Uniform Plumbing Code) – Complete Topics + Verified Answers & Explanations

  • Opati-Kaka

    Opati-Kaka

  • test bank

Latest UPC Journeyman Plumbing Test Bank – Real Exam Questions, Sizing Math & Verified Solutions...

8 USD

0

0

Test Bank for Human Resources Management in Canada, 16th Canadian Edition (Dessler & Chhinzer) All 17 Chapters, Verified Answers & Rationales
View Document

Test Bank for Human Resources Management in Canada, 16th Canadian Edition (Dessler & Chhinzer) All 17 Chapters, Verified Answers & Rationales

  • claratutor1

    claratutor1

  • test bank

Download HRM in Canada 16th Edition (Dessler) Test Bank—complete questions for all 17 chapters, verified answers, and ...

15 USD

0

0

HESI A2 Anatomy & Physiology Test Bank – 2026 Verified Questions & Answers
View Document

HESI A2 Anatomy & Physiology Test Bank – 2026 Verified Questions & Answers

  • mentor2000

    mentor2000

  • exam

HESI A2 Anatomy & Physiology Test Bank – 2025 Verified Questions & Answers...

10 USD

0

0

Test Bank for Surgical Technology for the Surgical Technologist, A Positive Care Approach 6th Edition Association of Surgical Technologists
View Document

Test Bank for Surgical Technology for the Surgical Technologist, A Positive Care Approach 6th Edition Association of Surgical Technologists

  • Kaponga

    Kaponga

  • solution manual

Test Bank for Surgical Technology for the Surgical Technologist, A Positive Care Approach 6th Edition Association of Sur...

15 USD

0

0

Test Bank for Maternal-Child Nursing, 7th Edition (Carroll, James & Mau)
View Document

Test Bank for Maternal-Child Nursing, 7th Edition (Carroll, James & Mau)

  • Kaponga

    Kaponga

  • test bank

Download the Maternal-Child Nursing 7th Edition Test Bank by Carroll, James & Mau: exam-style Q&A with accurate solution...

15 USD

0

0

[NUR 220 – Nutrition in Nursing] Test Bank for Nutritional Foundations and Clinical Applications, 8th Edition by Grodner – Complete Guide Chapters 1–20 (2024–2026)
View Document

[NUR 220 – Nutrition in Nursing] Test Bank for Nutritional Foundations and Clinical Applications, 8th Edition by Grodner – Complete Guide Chapters 1–20 (2024–2026)

  • Testbank-Guru

    Testbank-Guru

  • test bank

This is the complete 2024–2025 test bank for Nutritional Foundations and Clinical Applications, 8th Edition by Grodner...

10 USD

0

0

[HLT 143 – Medical Terminology] Test Bank – Quick and Easy Medical Terminology, 10th Edition by Leonard, All Chapters
View Document

[HLT 143 – Medical Terminology] Test Bank – Quick and Easy Medical Terminology, 10th Edition by Leonard, All Chapters

  • Testbank-Guru

    Testbank-Guru

  • test bank

This complete test bank for Quick and Easy Medical Terminology, 10th Edition by Leonard, covers all chapters. It include...

10 USD

0

0

[RAD 210 – Radiographic Imaging and Exposure] Complete Test Bank – Radiographic Imaging and Exposure, 7th Edition Fauber, Questions & Answers with Rationales (Chapters 1–10)
View Document

[RAD 210 – Radiographic Imaging and Exposure] Complete Test Bank – Radiographic Imaging and Exposure, 7th Edition Fauber, Questions & Answers with Rationales (Chapters 1–10)

  • Testbank-Guru

    Testbank-Guru

  • test bank

This verified test bank for Radiographic Imaging and Exposure, 7th Edition by Fauber covers Chapters 1–10. It includes...

10 USD

0

0

[MED 101 – Medical Terminology] Test Bank – The Language of Medicine, 13th Edition Chabner, All Chapters 1–21, Complete Guide 2024–2026
View Document

[MED 101 – Medical Terminology] Test Bank – The Language of Medicine, 13th Edition Chabner, All Chapters 1–21, Complete Guide 2024–2026

  • Testbank-Guru

    Testbank-Guru

  • test bank

This complete 2024–2025 test bank for The Language of Medicine, 13th Edition by Chabner covers all chapters (1–21). ...

10 USD

0

0

[NURS 305 – Medical-Surgical Nursing] Test Bank for Lewis Medical-Surgical Nursing in Canada, 5th Edition – Complete Verified Questions and Answers
View Document

[NURS 305 – Medical-Surgical Nursing] Test Bank for Lewis Medical-Surgical Nursing in Canada, 5th Edition – Complete Verified Questions and Answers

  • Testbank-Guru

    Testbank-Guru

  • test bank

This comprehensive test bank for Lewis Medical-Surgical Nursing in Canada, 5th Edition includes multiple-choice, true/fa...

15 USD

0

1

ATI RN VATI Comprehensive Predictor Test Bank 2023 – 350 Questions with Verified Answers (Graded A+)
View Document

ATI RN VATI Comprehensive Predictor Test Bank 2023 – 350 Questions with Verified Answers (Graded A+)

  • mumbi

    mumbi

  • ati proctored

Download the ATI RN VATI Comprehensive Predictor 2023 Test Bank. Includes 350 practice questions and answers—graded A+...

22 USD

0

0

Test Bank for Intermediate Accounting, 4th Edition (IFRS) by Wiley – Complete Questions & Answers
View Document

Test Bank for Intermediate Accounting, 4th Edition (IFRS) by Wiley – Complete Questions & Answers

  • Pasing-Grades

    Pasing-Grades

  • exam elaborations

Get the Test Bank for Intermediate Accounting, 4th Edition (IFRS) by Wiley – Complete Questions & Answers...

15 USD

0

0

ATI TEAS 7 Practice Test Bank with Reading, Math, Science and English and Language Usage Questions and Answers
View Document

ATI TEAS 7 Practice Test Bank with Reading, Math, Science and English and Language Usage Questions and Answers

  • mentor2000

    mentor2000

  • ati

Prepare for the ATI TEAS 7 exam with this comprehensive practice test bank. Includes Reading, Math, Science, and English...

20 USD

0

0

Medical Surgical Nursing Final Exam Practice Questions Test Bank
View Document

Medical Surgical Nursing Final Exam Practice Questions Test Bank

  • mentor2000

    mentor2000

  • questions & answers

Find 100s of free Medical Surgical Nursing practice questions and answers in this PasingGrades free test bank....

Free

0

0

Test Bank: OpenStax Microbiology – Complete Chapters 1–26 (MCQ, T/F, Essay Q&A)
View Document

Test Bank: OpenStax Microbiology – Complete Chapters 1–26 (MCQ, T/F, Essay Q&A)

  • claratutor1

    claratutor1

  • test bank

Test Bank: OpenStax Microbiology – Complete Chapters 1–26 (MCQ, T/F, Essay Q&A)...

15 USD

0

0

Test Bank: Lilley’s Pharmacology for Canadian Health Care Practice, 5th Edition (Sealock) – All Chapters 1–58
View Document

Test Bank: Lilley’s Pharmacology for Canadian Health Care Practice, 5th Edition (Sealock) – All Chapters 1–58

  • claratutor1

    claratutor1

  • test bank

Test Bank: Lilley’s Pharmacology for Canadian Health Care Practice, 5th Edition (Sealock) – All Chapters 1–58...

15 USD

0

0

Verified Test Bank: Community Oral Health Practice for the Dental Hygienist 5th Ed | All Chapters
View Document

Verified Test Bank: Community Oral Health Practice for the Dental Hygienist 5th Ed | All Chapters

  • mentor2000

    mentor2000

  • test bank

Test Bank for Community Oral Health Practice for the Dental Hygienist 5th Edition by Christine French Beatty...

15 USD

0

0

Complete Test Bank: Intermediate Accounting 3e (Gordon/Raedy/Sannella) – PDF Download
View Document

Complete Test Bank: Intermediate Accounting 3e (Gordon/Raedy/Sannella) – PDF Download

  • mentor2000

    mentor2000

  • solution manual

Test Bank For Intermediate Accounting 3rd Edition by Elizabeth A. Gordon, Jana S. Raedy, Alexander J. Sannella...

15 USD

0

0

Test Bank for Pharmacotherapy Principles & Practice, 6th Edition (Chisholm-Burns) | 1000+ Q&A & Rationales – Pharmacy Exam Prep
View Document

Test Bank for Pharmacotherapy Principles & Practice, 6th Edition (Chisholm-Burns) | 1000+ Q&A & Rationales – Pharmacy Exam Prep

  • claratutor1

    claratutor1

  • test bank

Pharmacy exam prep made easy—Chisholm-Burns Pharmacotherapy Test Bank (6th Ed). 1000+ verified Q&A, rationales, and in...

15 USD

0

21

Test Bank for Modern Blood Banking & Transfusion Practices 7th Edition by Denise M. Harmening | Complete Exam Prep with Verified Questions & Answers
View Document

Test Bank for Modern Blood Banking & Transfusion Practices 7th Edition by Denise M. Harmening | Complete Exam Prep with Verified Questions & Answers

  • claratutor1

    claratutor1

  • test bank

Get the Test Bank for Modern Blood Banking & Transfusion Practices 7th Ed. Harmening. Complete exam prep with verified q...

15 USD

0

0

Test Bank for Kaplan and Sadock's Comprehensive Textbook of Psychiatry 11th Edition Robert Boland & Marcia Verduin
View Document

Test Bank for Kaplan and Sadock's Comprehensive Textbook of Psychiatry 11th Edition Robert Boland & Marcia Verduin

  • Namwaki

    Namwaki

  • test bank

Prepare smarter with the Kaplan & Sadock 11th Edition Test Bank. Full chapter coverage, expert Q&A, and updated psychiat...

15 USD

0

0

Kaplan & Sadock Comprehensive Psychiatry Test Bank – 10th-Edition (Full Chapter Coverage & Rationales)
View Document

Kaplan & Sadock Comprehensive Psychiatry Test Bank – 10th-Edition (Full Chapter Coverage & Rationales)

  • Opati-Kaka

    Opati-Kaka

  • test bank

Test Bank for Kaplan and Sadock's Comprehensive Textbook of Psychiatry 10th Edition by Benjamin J. Sadock (Author), Virg...

15 USD

0

0

ARRT Test Bank 2026 | Complete Radiography Exam Prep | 350+ Verified Questions & Answers
View Document

ARRT Test Bank 2026 | Complete Radiography Exam Prep | 350+ Verified Questions & Answers

  • Kaponga

    Kaponga

  • test bank

Prepare for the ARRT Radiography Exam 2025 with this complete test bank. 350+ verified questions & answers for registry ...

12 USD

0

0

TEST BANK - Nancy Caroline’s Emergency Care in the Streets, 8th  Edition by Nancy Caroline] Chapters 1 - 53 | All Chapters
View Document

TEST BANK - Nancy Caroline’s Emergency Care in the Streets, 8th Edition by Nancy Caroline] Chapters 1 - 53 | All Chapters

  • Nursecelestine0065

    Nursecelestine0065

  • test bank

TEST BANK - Nancy Caroline’s Emergency Care in the Streets, 8th Edition by Nancy Caroline] Chapters 1 - 53 | All Chapt...

30 USD

0

0

Test Bank for Organic Chemistry, 6th Edition (Janice Gorzynski Smith) – Complete Chapters | Verified Questions & Answers
View Document

Test Bank for Organic Chemistry, 6th Edition (Janice Gorzynski Smith) – Complete Chapters | Verified Questions & Answers

  • mentor2000

    mentor2000

  • test bank

Test Bank for Organic Chemistry, 6th Edition (Janice Gorzynski Smith) – Complete Chapters | Verified Questions & Answe...

15 USD

0

0

Test bank for Pathophysiology of Disease, An Introduction to Clinical Medicine 8th Edition Hammer, McPhee
View Document

Test bank for Pathophysiology of Disease, An Introduction to Clinical Medicine 8th Edition Hammer, McPhee

  • Opati-Kaka

    Opati-Kaka

  • test bank

Test bank Pathophysiology of Disease, An Introduction to Clinical Medicine 8th Edition Hammer, McPhee...

15 USD

0

0

Test Bank for Toward Healthy Aging, 11th Edition by Theris A. Touhy and Kathleen F. Jett | All Chapters | 1-35
View Document

Test Bank for Toward Healthy Aging, 11th Edition by Theris A. Touhy and Kathleen F. Jett | All Chapters | 1-35

  • claratutor1

    claratutor1

  • test bank

Test Bank for Toward Healthy Aging, 11th Edition by Theris A. Touhy and Kathleen F. Jett | All Chapters | 1-35...

15 USD

0

14

Test Bank for Todays Technician Automotive Heating & Air Conditioning Classroom Manual and Shop Manual, 5th Edition
View Document

Test Bank for Todays Technician Automotive Heating & Air Conditioning Classroom Manual and Shop Manual, 5th Edition

  • tutorvalentine

    tutorvalentine

  • test bank

Test Bank for Todays Technician Automotive Heating & Air Conditioning Classroom Manual and Shop Manual, 5th Edition...

15 USD

0

0

Test Bank for Sectional Anatomy for Imaging Professionals 4th Edition By Kelley
View Document

Test Bank for Sectional Anatomy for Imaging Professionals 4th Edition By Kelley

  • tutorvalentine

    tutorvalentine

  • test bank

Test Bank for Sectional Anatomy for Imaging Professionals 4th Edition By Kelley...

15 USD

0

0

Test Bank for Molecular Biology, 5th Edition by Robert Weaver
View Document

Test Bank for Molecular Biology, 5th Edition by Robert Weaver

  • tutorvalentine

    tutorvalentine

  • test bank

Test Bank for Molecular Biology, 5th Edition by Robert Weaver...

15 USD

0

0

Test Bank for Managerial Accounting, 13th Edition, Ray H. Garrison, Theresa Libby Alan Webb
View Document

Test Bank for Managerial Accounting, 13th Edition, Ray H. Garrison, Theresa Libby Alan Webb

  • tutorvalentine

    tutorvalentine

  • test bank

Test Bank for Managerial Accounting, 13th Edition, Ray H. Garrison, Theresa Libby Alan Webb...

15 USD

0

0

Test Bank Priorities Critical Care Nursing 7th Edition Urden Stacy Lough
View Document

Test Bank Priorities Critical Care Nursing 7th Edition Urden Stacy Lough

  • tutorvalentine

    tutorvalentine

  • test bank

Test Bank Priorities Critical Care Nursing 7th Edition Urden Stacy Lough...

15 USD

0

0

Test Bank for Human Anatomy, 6th Edition, Michael McKinley, Valerie O’Lough
View Document

Test Bank for Human Anatomy, 6th Edition, Michael McKinley, Valerie O’Lough

  • tutorvalentine

    tutorvalentine

  • test bank

Test Bank for Human Anatomy, 6th Edition, Michael McKinley, Valerie O’Lough...

15 USD

0

0

Test Bank for Dental Public Health and Research 4th Edition by Nathe
View Document

Test Bank for Dental Public Health and Research 4th Edition by Nathe

  • tutorvalentine

    tutorvalentine

  • test bank

Test Bank for Dental Public Health and Research 4th Edition by Nathe...

15 USD

0

0

Test Bank for Consumer Behavior and Marketing Strategy, 9th Edition by J. Paul Peter
View Document

Test Bank for Consumer Behavior and Marketing Strategy, 9th Edition by J. Paul Peter

  • tutorvalentine

    tutorvalentine

  • test bank

Test Bank for Consumer Behavior and Marketing Strategy, 9th Edition by J. Paul Peter...

15 USD

0

0

Test Bank for Concepts in Strategic Management and Business Policy, 12th Edition by Wheelen
View Document

Test Bank for Concepts in Strategic Management and Business Policy, 12th Edition by Wheelen

  • tutorvalentine

    tutorvalentine

  • test bank

Test Bank for Concepts in Strategic Management and Business Policy, 12th Edition by Wheelen...

15 USD

0

0

Test Bank for Business Law and the Legal Environment, 6th Edition by Beatty
View Document

Test Bank for Business Law and the Legal Environment, 6th Edition by Beatty

  • tutorvalentine

    tutorvalentine

  • test bank

Test Bank for Business Law and the Legal Environment, 6th Edition by Beatty...

15 USD

0

0

Test Bank for Human Physiology, From Cells to Systems 5th Ed Lauralee Sherwood & Ward
View Document

Test Bank for Human Physiology, From Cells to Systems 5th Ed Lauralee Sherwood & Ward

  • Pasing-Grades

    Pasing-Grades

  • exam elaborations

Test Bank for Human Physiology, From Cells to Systems 5th Edition Lauralee Sherwood, Christopher Ward...

15 USD

0

0

Test Bank for Human Physiology, From Cells to Systems 5th Edition Lauralee Sherwood, Christopher Ward
View Document

Test Bank for Human Physiology, From Cells to Systems 5th Edition Lauralee Sherwood, Christopher Ward

  • mentor2000

    mentor2000

  • test bank

Test Bank for Human Physiology, From Cells to Systems 5th Edition Lauralee Sherwood, Christopher Ward...

15 USD

0

0

Test Bank for South-Western Federal Taxation 2026, Individual Income Taxes 48th Edition 48th Edition by Young, Persellin, Cuccia
View Document

Test Bank for South-Western Federal Taxation 2026, Individual Income Taxes 48th Edition 48th Edition by Young, Persellin, Cuccia

  • Opati-Kaka

    Opati-Kaka

  • solution manual

Test Bank for South-Western Federal Taxation 2025, Individual Income Taxes 48th Edition 48th Edition by Young, Persellin...

15 USD

0

0

Test Bank for Chemistry The Central Science, Global Edition (15th Edition) by Brow
View Document

Test Bank for Chemistry The Central Science, Global Edition (15th Edition) by Brow

  • tutorvalentine

    tutorvalentine

  • test bank

Test Bank for Chemistry The Central Science, Global Edition (15th Edition) by Brow...

15 USD

0

0

Test Bank for Supervision Today! 9th Edition By Stephen Robbins, David DeCenzo, Robert Wolter
View Document

Test Bank for Supervision Today! 9th Edition By Stephen Robbins, David DeCenzo, Robert Wolter

  • Opati-Kaka

    Opati-Kaka

  • test bank

Test Bank for Supervision Today! 9th Edition By Stephen Robbins, David DeCenzo, Robert Wolter...

15 USD

0

0

Free Medical-Surgical Nursing Test Bank
View Document

Free Medical-Surgical Nursing Test Bank

  • claratutor1

    claratutor1

  • test bank

Download a free sample of the Brunner & Suddarth Medical-Surgical Nursing Test Bank. Includes NCLEX-style questions from...

Free

0

0

FAA Part 107 Comprehensive Test Bank with Real Tested Questions and Answers (2026)
View Document

FAA Part 107 Comprehensive Test Bank with Real Tested Questions and Answers (2026)

  • Pasing-Grades

    Pasing-Grades

  • exam elaborations

FAA Part 107 Comprehensive Test Bank with Real Tested Questions and Answers...

8 USD

0

0

Test Bank for Investments, 12th Edition, Zvi Bodie Alex Kane Alan Marcus
View Document

Test Bank for Investments, 12th Edition, Zvi Bodie Alex Kane Alan Marcus

  • mentor2000

    mentor2000

  • test bank

Test Bank for Investments, 12th Edition, Zvi Bodie Alex Kane Alan Marcus...

15 USD

0

0

Test Bank for Managing Performance through Training and Development, 8th Edition, Alan M. Saks, Robert R. Haccoun
View Document

Test Bank for Managing Performance through Training and Development, 8th Edition, Alan M. Saks, Robert R. Haccoun

  • mentor2000

    mentor2000

  • test bank

Test Bank for Managing Performance through Training and Development, 8th Edition, Alan M. Saks, Robert R. Haccoun...

15 USD

0

0

Test Bank for Marketing, 20th Edition, William M. Pride, O. C. Ferrell
View Document

Test Bank for Marketing, 20th Edition, William M. Pride, O. C. Ferrell

  • mentor2000

    mentor2000

  • test bank

Test Bank for Marketing, 20th Edition, William M. Pride, O. C. Ferrell...

15 USD

0

0

Test Bank for Medical Physiology, 3rd Edition, Walter Boron, Emile Boulpaep
View Document

Test Bank for Medical Physiology, 3rd Edition, Walter Boron, Emile Boulpaep

  • mentor2000

    mentor2000

  • test bank

Test Bank for Medical Physiology, 3rd Edition, Walter Boron, Emile Boulpaep...

15 USD

0

0

Test Bank for Microbiology Fundamentals, A Clinical Approach, 4th Edition Marjorie Kelly Cowan Heidi Smith
View Document

Test Bank for Microbiology Fundamentals, A Clinical Approach, 4th Edition Marjorie Kelly Cowan Heidi Smith

  • mentor2000

    mentor2000

  • test bank

Test Bank for Microbiology Fundamentals, A Clinical Approach, 4th Edition Marjorie Kelly Cowan Heidi Smith...

15 USD

0

0

Test Bank for Nester’s Microbiology, A Human Perspective, 10th Edition, Denise Anderson, Sarah Salm Eugene Nester
View Document

Test Bank for Nester’s Microbiology, A Human Perspective, 10th Edition, Denise Anderson, Sarah Salm Eugene Nester

  • mentor2000

    mentor2000

  • test bank

Test Bank for Nester’s Microbiology, A Human Perspective, 10th Edition, Denise Anderson, Sarah Salm Eugene Nester...

15 USD

0

0

Test Bank for Operations and Supply Chain Management, 2nd Edition David Alan Collier James R. Evans
View Document

Test Bank for Operations and Supply Chain Management, 2nd Edition David Alan Collier James R. Evans

  • mentor2000

    mentor2000

  • test bank

Test Bank for Operations and Supply Chain Management, 2nd Edition David Alan Collier James R. Evans...

15 USD

0

0

Test Bank for Operations Management 14th Edition William J Stevenson
View Document

Test Bank for Operations Management 14th Edition William J Stevenson

  • mentor2000

    mentor2000

  • test bank

Test Bank for Operations Management 14th Edition William J Stevenson...

15 USD

0

0

Test Bank for Introductory Econometrics A Modern Approach, 7th Edition, Jeffrey M. Wooldridge
View Document

Test Bank for Introductory Econometrics A Modern Approach, 7th Edition, Jeffrey M. Wooldridge

  • Angelicer

    Angelicer

  • test bank

Test Bank for Introductory Econometrics A Modern Approach, 7th Edition, Jeffrey M. Wooldridge...

15 USD

0

0

Test Bank for International Financial Management, 14th Edition, Jeff Madura
View Document

Test Bank for International Financial Management, 14th Edition, Jeff Madura

  • Angelicer

    Angelicer

  • test bank

Test Bank for International Financial Management, 14th Edition, Jeff Madura...

15 USD

0

0

Test Bank for Human Physiology, 16th Edition, Stuart Fox Krista Rompolski
View Document

Test Bank for Human Physiology, 16th Edition, Stuart Fox Krista Rompolski

  • Angelicer

    Angelicer

  • test bank

Test Bank for Human Physiology, 16th Edition, Stuart Fox Krista Rompolski...

15 USD

0

0

Test Bank for Forecasting and Predictive Analytics with Forecast X (TM), 7th Edition, Barry Keating, J. Holton Wilson, John Solutions Inc
View Document

Test Bank for Forecasting and Predictive Analytics with Forecast X (TM), 7th Edition, Barry Keating, J. Holton Wilson, John Solutions Inc

  • Angelicer

    Angelicer

  • test bank

Test Bank for Forecasting and Predictive Analytics with Forecast X (TM), 7th Edition, Barry Keating, J. Holton Wilson, J...

15 USD

0

0

Test Bank for Cultural Psychology 4th Edition Steven J Heine
View Document

Test Bank for Cultural Psychology 4th Edition Steven J Heine

  • Angelicer

    Angelicer

  • test bank

Test Bank for Cultural Psychology 4th Edition Steven J Heine...

15 USD

0

0

Test Bank for Cognitive Psychology, Connecting Mind, Research, and Everyday Experience, 5th Edition, E. Bruce Goldstein
View Document

Test Bank for Cognitive Psychology, Connecting Mind, Research, and Everyday Experience, 5th Edition, E. Bruce Goldstein

  • Angelicer

    Angelicer

  • test bank

Test Bank for Cognitive Psychology, Connecting Mind, Research, and Everyday Experience, 5th Edition, E. Bruce Goldstein...

15 USD

0

0

Test Bank for Business Research Methods, 14th Edition Pamela Schindler
View Document

Test Bank for Business Research Methods, 14th Edition Pamela Schindler

  • Angelicer

    Angelicer

  • test bank

Test Bank for Business Research Methods, 14th Edition Pamela Schindler...

15 USD

0

0

Test Bank for Business Analytics, 4th Edition, Jeffrey D. Camm, James J. Cochran, Michael J. Fry, Jeffrey W. Ohlmann
View Document

Test Bank for Business Analytics, 4th Edition, Jeffrey D. Camm, James J. Cochran, Michael J. Fry, Jeffrey W. Ohlmann

  • Angelicer

    Angelicer

  • test bank

Test Bank for Business Analytics, 4th Edition, Jeffrey D. Camm, James J. Cochran, Michael J. Fry, Jeffrey W. Ohlmann...

15 USD

0

0

Test Bank for Accounting for Governmental & Nonprofit Entities, 19th Edition, Jacqueline Reck, Suzanne Lowensohn Daniel Neely
View Document

Test Bank for Accounting for Governmental & Nonprofit Entities, 19th Edition, Jacqueline Reck, Suzanne Lowensohn Daniel Neely

  • Angelicer

    Angelicer

  • test bank

Test Bank for Accounting for Governmental & Nonprofit Entities, 19th Edition, Jacqueline Reck, Suzanne Lowensohn Daniel ...

15 USD

0

0

The Skilled Helper: A Problem-Management and Opportunity-Development Approach to Helping | 11th Edition Gerard Egan/Robert J. Reese
View Document

The Skilled Helper: A Problem-Management and Opportunity-Development Approach to Helping | 11th Edition Gerard Egan/Robert J. Reese

  • claratutor1

    claratutor1

  • book

The Skilled Helper: A Problem-Management and Opportunity-Development Approach to Helping | 11th Edition Gerard Egan/Robe...

10 USD

0

0

Test Bank for The Personality Puzzle 8th Edition, by David C. Funder
View Document

Test Bank for The Personality Puzzle 8th Edition, by David C. Funder

  • Angelicer

    Angelicer

  • test bank

Test Bank for The Personality Puzzle 8th Edition, by David C. Funder...

15 USD

0

0

Test Bank for Supply Chain Management 7th Edition Sunil Chopra
View Document

Test Bank for Supply Chain Management 7th Edition Sunil Chopra

  • Angelicer

    Angelicer

  • test bank

Test Bank for Supply Chain Management 7th Edition Sunil Chopra...

15 USD

0

0

Test Bank for Strategic Management, 10th Edition by Hitt
View Document

Test Bank for Strategic Management, 10th Edition by Hitt

  • Angelicer

    Angelicer

  • test bank

Test Bank for Strategic Management, 10th Edition by Hitt...

15 USD

0

0

Test Bank For Marketing Strategy- A Decision-Focused Approach, 8th edition by John Mullins, Orville Walker
View Document

Test Bank For Marketing Strategy- A Decision-Focused Approach, 8th edition by John Mullins, Orville Walker

  • Angelicer

    Angelicer

  • test bank

Test Bank For Marketing Strategy- A Decision-Focused Approach, 8th edition by John Mullins, Orville Walker...

15 USD

0

0

Test Bank for Macroeconomics 5th Edition Charles I Jones
View Document

Test Bank for Macroeconomics 5th Edition Charles I Jones

  • Angelicer

    Angelicer

  • test bank

Test Bank for Macroeconomics 5th Edition Charles I Jones...

15 USD

0

0

Test Bank for Clinical Laboratory Hematology, 4th Edition, Shirlyn McKenzie, Lynne Williams
View Document

Test Bank for Clinical Laboratory Hematology, 4th Edition, Shirlyn McKenzie, Lynne Williams

  • Angelicer

    Angelicer

  • test bank

Test Bank for Clinical Laboratory Hematology, 4th Edition, Shirlyn McKenzie, Lynne Williams...

15 USD

0

1

Test Bank for Business and Society, Ethics, Sustainability, and Stakeholder Management, 9th Edition, Archie B. Carroll, Ann K. Buchholtz
View Document

Test Bank for Business and Society, Ethics, Sustainability, and Stakeholder Management, 9th Edition, Archie B. Carroll, Ann K. Buchholtz

  • Angelicer

    Angelicer

  • test bank

Test Bank for Business and Society, Ethics, Sustainability, and Stakeholder Management, 9th Edition, Archie B. Carroll, ...

15 USD

0

0

(All Chapters) Test Bank for Biochemistry, A Short Course, 4th Edition, John Tymoczko
View Document

(All Chapters) Test Bank for Biochemistry, A Short Course, 4th Edition, John Tymoczko

  • Angelicer

    Angelicer

  • test bank

Test Bank for Biochemistry, A Short Course, 4th Edition, John Tymoczko, Jeremy M. Berg, Gregory J. Gatto Jr., Lubert Str...

15 USD

0

0

Test Bank for Child Health Nursing 3rd Edition Bindler
View Document

Test Bank for Child Health Nursing 3rd Edition Bindler

  • Angelicer

    Angelicer

  • test bank

Child Health Nursing 3rd Edition Bindler Test Bank...

15 USD

0

0

Test Bank for Chemistry 14th Edition By Jason Overby and Raymond Chang | All Chapters
View Document

Test Bank for Chemistry 14th Edition By Jason Overby and Raymond Chang | All Chapters

  • Pasing-Grades

    Pasing-Grades

  • solution manual

Get exam prep questions for Chemistry 14th Edition By Jason Overby and Raymond Chang with this comprehensive test bank....

15 USD

0

0

Test Bank for Financial Management Theory & Practice 16th Edition By Eugene Brigham, Michael Ehrhardt
View Document

Test Bank for Financial Management Theory & Practice 16th Edition By Eugene Brigham, Michael Ehrhardt

  • mentor2000

    mentor2000

  • exam elaborations

Test Bank for Financial Management Theory & Practice 16th Edition By Eugene Brigham, Michael Ehrhardt...

15 USD

0

0

FNP Test Bank – Comprehensive Exam Preparation for Family Nurse Practitioner Students
View Document

FNP Test Bank – Comprehensive Exam Preparation for Family Nurse Practitioner Students

  • mentor2000

    mentor2000

  • exam elaborations

FNP Test Bank – Comprehensive Exam Preparation for Family Nurse Practitioner Students...

10 USD

0

0

Test Bank for Microeconomics 12th Edition Michael Parkin
View Document

Test Bank for Microeconomics 12th Edition Michael Parkin

  • GradeA

    GradeA

  • test bank

Test Bank for Microeconomics 12th Edition Michael Parkin...

15 USD

0

0

Test Bank for Life in the Universe 4th Edition Bennett
View Document

Test Bank for Life in the Universe 4th Edition Bennett

  • GradeA

    GradeA

  • test bank

Test Bank for Life in the Universe 4th Edition Bennett...

15 USD

0

0

Test Bank for Integrated Marketing Communications Strategic Planning Perspectives Canadian 5th Edition Tuckwell
View Document

Test Bank for Integrated Marketing Communications Strategic Planning Perspectives Canadian 5th Edition Tuckwell

  • GradeA

    GradeA

  • test bank

Test Bank for Integrated Marketing Communications Strategic Planning Perspectives Canadian 5th Edition Tuckwell...

17 USD

0

0

Test Bank for Ecology Concepts and Applications 7th Edition Molles
View Document

Test Bank for Ecology Concepts and Applications 7th Edition Molles

  • GradeA

    GradeA

  • test bank

Test Bank for Ecology Concepts and Applications 7th Edition Molles...

15 USD

0

0

Test Bank for Creative Approach to Music Fundamentals 11th Edition William Duckworth
View Document

Test Bank for Creative Approach to Music Fundamentals 11th Edition William Duckworth

  • GradeA

    GradeA

  • test bank

Test Bank for Creative Approach to Music Fundamentals 11th Edition William Duckworth...

15 USD

0

0

Test Bank for Systems Analysis and Design in a Changing World 7th Edition Satzinger
View Document

Test Bank for Systems Analysis and Design in a Changing World 7th Edition Satzinger

  • Angelicer

    Angelicer

  • test bank

Test Bank for Systems Analysis and Design in a Changing World 7th Edition Satzinger...

15 USD

0

0

Test Bank for Robbins and Cotran Pathologic Basis of Disease 9th Edition Kumar
View Document

Test Bank for Robbins and Cotran Pathologic Basis of Disease 9th Edition Kumar

  • Angelicer

    Angelicer

  • test bank

Test Bank for Robbins and Cotran Pathologic Basis of Disease 9th Edition Kumar...

15 USD

0

0

Test Bank for Raven Biology of Plants 8th Edition Evert
View Document

Test Bank for Raven Biology of Plants 8th Edition Evert

  • Angelicer

    Angelicer

  • test bank

Test Bank for Raven Biology of Plants 8th Edition Evert...

15 USD

0

0

Test Bank for Principles of Corporate Finance 11th Edition Brealey
View Document

Test Bank for Principles of Corporate Finance 11th Edition Brealey

  • Angelicer

    Angelicer

  • test bank

Test Bank for Principles of Corporate Finance 11th Edition Brealey...

15 USD

0

0

Test Bank for Organizational Behavior An Experiential Approach 8th Edition Osland
View Document

Test Bank for Organizational Behavior An Experiential Approach 8th Edition Osland

  • Angelicer

    Angelicer

  • test bank

Test Bank for Organizational Behavior An Experiential Approach 8th Edition Osland...

15 USD

0

0

Test Bank for Microeconomic Theory Basic Principles and Extensions 12th Edition Nicholson
View Document

Test Bank for Microeconomic Theory Basic Principles and Extensions 12th Edition Nicholson

  • Angelicer

    Angelicer

  • test bank

Test Bank for Microeconomic Theory Basic Principles and Extensions 12th Edition Nicholson...

15 USD

0

0

Test Bank for Meeting the Ethical Challenges of Leadership Casting Light or Shadow 6th Edition Johnson
View Document

Test Bank for Meeting the Ethical Challenges of Leadership Casting Light or Shadow 6th Edition Johnson

  • Angelicer

    Angelicer

  • test bank

Test Bank for Meeting the Ethical Challenges of Leadership Casting Light or Shadow 6th Edition Johnson...

15 USD

0

0

Test Bank for Lehninger Principles of Biochemistry 7th Edition Nelson
View Document

Test Bank for Lehninger Principles of Biochemistry 7th Edition Nelson

  • Angelicer

    Angelicer

  • test bank

Test Bank for Lehninger Principles of Biochemistry 7th Edition Nelson...

15 USD

0

0

Test Bank for Exploring Social Psychology 8th Edition Myers
View Document

Test Bank for Exploring Social Psychology 8th Edition Myers

  • Angelicer

    Angelicer

  • test bank

Test Bank for Exploring Social Psychology 8th Edition Myers...

15 USD

0

0

Test Bank for Close Encounters Communication in Relationships 5th Edition Guerrero
View Document

Test Bank for Close Encounters Communication in Relationships 5th Edition Guerrero

  • Angelicer

    Angelicer

  • test bank

Test Bank for Close Encounters Communication in Relationships 5th Edition Guerrero...

15 USD

0

0

Test Bank for Principles Of Biochemistry 5th Edition Moran
View Document

Test Bank for Principles Of Biochemistry 5th Edition Moran

  • Angelicer

    Angelicer

  • test bank

Test Bank for Principles Of Biochemistry 5th Edition Moran...

15 USD

0

0

Test Bank for Financial Markets and Institutions 9th Edition Mishkin
View Document

Test Bank for Financial Markets and Institutions 9th Edition Mishkin

  • Angelicer

    Angelicer

  • test bank

Test Bank for Financial Markets and Institutions 9th Edition Mishkin...

15 USD

0

0

Test Bank for Evolutionary Analysis 5th Edition Herron
View Document

Test Bank for Evolutionary Analysis 5th Edition Herron

  • Angelicer

    Angelicer

  • test bank

Test Bank for Evolutionary Analysis 5th Edition Herron...

15 USD

0

0

Test Bank for Economic Development 12th Edition Todaro
View Document

Test Bank for Economic Development 12th Edition Todaro

  • Angelicer

    Angelicer

  • test bank

Test Bank for Economic Development 12th Edition Todaro...

15 USD

0

0

Test Bank for Drugs and Behavior An Introduction to Behavioral Pharmacology 8th Edition hancock
View Document

Test Bank for Drugs and Behavior An Introduction to Behavioral Pharmacology 8th Edition hancock

  • Angelicer

    Angelicer

  • test bank

Test Bank for Drugs and Behavior An Introduction to Behavioral Pharmacology 8th Edition hancock...

15 USD

0

0

Test Bank for Business Ethics Ethical Decision Making and Cases 10th Edition Ferrell
View Document

Test Bank for Business Ethics Ethical Decision Making and Cases 10th Edition Ferrell

  • Angelicer

    Angelicer

  • test bank

Test Bank for Business Ethics Ethical Decision Making and Cases 10th Edition Ferrell...

15 USD

0

0

Test Bank for American Pageant 16th Edition Kennedy
View Document

Test Bank for American Pageant 16th Edition Kennedy

  • Angelicer

    Angelicer

  • test bank

Test Bank for American Pageant 16th Edition Kennedy...

15 USD

0

0

Test Bank for Abnormal Psychology Canadian 6th Edition Flett
View Document

Test Bank for Abnormal Psychology Canadian 6th Edition Flett

  • Angelicer

    Angelicer

  • test bank

Test Bank for Abnormal Psychology Canadian 6th Edition Flett...

15 USD

0

0

Test Bank for Abnormal Psychology An Integrative Approach 8th Edition Barlow
View Document

Test Bank for Abnormal Psychology An Integrative Approach 8th Edition Barlow

  • Angelicer

    Angelicer

  • test bank

Test Bank for Abnormal Psychology An Integrative Approach 8th Edition Barlow...

15 USD

0

0

Test Bank for Abnormal Psychology An Integrative Approach 7th Edition Barlow
View Document

Test Bank for Abnormal Psychology An Integrative Approach 7th Edition Barlow

  • Angelicer

    Angelicer

  • test bank

Test Bank for Abnormal Psychology An Integrative Approach 7th Edition Barlow...

15 USD

0

0

Test Bank for Abnormal Psychology An Integrative Approach 7th Edition Barlow
View Document

Test Bank for Abnormal Psychology An Integrative Approach 7th Edition Barlow

  • Angelicer

    Angelicer

  • test bank

Test Bank for Abnormal Psychology An Integrative Approach 7th Edition Barlow...

15 USD

0

0

Test Bank for Understanding Financial Statements 11th Edition Fraser
View Document

Test Bank for Understanding Financial Statements 11th Edition Fraser

  • mentor2000

    mentor2000

  • test bank

Test Bank for Understanding Financial Statements 11th Edition Fraser...

15 USD

0

0

Test Bank for Trigonometry 11th Edition Lial
View Document

Test Bank for Trigonometry 11th Edition Lial

  • mentor2000

    mentor2000

  • test bank

Test Bank for Trigonometry 11th Edition Lial...

15 USD

0

0

Test Bank for Thomas Calculus Early Transcendentals 14th Edition Hass
View Document

Test Bank for Thomas Calculus Early Transcendentals 14th Edition Hass

  • mentor2000

    mentor2000

  • test bank

Test Bank for Thomas Calculus Early Transcendentals 14th Edition Hass...

15 USD

0

0

Test Bank for Surgical Technology for the Surgical Technologist A Positive Care Approach 5th Edition Association of Surgical Technologists
View Document

Test Bank for Surgical Technology for the Surgical Technologist A Positive Care Approach 5th Edition Association of Surgical Technologists

  • mentor2000

    mentor2000

  • test bank

Test Bank for Surgical Technology for the Surgical Technologist A Positive Care Approach 5th Edition Association of Surg...

15 USD

0

0

Test Bank for Successful Project Management 7th Edition Gido
View Document

Test Bank for Successful Project Management 7th Edition Gido

  • mentor2000

    mentor2000

  • test bank

Test Bank for Successful Project Management 7th Edition Gido...

15 USD

0

0

Test Bank for Social Problems in a Diverse Society Canadian 4th Edition Kendall
View Document

Test Bank for Social Problems in a Diverse Society Canadian 4th Edition Kendall

  • mentor2000

    mentor2000

  • test bank

Test Bank for Social Problems in a Diverse Society Canadian 4th Edition Kendall...

15 USD

0

0

Test Bank for Marketing Research Essentials Canadian 2nd Edition McDaniel
View Document

Test Bank for Marketing Research Essentials Canadian 2nd Edition McDaniel

  • mentor2000

    mentor2000

  • test bank

Test Bank for Marketing Research Essentials Canadian 2nd Edition McDaniel...

15 USD

0

0

Test Bank for Introduction to Group Work Practice 8th Edition Toseland
View Document

Test Bank for Introduction to Group Work Practice 8th Edition Toseland

  • mentor2000

    mentor2000

  • test bank

Test Bank for Introduction to Group Work Practice 8th Edition Toseland...

15 USD

0

0

Test Bank for Behavior Modification Principles and Procedures 6th Edition Miltenberger
View Document

Test Bank for Behavior Modification Principles and Procedures 6th Edition Miltenberger

  • mentor2000

    mentor2000

  • test bank

Test Bank for Behavior Modification Principles and Procedures 6th Edition Miltenberger...

15 USD

0

0

Test Bank for Basic Clinical Lab Competencies For Respiratory Care 5th Edition White
View Document

Test Bank for Basic Clinical Lab Competencies For Respiratory Care 5th Edition White

  • mentor2000

    mentor2000

  • test bank

Test Bank for Basic Clinical Lab Competencies For Respiratory Care 5th Edition White...

15 USD

0

0

Test Bank for Visual Anatomy and Physiology Lab Manual Cat Version 2nd Edition Sarikas
View Document

Test Bank for Visual Anatomy and Physiology Lab Manual Cat Version 2nd Edition Sarikas

  • GradeA

    GradeA

  • test bank

Test Bank for Visual Anatomy and Physiology Lab Manual Cat Version 2nd Edition Sarikas...

15 USD

0

0

Test Bank for Theories of Counseling and Psychotherapy An Integrative Approach 2nd Edition Jones Smith
View Document

Test Bank for Theories of Counseling and Psychotherapy An Integrative Approach 2nd Edition Jones Smith

  • GradeA

    GradeA

  • test bank

Test Bank for Theories of Counseling and Psychotherapy An Integrative Approach 2nd Edition Jones Smith...

15 USD

0

0

Test Bank for Single Variable Calculus Early Transcendentals 7th Edition Stewart
View Document

Test Bank for Single Variable Calculus Early Transcendentals 7th Edition Stewart

  • GradeA

    GradeA

  • test bank

Test Bank for Single Variable Calculus Early Transcendentals 7th Edition Stewart...

15 USD

0

0

Test Bank for Robbins Basic Pathology 9th Edition Kumar
View Document

Test Bank for Robbins Basic Pathology 9th Edition Kumar

  • GradeA

    GradeA

  • test bank

Test Bank for Robbins Basic Pathology 9th Edition Kumar...

15 USD

0

0

Test Bank for Respiratory Care Anatomy and Physiology 3rd Edition Will Beachey
View Document

Test Bank for Respiratory Care Anatomy and Physiology 3rd Edition Will Beachey

  • GradeA

    GradeA

  • test bank

Test Bank for Respiratory Care Anatomy and Physiology 3rd Edition Will Beachey...

15 USD

0

0

Test Bank for Quantitative Chemical Analysis 9th Edition Harris
View Document

Test Bank for Quantitative Chemical Analysis 9th Edition Harris

  • GradeA

    GradeA

  • test bank

Test Bank for Quantitative Chemical Analysis 9th Edition Harris...

15 USD

0

0

Test Bank for Public Finance and Public Policy 5th Edition Gruber
View Document

Test Bank for Public Finance and Public Policy 5th Edition Gruber

  • GradeA

    GradeA

  • test bank

Test Bank for Public Finance and Public Policy 5th Edition Gruber...

15 USD

0

0

Test Bank for Organizational Change An Action Oriented Toolkit 3rd Edition Cawsey
View Document

Test Bank for Organizational Change An Action Oriented Toolkit 3rd Edition Cawsey

  • GradeA

    GradeA

  • test bank

Test Bank for Organizational Change An Action Oriented Toolkit 3rd Edition Cawsey...

15 USD

0

0

Test Bank for Applied Behavior Analysis for Teachers 9th Edition Paul
View Document

Test Bank for Applied Behavior Analysis for Teachers 9th Edition Paul

  • GradeA

    GradeA

  • test bank

Test Bank for Applied Behavior Analysis for Teachers 9th Edition Paul...

15 USD

0

0

Test Bank for Drugs Behavior And Modern Society 8th Edition Levinthal
View Document

Test Bank for Drugs Behavior And Modern Society 8th Edition Levinthal

  • GradeA

    GradeA

  • test bank

Test Bank for Drugs Behavior And Modern Society 8th Edition Levinthal...

15 USD

0

0

Test Bank for Data And Computer Communications 10th Edition Stallings
View Document

Test Bank for Data And Computer Communications 10th Edition Stallings

  • GradeA

    GradeA

  • test bank

Test Bank for Data And Computer Communications 10th Edition Stallings...

15 USD

0

0

Test Bank for Basics of Social Research 7th Edition Babbie
View Document

Test Bank for Basics of Social Research 7th Edition Babbie

  • GradeA

    GradeA

  • test bank

Test Bank for Basics of Social Research 7th Edition Babbie...

15 USD

0

0

Test Bank for Basic Business Statistics 12th Edition Berenson
View Document

Test Bank for Basic Business Statistics 12th Edition Berenson

  • GradeA

    GradeA

  • test bank

Test Bank for Basic Business Statistics 12th Edition Berenson...

15 USD

0

0

Test Bank for Algebra and Trigonometry 8th Edition Larson
View Document

Test Bank for Algebra and Trigonometry 8th Edition Larson

  • GradeA

    GradeA

  • test bank

Test Bank for Algebra and Trigonometry 8th Edition Larson...

15 USD

0

0

Test Bank for Abnormal Child Psychology 7th Edition Mash
View Document

Test Bank for Abnormal Child Psychology 7th Edition Mash

  • GradeA

    GradeA

  • test bank

Test Bank for Abnormal Child Psychology 7th Edition Mash...

15 USD

0

0

Test Bank for Pharmacology for Nurses A Pathophysiologic Approach 4th Edition Adams
View Document

Test Bank for Pharmacology for Nurses A Pathophysiologic Approach 4th Edition Adams

  • GradeA

    GradeA

  • test bank

Test Bank for Pharmacology for Nurses A Pathophysiologic Approach 4th Edition Adams...

15 USD

0

0

Test Bank for Marketing Of High Technology Products And Innovations 3rd Edition Mohr
View Document

Test Bank for Marketing Of High Technology Products And Innovations 3rd Edition Mohr

  • GradeA

    GradeA

  • test bank

Test Bank for Marketing Of High Technology Products And Innovations 3rd Edition Mohr...

15 USD

0

0

Test Bank for Language Disorders in Children Fundamental Concepts of Assessment and Intervention 2nd Edition Kaderavek
View Document

Test Bank for Language Disorders in Children Fundamental Concepts of Assessment and Intervention 2nd Edition Kaderavek

  • GradeA

    GradeA

  • test bank

Test Bank for Language Disorders in Children Fundamental Concepts of Assessment and Intervention 2nd Edition Kaderavek...

15 USD

0

0

Test Bank for Immune System 4th Edition Parham
View Document

Test Bank for Immune System 4th Edition Parham

  • GradeA

    GradeA

  • test bank

Test Bank for Immune System 4th Edition Parham...

15 USD

0

0

Test Bank for International Trade Theory and Policy 11th Edition Krugman
View Document

Test Bank for International Trade Theory and Policy 11th Edition Krugman

  • tutor_gesco

    tutor_gesco

  • test bank

Test Bank for International Trade Theory and Policy 11th Edition Krugman...

15 USD

0

0

Test Bank for Fraud Examination 6th Edition Albrecht
View Document

Test Bank for Fraud Examination 6th Edition Albrecht

  • tutor_gesco

    tutor_gesco

  • test bank

Test Bank for Fraud Examination 6th Edition Albrecht...

15 USD

0

0

Test Bank for Foundations of Financial Management 17th Edition Block
View Document

Test Bank for Foundations of Financial Management 17th Edition Block

  • tutor_gesco

    tutor_gesco

  • test bank

Test Bank for Foundations of Financial Management 17th Edition Block...

15 USD

0

0

Test Bank for Family Therapy History Theory and Practice 6th Edition Gladding
View Document

Test Bank for Family Therapy History Theory and Practice 6th Edition Gladding

  • tutor_gesco

    tutor_gesco

  • test bank

Test Bank for Family Therapy History Theory and Practice 6th Edition Gladding...

15 USD

0

0

Test Bank for Family Therapy An Overview 9th Edition Goldenberg
View Document

Test Bank for Family Therapy An Overview 9th Edition Goldenberg

  • tutor_gesco

    tutor_gesco

  • test bank

Test Bank for Family Therapy An Overview 9th Edition Goldenberg...

15 USD

0

0

Test Bank for Essential Research Methods for Social Work 4th Edition Rubin
View Document

Test Bank for Essential Research Methods for Social Work 4th Edition Rubin

  • tutor_gesco

    tutor_gesco

  • test bank

Test Bank for Essential Research Methods for Social Work 4th Edition Rubin...

15 USD

0

0

Test Bank for Economics of Managerial Decisions 1st Edition Blair
View Document

Test Bank for Economics of Managerial Decisions 1st Edition Blair

  • tutor_gesco

    tutor_gesco

  • test bank

Test Bank for Economics of Managerial Decisions 1st Edition Blair...

15 USD

0

0

Test Bank for Economics of Development 7th Edition Perkins
View Document

Test Bank for Economics of Development 7th Edition Perkins

  • tutor_gesco

    tutor_gesco

  • test bank

Test Bank for Economics of Development 7th Edition Perkins...

15 USD

0

0

Test Bank for Crisis Intervention Strategies 8th Edition James
View Document

Test Bank for Crisis Intervention Strategies 8th Edition James

  • tutor_gesco

    tutor_gesco

  • test bank

Test Bank for Crisis Intervention Strategies 8th Edition James...

15 USD

0

0

Test Bank for Consumer Behavior 7th Edition Hoyer
View Document

Test Bank for Consumer Behavior 7th Edition Hoyer

  • tutor_gesco

    tutor_gesco

  • test bank

Test Bank for Consumer Behavior 7th Edition Hoyer...

15 USD

0

0

Test Bank for Theory and Practice of Counseling and Psychotherapy 10th Edition Corey
View Document

Test Bank for Theory and Practice of Counseling and Psychotherapy 10th Edition Corey

  • wangeci

    wangeci

  • test bank

Test Bank for Theory and Practice of Counseling and Psychotherapy 10th Edition Corey...

15 USD

0

0

Test Bank for Practical Real Estate Law 7th Edition Hinkel
View Document

Test Bank for Practical Real Estate Law 7th Edition Hinkel

  • wangeci

    wangeci

  • test bank

Test Bank for Practical Real Estate Law 7th Edition Hinkel...

15 USD

0

0

Test Bank for Organizational Behavior 18th Edition Robbins
View Document

Test Bank for Organizational Behavior 18th Edition Robbins

  • wangeci

    wangeci

  • test bank

Test Bank for Organizational Behavior 18th Edition Robbins...

15 USD

0

0

Test Bank for Organization Theory and Design Canadian 3rd Edition Daft
View Document

Test Bank for Organization Theory and Design Canadian 3rd Edition Daft

  • wangeci

    wangeci

  • test bank

Test Bank for Organization Theory and Design Canadian 3rd Edition Daft...

15 USD

0

0

Test Bank for Human Exceptionality School Community and Family 12th Edition Hardman
View Document

Test Bank for Human Exceptionality School Community and Family 12th Edition Hardman

  • wangeci

    wangeci

  • test bank

Test Bank for Human Exceptionality School Community and Family 12th Edition Hardman...

15 USD

0

0

Test Bank for Give Me Liberty An American History 5th Edition Foner
View Document

Test Bank for Give Me Liberty An American History 5th Edition Foner

  • wangeci

    wangeci

  • test bank

Test Bank for Give Me Liberty An American History 5th Edition Foner...

15 USD

0

0

Test Bank for Foundations of Business 6th Edition Pride
View Document

Test Bank for Foundations of Business 6th Edition Pride

  • wangeci

    wangeci

  • test bank

Test Bank for Foundations of Business 6th Edition Pride...

15 USD

0

0

Test Bank for Foundations of Business 6th Edition Pride
View Document

Test Bank for Foundations of Business 6th Edition Pride

  • wangeci

    wangeci

  • test bank

Test Bank for Foundations of Business 6th Edition Pride...

15 USD

0

0

Test Bank for Earth Science 15th Edition Tarbuck
View Document

Test Bank for Earth Science 15th Edition Tarbuck

  • wangeci

    wangeci

  • test bank

Test Bank for Earth Science 15th Edition Tarbuck...

15 USD

0

0

Test Bank for Biotechnology 2nd Edition Clark
View Document

Test Bank for Biotechnology 2nd Edition Clark

  • wangeci

    wangeci

  • test bank

Test Bank for Biotechnology 2nd Edition Clark...

15 USD

0

0

Test Bank for Basic Immunology Functions And Disorders Of The Immune System 5th Edition Abbas
View Document

Test Bank for Basic Immunology Functions And Disorders Of The Immune System 5th Edition Abbas

  • wangeci

    wangeci

  • test bank

Test Bank for Basic Immunology Functions And Disorders Of The Immune System 5th Edition Abbas...

16 USD

0

0

Test Bank for Human Memory 4th Edition by Gabriel Radvansky All Chapters
View Document

Test Bank for Human Memory 4th Edition by Gabriel Radvansky All Chapters

  • mentor2000

    mentor2000

  • test bank

Test Bank for Human Memory 4th Edition by Gabriel Radvansky All Chapters...

15 USD

0

0

Test Bank for Essentials of Biology, 7th Edition by Mader and Windelspecht
View Document

Test Bank for Essentials of Biology, 7th Edition by Mader and Windelspecht

  • mentor2000

    mentor2000

  • test bank

Essentials of Biology 7th Edition Test Bank PDF – Verified MCQs & Answers. Ideal for college biology, nursing, or exam...

15 USD

0

0

Test Bank for Core Concepts in Health, 4th Canadian Edition, Jennifer Irwin, Shauna Burke, Claire Insel, Walton T. Roth, Paul M. Insel
View Document

Test Bank for Core Concepts in Health, 4th Canadian Edition, Jennifer Irwin, Shauna Burke, Claire Insel, Walton T. Roth, Paul M. Insel

  • mentor2000

    mentor2000

  • test bank

Boost your exam preparation with the comprehensive Test Bank for "Core Concepts in Health, 4th Canadian Edition." Packed...

15 USD

0

0

Test Bank for Business Research Methods 9th Edition Zikmund
View Document

Test Bank for Business Research Methods 9th Edition Zikmund

  • mentor2000

    mentor2000

  • test bank

Boost your business research skills with this comprehensive test bank for Business Research Methods 9th Edition. Perfect...

15 USD

0

0

Test Bank for ABCs of Relationship Selling through Service 12th Edition Futrell
View Document

Test Bank for ABCs of Relationship Selling through Service 12th Edition Futrell

  • mentor2000

    mentor2000

  • test bank

Test Bank for ABCs of Relationship Selling through Service 12th Edition Futrell...

15 USD

0

0

Test Bank for A+ Guide to Managing and Maintaining Your PC 8th Edition Jean Andrews
View Document

Test Bank for A+ Guide to Managing and Maintaining Your PC 8th Edition Jean Andrews

  • mentor2000

    mentor2000

  • test bank

Test Bank for A+ Guide to Managing and Maintaining Your PC 8th Edition Jean Andrews...

15 USD

0

0

Test Bank for A+ Guide to IT Technical Support Hardware and Software 9th Edition Andrews
View Document

Test Bank for A+ Guide to IT Technical Support Hardware and Software 9th Edition Andrews

  • mentor2000

    mentor2000

  • test bank

Test Bank for A+ Guide to IT Technical Support Hardware and Software 9th Edition Andrews...

15 USD

0

0

Test Bank for A+ Guide to Hardware 9th Edition Andrews
View Document

Test Bank for A+ Guide to Hardware 9th Edition Andrews

  • mentor2000

    mentor2000

  • test bank

Test Bank for A+ Guide to Hardware 9th Edition Andrews...

15 USD

0

0

Test Bank for A Concise Public Speaking Handbook 4th Edition Beebe
View Document

Test Bank for A Concise Public Speaking Handbook 4th Edition Beebe

  • mentor2000

    mentor2000

  • test bank

Test Bank for A Concise Public Speaking Handbook 4th Edition Beebe...

15 USD

0

0

Test Bank for A Child’s World Infancy Through Adolescence 13th Edition Martorell
View Document

Test Bank for A Child’s World Infancy Through Adolescence 13th Edition Martorell

  • mentor2000

    mentor2000

  • test bank

Test Bank for A Child’s World Infancy Through Adolescence 13th Edition Martorell...

15 USD

0

0

21st Century Astronomy 4th Edition Kay Test Bank
View Document

21st Century Astronomy 4th Edition Kay Test Bank

  • mentor2000

    mentor2000

  • test bank

Test Bank for 21st Century Astronomy 4th Edition Kay...

15 USD

0

0

Taser Training Exam Test Bank (TASER 1-26)
View Document

Taser Training Exam Test Bank (TASER 1-26)

  • Kaponga

    Kaponga

  • questions & answers

Taser Training Exam Test Bank (TASER 1-26)...

8 USD

0

0

Test Bank for Maternity and Pediatric Nursing, 5th Edition by Ricci, Kyle, & Carman
View Document

Test Bank for Maternity and Pediatric Nursing, 5th Edition by Ricci, Kyle, & Carman

  • Pasing-Grades

    Pasing-Grades

  • test bank

Download Complete Test Bank - Maternity and Pediatric Nursing, 5th Edition by Ricci, Kyle, & Carman - All 51 Chapters an...

15 USD

0

0

Test Bank for Voet, Fundamentals of Biochemistry, 6th Edition by Destin Heilman, Stephen Woski
View Document

Test Bank for Voet, Fundamentals of Biochemistry, 6th Edition by Destin Heilman, Stephen Woski

  • Pasing-Grades

    Pasing-Grades

  • test bank

Comprehensive test bank for Voet's Fundamentals of Biochemistry, 6th Edition by Heilman & Woski. Includes chapter-based ...

15 USD

0

0

Test Bank for Mental Health Nursing 6th Edition | Linda M. Gorman | Robynn Anwar
View Document

Test Bank for Mental Health Nursing 6th Edition | Linda M. Gorman | Robynn Anwar

  • Yna

    Yna

  • test bank

Comprehensive test bank for NEEB’s Mental Health Nursing 5th Edition, featuring practice questions and detailed answer...

15 USD

0

0

Test Bank For Business Analytics 5th Edition By Jeffrey Camm, James Cochran, Michael Fry, Jeffrey Ohlmann
View Document

Test Bank For Business Analytics 5th Edition By Jeffrey Camm, James Cochran, Michael Fry, Jeffrey Ohlmann

  • Kaponga

    Kaponga

  • test bank

Test Bank For Business Analytics 5th Edition By Jeffrey Camm, James Cochran, Michael Fry, Jeffrey Ohlmann...

15 USD

0

0

Test Bank-Natural Hazards and Disasters 5th Edition by Donald Hyndman, David Hyndman
View Document

Test Bank-Natural Hazards and Disasters 5th Edition by Donald Hyndman, David Hyndman

  • Kaponga

    Kaponga

  • test bank

Test Bank-Natural Hazards and Disasters 5th Edition by Donald Hyndman, David Hyndman...

14 USD

0

0

Test Bank for Experiencing the Lifespan 6th Edition by Janet Belsky
View Document

Test Bank for Experiencing the Lifespan 6th Edition by Janet Belsky

  • Kaponga

    Kaponga

  • test bank

Test Bank for Experiencing the Lifespan 6th Edition by Janet Belsky...

15 USD

0

0

Test Bank For Natural Hazards and Disasters 6th Edition by Donald Hyndman, David Hyndman Chapter 1-18
View Document

Test Bank For Natural Hazards and Disasters 6th Edition by Donald Hyndman, David Hyndman Chapter 1-18

  • Kaponga

    Kaponga

  • test bank

Test Bank For Natural Hazards and Disasters 6th Edition by Donald Hyndman, David Hyndman Chapter 1-18...

15 USD

0

0

Principles of Marketing 19th Ed Free Sample Test Bank
View Document

Principles of Marketing 19th Ed Free Sample Test Bank

  • Kaponga

    Kaponga

  • test bank

Struggling with Principles of Marketing? Try our free 19th Ed test bank sample—real questions, clear answers, and inst...

Free

0

0

Test Bank for Principles of Marketing, 19th ed (Global Edition) Philip Kotler, Gary Armstrong, Sridhar Balasubramanian
View Document

Test Bank for Principles of Marketing, 19th ed (Global Edition) Philip Kotler, Gary Armstrong, Sridhar Balasubramanian

  • Kaponga

    Kaponga

  • test bank

Ace your exams with the Test Bank for Principles of Marketing, 19th Edition by Kotler & Armstrong. Includes 1000+ questi...

15 USD

0

0

Test Bank For Management Information Systems, 11th Edition by Hossein Bidgoli Module 1-14
View Document

Test Bank For Management Information Systems, 11th Edition by Hossein Bidgoli Module 1-14

  • Pasing-Grades

    Pasing-Grades

  • test bank

Get the Test Bank for Management Information Systems, 11th Ed. by Hossein Bidgoli. All 14 modules, MCQs, answers, and ex...

15 USD

0

0

Test Bank for Pharmacology for Nurses: A Pathophysiologic Approach (7th Edition) by Adams, Holland & Chang | Complete & Verified
View Document

Test Bank for Pharmacology for Nurses: A Pathophysiologic Approach (7th Edition) by Adams, Holland & Chang | Complete & Verified

  • mentor2000

    mentor2000

  • test bank

Access the official test bank for Pharmacology for Nurses, 7th Edition. Includes all chapters with accurate exam-style q...

15 USD

0

0

Test Bank for Operations Management, 14th Editionby William J Stevenson All Chapters
View Document

Test Bank for Operations Management, 14th Editionby William J Stevenson All Chapters

  • Opati-Kaka

    Opati-Kaka

  • test bank

Get the Test Bank for Operations Management, 14th Ed. by William J. Stevenson. All chapters, MCQs, answers, and explanat...

15 USD

0

0

Test Bank for Polit & Beck Canadian Essentials of Nursing Research | 4th Edition | Kevin Woo
View Document

Test Bank for Polit & Beck Canadian Essentials of Nursing Research | 4th Edition | Kevin Woo

  • claratutor1

    claratutor1

  • test bank

Download the test bank for Polit & Beck’s Canadian Essentials of Nursing Research, 4th Edition. Verified answers and A...

15 USD

0

0

HESI A2 Anatomy & Physiology V1 & V2 Study Guide | 2026 Updated | Verified Questions & Answers | Exam-Ready Prep
View Document

HESI A2 Anatomy & Physiology V1 & V2 Study Guide | 2026 Updated | Verified Questions & Answers | Exam-Ready Prep

  • claratutor1

    claratutor1

  • hesi

Ace your HESI A2 with this 2025 updated A&P V1 & V2 study guide. Includes verified questions, accurate answers, and ever...

6 USD

0

0

2026 HESI A2 Anatomy & Physiology V1/V2 | Latest 2026-2026 Version | 100% Verified Questions & Answers | A+ Graded Study Guide
View Document

2026 HESI A2 Anatomy & Physiology V1/V2 | Latest 2026-2026 Version | 100% Verified Questions & Answers | A+ Graded Study Guide

  • claratutor1

    claratutor1

  • hesi

Get the 2025 HESI A2 Anatomy & Physiology V1/V2 test bank with verified answers. Updated for 2024-2025. 100% accurate, A...

7 USD

0

0

Test Bank For Essentials of Statistics for the Behavioral Sciences 10th Edition 10e By Gravetter, Larry B. Wallnau, Lori Ann B. Forzano, James E. Witnauer
View Document

Test Bank For Essentials of Statistics for the Behavioral Sciences 10th Edition 10e By Gravetter, Larry B. Wallnau, Lori Ann B. Forzano, James E. Witnauer

  • Pasing-Grades

    Pasing-Grades

  • test bank

Test Bank For Essentials of Statistics for the Behavioral Sciences 10th Edition 10e By Gravetter, Larry B. Wallnau, Lori...

15 USD

0

0

Complete Test Bank for 'Strategic Management: A Competitive Advantage Approach, Concepts and Cases' (17th Edition) by Fred R. David
View Document

Complete Test Bank for 'Strategic Management: A Competitive Advantage Approach, Concepts and Cases' (17th Edition) by Fred R. David

  • Pasing-Grades

    Pasing-Grades

  • test bank

Get the Test Bank for 'Strategic Management: A Competitive Advantage Approach, Concepts and Cases' (17th Edition) by Fre...

15 USD

0

0

Test Bank for Advanced Practice Nursing in the Care of Older Adults 3rd Edition Laurie Kennedy-Malone, Evelyn G. Duffy
View Document

Test Bank for Advanced Practice Nursing in the Care of Older Adults 3rd Edition Laurie Kennedy-Malone, Evelyn G. Duffy

  • tutor_gesco

    tutor_gesco

  • test bank

Boost your exam prep with the Test Bank for Advanced Practice Nursing in the Care of Older Adults, 3rd Edition by Kenned...

15 USD

0

0

Test Bank for Comprehensive Periodontics for the Dental Hygienist, 4e (Weinberg) (All Chapters)
View Document

Test Bank for Comprehensive Periodontics for the Dental Hygienist, 4e (Weinberg) (All Chapters)

  • Namwaki

    Namwaki

  • test bank

On this page you will access pdf of Test Bank for Comprehensive Periodontics for the Dental Hygienist, 4e (Weinberg)...

15 USD

0

0

Test Bank For Principles of Geotechnical Engineering 10th Edition By Braja M. Das
View Document

Test Bank For Principles of Geotechnical Engineering 10th Edition By Braja M. Das

  • Namwaki

    Namwaki

  • test bank

Test Bank For Principles of Geotechnical Engineering 10th Edition By Braja M. Das...

15 USD

0

0

Test Bank for CURRENT Medical Diagnosis and Treatment 2025, 64th Edition | Maxine A. Papadakis
View Document

Test Bank for CURRENT Medical Diagnosis and Treatment 2025, 64th Edition | Maxine A. Papadakis

  • mentor2000

    mentor2000

  • test bank

Get Now Test Bank for Current Medical Diagnosis and Treatment 2025 64th Edition By Maxine A. Papadakis, Michael W. Rabow...

15 USD

0

2

TEST BANK FOR Management Information Systems 9th Edition By Hossein Bidgoli , ISBN 9781337625999 All Chapters Verified Guide A+
View Document

TEST BANK FOR Management Information Systems 9th Edition By Hossein Bidgoli , ISBN 9781337625999 All Chapters Verified Guide A+

  • studypal

    studypal

  • test bank

TEST BANK FOR Management Information Systems 9th Edition By Hossein Bidgoli , ISBN 9781337625999 All Chapters Verified G...

18 USD

0

0

Test Bank for Understanding Pathophysiology 6th Edition By Sue E. Huether, Kathryn L. McCance
View Document

Test Bank for Understanding Pathophysiology 6th Edition By Sue E. Huether, Kathryn L. McCance

  • Solutions

    Solutions

  • test bank

Test Bank for Understanding Pathophysiology 6th Edition By Sue E. Huether, Kathryn L. McCance...

19 USD

0

0

Test Bank For Cultural Psychology 4th Edition Steven J Heine
View Document

Test Bank For Cultural Psychology 4th Edition Steven J Heine

  • mentor2000

    mentor2000

  • test bank

Test Bank For Cultural Psychology 4th Edition Steven J Heine...

15 USD

0

0

Test Bank for Nutrition Essentials for Nursing Practice 9th Edition by Dudek
View Document

Test Bank for Nutrition Essentials for Nursing Practice 9th Edition by Dudek

  • mentor2000

    mentor2000

  • test bank

Test Bank for Nutrition Essentials for Nursing Practice 9th Edition by Dudek...

15 USD

0

0

TEST BANK for Financial Accounting 2nd Edition By David Spiceland , Wayne Thomas , Don Herrmann
View Document

TEST BANK for Financial Accounting 2nd Edition By David Spiceland , Wayne Thomas , Don Herrmann

  • studypal

    studypal

  • test bank

TEST BANK for Financial Accounting 2nd Edition By David Spiceland , Wayne Thomas , Don Herrmann – Download PDF...

17 USD

0

0

Test Bank and Solutions For Clayton's Basic Pharmacology for Nurses 19th Edition by Michelle J. Willihnganz.
View Document

Test Bank and Solutions For Clayton's Basic Pharmacology for Nurses 19th Edition by Michelle J. Willihnganz.

  • studypal

    studypal

  • test bank

Test Bank and Solutions For Clayton's Basic Pharmacology for Nurses 19th Edition by Michelle J. Willihnganz....

15 USD

0

0

Test Bank for Gateways to Art 3rd Edition DeWitte
View Document

Test Bank for Gateways to Art 3rd Edition DeWitte

  • Angelicer

    Angelicer

  • test bank

Test Bank for Gateways to Art 3rd Edition DeWitte...

12 USD

0

0

Test Bank for Essentials of Strategic Management, The Quest for Competitive Advantage, 7th Edition, John Gamble, Margaret Peteraf
View Document

Test Bank for Essentials of Strategic Management, The Quest for Competitive Advantage, 7th Edition, John Gamble, Margaret Peteraf

  • Angelicer

    Angelicer

  • test bank

Test Bank for Essentials of Strategic Management, The Quest for Competitive Advantage, 7th Edition, John Gamble, Margare...

12 USD

0

0

Test Bank For 21st Century Chemistry 2nd Edition by Waldron
View Document

Test Bank For 21st Century Chemistry 2nd Edition by Waldron

  • Angelicer

    Angelicer

  • test bank

Test Bank For 21st Century Chemistry 2nd Edition by Waldron...

12 USD

0

0

Statistics and Data Analysis for Social Science 2nd Edition Krieg Test Bank
View Document

Statistics and Data Analysis for Social Science 2nd Edition Krieg Test Bank

  • Angelicer

    Angelicer

  • test bank

Statistics and Data Analysis for Social Science 2nd Edition Krieg Test Bank...

12 USD

0

0

Test Bank for Marketing 7th Edition By Dhruv Grewal, Michael Levy
View Document

Test Bank for Marketing 7th Edition By Dhruv Grewal, Michael Levy

  • mentor2000

    mentor2000

  • test bank

Test Bank for Marketing 7th Edition By Dhruv Grewal, Michael Levy...

12 USD

0

0

Test Bank for Law for Business 13th Edition by Barnes
View Document

Test Bank for Law for Business 13th Edition by Barnes

  • mentor2000

    mentor2000

  • test bank

Test Bank for Law for Business 13th Edition by Barnes...

14 USD

0

0

Test Bank for Hill’s Taxation of Individuals and Business Entities 2022 Edition 13th Edition Spilker
View Document

Test Bank for Hill’s Taxation of Individuals and Business Entities 2022 Edition 13th Edition Spilker

  • mentor2000

    mentor2000

  • test bank

Test Bank for Hill’s Taxation of Individuals and Business Entities 2022 Edition 13th Edition Spilker...

14 USD

0

0

Test Bank for Federal Tax Research 12th Edition Sawyers
View Document

Test Bank for Federal Tax Research 12th Edition Sawyers

  • mentor2000

    mentor2000

  • test bank

Test Bank for Federal Tax Research 12th Edition Sawyers...

13 USD

0

0

Test Bank for Compensation 13th Edition Gerhart
View Document

Test Bank for Compensation 13th Edition Gerhart

  • mentor2000

    mentor2000

  • test bank

Test Bank for Compensation 13th Edition Gerhart...

13 USD

0

0

Test Bank for Chemistry, 5th Edition, Julia Burdge
View Document

Test Bank for Chemistry, 5th Edition, Julia Burdge

  • mentor2000

    mentor2000

  • test bank

Test Bank for Chemistry, 5th Edition, Julia Burdge...

13 USD

0

0

Test Bank for Biochemistry, 9th Edition, Lubert Stryer, Jeremy Berg, John Tymoczko, Gregory Gatto
View Document

Test Bank for Biochemistry, 9th Edition, Lubert Stryer, Jeremy Berg, John Tymoczko, Gregory Gatto

  • mentor2000

    mentor2000

  • test bank

Test Bank for Biochemistry, 9th Edition, Lubert Stryer, Jeremy Berg, John Tymoczko, Gregory Gatto...

13 USD

0

0

Test Bank for An Introduction to Community & Public Health 8th Edition By McKenzie
View Document

Test Bank for An Introduction to Community & Public Health 8th Edition By McKenzie

  • mentor2000

    mentor2000

  • test bank

Test Bank for An Introduction to Community & Public Health 8th Edition By McKenzie...

13 USD

0

0

Test Bank for Biology 12th Edition Raven
View Document

Test Bank for Biology 12th Edition Raven

  • mentor2000

    mentor2000

  • test bank

Test Bank for Biology 12th Edition Raven...

13 USD

0

0

Test Bank for The Process of Statistical Analysis in Psychology 1st Edition By McBride
View Document

Test Bank for The Process of Statistical Analysis in Psychology 1st Edition By McBride

  • mentor2000

    mentor2000

  • test bank

Test Bank for The Process of Statistical Analysis in Psychology 1st Edition By McBride...

13 USD

0

0

Test Bank for Macroeconomics, 22nd Edition, Campbell McConnell, Stanley Brue, Sean Flynn
View Document

Test Bank for Macroeconomics, 22nd Edition, Campbell McConnell, Stanley Brue, Sean Flynn

  • mentor2000

    mentor2000

  • test bank

Test Bank for Macroeconomics, 22nd Edition, Campbell McConnell, Stanley Brue, Sean Flynn...

14 USD

0

0

Test Bank for Management Information Systems 4th Edition by Baltzan
View Document

Test Bank for Management Information Systems 4th Edition by Baltzan

  • mentor2000

    mentor2000

  • test bank

Test Bank for Management Information Systems 4th Edition by Baltzan...

13 USD

0

0

Test Bank for Introduction to Corrections 3rd Edition by Hanser
View Document

Test Bank for Introduction to Corrections 3rd Edition by Hanser

  • mentor2000

    mentor2000

  • test bank

Get the comprehensive Test Bank for Introduction to Corrections 3rd Edition by Hanser. Has all chapters....

13 USD

0

0

Test Bank for Interpersonal Communication 4th Edition By West
View Document

Test Bank for Interpersonal Communication 4th Edition By West

  • mentor2000

    mentor2000

  • test bank

Test Bank for Interpersonal Communication 4th Edition By West...

11 USD

0

0

Test Bank for International Marketing 18th Edition Cateora
View Document

Test Bank for International Marketing 18th Edition Cateora

  • mentor2000

    mentor2000

  • test bank

Test Bank for International Marketing 18th Edition Cateora...

13 USD

0

0

Test Bank for Human Nutrition, Science for Healthy Living 3rd Edition Stephenson
View Document

Test Bank for Human Nutrition, Science for Healthy Living 3rd Edition Stephenson

  • mentor2000

    mentor2000

  • test bank

Test Bank for Human Nutrition, Science for Healthy Living 3rd Edition Stephenson...

12 USD

0

0

Test Bank for Women Gender and Crime 1st Edition By Mallicoat
View Document

Test Bank for Women Gender and Crime 1st Edition By Mallicoat

  • mentor2000

    mentor2000

  • test bank

Test Bank for Women Gender and Crime 1st Edition By Mallicoat...

15 USD

0

0

Test Bank for Violence The Enduring Problem 4th Edition by Alvarez
View Document

Test Bank for Violence The Enduring Problem 4th Edition by Alvarez

  • mentor2000

    mentor2000

  • test bank

Test Bank for Violence The Enduring Problem 4th Edition by Alvarez...

15 USD

0

0

Test Bank for The Law of Journalism and Mass Communication, 7th Edition, by Ross
View Document

Test Bank for The Law of Journalism and Mass Communication, 7th Edition, by Ross

  • mentor2000

    mentor2000

  • test bank

Test Bank for The Law of Journalism and Mass Communication, 7th Edition, by Ross...

12 USD

0

0

Test Bank for Sociology in Action 2nd Edition by Korgen
View Document

Test Bank for Sociology in Action 2nd Edition by Korgen

  • mentor2000

    mentor2000

  • test bank

Test Bank for Sociology in Action 2nd Edition by Korgen...

12 USD

0

0

Test Bank for Organizational Behavior, Improving Performance and Commitment in the Workplace 7th Edition Colquitt
View Document

Test Bank for Organizational Behavior, Improving Performance and Commitment in the Workplace 7th Edition Colquitt

  • mentor2000

    mentor2000

  • test bank

Test Bank for Organizational Behavior, Improving Performance and Commitment in the Workplace 7th Edition Colquitt...

12 USD

0

0

Test Bank for Operating System Concepts 10th Edition Silberschatz
View Document

Test Bank for Operating System Concepts 10th Edition Silberschatz

  • mentor2000

    mentor2000

  • test bank

Test Bank for Operating System Concepts 10th Edition Silberschatz...

10 USD

0

0

Test Bank for Nutrition for Health and Health Care, 7th Edition, Linda Kelley DeBruyne, Kathryn Pinna
View Document

Test Bank for Nutrition for Health and Health Care, 7th Edition, Linda Kelley DeBruyne, Kathryn Pinna

  • mentor2000

    mentor2000

  • test bank

Test Bank for Nutrition for Health and Health Care, 7th Edition, Linda Kelley DeBruyne, Kathryn Pinna...

11 USD

0

0

Test Bank for Nutrition Concepts and Controversies 15th Edition Sizer
View Document

Test Bank for Nutrition Concepts and Controversies 15th Edition Sizer

  • mentor2000

    mentor2000

  • test bank

Test Bank for Nutrition Concepts and Controversies 15th Edition Sizer...

15 USD

0

0

Test Bank for Molecular Diagnostics, Fundamentals Methods and Clinical Applications 3rd Edition Buckingham
View Document

Test Bank for Molecular Diagnostics, Fundamentals Methods and Clinical Applications 3rd Edition Buckingham

  • mentor2000

    mentor2000

  • test bank

Test Bank for Molecular Diagnostics, Fundamentals Methods and Clinical Applications 3rd Edition Buckingham...

10 USD

0

0

Test Bank for Marketing, The Core, 9th Edition, Roger Kerin, Steven Hartley
View Document

Test Bank for Marketing, The Core, 9th Edition, Roger Kerin, Steven Hartley

  • mentor2000

    mentor2000

  • test bank

Test Bank for Marketing, The Core, 9th Edition, Roger Kerin, Steven Hartley...

10 USD

0

0

The Essentials of Political Analysis 6th Edition Pollock Test Bank
View Document

The Essentials of Political Analysis 6th Edition Pollock Test Bank

  • mentor2000

    mentor2000

  • test bank

The Essentials of Political Analysis 6th Edition Pollock Test Bank...

10 USD

0

0

Test Bank for Women Gender and Crime A Text, Reader 3rd Edition By Mallicoat
View Document

Test Bank for Women Gender and Crime A Text, Reader 3rd Edition By Mallicoat

  • mentor2000

    mentor2000

  • test bank

Test Bank for Women Gender and Crime A Text,Reader 3rd Edition By Mallicoat...

15 USD

0

0

Test Bank for Thompson & Thompson Genetics in Medicine 8th Edition By Nussbaum
View Document

Test Bank for Thompson & Thompson Genetics in Medicine 8th Edition By Nussbaum

  • mentor2000

    mentor2000

  • test bank

Test Bank for Thompson & Thompson Genetics in Medicine 8th Edition By Nussbaum...

15 USD

0

0

Test Bank for The Professional Medical Assistant, 1st Edition, by Eagle
View Document

Test Bank for The Professional Medical Assistant, 1st Edition, by Eagle

  • mentor2000

    mentor2000

  • test bank

Test Bank for The Professional Medical Assistant, 1st Edition, by Eagle...

15 USD

0

0

Test Bank for Public Community Health and Nursing Practice, Caring for Populations 2nd Edition Savage
View Document

Test Bank for Public Community Health and Nursing Practice, Caring for Populations 2nd Edition Savage

  • mentor2000

    mentor2000

  • test bank

Test Bank for Public Community Health and Nursing Practice, Caring for Populations 2nd Edition Savage...

15 USD

0

0

Test Bank for Merrill’s Atlas of Radiographic Positioning and Procedures 3-Volume Set 14th Edition Long
View Document

Test Bank for Merrill’s Atlas of Radiographic Positioning and Procedures 3-Volume Set 14th Edition Long

  • mentor2000

    mentor2000

  • test bank

Test Bank for Merrill’s Atlas of Radiographic Positioning and Procedures – 3-Volume Set 14th Edition Long...

15 USD

0

0

Test Bank for Get Fit Stay Fit 7th Edition by Prentice
View Document

Test Bank for Get Fit Stay Fit 7th Edition by Prentice

  • mentor2000

    mentor2000

  • test bank

Test Bank for Get Fit Stay Fit 7th Edition by Prentice...

15 USD

0

0

Test Bank for Human Resource Management 5th Canadian Edition Steen
View Document

Test Bank for Human Resource Management 5th Canadian Edition Steen

  • mentor2000

    mentor2000

  • test bank

Test Bank for Human Resource Management 5th Canadian Edition Steen...

15 USD

0

0

Test Bank for Ethics and Law in Dental Hygiene 4th Edition Minihan-Anderson
View Document

Test Bank for Ethics and Law in Dental Hygiene 4th Edition Minihan-Anderson

  • mentor2000

    mentor2000

  • test bank

Test Bank for Ethics and Law in Dental Hygiene 4th Edition Minihan-Anderson...

15 USD

0

0

Test Bank for Human Anatomy 9th Edition Martini
View Document

Test Bank for Human Anatomy 9th Edition Martini

  • Laila

    Laila

  • test bank

Test Bank for Human Anatomy 9th Edition Martini...

15 USD

0

0

Test Bank for Self-Leadership The Definitive Guide to Personal Excellence 2nd Edition By Neck
View Document

Test Bank for Self-Leadership The Definitive Guide to Personal Excellence 2nd Edition By Neck

  • Laila

    Laila

  • test bank

Test Bank for Self-Leadership The Definitive Guide to Personal Excellence 2nd Edition By Neck...

15 USD

0

0

Test Bank for Pharmacology for Nurses, A Pathophysiologic Approach, 6th Edition, Michael P. Adams, Norman Holland, Carol Urba
View Document

Test Bank for Pharmacology for Nurses, A Pathophysiologic Approach, 6th Edition, Michael P. Adams, Norman Holland, Carol Urba

  • Laila

    Laila

  • test bank

Test Bank for Pharmacology for Nurses, A Pathophysiologic Approach, 6th Edition, Michael P. Adams, Norman Holland, Carol...

15 USD

0

0

Test Bank for Survey of Accounting 2nd Edition Kimmel
View Document

Test Bank for Survey of Accounting 2nd Edition Kimmel

  • Laila

    Laila

  • test bank

Test Bank for Survey of Accounting 2nd Edition Kimmel...

15 USD

0

0

Test Bank for Nursing A Concept-Based Approach to Learning, Volumes I, II & III, 3rd Edition, Pearson Education
View Document

Test Bank for Nursing A Concept-Based Approach to Learning, Volumes I, II & III, 3rd Edition, Pearson Education

  • Laila

    Laila

  • test bank

Test Bank for Nursing A Concept-Based Approach to Learning, Volumes I, II & III, 3rd Edition, Pearson Education...

15 USD

0

0

Test Bank for International Studies 1st Edition by Straus
View Document

Test Bank for International Studies 1st Edition by Straus

  • Laila

    Laila

  • test bank

Test Bank for International Studies 1st Edition by Straus...

15 USD

0

0

Test Bank for Nursing: A Concept-Based Approach to Learning Volume I Pearson Education
View Document

Test Bank for Nursing: A Concept-Based Approach to Learning Volume I Pearson Education

  • Laila

    Laila

  • test bank

Test Bank for Nursing, A Concept-Based Approach to Learning Volume I Pearson Education...

15 USD

0

0

Test Bank for Health Psychology 4th Edition by Gurung
View Document

Test Bank for Health Psychology 4th Edition by Gurung

  • Laila

    Laila

  • test bank

Test Bank for Health Psychology 4th Edition by Gurung...

15 USD

0

0

Test Bank for Introduction to Information Systems 3rd Edition by Wallace
View Document

Test Bank for Introduction to Information Systems 3rd Edition by Wallace

  • Laila

    Laila

  • test bank

Test Bank for Introduction to Information Systems 3rd Edition by Wallace...

15 USD

0

0

Test Bank for Memory 3rd Edition by Baddeley, Eysenck, Anderson
View Document

Test Bank for Memory 3rd Edition by Baddeley, Eysenck, Anderson

  • Laila

    Laila

  • test bank

Test Bank for Memory 3rd Edition by Baddeley, Eysenck, Anderson...

15 USD

0

0

Test Bank for Communication in Everyday Life 4th Edition McMahan
View Document

Test Bank for Communication in Everyday Life 4th Edition McMahan

  • Laila

    Laila

  • test bank

Communication in Everyday Life 4th Edition McMahan Test Bank...

15 USD

0

0

Test Bank for A Novel Approach to Politics 6th Edition Belle
View Document

Test Bank for A Novel Approach to Politics 6th Edition Belle

  • Laila

    Laila

  • test bank

Test Bank for A Novel Approach to Politics 6th Edition Belle...

15 USD

0

0

Test Bank for Criminal Investigations Today The Essentials 1st Edition Hough
View Document

Test Bank for Criminal Investigations Today The Essentials 1st Edition Hough

  • Laila

    Laila

  • test bank

Test Bank for Criminal Investigations Today The Essentials 1st Edition Hough...

15 USD

0

0

Test Bank for Counseling and Educational Research 4th Edition Houser
View Document

Test Bank for Counseling and Educational Research 4th Edition Houser

  • Laila

    Laila

  • test bank

Test Bank for Counseling and Educational Research 4th Edition Houser...

15 USD

0

0

Test Bank for Compensation 6th Canadian Edition Yap
View Document

Test Bank for Compensation 6th Canadian Edition Yap

  • Laila

    Laila

  • test bank

Compensation 6th Canadian Edition Yap Test Bank...

15 USD

0

0

Test Bank for Victimology and Victim Assistance 1st Edition By Takahashi
View Document

Test Bank for Victimology and Victim Assistance 1st Edition By Takahashi

  • Laila

    Laila

  • test bank

Test Bank for Victimology and Victim Assistance 1st Edition By Takahashi...

15 USD

0

0

Test Bank for Working in Teams, 1st Edition by, Griffith
View Document

Test Bank for Working in Teams, 1st Edition by, Griffith

  • mentor2000

    mentor2000

  • test bank

Test Bank for Working in Teams, 1st Edition by, Griffith...

15 USD

0

0

Maternal and Child Nursing Care 5th Edition London TEST BANK (2026)
View Document

Maternal and Child Nursing Care 5th Edition London TEST BANK (2026)

  • topclass

    topclass

  • test bank

Maternal and Child Nursing Care 5th Edition London TEST BANK (2025)...

24 USD

0

0

NCLEX PN Exam Test Bank and Study Guide With NGN Real Exam Questions and Verified Answers with Rationales For Guaranteed
View Document

NCLEX PN Exam Test Bank and Study Guide With NGN Real Exam Questions and Verified Answers with Rationales For Guaranteed

  • Hp24

    Hp24

  • exam elaborations

NCLEX PN Exam Test Bank and Study Guide With NGN Real Exam Questions and Verified Answers with Rationales For Guaranteed...

14 USD

0

0

Test Bank for Principles of Biochemistry (3rd Edition) by Robert Horton
View Document

Test Bank for Principles of Biochemistry (3rd Edition) by Robert Horton

  • mentor2000

    mentor2000

  • test bank

Get the PDF Test Bank for Principles of Biochemistry (3rd Edition) by H. Robert Horton, Laurence A. Moran, Raymond S. Oc...

15 USD

0

0

Solution Manual for Managerial Accounting 18th Edition By Ray Garrison, Eric Noreen and Peter Brewer
View Document

Solution Manual for Managerial Accounting 18th Edition By Ray Garrison, Eric Noreen and Peter Brewer

  • mentor2000

    mentor2000

  • solution manual

Test Bank for Managerial Accounting 18th Edition By Garrison, Noreen and Brewer...

16 USD

0

0

Test Bank for Ethics: Theory and Contemporary Issues 9th Edition MacKinnon
View Document

Test Bank for Ethics: Theory and Contemporary Issues 9th Edition MacKinnon

  • Laila

    Laila

  • test bank

Get Test Bank (PDF) for Ethics: Theory and Contemporary Issues 9th Edition by Barbara MacKinnon; Andrew Fiala...

15 USD

0

0

Lutz's Test Bank for Nutrition and Diet Therapy 7th Edition by Erin E. Mazur
View Document

Lutz's Test Bank for Nutrition and Diet Therapy 7th Edition by Erin E. Mazur

  • Laila

    Laila

  • test bank

Test Bank for Lutz's Nutrition and Diet Therapy 7th Edition by Erin E. Mazur...

15 USD

0

0

Test Bank Lutz's Nutrition and Diet Therapy 8th Edition by Erin Mazur ISBN 9781719644867
View Document

Test Bank Lutz's Nutrition and Diet Therapy 8th Edition by Erin Mazur ISBN 9781719644867

  • Laila

    Laila

  • test bank

Get the Test Bank (PDF) for Lutz's Nutrition and Diet Therapy, 8th Edition by Erin Mazur. Comprehensive coverage for eff...

15 USD

0

0

Test Bank for Understanding Pharmacology, Essentials for Medication Safety, 3rd Edition by Linda Workman and Linda A. LaCharity
View Document

Test Bank for Understanding Pharmacology, Essentials for Medication Safety, 3rd Edition by Linda Workman and Linda A. LaCharity

  • wangeci

    wangeci

  • test bank

Get Instant PDF for Test Bank for Understanding Pharmacology, Essentials for Medication Safety, 3rd Edition by Linda Wor...

15 USD

0

0

Test Bank for Conceptual Foundations: The Bridge to Professional Nursing Practice, 6th Edition by Friberg & Creasia
View Document

Test Bank for Conceptual Foundations: The Bridge to Professional Nursing Practice, 6th Edition by Friberg & Creasia

  • Pasing-Grades

    Pasing-Grades

  • test bank

Test Bank for Conceptual Foundations: The Bridge to Professional Nursing Practice, 6th Edition by Friberg & Creasia...

15 USD

0

1

Test Bank for Business Statistics A Decision Making Approach 9th Edition by David f. Groebner
View Document

Test Bank for Business Statistics A Decision Making Approach 9th Edition by David f. Groebner

  • Gradepush

    Gradepush

  • exam elaborations

Test Bank for Business Statistics A Decision Making Approach 9th Edition by David f. Groebner...

15 USD

0

0

Exam (elaborations) TEST BANK FOR Analysis of Transport Phenomena 2nd Edition By William M. Deen (Solution Manual)
View Document

Exam (elaborations) TEST BANK FOR Analysis of Transport Phenomena 2nd Edition By William M. Deen (Solution Manual)

  • studypal

    studypal

  • solution manual

Exam (elaborations) TEST BANK FOR Analysis of Transport Phenomena 2nd Edition By William M. Deen (Solution Manual)...

15 USD

0

0

Test Bank for Group Dynamics 7th Edition Forsyth
View Document

Test Bank for Group Dynamics 7th Edition Forsyth

  • Angelicer

    Angelicer

  • solution manual

Get the Test Bank for Group Dynamics, 7th Ed. by Donelson Forsyth. All chapters, MCQs, answers, and real-world group beh...

15 USD

0

0

Test Bank for Essentials of Abnormal Psychology 8th Edition Durand
View Document

Test Bank for Essentials of Abnormal Psychology 8th Edition Durand

  • Angelicer

    Angelicer

  • solution manual

Test Bank for Essentials of Abnormal Psychology 8th Edition Durand...

15 USD

0

0

Test Bank for EKG Plain and Simple 4th Edition Ellis
View Document

Test Bank for EKG Plain and Simple 4th Edition Ellis

  • Angelicer

    Angelicer

  • solution manual

Test Bank for EKG Plain and Simple 4th Edition Ellis...

15 USD

0

0

Test Bank for Psychology Applied to Modern Life Adjustment in the 21st Century 12th Edition Weiten
View Document

Test Bank for Psychology Applied to Modern Life Adjustment in the 21st Century 12th Edition Weiten

  • Angelicer

    Angelicer

  • solution manual

Test Bank for Psychology Applied to Modern Life Adjustment in the 21st Century 12th Edition Weiten...

15 USD

0

0

Test Bank for Research Methods in Psychology Evaluating a World of Information 3rd Edition Morling
View Document

Test Bank for Research Methods in Psychology Evaluating a World of Information 3rd Edition Morling

  • Angelicer

    Angelicer

  • solution manual

Test Bank for Research Methods in Psychology Evaluating a World of Information 3rd Edition Morling...

15 USD

0

0

Test Bank for Introduction to Group Work Practice 8th Edition Toseland
View Document

Test Bank for Introduction to Group Work Practice 8th Edition Toseland

  • Angelicer

    Angelicer

  • solution manual

Test Bank for Introduction to Group Work Practice 8th Edition Toseland...

15 USD

0

0

Test Bank for Economic Development 12th Edition Todaro
View Document

Test Bank for Economic Development 12th Edition Todaro

  • Angelicer

    Angelicer

  • solution manual

Test Bank for Economic Development 12th Edition Todaro...

15 USD

0

0

Test Bank for Fundamentals of Sectional Anatomy: An Imaging Approach 2nd Edition | Lazo
View Document

Test Bank for Fundamentals of Sectional Anatomy: An Imaging Approach 2nd Edition | Lazo

  • Eddah-Nafula

    Eddah-Nafula

  • solution manual

Download Test Bank for Fundamentals of Sectional Anatomy, An Imaging Approach 2nd Edition, By Denise L. Lazo. This test ...

15 USD

0

0

Test Bank for Strategic Human Resources Planning 7th Edition Belcourt
View Document

Test Bank for Strategic Human Resources Planning 7th Edition Belcourt

  • Eddah-Nafula

    Eddah-Nafula

  • solution manual

Test Bank for Strategic Human Resources Planning 7th Edition Belcourt...

15 USD

0

0

Test Bank for Project Management Achieving Competitive Advantage 5th Edition Pinto
View Document

Test Bank for Project Management Achieving Competitive Advantage 5th Edition Pinto

  • Eddah-Nafula

    Eddah-Nafula

  • solution manual

Test Bank for Project Management Achieving Competitive Advantage 5th Edition Pinto...

15 USD

0

0

Test Bank for Introductory Chemistry 6th Edition Tro
View Document

Test Bank for Introductory Chemistry 6th Edition Tro

  • Eddah-Nafula

    Eddah-Nafula

  • solution manual

Test Bank for Introductory Chemistry 6th Edition Tro...

15 USD

0

0

Test Bank for Business Intelligence Analytics and Data Science A Managerial Perspective 4th Edition Sharda
View Document

Test Bank for Business Intelligence Analytics and Data Science A Managerial Perspective 4th Edition Sharda

  • Eddah-Nafula

    Eddah-Nafula

  • solution manual

Test Bank for Business Intelligence Analytics and Data Science A Managerial Perspective 4th Edition Sharda...

15 USD

0

0

Test Bank Biochemistry 8th Edition by Jeremy M. Berg
View Document

Test Bank Biochemistry 8th Edition by Jeremy M. Berg

  • Angelicer

    Angelicer

  • test bank

Test Bank Biochemistry 8th Edition by Jeremy M. Berg...

15 USD

0

0

Test bank for Precalculus 6th Edition by Robert F. Blitzer
View Document

Test bank for Precalculus 6th Edition by Robert F. Blitzer

  • Eddah-Nafula

    Eddah-Nafula

  • test bank

Get the latest edition of the Test bank for Precalculus 6th Edition by Robert F. Blitzer...

15 USD

0

0

Test Bank for Framework for Marketing Management, 6th edition Philip Kotler
View Document

Test Bank for Framework for Marketing Management, 6th edition Philip Kotler

  • Pasing-Grades

    Pasing-Grades

  • test bank

Test Bank for Framework for Marketing Management, 6th edition by Philip Kotler, Kevin Lane Keller...

15 USD

0

0

Test Bank For Consumer Behaviour: Buying, Having, and Being, Canadian Edition, 9th Edition, by Michael R. Solomon | All Chapters
View Document

Test Bank For Consumer Behaviour: Buying, Having, and Being, Canadian Edition, 9th Edition, by Michael R. Solomon | All Chapters

  • wangeci

    wangeci

  • test bank

Get pdf copy of Test Bank For Consumer Behaviour, Buying, Having, and Being, Canadian Edition, 9th Edition, by Michael R...

15 USD

0

0

Test Bank For Financial Accounting, 6th Edition By David Spiceland, Wayne Thomas | All Chapters
View Document

Test Bank For Financial Accounting, 6th Edition By David Spiceland, Wayne Thomas | All Chapters

  • Angelicer

    Angelicer

  • test bank

Test Bank For Financial Accounting, 6th Edition By David Spiceland, Wayne Thomas...

10 USD

0

0

Test Bank for Marketing An Introduction, Seventh Canadian Edition, 7th edition by Gary Armstrong | All Chapters
View Document

Test Bank for Marketing An Introduction, Seventh Canadian Edition, 7th edition by Gary Armstrong | All Chapters

  • Opati-Kaka

    Opati-Kaka

  • questions & answers

Test Bank for Marketing An Introduction, Seventh Canadian Edition, 7th edition by Gary Armstrong...

15 USD

0

0

Complete Test Bank for Educational Psychology, 15th edition by Anita Woolfolk
View Document

Complete Test Bank for Educational Psychology, 15th edition by Anita Woolfolk

  • Eddah-Nafula

    Eddah-Nafula

  • test bank

Test Bank for Educational Psychology, 15th edition by Anita Woolfolk...

15 USD

0

0

Test Bank For Educational Psychology 14th Edition (Global Edition) By Anita Woolfolk All Chapters
View Document

Test Bank For Educational Psychology 14th Edition (Global Edition) By Anita Woolfolk All Chapters

  • Gradepush

    Gradepush

  • test bank

Test Bank For Educational Psychology 14th Edition (Global Edition) By Anita Woolfolk All Chapters...

15 USD

0

0

Solutions: Test Bank for Chemistry, 10th Edition by Steven S. Zumdahl
View Document

Solutions: Test Bank for Chemistry, 10th Edition by Steven S. Zumdahl

  • Pasing-Grades

    Pasing-Grades

  • test bank

Download the Test Bank for Chemistry, 10th Edition by Steven S. Zumdahl. Comprehensive, chapter-by-chapter coverage to a...

15 USD

0

0

Test Bank For Lippincott Illustrated Reviews: Pharmacology 8th Edition by Karen Whalen | All Chapters
View Document

Test Bank For Lippincott Illustrated Reviews: Pharmacology 8th Edition by Karen Whalen | All Chapters

  • Pasing-Grades

    Pasing-Grades

  • test bank

Test Bank For Lippincott Illustrated Reviews: Pharmacology 8th Edition by Karen Whalen...

15 USD

0

0

Test Bank for Advanced Health Assessment & Clinical Diagnosis in Primary Care (7th Edition,) Joyce E. Dains All Chapters
View Document

Test Bank for Advanced Health Assessment & Clinical Diagnosis in Primary Care (7th Edition,) Joyce E. Dains All Chapters

  • mentor2000

    mentor2000

  • test bank

Test Bank for Advanced Health Assessment & Clinical Diagnosis in Primary Care (7th Edition,) Joyce E. Dains All Chapters...

15 USD

0

0

Test Bank For Fundamentals of Nursing: Concepts and Competencies for Practice 9th Edition by Ruth F Craven, Constance Hirnle, Christine Henshaw
View Document

Test Bank For Fundamentals of Nursing: Concepts and Competencies for Practice 9th Edition by Ruth F Craven, Constance Hirnle, Christine Henshaw

  • mentor2000

    mentor2000

  • test bank

The Test Bank for Fundamentals of Nursing: Concepts and Competencies for Practice, 9th Edition by Ruth F. Craven, Consta...

15 USD

0

0

Test Bank for Davis Advantage for Medical-Surgical Nursing, Making Connections to Practice 3rd edition Hoffman Sullivan
View Document

Test Bank for Davis Advantage for Medical-Surgical Nursing, Making Connections to Practice 3rd edition Hoffman Sullivan

  • mentor2000

    mentor2000

  • test bank

Test Bank for Davis Advantage for Medical-Surgical Nursing, Making Connections to Practice 3rd edition Hoffman Sullivan...

15 USD

0

0

Complete Test Bank For Gray's Anatomy for Students, 3rd Edition by Richard Drake, A. Wayne Vogl, Adam Mitchell
View Document

Complete Test Bank For Gray's Anatomy for Students, 3rd Edition by Richard Drake, A. Wayne Vogl, Adam Mitchell

  • mentor2000

    mentor2000

  • test bank

Deepen your anatomy knowledge with the Verified Test Bank for Gray's Anatomy for Students, 3rd Edition. Features a compr...

16 USD

0

0

Test Bank For Davis Advantage for Neeb's Mental Health Nursing, 6th Edition By Linda M. Gorman, Robynn Anwar
View Document

Test Bank For Davis Advantage for Neeb's Mental Health Nursing, 6th Edition By Linda M. Gorman, Robynn Anwar

  • Namwaki

    Namwaki

  • test bank

Prepare for mental health nursing exams with the Test Bank for Davis Advantage for Neeb's Mental Health Nursing, 6th Edi...

16 USD

0

0

Test Bank for DeMarco & Walsh: Community and Public Health Nursing: Evidence for Practice, 4th Edition (2024), Verified Full Chapters 1-25
View Document

Test Bank for DeMarco & Walsh: Community and Public Health Nursing: Evidence for Practice, 4th Edition (2024), Verified Full Chapters 1-25

  • mentor2000

    mentor2000

  • test bank

Prepare for your community and public health nursing exams with the Test Bank for DeMarco & Walsh, 4th Edition (2024). F...

15 USD

0

0

Test Bank for Introduction to Critical Care Nursing, 8th Edition by Mary Lou Sole, Deborah Goldenberg Klein, and Marthe J. Moseley  Comprehensive Exam Questions & Answers
View Document

Test Bank for Introduction to Critical Care Nursing, 8th Edition by Mary Lou Sole, Deborah Goldenberg Klein, and Marthe J. Moseley Comprehensive Exam Questions & Answers

  • Opati-Kaka

    Opati-Kaka

  • test bank

Test Bank for Introduction to Critical Care Nursing, 8th Edition by Mary Lou Sole, Deborah Goldenberg Klein, and Marthe ...

15 USD

0

0

Test Bank for Microeconomics 3rd Edition by Daron Acemoglu, David Laibson, John List – Comprehensive Study Guide for Chapters 1-18, Verified Answers
View Document

Test Bank for Microeconomics 3rd Edition by Daron Acemoglu, David Laibson, John List – Comprehensive Study Guide for Chapters 1-18, Verified Answers

  • Opati-Kaka

    Opati-Kaka

  • test bank

Test Bank for Microeconomics 3rd Edition by Daron Acemoglu, David Laibson, John List – Comprehensive Study Guide for C...

15 USD

0

0

Test Bank for Investments, 12th Edition by Zvi Bodie, Alex Kane, and Alan Marcus | All Chapters Available
View Document

Test Bank for Investments, 12th Edition by Zvi Bodie, Alex Kane, and Alan Marcus | All Chapters Available

  • Opati-Kaka

    Opati-Kaka

  • test bank

Test Bank for Investments, 12th Edition by Zvi Bodie, Alex Kane, and Alan Marcus | All Chapters Available...

15 USD

0

0

Test Bank for Business Communication, Developing Leaders for a Networked World, 5th Edition by Peter Cardon, Verified All Chapters
View Document

Test Bank for Business Communication, Developing Leaders for a Networked World, 5th Edition by Peter Cardon, Verified All Chapters

  • Opati-Kaka

    Opati-Kaka

  • test bank

Test Bank for Business Communication, Developing Leaders for a Networked World, 5th Edition by Peter Cardon, Verified Al...

15 USD

0

0

Test Bank for Introduction to Epidemiology, 8th Edition by Ray M. Merrill - Comprehensive Test Bank with Questions & Answers
View Document

Test Bank for Introduction to Epidemiology, 8th Edition by Ray M. Merrill - Comprehensive Test Bank with Questions & Answers

  • Opati-Kaka

    Opati-Kaka

  • test bank

Test Bank for Introduction to Epidemiology, 8th Edition by Ray M. Merrill - Comprehensive Test Bank with Questions & Ans...

15 USD

0

0

Test Bank for Pharmacotherapeutics for Advanced Practice Nurse Prescribers, 6th Edition by Woo (2024) - All Chapters 1-57 Covered
View Document

Test Bank for Pharmacotherapeutics for Advanced Practice Nurse Prescribers, 6th Edition by Woo (2024) - All Chapters 1-57 Covered

  • Gradepush

    Gradepush

  • test bank

Test Bank For Pharmacotherapeutics for Advanced Practice Nurse Prescribers, 6th Edition (Woo, 2024), Chapter 1-57...

15 USD

0

0

Test Bank For Fundamentals of Canadian Nursing,, Concepts, Process, and Practice, Kozier, 4th Canadian Edition
View Document

Test Bank For Fundamentals of Canadian Nursing,, Concepts, Process, and Practice, Kozier, 4th Canadian Edition

  • Gradepush

    Gradepush

  • test bank

Test Bank For Fundamentals of Canadian Nursing,, Concepts, Process, and Practice, Kozier, 4th Canadian Edition...

15 USD

0

0

Test Bank for Microbiology An Evolving Science 4th Edition Slonczewski, Foster Zinser
View Document

Test Bank for Microbiology An Evolving Science 4th Edition Slonczewski, Foster Zinser

  • Gradepush

    Gradepush

  • test bank

Test Bank for Microbiology An Evolving Science 4th Edition Slonczewski, Foster Zinser...

15 USD

0

0

Test Bank for Cloud Computing Security 2nd Edition Foundations and Challenges by John R. Vacca
View Document

Test Bank for Cloud Computing Security 2nd Edition Foundations and Challenges by John R. Vacca

  • mentor2000

    mentor2000

  • test bank

Prepare for your cloud security exams with the Test Bank for Cloud Computing Security: Foundations and Challenges, 2nd E...

15 USD

0

1

Comprehensive Test Bank for Darby & Walsh Dental Hygiene Theory and Practice, 4th Edition
View Document

Comprehensive Test Bank for Darby & Walsh Dental Hygiene Theory and Practice, 4th Edition

  • mentor2000

    mentor2000

  • test bank

Comprehensive Test Bank for Darby & Walsh Dental Hygiene Theory and Practice, 4th Edition...

15 USD

0

0

Test Bank for Pediatric Nursing A Case-Based Approach, 2nd Edition by Gannon Tagher & Lisa Knapp  Comprehensive Exam Prep for All Chapters
View Document

Test Bank for Pediatric Nursing A Case-Based Approach, 2nd Edition by Gannon Tagher & Lisa Knapp Comprehensive Exam Prep for All Chapters

  • wangeci

    wangeci

  • test bank

Get ready for your pediatric nursing exams with the Test Bank for Pediatric Nursing: A Case-Based Approach, 2nd Edition....

15 USD

0

0

Test Bank For Lehne's Pharmacotherapeutics for Advanced Practice Nurses and Physician Assistants, 3rd Edition Authors  Laura D. Rosenthal & Jacqueline Rosenjack Burchum
View Document

Test Bank For Lehne's Pharmacotherapeutics for Advanced Practice Nurses and Physician Assistants, 3rd Edition Authors Laura D. Rosenthal & Jacqueline Rosenjack Burchum

  • mentor2000

    mentor2000

  • test bank

Prepare for your pharmacotherapeutics exams with the Test Bank for Lehne's Pharmacotherapeutics for Advanced Practice Nu...

15 USD

0

55

Test Bank For Accounting Information Systems 11th Edition Gelinas
View Document

Test Bank For Accounting Information Systems 11th Edition Gelinas

  • mentor2000

    mentor2000

  • test bank

Test Bank For Accounting Information Systems 11th Edition Gelinas...

15 USD

0

0

Test Bank For Business Statistics for Contemporary Decision Making 4th (Canadian Edition) By Ken Black, Tiffany Bayley, Ignacio Castillo
View Document

Test Bank For Business Statistics for Contemporary Decision Making 4th (Canadian Edition) By Ken Black, Tiffany Bayley, Ignacio Castillo

  • Kaponga

    Kaponga

  • exam

Test Bank For Business Statistics for Contemporary Decision Making 4th (Canadian Edition) By Ken Black, Tiffany Bayley, ...

15 USD

0

0

Comprehensive Test Bank For Williams' Essentials of Nutrition and Diet Therapy, 13th Edition Schlenker & Gilbert All Chapters
View Document

Comprehensive Test Bank For Williams' Essentials of Nutrition and Diet Therapy, 13th Edition Schlenker & Gilbert All Chapters

  • Kaponga

    Kaponga

  • exam

Comprehensive Test Bank For Williams' Essentials of Nutrition and Diet Therapy, 13th Edition Schlenker & Gilbert All Cha...

15 USD

0

0

Test Bank for Varcarolis’s Canadian Psychiatric Mental Health Nursing, A Clinical Approach, Cheryl L. Pollard & Sonya L. Jakubec, 3rd Canadian Edition
View Document

Test Bank for Varcarolis’s Canadian Psychiatric Mental Health Nursing, A Clinical Approach, Cheryl L. Pollard & Sonya L. Jakubec, 3rd Canadian Edition

  • Kaponga

    Kaponga

  • exam

Test Bank for Varcarolis’s Canadian Psychiatric Mental Health Nursing, A Clinical Approach, Cheryl L. Pollard & Sonya ...

15 USD

0

0

Test Bank For Integrated Advertising, Promotion, and Marketing Communications 9th Edition By Kenneth Clow, Donald Baack
View Document

Test Bank For Integrated Advertising, Promotion, and Marketing Communications 9th Edition By Kenneth Clow, Donald Baack

  • Kaponga

    Kaponga

  • exam

Test Bank For Integrated Advertising, Promotion, and Marketing Communications 9th Edition By Kenneth Clow, Donald Baack...

15 USD

0

0

Test Bank for Comprehensive Perinatal & Pediatric Respiratory Care 4e Kent Whitaker, Paul Eberle, Lisa Trujillo
View Document

Test Bank for Comprehensive Perinatal & Pediatric Respiratory Care 4e Kent Whitaker, Paul Eberle, Lisa Trujillo

  • Kaponga

    Kaponga

  • exam

Test Bank for Comprehensive Perinatal & Pediatric Respiratory Care 4e Kent Whitaker, Paul Eberle, Lisa Trujillo...

15 USD

0

0

Test Bank For College Physics, 5th Edition By Alan Giambattista
View Document

Test Bank For College Physics, 5th Edition By Alan Giambattista

  • Kaponga

    Kaponga

  • exam

Test Bank For College Physics, 5th Edition By Alan Giambattista...

15 USD

0

0

Test Bank For Chemistry, The Central Science, 14th Edition by Brown
View Document

Test Bank For Chemistry, The Central Science, 14th Edition by Brown

  • Kaponga

    Kaponga

  • exam

Test Bank For Chemistry, The Central Science, 14th Edition by Brown...

15 USD

0

0

Cohen & Hull’s Memmler’s Human Body in Health and Disease 12th Ed | Verified Test Bank
View Document

Cohen & Hull’s Memmler’s Human Body in Health and Disease 12th Ed | Verified Test Bank

  • Pasing-Grades

    Pasing-Grades

  • exam

Studying human anatomy and physiology? The Test Bank for Memmler’s Structure & Function of the Human Body, 12th Editio...

15 USD

0

0

Test Bank For Anatomy & Physiology An Integrative Approach, 4th Edition Michael Mckinley, Valerie O’loughlin, Theresa Bidle
View Document

Test Bank For Anatomy & Physiology An Integrative Approach, 4th Edition Michael Mckinley, Valerie O’loughlin, Theresa Bidle

  • mentor2000

    mentor2000

  • test bank

Master your anatomy & physiology studies with the complete Test Bank for Anatomy & Physiology: An Integrative Approach, ...

15 USD

0

0

Test Bank For A Survey of Mathematics with Applications 11th Edition By Allen Angel, Christine Abbott, Dennis Runde
View Document

Test Bank For A Survey of Mathematics with Applications 11th Edition By Allen Angel, Christine Abbott, Dennis Runde

  • Pasing-Grades

    Pasing-Grades

  • exam

Get the Test Bank for A Survey of Mathematics with Applications, 11th Edition by Allen Angel, Christine Abbott, and Denn...

15 USD

0

0

Test Bank For Essentials of Human Anatomy and Physiology, 13th Edition Marieb All Chapters
View Document

Test Bank For Essentials of Human Anatomy and Physiology, 13th Edition Marieb All Chapters

  • Pasing-Grades

    Pasing-Grades

  • exam

Test Bank For Essentials of Human Anatomy and Physiology, 13th Edition Marieb All Chapters...

15 USD

0

0

Test Bank for Microbiology, An Evolving Science 5th Edition by Slonczewski & Foster
View Document

Test Bank for Microbiology, An Evolving Science 5th Edition by Slonczewski & Foster

  • mentor2000

    mentor2000

  • test bank

Test Bank for Microbiology, An Evolving Science 5th Edition by Slonczewski & Foster...

15 USD

0

0

Test Bank For Huether and McCance's Understanding Pathophysiology, Canadian Edition, 2nd Edition by Kelly Power-Kean
View Document

Test Bank For Huether and McCance's Understanding Pathophysiology, Canadian Edition, 2nd Edition by Kelly Power-Kean

  • mentor2000

    mentor2000

  • test bank

Test Bank For Huether and McCance's Understanding Pathophysiology, Canadian Edition, 2nd Edition by Kelly Power-Kean...

15 USD

0

0

Complete Test Bank for Kinn's The Clinical Medical Assistant, 15th Edition by Brigitte Niedzwiecki
View Document

Complete Test Bank for Kinn's The Clinical Medical Assistant, 15th Edition by Brigitte Niedzwiecki

  • mentor2000

    mentor2000

  • test bank

Complete Test Bank for Kinn's The Clinical Medical Assistant, 15th Edition by Brigitte Niedzwiecki...

15 USD

0

0

Complete Test Bank for Kinn's The Clinical Medical Assistant, 15th Edition by Brigitte Niedzwiecki
View Document

Complete Test Bank for Kinn's The Clinical Medical Assistant, 15th Edition by Brigitte Niedzwiecki

  • mentor2000

    mentor2000

  • test bank

Get ready for success with the Complete Test Bank for Kinn’s The Clinical Medical Assistant, 15th Edition by Brigitte ...

15 USD

0

0

Test Bank for South-Western Federal Taxation 2024 Comprehensive Volume 47th Edition | Latest 2026 Update
View Document

Test Bank for South-Western Federal Taxation 2024 Comprehensive Volume 47th Edition | Latest 2026 Update

  • mentor2000

    mentor2000

  • test bank

Get the complete test bank for South-Western Federal Taxation 2024 Comprehensive Volume 47th Edition By Young, Persellin...

15 USD

0

0

Comprehensive Test Bank for CURRENT Diagnosis & Treatment Pediatrics 26th Edition
View Document

Comprehensive Test Bank for CURRENT Diagnosis & Treatment Pediatrics 26th Edition

  • Opati-Kaka

    Opati-Kaka

  • questions & answers

Access the comprehensive Test Bank for CURRENT Diagnosis & Treatment Pediatrics 26th Edition by Maya Bunik, William W. H...

15 USD

0

0

Test Bank Project Management The Managerial Process, 8th Edition By Erik Larson and Clifford Gray
View Document

Test Bank Project Management The Managerial Process, 8th Edition By Erik Larson and Clifford Gray

  • mentor2000

    mentor2000

  • test bank

Access the complete test bank for Project Management: The Managerial Process, 8th Edition by Erik Larson and Clifford Gr...

15 USD

0

0

Test Bank for Essentials of Psychiatric Nursing, 3rd Edition by Boyd & Luebbert
View Document

Test Bank for Essentials of Psychiatric Nursing, 3rd Edition by Boyd & Luebbert

  • mentor2000

    mentor2000

  • study guide

Test Bank for Essentials of Psychiatric Nursing, 3rd Edition by Boyd & Luebbert...

15 USD

0

0

Test Bank for Strategic Management Concepts and Cases Competitiveness and Globalization 14th Edition By Hitt, Ireland, Hoskisson, Harrison
View Document

Test Bank for Strategic Management Concepts and Cases Competitiveness and Globalization 14th Edition By Hitt, Ireland, Hoskisson, Harrison

  • mentor2000

    mentor2000

  • study guide

Test Bank for Strategic Management Concepts and Cases Competitiveness and Globalization 14th Edition By Hitt, Ireland, H...

15 USD

0

0

Test Bank For Basic Biomechanics, 9th Edition susan j hall
View Document

Test Bank For Basic Biomechanics, 9th Edition susan j hall

  • mentor2000

    mentor2000

  • study guide

Test Bank For Basic Biomechanics, 9th Edition susan j hall...

15 USD

0

0

Test bank and Solution Manual for Basic Statistical Analysis 9th Edition by  Richard C. Sprinthall
View Document

Test bank and Solution Manual for Basic Statistical Analysis 9th Edition by Richard C. Sprinthall

  • mentor2000

    mentor2000

  • study guide

Test bank and Solution Manual for Basic Statistical Analysis 9th Edition by Richard C. Sprinthall...

15 USD

0

0

Test Bank For Business Essentials, 14th Edition. Ronald J. Ebert. Ricky W. Griffin
View Document

Test Bank For Business Essentials, 14th Edition. Ronald J. Ebert. Ricky W. Griffin

  • Namwaki

    Namwaki

  • test bank

Access the comprehensive Test Bank for Business Essentials, 14th Edition by Ronald J. Ebert and Ricky W. Griffin, tailor...

16 USD

0

0

Complete Test Bank - Calculus 10th Edition by Ron Larson & Bruce H. Edwards: Detailed Chapter-wise Solutions
View Document

Complete Test Bank - Calculus 10th Edition by Ron Larson & Bruce H. Edwards: Detailed Chapter-wise Solutions

  • wangeci

    wangeci

  • test bank

Get the Complete Test Bank for Calculus 10th Edition by Ron Larson & Bruce H. Edwards. Detailed chapter-wise solutions a...

15 USD

0

0

Complete Test Bank for N. Gregory Mankiw's Macroeconomics, 11th Edition - Boost Your Exam Prep with Expert Resources
View Document

Complete Test Bank for N. Gregory Mankiw's Macroeconomics, 11th Edition - Boost Your Exam Prep with Expert Resources

  • Kaponga

    Kaponga

  • test bank

Get the complete Test Bank for Macroeconomics, 11th Edition by N. Gregory Mankiw. Perfect for students and educators wit...

15 USD

0

0

Test Bank for Using Econometrics: A Practical Guide, 7th Edition A H. Studenmund
View Document

Test Bank for Using Econometrics: A Practical Guide, 7th Edition A H. Studenmund

  • Kaponga

    Kaponga

  • test bank

Get the comprehensive Test Bank for Using Econometrics: A Practical Guide, 7th Edition by A.H. Studenmund. Prepare effec...

15 USD

0

0

Test Bank for Comprehensive Radiographic Pathology, 8th Edition by Eisenberg
View Document

Test Bank for Comprehensive Radiographic Pathology, 8th Edition by Eisenberg

  • Opati-Kaka

    Opati-Kaka

  • test bank

Get the 2024 expert-verified Test Bank for Comprehensive Radiographic Pathology, 8th Edition by Eisenberg. Ideal resourc...

15 USD

0

0

Test Bank for Anatomy and Physiology The Unity of Form and Function 10th Edition by Kenneth S. Saladin
View Document

Test Bank for Anatomy and Physiology The Unity of Form and Function 10th Edition by Kenneth S. Saladin

  • Opati-Kaka

    Opati-Kaka

  • test bank

Get the Test Bank for Anatomy and Physiology: The Unity of Form and Function 10th Edition by Saladin. Access detailed, e...

15 USD

0

0

Latest Test Bank Fundamental Concepts and Skills for Nursing 7th Edition Patricia A. Williams 2025/2026
View Document

Latest Test Bank Fundamental Concepts and Skills for Nursing 7th Edition Patricia A. Williams 2025/2026

  • mentor2000

    mentor2000

  • test bank

Get the latest Test Bank for Fundamental Concepts and Skills for Nursing, 7th Edition by Patricia A. Williams, for the 2...

15 USD

0

1

Test Bank for American History Connecting with the Past 15th Edition (Volume 2) By Alan Brinkley
View Document

Test Bank for American History Connecting with the Past 15th Edition (Volume 2) By Alan Brinkley

  • mentor2000

    mentor2000

  • test bank

Test Bank for American History Connecting with the Past 15th Edition (Volume 2) By Alan Brinkley...

15 USD

0

0

Test Bank for Merrills Atlas of Radiographic Positioning and Procedures 15th Edition Long
View Document

Test Bank for Merrills Atlas of Radiographic Positioning and Procedures 15th Edition Long

  • mentor2000

    mentor2000

  • test bank

Instant access to Test Bank for Merrills Atlas of Radiographic Positioning and Procedures 15th Edition Long...

15 USD

0

0

Test Bank for Davis Advantage for Maternal-Newborn Nursing Critical Components of Nursing Care, 4th Edition by Durham Ch 1-19
View Document

Test Bank for Davis Advantage for Maternal-Newborn Nursing Critical Components of Nursing Care, 4th Edition by Durham Ch 1-19

  • Opati-Kaka

    Opati-Kaka

  • test bank

The Test Bank for Davis Advantage for Maternal-Newborn Nursing: Critical Components of Nursing Care, 4th Edition by Robe...

15 USD

0

0

Test Bank For Marketing Management 16th Edition By Philip Kotler, Kevin Lane Keller, Alexander Chernev
View Document

Test Bank For Marketing Management 16th Edition By Philip Kotler, Kevin Lane Keller, Alexander Chernev

  • Opati-Kaka

    Opati-Kaka

  • test bank

Study the Test Bank for Marketing Management, 16th Global Edition by Philip Kotler, Kevin Lane Keller, and Alexander Che...

15 USD

0

0

Test Bank for Primary Care Medicine 7th Edition by Allan H. Goroll, Albert G. Mulley
View Document

Test Bank for Primary Care Medicine 7th Edition by Allan H. Goroll, Albert G. Mulley

  • Opati-Kaka

    Opati-Kaka

  • test bank

Enhance your understanding of primary care with the comprehensive test bank for 'Primary Care Medicine' 7th Edition by A...

15 USD

0

0

Test Bank for Seidel's Guide To Physical Examination an Interprofessional Approach 10th Edition by Jane W. Ball, Joyce E. Dains Chapter 1-26
View Document

Test Bank for Seidel's Guide To Physical Examination an Interprofessional Approach 10th Edition by Jane W. Ball, Joyce E. Dains Chapter 1-26

  • Pasing-Grades

    Pasing-Grades

  • test bank

Download the comprehensive test bank for Seidel's Guide to Physical Examination: Interprofessional Approach, 10th Editio...

15 USD

0

0

Test Bank For Abnormal Psychology 11th Edition By Ronald Comer, Jonathan Comer
View Document

Test Bank For Abnormal Psychology 11th Edition By Ronald Comer, Jonathan Comer

  • Opati-Kaka

    Opati-Kaka

  • questions & answers

Explore the comprehensive Test Bank for Abnormal Psychology, 11th Edition by Ronald Comer and Jonathan Comer, featuring ...

15 USD

0

0

Test Bank Vanders Human Physiology The Mechanisms of Body Function 13th Edition Widmaier
View Document

Test Bank Vanders Human Physiology The Mechanisms of Body Function 13th Edition Widmaier

  • Opati-Kaka

    Opati-Kaka

  • questions & answers

Prepare for exams with the Test Bank for Vander's Human Physiology, 13th Edition by Widmaier, covering essential mechani...

15 USD

0

0

Complete Test bank for introduction to radiologic and imaging sciences and patient care 8th edition by Adler
View Document

Complete Test bank for introduction to radiologic and imaging sciences and patient care 8th edition by Adler

  • Daniel-Onyapidi

    Daniel-Onyapidi

  • test bank

Access the PDF test bank for Introduction to Radiologic and Imaging Sciences and Patient Care 8th Edition by Adler. Revi...

15 USD

0

0

Test Bank For Massage Therapy Principles and Practice 7th Edition BY Susan Salvo
View Document

Test Bank For Massage Therapy Principles and Practice 7th Edition BY Susan Salvo

  • Gradepush

    Gradepush

  • test bank

Get the complete test bank for 'Massage Therapy: Principles and Practice, 7th Edition' by Susan Salvo. Includes detailed...

15 USD

0

0

Test Bank for Implementing Organizational Change 3rd Edition by Bert Spector
View Document

Test Bank for Implementing Organizational Change 3rd Edition by Bert Spector

  • Gradepush

    Gradepush

  • test bank

Comprehensive test bank for 'Implementing Organizational Change, 3rd Edition' by Bert Spector. Includes questions and an...

15 USD

0

0

ATI TEAS 7 Science Test Bank Questions Answers 2024
View Document

ATI TEAS 7 Science Test Bank Questions Answers 2024

  • Gradepush

    Gradepush

  • exam

Enhance your ATI TEAS 7 Science exam preparation with our comprehensive test bank for 2024. Featuring detailed questions...

10 USD

0

0

Test Bank for Dewitt’s Fundamental Concepts and Skills for Nursing 6th Edition by Miles Duke
View Document

Test Bank for Dewitt’s Fundamental Concepts and Skills for Nursing 6th Edition by Miles Duke

  • Kaponga

    Kaponga

  • test bank

Test Bank for "Fundamental Concepts and Skills for Nursing, 6th Edition" by Dewitt, Miles, and Duke. Provides a comprehe...

15 USD

0

0

Test Bank for Human Physiology An Integrated Approach 9th Edition Silverthorn
View Document

Test Bank for Human Physiology An Integrated Approach 9th Edition Silverthorn

  • Gradepush

    Gradepush

  • exam

Comprehensive test bank for "Human Physiology: An Integrated Approach, 9th Edition" by Silverthorn. Includes a wide rang...

15 USD

0

0

Test Bank For Palliative Care Nursing Quality Care to the End of Life 5th Edition Matzo
View Document

Test Bank For Palliative Care Nursing Quality Care to the End of Life 5th Edition Matzo

  • Daniel-Onyapidi

    Daniel-Onyapidi

  • test bank

Test Bank for Palliative Care Nursing: Quality Care to the End of Life, 5th Edition – Matzo & Sherman | 1000+ Q&A with...

15 USD

0

0

Test Bank For Nelson's Essentials of Pediatrics 8th Edition Marcdante Kliegman
View Document

Test Bank For Nelson's Essentials of Pediatrics 8th Edition Marcdante Kliegman

  • Kaponga

    Kaponga

  • test bank

Test Bank For Nelson's Essentials of Pediatrics 8th Edition Marcdante Kliegman...

16 USD

0

0

Test Bank For Microbiology Practical Applications and Infection Prevention, 1st Edition by Colbert
View Document

Test Bank For Microbiology Practical Applications and Infection Prevention, 1st Edition by Colbert

  • Eddah-Nafula

    Eddah-Nafula

  • exam

Test Bank For Microbiology Practical Applications and Infection Prevention, 1st Edition by Colbert – Download PDF...

16 USD

0

0

Test Bank for Microbiology, An Introduction, 12th Edition, Gerard J. Tortora, Berdell R. Funke, Christine L. Case, Derek Weber, Warner Bair
View Document

Test Bank for Microbiology, An Introduction, 12th Edition, Gerard J. Tortora, Berdell R. Funke, Christine L. Case, Derek Weber, Warner Bair

  • Kaponga

    Kaponga

  • exam

Test Bank for Microbiology, An Introduction, 12th Edition, Gerard J. Tortora, Berdell R. Funke, Christine L. Case, Derek...

15 USD

0

0

Test Bank For Womens Health Care in Advanced Practice Nursing 2nd Edition Alexander All Chapters
View Document

Test Bank For Womens Health Care in Advanced Practice Nursing 2nd Edition Alexander All Chapters

  • Kaponga

    Kaponga

  • exam

Test Bank For Womens Health Care in Advanced Practice Nursing 2nd Edition Alexander All Chapters...

16 USD

0

0

Test Bank for Biochemistry 8th Edition By Jeremy Berg, John Tymoczko, Gregory Gatto, Lubert Stryer All Chapters
View Document

Test Bank for Biochemistry 8th Edition By Jeremy Berg, John Tymoczko, Gregory Gatto, Lubert Stryer All Chapters

  • Kaponga

    Kaponga

  • exam

Test Bank for Biochemistry 8th Edition By Jeremy Berg, John Tymoczko, Gregory Gatto, Lubert Stryer All Chapters...

15 USD

0

0

Test Bank for Biochemistry 9th Edition By Jeremy Berg, John Tymoczko, Gregory Gatto, Lubert Stryer All Chapters
View Document

Test Bank for Biochemistry 9th Edition By Jeremy Berg, John Tymoczko, Gregory Gatto, Lubert Stryer All Chapters

  • Kaponga

    Kaponga

  • exam

Test Bank for Biochemistry 9th Edition By Jeremy Berg, John Tymoczko, Gregory Gatto, Lubert Stryer All Chapters...

15 USD

0

0

Test Bank for Biochemistry 10th Edition By Jeremy Berg, John Tymoczko, Gregory Gatto, Lubert Stryer All Chapters
View Document

Test Bank for Biochemistry 10th Edition By Jeremy Berg, John Tymoczko, Gregory Gatto, Lubert Stryer All Chapters

  • Kaponga

    Kaponga

  • exam

Test Bank for Biochemistry 10th Edition By Jeremy Berg, John Tymoczko, Gregory Gatto, Lubert Stryer All Chapters...

15 USD

0

0

Test Bank for Calculate with Confidence 8th Edition by Deborah Gray Morris All Chapters
View Document

Test Bank for Calculate with Confidence 8th Edition by Deborah Gray Morris All Chapters

  • Kaponga

    Kaponga

  • exam

Test Bank for Calculate with Confidence 8th Edition by Deborah Gray Morris All Chapters...

15 USD

0

0

Test Bank for Fundamental Managerial Accounting Concepts, 10th Edition by Edmonds
View Document

Test Bank for Fundamental Managerial Accounting Concepts, 10th Edition by Edmonds

  • Emily

    Emily

  • test bank

Test Bank for Fundamental Managerial Accounting Concepts, 10th Edition by Edmonds...

15 USD

0

0

Test Bank for Fundamental Managerial Accounting Concepts, 9th Edition by Edmonds
View Document

Test Bank for Fundamental Managerial Accounting Concepts, 9th Edition by Edmonds

  • Emily

    Emily

  • test bank

Test Bank for Fundamental Managerial Accounting Concepts, 9th Edition by Edmonds...

15 USD

0

0

Test Bank for Managerial Accounting, Creating Value in a Dynamic Business Environment, 13th Edition by Ronald Hilton and David Platt
View Document

Test Bank for Managerial Accounting, Creating Value in a Dynamic Business Environment, 13th Edition by Ronald Hilton and David Platt

  • Emily

    Emily

  • test bank

Test Bank for Managerial Accounting, Creating Value in a Dynamic Business Environment, 13th Edition by Ronald Hilton and...

17 USD

0

0

Test Bank for Managerial Accounting Creating Value in a Dynamic Business Environment 12th Edition by Ronald Hilton and David Platt
View Document

Test Bank for Managerial Accounting Creating Value in a Dynamic Business Environment 12th Edition by Ronald Hilton and David Platt

  • Emily

    Emily

  • test bank

Test Bank for Managerial Accounting Creating Value in a Dynamic Business Environment 12th Edition by Ronald Hilton and D...

16 USD

0

0

Test Bank for Managerial Accounting, Creating Value in a Dynamic Business Environment, 11th Edition by Ronald Hilton and David Platt
View Document

Test Bank for Managerial Accounting, Creating Value in a Dynamic Business Environment, 11th Edition by Ronald Hilton and David Platt

  • Emily

    Emily

  • test bank

Test Bank for Managerial Accounting, Creating Value in a Dynamic Business Environment, 11th Edition by Ronald Hilton and...

15 USD

0

0

Test Bank for Managerial Accounting Creating Value in a Dynamic Business Environment 10th Edition by Ronald Hilton and David Platt
View Document

Test Bank for Managerial Accounting Creating Value in a Dynamic Business Environment 10th Edition by Ronald Hilton and David Platt

  • Emily

    Emily

  • test bank

Test Bank for Managerial Accounting Creating Value in a Dynamic Business Environment 10th Edition by Ronald Hilton and D...

15 USD

0

0

Test Bank for Managerial Accounting Creating Value in a Dynamic Business Environment 9th Edition by Ronald Hilton and David Platt
View Document

Test Bank for Managerial Accounting Creating Value in a Dynamic Business Environment 9th Edition by Ronald Hilton and David Platt

  • Emily

    Emily

  • test bank

Test Bank for Managerial Accounting Creating Value in a Dynamic Business Environment 9th Edition by Ronald Hilton and Da...

16 USD

0

0

Behavioral Neuroscience 10th Edition Test Bank by Marc Breedlove and Neil V. Watson
View Document

Behavioral Neuroscience 10th Edition Test Bank by Marc Breedlove and Neil V. Watson

  • Emily

    Emily

  • test bank

Behavioral Neuroscience 10th Edition Test Bank by Marc Breedlove and Neil V. Watson – Download PDF...

17 USD

0

0

Test Bank For LPN to RN Transitions Achieving Success in your New Role 5th Edition By Nicki Harrington; Cynthia Lee Terry
View Document

Test Bank For LPN to RN Transitions Achieving Success in your New Role 5th Edition By Nicki Harrington; Cynthia Lee Terry

  • Opati-Kaka

    Opati-Kaka

  • test bank

Test Bank For LPN to RN Transitions Achieving Success in your New Role 5th Edition By Nicki Harrington; Cynthia Lee Terr...

16 USD

0

0

Test Bank Essential Cell Biology 5th Edition Alberts Hopkin Questions & Answers with rationales (Chapter 1-20)
View Document

Test Bank Essential Cell Biology 5th Edition Alberts Hopkin Questions & Answers with rationales (Chapter 1-20)

  • mentor2000

    mentor2000

  • test bank

Test Bank Essential Cell Biology 5th Edition Alberts Hopkin Questions & Answers with rationales (Chapter 1-20)...

17 USD

0

0

Test Bank - Psychiatric Nursing Contemporary Practice, 7th Edition (Ann Boyd), Chapter 1-43
View Document

Test Bank - Psychiatric Nursing Contemporary Practice, 7th Edition (Ann Boyd), Chapter 1-43

  • Kaponga

    Kaponga

  • test bank

Get the Test Bank for Psychiatric Nursing 7th Ed. by Boyd & Luebbert 2022. Includes all chapters, detailed answers, and ...

16 USD

0

0

978-0134302201 An Introduction to Psychological Science 2nd Canadian Edition Test Bank
View Document

978-0134302201 An Introduction to Psychological Science 2nd Canadian Edition Test Bank

  • studypal

    studypal

  • test bank

978-0134302201 An Introduction to Psychological Science 2nd Canadian Edition Test Bank – Download PDF...

17 USD

0

0

Test Bank For Advanced Health Assessment and Diagnostic Reasoning 4th Edition by Rhoads
View Document

Test Bank For Advanced Health Assessment and Diagnostic Reasoning 4th Edition by Rhoads

  • mentor2000

    mentor2000

  • test bank

Test Bank For Advanced Health Assessment and Diagnostic Reasoning 4th Edition by Rhoads...

16 USD

0

0

Test Bank for Biological Science 7th Edition Scott Freeman, Lizabeth Allison, Jeff Carmichael (All Chapters)
View Document

Test Bank for Biological Science 7th Edition Scott Freeman, Lizabeth Allison, Jeff Carmichael (All Chapters)

  • Opati-Kaka

    Opati-Kaka

  • ati proctored

Test Bank for Biological Science 7th Edition Scott Freeman, Lizabeth Allison, Jeff Carmichael (All Chapters)...

16 USD

0

0

Test Bank for Therapeutic Exercise Foundations and Techniques, 8th Edition, Carolyn Kisner, Lynn Allen Colby
View Document

Test Bank for Therapeutic Exercise Foundations and Techniques, 8th Edition, Carolyn Kisner, Lynn Allen Colby

  • Kaponga

    Kaponga

  • test bank

Test Bank for Therapeutic Exercise Foundations and Techniques, 8th Edition, Carolyn Kisner, Lynn Allen Colby...

15 USD

0

0

Test Bank for Population based nursing: concepts and competencies for advanced practice 3rd edition by Ann L Curley
View Document

Test Bank for Population based nursing: concepts and competencies for advanced practice 3rd edition by Ann L Curley

  • Emily

    Emily

  • test bank

Test Bank for Population based nursing: concepts and competencies for advanced practice 3rd edition by Ann L Curley...

16 USD

0

0

Test Bank for Introduction to Evidence-Based Practice, A Practical Guide for Nursing 2nd Edition by Leslie and Lisa
View Document

Test Bank for Introduction to Evidence-Based Practice, A Practical Guide for Nursing 2nd Edition by Leslie and Lisa

  • mentor2000

    mentor2000

  • test bank

Test Bank for Introduction to Evidence-Based Practice, A Practical Guide for Nursing 2nd Edition by Leslie and Lisa...

15 USD

0

0

Test Bank Using and Understanding Mathematics, a Quantitative Reasoning Approach 7th Edition by Bennett Briggs
View Document

Test Bank Using and Understanding Mathematics, a Quantitative Reasoning Approach 7th Edition by Bennett Briggs

  • Kaponga

    Kaponga

  • questions & answers

Test Bank Using and Understanding Mathematics, a Quantitative Reasoning Approach 7th Edition by Bennett Briggs...

15 USD

0

0

Test Bank for Leadership Roles and Management Functions in Nursing 11th Edition by Bessie L Marquis & Carol Huston Chapter 1-25, Complete Rated A+
View Document

Test Bank for Leadership Roles and Management Functions in Nursing 11th Edition by Bessie L Marquis & Carol Huston Chapter 1-25, Complete Rated A+

  • Kaponga

    Kaponga

  • questions & answers

Access the full test bank for Leadership Roles and Management Functions in Nursing, 11th Edition by Marquis & Huston. In...

16 USD

0

0

Test Bank For Linz’s Comprehensive Respiratory Diseases First Edition Sindee Karpel
View Document

Test Bank For Linz’s Comprehensive Respiratory Diseases First Edition Sindee Karpel

  • mentor2000

    mentor2000

  • exam

Get the complete test bank for Linz’s Comprehensive Respiratory Diseases, 1st Ed (Karpel & Linz). Covers all 26 chapte...

20 USD

0

6

Test Bank For Contemporary Nursing Issues, Trends, & Management Chapter 1-28 9th Edition by Barbara Cherry, Susan R. Jacob
View Document

Test Bank For Contemporary Nursing Issues, Trends, & Management Chapter 1-28 9th Edition by Barbara Cherry, Susan R. Jacob

  • emmanuel

    emmanuel

  • test bank

Test Bank For Contemporary Nursing Issues, Trends, & Management Chapter 1-28 9th Edition by Barbara Cherry, Susan R. Jac...

38 USD

0

0

Test Bank  for Prescott's Microbiology Chapter 1-43 With Verified Solutions 12th Edition by Joanne Willey
View Document

Test Bank for Prescott's Microbiology Chapter 1-43 With Verified Solutions 12th Edition by Joanne Willey

  • emmanuel

    emmanuel

  • test bank

Test Bank for Prescott's Microbiology Chapter 1-43 With Verified Solutions 12th Edition by Joanne Willey...

37 USD

0

0

Test Bank for Real Estate Law 9e Robert J. Aalberts
View Document

Test Bank for Real Estate Law 9e Robert J. Aalberts

  • mentor2000

    mentor2000

  • test bank

Test Bank for Real Estate Law 9e Robert J. Aalberts...

15 USD

0

0

Test Bank for Mosby’s Respiratory Care Equipment, 11th Edition James M. Cairo All Chapters Covered
View Document

Test Bank for Mosby’s Respiratory Care Equipment, 11th Edition James M. Cairo All Chapters Covered

  • mentor2000

    mentor2000

  • test bank

Get PDF of Test Bank for Mosby’s Respiratory Care Equipment, 11th Edition James M. Cairo All Chapters Covered...

15 USD

0

0

Test Bank for Gerontological Nursing Competencies for Care 4th Edition Kristen L. Mauk
View Document

Test Bank for Gerontological Nursing Competencies for Care 4th Edition Kristen L. Mauk

  • mentor2000

    mentor2000

  • test bank

Download the Test Bank for Gerontological Nursing: Competencies for Care, 4th Edition by Mauk. Get NCLEX-style questions...

15 USD

0

0

Test Bank For Olds’ Maternal-Newborn Nursing and Women’s Health Across the Lifespan 10th Edition By Davidson Complete Guide Latest Update Version 2024
View Document

Test Bank For Olds’ Maternal-Newborn Nursing and Women’s Health Across the Lifespan 10th Edition By Davidson Complete Guide Latest Update Version 2024

  • GoldenStar

    GoldenStar

  • test bank

Test Bank For Olds’ Maternal-Newborn Nursing and Women’s Health Across the Lifespan 10th Edition By Davidson Complet...

15 USD

0

0

TEST BANK MEDICAL SURGICAL NURSING-CONCEPTS FOR INTERPROFESSIONAL COLLABORATIVE CARE 9TH EDITION BY IGNATAVICIUS
View Document

TEST BANK MEDICAL SURGICAL NURSING-CONCEPTS FOR INTERPROFESSIONAL COLLABORATIVE CARE 9TH EDITION BY IGNATAVICIUS

  • Highergrades

    Highergrades

  • ati medical surgical

TEST BANK MEDICAL SURGICAL NURSING-CONCEPTS FOR INTERPROFESSIONAL COLLABORATIVE CARE 9TH EDITION BY IGNATAVICIUS...

20 USD

0

0

TEST BANK AND SOLUTIONS FOR  CANADIAN HUMAN RESOURCE  MANAGEMENT 12th Edition 12ce by  Schwind Exam Questions and Answers  2024
View Document

TEST BANK AND SOLUTIONS FOR CANADIAN HUMAN RESOURCE MANAGEMENT 12th Edition 12ce by Schwind Exam Questions and Answers 2024

  • tutor123

    tutor123

  • questions & answers

TEST BANK AND SOLUTIONS FOR CANADIAN HUMAN RESOURCE MANAGEMENT 12th Edition 12ce by Schwind Exam Questions and Answer...

15 USD

0

0

TEST BANK BASIC GERIATRIC NURSING 7th Edition By Patricia A. Williams
View Document

TEST BANK BASIC GERIATRIC NURSING 7th Edition By Patricia A. Williams

  • BESTEXAMS

    BESTEXAMS

  • test bank

TEST BANK BASIC GERIATRIC NURSING 7th Edition By Patricia A. Williams...

32 USD

0

0

TEST BANK BASIC GERIATRIC NURSING 7th Edition By Patricia A. Williams
View Document

TEST BANK BASIC GERIATRIC NURSING 7th Edition By Patricia A. Williams

  • BESTS

    BESTS

  • test bank

TEST BANK BASIC GERIATRIC NURSING 7th Edition By Patricia A. Williams...

32 USD

0

0

TEST BANK BASIC GERIATRIC NURSING 7th Edition By Patricia A. Williams
View Document

TEST BANK BASIC GERIATRIC NURSING 7th Edition By Patricia A. Williams

  • BESTPDF

    BESTPDF

  • test bank

TEST BANK BASIC GERIATRIC NURSING 7th Edition By Patricia A. Williams...

36 USD

0

0

Test Bank: Essentials	of Psychiatric Mental Health Nursing (3rd Edition	by Varcarolis)
View Document

Test Bank: Essentials of Psychiatric Mental Health Nursing (3rd Edition by Varcarolis)

  • TUTORSFLIX

    TUTORSFLIX

  • test bank

Test Bank: Essentials of Psychiatric Mental Health Nursing (3rd Edition by Varcarolis)...

20 USD

0

0

Test Bank: Essentials	of Psychiatric Mental Health Nursing (3rd Edition	by Varcarolis)
View Document

Test Bank: Essentials of Psychiatric Mental Health Nursing (3rd Edition by Varcarolis)

  • mentor2000

    mentor2000

  • test bank

Test Bank: Essentials of Psychiatric Mental Health Nursing (3rd Edition by Varcarolis)...

20 USD

0

0

Test Bank: Essentials	of Psychiatric Mental Health Nursing (3rd Edition	by Varcarolis)
View Document

Test Bank: Essentials of Psychiatric Mental Health Nursing (3rd Edition by Varcarolis)

  • tutorwizard

    tutorwizard

  • test bank

Test Bank: Essentials of Psychiatric Mental Health Nursing (3rd Edition by Varcarolis)...

20 USD

0

0

Test Bank: Essentials	of Psychiatric Mental Health Nursing (3rd Edition	by Varcarolis)
View Document

Test Bank: Essentials of Psychiatric Mental Health Nursing (3rd Edition by Varcarolis)

  • PRIMESOLUTIONS

    PRIMESOLUTIONS

  • test bank

Test Bank: Essentials of Psychiatric Mental Health Nursing (3rd Edition by Varcarolis)...

20 USD

0

0

Test Bank: Essentials	of Psychiatric Mental Health Nursing (3rd Edition	by Varcarolis)
View Document

Test Bank: Essentials of Psychiatric Mental Health Nursing (3rd Edition by Varcarolis)

  • mentor2000

    mentor2000

  • test bank

Test Bank: Essentials of Psychiatric Mental Health Nursing (3rd Edition by Varcarolis)...

20 USD

0

0

Test Bank: Essentials	of Psychiatric Mental Health Nursing (3rd Edition	by Varcarolis)
View Document

Test Bank: Essentials of Psychiatric Mental Health Nursing (3rd Edition by Varcarolis)

  • Solutions

    Solutions

  • test bank

Test Bank: Essentials of Psychiatric Mental Health Nursing (3rd Edition by Varcarolis)...

20 USD

0

0

Test Bank: Essentials	of Psychiatric Mental Health Nursing (3rd Edition	by Varcarolis)
View Document

Test Bank: Essentials of Psychiatric Mental Health Nursing (3rd Edition by Varcarolis)

  • GoldenStar

    GoldenStar

  • test bank

Test Bank: Essentials of Psychiatric Mental Health Nursing (3rd Edition by Varcarolis)...

20 USD

0

0

TEST BANK FOR ADAM’S PHARMACOLOGY FOR NURSES A PATHOPHYSIOLOGIC APPROACH, 6TH EDITION
View Document

TEST BANK FOR ADAM’S PHARMACOLOGY FOR NURSES A PATHOPHYSIOLOGIC APPROACH, 6TH EDITION

  • GoldenStar

    GoldenStar

  • test bank

TEST BANK FOR ADAM’S PHARMACOLOGY FOR NURSES A PATHOPHYSIOLOGIC APPROACH, 6TH EDITION...

20 USD

0

0

Test Bank - Psychiatric Nursing: Contemporary Practice (6th Edition by Boyd)
View Document

Test Bank - Psychiatric Nursing: Contemporary Practice (6th Edition by Boyd)

  • TUTORSFLIX

    TUTORSFLIX

  • test bank

Test Bank - Psychiatric Nursing: Contemporary Practice (6th Edition by Boyd)...

20 USD

0

0

Test Bank - Psychiatric Nursing: Contemporary Practice (6th Edition by Boyd)
View Document

Test Bank - Psychiatric Nursing: Contemporary Practice (6th Edition by Boyd)

  • mentor2000

    mentor2000

  • test bank

Test Bank - Psychiatric Nursing: Contemporary Practice (6th Edition by Boyd)...

20 USD

0

0

Test Bank - Psychiatric Nursing: Contemporary Practice (6th Edition by Boyd)
View Document

Test Bank - Psychiatric Nursing: Contemporary Practice (6th Edition by Boyd)

  • tutorwizard

    tutorwizard

  • test bank

Test Bank - Psychiatric Nursing: Contemporary Practice (6th Edition by Boyd)...

20 USD

0

0

Test Bank - Psychiatric Nursing: Contemporary Practice (6th Edition by Boyd)
View Document

Test Bank - Psychiatric Nursing: Contemporary Practice (6th Edition by Boyd)

  • PRIMESOLUTIONS

    PRIMESOLUTIONS

  • test bank

Test Bank - Psychiatric Nursing: Contemporary Practice (6th Edition by Boyd)...

20 USD

0

0

Test Bank - Psychiatric Nursing: Contemporary Practice (6th Edition by Boyd)
View Document

Test Bank - Psychiatric Nursing: Contemporary Practice (6th Edition by Boyd)

  • mentor2000

    mentor2000

  • test bank

Test Bank - Psychiatric Nursing: Contemporary Practice (6th Edition by Boyd)...

20 USD

0

0

Test Bank - Psychiatric Nursing: Contemporary Practice (6th Edition by Boyd)
View Document

Test Bank - Psychiatric Nursing: Contemporary Practice (6th Edition by Boyd)

  • Solutions

    Solutions

  • test bank

Test Bank - Psychiatric Nursing: Contemporary Practice (6th Edition by Boyd)...

20 USD

0

0

Test Bank - Psychiatric Nursing: Contemporary Practice (6th Edition by Boyd)
View Document

Test Bank - Psychiatric Nursing: Contemporary Practice (6th Edition by Boyd)

  • GoldenStar

    GoldenStar

  • test bank

Test Bank - Psychiatric Nursing: Contemporary Practice (6th Edition by Boyd)...

20 USD

0

0

EMERGENCY CARE IN THE STREET 9 TH TEST BANK BY CAROLINE
View Document

EMERGENCY CARE IN THE STREET 9 TH TEST BANK BY CAROLINE

  • Blessed

    Blessed

  • test bank

EMERGENCY CARE IN THE STREET 9 TH TEST BANK BY CAROLINE...

39 USD

0

0

Test Bank Medical Surgical Nursing: Concepts and Practice, 5th Edition by Stromberg
View Document

Test Bank Medical Surgical Nursing: Concepts and Practice, 5th Edition by Stromberg

  • GoldenStar

    GoldenStar

  • test bank

Excel in your studies with our Test Bank for Medical-Surgical Nursing: Concepts and Practice, 5th Edition by Stromberg. ...

20 USD

0

0

Test Bank - Foundations and Adult Health Nursing, 9th Edition (Cooper, 2023) Chapter 1-58 | All Chapters
View Document

Test Bank - Foundations and Adult Health Nursing, 9th Edition (Cooper, 2023) Chapter 1-58 | All Chapters

  • tutorwizard

    tutorwizard

  • test bank

Test Bank - Foundations and Adult Health Nursing, 9th Edition (Cooper, 2023) Chapter 1-58 | All Chapters...

20 USD

0

0

EMERGENCY CARE IN THE STREET 9 TH TEST BANK BY CAROLINE
View Document

EMERGENCY CARE IN THE STREET 9 TH TEST BANK BY CAROLINE

  • ExamsGuide

    ExamsGuide

  • test bank

EMERGENCY CARE IN THE STREET 9 TH TEST BANK BY CAROLINE...

41 USD

0

0

Essentials of Pediatric Nursing 4th Edition Kyle Carman Test Bank
View Document

Essentials of Pediatric Nursing 4th Edition Kyle Carman Test Bank

  • GoldenStar

    GoldenStar

  • test bank

Essentials of Pediatric Nursing 4th Edition Kyle Carman Test Bank...

20 USD

0

0

Test Bank For Gould's Pathophysiology for the Health Professions, 6th Edition (VanMeter)
View Document

Test Bank For Gould's Pathophysiology for the Health Professions, 6th Edition (VanMeter)

  • mentor2000

    mentor2000

  • test bank

Test Bank For Gould's Pathophysiology for the Health Professions, 6th Edition (VanMeter)...

15 USD

0

0

Test Bank - Gould's Pathophysiology for the Health Professions, 7th Edition (VanMeter 2023)
View Document

Test Bank - Gould's Pathophysiology for the Health Professions, 7th Edition (VanMeter 2023)

  • GoldenStar

    GoldenStar

  • test bank

Test Bank - Gould's Pathophysiology for the Health Professions, 7th Edition (VanMeter 2023)...

16 USD

0

0

Test Bank - Varcarolis’ Foundations of Psychiatric Mental Health Nursing: A Clinical Approach, 8th Edition
View Document

Test Bank - Varcarolis’ Foundations of Psychiatric Mental Health Nursing: A Clinical Approach, 8th Edition

  • TUTORSFLIX

    TUTORSFLIX

  • test bank

Test Bank - Varcarolis’ Foundations of Psychiatric Mental Health Nursing: A Clinical Approach, 8th Edition...

20 USD

0

0

Test Bank - Varcarolis’ Foundations of Psychiatric Mental Health Nursing: A Clinical Approach, 8th Edition
View Document

Test Bank - Varcarolis’ Foundations of Psychiatric Mental Health Nursing: A Clinical Approach, 8th Edition

  • mentor2000

    mentor2000

  • test bank

Test Bank - Varcarolis’ Foundations of Psychiatric Mental Health Nursing: A Clinical Approach, 8th Edition...

20 USD

0

0

Test Bank - Varcarolis’ Foundations of Psychiatric Mental Health Nursing: A Clinical Approach, 8th Edition
View Document

Test Bank - Varcarolis’ Foundations of Psychiatric Mental Health Nursing: A Clinical Approach, 8th Edition

  • tutorwizard

    tutorwizard

  • test bank

Test Bank - Varcarolis’ Foundations of Psychiatric Mental Health Nursing: A Clinical Approach, 8th Edition...

20 USD

0

0

Test Bank - Varcarolis’ Foundations of Psychiatric Mental Health Nursing: A Clinical Approach, 8th Edition
View Document

Test Bank - Varcarolis’ Foundations of Psychiatric Mental Health Nursing: A Clinical Approach, 8th Edition

  • PRIMESOLUTIONS

    PRIMESOLUTIONS

  • test bank

Test Bank - Varcarolis’ Foundations of Psychiatric Mental Health Nursing: A Clinical Approach, 8th Edition...

20 USD

0

0

Test Bank - Varcarolis’ Foundations of Psychiatric Mental Health Nursing: A Clinical Approach, 8th Edition
View Document

Test Bank - Varcarolis’ Foundations of Psychiatric Mental Health Nursing: A Clinical Approach, 8th Edition

  • mentor2000

    mentor2000

  • test bank

Test Bank - Varcarolis’ Foundations of Psychiatric Mental Health Nursing: A Clinical Approach, 8th Edition...

20 USD

0

0

Test Bank - Varcarolis’ Foundations of Psychiatric Mental Health Nursing: A Clinical Approach, 8th Edition
View Document

Test Bank - Varcarolis’ Foundations of Psychiatric Mental Health Nursing: A Clinical Approach, 8th Edition

  • Solutions

    Solutions

  • test bank

Test Bank - Varcarolis’ Foundations of Psychiatric Mental Health Nursing: A Clinical Approach, 8th Edition...

20 USD

0

0

Test Bank - Varcarolis’ Foundations of Psychiatric Mental Health Nursing: A Clinical Approach, 8th Edition
View Document

Test Bank - Varcarolis’ Foundations of Psychiatric Mental Health Nursing: A Clinical Approach, 8th Edition

  • GoldenStar

    GoldenStar

  • test bank

Test Bank - Varcarolis’ Foundations of Psychiatric Mental Health Nursing: A Clinical Approach, 8th Edition...

20 USD

0

0

TEST BANK FOR PATHOPHYSIOLOGY 7TH EDITION BY JACQUELYN L. BANASIK CHAPTER 1-54 COMPLETE GUIDE
View Document

TEST BANK FOR PATHOPHYSIOLOGY 7TH EDITION BY JACQUELYN L. BANASIK CHAPTER 1-54 COMPLETE GUIDE

  • TUTORSFLIX

    TUTORSFLIX

  • test bank

TEST BANK FOR PATHOPHYSIOLOGY 7TH EDITION BY JACQUELYN L. BANASIK CHAPTER 1-54 COMPLETE GUIDE...

20 USD

0

0

PROFESSIONAL NURSING: CONCEPTS & CHALLENGES, 9TH EDITION TEST BANK
View Document

PROFESSIONAL NURSING: CONCEPTS & CHALLENGES, 9TH EDITION TEST BANK

  • mentor2000

    mentor2000

  • test bank

PROFESSIONAL NURSING: CONCEPTS & CHALLENGES, 9TH EDITION TEST BANK...

20 USD

0

0

PROFESSIONAL NURSING: CONCEPTS & CHALLENGES, 9TH EDITION TEST BANK
View Document

PROFESSIONAL NURSING: CONCEPTS & CHALLENGES, 9TH EDITION TEST BANK

  • tutorwizard

    tutorwizard

  • test bank

PROFESSIONAL NURSING: CONCEPTS & CHALLENGES, 9TH EDITION TEST BANK...

20 USD

0

0

PROFESSIONAL NURSING: CONCEPTS & CHALLENGES, 9TH EDITION TEST BANK
View Document

PROFESSIONAL NURSING: CONCEPTS & CHALLENGES, 9TH EDITION TEST BANK

  • tutorwizard

    tutorwizard

  • test bank

PROFESSIONAL NURSING: CONCEPTS & CHALLENGES, 9TH EDITION TEST BANK...

20 USD

0

0

PROFESSIONAL NURSING: CONCEPTS & CHALLENGES, 9TH EDITION TEST BANK
View Document

PROFESSIONAL NURSING: CONCEPTS & CHALLENGES, 9TH EDITION TEST BANK

  • PRIMESOLUTIONS

    PRIMESOLUTIONS

  • test bank

PROFESSIONAL NURSING: CONCEPTS & CHALLENGES, 9TH EDITION TEST BANK...

20 USD

0

0

PROFESSIONAL NURSING: CONCEPTS & CHALLENGES, 9TH EDITION TEST BANK
View Document

PROFESSIONAL NURSING: CONCEPTS & CHALLENGES, 9TH EDITION TEST BANK

  • mentor2000

    mentor2000

  • test bank

PROFESSIONAL NURSING: CONCEPTS & CHALLENGES, 9TH EDITION TEST BANK...

20 USD

0

0

PROFESSIONAL NURSING: CONCEPTS & CHALLENGES, 9TH EDITION TEST BANK
View Document

PROFESSIONAL NURSING: CONCEPTS & CHALLENGES, 9TH EDITION TEST BANK

  • Solutions

    Solutions

  • test bank

PROFESSIONAL NURSING: CONCEPTS & CHALLENGES, 9TH EDITION TEST BANK...

20 USD

0

0

Test Bank Foundations of Maternal-Newborn and Women's Health Nursing, 8th Edition by Murray Chapter 1-28 | All Chapters
View Document

Test Bank Foundations of Maternal-Newborn and Women's Health Nursing, 8th Edition by Murray Chapter 1-28 | All Chapters

  • Solutions

    Solutions

  • test bank

Test Bank Foundations of Maternal-Newborn and Women's Health Nursing, 8th Edition by Murray Chapter 1-28 | All Chapters...

15 USD

0

0

Test Bank for Safe Maternity & Pediatric NursingCare2nd editionbyLinnardpalmer
View Document

Test Bank for Safe Maternity & Pediatric NursingCare2nd editionbyLinnardpalmer

  • TUTORSFLIX

    TUTORSFLIX

  • test bank

Test Bank for Safe Maternity & Pediatric NursingCare2nd editionbyLinnardpalmer...

20 USD

0

0

Complete Maternal Child Nursing Care 7th Edition Test Bank (Perry, Hockenberry & Cashion) – Chapters 1–50 | Verified Answers & NCLEX-Style Questions
View Document

Complete Maternal Child Nursing Care 7th Edition Test Bank (Perry, Hockenberry & Cashion) – Chapters 1–50 | Verified Answers & NCLEX-Style Questions

  • TUTORSFLIX

    TUTORSFLIX

  • test bank

Test Bank for Maternal Child Nursing Care 7th Edition by Shannon E. Perry, Marilyn J. Hockenberry, Mary Catherine Cashio...

15 USD

0

0

Maternal & Pediatric Nursing Test Bank – Maternal Child Nursing Care 7E (Chapters 1-50) | Verified Answers + Practice Questions
View Document

Maternal & Pediatric Nursing Test Bank – Maternal Child Nursing Care 7E (Chapters 1-50) | Verified Answers + Practice Questions

  • mentor2000

    mentor2000

  • test bank

Maternal & Pediatric Nursing Test Bank – Maternal Child Nursing Care 7E (Chapters 1-50) | Verified Answers + Practice ...

16 USD

0

0

Ultimate Test Bank for Maternal Child Nursing Care 7th Edition – 100% Verified Questions, Rationales
View Document

Ultimate Test Bank for Maternal Child Nursing Care 7th Edition – 100% Verified Questions, Rationales

  • tutorwizard

    tutorwizard

  • test bank

Ultimate Test Bank for Maternal Child Nursing Care 7th Edition – 100% Verified Questions, Rationales...

17 USD

0

0

Maternal Child Nursing Care 7th Edition Test Bank | Complete Chapter Coverage + Exam-Focused Questions & Verified Solutions
View Document

Maternal Child Nursing Care 7th Edition Test Bank | Complete Chapter Coverage + Exam-Focused Questions & Verified Solutions

  • PRIMESOLUTIONS

    PRIMESOLUTIONS

  • test bank

Maternal Child Nursing Care 7th Edition Test Bank | Complete Chapter Coverage + Exam-Focused Questions & Verified Soluti...

16 USD

0

0

Test Bank for Maternal Child Nursing Care 7th Edition by Shannon E. Perry, Marilyn J. Hockenberry, Mary Catherine Cashion | All Chapters 1-50
View Document

Test Bank for Maternal Child Nursing Care 7th Edition by Shannon E. Perry, Marilyn J. Hockenberry, Mary Catherine Cashion | All Chapters 1-50

  • mentor2000

    mentor2000

  • test bank

Test Bank for Maternal Child Nursing Care 7th Edition by Shannon E. Perry, Marilyn J. Hockenberry, Mary Catherine Cashio...

15 USD

0

0

TEST BANK FOR PATHOPHYSIOLOGY 7TH EDITION BY JACQUELYN L. BANASIK CHAPTER 1-54 COMPLETE GUIDE
View Document

TEST BANK FOR PATHOPHYSIOLOGY 7TH EDITION BY JACQUELYN L. BANASIK CHAPTER 1-54 COMPLETE GUIDE

  • TUTORSFLIX

    TUTORSFLIX

  • test bank

TEST BANK FOR PATHOPHYSIOLOGY 7TH EDITION BY JACQUELYN L. BANASIK CHAPTER 1-54 COMPLETE GUIDE...

20 USD

0

0

Pathophysiology-The Biologic Basis for Disease in Adults and Children, 8th Edition by Kathryn L. McCance, Sue E. Huethe Test Bank (2024), Complete Solutions_Ace on your studies
View Document

Pathophysiology-The Biologic Basis for Disease in Adults and Children, 8th Edition by Kathryn L. McCance, Sue E. Huethe Test Bank (2024), Complete Solutions_Ace on your studies

  • PRIMESOLUTIONS

    PRIMESOLUTIONS

  • test bank

Pathophysiology-The Biologic Basis for Disease in Adults and Children, 8th Edition by Kathryn L. McCance, Sue E. Huethe ...

20 USD

0

0

Pathophysiology-The Biologic Basis for Disease in Adults and Children, 8th Edition by Kathryn L. McCance, Sue E. Huethe Test Bank (2024), Complete Solutions_Ace on your studies
View Document

Pathophysiology-The Biologic Basis for Disease in Adults and Children, 8th Edition by Kathryn L. McCance, Sue E. Huethe Test Bank (2024), Complete Solutions_Ace on your studies

  • mentor2000

    mentor2000

  • test bank

Pathophysiology-The Biologic Basis for Disease in Adults and Children, 8th Edition by Kathryn L. McCance, Sue E. Huethe ...

20 USD

0

0

Pathophysiology-The Biologic Basis for Disease in Adults and Children, 8th Edition by Kathryn L. McCance, Sue E. Huethe Test Bank (2024), Complete Solutions_Ace on your studies
View Document

Pathophysiology-The Biologic Basis for Disease in Adults and Children, 8th Edition by Kathryn L. McCance, Sue E. Huethe Test Bank (2024), Complete Solutions_Ace on your studies

  • tutorwizard

    tutorwizard

  • test bank

Pathophysiology-The Biologic Basis for Disease in Adults and Children, 8th Edition by Kathryn L. McCance, Sue E. Huethe ...

20 USD

0

0

Pathophysiology-The Biologic Basis for Disease in Adults and Children, 8th Edition by Kathryn L. McCance, Sue E. Huethe Test Bank (2024), Complete Solutions_Ace on your studies
View Document

Pathophysiology-The Biologic Basis for Disease in Adults and Children, 8th Edition by Kathryn L. McCance, Sue E. Huethe Test Bank (2024), Complete Solutions_Ace on your studies

  • mentor2000

    mentor2000

  • test bank

Pathophysiology-The Biologic Basis for Disease in Adults and Children, 8th Edition by Kathryn L. McCance, Sue E. Huethe ...

20 USD

0

0

Pathophysiology-The Biologic Basis for Disease in Adults and Children, 8th Edition by Kathryn L. McCance, Sue E. Huethe Test Bank (2024), Complete Solutions_Ace on your studies
View Document

Pathophysiology-The Biologic Basis for Disease in Adults and Children, 8th Edition by Kathryn L. McCance, Sue E. Huethe Test Bank (2024), Complete Solutions_Ace on your studies

  • Solutions

    Solutions

  • test bank

Pathophysiology-The Biologic Basis for Disease in Adults and Children, 8th Edition by Kathryn L. McCance, Sue E. Huethe ...

20 USD

0

0

EMERGENCY CARE IN THE STREET 9TH TEST BANK BY CAROLINE
View Document

EMERGENCY CARE IN THE STREET 9TH TEST BANK BY CAROLINE

  • ExamsGuide

    ExamsGuide

  • test bank

EMERGENCY CARE IN THE STREET 9TH TEST BANK BY CAROLINE...

43 USD

0

0

PROFESSIONAL NURSING: CONCEPTS & CHALLENGES, 9TH EDITION TEST BANK
View Document

PROFESSIONAL NURSING: CONCEPTS & CHALLENGES, 9TH EDITION TEST BANK

  • GoldenStar

    GoldenStar

  • test bank

PROFESSIONAL NURSING: CONCEPTS & CHALLENGES, 9TH EDITION TEST BANK...

20 USD

0

0

Davis Advantage Basic Nursing: Thinking, Doing, and Caring 3rd Edition Treas Wilkinson Test Bank
View Document

Davis Advantage Basic Nursing: Thinking, Doing, and Caring 3rd Edition Treas Wilkinson Test Bank

  • GoldenStar

    GoldenStar

  • test bank

Davis Advantage Basic Nursing: Thinking, Doing, and Caring 3rd Edition Treas Wilkinson Test Bank...

20 USD

0

0

TEST BANK FOR PATHOPHYSIOLOGY 7TH EDITION BY JACQUELYN L. BANASIK CHAPTER 1-54 COMPLETE GUIDE
View Document

TEST BANK FOR PATHOPHYSIOLOGY 7TH EDITION BY JACQUELYN L. BANASIK CHAPTER 1-54 COMPLETE GUIDE

  • GoldenStar

    GoldenStar

  • test bank

TEST BANK FOR PATHOPHYSIOLOGY 7TH EDITION BY JACQUELYN L. BANASIK CHAPTER 1-54 COMPLETE GUIDE...

18 USD

0

0

Test Bank for Business Law and the Legal Environment - Standard Edition 9th Edition Abril
View Document

Test Bank for Business Law and the Legal Environment - Standard Edition 9th Edition Abril

  • Gorski

    Gorski

  • test bank

Test Bank for Business Law and the Legal Environment - Standard Edition 9th Edition Abril – Download PDF...

17 USD

0

0

Hartman's Nursing Assistant Care, The Basics, 5th Edition Test Bank
View Document

Hartman's Nursing Assistant Care, The Basics, 5th Edition Test Bank

  • Gorski

    Gorski

  • test bank

Hartman's Nursing Assistant Care, The Basics, 5th Edition Test Bank – Download PDF...

18 USD

0

0

Test Bank for Hartman's Nursing Assistant Care, The Basics, 6th Edition by Susan Alvare Hedman, Jetta Fuzy
View Document

Test Bank for Hartman's Nursing Assistant Care, The Basics, 6th Edition by Susan Alvare Hedman, Jetta Fuzy

  • Gorski

    Gorski

  • test bank

Test Bank for Hartman's Nursing Assistant Care, The Basics, 6th Edition by Susan Alvare Hedman, Jetta Fuzy – Download ...

19 USD

0

0

Test Bank For Stahl's Essential Psychopharmacology 6th Edition By Stephen M. Stahl
View Document

Test Bank For Stahl's Essential Psychopharmacology 6th Edition By Stephen M. Stahl

  • Gorski

    Gorski

  • test bank

Study the Test Bank for Stahl's Essential Psychopharmacology, 6th Edition by Stephen M. Stahl. Comprehensive exam prep w...

15 USD

0

0

Test Bank for Advanced Practice Nursing Essential Knowledge for the Profession 5th Edition Susan M. DeNisco (All Chapters)
View Document

Test Bank for Advanced Practice Nursing Essential Knowledge for the Profession 5th Edition Susan M. DeNisco (All Chapters)

  • Daniel-Onyapidi

    Daniel-Onyapidi

  • test bank

Test Bank for Advanced Practice Nursing Essential Knowledge for the Profession 5th Edition Susan M. DeNisco (All Chapter...

18 USD

0

0

Test Bank for Prescott's Microbiology, 12th Edition by Joanne Willey All Chapters 1-42
View Document

Test Bank for Prescott's Microbiology, 12th Edition by Joanne Willey All Chapters 1-42

  • Daniel-Onyapidi

    Daniel-Onyapidi

  • test bank

Test Bank for Prescott's Microbiology, 12th Edition by Joanne Willey All Chapters 1-42...

17 USD

0

0

Test Bank Nursing for Wellness in Older Adults 9th Edition Carol A Miller All Chapters
View Document

Test Bank Nursing for Wellness in Older Adults 9th Edition Carol A Miller All Chapters

  • Daniel-Onyapidi

    Daniel-Onyapidi

  • test bank

Test Bank Nursing for Wellness in Older Adults 9th Edition Carol A Miller All Chapters...

18 USD

0

0

Test bank for Auditing and Assurance Services, 18th edition by Alvin A. Arens, Randal J. Elder, Mark S. Beasley, Chris E. Hogan
View Document

Test bank for Auditing and Assurance Services, 18th edition by Alvin A. Arens, Randal J. Elder, Mark S. Beasley, Chris E. Hogan

  • Eddah-Nafula

    Eddah-Nafula

  • test bank

Test bank for Auditing and Assurance Services, 18th edition by Alvin A. Arens, Randal J. Elder, Mark S. Beasley, Chris E...

16 USD

0

0

Test Bank for Public Finance in Canada 6th Edition By Harvey S. Rosen, Ted Gayer, Lindsay Tedds, Trevor Tombe
View Document

Test Bank for Public Finance in Canada 6th Edition By Harvey S. Rosen, Ted Gayer, Lindsay Tedds, Trevor Tombe

  • Eddah-Nafula

    Eddah-Nafula

  • test bank

Get the Test Bank for Public Finance in Canada, 6th Ed. by Rosen et al. Includes all chapters, MCQs with answers, and up...

15 USD

0

1

Test Bank for Management A Practical Introduction, 10th Edition By Angelo Kinicki and Denise Breaux Soignet
View Document

Test Bank for Management A Practical Introduction, 10th Edition By Angelo Kinicki and Denise Breaux Soignet

  • Eddah-Nafula

    Eddah-Nafula

  • test bank

Get Test Bank for Management A Practical Introduction, 10th Edition By Angelo Kinicki and Denise Breaux Soignet. Instant...

15 USD

0

1

Test bank for Medical-Surgical Nursing, 10th Edition Concepts for Interprofessional Collaborative Care by Donna D. Ignatavicius (complete chapters)
View Document

Test bank for Medical-Surgical Nursing, 10th Edition Concepts for Interprofessional Collaborative Care by Donna D. Ignatavicius (complete chapters)

  • Eddah-Nafula

    Eddah-Nafula

  • test bank

Test bank for Medical-Surgical Nursing, 10th Edition Concepts for Interprofessional Collaborative Care by Donna D. Ignat...

17 USD

0

0

Test bank for Strategic Management Text and Cases ISE 11th Edition By Gregory G. Dess, Gerry McNamara, Alan B. Eisner
View Document

Test bank for Strategic Management Text and Cases ISE 11th Edition By Gregory G. Dess, Gerry McNamara, Alan B. Eisner

  • Eddah-Nafula

    Eddah-Nafula

  • test bank

Test bank for Strategic Management Text and Cases ISE 11th Edition By Gregory G. Dess, Gerry McNamara, Alan B. Eisner �...

17 USD

0

1

Test bank for Accounting Information Systems, 15th Global Edition by Marshall B. Romney, Paul J. Steinbart, Scott L. Summers and David A. Wood
View Document

Test bank for Accounting Information Systems, 15th Global Edition by Marshall B. Romney, Paul J. Steinbart, Scott L. Summers and David A. Wood

  • Eddah-Nafula

    Eddah-Nafula

  • test bank

Test bank for Accounting Information Systems, 15th Global Edition by Marshall B. Romney, Paul J. Steinbart, Scott L. Sum...

17 USD

0

0

Test Bank for Information Technology for Management Improving Strategic and Operational Performance,Turban,8th edition
View Document

Test Bank for Information Technology for Management Improving Strategic and Operational Performance,Turban,8th edition

  • studypal

    studypal

  • test bank

Test Bank for Information Technology for Management Improving Strategic and Operational Performance,Turban,8th edition...

15 USD

0

0

Test Bank for Earth Science 13th Edition by Tarbuck
View Document

Test Bank for Earth Science 13th Edition by Tarbuck

  • studypal

    studypal

  • test bank

Test Bank for Earth Science 13th Edition by Tarbuck...

15 USD

0

0

Test Bank For Evolution 2nd Edition Media Update by Carl T Bergstrom Lee Alan Dugatkin (All Chapters)
View Document

Test Bank For Evolution 2nd Edition Media Update by Carl T Bergstrom Lee Alan Dugatkin (All Chapters)

  • Pasing-Grades

    Pasing-Grades

  • test bank

Test Bank For Evolution 2nd Edition Media Update by Carl T Bergstrom Lee Alan Dugatkin (All Chapters)...

18 USD

0

0

Test Bank For Human Anatomy & Physiology, 10th Edition Marieb Chapter 1-29
View Document

Test Bank For Human Anatomy & Physiology, 10th Edition Marieb Chapter 1-29

  • Kaponga

    Kaponga

  • questions & answers

Test Bank For Human Anatomy & Physiology, 10th Edition Marieb Chapter 1-29...

15 USD

0

0

Test Bank for Principles of Economics 2nd Edition by Betsey Stevenson, Justin Wolfers
View Document

Test Bank for Principles of Economics 2nd Edition by Betsey Stevenson, Justin Wolfers

  • Gorski

    Gorski

  • test bank

Test Bank for Principles of Economics 2nd Edition by Betsey Stevenson, Justin Wolfers...

18 USD

0

0

Test Bank for Biology, How Life Works 4th Edition by James Morris, Daniel Hartl, Andrew Knoll, Robert Lue
View Document

Test Bank for Biology, How Life Works 4th Edition by James Morris, Daniel Hartl, Andrew Knoll, Robert Lue

  • Gorski

    Gorski

  • test bank

Test Bank for Biology, How Life Works 4th Edition by James Morris, Daniel Hartl, Andrew Knoll, Robert Lue...

18 USD

0

0

Test Bank for Biochemistry 10th Edition by Jeremy Berg, Gregory Gatto Jr., Justin Hines, John L. Tymoczko, Lubert Stryer
View Document

Test Bank for Biochemistry 10th Edition by Jeremy Berg, Gregory Gatto Jr., Justin Hines, John L. Tymoczko, Lubert Stryer

  • Gorski

    Gorski

  • test bank

Get Test Bank for Biochemistry 10th Edition Lubert Stryer All Chapters PDF...

16 USD

0

2

Test Bank for A History of Western Society, Combined Edition 14th Edition by Merry E. Wiesner-Hanks, Clare Haru Crowston, Joe Perry
View Document

Test Bank for A History of Western Society, Combined Edition 14th Edition by Merry E. Wiesner-Hanks, Clare Haru Crowston, Joe Perry

  • Gorski

    Gorski

  • test bank

Test Bank for A History of Western Society, Combined Edition 14th Edition by Merry E. Wiesner-Hanks, Clare Haru Crowston...

16 USD

0

0

Test Bank for Genetics, A Conceptual Approach, Update Seventh Edition by Benjamin A. Pierce
View Document

Test Bank for Genetics, A Conceptual Approach, Update Seventh Edition by Benjamin A. Pierce

  • Gorski

    Gorski

  • test bank

Need help mastering genetics? The Test Bank for Genetics: A Conceptual Approach, 7th Edition by Benjamin A. Pierce provi...

15 USD

0

1

Test Bank Genetics Essentials Concepts and Connections, 5th Edition Pierce
View Document

Test Bank Genetics Essentials Concepts and Connections, 5th Edition Pierce

  • mentor2000

    mentor2000

  • test bank

Test Bank Genetics Essentials Concepts and Connections, 5th Edition Pierce...

18 USD

0

0

Test Bank Molecular Biology of the Cell 6th Edition Alberts
View Document

Test Bank Molecular Biology of the Cell 6th Edition Alberts

  • mentor2000

    mentor2000

  • questions & answers

Test Bank Molecular Biology of the Cell 6th Edition Alberts...

16 USD

0

0

Test Bank For Principles Of Development 6th Edition By Wolpert
View Document

Test Bank For Principles Of Development 6th Edition By Wolpert

  • mentor2000

    mentor2000

  • questions & answers

Test Bank For Principles Of Development 6th Edition By Wolpert...

17 USD

0

0

Test Bank for Pharmacotherapeutics for Advanced Nursing Practice 1st Edition Demler
View Document

Test Bank for Pharmacotherapeutics for Advanced Nursing Practice 1st Edition Demler

  • mentor2000

    mentor2000

  • questions & answers

Test Bank for Pharmacotherapeutics for Advanced Nursing Practice 1st Edition Demler...

18 USD

0

0

Test Bank for Leading and Managing in Nursing, 8th Edition Yoder-Wise Latest Updated
View Document

Test Bank for Leading and Managing in Nursing, 8th Edition Yoder-Wise Latest Updated

  • mentor2000

    mentor2000

  • questions & answers

Test Bank for Leading and Managing in Nursing, 8th Edition Yoder-Wise Latest Updated...

18 USD

0

0

Test Bank for Health Psychology 10th Edition by Shelley Taylor
View Document

Test Bank for Health Psychology 10th Edition by Shelley Taylor

  • mentor2000

    mentor2000

  • questions & answers

Test Bank for Health Psychology 10th Edition by Shelley Taylor...

18 USD

0

0

Burns' Pediatric Primary Care 7th Edition Test Bank
View Document

Burns' Pediatric Primary Care 7th Edition Test Bank

  • mentor2000

    mentor2000

  • questions & answers

Burns' Pediatric Primary Care 7th Edition Test Bank...

18 USD

0

0

Test Bank for Cognitive Psychology Connecting Mind Research and Everyday Experience 5th Edition Goldstein Test Bank
View Document

Test Bank for Cognitive Psychology Connecting Mind Research and Everyday Experience 5th Edition Goldstein Test Bank

  • mentor2000

    mentor2000

  • questions & answers

PDF Downlod Cognitive Psychology Connecting Mind Research and Everyday Experience 5th Edition Goldstein Test Bank...

15 USD

0

0

TEST BANK FOR  Canadian Fundamentals of Nursing 7th Edition Potter  VERIFIED ANSWERS  20242026 UPDATE
View Document

TEST BANK FOR Canadian Fundamentals of Nursing 7th Edition Potter VERIFIED ANSWERS 20242026 UPDATE

  • DYNAMICSCORES254

    DYNAMICSCORES254

  • exam

Get exam-ready with the Test Bank for Canadian Fundamentals of Nursing, 7th Edition by Potter. This resource offers comp...

32 USD

0

0

Test Bank - Polit and Beck Canadian Essentials of Nursing  Research, 4th Edition Woo, 2019), Chapter 1-18 20242026  VERSION WITH VERIFIED ANSWERS
View Document

Test Bank - Polit and Beck Canadian Essentials of Nursing Research, 4th Edition Woo, 2019), Chapter 1-18 20242026 VERSION WITH VERIFIED ANSWERS

  • DYNAMICSCORES254

    DYNAMICSCORES254

  • exam

Test Bank - Polit and Beck Canadian Essentials of Nursing Research, 4th Edition Woo, 2019), Chapter 1-18 20242025 VERS...

35 USD

0

0

Test Bank - Morrison-Valfre’s  Foundations of Mental Health Care in  Canada, 1st Edition  VERIFIED  ANSWERS 20242026
View Document

Test Bank - Morrison-Valfre’s Foundations of Mental Health Care in Canada, 1st Edition VERIFIED ANSWERS 20242026

  • DYNAMICSCORES254

    DYNAMICSCORES254

  • exam

Test Bank - Morrison-Valfre’s Foundations of Mental Health Care in Canada, 1st Edition VERIFIED ANSWERS 20242025...

34 USD

0

0

Test Bank Fundamentals of  Nursing 9th Edition by Carol  Taylor Pamela Lynn Jennifer  Bartlett. 20242026 VERIFIED  ANSWERS CORRECT
View Document

Test Bank Fundamentals of Nursing 9th Edition by Carol Taylor Pamela Lynn Jennifer Bartlett. 20242026 VERIFIED ANSWERS CORRECT

  • DYNAMICSCORES254

    DYNAMICSCORES254

  • exam

Test Bank Fundamentals of Nursing 9th Edition by Carol Taylor Pamela Lynn Jennifer Bartlett. 20242025 VERIFIED ANSWE...

34 USD

0

0

Test Bank for Varcarolis Essentials of Psychiatric Mental Health Nursing 5th Edition Fosbre-NEW FILE 1 -28 chapters questions and answers 20232024
View Document

Test Bank for Varcarolis Essentials of Psychiatric Mental Health Nursing 5th Edition Fosbre-NEW FILE 1 -28 chapters questions and answers 20232024

  • DYNAMICSCORES254

    DYNAMICSCORES254

  • exam

Test Bank for Varcarolis Essentials of Psychiatric Mental Health Nursing 5th Edition Fosbre-NEW FILE 1 -28 chapters ques...

26 USD

0

0

Test Bank - Psychiatric  Nursing: Contemporary Practice 7TH Edition by Mary Ann Boyd 20242026  VERIFIED ANSWERS
View Document

Test Bank - Psychiatric Nursing: Contemporary Practice 7TH Edition by Mary Ann Boyd 20242026 VERIFIED ANSWERS

  • DYNAMICSCORES254

    DYNAMICSCORES254

  • exam

Test Bank - Psychiatric Nursing: Contemporary Practice 7TH Edition by Mary Ann Boyd 20242025 VERIFIED ANSWERS...

34 USD

0

0

Complete Test Bank for Microbiology: An Introduction 13th Ed. (Tortora, Funke & Case) – Verified Questions & Answers | 2026 Updated
View Document

Complete Test Bank for Microbiology: An Introduction 13th Ed. (Tortora, Funke & Case) – Verified Questions & Answers | 2026 Updated

  • DYNAMICSCORES254

    DYNAMICSCORES254

  • exam

Complete Test Bank for Microbiology: An Introduction 13th Ed. (Tortora, Funke & Case) – Verified Questions & Answers |...

15 USD

0

0

Test Bank for Microbiology: An Introduction 14th Edition by Tortora | Chapter 1-28 | All Chapters with Answers and Rationales
View Document

Test Bank for Microbiology: An Introduction 14th Edition by Tortora | Chapter 1-28 | All Chapters with Answers and Rationales

  • DYNAMICSCORES254

    DYNAMICSCORES254

  • exam

Test Bank for Microbiology: An Introduction 14th Edition by Tortora | Chapter 1-28 | All Chapters with Answers and Ratio...

16 USD

0

0

TEST BANK PROFESSIONAL NURSING:  CONCEPTS & CHALLENGES  9TH EDITION BY BETH PERRY  BLACK 20242026
View Document

TEST BANK PROFESSIONAL NURSING: CONCEPTS & CHALLENGES 9TH EDITION BY BETH PERRY BLACK 20242026

  • DYNAMICSCORES254

    DYNAMICSCORES254

  • exam

TEST BANK PROFESSIONAL NURSING: CONCEPTS & CHALLENGES 9TH EDITION BY BETH PERRY BLACK 20242025...

32 USD

0

0

Illustrated Dental Embryology Histology and Anatomy5th Edition Fehrenbach Test Bank 20242026 VERIFIED ANSWERS
View Document

Illustrated Dental Embryology Histology and Anatomy5th Edition Fehrenbach Test Bank 20242026 VERIFIED ANSWERS

  • DYNAMICSCORES254

    DYNAMICSCORES254

  • exam

Illustrated Dental Embryology Histology and Anatomy5th Edition Fehrenbach Test Bank 20242025 VERIFIED ANSWERS...

35 USD

0

0

Illustrated Dental Embryology Histology and Anatomy5th Edition Fehrenbach Test Bank 20242026 VERIFIED ANSWERS
View Document

Illustrated Dental Embryology Histology and Anatomy5th Edition Fehrenbach Test Bank 20242026 VERIFIED ANSWERS

  • DYNAMICSCORES254

    DYNAMICSCORES254

  • exam

Illustrated Dental Embryology Histology and Anatomy5th Edition Fehrenbach Test Bank 20242025 VERIFIED ANSWERS...

35 USD

0

0

Illustrated Dental Embryology Histology and Anatomy5th Edition Fehrenbach Test Bank 20242026 VERIFIED ANSWERS
View Document

Illustrated Dental Embryology Histology and Anatomy5th Edition Fehrenbach Test Bank 20242026 VERIFIED ANSWERS

  • DYNAMICSCORES254

    DYNAMICSCORES254

  • exam

Illustrated Dental Embryology Histology and Anatomy5th Edition Fehrenbach Test Bank 20242025 VERIFIED ANSWERS...

35 USD

0

0

TEST BANK FOR Medical Parasitology 7th Edition Leventhal 20242026 VERIFIED ANSWERS
View Document

TEST BANK FOR Medical Parasitology 7th Edition Leventhal 20242026 VERIFIED ANSWERS

  • DYNAMICSCORES254

    DYNAMICSCORES254

  • exam

TEST BANK FOR Medical Parasitology 7th Edition Leventhal 20242025 VERIFIED ANSWERS...

25 USD

0

0

TEST BANK FOR Medical Parasitology 7th Edition Leventhal 20242026 VERIFIED ANSWERS
View Document

TEST BANK FOR Medical Parasitology 7th Edition Leventhal 20242026 VERIFIED ANSWERS

  • DYNAMICSCORES254

    DYNAMICSCORES254

  • exam

TEST BANK FOR Medical Parasitology 7th Edition Leventhal 20242025 VERIFIED ANSWERS...

25 USD

0

0

Test Bank for Larsen’s Human Embryology 6th Edition Schoenwolf
View Document

Test Bank for Larsen’s Human Embryology 6th Edition Schoenwolf

  • Gradepush

    Gradepush

  • test bank

Test Bank for Larsen’s Human Embryology 6th Edition Schoenwolf...

24 USD

0

0

Myers Psychology for AP 1st Edition by David G Myers Test Bank
View Document

Myers Psychology for AP 1st Edition by David G Myers Test Bank

  • Gradepush

    Gradepush

  • test bank

Myers Psychology for AP 1st Edition by David G Myers Test Bank...

17 USD

0

0

NCSBN TEST BANK For The NCLEX RN & NCLEX-PN, Complete Questions &  Answers with Rationales ALREADY  PASSED
View Document

NCSBN TEST BANK For The NCLEX RN & NCLEX-PN, Complete Questions & Answers with Rationales ALREADY PASSED

  • DYNAMICSCORES254

    DYNAMICSCORES254

  • exam

NCSBN TEST BANK For The NCLEX RN & NCLEX-PN, Complete Questions & Answers with Rationales ALREADY PASSED...

9 USD

0

0

Complete Test Bank The Human Body in Health and Illness 7th Edition by Barbara Herlihy
View Document

Complete Test Bank The Human Body in Health and Illness 7th Edition by Barbara Herlihy

  • DYNAMICSCORES254

    DYNAMICSCORES254

  • exam

Complete Test Bank The Human Body in Health and Illness 7th Edition by Barbara Herlihy...

15 USD

0

14

Foundations for Population Health in Community Public Health Nursing 6th Edition Test Bank by Stanhope (Complete) Rated A+
View Document

Foundations for Population Health in Community Public Health Nursing 6th Edition Test Bank by Stanhope (Complete) Rated A+

  • DYNAMICSCORES254

    DYNAMICSCORES254

  • exam

Access the complete Test Bank for Foundations for Population Health in Community Public Health Nursing, 6th Edition by S...

16 USD

0

0

TEST BANK Pediatric Nursing, A Case Based Approach, 1st Edition by  Tagher Knapp (RATED A+)
View Document

TEST BANK Pediatric Nursing, A Case Based Approach, 1st Edition by Tagher Knapp (RATED A+)

  • DYNAMICSCORES254

    DYNAMICSCORES254

  • exam

TEST BANK Pediatric Nursing, A Case Based Approach, 1st Edition by Tagher Knapp (RATED A+)...

17 USD

0

0

TEST BANK FOR  Hockenberry: Wong’s Essentials of Pediatric Nursing, 10th Edition VERIFIED ANSWERS
View Document

TEST BANK FOR Hockenberry: Wong’s Essentials of Pediatric Nursing, 10th Edition VERIFIED ANSWERS

  • DYNAMICSCORES254

    DYNAMICSCORES254

  • exam

Discover verified answers to the test bank for Hockenberry: Wong’s Essentials of Pediatric Nursing, 10th Edition. Enha...

18 USD

0

0

Test Bank For Wong’s Essentials of Pediatric Nursing 11th Edition By Hockenberry Rodgers Wilson VERIFIED  ANSWERS
View Document

Test Bank For Wong’s Essentials of Pediatric Nursing 11th Edition By Hockenberry Rodgers Wilson VERIFIED ANSWERS

  • DYNAMICSCORES254

    DYNAMICSCORES254

  • exam

Test Bank for Wong's Essentials of Pediatric Nursing, 11th Edition by Marilyn J. Hockenberry, David Wilson and Cheryl C ...

15 USD

0

0

Medical Surgical Nursing 9th Edition Ignatavicius Test Bank with Rationales ALREADY PASSED
View Document

Medical Surgical Nursing 9th Edition Ignatavicius Test Bank with Rationales ALREADY PASSED

  • DYNAMICSCORES254

    DYNAMICSCORES254

  • exam

Medical Surgical Nursing 9th Edition Ignatavicius Test Bank with Rationales ALREADY PASSED...

18 USD

0

0

Medical Surgical Nursing 9th Edition Ignatavicius Test Bank with Rationales ALREADY PASSED
View Document

Medical Surgical Nursing 9th Edition Ignatavicius Test Bank with Rationales ALREADY PASSED

  • DYNAMICSCORES254

    DYNAMICSCORES254

  • exam

Medical Surgical Nursing 9th Edition Ignatavicius Test Bank with Rationales ALREADY PASSED...

14 USD

0

0

NCLEX RN TEST BANK EXAM WITH OVER 1000 QUESTIONS AND ANSWERS WITH RATIONALE 2023-2024 SERIES
View Document

NCLEX RN TEST BANK EXAM WITH OVER 1000 QUESTIONS AND ANSWERS WITH RATIONALE 2023-2024 SERIES

  • TITUS

    TITUS

  • nclex

NCLEX RN TEST BANK EXAM WITH OVER 1000 QUESTIONS AND ANSWERS WITH RATIONALE 2023-2024 SERIES...

35 USD

0

0

Test Bank for Psychology and the Challenges of Life- Adjustment and Growth 14th Edition Rathus
View Document

Test Bank for Psychology and the Challenges of Life- Adjustment and Growth 14th Edition Rathus

  • Daniel-Onyapidi

    Daniel-Onyapidi

  • test bank

Test Bank for Psychology and the Challenges of Life- Adjustment and Growth 14th Edition Rathus...

17 USD

0

0

Test Bank For Microbiology for the Healthcare Professional, 3rd Edition By Karin C. VanMeter, Robert J. Hubert
View Document

Test Bank For Microbiology for the Healthcare Professional, 3rd Edition By Karin C. VanMeter, Robert J. Hubert

  • Daniel-Onyapidi

    Daniel-Onyapidi

  • test bank

Test Bank For Microbiology for the Healthcare Professional, 3rd Edition By Karin C. VanMeter, Robert J. Hubert...

17 USD

0

0

Test Bank - Biopsychology, 11th Edition Pinel
View Document

Test Bank - Biopsychology, 11th Edition Pinel

  • Daniel-Onyapidi

    Daniel-Onyapidi

  • test bank

Test Bank - Biopsychology, 11th Edition Pinel...

17 USD

0

0

TEST BANK FOR MNG 3701 OVER 500 MULTI CHOICE QUESTIONS AND ANSWERS UNIVERSITY OF SOUTH AFRICA
View Document

TEST BANK FOR MNG 3701 OVER 500 MULTI CHOICE QUESTIONS AND ANSWERS UNIVERSITY OF SOUTH AFRICA

  • TITUS

    TITUS

  • test bank

TEST BANK FOR MNG 3701 OVER 500 MULTI CHOICE QUESTIONS AND ANSWERS UNIVERSITY OF SOUTH AFRICA...

25 USD

0

0

TEST BANK FOR MNG 3701 OVER 500 MULTI CHOICE QUESTIONS AND ANSWERS UNIVERSITY OF SOUTH AFRICA
View Document

TEST BANK FOR MNG 3701 OVER 500 MULTI CHOICE QUESTIONS AND ANSWERS UNIVERSITY OF SOUTH AFRICA

  • TITUS

    TITUS

  • test bank

TEST BANK FOR MNG 3701 OVER 500 MULTI CHOICE QUESTIONS AND ANSWERS UNIVERSITY OF SOUTH AFRICA...

25 USD

0

0

Test Bank for Basic and Clinical Pharmacology, 15th Edition by Bertram G. Katzung All Chapters
View Document

Test Bank for Basic and Clinical Pharmacology, 15th Edition by Bertram G. Katzung All Chapters

  • Opati-Kaka

    Opati-Kaka

  • test bank

Test Bank for Basic and Clinical Pharmacology, 15th Edition by Bertram G. Katzung All Chapters...

17 USD

0

0

Test Bank for Sorrentino’s Canadian Textbook for the Support Worker, 5th Edition by Wilk
View Document

Test Bank for Sorrentino’s Canadian Textbook for the Support Worker, 5th Edition by Wilk

  • Opati-Kaka

    Opati-Kaka

  • test bank

Test Bank for Sorrentino’s Canadian Textbook for the Support Worker, 5th Edition by Wilk...

18 USD

0

0

Test Bank for Research Methods For Business, A Skill Building Approach 8th Edition Uma Sekaran
View Document

Test Bank for Research Methods For Business, A Skill Building Approach 8th Edition Uma Sekaran

  • Namwaki

    Namwaki

  • test bank

Test Bank for Research Methods For Business, A Skill Building Approach 8th Edition Uma Sekaran...

15 USD

0

0

Test Bank Theory of Accounts Volume 2
View Document

Test Bank Theory of Accounts Volume 2

  • Opati-Kaka

    Opati-Kaka

  • test bank

Test Bank Theory of Accounts Volume 2...

17 USD

0

0

Test Bank RN Comprehensive Predictor Exam Questions and Answers
View Document

Test Bank RN Comprehensive Predictor Exam Questions and Answers

  • Opati-Kaka

    Opati-Kaka

  • test bank

Test Bank RN Comprehensive Predictor Exam Questions and Answers...

15 USD

0

0

Test Bank RN Comprehensive Predictor Exam Questions and Answers
View Document

Test Bank RN Comprehensive Predictor Exam Questions and Answers

  • Opati-Kaka

    Opati-Kaka

  • test bank

Test Bank RN Comprehensive Predictor Exam Questions and Answers...

15 USD

0

0

Test Bank Pathophysiology, Concepts of Human Disease by Matthew Sorenson
View Document

Test Bank Pathophysiology, Concepts of Human Disease by Matthew Sorenson

  • Opati-Kaka

    Opati-Kaka

  • test bank

Test Bank Pathophysiology, Concepts of Human Disease by Matthew Sorenson...

18 USD

0

0

Test Bank Partnership & Corporation Diaz
View Document

Test Bank Partnership & Corporation Diaz

  • Opati-Kaka

    Opati-Kaka

  • test bank

Test Bank Partnership & Corporation Diaz...

17 USD

0

0

Test Bank ITM 750
View Document

Test Bank ITM 750

  • Opati-Kaka

    Opati-Kaka

  • test bank

Test Bank ITM 750...

17 USD

0

0

Test Bank for Understanding Psychology 9th Edition by Morris
View Document

Test Bank for Understanding Psychology 9th Edition by Morris

  • Opati-Kaka

    Opati-Kaka

  • test bank

Test Bank for Understanding Psychology 9th Edition by Morris...

17 USD

0

0

Test Bank for Sociology a Global Perspective 8th Edition by Ferrante
View Document

Test Bank for Sociology a Global Perspective 8th Edition by Ferrante

  • Opati-Kaka

    Opati-Kaka

  • test bank

Test Bank for Sociology a Global Perspective 8th Edition by Ferrante...

17 USD

0

0

Test Bank for Rubin’s Pathology Clinicopathologic Foundations of Medicine 7th Edition
View Document

Test Bank for Rubin’s Pathology Clinicopathologic Foundations of Medicine 7th Edition

  • Opati-Kaka

    Opati-Kaka

  • test bank

Test Bank for Rubin’s Pathology Clinicopathologic Foundations of Medicine 7th Edition...

17 USD

0

0

Test Bank for Psychotherapy for the Advanced Practice Psychiatric Nurse, A How-To Guide
View Document

Test Bank for Psychotherapy for the Advanced Practice Psychiatric Nurse, A How-To Guide

  • Opati-Kaka

    Opati-Kaka

  • test bank

Test Bank for Psychotherapy for the Advanced Practice Psychiatric Nurse, A How-To Guide...

18 USD

0

0

Test Bank for Nutritional Foundations and Clinical Applications 7th Edition by Grodner
View Document

Test Bank for Nutritional Foundations and Clinical Applications 7th Edition by Grodner

  • Opati-Kaka

    Opati-Kaka

  • test bank

Test Bank for Nutritional Foundations and Clinical Applications 7th Edition by Grodner...

17 USD

0

0

Test Bank for Nutritional Foundations and Clinical Applications 7th Edition by Grodner
View Document

Test Bank for Nutritional Foundations and Clinical Applications 7th Edition by Grodner

  • Opati-Kaka

    Opati-Kaka

  • test bank

Test Bank for Nutritional Foundations and Clinical Applications 7th Edition by Grodner...

17 USD

0

0

Test Bank for Nutritional Foundations and Clinical Applications 7th Edition by Grodner
View Document

Test Bank for Nutritional Foundations and Clinical Applications 7th Edition by Grodner

  • Opati-Kaka

    Opati-Kaka

  • test bank

Test Bank for Nutritional Foundations and Clinical Applications 7th Edition by Grodner...

17 USD

0

0

Test bank for Human Learning 7th Edition Ormrod
View Document

Test bank for Human Learning 7th Edition Ormrod

  • Opati-Kaka

    Opati-Kaka

  • test bank

Test bank for Human Learning 7th Edition Ormrod...

17 USD

0

0

Test Bank for Ethics, Jurisprudence and Practice Management in Dental Hygiene 3rd Edition
View Document

Test Bank for Ethics, Jurisprudence and Practice Management in Dental Hygiene 3rd Edition

  • Opati-Kaka

    Opati-Kaka

  • test bank

Test Bank for Ethics, Jurisprudence and Practice Management in Dental Hygiene 3rd Edition...

17 USD

0

0

Test Bank for Economics for Managers 2nd Edition
View Document

Test Bank for Economics for Managers 2nd Edition

  • Opati-Kaka

    Opati-Kaka

  • test bank

Test Bank for Economics for Managers 2nd Edition...

19 USD

0

0

Test Bank for Abnormal Psychology, 7th Edition by Oltmanns
View Document

Test Bank for Abnormal Psychology, 7th Edition by Oltmanns

  • Opati-Kaka

    Opati-Kaka

  • test bank

Test Bank for Abnormal Psychology, 7th Edition by Oltmanns...

16 USD

0

0

Test Bank for Abnormal Psychology in a Changing World, 8th Edition Jeffrey S. Nevi
View Document

Test Bank for Abnormal Psychology in a Changing World, 8th Edition Jeffrey S. Nevi

  • Opati-Kaka

    Opati-Kaka

  • test bank

Test Bank for Abnormal Psychology in a Changing World, 8th Edition Jeffrey S. Nevi...

16 USD

0

0

Test Bank for Abnormal Psychology 16th Edition By Butcher, Hooley Mineka
View Document

Test Bank for Abnormal Psychology 16th Edition By Butcher, Hooley Mineka

  • Opati-Kaka

    Opati-Kaka

  • test bank

Test Bank for Abnormal Psychology 16th Edition By Butcher, Hooley Mineka...

17 USD

0

0

Test Bank Biochemistry - Test 1 Updated Graded A Plus
View Document

Test Bank Biochemistry - Test 1 Updated Graded A Plus

  • Opati-Kaka

    Opati-Kaka

  • test bank

Test Bank Biochemistry - Test 1 Updated Graded A Plus...

18 USD

0

0

Test Bank Abnormal Psychology Questions And Answers
View Document

Test Bank Abnormal Psychology Questions And Answers

  • Opati-Kaka

    Opati-Kaka

  • test bank

Test Bank Abnormal Psychology Questions And Answers...

18 USD

0

0

C157 Test Bank Correct Questions and Answers with Explanations 100% Correct
View Document

C157 Test Bank Correct Questions and Answers with Explanations 100% Correct

  • Opati-Kaka

    Opati-Kaka

  • test bank

C157 Test Bank Correct Questions and Answers with Explanations 100% Correct...

9 USD

0

0

Test Bank for Research Methods For Business, A Skill Building Approach 7th Edition Uma Sekaran
View Document

Test Bank for Research Methods For Business, A Skill Building Approach 7th Edition Uma Sekaran

  • mentor2000

    mentor2000

  • test bank

Test Bank for Research Methods For Business, A Skill Building Approach 7th Edition Uma Sekaran...

15 USD

0

1

ATI PHARMACOLOGY PROCTORED TEST BANK LATEST 2023-2026  QUESTIONS AND CORRECTANSWERS|AGRADE  A nurse is caring for a client with hyperparathyroidism and notes that the client's serum calcium level is 13 mg/dL. Which medication should the nurse prepare to administer as prescribed to the client?
View Document

ATI PHARMACOLOGY PROCTORED TEST BANK LATEST 2023-2026 QUESTIONS AND CORRECTANSWERS|AGRADE A nurse is caring for a client with hyperparathyroidism and notes that the client's serum calcium level is 13 mg/dL. Which medication should the nurse prepare to administer as prescribed to the client?

  • DRDMG

    DRDMG

  • test bank

ATI PHARMACOLOGY PROCTORED TEST BANK LATEST 2023-2025 QUESTIONS AND CORRECTANSWERS|AGRADE A nurse is caring for a clie...

60 USD

0

0

ATI FUNDAMENTALS PROCTOREDREAL EXAM TEST BANK 400 QUESTIONS AND VERIFIED ANSWERS FOR THE LATEST UPDATES | ALREADY GRADEDA A+ A client who is unstable and requires frequent vital signs has an electronic blood pressure machine automatically measuring his blood pressure every 15 min. However, the machine is reading the client’s blood pressure at more frequent intervals, and the readings are not similar. The nurse checks the machin
View Document

ATI FUNDAMENTALS PROCTOREDREAL EXAM TEST BANK 400 QUESTIONS AND VERIFIED ANSWERS FOR THE LATEST UPDATES | ALREADY GRADEDA A+ A client who is unstable and requires frequent vital signs has an electronic blood pressure machine automatically measuring his blood pressure every 15 min. However, the machine is reading the client’s blood pressure at more frequent intervals, and the readings are not similar. The nurse checks the machin

  • DRDMG

    DRDMG

  • ati

ATI FUNDAMENTALS PROCTOREDREAL EXAM TEST BANK 400 QUESTIONS AND VERIFIED ANSWERS FOR THE LATEST UPDATES | ALREADY GRADED...

80 USD

0

0

Exam (elaborations) TEST BANK FOR Database Systems Design, Implementation, & Management 13th Edition By Coronel and Morris
View Document

Exam (elaborations) TEST BANK FOR Database Systems Design, Implementation, & Management 13th Edition By Coronel and Morris

  • studypal

    studypal

  • test bank

Exam (elaborations) TEST BANK FOR Database Systems Design, Implementation, & Management 13th Edition By Coronel and Morr...

14 USD

0

0

Exam (elaborations) TEST BANK FOR Database Systems Design, Implementation, & Management 13th Edition By Coronel and Morris
View Document

Exam (elaborations) TEST BANK FOR Database Systems Design, Implementation, & Management 13th Edition By Coronel and Morris

  • studypal

    studypal

  • test bank

Exam (elaborations) TEST BANK FOR Database Systems Design, Implementation, & Management 13th Edition By Coronel and Morr...

14 USD

0

0

Exam (elaborations) TEST BANK FOR Database Systems Design, Implementation, & Management 13th Edition By Coronel and Morris
View Document

Exam (elaborations) TEST BANK FOR Database Systems Design, Implementation, & Management 13th Edition By Coronel and Morris

  • studypal

    studypal

  • test bank

Exam (elaborations) TEST BANK FOR Database Systems Design, Implementation, & Management 13th Edition By Coronel and Morr...

14 USD

0

0

Exam (elaborations) TEST BANK FOR Database Systems Design, Implementation, & Management 13th Edition By Coronel and Morris
View Document

Exam (elaborations) TEST BANK FOR Database Systems Design, Implementation, & Management 13th Edition By Coronel and Morris

  • studypal

    studypal

  • test bank

Exam (elaborations) TEST BANK FOR Database Systems Design, Implementation, & Management 13th Edition By Coronel and Morr...

14 USD

0

0

Exam (elaborations) TEST BANK FOR Database Systems Design, Implementation, & Management 13th Edition By Coronel and Morris
View Document

Exam (elaborations) TEST BANK FOR Database Systems Design, Implementation, & Management 13th Edition By Coronel and Morris

  • studypal

    studypal

  • test bank

Exam (elaborations) TEST BANK FOR Database Systems Design, Implementation, & Management 13th Edition By Coronel and Morr...

14 USD

0

0

Test Bank For Maternal Child Nursing Care 7th Edition by Shannon E. Perry, Marilyn J. Hockenberry, Mary Catherine Cashion (Chapter 1-50 )
View Document

Test Bank For Maternal Child Nursing Care 7th Edition by Shannon E. Perry, Marilyn J. Hockenberry, Mary Catherine Cashion (Chapter 1-50 )

  • mentor2000

    mentor2000

  • test bank

Test Bank For Maternal Child Nursing Care 7th Edition by Shannon E. Perry, Marilyn J. Hockenberry, Mary Catherine Cashio...

17 USD

0

0

Test Bank for Horngren Cost Accounting A Managerial Emphasis, 9th Canadian Edition, Srikant
View Document

Test Bank for Horngren Cost Accounting A Managerial Emphasis, 9th Canadian Edition, Srikant

  • Pasing-Grades

    Pasing-Grades

  • solution manual

Test Bank for Horngren Cost Accounting A Managerial Emphasis, 9th Canadian Edition, Srikant – Download PDF...

18 USD

0

0

Test Bank for Horngrens Cost Accounting A Managerial Emphasis, 9th Canadian Edition, Srikant
View Document

Test Bank for Horngrens Cost Accounting A Managerial Emphasis, 9th Canadian Edition, Srikant

  • Pasing-Grades

    Pasing-Grades

  • solution manual

Test Bank for Horngrens Cost Accounting A Managerial Emphasis, 9th Canadian Edition, Srikant – Download PDF...

18 USD

0

0

Test Bank for Edmunds Pharmacology for the Primary Care Provider 5th edition Constance G Visovsky
View Document

Test Bank for Edmunds Pharmacology for the Primary Care Provider 5th edition Constance G Visovsky

  • mentor2000

    mentor2000

  • test bank

Test Bank for Edmunds Pharmacology for the Primary Care Provider 5th edition Constance G Visovsky...

17 USD

0

1

Test Bank for Role Development in Professional Nursing Practice 5th Edition by Masters
View Document

Test Bank for Role Development in Professional Nursing Practice 5th Edition by Masters

  • Daniel-Onyapidi

    Daniel-Onyapidi

  • solution manual

Test Bank for Role Development in Professional Nursing Practice 5th Edition by Masters...

17 USD

0

0

Test Bank for Medical Law and Ethics, 6th Edition by Fremgen
View Document

Test Bank for Medical Law and Ethics, 6th Edition by Fremgen

  • Daniel-Onyapidi

    Daniel-Onyapidi

  • solution manual

Test Bank for Medical Law and Ethics, 6th Edition by Fremgen...

16 USD

0

0

Pharmacology for Canadian Health Care Practice 4th Ed Sealock Test Bank
View Document

Pharmacology for Canadian Health Care Practice 4th Ed Sealock Test Bank

  • Daniel-Onyapidi

    Daniel-Onyapidi

  • solution manual

Pharmacology for Canadian Health Care Practice 4th Ed Sealock Test Bank...

16 USD

0

0

Test Bank for Exploring Family Theories 4th Edition by Suzanne R. Smith , Raeann R. Hamon
View Document

Test Bank for Exploring Family Theories 4th Edition by Suzanne R. Smith , Raeann R. Hamon

  • Daniel-Onyapidi

    Daniel-Onyapidi

  • solution manual

Test Bank for Exploring Family Theories 4th Edition by Suzanne R. Smith , Raeann R. Hamon...

16 USD

0

0

Test Bank for Advanced Practice Nursing-Essentials for Role Development, 5th Edition by Joel
View Document

Test Bank for Advanced Practice Nursing-Essentials for Role Development, 5th Edition by Joel

  • Daniel-Onyapidi

    Daniel-Onyapidi

  • solution manual

Test Bank for Advanced Practice Nursing-Essentials for Role Development, 5th Edition by Joel...

19 USD

0

0

Advanced Pharmacology for Prescribers 2nd Ed Test Bank
View Document

Advanced Pharmacology for Prescribers 2nd Ed Test Bank

  • Daniel-Onyapidi

    Daniel-Onyapidi

  • solution manual

Advanced Pharmacology for Prescribers 2nd Ed Test Bank...

17 USD

0

0

Test Bank for Advanced Pediatric Assessment, 3rd Edition by Chiocca
View Document

Test Bank for Advanced Pediatric Assessment, 3rd Edition by Chiocca

  • Daniel-Onyapidi

    Daniel-Onyapidi

  • solution manual

Test Bank for Advanced Pediatric Assessment, 3rd Edition by Chiocca...

17 USD

0

0

Test Bank for Advanced Pediatric Assessment, 3rd Edition by Chiocca
View Document

Test Bank for Advanced Pediatric Assessment, 3rd Edition by Chiocca

  • Daniel-Onyapidi

    Daniel-Onyapidi

  • solution manual

Test Bank for Advanced Pediatric Assessment, 3rd Edition by Chiocca...

17 USD

0

0

A Concise Introduction to Logic 11th Ed Test Bank
View Document

A Concise Introduction to Logic 11th Ed Test Bank

  • Daniel-Onyapidi

    Daniel-Onyapidi

  • solution manual

A Concise Introduction to Logic 11th Ed Test Bank...

18 USD

0

0

Test Bank for Microbiology, An Evolving Science, 6th Edition by Slonczewski
View Document

Test Bank for Microbiology, An Evolving Science, 6th Edition by Slonczewski

  • Daniel-Onyapidi

    Daniel-Onyapidi

  • solution manual

Test Bank for Microbiology, An Evolving Science, 6th Edition by Slonczewski...

17 USD

0

0

Test Bank for Cognition 6th Edition by Radvansky
View Document

Test Bank for Cognition 6th Edition by Radvansky

  • SantoKim

    SantoKim

  • test bank

TEST BANK FOR COGNITION 6TH EDITION BY RADVANSKY ISBN- 978-0205985807 Verified 2024 Practice Questions and 100% Correct ...

30 USD

0

0

Test bank for Molecular Cell Biology 9th edition by Harvey Lodish
View Document

Test bank for Molecular Cell Biology 9th edition by Harvey Lodish

  • Eddah-Nafula

    Eddah-Nafula

  • test bank

Test bank for Molecular Cell Biology 9th edition by Harvey Lodish...

17 USD

0

0

Test Bank for Fundamentals of Anatomy and Physiology 8th Edition by Martini
View Document

Test Bank for Fundamentals of Anatomy and Physiology 8th Edition by Martini

  • Eddah-Nafula

    Eddah-Nafula

  • test bank

Test Bank for Fundamentals of Anatomy and Physiology 8th Edition by Martini...

17 USD

0

0

Test Bank for Essentials of Anatomy and Physiology 6th edition Martini, Bartholomew
View Document

Test Bank for Essentials of Anatomy and Physiology 6th edition Martini, Bartholomew

  • Eddah-Nafula

    Eddah-Nafula

  • test bank

Test Bank for Essentials of Anatomy and Physiology 6th edition Martini, Bartholomew...

17 USD

0

0

Test Bank for Essentials of Anatomy and Physiology 5th Edition Scanlon
View Document

Test Bank for Essentials of Anatomy and Physiology 5th Edition Scanlon

  • Eddah-Nafula

    Eddah-Nafula

  • test bank

Test Bank for Essentials of Anatomy and Physiology 5th Edition Scanlon...

18 USD

0

0

Test bank for Employee Training and Development 6th Edition by Noe
View Document

Test bank for Employee Training and Development 6th Edition by Noe

  • Eddah-Nafula

    Eddah-Nafula

  • test bank

Test bank for Employee Training and Development 6th Edition by Noe...

17 USD

0

0

Test Bank Community-Based Corrections, 12th Edition by Alarid
View Document

Test Bank Community-Based Corrections, 12th Edition by Alarid

  • Eddah-Nafula

    Eddah-Nafula

  • test bank

Test Bank Community-Based Corrections, 12th Edition by Alarid – Download PDF...

17 USD

0

0

Test Bank for Microbiology, A Systems Approach, 6th Edition, Marjorie Kelly Cowan, Heidi Smith
View Document

Test Bank for Microbiology, A Systems Approach, 6th Edition, Marjorie Kelly Cowan, Heidi Smith

  • Highergrades

    Highergrades

  • study guide

Get PDF copy of the Test Bank for Microbiology, A Systems Approach, 6th Edition by Marjorie Kelly Cowan and Heidi Smith....

15 USD

0

0

Test bank calculation of drug dosages 12th edition ogden all chapters 2023-2024 Latest Update
View Document

Test bank calculation of drug dosages 12th edition ogden all chapters 2023-2024 Latest Update

  • PHARMACIA

    PHARMACIA

  • test bank

Test bank calculation of drug dosages 12th edition ogden all chapters 2023-2024 Latest Update...

15 USD

0

0

Test bank professional nursing concepts and challenges 10th edition black 2024 chapter 1_16 2023-2024 Latest Update
View Document

Test bank professional nursing concepts and challenges 10th edition black 2024 chapter 1_16 2023-2024 Latest Update

  • PHARMACIA

    PHARMACIA

  • test bank

Test bank professional nursing concepts and challenges 10th edition black 2024 chapter 1_16 2023-2024 Latest Update...

15 USD

0

0

Test bank professional nursing concepts and challenges 10th edition black 2024 chapter 1_16 2023-2024 Latest Update
View Document

Test bank professional nursing concepts and challenges 10th edition black 2024 chapter 1_16 2023-2024 Latest Update

  • PHARMACIA

    PHARMACIA

  • test bank

Test bank professional nursing concepts and challenges 10th edition black 2024 chapter 1_16 2023-2024 Latest Update...

15 USD

0

0

Test bank emergency care 14th edition daniel limmer compressed 2023-2024 Latest Update
View Document

Test bank emergency care 14th edition daniel limmer compressed 2023-2024 Latest Update

  • PHARMACIA

    PHARMACIA

  • test bank

Test bank emergency care 14th edition daniel limmer compressed 2023-2024 Latest Update...

15 USD

0

0

Test Bank for Medical Terminology Get Connected 3rd Edition Frucht | Complete Chapters 1 – 17 | Latest 2024 | Rated A+
View Document

Test Bank for Medical Terminology Get Connected 3rd Edition Frucht | Complete Chapters 1 – 17 | Latest 2024 | Rated A+

  • Highergrades

    Highergrades

  • study guide

Test Bank for Medical Terminology Get Connected 3rd Edition Frucht | Complete Chapters 1 – 17 | Latest 2024 | Rated A+...

23 USD

0

0

Test Bank for Maternal Child Nursing Care 7th Edition by Shannon E. Perry, Marilyn J. Hockenberry, Mary Catherine Cashion Complete Chapters 1-50 Latest updated 2024
View Document

Test Bank for Maternal Child Nursing Care 7th Edition by Shannon E. Perry, Marilyn J. Hockenberry, Mary Catherine Cashion Complete Chapters 1-50 Latest updated 2024

  • Highergrades

    Highergrades

  • study guide

Test Bank for Maternal Child Nursing Care 7th Edition by Shannon E. Perry, Marilyn J. Hockenberry, Mary Catherine Cashio...

21 USD

0

0

Test bank herlihy the human body in health and illness 7th edition 2023-2024 Latest Update
View Document

Test bank herlihy the human body in health and illness 7th edition 2023-2024 Latest Update

  • PHARMACIA

    PHARMACIA

  • test bank

Test bank herlihy the human body in health and illness 7th edition 2023-2024 Latest Update...

15 USD

0

0

Test bank complete for medical surgical nursing concepts 2023-2024 Latest Update
View Document

Test bank complete for medical surgical nursing concepts 2023-2024 Latest Update

  • PHARMACIA

    PHARMACIA

  • test bank

Test bank complete for medical surgical nursing concepts 2023-2024 Latest Update...

15 USD

0

0

Test bank for burns pediatric primary care 7th edition 2023-2024 Latest Update
View Document

Test bank for burns pediatric primary care 7th edition 2023-2024 Latest Update

  • PHARMACIA

    PHARMACIA

  • test bank

Test bank for burns pediatric primary care 7th edition 2023-2024 Latest Update – Download PDF...

16 USD

0

0

Foundations and Adult Health Nursing 9th Edition Test Bank ISBN- 978-0323812054 Verified 2024 Practice Questions and 100% Correct Answers with Explanations for Exam Preparation, Graded A+
View Document

Foundations and Adult Health Nursing 9th Edition Test Bank ISBN- 978-0323812054 Verified 2024 Practice Questions and 100% Correct Answers with Explanations for Exam Preparation, Graded A+

  • SantoKim

    SantoKim

  • test bank

Foundations and Adult Health Nursing 9th Edition Test Bank ISBN- 978-0323812054 Verified 2024 Practice Questions and 100...

40 USD

0

0

Essentials Of Pediatric Nursing 4th Edition By KYLE TERRI AND CARMAN SUSAN TEST BANK ISBN- 978-1975139841 Verified 2024 Practice Questions and 100% Correct Answers with Explanations for Exam Preparation, Graded A+
View Document

Essentials Of Pediatric Nursing 4th Edition By KYLE TERRI AND CARMAN SUSAN TEST BANK ISBN- 978-1975139841 Verified 2024 Practice Questions and 100% Correct Answers with Explanations for Exam Preparation, Graded A+

  • SantoKim

    SantoKim

  • test bank

Essentials Of Pediatric Nursing 4th Edition By KYLE TERRI AND CARMAN SUSAN TEST BANK ISBN- 978-1975139841 Verified 2024 ...

30 USD

0

0

ANATOMY AND PHYSIOLOGY
View Document

ANATOMY AND PHYSIOLOGY

  • Jamesalyssa

    Jamesalyssa

  • test bank

ANATOMY AND PHYSIOLOGY...

15 USD

0

0

NURS MISC Critical Care Test 1 Test Bank with 100 percent Verified Solutions | Latest Update 2024
View Document

NURS MISC Critical Care Test 1 Test Bank with 100 percent Verified Solutions | Latest Update 2024

  • Highergrades

    Highergrades

  • study guide

NURS MISC Critical Care Test 1 Test Bank with 100 percent Verified Solutions | Latest Update 2024 – Download PDF...

17 USD

0

0

Edmunds Pharmacology for the Primary Care Provider, 5th Edition Constance Test Bank | Complete Solutions | Rated A+ | Update 2024
View Document

Edmunds Pharmacology for the Primary Care Provider, 5th Edition Constance Test Bank | Complete Solutions | Rated A+ | Update 2024

  • Highergrades

    Highergrades

  • study guide

Edmunds Pharmacology for the Primary Care Provider, 5th Edition Constance Test Bank | Complete Solutions | Rated A+ | Up...

18 USD

0

0

Test Bank for Tietz Fundamentals of Clinical Chemistry and Molecular Diagnostics 7th Edition by Carl A Burtis (Complete Chapters) Latest Update 2024 | Rated A+
View Document

Test Bank for Tietz Fundamentals of Clinical Chemistry and Molecular Diagnostics 7th Edition by Carl A Burtis (Complete Chapters) Latest Update 2024 | Rated A+

  • Highergrades

    Highergrades

  • study guide

Test Bank for Tietz Fundamentals of Clinical Chemistry and Molecular Diagnostics 7th Edition by Carl A Burtis (Complete ...

17 USD

0

0

Test Bank for Psychiatric Mental Health Nursing 5th Edition by Katherine M. Fortinash ISBN:9780323075725 (Complete Chapters) Guide A+|Latest Update
View Document

Test Bank for Psychiatric Mental Health Nursing 5th Edition by Katherine M. Fortinash ISBN:9780323075725 (Complete Chapters) Guide A+|Latest Update

  • Highergrades

    Highergrades

  • study guide

Test Bank for Psychiatric Mental Health Nursing 5th Edition by Katherine M. Fortinash ISBN:9780323075725 (Complete Chapt...

17 USD

0

0

Test Bank for Wongs Nursing Care of Infants and Children 11th Edition by Hockenberry ISBN-10: 032354939X, ISBN-13: 9780323549394 Latest Update 2024 (Complete Chapters 1-34)
View Document

Test Bank for Wongs Nursing Care of Infants and Children 11th Edition by Hockenberry ISBN-10: 032354939X, ISBN-13: 9780323549394 Latest Update 2024 (Complete Chapters 1-34)

  • Highergrades

    Highergrades

  • test bank

Test Bank for Wongs Nursing Care of Infants and Children 11th Edition by Hockenberry ISBN-10: 032354939X, ISBN-13: 97803...

21 USD

0

0

TEST BANK FOR WONGS ESSENTIALS OF PEDIATRIC NURSING 10TH EDITION BY HOCKENBERRY (CHAPTERS 1-30) COMPLETE GRADED A+
View Document

TEST BANK FOR WONGS ESSENTIALS OF PEDIATRIC NURSING 10TH EDITION BY HOCKENBERRY (CHAPTERS 1-30) COMPLETE GRADED A+

  • Highergrades

    Highergrades

  • test bank

TEST BANK FOR WONGS ESSENTIALS OF PEDIATRIC NURSING 10TH EDITION BY HOCKENBERRY (CHAPTERS 1-30) COMPLETE GRADED A+...

18 USD

0

0

Test Bank for Wongs Nursing Care of Infants and Children 12th Edition by Hockenberry | All Chapters Covered| Rated A+
View Document

Test Bank for Wongs Nursing Care of Infants and Children 12th Edition by Hockenberry | All Chapters Covered| Rated A+

  • Highergrades

    Highergrades

  • test bank

Download Comprehensive test bank for Wong’s Nursing Care of Infants and Children, 12th Edition by Hockenberry. Include...

15 USD

0

0

Test Bank Pediatric Nursing: Critical Components of Nursing Care 3rd Edition  Rudd – Kocisko (Complete Chapters) Rated A+
View Document

Test Bank Pediatric Nursing: Critical Components of Nursing Care 3rd Edition Rudd – Kocisko (Complete Chapters) Rated A+

  • Highergrades

    Highergrades

  • test bank

Test Bank Pediatric Nursing: Critical Components of Nursing Care 3rd Edition Rudd – Kocisko (Complete Chapters) Rated...

20 USD

0

0

Test Bank for Williams Basic Nutrition and Diet Therapy 16th Edition by Nix William (Chapter1-23) Complete Rated A+
View Document

Test Bank for Williams Basic Nutrition and Diet Therapy 16th Edition by Nix William (Chapter1-23) Complete Rated A+

  • Highergrades

    Highergrades

  • study guide

Test Bank for Williams Basic Nutrition and Diet Therapy 16th Edition by Nix William (Chapter1-23) Complete Rated A+...

17 USD

0

0

Test Bank for Davis Advantage for Psychiatric Mental Health Nursing 10th Edition by Karyn I. Morgan; Mary C. Townsend | Complete Chapters 1-43 | Rated A+
View Document

Test Bank for Davis Advantage for Psychiatric Mental Health Nursing 10th Edition by Karyn I. Morgan; Mary C. Townsend | Complete Chapters 1-43 | Rated A+

  • Highergrades

    Highergrades

  • study guide

Get the Test Bank for Davis Advantage for Psychiatric Mental Health Nursing, 10th Ed. Covers all 43 chapters with A+ exa...

15 USD

0

0

Test Bank for Physical Examination and Health Assessment 9th Edition
View Document

Test Bank for Physical Examination and Health Assessment 9th Edition

  • Highergrades

    Highergrades

  • study guide

Test Bank for Physical Examination and Health Assessment 9th Edition by Carolyn Jarvis, Ann Eckhardt ISBN: 9780323510806...

16 USD

0

0

Essentials Of Pathophysiology 4th Edition Porth Test Bank ISBN- 978-1496305480 Verified 2024 Practice Questions and 100% Correct Answers with Explanations for Exam Preparation, Graded A+
View Document

Essentials Of Pathophysiology 4th Edition Porth Test Bank ISBN- 978-1496305480 Verified 2024 Practice Questions and 100% Correct Answers with Explanations for Exam Preparation, Graded A+

  • SantoKim

    SantoKim

  • test bank

Essentials Of Pathophysiology 4th Edition Porth Test Bank ISBN- 978-1496305480 Verified 2024 Practice Questions and 100%...

30 USD

0

0

TEST BANK PHARMACOLOGY A PATIENT-CENTERED NURSING PROCESS APPROACH, 11TH EDITION BY LINDA E. MCCUISTION (ALL CHAPTERS 1-58) RATED A+
View Document

TEST BANK PHARMACOLOGY A PATIENT-CENTERED NURSING PROCESS APPROACH, 11TH EDITION BY LINDA E. MCCUISTION (ALL CHAPTERS 1-58) RATED A+

  • Highergrades

    Highergrades

  • study guide

TEST BANK PHARMACOLOGY A PATIENT-CENTERED NURSING PROCESS APPROACH, 11TH EDITION BY LINDA E. MCCUISTION (ALL CHAPTERS 1-...

18 USD

0

2

Test Bank Pharmacology A Patient-Centered Nursing Process Approach, 10th Edition by Linda E. McCuistion(Complete Chapters) Updated 2024
View Document

Test Bank Pharmacology A Patient-Centered Nursing Process Approach, 10th Edition by Linda E. McCuistion(Complete Chapters) Updated 2024

  • Highergrades

    Highergrades

  • study guide

Test Bank Pharmacology A Patient-Centered Nursing Process Approach, 10th Edition by Linda E. McCuistion(Complete Chapter...

17 USD

0

0

Test bank advanced assessment interpreting findings and formulating differential diagnose 2023-2024 Latest Update
View Document

Test bank advanced assessment interpreting findings and formulating differential diagnose 2023-2024 Latest Update

  • PHARMACIA

    PHARMACIA

  • test bank

Test bank advanced assessment interpreting findings and formulating differential diagnose 2023-2024 Latest Update...

18 USD

0

0

Test bank for foundations of maternal newborn and womens health nursing 8th edition 2023-2024 Latest Update
View Document

Test bank for foundations of maternal newborn and womens health nursing 8th edition 2023-2024 Latest Update

  • PHARMACIA

    PHARMACIA

  • test bank

Test bank for foundations of maternal newborn and womens health nursing 8th edition 2023-2024 Latest Update – Download...

18 USD

0

0

Test bank maternity womens health care 13th edition lowdermilk chapter 1 to 36  2023-2024 Latest Update
View Document

Test bank maternity womens health care 13th edition lowdermilk chapter 1 to 36 2023-2024 Latest Update

  • PHARMACIA

    PHARMACIA

  • test bank

Test bank maternity womens health care 13th edition lowdermilk chapter 1 to 36 2023-2024 Latest Update – Download PDF...

17 USD

0

0

Test bank anatomy and physiology 1st edition by elizabeth co 2023-2024 Latest Update
View Document

Test bank anatomy and physiology 1st edition by elizabeth co 2023-2024 Latest Update

  • PHARMACIA

    PHARMACIA

  • test bank

Test bank anatomy and physiology 1st edition by elizabeth co 2023-2024 Latest Update...

17 USD

0

0

Test bank anatomy and physiology 1st edition by elizabeth co 2023-2024 Latest Update
View Document

Test bank anatomy and physiology 1st edition by elizabeth co 2023-2024 Latest Update

  • PHARMACIA

    PHARMACIA

  • test bank

Test bank anatomy and physiology 1st edition by elizabeth co 2023-2024 Latest Update...

17 USD

0

0

Test bank for primary care 6th edition by buttaro 2023-2024 Latest Update
View Document

Test bank for primary care 6th edition by buttaro 2023-2024 Latest Update

  • PHARMACIA

    PHARMACIA

  • test bank

Test bank for primary care 6th edition by buttaro 2023-2024 Latest Update – Download PDF...

17 USD

0

0

Test bank introduction to maternity and pediatric nursing 9th edition leifer 2023-2024 Latest Update
View Document

Test bank introduction to maternity and pediatric nursing 9th edition leifer 2023-2024 Latest Update

  • PHARMACIA

    PHARMACIA

  • test bank

Test bank introduction to maternity and pediatric nursing 9th edition leifer 2023-2024 Latest Update...

17 USD

0

0

Test bank mccance pathophysiology biologic basis for disease 9th edition 2023-2024 Latest Update
View Document

Test bank mccance pathophysiology biologic basis for disease 9th edition 2023-2024 Latest Update

  • PHARMACIA

    PHARMACIA

  • test bank

Test bank mccance pathophysiology biologic basis for disease 9th edition 2023-2024 Latest Update...

17 USD

0

0

Test bank basic geriatric nursing 8th edition by patricia a. williams 2023-2024 Latest Update
View Document

Test bank basic geriatric nursing 8th edition by patricia a. williams 2023-2024 Latest Update

  • PHARMACIA

    PHARMACIA

  • test bank

Test bank basic geriatric nursing 8th edition by patricia a. williams 2023-2024 Latest Update...

17 USD

0

0

Test bank Introduction to Econometrics 4th Edition by James Stock and Mark Watson 2023-2024 Latest Update
View Document

Test bank Introduction to Econometrics 4th Edition by James Stock and Mark Watson 2023-2024 Latest Update

  • PHARMACIA

    PHARMACIA

  • test bank

Test bank Introduction to Econometrics 4th Edition by James Stock and Mark Watson 2023-2024 Latest Update – Download P...

17 USD

0

0

Test Bank for Focus on Adult Health Medical Surgical Nursing 2nd Edition Honan (Complete Chapters)
View Document

Test Bank for Focus on Adult Health Medical Surgical Nursing 2nd Edition Honan (Complete Chapters)

  • Highergrades

    Highergrades

  • study guide

Test Bank for Focus on Adult Health Medical Surgical Nursing 2nd Edition Honan (Complete Chapters)...

23 USD

0

0

Essentials for Nursing Practice, 9th Edition by Patricia A. Potter, Perry, Stockert, and Hall ISBN- 978-0323481847 Test Bank Verified 2024 Practice Questions and 100% Correct Answers with Explanations for Exam Preparation, Graded A+
View Document

Essentials for Nursing Practice, 9th Edition by Patricia A. Potter, Perry, Stockert, and Hall ISBN- 978-0323481847 Test Bank Verified 2024 Practice Questions and 100% Correct Answers with Explanations for Exam Preparation, Graded A+

  • SantoKim

    SantoKim

  • test bank

Essentials for Nursing Practice, 9th Edition by Patricia A. Potter, Perry, Stockert, and Hall ISBN- 978-0323481847 Test ...

30 USD

0

0

Test Bank for A Topical Approach to Lifespan Development 11th Edition by John Santrock (Complete Chapters) Rated A+
View Document

Test Bank for A Topical Approach to Lifespan Development 11th Edition by John Santrock (Complete Chapters) Rated A+

  • Highergrades

    Highergrades

  • study guide

Study the complete Test Bank for A Topical Approach to Lifespan Development, 11th Edition by John Santrock. Covering cha...

16 USD

0

0

Test Bank for Financial Accounting Information for Decisions 10th Edition by Wild
View Document

Test Bank for Financial Accounting Information for Decisions 10th Edition by Wild

  • Highergrades

    Highergrades

  • study guide

Test Bank for Financial Accounting Information for Decisions 10th Edition by Wild...

16 USD

0

0

TEST BANK for Modern Advanced Accounting in Canada 9th Edition Hilton Murray, Herauf Darrell (Complete Chapters) Latest Update
View Document

TEST BANK for Modern Advanced Accounting in Canada 9th Edition Hilton Murray, Herauf Darrell (Complete Chapters) Latest Update

  • Highergrades

    Highergrades

  • study guide

TEST BANK for Modern Advanced Accounting in Canada 9th Edition Hilton Murray, Herauf Darrell (Complete Chapters) Latest ...

17 USD

0

0

Test Bank for Current Medical Diagnosis and Treatment 2024, 63rd Edition by Maxine Papadakis, Stephen Mcphee, Verified Chapters 1 - 42, Complete Version, Rated A+
View Document

Test Bank for Current Medical Diagnosis and Treatment 2024, 63rd Edition by Maxine Papadakis, Stephen Mcphee, Verified Chapters 1 - 42, Complete Version, Rated A+

  • Highergrades

    Highergrades

  • study guide

Get the A+ rated Test Bank for Current Medical Diagnosis and Treatment 2024, 63rd Edition by Papadakis & McPhee. Complet...

15 USD

0

1

PN ATI COMPREHENSIVE PREDICTOR  FORM A,B,C 2023 TEST BANK GRADED  A+.
View Document

PN ATI COMPREHENSIVE PREDICTOR FORM A,B,C 2023 TEST BANK GRADED A+.

  • Alkseltzer

    Alkseltzer

  • exam

PN ATI COMPREHENSIVE PREDICTOR FORM A,B,C 2023 TEST BANK GRADED A+....

24 USD

0

0

Fundamentals of Nursing 10th Edition Test Bank – Potter & Perry | Verified Q&A, All Chapters
View Document

Fundamentals of Nursing 10th Edition Test Bank – Potter & Perry | Verified Q&A, All Chapters

  • Alkseltzer

    Alkseltzer

  • exam

Fundamentals of Nursing 10th Edition Test Bank – Potter & Perry | Verified Q&A, All Chapters...

15 USD

0

0

Radiation Protection in Medical Radiography 8th Edition Sherer Test Bank
View Document

Radiation Protection in Medical Radiography 8th Edition Sherer Test Bank

  • Alkseltzer

    Alkseltzer

  • exam

Radiation Protection in Medical Radiography 8th Edition Sherer Test Bank...

19 USD

0

0

Test Bank for Bates’ Guide to Physical Examination 13th Ed | Verified with Explanations
View Document

Test Bank for Bates’ Guide to Physical Examination 13th Ed | Verified with Explanations

  • SantoKim

    SantoKim

  • test bank

Ace your exams with this complete test bank for Bates’ Guide to Physical Examination and History Taking (13th ed.). In...

15 USD

28

96

Clinical Nursing Skills and Techniques 11th Edition by by Anne G. Perry , Patricia A. Potter , Wendy R. Ostendorf, Nancy Laplante ISBN- 978-0443107184 Test Bank Verified 2024 Practice Questions and 100% Correct Answers with Explanations for Exam Preparation, Graded A+
View Document

Clinical Nursing Skills and Techniques 11th Edition by by Anne G. Perry , Patricia A. Potter , Wendy R. Ostendorf, Nancy Laplante ISBN- 978-0443107184 Test Bank Verified 2024 Practice Questions and 100% Correct Answers with Explanations for Exam Preparation, Graded A+

  • SantoKim

    SantoKim

  • test bank

Clinical Nursing Skills and Techniques 11th Edition by by Anne G. Perry , Patricia A. Potter , Wendy R. Ostendorf, Nancy...

30 USD

0

0

Clinical Reasoning Cases in Nursing 8th Edition Harding Snyder Test Bank ISBN- 978-0323831734 Verified 2024 Practice Questions and 100% Correct Answers with Explanations for Exam Preparation, Graded A+
View Document

Clinical Reasoning Cases in Nursing 8th Edition Harding Snyder Test Bank ISBN- 978-0323831734 Verified 2024 Practice Questions and 100% Correct Answers with Explanations for Exam Preparation, Graded A+

  • SantoKim

    SantoKim

  • test bank

Clinical Reasoning Cases in Nursing 8th Edition Harding Snyder Test Bank ISBN- 978-0323831734 Verified 2024 Practice Que...

30 USD

0

0

Community and Public Health Nursing 10th Edition by Cherie Rector and Mary Jo Stanley Test Bank ISBN- 9781975123048 Verified 2024 Practice Questions and 100% Correct Answers with Explanations for Exam Preparation, Graded A+
View Document

Community and Public Health Nursing 10th Edition by Cherie Rector and Mary Jo Stanley Test Bank ISBN- 9781975123048 Verified 2024 Practice Questions and 100% Correct Answers with Explanations for Exam Preparation, Graded A+

  • SantoKim

    SantoKim

  • test bank

Community and Public Health Nursing 10th Edition by Cherie Rector and Mary Jo Stanley Test Bank ISBN- 9781975123048 Veri...

30 USD

0

0

Critical Thinking Clinical Reasoning and Clinical Judgment 7th Edition A Practical Approach Test Bank by Rosalinda Alfaro-LeFevre ISBN- 978-0323581257 Verified 2024 Practice Questions and 100% Correct Answers with Explanations for Exam Preparation, Graded A+
View Document

Critical Thinking Clinical Reasoning and Clinical Judgment 7th Edition A Practical Approach Test Bank by Rosalinda Alfaro-LeFevre ISBN- 978-0323581257 Verified 2024 Practice Questions and 100% Correct Answers with Explanations for Exam Preparation, Graded A+

  • SantoKim

    SantoKim

  • test bank

Critical Thinking Clinical Reasoning and Clinical Judgment 7th Edition A Practical Approach Test Bank by Rosalinda Alfar...

30 USD

0

0

ATI PN COMPREHENSIVE PREDICTOR TEST BANK FORM A,BandC LATEST UPDATE 2022- 2023
View Document

ATI PN COMPREHENSIVE PREDICTOR TEST BANK FORM A,BandC LATEST UPDATE 2022- 2023

  • Alkseltzer

    Alkseltzer

  • exam

ATI PN COMPREHENSIVE PREDICTOR TEST BANK FORM A,BandC LATEST UPDATE 2022- 2023...

19 USD

0

0

ATI RN Community Health Proctored Test Bank 7 Latest Version Graded A+ 2026 Latest Version
View Document

ATI RN Community Health Proctored Test Bank 7 Latest Version Graded A+ 2026 Latest Version

  • Alkseltzer

    Alkseltzer

  • exam

Get the ATI RN Community Health Proctored Test Bank (2025 Latest Version) — fully updated, graded A+, and ideal for ex...

12 USD

0

0

Ati Pediatric Proctored Latest Test Bank 2022| 2023, Uworld PEDDIATRY A A A TEST  BANK LATEST 2022, 2023
View Document

Ati Pediatric Proctored Latest Test Bank 2022| 2023, Uworld PEDDIATRY A A A TEST BANK LATEST 2022, 2023

  • Alkseltzer

    Alkseltzer

  • exam

Ati Pediatric Proctored Latest Test Bank 2022| 2023, Uworld PEDDIATRY A A A TEST BANK LATEST 2022, 2023 – Download PD...

36 USD

0

0

Pathophysiology TEST BANK-The Biologic Basis for Disease in Adults and Children, 8th Edition by Kathryn L. McCance, Sue E. Huether
View Document

Pathophysiology TEST BANK-The Biologic Basis for Disease in Adults and Children, 8th Edition by Kathryn L. McCance, Sue E. Huether

  • GoldenStar

    GoldenStar

  • test bank

Pathophysiology-The Biologic Basis for Disease in Adults and Children, 8th Edition by Kathryn L. McCance, Sue E. Huethe ...

17 USD

0

14

Test Bank for PMHNP Boards  2022 Questions and Answers
View Document

Test Bank for PMHNP Boards 2022 Questions and Answers

  • Alkseltzer

    Alkseltzer

  • exam

Test Bank for PMHNP Boards 2022 Questions and Answers...

21 USD

0

0

{NGN}ATI PEDIATRIC EXAM TEST BANK 2019- 2023  EVERYTHING ON ATI PEDIATRICS INCLUDING  NCLEX  QUESTIONS AND CORRECT ANSWERS (BEST  DOCUMENT FOR ATI  PEDS)GRADEd A+
View Document

{NGN}ATI PEDIATRIC EXAM TEST BANK 2019- 2023 EVERYTHING ON ATI PEDIATRICS INCLUDING NCLEX QUESTIONS AND CORRECT ANSWERS (BEST DOCUMENT FOR ATI PEDS)GRADEd A+

  • Alkseltzer

    Alkseltzer

  • exam

{NGN}ATI PEDIATRIC EXAM TEST BANK 2019- 2023 EVERYTHING ON ATI PEDIATRICS INCLUDING NCLEX QUESTIONS AND CORRECT ANSWE...

22 USD

0

0

CRCR EXAM TEST BANK LATEST 2023-2024  WITH 400+ QUESTIONS AND CORRECT  ANSWERS (VERIFIED ANSWERS) 100%  COMPLETE
View Document

CRCR EXAM TEST BANK LATEST 2023-2024 WITH 400+ QUESTIONS AND CORRECT ANSWERS (VERIFIED ANSWERS) 100% COMPLETE

  • Alkseltzer

    Alkseltzer

  • exam

CRCR EXAM TEST BANK LATEST 2023-2024 WITH 400+ QUESTIONS AND CORRECT ANSWERS (VERIFIED ANSWERS) 100% COMPLETE...

19 USD

0

0

CRCR EXAM TEST BANK LATEST 2023-2024  WITH 400+ QUESTIONS AND CORRECT  ANSWERS (VERIFIED ANSWERS) 100%  COMPLETE
View Document

CRCR EXAM TEST BANK LATEST 2023-2024 WITH 400+ QUESTIONS AND CORRECT ANSWERS (VERIFIED ANSWERS) 100% COMPLETE

  • Alkseltzer

    Alkseltzer

  • exam

CRCR EXAM TEST BANK LATEST 2023-2024 WITH 400+ QUESTIONS AND CORRECT ANSWERS (VERIFIED ANSWERS) 100% COMPLETE...

24 USD

0

0

Test bank burns and groves the practice of nursing research 8th edition 2023-2024 Latest Update
View Document

Test bank burns and groves the practice of nursing research 8th edition 2023-2024 Latest Update

  • PHARMACIA

    PHARMACIA

  • test bank

Test bank burns and groves the practice of nursing research 8th edition 2023-2024 Latest Update – Download PDF...

18 USD

0

0

Test bank wongs essentials of pediatric nursing 11th edition by marilyn j. hockenberry
View Document

Test bank wongs essentials of pediatric nursing 11th edition by marilyn j. hockenberry

  • PHARMACIA

    PHARMACIA

  • test bank

Test bank wongs essentials of pediatric nursing 11th edition by marilyn j. hockenberry...

17 USD

0

0

Test bank wongs essentials of pediatric nursing 11th edition by marilyn j. hockenberry Latest Update
View Document

Test bank wongs essentials of pediatric nursing 11th edition by marilyn j. hockenberry Latest Update

  • PHARMACIA

    PHARMACIA

  • test bank

Test bank wongs essentials of pediatric nursing 11th edition by marilyn j. hockenberry 2023-2024 Latest Update...

17 USD

0

0

FNP PEDIATRIC EXAM TEST BANK 2023- 2024 REAL
View Document

FNP PEDIATRIC EXAM TEST BANK 2023- 2024 REAL

  • Alkseltzer

    Alkseltzer

  • exam

FNP PEDIATRIC EXAM TEST BANK 2023- 2024 REAL...

18 USD

0

0

Test bank for claytons basic pharmacology for nurses 19th edition 2023-2024 Latest Update
View Document

Test bank for claytons basic pharmacology for nurses 19th edition 2023-2024 Latest Update

  • PHARMACIA

    PHARMACIA

  • test bank

Test bank for claytons basic pharmacology for nurses 19th edition 2023-2024 Latest Update...

17 USD

0

0

FNP PEDIATRIC EXAM TEST BANK 2023- 2024 REAL
View Document

FNP PEDIATRIC EXAM TEST BANK 2023- 2024 REAL

  • Alkseltzer

    Alkseltzer

  • exam

FNP PEDIATRIC EXAM TEST BANK 2023- 2024 REAL...

17 USD

0

0

Test bank gerontologic nursing 6th edition by authors sue meiner and jennifer_yeager 2023-2024 Latest Update
View Document

Test bank gerontologic nursing 6th edition by authors sue meiner and jennifer_yeager 2023-2024 Latest Update

  • PHARMACIA

    PHARMACIA

  • test bank

Test bank gerontologic nursing 6th edition by authors sue meiner and jennifer_yeager 2023-2024 Latest Update...

17 USD

0

0

Test bank for williams basic nutrition and diet therapy 16th edition by nix william 2023-2024 Latest Update
View Document

Test bank for williams basic nutrition and diet therapy 16th edition by nix william 2023-2024 Latest Update

  • PHARMACIA

    PHARMACIA

  • test bank

Test bank for williams basic nutrition and diet therapy 16th edition by nix william 2023-2024 Latest Update...

17 USD

0

0

NREMT FINAL EXAM TEST BANK  LATEST  2023-2024 EXAM 370+ QUESTIONS  AND  CORRECT ANSWERS WITH  RATIONALES|AGRADE
View Document

NREMT FINAL EXAM TEST BANK LATEST 2023-2024 EXAM 370+ QUESTIONS AND CORRECT ANSWERS WITH RATIONALES|AGRADE

  • Alkseltzer

    Alkseltzer

  • exam

NREMT FINAL EXAM TEST BANK LATEST 2023-2024 EXAM 370+ QUESTIONS AND CORRECT ANSWERS WITH RATIONALES|AGRADE...

19 USD

0

0

Test bank applied pathophysiology for the advanced practice nurse 2nd edition 2023-2024 Latest Update
View Document

Test bank applied pathophysiology for the advanced practice nurse 2nd edition 2023-2024 Latest Update

  • PHARMACIA

    PHARMACIA

  • test bank

Get the latest Test Bank for Applied Pathophysiology for the Advanced Practice Nurse, 2nd Edition, featuring updated que...

17 USD

0

0

WGU C715 EXAM TEST BANK 300+ QS & ANS  ORGANIZATIONAL  BEHAVIOR LATEST 2023-2024 (VERIFIED  ANSWERS)AGRADE
View Document

WGU C715 EXAM TEST BANK 300+ QS & ANS ORGANIZATIONAL BEHAVIOR LATEST 2023-2024 (VERIFIED ANSWERS)AGRADE

  • Alkseltzer

    Alkseltzer

  • exam

WGU C715 EXAM TEST BANK 300+ QS & ANS ORGANIZATIONAL BEHAVIOR LATEST 2023-2024 (VERIFIED ANSWERS)AGRADE...

19 USD

0

0

Test bank for conceptual physics 13th edition hewitt full chapter 2023-2024 Latest Update
View Document

Test bank for conceptual physics 13th edition hewitt full chapter 2023-2024 Latest Update

  • PHARMACIA

    PHARMACIA

  • test bank

Test bank for conceptual physics 13th edition hewitt full chapter 2023-2024 Latest Update...

17 USD

0

0

Test bank for conceptual physics 13th edition hewitt full chapter 2023-2024 Latest Update
View Document

Test bank for conceptual physics 13th edition hewitt full chapter 2023-2024 Latest Update

  • PHARMACIA

    PHARMACIA

  • test bank

Test bank for conceptual physics 13th edition hewitt full chapter 2023-2024 Latest Update...

17 USD

0

0

NREMT FINAL EXAM TEST BANK  LATEST  2023-2024 EXAM 370+ QUESTIONS  AND  CORRECT ANSWERS WITH  RATIONALES|AGRADE
View Document

NREMT FINAL EXAM TEST BANK LATEST 2023-2024 EXAM 370+ QUESTIONS AND CORRECT ANSWERS WITH RATIONALES|AGRADE

  • Alkseltzer

    Alkseltzer

  • exam

NREMT FINAL EXAM TEST BANK LATEST 2023-2024 EXAM 370+ QUESTIONS AND CORRECT ANSWERS WITH RATIONALES|AGRADE...

19 USD

0

0

Test bank for maternal child nursing care 7th edition by shannon 2023-2024 Latest Update
View Document

Test bank for maternal child nursing care 7th edition by shannon 2023-2024 Latest Update

  • PHARMACIA

    PHARMACIA

  • test bank

Test bank for maternal child nursing care 7th edition by shannon 2023-2024 Latest Update...

17 USD

0

0

Test bank physical examination and health assessment 9th edition by carolyn jarvis ann 2023-2024 Latest Update
View Document

Test bank physical examination and health assessment 9th edition by carolyn jarvis ann 2023-2024 Latest Update

  • PHARMACIA

    PHARMACIA

  • test bank

Test bank physical examination and health assessment 9th edition by carolyn jarvis ann 2023-2024 Latest Update...

17 USD

0

0

FNP Pediatric Exam Test Bank; complete  A+ Questions & Answers
View Document

FNP Pediatric Exam Test Bank; complete A+ Questions & Answers

  • Alkseltzer

    Alkseltzer

  • exam

FNP Pediatric Exam Test Bank; complete A+ Questions & Answers...

19 USD

0

0

FNP Pediatric Exam Test Bank; complete  A+ Questions & Answers
View Document

FNP Pediatric Exam Test Bank; complete A+ Questions & Answers

  • Alkseltzer

    Alkseltzer

  • exam

FNP Pediatric Exam Test Bank; complete A+ Questions & Answers...

17 USD

0

0

Introduction to Pathology Test Bank-CHAPTER 1
View Document

Introduction to Pathology Test Bank-CHAPTER 1

  • Alkseltzer

    Alkseltzer

  • exam

Introduction to Pathology Test Bank-CHAPTER 1...

17 USD

0

0

Introduction to Pathology Test Bank-CHAPTER 1
View Document

Introduction to Pathology Test Bank-CHAPTER 1

  • Alkseltzer

    Alkseltzer

  • exam

Introduction to Pathology Test Bank-CHAPTER 1...

19 USD

0

0

PEDIATRIC EXAM TEST BANK 2022-2023 EVERYTHING  ON ATI  PEDIATRICS INCLUDING NCLEX QUESTIONS AND  CORRECT  ANSWERS GRADED A+
View Document

PEDIATRIC EXAM TEST BANK 2022-2023 EVERYTHING ON ATI PEDIATRICS INCLUDING NCLEX QUESTIONS AND CORRECT ANSWERS GRADED A+

  • Alkseltzer

    Alkseltzer

  • exam

PEDIATRIC EXAM TEST BANK 2022-2023 EVERYTHING ON ATI PEDIATRICS INCLUDING NCLEX QUESTIONS AND CORRECT ANSWERS GRADED...

19 USD

0

0

PEDIATRIC EXAM TEST BANK 2022-2023 EVERYTHING  ON ATI  PEDIATRICS INCLUDING NCLEX QUESTIONS AND  CORRECT  ANSWERS GRADED A+
View Document

PEDIATRIC EXAM TEST BANK 2022-2023 EVERYTHING ON ATI PEDIATRICS INCLUDING NCLEX QUESTIONS AND CORRECT ANSWERS GRADED A+

  • Alkseltzer

    Alkseltzer

  • exam

PEDIATRIC EXAM TEST BANK 2022-2023 EVERYTHING ON ATI PEDIATRICS INCLUDING NCLEX QUESTIONS AND CORRECT ANSWERS GRADED...

19 USD

0

0

PEDIATRIC EXAM TEST BANK 2022-2023 EVERYTHING  ON ATI  PEDIATRICS INCLUDING NCLEX QUESTIONS AND  CORRECT  ANSWERS GRADED A+
View Document

PEDIATRIC EXAM TEST BANK 2022-2023 EVERYTHING ON ATI PEDIATRICS INCLUDING NCLEX QUESTIONS AND CORRECT ANSWERS GRADED A+

  • Alkseltzer

    Alkseltzer

  • exam

PEDIATRIC EXAM TEST BANK 2022-2023 EVERYTHING ON ATI PEDIATRICS INCLUDING NCLEX QUESTIONS AND CORRECT ANSWERS GRADED...

19 USD

0

0

Philosophies and Theories for  Advanced Nursing Practice 3rd Edition  Butts Test Bank
View Document

Philosophies and Theories for Advanced Nursing Practice 3rd Edition Butts Test Bank

  • Alkseltzer

    Alkseltzer

  • exam

Philosophies and Theories for Advanced Nursing Practice 3rd Edition Butts Test Bank...

18 USD

0

0

Philosophies and Theories for  Advanced Nursing Practice 3rd Edition  Butts Test Bank
View Document

Philosophies and Theories for Advanced Nursing Practice 3rd Edition Butts Test Bank

  • Alkseltzer

    Alkseltzer

  • exam

Philosophies and Theories for Advanced Nursing Practice 3rd Edition Butts Test Bank...

21 USD

0

0

Test Bank for Chapters 1-26 of Seidel's Guide to Physical Examination: Interprofessional Approach, 9th Edition by Jane W. Ball and Joyce E. Dains
View Document

Test Bank for Chapters 1-26 of Seidel's Guide to Physical Examination: Interprofessional Approach, 9th Edition by Jane W. Ball and Joyce E. Dains

  • Alkseltzer

    Alkseltzer

  • exam

Get the complete test bank for Seidel's Guide to Physical Examination: Interprofessional Approach, 9th Edition. Includes...

15 USD

0

0

ATI TEAS 7 Exam Test Bank 300 Questions &Verified Answers
View Document

ATI TEAS 7 Exam Test Bank 300 Questions &Verified Answers

  • Highergrades

    Highergrades

  • study guide

ATI TEAS 7 Exam Test Bank 300 Questions &Verified Answers...

18 USD

0

0

Test Bank-Pharmacology and the Nursing Process 10Ed. by Lilley, Collins & Snyder | Chapter 1-58 |Updated
View Document

Test Bank-Pharmacology and the Nursing Process 10Ed. by Lilley, Collins & Snyder | Chapter 1-58 |Updated

  • Highergrades

    Highergrades

  • study guide

Test Bank-Pharmacology and the Nursing Process 10Ed. by Lilley, Collins & Snyder | Chapter 1-58 |Updated...

25 USD

0

0

TEST BANK FOR LPN TO RN TRANSITIONS 4TH EDITION BY CLAYWELL (COMPLETE CHAPTERS RATED A+)
View Document

TEST BANK FOR LPN TO RN TRANSITIONS 4TH EDITION BY CLAYWELL (COMPLETE CHAPTERS RATED A+)

  • Highergrades

    Highergrades

  • study guide

TEST BANK FOR LPN TO RN TRANSITIONS 4TH EDITION BY CLAYWELL (COMPLETE CHAPTERS RATED A+)...

17 USD

0

0

Ati Pediatric Proctored Latest Test Bank 2022 2023, Uworld PEDDIATRY A A A TEST  BANK LATEST
View Document

Ati Pediatric Proctored Latest Test Bank 2022 2023, Uworld PEDDIATRY A A A TEST BANK LATEST

  • Alkseltzer

    Alkseltzer

  • questions & answers

Ati Pediatric Proctored Latest Test Bank 2022 2023, Uworld PEDDIATRY A A A TEST BANK LATEST – Download PDF...

27 USD

0

0

Test Bank for PMHNP Boards  2022 Questions and Answers
View Document

Test Bank for PMHNP Boards 2022 Questions and Answers

  • Alkseltzer

    Alkseltzer

  • questions & answers

Test Bank for PMHNP Boards 2022 Questions and Answers...

25 USD

0

0

Test Bank for PMHNP Boards  2022 Questions and Answers
View Document

Test Bank for PMHNP Boards 2022 Questions and Answers

  • Alkseltzer

    Alkseltzer

  • questions & answers

Test Bank for PMHNP Boards 2022 Questions and Answers...

26 USD

0

0

Essential Cell Biology 4th Ed. Test Bank CH1
View Document

Essential Cell Biology 4th Ed. Test Bank CH1

  • Caro0522

    Caro0522

  • questions & answers

Essential Cell Biology 4th Ed. Test Bank CH1...

5 USD

0

0

HESI MENTAL HEALTH RN V1-V3 TEST BANK 2023, 2024
View Document

HESI MENTAL HEALTH RN V1-V3 TEST BANK 2023, 2024

  • Highergrades

    Highergrades

  • questions & answers

HESI MENTAL HEALTH RN V1-V3 TEST BANK 2023, 2024 – Download PDF...

14 USD

0

0

2023 COMMUNITY HEALTH HESI RN V1 LATESTVERSION ) EXIT HESI EACH VERSION  CONTAINS 55 QUESTIONS AND CORRECT  ANSWERS|TEST BANK|AGRADE
View Document

2023 COMMUNITY HEALTH HESI RN V1 LATESTVERSION ) EXIT HESI EACH VERSION CONTAINS 55 QUESTIONS AND CORRECT ANSWERS|TEST BANK|AGRADE

  • Oscar

    Oscar

  • exam

2023 COMMUNITY HEALTH HESI RN V1 LATESTVERSION ) EXIT HESI EACH VERSION CONTAINS 55 QUESTIONS AND CORRECT ANSWERS|TEST...

18 USD

0

0

Complete Test Bank Radiographic Pathology for Technologists  8th Edition Kowalczyk Questions & Answers with rationales  (Chapter 1-12)
View Document

Complete Test Bank Radiographic Pathology for Technologists 8th Edition Kowalczyk Questions & Answers with rationales (Chapter 1-12)

  • Oscar

    Oscar

  • exam

Complete Test Bank Radiographic Pathology for Technologists 8th Edition Kowalczyk Questions & Answers with rationales ...

17 USD

0

0

TEST BANK FOR HESI OB Maternity Version 1 (V1) Verified Questions And Answers 2023 Guaranteed A+
View Document

TEST BANK FOR HESI OB Maternity Version 1 (V1) Verified Questions And Answers 2023 Guaranteed A+

  • Oscar

    Oscar

  • exam

TEST BANK FOR HESI OB Maternity Version 1 (V1) Verified Questions And Answers 2023 Guaranteed A+...

15 USD

0

0

TEST BANK For Psychological Testing: Principles, Applications, and Issues, 9th Edition By M. Kaplan.. Complete Chapters 1-21 Rated A+
View Document

TEST BANK For Psychological Testing: Principles, Applications, and Issues, 9th Edition By M. Kaplan.. Complete Chapters 1-21 Rated A+

  • Highergrades

    Highergrades

  • test bank

TEST BANK For Psychological Testing: Principles, Applications, and Issues, 9th Edition By M. Kaplan.. Complete Chapters ...

20 USD

0

0

Test Bank for Critical Care Nursing: A Holistic Approach 11th Edition Morton Fontaine [Chapter 1-56] Complete
View Document

Test Bank for Critical Care Nursing: A Holistic Approach 11th Edition Morton Fontaine [Chapter 1-56] Complete

  • Highergrades

    Highergrades

  • test bank

Test Bank for Critical Care Nursing: A Holistic Approach 11th Edition Morton Fontaine [Chapter 1-56] Complete...

17 USD

0

0

Test Bank for Radiologic Science for Technologists 12th Edition by Bushong Chapter 1-40 [Latest Update 2024] Rated A+
View Document

Test Bank for Radiologic Science for Technologists 12th Edition by Bushong Chapter 1-40 [Latest Update 2024] Rated A+

  • Highergrades

    Highergrades

  • test bank

Test Bank for Radiologic Science for Technologists 12th Edition by Bushong Chapter 1-40 [Latest Update 2024] Rated A+...

16 USD

0

0

Test Bank Lilleys Pharmacology for Canadian Health Care Practice 4th Edition Sealock Questions & Verified Answers with rationales (Chapter 1-58)  Latest Update 2024
View Document

Test Bank Lilleys Pharmacology for Canadian Health Care Practice 4th Edition Sealock Questions & Verified Answers with rationales (Chapter 1-58) Latest Update 2024

  • Highergrades

    Highergrades

  • test bank

Test Bank Lilleys Pharmacology for Canadian Health Care Practice 4th Edition Sealock Questions & Verified Answers with r...

20 USD

0

0

ANATOMY AND PHYSIOLOGY OPENSTAX TEST BANK Openstax Anatomy and Physiology Test Bank
View Document

ANATOMY AND PHYSIOLOGY OPENSTAX TEST BANK Openstax Anatomy and Physiology Test Bank

  • Hp24

    Hp24

  • test bank

ANATOMY AND PHYSIOLOGY OPENSTAX TEST BANK Openstax Anatomy and Physiology Test Bank...

15 USD

0

0

Brunner Test Bank 15th Edition:  Textbook of Medical Surgical Nursing Updated 2024
View Document

Brunner Test Bank 15th Edition: Textbook of Medical Surgical Nursing Updated 2024

  • Opati-Kaka

    Opati-Kaka

  • test bank

Test Bank for Brunner and Suddarth's Textbook of Medical-Surgical Nursing, 15th Edition: Master complex nursing concepts...

18 USD

0

0

Ross-Kerr and Wood’s Test Bank For Canadian Nursing Issues And Perspectives 6th Edition By McCleary
View Document

Ross-Kerr and Wood’s Test Bank For Canadian Nursing Issues And Perspectives 6th Edition By McCleary

  • GradeA

    GradeA

  • test bank

Ross-Kerr and Wood’s Test Bank For Canadian Nursing Issues And Perspectives 6th Edition By McCleary...

18 USD

0

0

Test Bank for Understanding Pathophysiology 6th Edition by Sue E. Huether, Kathryn L. McCance  (Complete Chapters & Rationales)
View Document

Test Bank for Understanding Pathophysiology 6th Edition by Sue E. Huether, Kathryn L. McCance (Complete Chapters & Rationales)

  • Highergrades

    Highergrades

  • study guide

Test Bank for Understanding Pathophysiology 6th Edition by Sue E. Huether, Kathryn L. McCance (Complete Chapters & Rati...

18 USD

0

0

Test bank for Paramedic Care Principles and Practice Volumes 1-5 5th edition by Bryan E Bledsoe, Robert S Porter, Richard A Cherry, Latest-Update
View Document

Test bank for Paramedic Care Principles and Practice Volumes 1-5 5th edition by Bryan E Bledsoe, Robert S Porter, Richard A Cherry, Latest-Update

  • Highergrades

    Highergrades

  • study guide

Test bank for Paramedic Care Principles and Practice Volumes 1-5 5th edition by Bryan E Bledsoe, Robert S Porter, Richar...

17 USD

0

0

Test Bank for: Management Information Systems: Managing the Digital Firm, 16th Edition by Kenneth C. Laudon, Jane P. Laudon. Complete Solutions 100% Rated A+
View Document

Test Bank for: Management Information Systems: Managing the Digital Firm, 16th Edition by Kenneth C. Laudon, Jane P. Laudon. Complete Solutions 100% Rated A+

  • Highergrades

    Highergrades

  • study guide

Test Bank for: Management Information Systems: Managing the Digital Firm, 16th Edition by Kenneth C. Laudon, Jane P. Lau...

16 USD

0

0

Test Bank for Abrams’ Clinical Drug Therapy Rationales for Nursing Practice 12th Edition Geralyn Frandsen ISBN, ISSN 9781975136130 Complete Chapters with Verified Answers
View Document

Test Bank for Abrams’ Clinical Drug Therapy Rationales for Nursing Practice 12th Edition Geralyn Frandsen ISBN, ISSN 9781975136130 Complete Chapters with Verified Answers

  • Highergrades

    Highergrades

  • study guide

Test Bank for Abrams’ Clinical Drug Therapy Rationales for Nursing Practice 12th Edition Geralyn Frandsen ISBN, ISSN 9...

18 USD

0

0

Test Bank for Medical Terminology: A Short Course, 9th Edition by Davi-Ellen Chabner | All Chapters Verified
View Document

Test Bank for Medical Terminology: A Short Course, 9th Edition by Davi-Ellen Chabner | All Chapters Verified

  • Highergrades

    Highergrades

  • study guide

Download Test Bank for Medical Terminology: A Short Course, 9th Edition by Davi-Ellen Chabner | All Chapters Verified...

17 USD

0

0

Test Bank for Auditing: A Practical Approach with Data Analytics 2nd Edition by Laura Davis Wiley, Raymond N. Johnson and Robyn Moroney ISBN- All Chapters 1-16 Rated A+
View Document

Test Bank for Auditing: A Practical Approach with Data Analytics 2nd Edition by Laura Davis Wiley, Raymond N. Johnson and Robyn Moroney ISBN- All Chapters 1-16 Rated A+

  • Highergrades

    Highergrades

  • study guide

Test Bank for Auditing: A Practical Approach with Data Analytics 2nd Edition by Laura Davis Wiley, Raymond N. Johnson an...

14 USD

0

1

Test Bank for Sensation and Perception, 9th Edition, E. Bruce Goldstein, ISBN-10: 1133958494, ISBN-13: 9781133958499 Verified Solutions
View Document

Test Bank for Sensation and Perception, 9th Edition, E. Bruce Goldstein, ISBN-10: 1133958494, ISBN-13: 9781133958499 Verified Solutions

  • Highergrades

    Highergrades

  • study guide

Test Bank for Sensation and Perception, 9th Edition, E. Bruce Goldstein, ISBN-10: 1133958494, ISBN-13: 9781133958499 Ver...

16 USD

0

0

ITEC 6030 FINAL  EXAM STUDY GUIDE QUESTIONS AND ANSWERS , EXPLANATIONS TEST BANK GRADE A+
View Document

ITEC 6030 FINAL EXAM STUDY GUIDE QUESTIONS AND ANSWERS , EXPLANATIONS TEST BANK GRADE A+

  • TITUS

    TITUS

  • questions & answers

ITEC 6030 FINAL EXAM STUDY GUIDE QUESTIONS AND ANSWERS , EXPLANATIONS TEST BANK GRADE A+...

20 USD

0

0

2024 CTR Exam Test Bank - Q & A, Complete Solutions
View Document

2024 CTR Exam Test Bank - Q & A, Complete Solutions

  • Jager

    Jager

  • questions & answers

2024 CTR Exam Test Bank - Q & A, Complete Solutions...

22 USD

0

0

Test Bank for: Management Information Systems:  Managing the Digital Firm, 16th Edition By Kenneth C.  Laudon, Jane P. Laudon. VERIFIED COMPLETE  ANSWERS
View Document

Test Bank for: Management Information Systems: Managing the Digital Firm, 16th Edition By Kenneth C. Laudon, Jane P. Laudon. VERIFIED COMPLETE ANSWERS

  • DYNAMICSCORES254

    DYNAMICSCORES254

  • exam

Test Bank for: Management Information Systems: Managing the Digital Firm, 16th Edition By Kenneth C. Laudon, Jane P. L...

25 USD

0

0

Test Bank For Abrams’ Clinical Drug Therapy Rationales for Nursing Practice 12th Edition (Version 2023,2024) Geralyn Frandsen ISBN, ISSN 9781975136130 VERIFIED ANSWERS COMPLETE.
View Document

Test Bank For Abrams’ Clinical Drug Therapy Rationales for Nursing Practice 12th Edition (Version 2023,2024) Geralyn Frandsen ISBN, ISSN 9781975136130 VERIFIED ANSWERS COMPLETE.

  • DYNAMICSCORES254

    DYNAMICSCORES254

  • exam

Test Bank For Abrams’ Clinical Drug Therapy Rationales for Nursing Practice 12th Edition (Version 2023,2024) Geralyn F...

25 USD

0

0

Test Bank For Medical Terminology: A Short Course 8th Edition By Chabner Verified Complete Answers
View Document

Test Bank For Medical Terminology: A Short Course 8th Edition By Chabner Verified Complete Answers

  • DYNAMICSCORES254

    DYNAMICSCORES254

  • exam

Test Bank For Medical Terminology: A Short Course 8th Edition By Chabner Verified Complete Answers...

16 USD

0

0

TEST BANK for Auditing: A Practical Approach with Data Analytics 2nd Edition by Laura Davis Wiley, Raymond N. Johnson and Robyn Moroney ISBN-. All Chapters 1-16 (Complete Download) VERIFIED  ANSWERS
View Document

TEST BANK for Auditing: A Practical Approach with Data Analytics 2nd Edition by Laura Davis Wiley, Raymond N. Johnson and Robyn Moroney ISBN-. All Chapters 1-16 (Complete Download) VERIFIED ANSWERS

  • DYNAMICSCORES254

    DYNAMICSCORES254

  • exam

TEST BANK for Auditing: A Practical Approach with Data Analytics 2nd Edition by Laura Davis Wiley, Raymond N. Johnson an...

24 USD

0

0

Test Bank for Sensation and Perception, 9th Edition, E. Bruce Goldstein, ISBN-10:  1133958494, ISBN-13:  9781133958499 VERIFIED   ANSWERS
View Document

Test Bank for Sensation and Perception, 9th Edition, E. Bruce Goldstein, ISBN-10: 1133958494, ISBN-13: 9781133958499 VERIFIED ANSWERS

  • DYNAMICSCORES254

    DYNAMICSCORES254

  • exam

Test Bank for Sensation and Perception, 9th Edition, E. Bruce Goldstein, ISBN-10: 1133958494, ISBN-13: 9781133958499 V...

30 USD

0

0

2023 ACTUAL FINAL HESI OB PEDS Exam Test BANK LATEST UPDATE GRADED A
View Document

2023 ACTUAL FINAL HESI OB PEDS Exam Test BANK LATEST UPDATE GRADED A

  • TITUS

    TITUS

  • questions & answers

2023 ACTUAL FINAL HESI OB PEDS Exam Test BANK LATEST UPDATE GRADED A...

21 USD

0

0

Test bank giddens concepts for nursing practice 3rd edition 2023-2024 Latest Update
View Document

Test bank giddens concepts for nursing practice 3rd edition 2023-2024 Latest Update

  • PHARMACIA

    PHARMACIA

  • exam

Test bank giddens concepts for nursing practice 3rd edition 2023-2024 Latest Update...

18 USD

0

0

Complete Test Bank for Karch's Focus on Nursing Pharmacology, 9th Edition by Amy Karch (Chapters 1–60) | Updated Guide
View Document

Complete Test Bank for Karch's Focus on Nursing Pharmacology, 9th Edition by Amy Karch (Chapters 1–60) | Updated Guide

  • mentor2000

    mentor2000

  • exam

Get Test Bank for Lippincott CoursePoint Enhanced for Tucker: Karch's Focus on Nursing Pharmacology 9th Edition by Rebec...

16 USD

0

0

Test bank for bates nursing guide to physical examination and history taking 3rd third edition 2023-2024 Latest Update
View Document

Test bank for bates nursing guide to physical examination and history taking 3rd third edition 2023-2024 Latest Update

  • PHARMACIA

    PHARMACIA

  • exam

Test bank for bates nursing guide to physical examination and history taking 3rd third edition 2023-2024 Latest Update...

18 USD

0

0

Test bank lehnes pharmacology for nursing care 11th edition by jacqueline burchum 2023-2024 Latest Update
View Document

Test bank lehnes pharmacology for nursing care 11th edition by jacqueline burchum 2023-2024 Latest Update

  • PHARMACIA

    PHARMACIA

  • exam

Test bank lehnes pharmacology for nursing care 11th edition by jacqueline burchum 2023-2024 Latest Update – Download P...

18 USD

0

0

Test bank Microbiology Fundamentals Clinical Approach 4th edition 2023-2024 Latest Update
View Document

Test bank Microbiology Fundamentals Clinical Approach 4th edition 2023-2024 Latest Update

  • PHARMACIA

    PHARMACIA

  • exam

Test bank Microbiology Fundamentals Clinical Approach 4th edition 2023-2024 Latest Update...

18 USD

0

0

Test bank olds maternal newborn nursing womens health across the lifespan 11th edition 2023-2024 Latest Update
View Document

Test bank olds maternal newborn nursing womens health across the lifespan 11th edition 2023-2024 Latest Update

  • PHARMACIA

    PHARMACIA

  • exam

Test bank olds maternal newborn nursing womens health across the lifespan 11th edition 2023-2024 Latest Update – Downl...

17 USD

0

0

Test bank introductory  maternity pediatric nursing 5th edition 2023-2024 Latest Update
View Document

Test bank introductory maternity pediatric nursing 5th edition 2023-2024 Latest Update

  • PHARMACIA

    PHARMACIA

  • exam

Test bank introductory maternity pediatric nursing 5th edition 2023-2024 Latest Update...

17 USD

0

0

Test bank for dental radiography principles and techniques 5th edition joen iannucci laura 2023-2024 Latest Update
View Document

Test bank for dental radiography principles and techniques 5th edition joen iannucci laura 2023-2024 Latest Update

  • PHARMACIA

    PHARMACIA

  • exam

Test bank for dental radiography principles and techniques 5th edition joen iannucci laura 2023-2024 Latest Update...

15 USD

0

0

Test bank for leadership roles and management functions in nursing 10th edition by be 2023-2024 Latest Update
View Document

Test bank for leadership roles and management functions in nursing 10th edition by be 2023-2024 Latest Update

  • PHARMACIA

    PHARMACIA

  • exam

Test bank for leadership roles and management functions in nursing 10th edition by be 2023-2024 Latest Update...

17 USD

0

0

Test Bank for Women’s Health A Primary Care Clinical Guide 6th Edition Youngkin Schadewald Pritham
View Document

Test Bank for Women’s Health A Primary Care Clinical Guide 6th Edition Youngkin Schadewald Pritham

  • Pasing-Grades

    Pasing-Grades

  • test bank

Test Bank for Women’s Health A Primary Care Clinical Guide 6th Edition Youngkin Schadewald Pritham...

17 USD

0

0

Test Bank Illustrated Dental Embryology Histology and Anatomy 6th Edition
View Document

Test Bank Illustrated Dental Embryology Histology and Anatomy 6th Edition

  • Pasing-Grades

    Pasing-Grades

  • test bank

Test Bank Illustrated Dental Embryology Histology and Anatomy 6th Edition...

17 USD

0

0

Test Bank Illustrated Dental Embryology Histology and Anatomy 5th Edition by Margaret Fehrenbach, Tracy Popowics
View Document

Test Bank Illustrated Dental Embryology Histology and Anatomy 5th Edition by Margaret Fehrenbach, Tracy Popowics

  • Pasing-Grades

    Pasing-Grades

  • test bank

Test Bank Illustrated Dental Embryology Histology and Anatomy 5th Edition by Margaret Fehrenbach, Tracy Popowics...

17 USD

0

0

Test Bank for Nursing Research Generating and Assessing Evidence for Nursing Practice
View Document

Test Bank for Nursing Research Generating and Assessing Evidence for Nursing Practice

  • Pasing-Grades

    Pasing-Grades

  • test bank

Test Bank for Nursing Research Generating and Assessing Evidence for Nursing Practice...

17 USD

0

0

Test Bank for Nursing Research Generating and Assessing Evidence for Nursing Practice 12th Edition By Denise Polit,  Cheryl Beck
View Document

Test Bank for Nursing Research Generating and Assessing Evidence for Nursing Practice 12th Edition By Denise Polit, Cheryl Beck

  • Pasing-Grades

    Pasing-Grades

  • test bank

Test Bank for Nursing Research Generating and Assessing Evidence for Nursing Practice 12th Edition By Denise Polit, Che...

17 USD

0

0

Test Bank for Davis Advantage for Pediatric Nursing Critical Components of Nursing Care 3rd Edition by Diane Rudd, Kathryn,  Kocisko
View Document

Test Bank for Davis Advantage for Pediatric Nursing Critical Components of Nursing Care 3rd Edition by Diane Rudd, Kathryn, Kocisko

  • Pasing-Grades

    Pasing-Grades

  • test bank

Test Bank for Davis Advantage for Pediatric Nursing Critical Components of Nursing Care 3rd Edition by Diane Rudd, Kathr...

17 USD

0

0

TEST BANK FOR COGNITIVE NEUROSCIENCE THE BIOLOGY  OF THE MIND FIFTH EDITION BY MICHAEL GAZZANIGA,  RICHARD B IVRY, GEORGE R MANGUN |VERIFIED COMPLETE  CHAPTERS (Rated A+)
View Document

TEST BANK FOR COGNITIVE NEUROSCIENCE THE BIOLOGY OF THE MIND FIFTH EDITION BY MICHAEL GAZZANIGA, RICHARD B IVRY, GEORGE R MANGUN |VERIFIED COMPLETE CHAPTERS (Rated A+)

  • DYNAMICSCORES254

    DYNAMICSCORES254

  • exam

TEST BANK FOR COGNITIVE NEUROSCIENCE THE BIOLOGY OF THE MIND FIFTH EDITION BY MICHAEL GAZZANIGA, RICHARD B IVRY, GEORG...

12 USD

0

0

Test Bank for Public Health Nursing Population Centered Health Care in the Community 10th Edition by Lancaster & Stanhope, Complete Chapters 1-46,  VERIFIED COMPLETE SOLUTIONS Updated  2024 (Rated A+).
View Document

Test Bank for Public Health Nursing Population Centered Health Care in the Community 10th Edition by Lancaster & Stanhope, Complete Chapters 1-46, VERIFIED COMPLETE SOLUTIONS Updated 2024 (Rated A+).

  • DYNAMICSCORES254

    DYNAMICSCORES254

  • exam

Test Bank for Public Health Nursing Population Centered Health Care in the Community 10th Edition by Lancaster & Stanhop...

23 USD

0

0

Test Bank for Microbiology Fundamentals A Clinical  Approach, 4th Edition by Marjorie Kelly Cowan | Complete Chapters 1 - 22 VERIFIED COMPLETE SOLUTIONS  Updated| 2024
View Document

Test Bank for Microbiology Fundamentals A Clinical Approach, 4th Edition by Marjorie Kelly Cowan | Complete Chapters 1 - 22 VERIFIED COMPLETE SOLUTIONS Updated| 2024

  • DYNAMICSCORES254

    DYNAMICSCORES254

  • exam

Test Bank for Microbiology Fundamentals A Clinical Approach, 4th Edition by Marjorie Kelly Cowan | Complete Chapters 1 ...

24 USD

0

0

TEST BANK FOR COGNITIVE NEUROSCIENCE THE BIOLOGY OF THE MIND FIFTH EDITION BY MICHAEL GAZZANIGA, RICHARD B IVRY, GEORGE R MANGUN | COMPLETE CHAPTERS (Rated A+)
View Document

TEST BANK FOR COGNITIVE NEUROSCIENCE THE BIOLOGY OF THE MIND FIFTH EDITION BY MICHAEL GAZZANIGA, RICHARD B IVRY, GEORGE R MANGUN | COMPLETE CHAPTERS (Rated A+)

  • Highergrades

    Highergrades

  • questions & answers

TEST BANK FOR COGNITIVE NEUROSCIENCE THE BIOLOGY OF THE MIND FIFTH EDITION BY MICHAEL GAZZANIGA, RICHARD B IVRY, GEORGE ...

18 USD

0

0

Test Bank for Microbiology Fundamentals A Clinical Approach, 4th Edition by Marjorie Kelly Cowan | Complete Chapters 1 - 22 Updated| 2024
View Document

Test Bank for Microbiology Fundamentals A Clinical Approach, 4th Edition by Marjorie Kelly Cowan | Complete Chapters 1 - 22 Updated| 2024

  • Highergrades

    Highergrades

  • study guide

Test Bank for Microbiology Fundamentals A Clinical Approach, 4th Edition by Marjorie Kelly Cowan | Complete Chapters 1 -...

17 USD

0

0

Test Bank for Public Health Nursing Population- Centered Health Care in the Community 10th Edition by Lancaster & Stanhope, Complete Chapters 1-46, Updated 2024 (Rated A+).
View Document

Test Bank for Public Health Nursing Population- Centered Health Care in the Community 10th Edition by Lancaster & Stanhope, Complete Chapters 1-46, Updated 2024 (Rated A+).

  • Highergrades

    Highergrades

  • study guide

Test Bank for Public Health Nursing Population- Centered Health Care in the Community 10th Edition by Lancaster & Stanho...

20 USD

0

0

Test bank for leadership and nursing care management 7th edition by diane huber 2023-2024 Latest Update
View Document

Test bank for leadership and nursing care management 7th edition by diane huber 2023-2024 Latest Update

  • PHARMACIA

    PHARMACIA

  • exam

Test bank for leadership and nursing care management 7th edition by diane huber 2023-2024 Latest Update...

17 USD

0

0

Test bank human anatomy and physiology 12th global edition marieb 2023-2024 Latest Update
View Document

Test bank human anatomy and physiology 12th global edition marieb 2023-2024 Latest Update

  • PHARMACIA

    PHARMACIA

  • exam

Test bank human anatomy and physiology 12th global edition marieb 2023-2024 Latest Update...

17 USD

0

0

Test bank leadership roles and management functions in nursing theory and application 11th edition 2023-2024 Latest Update
View Document

Test bank leadership roles and management functions in nursing theory and application 11th edition 2023-2024 Latest Update

  • PHARMACIA

    PHARMACIA

  • exam

Test bank leadership roles and management functions in nursing theory and application 11th edition 2023-2024 Latest Upda...

177 USD

0

0

Test Bank for Davis Advantage for Townsend’s Essentials of Psychiatric Mental Health Nursing, 9th Edition – Latest Update | Verified Q&A
View Document

Test Bank for Davis Advantage for Townsend’s Essentials of Psychiatric Mental Health Nursing, 9th Edition – Latest Update | Verified Q&A

  • PHARMACIA

    PHARMACIA

  • exam

Test Bank for Davis Advantage for Townsend’s Essentials of Psychiatric Mental Health Nursing, 9th Edition – Latest U...

15 USD

0

0

Test bank for microbiology a systems approach 6th edition marjorie kelly cowan heidi smith 2023-2024 Latest Update
View Document

Test bank for microbiology a systems approach 6th edition marjorie kelly cowan heidi smith 2023-2024 Latest Update

  • PHARMACIA

    PHARMACIA

  • exam

Test bank for microbiology a systems approach 6th edition marjorie kelly cowan heidi smith 2023-2024 Latest Update...

17 USD

0

0

Test bank for primary care art and science of advanced practice nursing an interprofessional approach 2023-2024 Latest Update
View Document

Test bank for primary care art and science of advanced practice nursing an interprofessional approach 2023-2024 Latest Update

  • PHARMACIA

    PHARMACIA

  • exam

Test bank for primary care art and science of advanced practice nursing an interprofessional approach 2023-2024 Latest U...

17 USD

0

0

Test bank for quick and easy medical terminology 9th edition by leonard all chapters  2023-2024 Latest Update
View Document

Test bank for quick and easy medical terminology 9th edition by leonard all chapters 2023-2024 Latest Update

  • PHARMACIA

    PHARMACIA

  • exam

Test bank for quick and easy medical terminology 9th edition by leonard all chapters 2023-2024 Latest Update...

17 USD

0

0

Test bank pharmacology and the nursing process 9th edition linda lane lilley shelly  2023-2024 Latest Update
View Document

Test bank pharmacology and the nursing process 9th edition linda lane lilley shelly 2023-2024 Latest Update

  • PHARMACIA

    PHARMACIA

  • exam

Test bank pharmacology and the nursing process 9th edition linda lane lilley shelly 2023-2024 Latest Update...

17 USD

0

0

Test bank hams primary care geriatrics a case based approach 6th edition 2023-2024 Latest Update
View Document

Test bank hams primary care geriatrics a case based approach 6th edition 2023-2024 Latest Update

  • PHARMACIA

    PHARMACIA

  • test bank

Test bank hams primary care geriatrics a case based approach 6th edition 2023-2024 Latest Update – Download PDF...

17 USD

0

0

Test bank for pharmacology clear and simple a guide to drug classifications and dosage 4th Edition 2023-2024 Latest Update
View Document

Test bank for pharmacology clear and simple a guide to drug classifications and dosage 4th Edition 2023-2024 Latest Update

  • PHARMACIA

    PHARMACIA

  • test bank

Test bank for pharmacology clear and simple a guide to drug classifications and dosage 4th Edition 2023-2024 Latest Upda...

15 USD

0

0

Test bank berne and levy physiology 7th edition koeppen 2023-2024 Latest Update
View Document

Test bank berne and levy physiology 7th edition koeppen 2023-2024 Latest Update

  • PHARMACIA

    PHARMACIA

  • test bank

Test bank berne and levy physiology 7th edition koeppen 2023-2024 Latest Update...

17 USD

0

0

Test bank for community public health nursing 7th edition by mary a. nies melanie mcewen 2023-2024 Latest Update
View Document

Test bank for community public health nursing 7th edition by mary a. nies melanie mcewen 2023-2024 Latest Update

  • PHARMACIA

    PHARMACIA

  • test bank

Test bank for community public health nursing 7th edition by mary a. nies melanie mcewen 2023-2024 Latest Update...

17 USD

0

0

Test bank calculate with confidence 8th edition morris 2023-2024 Latest Update
View Document

Test bank calculate with confidence 8th edition morris 2023-2024 Latest Update

  • PHARMACIA

    PHARMACIA

  • test bank

Test bank calculate with confidence 8th edition morris 2023-2024 Latest Update – Download PDF...

17 USD

0

0

Test bank for ruppels manual of pulmonary function testing 11th edition by mottram 2023-2024 Latest Update
View Document

Test bank for ruppels manual of pulmonary function testing 11th edition by mottram 2023-2024 Latest Update

  • PHARMACIA

    PHARMACIA

  • test bank

Test bank for ruppels manual of pulmonary function testing 11th edition by mottram 2023-2024 Latest Update – Download ...

17 USD

0

0

Test bank for gray morris calculate with confidence 7th edition by deborah c. morris 2023-2024 Latest Update
View Document

Test bank for gray morris calculate with confidence 7th edition by deborah c. morris 2023-2024 Latest Update

  • PHARMACIA

    PHARMACIA

  • test bank

Test bank for gray morris calculate with confidence 7th edition by deborah c. morris 2023-2024 Latest Update...

17 USD

0

0

Test bank for brunner suddarths textbook of medical surgical nursing 15th edition hinkle 2025/2026 Latest Update
View Document

Test bank for brunner suddarths textbook of medical surgical nursing 15th edition hinkle 2025/2026 Latest Update

  • PHARMACIA

    PHARMACIA

  • test bank

Test bank for brunner suddarths textbook of medical surgical nursing 15th edition hinkle 2024/2025 Latest Update...

16 USD

0

0

Test bank pathophysiology the biologic basis for disease in adults and children 8th edition  2023-2024 Latest Update
View Document

Test bank pathophysiology the biologic basis for disease in adults and children 8th edition 2023-2024 Latest Update

  • PHARMACIA

    PHARMACIA

  • test bank

Test bank pathophysiology the biologic basis for disease in adults and children 8th edition 2023-2024 Latest Update...

17 USD

0

0

Test bank for canadian fundamentals of nursing 6th edition by potter all chapters 1_48 Latest Update
View Document

Test bank for canadian fundamentals of nursing 6th edition by potter all chapters 1_48 Latest Update

  • PHARMACIA

    PHARMACIA

  • test bank

Prepare for your nursing exams with the Test Bank for Canadian Fundamentals of Nursing, 6th Edition by Potter. Featuring...

17 USD

0

0

Complete Test Bank Radiation Protection in Medical  Radiography 9th Edition Sherer Questions & Answers with  rationales (Complete Chapters 1-16)VERIFIED ANSWERS  RATED A+
View Document

Complete Test Bank Radiation Protection in Medical Radiography 9th Edition Sherer Questions & Answers with rationales (Complete Chapters 1-16)VERIFIED ANSWERS RATED A+

  • DYNAMICSCORES254

    DYNAMICSCORES254

  • exam

Complete Test Bank Radiation Protection in Medical Radiography 9th Edition Sherer Questions & Answers with rationales ...

27 USD

0

0

TEST BANK: ESSENTIALS OF  PSYCHIATRIC MENTAL  HEALTH NURSING (5TH  EDITION BY VARCAROLIS) VEREIFIED ANSWERS
View Document

TEST BANK: ESSENTIALS OF PSYCHIATRIC MENTAL HEALTH NURSING (5TH EDITION BY VARCAROLIS) VEREIFIED ANSWERS

  • DYNAMICSCORES254

    DYNAMICSCORES254

  • exam

TEST BANK: ESSENTIALS OF PSYCHIATRIC MENTAL HEALTH NURSING (5TH EDITION BY VARCAROLIS) VEREIFIED ANSWERS...

24 USD

0

0

ATI TEAS 7 TEST BANK ON READING,  MATHEMATICS, SCIENCE, ENGLISH AND  LANGUAGE USAGE EXAMS WITH ANSWER  KEY AND EXPLANATIONS IN THE LAST  PAGES.  REAL EXAM QUESTIONS AND CORRECT  EXPLAINED ANSWERS  BEST COMPLETE PACKAGE FOR EXAM  PREPARATION  TOP GRADE SCORE GUARANTEE  DOWNLOAD TO SECURE A+ GRADE
View Document

ATI TEAS 7 TEST BANK ON READING, MATHEMATICS, SCIENCE, ENGLISH AND LANGUAGE USAGE EXAMS WITH ANSWER KEY AND EXPLANATIONS IN THE LAST PAGES. REAL EXAM QUESTIONS AND CORRECT EXPLAINED ANSWERS BEST COMPLETE PACKAGE FOR EXAM PREPARATION TOP GRADE SCORE GUARANTEE DOWNLOAD TO SECURE A+ GRADE

  • Maggie

    Maggie

  • ati

ATI TEAS 7 TEST BANK ON READING, MATHEMATICS, SCIENCE, ENGLISH AND LANGUAGE USAGE EXAMS WITH ANSWER KEY AND EXPLANATI...

23 USD

0

0

Test Bank for Leadership Roles and  Management Functions in Nursing  11th Edition by Bessie L Marquis &  Carol Huston Chapter 1-25|Complete  Rated A+ VERIFIED ANSWERS
View Document

Test Bank for Leadership Roles and Management Functions in Nursing 11th Edition by Bessie L Marquis & Carol Huston Chapter 1-25|Complete Rated A+ VERIFIED ANSWERS

  • DYNAMICSCORES254

    DYNAMICSCORES254

  • exam

Test Bank for Leadership Roles and Management Functions in Nursing 11th Edition by Bessie L Marquis & Carol Huston Ch...

24 USD

0

0

Test Bank for Basic Pharmacology for Nurses 18th Edition by Michelle Willihnganz, Bruce D. Clayton Chapter 1-48 VERIFIED ANSWERS
View Document

Test Bank for Basic Pharmacology for Nurses 18th Edition by Michelle Willihnganz, Bruce D. Clayton Chapter 1-48 VERIFIED ANSWERS

  • DYNAMICSCORES254

    DYNAMICSCORES254

  • exam

Test Bank for Basic Pharmacology for Nurses 18th Edition by Michelle Willihnganz, Bruce D. Clayton Chapter 1-48 VERIFIED...

24 USD

0

0

Complete Test Bank: Davis Advantage Basic Nursing: Thinking, Doing, and Caring 3rd Edition (Treas, Barnett, Smith) – Exam Prep Q&A
View Document

Complete Test Bank: Davis Advantage Basic Nursing: Thinking, Doing, and Caring 3rd Edition (Treas, Barnett, Smith) – Exam Prep Q&A

  • Maggie

    Maggie

  • test bank

Get the complete Davis Advantage Basic Nursing 3rd Edition Test Bank. 41 chapters, real exam-style questions, detailed a...

15 USD

0

0

COMPLETE TEST BANK ON CLINICAL  GUIDELINES IN PRIMARYCARE 4TH EDITION  REAL EXAM QUESTIONS WITH CORRECT  EXPLAINED ANSWERS  TOP GRADE SCORE GUARANTEE, A+  BEST FOR EXAM PREPARATION
View Document

COMPLETE TEST BANK ON CLINICAL GUIDELINES IN PRIMARYCARE 4TH EDITION REAL EXAM QUESTIONS WITH CORRECT EXPLAINED ANSWERS TOP GRADE SCORE GUARANTEE, A+ BEST FOR EXAM PREPARATION

  • Maggie

    Maggie

  • test bank

COMPLETE TEST BANK ON CLINICAL GUIDELINES IN PRIMARYCARE 4TH EDITION REAL EXAM QUESTIONS WITH CORRECT EXPLAINED ANSWE...

30 USD

0

0

COMPLETE TEST BANK FOR MICROBIOLOGY; AN  INTRODUCTION PLUS MASTERING  MICROBIOLOGY 13TH EDITION  REAL EXAM QUESTIONS AND CORRECT  ANSWERS  BEST FOR MICROBIOLOGY EXAM PREPARATION  TOP GRADE SCORE GUARANTEE, A+
View Document

COMPLETE TEST BANK FOR MICROBIOLOGY; AN INTRODUCTION PLUS MASTERING MICROBIOLOGY 13TH EDITION REAL EXAM QUESTIONS AND CORRECT ANSWERS BEST FOR MICROBIOLOGY EXAM PREPARATION TOP GRADE SCORE GUARANTEE, A+

  • Maggie

    Maggie

  • test bank

COMPLETE TEST BANK FOR MICROBIOLOGY; AN INTRODUCTION PLUS MASTERING MICROBIOLOGY 13TH EDITION REAL EXAM QUESTIONS AND...

30 USD

0

0

Bates nursing guide to physical examination and history taking 11th edition Test Bank | Complete Chapters| Rated A+
View Document

Bates nursing guide to physical examination and history taking 11th edition Test Bank | Complete Chapters| Rated A+

  • Highergrades

    Highergrades

  • study guide

Bates nursing guide to physical examination and history taking 11th edition Test Bank | Complete Chapters| Rated A+...

25 USD

0

0

Complete Test Bank Radiation Protection in Medical Radiography 9th Edition Sherer Questions & Answers with rationales (Complete Chapters 1-16) RATED A+
View Document

Complete Test Bank Radiation Protection in Medical Radiography 9th Edition Sherer Questions & Answers with rationales (Complete Chapters 1-16) RATED A+

  • Highergrades

    Highergrades

  • study guide

Complete Test Bank Radiation Protection in Medical Radiography 9th Edition Sherer Questions & Answers with rationales (C...

20 USD

0

0

Test Bank for Varcarolis Essentials of Psychiatric Mental Health Nursing 5th Edition Fosbre Complete Chapters 1-28 | Rated A+
View Document

Test Bank for Varcarolis Essentials of Psychiatric Mental Health Nursing 5th Edition Fosbre Complete Chapters 1-28 | Rated A+

  • Highergrades

    Highergrades

  • study guide

Test Bank for Varcarolis Essentials of Psychiatric Mental Health Nursing 5th Edition Fosbre Complete Chapters 1-28 | Rat...

18 USD

0

0

Test Bank for Leadership Roles and Management Functions in Nursing 11th Edition by Bessie L Marquis & Carol Huston Chapter 1-25|Complete Rated A+
View Document

Test Bank for Leadership Roles and Management Functions in Nursing 11th Edition by Bessie L Marquis & Carol Huston Chapter 1-25|Complete Rated A+

  • Highergrades

    Highergrades

  • study guide

Test Bank for Leadership Roles and Management Functions in Nursing 11th Edition by Bessie L Marquis & Carol Huston Chapt...

17 USD

0

0

Test Bank for Leadership Roles and Management Functions in Nursing 11th Edition by Bessie L Marquis & Carol Huston Chapter 1-25|Complete Rated A+
View Document

Test Bank for Leadership Roles and Management Functions in Nursing 11th Edition by Bessie L Marquis & Carol Huston Chapter 1-25|Complete Rated A+

  • Highergrades

    Highergrades

  • study guide

Test Bank for Leadership Roles and Management Functions in Nursing 11th Edition by Bessie L Marquis & Carol Huston Chapt...

20 USD

0

0

PN ATI COMPREHENSIVE PREDICTOR  FORM A,B,C 2023 TEST BANK GRADED  A+
View Document

PN ATI COMPREHENSIVE PREDICTOR FORM A,B,C 2023 TEST BANK GRADED A+

  • Alkseltzer

    Alkseltzer

  • exam

PN ATI COMPREHENSIVE PREDICTOR FORM A,B,C 2023 TEST BANK GRADED A+....

15 USD

0

0

COMPLETE COMMUNITY HEALTH NURSING TEST  BANK  A CANADIAN PERSPECTIVE, 5TH EDITION  STAMLER 2020  FROM CHAPTER 1 TO 33  REAL EXAM QUESTIONS AND CORRECT ANSWER  BEST TESTBANK ON COMMUNITY HEALTH FOR  EXAM PREPARATION  TOP RATED, GRADED A +
View Document

COMPLETE COMMUNITY HEALTH NURSING TEST BANK A CANADIAN PERSPECTIVE, 5TH EDITION STAMLER 2020 FROM CHAPTER 1 TO 33 REAL EXAM QUESTIONS AND CORRECT ANSWER BEST TESTBANK ON COMMUNITY HEALTH FOR EXAM PREPARATION TOP RATED, GRADED A +

  • Maggie

    Maggie

  • test bank

COMPLETE COMMUNITY HEALTH NURSING TEST BANK A CANADIAN PERSPECTIVE, 5TH EDITION STAMLER 2020 FROM CHAPTER 1 TO 33 R...

30 USD

0

0

CURRENT MEDICAL DIAGNOSIS AND TREATMENT STUDY GUIDE TEST BANKLATEST UPDATE 2023, 2024 TOP RATED, GRADED A+ ANSWER KEY AT THE END OF EACH CHAPTER
View Document

CURRENT MEDICAL DIAGNOSIS AND TREATMENT STUDY GUIDE TEST BANKLATEST UPDATE 2023, 2024 TOP RATED, GRADED A+ ANSWER KEY AT THE END OF EACH CHAPTER

  • Maggie

    Maggie

  • test bank

CURRENT MEDICAL DIAGNOSIS AND TREATMENT STUDY GUIDE TEST BANKLATEST UPDATE 2023, 2024 TOP RATED, GRADED A+ ANSWER KEY AT...

30 USD

0

0

COMPLETE TEST BANK ON ESSENTIALS  OF PSYCHIATRIC MENTAL HEALTH  NURSING 8TH EDITION  CONCEPTS OF CARE IN EVIDENCE BASED  PRACTICE 8TH EDITION MORGAN  TOWNSEND TESTBANK
View Document

COMPLETE TEST BANK ON ESSENTIALS OF PSYCHIATRIC MENTAL HEALTH NURSING 8TH EDITION CONCEPTS OF CARE IN EVIDENCE BASED PRACTICE 8TH EDITION MORGAN TOWNSEND TESTBANK

  • Maggie

    Maggie

  • test bank

COMPLETE TEST BANK ON ESSENTIALS OF PSYCHIATRIC MENTAL HEALTH NURSING 8TH EDITION CONCEPTS OF CARE IN EVIDENCE BASED ...

30 USD

0

0

HESI HEALTH ASSESSMENT 2022- 2024 TEST BANK REAL EXAM  QUESTIONS AND ANSWERS 100%  CORRECT.100% SUCCESS  GUARANTEE, GRADED A+
View Document

HESI HEALTH ASSESSMENT 2022- 2024 TEST BANK REAL EXAM QUESTIONS AND ANSWERS 100% CORRECT.100% SUCCESS GUARANTEE, GRADED A+

  • Maggie

    Maggie

  • hesi

HESI HEALTH ASSESSMENT 2022- 2024 TEST BANK REAL EXAM QUESTIONS AND ANSWERS 100% CORRECT.100% SUCCESS GUARANTEE, GRAD...

23 USD

0

0

ATI PN MATERNAL NEWBORN PROTOCORED EXAM  TEST BANK  COMPLETE PN ATI MATERNAL NEWBORN  PROTOCORED TEST BANK  30 LATEST UPDATED VERSIONS  REAL EXAM QUESTIONS AND CORRECT ANSWERS  TOP RATED, 100% SUCCESS GUARANTEE, GRADED  A+  BEST DOCUMENT FOR MATERNAL NEWBORN EXAM  PREPARATION
View Document

ATI PN MATERNAL NEWBORN PROTOCORED EXAM TEST BANK COMPLETE PN ATI MATERNAL NEWBORN PROTOCORED TEST BANK 30 LATEST UPDATED VERSIONS REAL EXAM QUESTIONS AND CORRECT ANSWERS TOP RATED, 100% SUCCESS GUARANTEE, GRADED A+ BEST DOCUMENT FOR MATERNAL NEWBORN EXAM PREPARATION

  • Maggie

    Maggie

  • ati

ATI PN MATERNAL NEWBORN PROTOCORED EXAM TEST BANK COMPLETE PN ATI MATERNAL NEWBORN PROTOCORED TEST BANK 30 LATEST UP...

28 USD

0

0

HESI RN EXIT CRITICAL CARE TEST BANK  LATEST UPDATE 2023, 2024  EXAM QUESTIONS AND CORRECT ANSWERS  WITH RATIONALE  TOP GRADE SCORE GUARANTEE, GRADED  A+
View Document

HESI RN EXIT CRITICAL CARE TEST BANK LATEST UPDATE 2023, 2024 EXAM QUESTIONS AND CORRECT ANSWERS WITH RATIONALE TOP GRADE SCORE GUARANTEE, GRADED A+

  • Maggie

    Maggie

  • hesi

HESI RN EXIT CRITICAL CARE TEST BANK LATEST UPDATE 2023, 2024 EXAM QUESTIONS AND CORRECT ANSWERS WITH RATIONALE TOP ...

17 USD

0

0

HESI RN MENTAL HEALTH V1- V3 2022  TEST BANK EXAM LATEST UPDATE  EXAM QUESTIONS AND CORRECT  ANSWERS  TOP GRADE SCORE GUARANTEE, GRADED  A+
View Document

HESI RN MENTAL HEALTH V1- V3 2022 TEST BANK EXAM LATEST UPDATE EXAM QUESTIONS AND CORRECT ANSWERS TOP GRADE SCORE GUARANTEE, GRADED A+

  • Maggie

    Maggie

  • hesi

HESI RN MENTAL HEALTH V1- V3 2022 TEST BANK EXAM LATEST UPDATE EXAM QUESTIONS AND CORRECT ANSWERS TOP GRADE SCORE GU...

17 USD

0

0

NCLEX PHARMACOLOGY TEST BANK 11TH EDITION BY MC CUISTION  ACTUAL EXAM QUESTIONS AND 100% CORRECT ANSWERS TOP GRADE GUARANTEE WIDE COVER PHARMACOLOGY.
View Document

NCLEX PHARMACOLOGY TEST BANK 11TH EDITION BY MC CUISTION ACTUAL EXAM QUESTIONS AND 100% CORRECT ANSWERS TOP GRADE GUARANTEE WIDE COVER PHARMACOLOGY.

  • Maggie

    Maggie

  • nclex

NCLEX PHARMACOLOGY TEST BANK 11TH EDITION BY MC CUISTION ACTUAL EXAM QUESTIONS AND 100% CORRECT ANSWERS TOP GRADE GUARA...

25 USD

0

0

Test bank advanced practice nursing in the care of older adults 2nd edition kennedy malone Latest Update
View Document

Test bank advanced practice nursing in the care of older adults 2nd edition kennedy malone Latest Update

  • PHARMACIA

    PHARMACIA

  • test bank

Test bank advanced practice nursing in the care of older adults 2nd edition kennedy malone Latest Update...

17 USD

0

0

Test bank theory and practice of counseling and psychotherapy 11th edition by gerald 2023-2024 Latest Update
View Document

Test bank theory and practice of counseling and psychotherapy 11th edition by gerald 2023-2024 Latest Update

  • PHARMACIA

    PHARMACIA

  • test bank

Test bank theory and practice of counseling and psychotherapy 11th edition by gerald 2023-2024 Latest Update...

17 USD

0

0

Test bank using understanding mathematics a quantitative reasoning approach 2023-2024 Latest Update
View Document

Test bank using understanding mathematics a quantitative reasoning approach 2023-2024 Latest Update

  • PHARMACIA

    PHARMACIA

  • test bank

Test bank using understanding mathematics a quantitative reasoning approach 2023-2024 Latest Update...

17 USD

0

0

Test bank for abrams clinical drug therapy rationales for nursing practice 12th edition 2023-2024 Latest Update
View Document

Test bank for abrams clinical drug therapy rationales for nursing practice 12th edition 2023-2024 Latest Update

  • PHARMACIA

    PHARMACIA

  • test bank

Test bank for abrams clinical drug therapy rationales for nursing practice 12th edition 2023-2024 Latest Update...

17 USD

0

0

Test bank for lewis medical surgical 10th edition 2023-2024 Latest Update
View Document

Test bank for lewis medical surgical 10th edition 2023-2024 Latest Update

  • PHARMACIA

    PHARMACIA

  • test bank

Test bank for lewis medical surgical 10th edition 2023-2024 Latest Update...

17 USD

0

0

Test bank for mis 10th edition hossein bidgoli 2023-2024 Latest Update
View Document

Test bank for mis 10th edition hossein bidgoli 2023-2024 Latest Update

  • PHARMACIA

    PHARMACIA

  • test bank

Test bank for mis 10th edition hossein bidgoli 2023-2024 Latest Update...

17 USD

0

0

Test Bank for deWit’s Fundamental Concepts and Skills for Nursing (6th Edition) | Complete & Verified | All Chapters Included
View Document

Test Bank for deWit’s Fundamental Concepts and Skills for Nursing (6th Edition) | Complete & Verified | All Chapters Included

  • PHARMACIA

    PHARMACIA

  • test bank

Comprehensive test bank for deWit’s Fundamental Concepts and Skills for Nursing (6th Edition) by Patricia A. Williams....

17 USD

0

0

Test bank for maternal child nursing care 7th edition by shannon 2023-2024 Latest Update
View Document

Test bank for maternal child nursing care 7th edition by shannon 2023-2024 Latest Update

  • PHARMACIA

    PHARMACIA

  • test bank

Test bank for maternal child nursing care 7th edition by shannon 2023-2024 Latest Update...

17 USD

0

0

Test Bank for Accounting Principles, Volume 1, 8th Canadian Edition Jerry J. Weygandt, Donald E. Kieso
View Document

Test Bank for Accounting Principles, Volume 1, 8th Canadian Edition Jerry J. Weygandt, Donald E. Kieso

  • mentor2000

    mentor2000

  • test bank

Test Bank for Accounting Principles, Volume 1, 8th Canadian Edition Jerry J. Weygandt, Donald E. Kieso...

17 USD

0

0

Test Bank for Biostatistics for the Biological and Health Sciences, 2nd Edition by Triola
View Document

Test Bank for Biostatistics for the Biological and Health Sciences, 2nd Edition by Triola

  • Opati-Kaka

    Opati-Kaka

  • test bank

Test Bank for Biostatistics for the Biological and Health Sciences, 2nd Edition by Triola...

15 USD

0

0

Test Bank for Prescotts Microbiology 1 1th Edition by Willey (Complete Chapters) Verified ANSWERS
View Document

Test Bank for Prescotts Microbiology 1 1th Edition by Willey (Complete Chapters) Verified ANSWERS

  • DYNAMICSCORES254

    DYNAMICSCORES254

  • exam

Test Bank for Prescotts Microbiology 1 1th Edition by Willey (Complete Chapters) Verified ANSWERS...

36 USD

0

0

Primary Care: Art and Science of Advanced Practice Nursing - An  Interprofessional Approach 5th edition  Dunphy Test Bank  | Complete Chapters| VERIFIED  ANSWERS
View Document

Primary Care: Art and Science of Advanced Practice Nursing - An Interprofessional Approach 5th edition Dunphy Test Bank | Complete Chapters| VERIFIED ANSWERS

  • DYNAMICSCORES254

    DYNAMICSCORES254

  • exam

Primary Care: Art and Science of Advanced Practice Nursing - An Interprofessional Approach 5th edition Dunphy Test Ban...

25 USD

0

0

Test Bank for Varcarolis Essentials of Psychiatric Mental Health Nursing 5th Edition Fosbre-latest  version (All Chapters 1 -28) VERIFIED COMPLETE  SOLUTIONS
View Document

Test Bank for Varcarolis Essentials of Psychiatric Mental Health Nursing 5th Edition Fosbre-latest version (All Chapters 1 -28) VERIFIED COMPLETE SOLUTIONS

  • DYNAMICSCORES254

    DYNAMICSCORES254

  • exam

Test Bank for Varcarolis Essentials of Psychiatric Mental Health Nursing 5th Edition Fosbre-latest version (All Chapter...

32 USD

0

0

Test bank pathophysiology 7th edition by mccance 2023-2024 Latest Update
View Document

Test bank pathophysiology 7th edition by mccance 2023-2024 Latest Update

  • PHARMACIA

    PHARMACIA

  • test bank

Test bank pathophysiology 7th edition by mccance 2023-2024 Latest Update...

17 USD

0

0

Test Bank for Prescotts Microbiology 11th Edition by Willey
View Document

Test Bank for Prescotts Microbiology 11th Edition by Willey

  • Highergrades

    Highergrades

  • study guide

Test Bank for Prescotts Microbiology 11th Edition by Willey...

15 USD

0

0

Test bank nursing leadership management and professional practice for the lpnlvn 7th edition 2023-2024 Latest Update
View Document

Test bank nursing leadership management and professional practice for the lpnlvn 7th edition 2023-2024 Latest Update

  • PHARMACIA

    PHARMACIA

  • test bank

Test bank nursing leadership management and professional practice for the lpnlvn 7th edition 2023-2024 Latest Update...

17 USD

0

0

Test bank pathophysiology introductory concepts and clinical perspectives 2nd edition 2023-2024 Latest Update
View Document

Test bank pathophysiology introductory concepts and clinical perspectives 2nd edition 2023-2024 Latest Update

  • PHARMACIA

    PHARMACIA

  • test bank

Test bank pathophysiology introductory concepts and clinical perspectives 2nd edition 2023-2024 Latest Update...

17 USD

0

0

Primary Care: Art and Science of Advanced Practice Nursing - An Interprofessional Approach 5th edition Dunphy Test Bank  | Complete Chapters| Rated A+
View Document

Primary Care: Art and Science of Advanced Practice Nursing - An Interprofessional Approach 5th edition Dunphy Test Bank | Complete Chapters| Rated A+

  • Highergrades

    Highergrades

  • study guide

Primary Care: Art and Science of Advanced Practice Nursing - An Interprofessional Approach 5th edition Dunphy Test Bank ...

17 USD

0

0

Test bank nursing delegation and management of patient care 2nd edition by kathleen 2023-2024 Latest Update
View Document

Test bank nursing delegation and management of patient care 2nd edition by kathleen 2023-2024 Latest Update

  • PHARMACIA

    PHARMACIA

  • test bank

Test bank nursing delegation and management of patient care 2nd edition by kathleen 2023-2024 Latest Update...

17 USD

0

0

Test Bank Focus on Nursing Pharmacology 8th Edition by Amy Karch - Chapter1-50
View Document

Test Bank Focus on Nursing Pharmacology 8th Edition by Amy Karch - Chapter1-50

  • Highergrades

    Highergrades

  • study guide

Test Bank Focus on Nursing Pharmacology 8th Edition by Amy Karch - Chapter1-50...

16 USD

0

0

Test Bank for Ebersole and Hess Gerontological Nursing and Healthy Aging 6th Edition Latest Update
View Document

Test Bank for Ebersole and Hess Gerontological Nursing and Healthy Aging 6th Edition Latest Update

  • PHARMACIA

    PHARMACIA

  • test bank

Test bank for ebersole and hess gerontological nursing and healthy aging 6th edition. Includes 28 chapters of exam quest...

15 USD

0

0

Test Bank for Varcarolis Essentials of Psychiatric Mental Health Nursing 5th Edition Fosbre-latest version
View Document

Test Bank for Varcarolis Essentials of Psychiatric Mental Health Nursing 5th Edition Fosbre-latest version

  • Highergrades

    Highergrades

  • study guide

Test Bank for Varcarolis Essentials of Psychiatric Mental Health Nursing 5th Edition Fosbre-latest version...

17 USD

0

0

Test bank maternity womens health care 12th edition 2023-2024 Latest Update
View Document

Test bank maternity womens health care 12th edition 2023-2024 Latest Update

  • PHARMACIA

    PHARMACIA

  • test bank

Test bank maternity womens health care 12th edition 2023-2024 Latest Update – Download PDF...

17 USD

0

0

Test bank davis advantage for medical surgical nursing making connections to practice 2nd edition 2023-2024 Latest Update
View Document

Test bank davis advantage for medical surgical nursing making connections to practice 2nd edition 2023-2024 Latest Update

  • PHARMACIA

    PHARMACIA

  • test bank

Test bank davis advantage for medical surgical nursing making connections to practice 2nd edition 2023-2024 Latest Updat...

17 USD

0

0

Test bank lehnes pharmacotherapeutics for advanced practice nurses and physician assistants 2023-2024 Latest Update
View Document

Test bank lehnes pharmacotherapeutics for advanced practice nurses and physician assistants 2023-2024 Latest Update

  • PHARMACIA

    PHARMACIA

  • test bank

Test bank lehnes pharmacotherapeutics for advanced practice nurses and physician assistants 2023-2024 Latest Update – ...

17 USD

0

0

Test bank nutritional foundations and clinical applications 8th edition 2023-2024 Latest Update
View Document

Test bank nutritional foundations and clinical applications 8th edition 2023-2024 Latest Update

  • PHARMACIA

    PHARMACIA

  • test bank

Test bank nutritional foundations and clinical applications 8th edition 2023-2024 Latest Update...

17 USD

0

0

Test bank for pediatric primary care 6th edition 2023-2024 Latest Update
View Document

Test bank for pediatric primary care 6th edition 2023-2024 Latest Update

  • PHARMACIA

    PHARMACIA

  • test bank

Test bank for pediatric primary care 6th edition 2023-2024 Latest Update...

17 USD

0

0

Psychopharmacology Drugs  the Brain And Behavior 3rd Edition meyer Nursing Test  Bank VERIFIED  ANSWERS
View Document

Psychopharmacology Drugs the Brain And Behavior 3rd Edition meyer Nursing Test Bank VERIFIED ANSWERS

  • DYNAMICSCORES254

    DYNAMICSCORES254

  • exam

Psychopharmacology Drugs the Brain And Behavior 3rd Edition meyer Nursing Test Bank VERIFIED ANSWERS – Download PDF...

15 USD

0

0

VERIFIED TEST BANK FOR MEDICAL SURGICAL NURSING 2ND EDITION BY  HOFFMAN 2023,2024  COMPLETE
View Document

VERIFIED TEST BANK FOR MEDICAL SURGICAL NURSING 2ND EDITION BY HOFFMAN 2023,2024 COMPLETE

  • DYNAMICSCORES254

    DYNAMICSCORES254

  • exam

VERIFIED TEST BANK FOR MEDICAL SURGICAL NURSING 2ND EDITION BY HOFFMAN 2023,2024 COMPLETE...

34 USD

0

0

VERIFIED TEST BANK FOR NURSING RESEARCH IN CANADA, 4TH EDITION  2023,2024 by Mina Singh, RN, RP, BSc, BScN MEd, PhD, I-FCNEI, Cherylyn Cameron, RN, PhD, Geri LoBiondo-Wood, PhD, RN, FAAN and Judith Haber, PhD, RN, FAAN
View Document

VERIFIED TEST BANK FOR NURSING RESEARCH IN CANADA, 4TH EDITION 2023,2024 by Mina Singh, RN, RP, BSc, BScN MEd, PhD, I-FCNEI, Cherylyn Cameron, RN, PhD, Geri LoBiondo-Wood, PhD, RN, FAAN and Judith Haber, PhD, RN, FAAN

  • DYNAMICSCORES254

    DYNAMICSCORES254

  • exam

VERIFIED TEST BANK FOR NURSING RESEARCH IN CANADA, 4TH EDITION 2023,2024 by Mina Singh, RN, RP, BSc, BScN MEd, PhD, I-F...

16 USD

0

0

BEST REVIEW Test Bank for Neuroscience  6th Edition by DalePurves: a comprehensive study guide 2023,2024  VERIFIED CORRECT  ANSWERS
View Document

BEST REVIEW Test Bank for Neuroscience 6th Edition by DalePurves: a comprehensive study guide 2023,2024 VERIFIED CORRECT ANSWERS

  • DYNAMICSCORES254

    DYNAMICSCORES254

  • exam

BEST REVIEW Test Bank for Neuroscience 6th Edition by DalePurves: a comprehensive study guide 2023,2024 VERIFIED CORRE...

30 USD

0

0

Test Bank for Fundamentals of Nursing: Active Learning for Collaborative Practice, 3rd Edition (Yoost, 2023)
View Document

Test Bank for Fundamentals of Nursing: Active Learning for Collaborative Practice, 3rd Edition (Yoost, 2023)

  • DYNAMICSCORES254

    DYNAMICSCORES254

  • exam

Get the Test Bank for Fundamentals of Nursing: Active Learning for Collaborative Practice, 3rd Edition by Yoost (2023). ...

16 USD

0

0

2023,2024 Test Bank for  Community Public  Health Nursing 7th  Edition Mary A. Nies & Melanie McEwen
View Document

2023,2024 Test Bank for Community Public Health Nursing 7th Edition Mary A. Nies & Melanie McEwen

  • DYNAMICSCORES254

    DYNAMICSCORES254

  • exam

2023,2024 Test Bank for Community Public Health Nursing 7th Edition Mary A. Nies & Melanie McEwen...

32 USD

0

0

2023,2024 PSYC 3140 Abnormal Psychology Test Bank (answered)
View Document

2023,2024 PSYC 3140 Abnormal Psychology Test Bank (answered)

  • DYNAMICSCORES254

    DYNAMICSCORES254

  • exam

2023,2024 PSYC 3140 Abnormal Psychology Test Bank (answered)...

13 USD

0

0

Test Bank for Ethical Obligations and Decision-Making in  Accounting Text and Cases 6th Edition By Steven Mintz,  William Miller VERIFIED CORRECT
View Document

Test Bank for Ethical Obligations and Decision-Making in Accounting Text and Cases 6th Edition By Steven Mintz, William Miller VERIFIED CORRECT

  • DYNAMICSCORES254

    DYNAMICSCORES254

  • exam

Test Bank for Ethical Obligations and Decision-Making in Accounting Text and Cases 6th Edition By Steven Mintz, Willia...

28 USD

0

0

Test Bank Claytons Basic Pharmacology for  Nurses 19th Edition Willihnganz Chapter 1 - 48  Updated
View Document

Test Bank Claytons Basic Pharmacology for Nurses 19th Edition Willihnganz Chapter 1 - 48 Updated

  • DYNAMICSCORES254

    DYNAMICSCORES254

  • exam

Test Bank Claytons Basic Pharmacology for Nurses 19th Edition Willihnganz Chapter 1 - 48 Updated...

18 USD

0

0

TEST BANK FOR The Role of the Public Accountant in the American Economy VERIFIED ANSWERS
View Document

TEST BANK FOR The Role of the Public Accountant in the American Economy VERIFIED ANSWERS

  • DYNAMICSCORES254

    DYNAMICSCORES254

  • exam

TEST BANK FOR The Role of the Public Accountant in the American Economy VERIFIED ANSWERS...

24 USD

0

0

ATI Med-Surg Test Banks
View Document

ATI Med-Surg Test Banks

  • Alkseltzer

    Alkseltzer

  • exam

ATI Med-Surg Test Banks...

23 USD

0

0

Fundamentals of Nursing 2nd Edition Yoost & Crawford  Test Bank
View Document

Fundamentals of Nursing 2nd Edition Yoost & Crawford Test Bank

  • Highergrades

    Highergrades

  • test bank

Fundamentals of Nursing 2nd Edition Yoost & Crawford Test Bank...

18 USD

0

0

Test Bank Fundamentals of Nursing Thinking Doing and Caring 4th Edition Volume 2 Wilkinson Treas
View Document

Test Bank Fundamentals of Nursing Thinking Doing and Caring 4th Edition Volume 2 Wilkinson Treas

  • Highergrades

    Highergrades

  • test bank

Test Bank Fundamentals of Nursing Thinking Doing and Caring 4th Edition Volume 2 Wilkinson Treas...

18 USD

0

0

FUNDAMENTALS OF NURSING 9TH EDITION  POTTER TEST BANK | ALL CHATERS WITH  RATIONALES VERIFIED ANSWERS
View Document

FUNDAMENTALS OF NURSING 9TH EDITION POTTER TEST BANK | ALL CHATERS WITH RATIONALES VERIFIED ANSWERS

  • DYNAMICSCORES254

    DYNAMICSCORES254

  • exam

FUNDAMENTALS OF NURSING 9TH EDITION POTTER TEST BANK | ALL CHATERS WITH RATIONALES VERIFIED ANSWERS...

27 USD

0

0

Fundamentals of Nursing 2nd Edition  Yoost & Crawford Test Bank | All  Chapters Covered VERIFIED  ANSWERS
View Document

Fundamentals of Nursing 2nd Edition Yoost & Crawford Test Bank | All Chapters Covered VERIFIED ANSWERS

  • DYNAMICSCORES254

    DYNAMICSCORES254

  • exam

Fundamentals of Nursing 2nd Edition Yoost & Crawford Test Bank | All Chapters Covered VERIFIED ANSWERS...

32 USD

0

0

Test Bank for Fundamentals of Nursing 10th  Edition Potter with Rationales  (Complete Chapters) VERIFIED ANSWERS
View Document

Test Bank for Fundamentals of Nursing 10th Edition Potter with Rationales (Complete Chapters) VERIFIED ANSWERS

  • DYNAMICSCORES254

    DYNAMICSCORES254

  • exam

Test Bank for Fundamentals of Nursing 10th Edition Potter with Rationales (Complete Chapters) VERIFIED ANSWERS...

32 USD

0

0

TEST BANK Fundamentals of Nursing Thinking Doing and Caring 4th Edition Volume 2 Wilkinson Treas VERIFIED ANSWERS
View Document

TEST BANK Fundamentals of Nursing Thinking Doing and Caring 4th Edition Volume 2 Wilkinson Treas VERIFIED ANSWERS

  • DYNAMICSCORES254

    DYNAMICSCORES254

  • exam

TEST BANK Fundamentals of Nursing Thinking Doing and Caring 4th Edition Volume 2 Wilkinson Treas VERIFIED ANSWERS...

34 USD

0

0

TEST BANK Pharmacology and the Nursing Process 9th Edition Linda Lane Lilley, Shelly Rainforth Collins, Julie S. Snyder (Complete Chapters)-latest-VERIFIED ANSWERS
View Document

TEST BANK Pharmacology and the Nursing Process 9th Edition Linda Lane Lilley, Shelly Rainforth Collins, Julie S. Snyder (Complete Chapters)-latest-VERIFIED ANSWERS

  • DYNAMICSCORES254

    DYNAMICSCORES254

  • exam

TEST BANK Pharmacology and the Nursing Process 9th Edition Linda Lane Lilley, Shelly Rainforth Collins, Julie S. Snyder ...

28 USD

0

0

COMPLETE ATI RN LEADERSHIP  PROCTORED TEST BANK 2019 VERSION  1, 2,3,4,5 & 6 WITH VERIFIED 420 QUESTIONS WITH VERIFIED ANSWERS) VERIFIED ANSWERS
View Document

COMPLETE ATI RN LEADERSHIP PROCTORED TEST BANK 2019 VERSION 1, 2,3,4,5 & 6 WITH VERIFIED 420 QUESTIONS WITH VERIFIED ANSWERS) VERIFIED ANSWERS

  • DYNAMICSCORES254

    DYNAMICSCORES254

  • exam

COMPLETE ATI RN LEADERSHIP PROCTORED TEST BANK 2019 VERSION 1, 2,3,4,5 & 6 WITH VERIFIED 420 QUESTIONS WITH VERIFIED A...

45 USD

0

0

TEST BANK Pharmacology and the Nursing Process 9th Edition Linda Lane Lilley, Shelly Rainforth Collins, Julie S. Snyder (Complete Chapters)-latest-2026
View Document

TEST BANK Pharmacology and the Nursing Process 9th Edition Linda Lane Lilley, Shelly Rainforth Collins, Julie S. Snyder (Complete Chapters)-latest-2026

  • Highergrades

    Highergrades

  • study guide

TEST BANK Pharmacology and the Nursing Process 9th Edition Linda Lane Lilley, Shelly Rainforth Collins, Julie S. Snyder ...

15 USD

0

0

EMERGENCY CARE 14TH EDITION BY DANIEL LIMMER, MICHAEL F. OKEEFE AND EDWARD T. DICKINSON TEST BANK 100%VERIFIED ANSWERS  2023,2024)
View Document

EMERGENCY CARE 14TH EDITION BY DANIEL LIMMER, MICHAEL F. OKEEFE AND EDWARD T. DICKINSON TEST BANK 100%VERIFIED ANSWERS 2023,2024)

  • DYNAMICSCORES254

    DYNAMICSCORES254

  • test bank

EMERGENCY CARE 14TH EDITION BY DANIEL LIMMER, MICHAEL F. OKEEFE AND EDWARD T. DICKINSON TEST BANK 100%VERIFIED ANSWERS ...

30 USD

0

0

Radiographic Pathology for  Technologists 8th Edition  Kowalczyk Test Bank   VERIFIED ANSWERS  2023,2024
View Document

Radiographic Pathology for Technologists 8th Edition Kowalczyk Test Bank VERIFIED ANSWERS 2023,2024

  • DYNAMICSCORES254

    DYNAMICSCORES254

  • test bank

Radiographic Pathology for Technologists 8th Edition Kowalczyk Test Bank VERIFIED ANSWERS 2023,2024...

30 USD

0

0

Radiation Protection in Medical Radiography 8th Edition Sherer Test Bank 2023,2024 VERIFIED  ANSWERS
View Document

Radiation Protection in Medical Radiography 8th Edition Sherer Test Bank 2023,2024 VERIFIED ANSWERS

  • DYNAMICSCORES254

    DYNAMICSCORES254

  • test bank

Radiation Protection in Medical Radiography 8th Edition Sherer Test Bank 2023,2024 VERIFIED ANSWERS...

30 USD

0

0

TEST BANK FOR NURSING RESEARCH IN CANADA, 4TH EDITION by Mina Singh 2023,2024  VERIFIED  ANSWERS WITH  RATIONALES
View Document

TEST BANK FOR NURSING RESEARCH IN CANADA, 4TH EDITION by Mina Singh 2023,2024 VERIFIED ANSWERS WITH RATIONALES

  • DYNAMICSCORES254

    DYNAMICSCORES254

  • test bank

TEST BANK FOR NURSING RESEARCH IN CANADA, 4TH EDITION by Mina Singh 2023,2024 VERIFIED ANSWERS WITH RATIONALES...

30 USD

0

0

Comprehensive Test Bank for Neuroscience: Exploring the Brain, 4th Edition by Bear - Complete Verified Answer Key for Chapters 1-25
View Document

Comprehensive Test Bank for Neuroscience: Exploring the Brain, 4th Edition by Bear - Complete Verified Answer Key for Chapters 1-25

  • DYNAMICSCORES254

    DYNAMICSCORES254

  • test bank

Prepare thoroughly with the Comprehensive Test Bank for Neuroscience: Exploring the Brain, 4th Edition by Bear. Includes...

15 USD

0

0

TEST BANK LITTLE AND FALACES DENTAL MANAGEMENT OF THE MEDICALLY COMPROMISED PATIENT 9TH EDITION 2023,2024 VERIFIED ANSWERS  WITH RATIONALES
View Document

TEST BANK LITTLE AND FALACES DENTAL MANAGEMENT OF THE MEDICALLY COMPROMISED PATIENT 9TH EDITION 2023,2024 VERIFIED ANSWERS WITH RATIONALES

  • DYNAMICSCORES254

    DYNAMICSCORES254

  • test bank

TEST BANK LITTLE AND FALACES DENTAL MANAGEMENT OF THE MEDICALLY COMPROMISED PATIENT 9TH EDITION 2023,2024 VERIFIED ANSWE...

30 USD

0

0

TEST BANK PHILOSOPHIES AND THEORIES FOR ADVANCEDNURSING PRACTICE VERIFIED  ANSWERS 2023,2024
View Document

TEST BANK PHILOSOPHIES AND THEORIES FOR ADVANCEDNURSING PRACTICE VERIFIED ANSWERS 2023,2024

  • DYNAMICSCORES254

    DYNAMICSCORES254

  • test bank

TEST BANK PHILOSOPHIES AND THEORIES FOR ADVANCEDNURSING PRACTICE VERIFIED ANSWERS 2023,2024...

30 USD

0

0

Davis Advantage for Medical-Surgical Nursing: Making Connections to Practice 2nd edition Hoffman Sullivan Test Bank 2023,2024 VERIFIED ANSWERS
View Document

Davis Advantage for Medical-Surgical Nursing: Making Connections to Practice 2nd edition Hoffman Sullivan Test Bank 2023,2024 VERIFIED ANSWERS

  • DYNAMICSCORES254

    DYNAMICSCORES254

  • test bank

Davis Advantage for Medical-Surgical Nursing: Making Connections to Practice 2nd edition Hoffman Sullivan Test Bank 2023...

15 USD

0

0

Test Bank For Concepts For  Nursing Practice 3rd Edition By  Giddens All Chapters VERIFIED SOLUTIONS 2023,2024
View Document

Test Bank For Concepts For Nursing Practice 3rd Edition By Giddens All Chapters VERIFIED SOLUTIONS 2023,2024

  • DYNAMICSCORES254

    DYNAMICSCORES254

  • test bank

Test Bank For Concepts For Nursing Practice 3rd Edition By Giddens All Chapters VERIFIED SOLUTIONS 2023,2024...

30 USD

0

0

Complete Test Bank for Foundations of Mental Health Care, 8th Edition by Morrison-Valfre: Essential Study Resource for Mental Health Students
View Document

Complete Test Bank for Foundations of Mental Health Care, 8th Edition by Morrison-Valfre: Essential Study Resource for Mental Health Students

  • DYNAMICSCORES254

    DYNAMICSCORES254

  • test bank

Prepare for your mental health care exams with the Test Bank for Foundations of Mental Health Care, 8th Edition by Morri...

15 USD

0

0

Test Bank for NRCME 2025/2026 Actual Exam | 500+ Real Questions & Correct Expert-Verified Answers
View Document

Test Bank for NRCME 2025/2026 Actual Exam | 500+ Real Questions & Correct Expert-Verified Answers

  • shallo

    shallo

  • questions & answers

Get 350 real NRCME (DOT) exam questions with expert-verified answers & rationales. Updated for 2025/2026. Graded A+—st...

15 USD

0

1

Test Bank for Advanced Financial Accounting 13th Edition By Theodore Christensen
View Document

Test Bank for Advanced Financial Accounting 13th Edition By Theodore Christensen

  • shallo

    shallo

  • questions & answers

Test Bank for Advanced Financial Accounting 13th Edition By Theodore Christensen – Download PDF...

22 USD

0

0

Test bank for Leddy & Peppers Professional Nursing 10th Edition Hood
View Document

Test bank for Leddy & Peppers Professional Nursing 10th Edition Hood

  • shallo

    shallo

  • questions & answers

Test bank for Leddy & Peppers Professional Nursing 10th Edition Hood – Download PDF...

40 USD

0

0

Test bank for High Acuity Nursing 8th Edition Wagner Pierce Welsh
View Document

Test bank for High Acuity Nursing 8th Edition Wagner Pierce Welsh

  • shallo

    shallo

  • questions & answers

Test bank for High Acuity Nursing 8th Edition Wagner Pierce Welsh – Download PDF...

35 USD

0

0

Test Bank for Potter and Perrys Canadian Fundamentals of Nursing, 7th Edition by Astle |Complete Chapters RATED A
View Document

Test Bank for Potter and Perrys Canadian Fundamentals of Nursing, 7th Edition by Astle |Complete Chapters RATED A

  • DYNAMICSCORES254

    DYNAMICSCORES254

  • exam

Test Bank for Potter and Perrys Canadian Fundamentals of Nursing, 7th Edition by Astle |Complete Chapters RATED A – Do...

30 USD

0

0

TEST BANK Professional Nursing Concepts and Challenges, 10th Edition Beth Perry Black | Complete  Chapters
View Document

TEST BANK Professional Nursing Concepts and Challenges, 10th Edition Beth Perry Black | Complete Chapters

  • DYNAMICSCORES254

    DYNAMICSCORES254

  • exam

TEST BANK Professional Nursing Concepts and Challenges, 10th Edition Beth Perry Black | Complete Chapters...

24 USD

0

0

PHLS 450 EPIDEMIOLOGY MIDTERM EXAM | GORDIS EPIDEMIOLOGY 6TH EDITION CELENTANO TEST BANK | REAL EXAM QUESTIONS AND ANSWERS
View Document

PHLS 450 EPIDEMIOLOGY MIDTERM EXAM | GORDIS EPIDEMIOLOGY 6TH EDITION CELENTANO TEST BANK | REAL EXAM QUESTIONS AND ANSWERS

  • DYNAMICSCORES254

    DYNAMICSCORES254

  • exam

PHLS 450 EPIDEMIOLOGY MIDTERM EXAM | GORDIS EPIDEMIOLOGY 6TH EDITION CELENTANO TEST BANK | REAL EXAM QUESTIONS AND ANSWE...

20 USD

0

0

Nursing Research Generating andAssessing  Evidence for  Nursing Practice 11th  Edition  Polit Beck Test Bank With  Complete Chapters
View Document

Nursing Research Generating andAssessing Evidence for Nursing Practice 11th Edition Polit Beck Test Bank With Complete Chapters

  • DYNAMICSCORES254

    DYNAMICSCORES254

  • exam

Nursing Research Generating andAssessing Evidence for Nursing Practice 11th Edition Polit Beck Test Bank With Compl...

24 USD

0

0

TEST BANK KARP’S CELL & MOLECULAR BIOLOGY 9th Edition, Janet Iwasa | Wallace Marshall VERIFIED ANSWERS
View Document

TEST BANK KARP’S CELL & MOLECULAR BIOLOGY 9th Edition, Janet Iwasa | Wallace Marshall VERIFIED ANSWERS

  • DYNAMICSCORES254

    DYNAMICSCORES254

  • exam

TEST BANK KARP’S CELL & MOLECULAR BIOLOGY 9th Edition, Janet Iwasa | Wallace Marshall VERIFIED ANSWERS...

24 USD

0

0

Test bank for Physical Examination and Health Assessment 9th Edition by by Carolyn Jarvis and Ann L. Eckhardt ISBN: 9780323809849 All Chapters 1-32
View Document

Test bank for Physical Examination and Health Assessment 9th Edition by by Carolyn Jarvis and Ann L. Eckhardt ISBN: 9780323809849 All Chapters 1-32

  • mentor2000

    mentor2000

  • exam

Prepare for your health assessment exams with confidence! The test bank for Physical Examination and Health Assessment, ...

15 USD

0

1

TEST BANK FOR MEDICAL SURGICAL :CONCEPTS FOR INTERPROFFESSIONAL COLLABORATIVE CARE 9TH EDITION IGNATAVICIUS ALL CHAPTERS. VERIFIED SOLUTIONS
View Document

TEST BANK FOR MEDICAL SURGICAL :CONCEPTS FOR INTERPROFFESSIONAL COLLABORATIVE CARE 9TH EDITION IGNATAVICIUS ALL CHAPTERS. VERIFIED SOLUTIONS

  • DYNAMICSCORES254

    DYNAMICSCORES254

  • exam

TEST BANK FOR MEDICAL SURGICAL :CONCEPTS FOR INTERPROFFESSIONAL COLLABORATIVE CARE 9TH EDITION IGNATAVICIUS ALL CHAPTERS...

26 USD

0

0

TEST BANK Beckmann and Lings OBSTETRICS AND GYNECOLOGY 8th Edition By Dr. Robert Casanova VERIFIED CORRECT  ANSWERS
View Document

TEST BANK Beckmann and Lings OBSTETRICS AND GYNECOLOGY 8th Edition By Dr. Robert Casanova VERIFIED CORRECT ANSWERS

  • DYNAMICSCORES254

    DYNAMICSCORES254

  • exam

TEST BANK Beckmann and Lings OBSTETRICS AND GYNECOLOGY 8th Edition By Dr. Robert Casanova VERIFIED CORRECT ANSWERS – ...

26 USD

0

0

MIS Test Bank 10th Edition by Bidgoli All Chapters | Verified Answers
View Document

MIS Test Bank 10th Edition by Bidgoli All Chapters | Verified Answers

  • DYNAMICSCORES254

    DYNAMICSCORES254

  • exam

Access the comprehensive test bank for Management Information Systems, 10th Edition by Hossein Bidgoli. This resource in...

15 USD

0

0

Test Bank for Public, Community Health and Nursing Practice: Car- Ing For Populations, 2nd Edition, Christine L.Savage, All Chapters Isbn-10: 0803677111, ISBN-13: 9780803677111
View Document

Test Bank for Public, Community Health and Nursing Practice: Car- Ing For Populations, 2nd Edition, Christine L.Savage, All Chapters Isbn-10: 0803677111, ISBN-13: 9780803677111

  • DYNAMICSCORES254

    DYNAMICSCORES254

  • exam

Get a pdf copy of Test Bank for Public, Community Health and Nursing Practice: Car- Ing For Populations, 2nd Edition, Ch...

15 USD

0

0

TEST BANK FOR NURSING RESEARCH METHODS AND CRITICAL APPRAISAL FOR EVIDENCE BASED PRACTICE 9TH EDITION BY GERI LOBIONDO-WOOD, AND JUDITH HABER| VERIFIED ANSWERS 2023, 2024
View Document

TEST BANK FOR NURSING RESEARCH METHODS AND CRITICAL APPRAISAL FOR EVIDENCE BASED PRACTICE 9TH EDITION BY GERI LOBIONDO-WOOD, AND JUDITH HABER| VERIFIED ANSWERS 2023, 2024

  • DYNAMICSCORES254

    DYNAMICSCORES254

  • exam

TEST BANK FOR NURSING RESEARCH METHODS AND CRITICAL APPRAISAL FOR EVIDENCE BASED PRACTICE 9TH EDITION BY GERI LOBIONDO-W...

23 USD

0

0

TEST BANK  FOR Maternity  and Womens  HealthCare 13th Edition 2023,2024  WITH  RATIONALES
View Document

TEST BANK FOR Maternity and Womens HealthCare 13th Edition 2023,2024 WITH RATIONALES

  • DYNAMICSCORES254

    DYNAMICSCORES254

  • exam

TEST BANK FOR Maternity and Womens HealthCare 13th Edition 2023,2024 WITH RATIONALES – Download PDF...

27 USD

0

0

TNCC 9TH REAL EXAM ACTUAL VERIFIED EXAM TEST BANK  INCLUDES 3 TESTED VERSIONS OF THE EXAM WITH 50 MULTIPLE CHOICE QUESTIONS AND ANSWERS ALREADY GRADED A
View Document

TNCC 9TH REAL EXAM ACTUAL VERIFIED EXAM TEST BANK INCLUDES 3 TESTED VERSIONS OF THE EXAM WITH 50 MULTIPLE CHOICE QUESTIONS AND ANSWERS ALREADY GRADED A

  • SAMUEL

    SAMUEL

  • exam

TNCC 9TH REAL EXAM ACTUAL VERIFIED EXAM TEST BANK INCLUDES 3 TESTED VERSIONS OF THE EXAM WITH 50 MULTIPLE CHOICE QUESTI...

30 USD

0

0

TNCC 9TH REAL EXAM ACTUAL VERIFIED EXAM TEST BANK 50 QUESTIONS AND ANSWERS VERIFIED ANSWER ALREADY GRADED A
View Document

TNCC 9TH REAL EXAM ACTUAL VERIFIED EXAM TEST BANK 50 QUESTIONS AND ANSWERS VERIFIED ANSWER ALREADY GRADED A

  • SAMUEL

    SAMUEL

  • exam

TNCC 9TH REAL EXAM ACTUAL VERIFIED EXAM TEST BANK 50 QUESTIONS AND ANSWERS VERIFIED ANSWER ALREADY GRADED A...

30 USD

0

0

TNCC TEST 2023-2024 ACTUAL FINAL EXAM TEST BANK 300 QUESTIONS AND CORRET DETAILED ANSWERS WITH RATIONALES (VERIFIED ANSWERS) ALREADY GRADED A+
View Document

TNCC TEST 2023-2024 ACTUAL FINAL EXAM TEST BANK 300 QUESTIONS AND CORRET DETAILED ANSWERS WITH RATIONALES (VERIFIED ANSWERS) ALREADY GRADED A+

  • SAMUEL

    SAMUEL

  • ati proctored

TNCC TEST 2023-2024 ACTUAL FINAL EXAM TEST BANK 300 QUESTIONS AND CORRET DETAILED ANSWERS WITH RATIONALES (VERIFIED ANSW...

25 USD

0

0

TNCC TEST BANK COMPRISES ALL VERSIONS OF THE EXAM,STUDY GUIDES,REVIEWS AND ALL EDITIONS ALREADY A GRADED 2023-2024 UPDATE BRAND NEW
View Document

TNCC TEST BANK COMPRISES ALL VERSIONS OF THE EXAM,STUDY GUIDES,REVIEWS AND ALL EDITIONS ALREADY A GRADED 2023-2024 UPDATE BRAND NEW

  • SAMUEL

    SAMUEL

  • ati

TNCC TEST BANK COMPRISES ALL VERSIONS OF THE EXAM,STUDY GUIDES,REVIEWS AND ALL EDITIONS ALREADY A GRADED 2023-2024 UPDAT...

30 USD

0

0

Test Bank For Hamric & Hansons Advanced Practice Nursing  7th Edition By Mary Fran Tracy, Eilee Chapter 1-26 2023,2024  VERIFIED ANSWERS WITH RATIONALES
View Document

Test Bank For Hamric & Hansons Advanced Practice Nursing 7th Edition By Mary Fran Tracy, Eilee Chapter 1-26 2023,2024 VERIFIED ANSWERS WITH RATIONALES

  • DYNAMICSCORES254

    DYNAMICSCORES254

  • exam

Test Bank For Hamric & Hansons Advanced Practice Nursing 7th Edition By Mary Fran Tracy, Eilee Chapter 1-26 2023,2024 ...

24 USD

0

0

Test bank for community public health nursing 8th edition by mary 2023 Updated
View Document

Test bank for community public health nursing 8th edition by mary 2023 Updated

  • PHARMACIA

    PHARMACIA

  • test bank

Test bank for community public health nursing 8th edition by mary 2023 Updated...

17 USD

0

0

Test bank for clinical immunology and serology a laboratory perspective 4th edition christinees 2023 Updated
View Document

Test bank for clinical immunology and serology a laboratory perspective 4th edition christinees 2023 Updated

  • PHARMACIA

    PHARMACIA

  • test bank

Test bank for clinical immunology and serology a laboratory perspective 4th edition christinees 2023 Updated...

17 USD

0

0

Test bank for public community health and nursing practice 2023 Updated
View Document

Test bank for public community health and nursing practice 2023 Updated

  • PHARMACIA

    PHARMACIA

  • test bank

Test bank for public community health and nursing practice 2023 Updated...

17 USD

0

0

Test bank pediatric primary care 6th edition burns dunnbrady 2023 Updated
View Document

Test bank pediatric primary care 6th edition burns dunnbrady 2023 Updated

  • PHARMACIA

    PHARMACIA

  • test bank

Test bank pediatric primary care 6th edition burns dunnbrady 2023 Updated...

17 USD

0

0

Test bank medical surgical nursing 10th edition ignatavicius workman 2023 Updated
View Document

Test bank medical surgical nursing 10th edition ignatavicius workman 2023 Updated

  • PHARMACIA

    PHARMACIA

  • test bank

Test bank medical surgical nursing 10th edition ignatavicius workman 2023 Updated...

17 USD

0

0

Test bank for priorities in critical care nursing 9th edition linda d. urden kathleen m. stacy Updated
View Document

Test bank for priorities in critical care nursing 9th edition linda d. urden kathleen m. stacy Updated

  • PHARMACIA

    PHARMACIA

  • test bank

Prepare with the latest Test Bank for Critical Care Nursing: Diagnosis and Management 9th Edition By Linda D. Urden; Kat...

17 USD

0

0

Test bank psychology in your life 2023 Updated
View Document

Test bank psychology in your life 2023 Updated

  • PHARMACIA

    PHARMACIA

  • test bank

Test bank psychology in your life 2023 Updated...

17 USD

0

0

Test bank introduction to clinical pharmacology 10th edition by constance visovsky cheryl 2023 Updated
View Document

Test bank introduction to clinical pharmacology 10th edition by constance visovsky cheryl 2023 Updated

  • PHARMACIA

    PHARMACIA

  • test bank

Test bank introduction to clinical pharmacology 10th edition by constance visovsky cheryl 2023 Updated...

17 USD

0

0

Test bank for understanding psychology 15th edition by robert feldman 2023 Updated
View Document

Test bank for understanding psychology 15th edition by robert feldman 2023 Updated

  • PHARMACIA

    PHARMACIA

  • test bank

Test bank for understanding psychology 15th edition by robert feldman 2023 Updated...

17 USD

0

0

Test bank for operations and supply chain management 16th edition by f. robert  jacobs 2023 Updated
View Document

Test bank for operations and supply chain management 16th edition by f. robert jacobs 2023 Updated

  • PHARMACIA

    PHARMACIA

  • test bank

Test bank for operations and supply chain management 16th edition by f. robert jacobs 2023 Updated...

17 USD

0

0

Hesi exit exam test bank 2023.
View Document

Hesi exit exam test bank 2023.

  • Alkseltzer

    Alkseltzer

  • exam

Hesi exit exam test bank 2023....

22 USD

0

0

Hesi exit exam test bank 2023.
View Document

Hesi exit exam test bank 2023.

  • Alkseltzer

    Alkseltzer

  • exam

Hesi exit exam test bank 2023....

26 USD

0

0

HESI Exit Exam Test Bank
View Document

HESI Exit Exam Test Bank

  • Alkseltzer

    Alkseltzer

  • exam

HESI Exit Exam Test Bank...

21 USD

0

0

TEST BANK MEDICAL TERMINOLOGY SYSTEMS: A Body Systems Approach 8th Edition By Barbara A. Gylys 2023,2024  VERIFIED ANSWERS
View Document

TEST BANK MEDICAL TERMINOLOGY SYSTEMS: A Body Systems Approach 8th Edition By Barbara A. Gylys 2023,2024 VERIFIED ANSWERS

  • DYNAMICSCORES254

    DYNAMICSCORES254

  • exam

TEST BANK MEDICAL TERMINOLOGY SYSTEMS: A Body Systems Approach 8th Edition By Barbara A. Gylys 2023,2024 VERIFIED ANSWE...

23 USD

0

0

HESI Exit Exam Test Bank
View Document

HESI Exit Exam Test Bank

  • Alkseltzer

    Alkseltzer

  • exam

HESI Exit Exam Test Bank...

22 USD

0

0

Test Bank for Advanced  Accounting 12th Edition by  Joe Ben Hoyle, Thomas  Schaefer, Timothy Doupnik  et al: A Complete Solution  2023,2024 VERIFIED  ANSWERS
View Document

Test Bank for Advanced Accounting 12th Edition by Joe Ben Hoyle, Thomas Schaefer, Timothy Doupnik et al: A Complete Solution 2023,2024 VERIFIED ANSWERS

  • DYNAMICSCORES254

    DYNAMICSCORES254

  • exam

Test Bank for Advanced Accounting 12th Edition by Joe Ben Hoyle, Thomas Schaefer, Timothy Doupnik et al: A Complete ...

18 USD

0

0

NURSING NOW 8TH EDITION CATALANO TEST BANK  verified answers  2023,2024
View Document

NURSING NOW 8TH EDITION CATALANO TEST BANK verified answers 2023,2024

  • DYNAMICSCORES254

    DYNAMICSCORES254

  • exam

NURSING NOW 8TH EDITION CATALANO TEST BANK verified answers 2023,2024...

17 USD

0

0

Test Bank for Sole’s Introduction to Critical Care Nursing, 9th Edition by Mary Beth Flynn Makic and Lauren T. Morata
View Document

Test Bank for Sole’s Introduction to Critical Care Nursing, 9th Edition by Mary Beth Flynn Makic and Lauren T. Morata

  • Alkseltzer

    Alkseltzer

  • exam

Download Test Bank for Sole’s Introduction to Critical Care Nursing, 9th Edition by Mary Beth Flynn Makic and Lauren T...

15 USD

0

0

TEST BANK FOR Marriages & Families: Changes, Choices, and Constraints by NijoleV. Benokraitis 9TH EDITION 2023,2024
View Document

TEST BANK FOR Marriages & Families: Changes, Choices, and Constraints by NijoleV. Benokraitis 9TH EDITION 2023,2024

  • DYNAMICSCORES254

    DYNAMICSCORES254

  • exam

TEST BANK FOR Marriages & Families: Changes, Choices, and Constraints by NijoleV. Benokraitis 9TH EDITION 2023,2024...

16 USD

0

0

Test Bank For Child Development 9th Edition by Laura E. Berk 2023,2024  VERIFIED ANSWERS  PERFECT SCORE
View Document

Test Bank For Child Development 9th Edition by Laura E. Berk 2023,2024 VERIFIED ANSWERS PERFECT SCORE

  • DYNAMICSCORES254

    DYNAMICSCORES254

  • exam

Test Bank For Child Development 9th Edition by Laura E. Berk 2023,2024 VERIFIED ANSWERS PERFECT SCORE...

17 USD

0

0

Test Bank-Timbys Fundamental Nursing Skills and Concepts 12th Edition by Moreno Timby | VERIFIED ANSWERS
View Document

Test Bank-Timbys Fundamental Nursing Skills and Concepts 12th Edition by Moreno Timby | VERIFIED ANSWERS

  • DYNAMICSCORES254

    DYNAMICSCORES254

  • exam

Nursing fundamentals with the Test Bank PDF for Timby’s Fundamental Nursing Skills and Concepts, 12th Edition by Loret...

15 USD

0

0

Understanding  Pathophysiology 7th Edition Test Bank Test  Bank 2023
View Document

Understanding Pathophysiology 7th Edition Test Bank Test Bank 2023

  • Alkseltzer

    Alkseltzer

  • exam

Understanding Pathophysiology 7th Edition Test Bank Test Bank 2023...

19 USD

0

0

Physical Examination and  Health Assessment 9th  Edition by Carolyn Jarvis, Ann  Eckhardt Test Bank  All  Chapters 1-32  VERIFIED Full  Complete 2023,2024
View Document

Physical Examination and Health Assessment 9th Edition by Carolyn Jarvis, Ann Eckhardt Test Bank All Chapters 1-32 VERIFIED Full Complete 2023,2024

  • DYNAMICSCORES254

    DYNAMICSCORES254

  • exam

Physical Examination and Health Assessment 9th Edition by Carolyn Jarvis, Ann Eckhardt Test Bank All Chapters 1-32 ...

16 USD

0

0

TEST BANK FOR EVIDENCE BASED PRACTICE IN NURSING and health care 4th edition 2024,2026
View Document

TEST BANK FOR EVIDENCE BASED PRACTICE IN NURSING and health care 4th edition 2024,2026

  • DYNAMICSCORES254

    DYNAMICSCORES254

  • exam

TEST BANK FOR EVIDENCE BASED PRACTICE IN NURSING and health care 4th edition 2024,2025...

17 USD

0

0

TEST BANK JOURNEY ACROSS THE LIFE SPAN: Human Development and Health Promotion 6TH EDITION By: Polan|Taylor 2023,2024  VERIFIED ANSWERS
View Document

TEST BANK JOURNEY ACROSS THE LIFE SPAN: Human Development and Health Promotion 6TH EDITION By: Polan|Taylor 2023,2024 VERIFIED ANSWERS

  • DYNAMICSCORES254

    DYNAMICSCORES254

  • exam

TEST BANK JOURNEY ACROSS THE LIFE SPAN: Human Development and Health Promotion 6TH EDITION By: Polan|Taylor 2023,2024 V...

16 USD

0

0

TEST BANK FOR Health Assessment for Nursing Practice 6th Edition Wilson 202,2024 VERIFIED  ANSWERS
View Document

TEST BANK FOR Health Assessment for Nursing Practice 6th Edition Wilson 202,2024 VERIFIED ANSWERS

  • DYNAMICSCORES254

    DYNAMICSCORES254

  • exam

TEST BANK FOR Health Assessment for Nursing Practice 6th Edition Wilson 202,2024 VERIFIED ANSWERS...

16 USD

0

0

ATI FUNDAMENTALS PROCTERED  EXAM TEST BANK LATEST  2023,2024 UPDATE WITH  COMPLETE SOLUTIONS
View Document

ATI FUNDAMENTALS PROCTERED EXAM TEST BANK LATEST 2023,2024 UPDATE WITH COMPLETE SOLUTIONS

  • DYNAMICSCORES254

    DYNAMICSCORES254

  • exam

ATI FUNDAMENTALS PROCTERED EXAM TEST BANK LATEST 2023,2024 UPDATE WITH COMPLETE SOLUTIONS...

17 USD

0

0

TEST BANK FOR MEDICAL SURGICAL: CONCEPTS FOR INTERPROFFESSIONAL COLLABORATIVE CARE 9TH EDITION IGNATAVICIUS (COMPLETE CHAPTERS) RATED A+
View Document

TEST BANK FOR MEDICAL SURGICAL: CONCEPTS FOR INTERPROFFESSIONAL COLLABORATIVE CARE 9TH EDITION IGNATAVICIUS (COMPLETE CHAPTERS) RATED A+

  • Highergrades

    Highergrades

  • test bank

TEST BANK FOR MEDICAL SURGICAL: CONCEPTS FOR INTERPROFFESSIONAL COLLABORATIVE CARE 9TH EDITION IGNATAVICIUS (COMPLETE CH...

23 USD

0

0

TEST BANK FOR MICROBIOLOGY, A SYSTEMS APPROACH, 7TH EDITION, MARJORIE KELLY COWAN, HEIDI SMITH (COMPLETE SOLUTIONS) RATED A+
View Document

TEST BANK FOR MICROBIOLOGY, A SYSTEMS APPROACH, 7TH EDITION, MARJORIE KELLY COWAN, HEIDI SMITH (COMPLETE SOLUTIONS) RATED A+

  • Highergrades

    Highergrades

  • ati

TEST BANK FOR MICROBIOLOGY, A SYSTEMS APPROACH, 7TH EDITION, MARJORIE KELLY COWAN, HEIDI SMITH (COMPLETE SOLUTIONS) RATE...

15 USD

0

0

TEST BANK FOR Management Information Systems: Managing the Digital Firm, 15e (Laudon) 2024 | 2026
View Document

TEST BANK FOR Management Information Systems: Managing the Digital Firm, 15e (Laudon) 2024 | 2026

  • DYNAMICSCORES254

    DYNAMICSCORES254

  • exam

TEST BANK FOR Management Information Systems: Managing the Digital Firm, 15e (Laudon) 2024 | 2025 – Download PDF...

18 USD

0

0

TEST BANK FOR Cherry and Jacob: Contemporary Nursing: Issues, Trends, and Management, 8th Edition
View Document

TEST BANK FOR Cherry and Jacob: Contemporary Nursing: Issues, Trends, and Management, 8th Edition

  • DYNAMICSCORES254

    DYNAMICSCORES254

  • exam

TEST BANK FOR Cherry and Jacob: Contemporary Nursing: Issues, Trends, and Management, 8th Edition...

24 USD

0

0

Test Bank for  Essentials of MIS,  14th Edition, Kenneth  C. Laudon Jane P.  Laudon. All 12  Chapters Rated A+
View Document

Test Bank for Essentials of MIS, 14th Edition, Kenneth C. Laudon Jane P. Laudon. All 12 Chapters Rated A+

  • DYNAMICSCORES254

    DYNAMICSCORES254

  • exam

Test Bank for Essentials of MIS, 14th Edition, Kenneth C. Laudon Jane P. Laudon. All 12 Chapters Rated A+...

30 USD

0

0

Test bank for medical assisting administrative clinical competencies mindtap course list 9th edition Latest Update 2023-2024
View Document

Test bank for medical assisting administrative clinical competencies mindtap course list 9th edition Latest Update 2023-2024

  • PHARMACIA

    PHARMACIA

  • test bank

Test bank for medical assisting administrative clinical competencies mindtap course list 9th edition Latest Update 2023-...

18 USD

0

0

Test bank for fundamentals of corporate finance 13th edition by stephen ross  randolph Latest Update
View Document

Test bank for fundamentals of corporate finance 13th edition by stephen ross randolph Latest Update

  • PHARMACIA

    PHARMACIA

  • test bank

Access the comprehensive Test Bank for Fundamentals of Corporate Finance, 13th Edition by Stephen Ross, Randolph Westerf...

15 USD

0

0

Test bank for business and society stakeholders ethics public policy 17th edition by anne Latest Update 2023-2024
View Document

Test bank for business and society stakeholders ethics public policy 17th edition by anne Latest Update 2023-2024

  • PHARMACIA

    PHARMACIA

  • test bank

Test bank for business and society stakeholders ethics public policy 17th edition by anne Latest Update 2023-2024...

18 USD

0

0

Test bank for psychiatric nursing by norman l. keltne debbie steele edition 8th edition Latest Update 2023-2024
View Document

Test bank for psychiatric nursing by norman l. keltne debbie steele edition 8th edition Latest Update 2023-2024

  • PHARMACIA

    PHARMACIA

  • test bank

Test bank for psychiatric nursing by norman l. keltne debbie steele edition 8th edition Latest Update 2023-2024...

18 USD

0

0

Test bank for lowdermilk maternity and womens health care 13th edition Latest 2023-2024
View Document

Test bank for lowdermilk maternity and womens health care 13th edition Latest 2023-2024

  • PHARMACIA

    PHARMACIA

  • test bank

Test bank for lowdermilk maternity and womens health care 13th edition Latest 2023-2024 – Download PDF...

18 USD

0

0

Test bank for leading and managing in nursing 8th edition by patricia s. yoder wise susan Latest 2023-2024
View Document

Test bank for leading and managing in nursing 8th edition by patricia s. yoder wise susan Latest 2023-2024

  • PHARMACIA

    PHARMACIA

  • test bank

Test bank for leading and managing in nursing 8th edition by patricia s. yoder wise susan Latest 2023-2024...

18 USD

0

0

Test bank osx microbiology chapter_01 to chapter_26 Latest Update 2023-2024
View Document

Test bank osx microbiology chapter_01 to chapter_26 Latest Update 2023-2024

  • PHARMACIA

    PHARMACIA

  • test bank

Test bank osx microbiology chapter_01 to chapter_26 Latest Update 2023-2024...

18 USD

0

0

Test bank basic pharmacology for nurses 18th edition by michelle willihnganz bruce
View Document

Test bank basic pharmacology for nurses 18th edition by michelle willihnganz bruce

  • PHARMACIA

    PHARMACIA

  • test bank

Test bank basic pharmacology for nurses 18th edition by michelle willihnganz bruce...

18 USD

0

0

Test Bank For Foundations of Nursing 9th Edition by Kim Cooper and Kelly Gosnell | All Chapters
View Document

Test Bank For Foundations of Nursing 9th Edition by Kim Cooper and Kelly Gosnell | All Chapters

  • PHARMACIA

    PHARMACIA

  • test bank

Foundation of Nursing, 9th Edition, Cooper — Test Bank with Multiple Choice, Completion, and Multiple Response Questio...

15 USD

0

0

Test bank nursing informatics and the foundation of knowledge 4th edition Latest 2023-2024
View Document

Test bank nursing informatics and the foundation of knowledge 4th edition Latest 2023-2024

  • PHARMACIA

    PHARMACIA

  • test bank

Test bank nursing informatics and the foundation of knowledge 4th edition Latest 2023-2024...

18 USD

0

0

Test Bank for Essentials of MIS, 14th Edition, Kenneth C. Laudon Jane P. Laudon. All 12 Chapters Rated A+
View Document

Test Bank for Essentials of MIS, 14th Edition, Kenneth C. Laudon Jane P. Laudon. All 12 Chapters Rated A+

  • Highergrades

    Highergrades

  • study guide

Test Bank for Essentials of MIS, 14th Edition, Kenneth C. Laudon Jane P. Laudon. All 12 Chapters Rated A+...

17 USD

0

0

TEST BANK PHARMACOTHERAPEUTICS FOR  ADVANCED PRACTICE NURSE PRESCRIBERS,  5TH EDITION WOO ROBINSON GRADED  2024,2026
View Document

TEST BANK PHARMACOTHERAPEUTICS FOR ADVANCED PRACTICE NURSE PRESCRIBERS, 5TH EDITION WOO ROBINSON GRADED 2024,2026

  • DYNAMICSCORES254

    DYNAMICSCORES254

  • exam

TEST BANK PHARMACOTHERAPEUTICS FOR ADVANCED PRACTICE NURSE PRESCRIBERS, 5TH EDITION WOO ROBINSON GRADED 2024,2025...

23 USD

0

0

TEST BANK FOR HESI OB Maternity Version 1 (V1) Verified Questions And Answers 2023 Guaranteed A
View Document

TEST BANK FOR HESI OB Maternity Version 1 (V1) Verified Questions And Answers 2023 Guaranteed A

  • Oscar

    Oscar

  • shadow health

TEST BANK FOR HESI OB Maternity Version 1 (V1) Verified Questions And Answers 2023 Guaranteed A...

20 USD

0

0

Test bank of organic chemistry 4th edition by janice smith Latest Update 2023-2024
View Document

Test bank of organic chemistry 4th edition by janice smith Latest Update 2023-2024

  • PHARMACIA

    PHARMACIA

  • test bank

Test bank of organic chemistry 4th editin by janice smith Latest Update 2023-2024...

17 USD

0

0

Test bank clinical guidelines in primary care 4th edition holliers Latest Update 2023-2024
View Document

Test bank clinical guidelines in primary care 4th edition holliers Latest Update 2023-2024

  • PHARMACIA

    PHARMACIA

  • test bank

Test bank clinical guidelines in primary care 4th edition holliers Latest Update 2023-2024 – Download PDF...

17 USD

0

0

Test bank introduction to critical care nursing 8th edition sole klein moseley all  chapters
View Document

Test bank introduction to critical care nursing 8th edition sole klein moseley all chapters

  • PHARMACIA

    PHARMACIA

  • test bank

Test bank introduction to critical care nursing 8th edition sole klein moseley all chapters...

17 USD

0

0

​Test Bank for Anatomy & Physiology, 11th Edition by Kevin T. Patton et al. | Includes A&P Online Course
View Document

​Test Bank for Anatomy & Physiology, 11th Edition by Kevin T. Patton et al. | Includes A&P Online Course

  • PHARMACIA

    PHARMACIA

  • test bank

Get the Test Bank for Anatomy & Physiology, 11th Edition by Kevin T. Patton et al. a comprehensive collection of exam qu...

15 USD

0

0

Test bank little and falaces dental management of the medically compromised patient 9th edition
View Document

Test bank little and falaces dental management of the medically compromised patient 9th edition

  • PHARMACIA

    PHARMACIA

  • test bank

Test bank little and falaces dental management of the medically compromised patient 9th edition – Download PDF...

17 USD

0

0

Test bank for fundamentals of nursing 10th edition taylor 2023 chapter 1_47 complete guide
View Document

Test bank for fundamentals of nursing 10th edition taylor 2023 chapter 1_47 complete guide

  • PHARMACIA

    PHARMACIA

  • test bank

Test bank for fundamentals of nursing 10th edition taylor 2023 chapter 1_47 complete guide...

17 USD

0

0

Test bank for microbiology with diseases by body system 6th edition bauman 2023 complete chapters
View Document

Test bank for microbiology with diseases by body system 6th edition bauman 2023 complete chapters

  • PHARMACIA

    PHARMACIA

  • test bank

Test bank for microbiology with diseases by body system 6th edition bauman 2023 complete chapters...

17 USD

0

0

Test bank nursing research methods and critical appraisal for evidence based practice 9th edition
View Document

Test bank nursing research methods and critical appraisal for evidence based practice 9th edition

  • PHARMACIA

    PHARMACIA

  • test bank

Test bank nursing research methods and critical appraisal for evidence based practice 9th edition...

17 USD

0

0

Test bank nancy carolines emergency care in the streets 9th edition by nancy l. caroline Latest
View Document

Test bank nancy carolines emergency care in the streets 9th edition by nancy l. caroline Latest

  • PHARMACIA

    PHARMACIA

  • test bank

Test bank nancy carolines emergency care in the streets 9th edition by nancy l. caroline Latest – Download PDF...

17 USD

0

0

TEST BANK FOR PRIMARY CARE ART AND SCIENCE OF ADVANCED PRACTICE  NURSING AN INTERPROFESSIONAL APPROACH 5TH EDITION DUNPHY |  COMPLETE CHAPTERS 2024, 2026
View Document

TEST BANK FOR PRIMARY CARE ART AND SCIENCE OF ADVANCED PRACTICE NURSING AN INTERPROFESSIONAL APPROACH 5TH EDITION DUNPHY | COMPLETE CHAPTERS 2024, 2026

  • DYNAMICSCORES254

    DYNAMICSCORES254

  • exam

TEST BANK FOR PRIMARY CARE ART AND SCIENCE OF ADVANCED PRACTICE NURSING AN INTERPROFESSIONAL APPROACH 5TH EDITION DUNPH...

18 USD

0

0

HESI Exit Exam Test Bank  2023,2024  VERIFIED  ANSWERS
View Document

HESI Exit Exam Test Bank 2023,2024 VERIFIED ANSWERS

  • DYNAMICSCORES254

    DYNAMICSCORES254

  • exam

HESI Exit Exam Test Bank 2023,2024 VERIFIED ANSWERS...

18 USD

0

0

HESI A2 EXAM TEST BANK NURSING ADMISSION  ENTRANCE EXAM Questions and Answers  Latest Update 2023,2024
View Document

HESI A2 EXAM TEST BANK NURSING ADMISSION ENTRANCE EXAM Questions and Answers Latest Update 2023,2024

  • DYNAMICSCORES254

    DYNAMICSCORES254

  • exam

HESI A2 EXAM TEST BANK NURSING ADMISSION ENTRANCE EXAM Questions and Answers Latest Update 2023,2024...

18 USD

0

0

Test Bank - Nursing Today: Transition and Trends, 9th Edition  (Zerwekh, 2023), Chapter 1-26 | Grade
View Document

Test Bank - Nursing Today: Transition and Trends, 9th Edition (Zerwekh, 2023), Chapter 1-26 | Grade

  • DYNAMICSCORES254

    DYNAMICSCORES254

  • exam

Test Bank - Nursing Today: Transition and Trends, 9th Edition (Zerwekh, 2023), Chapter 1-26 | Grade...

18 USD

0

0

Gerontological Nursing 10th  Edition Eliopoulos Test Bank  (Chapter 1-36), All Chapters
View Document

Gerontological Nursing 10th Edition Eliopoulos Test Bank (Chapter 1-36), All Chapters

  • DYNAMICSCORES254

    DYNAMICSCORES254

  • exam

Gerontological Nursing 10th Edition Eliopoulos Test Bank (Chapter 1-36), All Chapters...

15 USD

0

0

Test Bank - Bontragers Textbook of Radiographic  Positioning and Related  Anatomy, 10th Edition  (Lampignano, 2021)
View Document

Test Bank - Bontragers Textbook of Radiographic Positioning and Related Anatomy, 10th Edition (Lampignano, 2021)

  • DYNAMICSCORES254

    DYNAMICSCORES254

  • exam

Test Bank - Bontragers Textbook of Radiographic Positioning and Related Anatomy, 10th Edition (Lampignano, 2021) – ...

18 USD

0

0

Test Bank - LeMone and Burkes Medical-Surgical  Nursing: Clinical Reasoning in Patient Care, 6th Edition Complete Chapters VERIFIED  ANSWERS 2024,2026
View Document

Test Bank - LeMone and Burkes Medical-Surgical Nursing: Clinical Reasoning in Patient Care, 6th Edition Complete Chapters VERIFIED ANSWERS 2024,2026

  • DYNAMICSCORES254

    DYNAMICSCORES254

  • exam

Test Bank - LeMone and Burkes Medical-Surgical Nursing: Clinical Reasoning in Patient Care, 6th Edition Complete Chapte...

18 USD

0

0

Nursing Research Generating and Assessing Evidence for Nursing Practice 11th Edition Polit Beck Test Bank |Complete Chapters  VERIFIED ANSWERS  2024, 2026
View Document

Nursing Research Generating and Assessing Evidence for Nursing Practice 11th Edition Polit Beck Test Bank |Complete Chapters VERIFIED ANSWERS 2024, 2026

  • DYNAMICSCORES254

    DYNAMICSCORES254

  • exam

Nursing Research Generating and Assessing Evidence for Nursing Practice 11th Edition Polit Beck Test Bank |Complete Chap...

18 USD

0

0

Test bank for Essentials of Nursing Research 10th Edition Polit | All Chapters  Covered |  VERIFIED ANSWERS
View Document

Test bank for Essentials of Nursing Research 10th Edition Polit | All Chapters Covered | VERIFIED ANSWERS

  • DYNAMICSCORES254

    DYNAMICSCORES254

  • exam

Get a pdf copy of Test Bank for Essentials of Nursing Research: Appraising Evidence for Nursing Practice 10th Edition by...

15 USD

0

0

NSG 2420 Test Bank for Maternal-Newborn  Nursing: The Critical Components of Nursing Care,  4th Edition, Roberta Durham, Linda Chapman |  All Chapters 2024, 2026 verified exam
View Document

NSG 2420 Test Bank for Maternal-Newborn Nursing: The Critical Components of Nursing Care, 4th Edition, Roberta Durham, Linda Chapman | All Chapters 2024, 2026 verified exam

  • DYNAMICSCORES254

    DYNAMICSCORES254

  • exam

NSG 2420 Test Bank for Maternal-Newborn Nursing: The Critical Components of Nursing Care, 4th Edition, Roberta Durham,...

15 USD

0

0

Full Test Bank for Principles of Auditing and Other Assurance Services 22ndEdition by Ray Whittington, Kurt  Pany (Complete Chapters) 2024, 2026 verified answers
View Document

Full Test Bank for Principles of Auditing and Other Assurance Services 22ndEdition by Ray Whittington, Kurt Pany (Complete Chapters) 2024, 2026 verified answers

  • DYNAMICSCORES254

    DYNAMICSCORES254

  • exam

Full Test Bank for Principles of Auditing and Other Assurance Services 22ndEdition by Ray Whittington, Kurt Pany (Compl...

18 USD

0

0

Test Bank for Maternity & Women’s Health Care, 13th Edition by Lowdermilk | Complete Chapters, Exam-Style Questions & Verified Answers
View Document

Test Bank for Maternity & Women’s Health Care, 13th Edition by Lowdermilk | Complete Chapters, Exam-Style Questions & Verified Answers

  • DYNAMICSCORES254

    DYNAMICSCORES254

  • exam

Master your maternity nursing exams with the Maternity & Women’s Health Care, 13th Ed Test Bank by Lowdermilk. Full ch...

15 USD

0

0

Best Answers Test Bank for Modern Blood Banking & Transfusion Practices 6th Edition Denise M. Harmening 2024, 2026 Verified Answers
View Document

Best Answers Test Bank for Modern Blood Banking & Transfusion Practices 6th Edition Denise M. Harmening 2024, 2026 Verified Answers

  • DYNAMICSCORES254

    DYNAMICSCORES254

  • exam

Best Answers Test Bank for Modern Blood Banking & Transfusion Practices 6th Edition Denise M. Harmening 2024, 2025 Verif...

15 USD

0

0

Test Bank Basic Geriatric Nursing 8 th Edition BY WILLIANS VERIFIED ANSWERS 2024, 2026
View Document

Test Bank Basic Geriatric Nursing 8 th Edition BY WILLIANS VERIFIED ANSWERS 2024, 2026

  • DYNAMICSCORES254

    DYNAMICSCORES254

  • exam

Test Bank Basic Geriatric Nursing 8 th Edition BY WILLIANS VERIFIED ANSWERS 2024, 2025 – Download PDF...

18 USD

0

0

ATI RN Nursing Care of Children  Exam Test Bank VERIFIED  ANSWERS 2024, 2026
View Document

ATI RN Nursing Care of Children Exam Test Bank VERIFIED ANSWERS 2024, 2026

  • DYNAMICSCORES254

    DYNAMICSCORES254

  • exam

ATI RN Nursing Care of Children Exam Test Bank VERIFIED ANSWERS 2024, 2025 – Download PDF...

13 USD

0

0

BEST ANSWERS Test Bank on The  Concepts for Nursing  Practice 2nd Edition by  Giddens Giddens:  Concepts for Nursing |All  Chapters Covered 2024, 2026
View Document

BEST ANSWERS Test Bank on The Concepts for Nursing Practice 2nd Edition by Giddens Giddens: Concepts for Nursing |All Chapters Covered 2024, 2026

  • DYNAMICSCORES254

    DYNAMICSCORES254

  • exam

BEST ANSWERS Test Bank on The Concepts for Nursing Practice 2nd Edition by Giddens Giddens: Concepts for Nursing |Al...

18 USD

0

0

BEST REVIEW TEST BANK FOR PRIMARY CARE ART AND SCIENCE OF ADVANCED PRACTICE  NURSING – ANINTERPROFESSIONAL APPROACH 5TH EDITION DUNPHY
View Document

BEST REVIEW TEST BANK FOR PRIMARY CARE ART AND SCIENCE OF ADVANCED PRACTICE NURSING – ANINTERPROFESSIONAL APPROACH 5TH EDITION DUNPHY

  • DYNAMICSCORES254

    DYNAMICSCORES254

  • exam

BEST REVIEW TEST BANK FOR PRIMARY CARE ART AND SCIENCE OF ADVANCED PRACTICE NURSING – ANINTERPROFESSIONAL APPROACH 5T...

34 USD

0

0

BEST REVIEW Test Bank ATI PN  Pharmacology Proctored Exam Latest  Update 2024, 2026
View Document

BEST REVIEW Test Bank ATI PN Pharmacology Proctored Exam Latest Update 2024, 2026

  • DYNAMICSCORES254

    DYNAMICSCORES254

  • exam

BEST REVIEW Test Bank ATI PN Pharmacology Proctored Exam Latest Update 2024, 2025 – Download PDF...

28 USD

0

0

BEST ANSWERS TEST BANK ECGs MADE EASY 6TH EDITION | AEHLERT 2024, 2026
View Document

BEST ANSWERS TEST BANK ECGs MADE EASY 6TH EDITION | AEHLERT 2024, 2026

  • DYNAMICSCORES254

    DYNAMICSCORES254

  • exam

Test bank for ECGs Made Easy 6th Edition by. Barbara J Aehlert All Chapters...

15 USD

0

0

Best Answers Test Bank Interpersonal Relationships: Professional Communication Skills for Nurses by Arnold, Boggs
View Document

Best Answers Test Bank Interpersonal Relationships: Professional Communication Skills for Nurses by Arnold, Boggs

  • DYNAMICSCORES254

    DYNAMICSCORES254

  • exam

Best Answers for the Test Bank for Interpersonal Relationships: Professional Communication Skills for Nurses by Elizabet...

15 USD

0

0

Test bank for fundamentals of actuarial mathematics  david promislow 2015 Latest update 2023
View Document

Test bank for fundamentals of actuarial mathematics david promislow 2015 Latest update 2023

  • PHARMACIA

    PHARMACIA

  • test bank

Test bank for fundamentals of actuarial mathematics david promislow 2015 Latest update 2023...

17 USD

0

0

Test bank for journey across the life span human development and health promotion 6th edition
View Document

Test bank for journey across the life span human development and health promotion 6th edition

  • PHARMACIA

    PHARMACIA

  • test bank

Test bank for journey across the life span human development and health promotion 6th edition...

18 USD

0

0

Test bank for illustrated dental embryology histology and anatomy 5th edition fehrenbach Latest
View Document

Test bank for illustrated dental embryology histology and anatomy 5th edition fehrenbach Latest

  • PHARMACIA

    PHARMACIA

  • test bank

Test bank for illustrated dental embryology histology and anatomy 5th edition fehrenbach Latest...

18 USD

0

0

Test bank for wongs essentials of pediatric nursing 9e Latest update 2023-2024
View Document

Test bank for wongs essentials of pediatric nursing 9e Latest update 2023-2024

  • PHARMACIA

    PHARMACIA

  • test bank

Test bank for wongs essentials of pediatric nursing 9e Latest update 2023-2024 – Download PDF...

18 USD

0

0

TEST BANK FOR PSYCHIATRIC MENTAL HEALTH NURSING Latest update 2023-2024
View Document

TEST BANK FOR PSYCHIATRIC MENTAL HEALTH NURSING Latest update 2023-2024

  • PHARMACIA

    PHARMACIA

  • test bank

TEST BANK FOR PSYCHIATRIC MENTAL HEALTH NURSING Latest update 2023-2024...

18 USD

0

0

Test bank brock biology of microorganisms 15th edition madigan Latest update 2023-2024
View Document

Test bank brock biology of microorganisms 15th edition madigan Latest update 2023-2024

  • PHARMACIA

    PHARMACIA

  • test bank

Test bank brock biology of microorganisms 15th edition madigan Latest update 2023-2024...

18 USD

0

0

Test bank the human body in health disease 7th edition by kevin t. patton Latest update 2023-2024
View Document

Test bank the human body in health disease 7th edition by kevin t. patton Latest update 2023-2024

  • PHARMACIA

    PHARMACIA

  • test bank

Test bank the human body in health disease 7th edition by kevin t. patton Latest update 2023-2024...

18 USD

0

0

Test bank Porth’s Pathophysiology 10th Edition Norris Latest update 2023-2024
View Document

Test bank Porth’s Pathophysiology 10th Edition Norris Latest update 2023-2024

  • PHARMACIA

    PHARMACIA

  • test bank

Test bank Porth’s Pathophysiology 10th Edition Norris Latest update 2023-2024...

18 USD

0

0

Test bank pathophysiology 9th edition mccance Latest update 2023-2024
View Document

Test bank pathophysiology 9th edition mccance Latest update 2023-2024

  • PHARMACIA

    PHARMACIA

  • test bank

Test bank pathophysiology 9th edition mccance Latest update 2023-2024...

18 USD

0

0

Test bank community nursing Latest update 2023-2024
View Document

Test bank community nursing Latest update 2023-2024

  • PHARMACIA

    PHARMACIA

  • test bank

Test bank community nursing Latest update 2023-2024...

18 USD

0

0

Adult Health Nursing 8th Edition Cooper Test Bank
View Document

Adult Health Nursing 8th Edition Cooper Test Bank

  • jamii

    jamii

  • test bank

Adult Health Nursing 8th Edition Cooper Test Bank...

16 USD

0

0

Test Bank for Digital Radiography and PACS 5th Edition by Carter
View Document

Test Bank for Digital Radiography and PACS 5th Edition by Carter

  • mentor2000

    mentor2000

  • test bank

Test Bank for Digital Radiography and PACS 5th Edition by Carter...

16 USD

0

0

Test Bank for Digital Radiography and PACS 4th Edition by Carter
View Document

Test Bank for Digital Radiography and PACS 4th Edition by Carter

  • mentor2000

    mentor2000

  • test bank

Test Bank for Digital Radiography and PACS 4th Edition by Carter...

17 USD

0

2

Test Bank for Calculus Early Transcendentals, 17th Edition By Stewart
View Document

Test Bank for Calculus Early Transcendentals, 17th Edition By Stewart

  • mentor2000

    mentor2000

  • test bank

Test Bank for Calculus Early Transcendentals, 17th Edition By Stewart...

17 USD

0

0

Test Bank for Calculus Early Transcendentals, 16th Edition By Stewart
View Document

Test Bank for Calculus Early Transcendentals, 16th Edition By Stewart

  • mentor2000

    mentor2000

  • test bank

Test Bank for Calculus Early Transcendentals, 16th Edition By Stewart...

17 USD

0

0

Test Bank for Calculus Early Transcendentals, 15th Edition By Stewart
View Document

Test Bank for Calculus Early Transcendentals, 15th Edition By Stewart

  • mentor2000

    mentor2000

  • test bank

Test Bank for Calculus Early Transcendentals, 15th Edition By Stewart...

17 USD

0

0

Test Bank for Calculus Early Transcendentals, 14th Edition By Stewart
View Document

Test Bank for Calculus Early Transcendentals, 14th Edition By Stewart

  • mentor2000

    mentor2000

  • test bank

Test Bank for Calculus Early Transcendentals, 14th Edition By Stewart...

13 USD

0

0

Test Bank for Calculus Early Transcendentals, 13th Edition By Stewart
View Document

Test Bank for Calculus Early Transcendentals, 13th Edition By Stewart

  • mentor2000

    mentor2000

  • test bank

Test Bank for Calculus Early Transcendentals, 13th Edition By Stewart...

16 USD

0

0

Test Bank for Calculus Early Transcendentals, 12th Edition By Stewart
View Document

Test Bank for Calculus Early Transcendentals, 12th Edition By Stewart

  • mentor2000

    mentor2000

  • test bank

Test Bank for Calculus Early Transcendentals, 12th Edition By Stewart...

17 USD

0

0

Test Bank | Solution Manual for Calculus Early Transcendentals, 11th Edition By Stewart
View Document

Test Bank | Solution Manual for Calculus Early Transcendentals, 11th Edition By Stewart

  • mentor2000

    mentor2000

  • test bank

Test Bank | Solution Manual for Calculus Early Transcendentals, 11th Edition By Stewart...

17 USD

0

0

Test Bank | Solution Manual for Calculus Early Transcendentals, 10th Edition By Stewart
View Document

Test Bank | Solution Manual for Calculus Early Transcendentals, 10th Edition By Stewart

  • mentor2000

    mentor2000

  • test bank

Test Bank | Solution Manual for Calculus Early Transcendentals, 10th Edition By Stewart...

17 USD

0

0

Test Bank for Calculus Early Transcendentals, 9th Edition By Stewart
View Document

Test Bank for Calculus Early Transcendentals, 9th Edition By Stewart

  • claratutor1

    claratutor1

  • test bank

Test Bank for Calculus Early Transcendentals, 9th Edition By Stewart...

18 USD

0

1

2023 COMMUNITY HEALTH HESI RN V1  LATESTVERSION ) EXIT HESI EACH VERSION  CONTAINS 55 QUESTIONS AND CORRECT  ANSWERS|TEST BANK|AGRADE .
View Document

2023 COMMUNITY HEALTH HESI RN V1 LATESTVERSION ) EXIT HESI EACH VERSION CONTAINS 55 QUESTIONS AND CORRECT ANSWERS|TEST BANK|AGRADE .

  • Alkseltzer

    Alkseltzer

  • questions & answers

2023 COMMUNITY HEALTH HESI RN V1 LATESTVERSION ) EXIT HESI EACH VERSION CONTAINS 55 QUESTIONS AND CORRECT ANSWERS|TES...

19 USD

0

0

Complete Test Bank Radiographic Pathology for Technologists  8th Edition Kowalczyk Questions & Answers with rationales
View Document

Complete Test Bank Radiographic Pathology for Technologists 8th Edition Kowalczyk Questions & Answers with rationales

  • Alkseltzer

    Alkseltzer

  • questions & answers

Complete Test Bank Radiographic Pathology for Technologists 8th Edition Kowalczyk Questions & Answers with rationales...

18 USD

0

0

Complete Test Bank Radiographic Pathology for Technologists  8th Edition Kowalczyk Questions & Answers with rationales
View Document

Complete Test Bank Radiographic Pathology for Technologists 8th Edition Kowalczyk Questions & Answers with rationales

  • Alkseltzer

    Alkseltzer

  • questions & answers

Complete Test Bank Radiographic Pathology for Technologists 8th Edition Kowalczyk Questions & Answers with rationales...

18 USD

0

0

2023 HESI PN MED SURGE, MED SURGE PN HESI EXIT EXAM  TEST BANK NEWEST 2023-2024 ACTUAL EXAM
View Document

2023 HESI PN MED SURGE, MED SURGE PN HESI EXIT EXAM TEST BANK NEWEST 2023-2024 ACTUAL EXAM

  • Alkseltzer

    Alkseltzer

  • questions & answers

2023 HESI PN MED SURGE, MED SURGE PN HESI EXIT EXAM TEST BANK NEWEST 2023-2024 ACTUAL EXAM – Download PDF...

17 USD

0

0

TEST BANK FOR HESI OB Maternity  Version 1 (V1) Verified Questions And  Answers 2023 Guaranteed A+
View Document

TEST BANK FOR HESI OB Maternity Version 1 (V1) Verified Questions And Answers 2023 Guaranteed A+

  • Alkseltzer

    Alkseltzer

  • questions & answers

TEST BANK FOR HESI OB Maternity Version 1 (V1) Verified Questions And Answers 2023 Guaranteed A+...

16 USD

0

0

Test bank for varcarolis essentials of psychiatric mental health nursing 5th edition fosbre  latest update 2023-2024
View Document

Test bank for varcarolis essentials of psychiatric mental health nursing 5th edition fosbre latest update 2023-2024

  • PHARMACIA

    PHARMACIA

  • test bank

Test bank for varcarolis essentials of psychiatric mental health nursing 5th edition fosbre latest update 2023-2024...

19 USD

0

0

Test bank for wongs nursing care of infants and children 12th edition by marilyn j. hockenberry elizabeth a. duffy karen gibbs latest update 2023-2024
View Document

Test bank for wongs nursing care of infants and children 12th edition by marilyn j. hockenberry elizabeth a. duffy karen gibbs latest update 2023-2024

  • PHARMACIA

    PHARMACIA

  • test bank

Test bank for wongs nursing care of infants and children 12th edition by marilyn j. hockenberry elizabeth a. duffy karen...

19 USD

0

0

Test bank for goulds pathophysiology for the health professions 7th edition vanmeter latest update 2023-2024
View Document

Test bank for goulds pathophysiology for the health professions 7th edition vanmeter latest update 2023-2024

  • PHARMACIA

    PHARMACIA

  • test bank

Test bank for goulds pathophysiology for the health professions 7th edition vanmeter latest update 2023-2024...

19 USD

0

0

Test bank for lewis medical surgical nursing 12th edition by mariann m. harding jeffrey kwong latest updated
View Document

Test bank for lewis medical surgical nursing 12th edition by mariann m. harding jeffrey kwong latest updated

  • PHARMACIA

    PHARMACIA

  • test bank

Test bank for lewis medical surgical nursing 12th edition by mariann m. harding jeffrey kwong latest updated...

19 USD

0

0

Test Bank for Pilbeams Mechanical Ventilation 8th Edition by Cairo
View Document

Test Bank for Pilbeams Mechanical Ventilation 8th Edition by Cairo

  • mentor2000

    mentor2000

  • test bank

Test Bank for Pilbeams Mechanical Ventilation 8th Edition by Cairo...

15 USD

0

3

Test bank Exam 2 Graded A+ Verified Answers
View Document

Test bank Exam 2 Graded A+ Verified Answers

  • beatricemwash

    beatricemwash

  • test bank

Test bank Exam 2 Graded A+ Verified Answers...

11 USD

0

0

Test bank questions 100 Percent Complete Verified Answers  Graded A+
View Document

Test bank questions 100 Percent Complete Verified Answers Graded A+

  • beatricemwash

    beatricemwash

  • test bank

Test bank questions 100 Percent Complete Verified Answers Graded A+ – Download PDF...

5 USD

0

0

Test Bank for Basic Geriatric Nursing 9th Edition by Patricia A. Williams Chapters 1-20
View Document

Test Bank for Basic Geriatric Nursing 9th Edition by Patricia A. Williams Chapters 1-20

  • mentor2000

    mentor2000

  • test bank

Test Bank for Basic Geriatric Nursing 9th Edition by Patricia A. Williams Chapters 1-20...

16 USD

0

0

Test Bank for Basic Geriatric Nursing 8th Edition by Patricia A. Williams Chapters 1-20
View Document

Test Bank for Basic Geriatric Nursing 8th Edition by Patricia A. Williams Chapters 1-20

  • mentor2000

    mentor2000

  • test bank

Test Bank for Basic Geriatric Nursing 8th Edition by Patricia A. Williams Chapters 1-20...

17 USD

0

0

Test Bank For Elements Of Ecology Canadian 9th Edition By Smith
View Document

Test Bank For Elements Of Ecology Canadian 9th Edition By Smith

  • mentor2000

    mentor2000

  • test bank

Test Bank For Elements Of Ecology Canadian 9th Edition By Smith...

17 USD

0

0

Clayton’s Test Bank For Basic Pharmacology for Nurses, 20th Edition by Michelle J. Willihnganz and Samuel L. Gurevitz
View Document

Clayton’s Test Bank For Basic Pharmacology for Nurses, 20th Edition by Michelle J. Willihnganz and Samuel L. Gurevitz

  • mentor2000

    mentor2000

  • test bank

Get a pdf copy for Clayton’s Basic Pharmacology for Nurses, 20th Edition Test Bank by Willihnganz. Download your nursi...

15 USD

0

1

Test Bank For Clayton’s Basic Pharmacology for Nurses, 19th Edition by Michelle J. Willihnganz and Samuel L. Gurevitz
View Document

Test Bank For Clayton’s Basic Pharmacology for Nurses, 19th Edition by Michelle J. Willihnganz and Samuel L. Gurevitz

  • mentor2000

    mentor2000

  • test bank

Test Bank For Clayton’s Basic Pharmacology for Nurses, 19th Edition by Michelle J. Willihnganz and Samuel L. Gurevitz...

17 USD

0

0

Test Bank for Essentials for Nursing Practice 9th Edition by Potter & Perry
View Document

Test Bank for Essentials for Nursing Practice 9th Edition by Potter & Perry

  • PHARMACIA

    PHARMACIA

  • test bank

Test Bank for Essentials for Nursing Practice 9th Edition by Potter & Perry...

19 USD

0

0

Test Bank For Medical Surgical Nursing 5th Edition By Holly K. Stromberg Chapter 1-49 | Latest Guide 2023
View Document

Test Bank For Medical Surgical Nursing 5th Edition By Holly K. Stromberg Chapter 1-49 | Latest Guide 2023

  • PHARMACIA

    PHARMACIA

  • test bank

Test Bank For Medical Surgical Nursing 5th Edition By Holly K. Stromberg Chapter 1-49 | Latest Guide 2023...

19 USD

0

0

Test Bank For Foundations of Mental Health Care 8th Edition Morrison-Valfre
View Document

Test Bank For Foundations of Mental Health Care 8th Edition Morrison-Valfre

  • PHARMACIA

    PHARMACIA

  • test bank

Test Bank For Foundations of Mental Health Care 8th Edition Morrison-Valfre...

19 USD

0

0

TEST BANK FOR Health Promotion Throughout the Life Span 10th Edition Chapter 1-25 by Carole Lium Edelman
View Document

TEST BANK FOR Health Promotion Throughout the Life Span 10th Edition Chapter 1-25 by Carole Lium Edelman

  • PHARMACIA

    PHARMACIA

  • test bank

TEST BANK FOR Health Promotion Throughout the Life Span 10th Edition Chapter 1-25 by Carole Lium Edelman...

19 USD

0

0

Test Bank for Evidence-Based Physical Examination Best Practices for Health & Well-Being Assessment 1st Edition: ISBN- ISBN-, A+ guide.
View Document

Test Bank for Evidence-Based Physical Examination Best Practices for Health & Well-Being Assessment 1st Edition: ISBN- ISBN-, A+ guide.

  • PHARMACIA

    PHARMACIA

  • test bank

Test Bank for Evidence-Based Physical Examination Best Practices for Health & Well-Being Assessment 1st Edition: ISBN- I...

19 USD

0

0

Test Bank for Psychological Science Seventh Edition by Elizabeth A. Phelps, Elliot Berkman & Michael Gazzaniga, A+ guide.
View Document

Test Bank for Psychological Science Seventh Edition by Elizabeth A. Phelps, Elliot Berkman & Michael Gazzaniga, A+ guide.

  • PHARMACIA

    PHARMACIA

  • test bank

Test Bank for Psychological Science Seventh Edition by Elizabeth A. Phelps, Elliot Berkman & Michael Gazzaniga, A+ guide...

19 USD

0

0

Test Bank For Goulds Pathophysiology for the Health Professions 7th Edition by Karin C. VanMeter; Robert J Hubert | Complete Guide, Latest Update
View Document

Test Bank For Goulds Pathophysiology for the Health Professions 7th Edition by Karin C. VanMeter; Robert J Hubert | Complete Guide, Latest Update

  • PHARMACIA

    PHARMACIA

  • test bank

Test Bank For Goulds Pathophysiology for the Health Professions 7th Edition by Karin C. VanMeter; Robert J Hubert | Comp...

19 USD

0

0

Test Bank for Emergency Care 14th Edition by Daniel Limmer, Michael F. OKeefe and Edward T. Dickinson, A+ guide | All Chapters Covered
View Document

Test Bank for Emergency Care 14th Edition by Daniel Limmer, Michael F. OKeefe and Edward T. Dickinson, A+ guide | All Chapters Covered

  • PHARMACIA

    PHARMACIA

  • test bank

Test Bank for Emergency Care 14th Edition by Daniel Limmer, Michael F. OKeefe and Edward T. Dickinson, A+ guide | All Ch...

19 USD

0

0

Test Bank – Med-Surg Nursing 11th Edition by Ignatavicius | Complete Chapters 1–74
View Document

Test Bank – Med-Surg Nursing 11th Edition by Ignatavicius | Complete Chapters 1–74

  • PHARMACIA

    PHARMACIA

  • test bank

Pass your exams with the 11th Ed. Medical-Surgical Nursing Test Bank. NCLEX-style questions + answers. Instant PDF downl...

15 USD

0

0

WHO recommendations for care of the preterm  or low-birth-weight infant
View Document

WHO recommendations for care of the preterm or low-birth-weight infant

  • TITUS

    TITUS

  • book

WHO recommendations for care of the preterm or low-birth-weight infant...

25 USD

0

0

Professional code of ethics for Midwives
View Document

Professional code of ethics for Midwives

  • TITUS

    TITUS

  • book

Professional code of ethics for Midwives...

25 USD

0

0

Success in Practical Vocational Nursing Test Bank 10th Edition Carroll | All Chapters | Latest 2024
View Document

Success in Practical Vocational Nursing Test Bank 10th Edition Carroll | All Chapters | Latest 2024

  • Kaponga

    Kaponga

  • test bank

Success in Practical Vocational Nursing Test Bank 10th Edition Carroll | All Chapters | Latest 2024...

18 USD

0

0

Test Bank For Olds Maternal-Newborn Nursing & Womens Health Across the Lifespan, 12th Edition (Davidson), Chapter 1-36 | Latest 2024
View Document

Test Bank For Olds Maternal-Newborn Nursing & Womens Health Across the Lifespan, 12th Edition (Davidson), Chapter 1-36 | Latest 2024

  • Kaponga

    Kaponga

  • test bank

Prepare for exams with the 2024 Test Bank for Olds' Maternal-Newborn Nursing & Women's Health Across the Lifespan, 12th ...

18 USD

0

0

Essential Cell Biology Test Bank 5th Edition Alberts Hopkin Questions & Answers with rationales (Chapter 1-20)
View Document

Essential Cell Biology Test Bank 5th Edition Alberts Hopkin Questions & Answers with rationales (Chapter 1-20)

  • Kaponga

    Kaponga

  • test bank

Essential Cell Biology Test Bank 5th Edition Alberts Hopkin Questions & Answers with rationales (Chapter 1-20)...

18 USD

0

0

Test Bank for Guidelines for Nurse Practitioners in Gynecologic Settings 12th Edition | Latest 2024 All Chapters
View Document

Test Bank for Guidelines for Nurse Practitioners in Gynecologic Settings 12th Edition | Latest 2024 All Chapters

  • Kaponga

    Kaponga

  • test bank

Get the Test Bank for Guidelines for Nurse Practitioners in Gynecologic Settings 12th Edition. It has all chapters and c...

17 USD

0

0

Test Bank for Guidelines for Nurse Practitioners in Gynecologic Settings 13th Edition Hawkins, Roberto-Nichols, Stanley-Haney
View Document

Test Bank for Guidelines for Nurse Practitioners in Gynecologic Settings 13th Edition Hawkins, Roberto-Nichols, Stanley-Haney

  • Kaponga

    Kaponga

  • test bank

Get the Test Bank for Guidelines for Nurse Practitioners in Gynecologic Settings, 13th Edition; comprehensive exam prep ...

15 USD

0

0

Test Bank For Lewiss Medical-Surgical Nursing, Latest Edition Chapter 1-69 2024
View Document

Test Bank For Lewiss Medical-Surgical Nursing, Latest Edition Chapter 1-69 2024

  • Kaponga

    Kaponga

  • test bank

Boost your nursing studies with the Test Bank for Lewis's Medical-Surgical Nursing, 12th Edition by Mariann M. Harding, ...

16 USD

0

1

Test Bank For Critical Care Nursing- A Holistic Approach, 12th Edition by Morton Fontaine, All Chapters | Latest 2024
View Document

Test Bank For Critical Care Nursing- A Holistic Approach, 12th Edition by Morton Fontaine, All Chapters | Latest 2024

  • Kaponga

    Kaponga

  • test bank

Test Bank For Critical Care Nursing- A Holistic Approach, 12th Edition by Morton Fontaine, All Chapters | Latest 2024...

17 USD

0

1

Test Bank For Critical Care Nursing- A Holistic Approach, 13th Edition by Morton Fontaine, All Chapters Chapters 1 - 56 | Latest 2024
View Document

Test Bank For Critical Care Nursing- A Holistic Approach, 13th Edition by Morton Fontaine, All Chapters Chapters 1 - 56 | Latest 2024

  • Kaponga

    Kaponga

  • test bank

Test Bank For Critical Care Nursing- A Holistic Approach, 13th Edition by Morton Fontaine, All Chapters Chapters 1 - 56 ...

20 USD

0

0

Test Bank For Psychiatric Mental Health Nursing Latest Edition All Chapters | Questions & Answers | 2024
View Document

Test Bank For Psychiatric Mental Health Nursing Latest Edition All Chapters | Questions & Answers | 2024

  • Kaponga

    Kaponga

  • test bank

Test Bank For Psychiatric Mental Health Nursing Latest Edition All Chapters | Questions & Answers | 2024...

20 USD

0

0

Adolescence 12th Edition By Laurence Steinberg Test Bank Chapter 1-13
View Document

Adolescence 12th Edition By Laurence Steinberg Test Bank Chapter 1-13

  • jamii

    jamii

  • test bank

Adolescence 12th Edition By Laurence Steinberg Test Bank Chapter 1-13...

20 USD

0

0

Absolute C++ 5th Edition Savitch Test Bank
View Document

Absolute C++ 5th Edition Savitch Test Bank

  • jamii

    jamii

  • test bank

Absolute C++ 5th Edition Savitch Test Bank...

20 USD

0

0

Abrams Clinical Drug Therapy Rationales for Nursing Practice 12th Edition Frandsen Test Bank
View Document

Abrams Clinical Drug Therapy Rationales for Nursing Practice 12th Edition Frandsen Test Bank

  • jamii

    jamii

  • test bank

Abrams Clinical Drug Therapy Rationales for Nursing Practice 12th Edition Frandsen Test Bank...

20 USD

0

0

Abnormal Psychology in a Changing World 11th Edition Nevid Test Bank
View Document

Abnormal Psychology in a Changing World 11th Edition Nevid Test Bank

  • jamii

    jamii

  • test bank

Abnormal Psychology in a Changing World 11th Edition Nevid Test Bank...

20 USD

0

0

Abnormal Psychology An Integrative Approach 8th Edition Barlow Durand Test Bank
View Document

Abnormal Psychology An Integrative Approach 8th Edition Barlow Durand Test Bank

  • jamii

    jamii

  • test bank

Abnormal Psychology An Integrative Approach 8th Edition Barlow Durand Test Bank...

20 USD

0

0

Abnormal Psychology 11th Edition Ronald Comer Test Bank ALL Chapters Included
View Document

Abnormal Psychology 11th Edition Ronald Comer Test Bank ALL Chapters Included

  • jamii

    jamii

  • test bank

Abnormal Psychology 11th Edition Ronald Comer Test Bank ALL Chapters Included...

18 USD

0

0

Abnormal Psychology 9th Edition Whitbourne Test Bank
View Document

Abnormal Psychology 9th Edition Whitbourne Test Bank

  • jamii

    jamii

  • test bank

Abnormal Psychology 9th Edition Whitbourne Test Bank...

18 USD

0

0

Abnormal Child Psychology 7th Edition Mash Test Bank
View Document

Abnormal Child Psychology 7th Edition Mash Test Bank

  • jamii

    jamii

  • test bank

Abnormal Child Psychology 7th Edition Mash Test Bank...

18 USD

0

0

Abnormal Child and Adolescent Psychology 8th Edition Wicks Nelson Test Bank
View Document

Abnormal Child and Adolescent Psychology 8th Edition Wicks Nelson Test Bank

  • jamii

    jamii

  • test bank

Abnormal Child and Adolescent Psychology 8th Edition Wicks Nelson Test Bank...

17 USD

0

0

Test Bank for Structure and Function of the Body 16th Edition Patton ISBN: 9780323597791. Test Bank. All 22 Chapters.
View Document

Test Bank for Structure and Function of the Body 16th Edition Patton ISBN: 9780323597791. Test Bank. All 22 Chapters.

  • PHARMACIA

    PHARMACIA

  • questions & answers

Get the Test Bank for Structure and Function of the Body, 16th Edition by Patton (ISBN: 9780323597791). Comprehensive co...

13 USD

0

0

TEST BANK FOR PRIMARY CARE ART AND SCIENCE OF ADVANCED PRACTICE NURSING – AN INTERPROFESSIONAL APPROACH 5TH EDITION DUNPHY
View Document

TEST BANK FOR PRIMARY CARE ART AND SCIENCE OF ADVANCED PRACTICE NURSING – AN INTERPROFESSIONAL APPROACH 5TH EDITION DUNPHY

  • PHARMACIA

    PHARMACIA

  • questions & answers

TEST BANK FOR PRIMARY CARE ART AND SCIENCE OF ADVANCED PRACTICE NURSING – AN INTERPROFESSIONAL APPROACH 5TH EDITION DU...

12 USD

0

0

Test Bank for Modern Dental Assisting 14th Edition by Bird, Debbie S. Robinson
View Document

Test Bank for Modern Dental Assisting 14th Edition by Bird, Debbie S. Robinson

  • mentor2000

    mentor2000

  • test bank

Get PDF for Test Bank for Modern Dental Assisting 14th Edition by Bird, Debbie S. Robinson...

15 USD

0

1

Test Bank for Pharmacology for Nurses Canadian 3rd Edition by Michael Adams 2024 Latest Update
View Document

Test Bank for Pharmacology for Nurses Canadian 3rd Edition by Michael Adams 2024 Latest Update

  • jamii

    jamii

  • test bank

Test Bank for Pharmacology for Nurses Canadian 3rd Edition by Michael Adams 2024 Latest Update...

17 USD

0

0

Solutions Manual for Nuclear Systems Volume I Thermal Hydraulic Fundamentals, 3e by Neil Todreas, Mujid Kazimi
View Document

Solutions Manual for Nuclear Systems Volume I Thermal Hydraulic Fundamentals, 3e by Neil Todreas, Mujid Kazimi

  • jamii

    jamii

  • test bank

Solutions Manual for Nuclear Systems Vol I, 3rd Ed. Step-by-step answers to all chapters, ideal for mastering nuclear th...

17 USD

0

2

Test Bank for A History of Modern Psychology 11th Edition Schultz All Chapters Latest Update 2024
View Document

Test Bank for A History of Modern Psychology 11th Edition Schultz All Chapters Latest Update 2024

  • jamii

    jamii

  • test bank

Test Bank for A History of Modern Psychology 11th Edition Schultz All Chapters Latest Update 2024...

17 USD

0

0

12 Lead ECG in Acute Coronary Syndromes 3rd Edition Phalen Test Bank
View Document

12 Lead ECG in Acute Coronary Syndromes 3rd Edition Phalen Test Bank

  • jamii

    jamii

  • test bank

12 Lead ECG in Acute Coronary Syndromes 3rd Edition Phalen Test Bank...

17 USD

0

0

HFMA CRCR FINAL EXAM AND PRACTICE EXAM TEST BANK WITH 300 MULTIPLE CHOICE 2024 | ACTUAL REAL EXAM QUESTIONS WITH DETAILED ANSWERS GRADED  A | LATEST UPDATE
View Document

HFMA CRCR FINAL EXAM AND PRACTICE EXAM TEST BANK WITH 300 MULTIPLE CHOICE 2024 | ACTUAL REAL EXAM QUESTIONS WITH DETAILED ANSWERS GRADED A | LATEST UPDATE

  • Hp24

    Hp24

  • exam

HFMA CRCR FINAL EXAM AND PRACTICE EXAM TEST BANK WITH 300 MULTIPLE CHOICE 2024 | ACTUAL REAL EXAM QUESTIONS WITH DETAILE...

10 USD

0

0

Adult health hesi test bank EXAM QUESTIONS & ANSWERS LATEST UPDATE 2023-2024 RATED A+
View Document

Adult health hesi test bank EXAM QUESTIONS & ANSWERS LATEST UPDATE 2023-2024 RATED A+

  • PHARMACIA

    PHARMACIA

  • hesi

Adult health hesi test bank EXAM QUESTIONS & ANSWERS LATEST UPDATE 2023-2024 RATED A+ – Download PDF...

20 USD

0

0

Test Bank for Systems Analysis and Design, 12th Edition By Tilley
View Document

Test Bank for Systems Analysis and Design, 12th Edition By Tilley

  • GradeA

    GradeA

  • test bank

Test Bank for Systems Analysis and Design, 12th Edition By Tilley...

17 USD

0

0

Test Bank for Strategic Management, 5th Edition by Frank Rothaermel
View Document

Test Bank for Strategic Management, 5th Edition by Frank Rothaermel

  • mentor2000

    mentor2000

  • test bank

Test Bank for Strategic Management, 5th Edition by Frank Rothaermel...

17 USD

0

0

Test Bank Porth Pathophysiology Concepts of Altered Health States 10th Canadian Edition
View Document

Test Bank Porth Pathophysiology Concepts of Altered Health States 10th Canadian Edition

  • GradeA

    GradeA

  • test bank

Test Bank Porth Pathophysiology Concepts of Altered Health States 10th Canadian Edition...

17 USD

0

0

Test Bank for Medical-Surgical Nursing, 9th Edition (Linton, 2024), Chapter 1-63
View Document

Test Bank for Medical-Surgical Nursing, 9th Edition (Linton, 2024), Chapter 1-63

  • Yna

    Yna

  • test bank

Test Bank for Medical-Surgical Nursing, 9th Edition (Linton, 2024), Chapter 1-63...

17 USD

0

0

Test Bank for Medical-Surgical Nursing, 8th Edition (Linton), Chapter 1-63
View Document

Test Bank for Medical-Surgical Nursing, 8th Edition (Linton), Chapter 1-63

  • mentor2000

    mentor2000

  • test bank

Test Bank for Medical-Surgical Nursing, 8th Edition (Linton), Chapter 1-63...

17 USD

0

0

Test Bank For Nursing in Todays World Trends, Issues, and Management 13th Edition by Amy J. Buckway; Holli Sowerby
View Document

Test Bank For Nursing in Todays World Trends, Issues, and Management 13th Edition by Amy J. Buckway; Holli Sowerby

  • Pasing-Grades

    Pasing-Grades

  • test bank

Test Bank For Nursing in Todays World Trends, Issues, and Management 13th Edition by Amy J. Buckway; Holli Sowerby – D...

20 USD

0

0

WGU C483 PRINCIPLES OF MANAGEMENT OA FINAL  EXAM LATEST 2024 TEST BANK QUESTIONS AND  CORRECT DETAILED ANSWERS (VERIFIED ANSWERS)  |ALREADY GRADED A+
View Document

WGU C483 PRINCIPLES OF MANAGEMENT OA FINAL EXAM LATEST 2024 TEST BANK QUESTIONS AND CORRECT DETAILED ANSWERS (VERIFIED ANSWERS) |ALREADY GRADED A+

  • Hp24

    Hp24

  • case study

WGU C483 PRINCIPLES OF MANAGEMENT OA FINAL EXAM LATEST 2024 TEST BANK QUESTIONS AND CORRECT DETAILED ANSWERS (VERIFIED...

14 USD

0

0

ATI PN MED SURG PROCTORED LATEST 2024 TEST BANK  COMPLETE 500+ QUESTIONS AND CORRECT DETAILED  ANSWERS |ALREADY GRADED A+
View Document

ATI PN MED SURG PROCTORED LATEST 2024 TEST BANK COMPLETE 500+ QUESTIONS AND CORRECT DETAILED ANSWERS |ALREADY GRADED A+

  • Hp24

    Hp24

  • case study

ATI PN MED SURG PROCTORED LATEST 2024 TEST BANK COMPLETE 500+ QUESTIONS AND CORRECT DETAILED ANSWERS |ALREADY GRADED A...

15 USD

0

0

FNP PEDIATRICS EXAM, PRACTICE EXAM AND STUDY GUIDE LATEST 2024 ACTUAL EXAM TEST BANK 1200+ QUESTIONS AND CORRECT DETAILED ANSWERS (VERIFIED ANSWERS) |ALREADY GRADED A+|| BRAND NEW!!
View Document

FNP PEDIATRICS EXAM, PRACTICE EXAM AND STUDY GUIDE LATEST 2024 ACTUAL EXAM TEST BANK 1200+ QUESTIONS AND CORRECT DETAILED ANSWERS (VERIFIED ANSWERS) |ALREADY GRADED A+|| BRAND NEW!!

  • Hp24

    Hp24

  • study guide

FNP PEDIATRICS EXAM, PRACTICE EXAM AND STUDY GUIDE LATEST 2024 ACTUAL EXAM TEST BANK 1200+ QUESTIONS AND CORRECT DETAILE...

15 USD

0

0

NURSING MISC Essentials of Pediatric Nursing 4th Edition Kyle Carman TTest BaNK
View Document

NURSING MISC Essentials of Pediatric Nursing 4th Edition Kyle Carman TTest BaNK

  • Professor

    Professor

  • exam

NURSING MISC Essentials of Pediatric Nursing 4th Edition Kyle Carman TTest BaNK – Download PDF...

16 USD

0

0

Test Bank for Communication in Nursing, 9th Edition, Julia Balzer Riley
View Document

Test Bank for Communication in Nursing, 9th Edition, Julia Balzer Riley

  • mentor2000

    mentor2000

  • test bank

Test Bank for Communication in Nursing, 9th Edition, Julia Balzer Riley...

18 USD

0

0

Test Bank for Fundamentals of Investing, 14e Scott B. Smart, Chad J Zutter
View Document

Test Bank for Fundamentals of Investing, 14e Scott B. Smart, Chad J Zutter

  • jamii

    jamii

  • test bank

Test Bank for Fundamentals of Investing, 14e Scott B. Smart, Chad J Zutter...

17 USD

0

0

FISDAP PARAMEDIC FINAL LATEST EXAM 2023- 2024, PARAMEDIC FISDAP FINAL EXAM TEST BANK  REAL EXAM 600+QUESTIONS AND CORRECT ANSWERS | AGRADE
View Document

FISDAP PARAMEDIC FINAL LATEST EXAM 2023- 2024, PARAMEDIC FISDAP FINAL EXAM TEST BANK REAL EXAM 600+QUESTIONS AND CORRECT ANSWERS | AGRADE

  • Hp24

    Hp24

  • exam

FISDAP PARAMEDIC FINAL LATEST EXAM 2023- 2024, PARAMEDIC FISDAP FINAL EXAM TEST BANK REAL EXAM 600+QUESTIONS AND CORREC...

14 USD

0

0

Test Bank For Radiation Protection in Medical Radiography 9th Edition by Sherer  All Chapters Latest 2024
View Document

Test Bank For Radiation Protection in Medical Radiography 9th Edition by Sherer All Chapters Latest 2024

  • mentor2000

    mentor2000

  • test bank

Test Bank For Radiation Protection in Medical Radiography 9th Edition by Sherer All Chapters Latest 2024...

17 USD

0

0

Physiology Ch03 Test Bank
View Document

Physiology Ch03 Test Bank

  • Caro0522

    Caro0522

  • test bank

Physiology Ch03 Test Bank – Download PDF...

6 USD

0

0

Physiology Ch02 Test Bank
View Document

Physiology Ch02 Test Bank

  • Caro0522

    Caro0522

  • test bank

Physiology Ch02 Test Bank – Download PDF...

5 USD

0

1

Test Bank For Burtons Microbiology for the Health Sciences, 11th Edition Paul G Engelkirk
View Document

Test Bank For Burtons Microbiology for the Health Sciences, 11th Edition Paul G Engelkirk

  • GradeA

    GradeA

  • test bank

Test Bank For Burtons Microbiology for the Health Sciences, 11th Edition Paul G Engelkirk...

18 USD

0

0

Test Bank for  Medical-Surgical Nursing Concepts & Practice, 3rd Edition by DeWit
View Document

Test Bank for Medical-Surgical Nursing Concepts & Practice, 3rd Edition by DeWit

  • SAMUEL

    SAMUEL

  • test bank

Test Bank for Medical-Surgical Nursing Concepts & Practice, 3rd Edition by DeWit...

12 USD

0

0

Test Bank and Notes  for Principles Of Economics 9th Edition Mankiw
View Document

Test Bank and Notes for Principles Of Economics 9th Edition Mankiw

  • SAMUEL

    SAMUEL

  • test bank

Test Bank and Notes for Principles Of Economics 9th Edition Mankiw...

15 USD

0

0

Test Bank - Introduction to Maternity and Pediatric Nursing 7th Edition
View Document

Test Bank - Introduction to Maternity and Pediatric Nursing 7th Edition

  • SAMUEL

    SAMUEL

  • test bank

Test Bank - Introduction to Maternity and Pediatric Nursing 7th Edition...

10 USD

0

0

Wongs Essentials of Pediatric Nursing 11th Edition Hockenberry Rodgers Wilson Test Bank
View Document

Wongs Essentials of Pediatric Nursing 11th Edition Hockenberry Rodgers Wilson Test Bank

  • Kiboi

    Kiboi

  • shadow health

Wongs Essentials of Pediatric Nursing 11th Edition Hockenberry Rodgers Wilson Test Bank...

16 USD

0

0

Test Bank Managerial Accounting 16th Edition Ray H Garrison Cost Inventory.
View Document

Test Bank Managerial Accounting 16th Edition Ray H Garrison Cost Inventory.

  • Kiboi

    Kiboi

  • exam

Test Bank Managerial Accounting 16th Edition Ray H Garrison Cost Inventory....

25 USD

0

0

Test Bank for Understanding the Accounting Cycle 2nd Edition
View Document

Test Bank for Understanding the Accounting Cycle 2nd Edition

  • Kiboi

    Kiboi

  • exam

Test Bank for Understanding the Accounting Cycle 2nd Edition – Download PDF...

25 USD

0

0

TEST BANK FOR PSYCHIATRIC-MENTAL HEALTH NURSING, 8TH EDITION, BY MARGARET JORDAN
View Document

TEST BANK FOR PSYCHIATRIC-MENTAL HEALTH NURSING, 8TH EDITION, BY MARGARET JORDAN

  • Kiboi

    Kiboi

  • exam

TEST BANK FOR PSYCHIATRIC-MENTAL HEALTH NURSING, 8TH EDITION, BY MARGARET JORDAN...

25 USD

0

0

Test Bank for Pharmacology and the Nursing Process 10th Edition by linda Lilley, Shelly Collins, Julie Snyder Chapter 1-58 latest update 2024-2026
View Document

Test Bank for Pharmacology and the Nursing Process 10th Edition by linda Lilley, Shelly Collins, Julie Snyder Chapter 1-58 latest update 2024-2026

  • Kiboi

    Kiboi

  • nclex

Test Bank for Pharmacology and the Nursing Process 10th Edition by linda Lilley, Shelly Collins, Julie Snyder Chapter 1-...

25 USD

0

0

Test bank for Introducing Financial Accounting
View Document

Test bank for Introducing Financial Accounting

  • Kiboi

    Kiboi

  • test bank

Test bank for Introducing Financial Accounting...

25 USD

0

0

Test Bank for financial accounting,the impact on decision makers 7th edition by Porter Norton
View Document

Test Bank for financial accounting,the impact on decision makers 7th edition by Porter Norton

  • Kiboi

    Kiboi

  • test bank

Test Bank for financial accounting,the impact on decision makers 7th edition by Porter Norton...

25 USD

0

0

TEST BANK FOR CALCULATE WITH CONFIDENCE 7TH EDITION BY MORRISS
View Document

TEST BANK FOR CALCULATE WITH CONFIDENCE 7TH EDITION BY MORRISS

  • Kiboi

    Kiboi

  • test bank

TEST BANK FOR CALCULATE WITH CONFIDENCE 7TH EDITION BY MORRISS...

225 USD

0

0

Predetermined Overhead Rates and Overhead Analysis in accounting test bank
View Document

Predetermined Overhead Rates and Overhead Analysis in accounting test bank

  • Kiboi

    Kiboi

  • test bank

Predetermined Overhead Rates and Overhead Analysis in accounting test bank...

25 USD

0

0

Essentials of Pediatric Nursing 3rd Edition Kyle Test Bank
View Document

Essentials of Pediatric Nursing 3rd Edition Kyle Test Bank

  • Kiboi

    Kiboi

  • test bank

Essentials of Pediatric Nursing 3rd Edition Kyle Test Bank – Download PDF...

25 USD

0

0

TEST BANK for Human Physiology From Cells to Systems 8th Edition by Lauralee Sherwood.
View Document

TEST BANK for Human Physiology From Cells to Systems 8th Edition by Lauralee Sherwood.

  • mumbi

    mumbi

  • test bank

TEST BANK for Human Physiology From Cells to Systems 8th Edition by Lauralee Sherwood....

10 USD

0

0

Test Bank for Inquiry into Physics 8th Edition by Ostdiek
View Document

Test Bank for Inquiry into Physics 8th Edition by Ostdiek

  • mumbi

    mumbi

  • test bank

Test Bank for Inquiry into Physics 8th Edition by Ostdiek...

15 USD

0

0

Test Bank for Nutrition Therapy and Pathophysiology, 3rd Edition by Nelms
View Document

Test Bank for Nutrition Therapy and Pathophysiology, 3rd Edition by Nelms

  • mumbi

    mumbi

  • test bank

Test Bank for Nutrition Therapy and Pathophysiology, 3rd Edition by Nelms...

21 USD

0

0

Test Bank for Organization Theory and Design 12th Edition by Richard L. Daft.
View Document

Test Bank for Organization Theory and Design 12th Edition by Richard L. Daft.

  • mumbi

    mumbi

  • test bank

Test Bank for Organization Theory and Design 12th Edition by Richard L. Daft....

10 USD

0

0

Test Bank for Personal Financial Planning, 13th Edition,  by J. Gitman, Michael D. Joehnk, and R Billingsley.
View Document

Test Bank for Personal Financial Planning, 13th Edition, by J. Gitman, Michael D. Joehnk, and R Billingsley.

  • SAMUEL

    SAMUEL

  • test bank

Test Bank for Personal Financial Planning, 13th Edition, by J. Gitman, Michael D. Joehnk, and R Billingsley....

10 USD

0

0

Test Bank For Practical Management Science, 6th Edition By L. Winston.
View Document

Test Bank For Practical Management Science, 6th Edition By L. Winston.

  • SAMUEL

    SAMUEL

  • test bank

Test Bank For Practical Management Science, 6th Edition By L. Winston....

19 USD

0

0

Test Bank for Principles of Anatomy and Physiology, 12th Edition, by Bryan Derrickson, Gerald Tortora
View Document

Test Bank for Principles of Anatomy and Physiology, 12th Edition, by Bryan Derrickson, Gerald Tortora

  • SAMUEL

    SAMUEL

  • test bank

Test Bank for Principles of Anatomy and Physiology, 12th Edition, by Bryan Derrickson, Gerald Tortora...

19 USD

0

0

Test Bank for Principles Of Macroeconomics 6th Edition Mankiw.
View Document

Test Bank for Principles Of Macroeconomics 6th Edition Mankiw.

  • SAMUEL

    SAMUEL

  • test bank

Test Bank for Principles Of Macroeconomics 6th Edition Mankiw....

21 USD

0

0

Test Bank For Probability And Statistics For Engineering And The Sciences 8th Ed by Jay L. Devore.
View Document

Test Bank For Probability And Statistics For Engineering And The Sciences 8th Ed by Jay L. Devore.

  • SAMUEL

    SAMUEL

  • test bank

Test Bank For Probability And Statistics For Engineering And The Sciences 8th Ed by Jay L. Devore....

15 USD

0

0

All Chapters TEST BANK for Devore’s Probability & Statistics for Engineering & the Sciences (9e) | Instructor Answers + Solutions Manual
View Document

All Chapters TEST BANK for Devore’s Probability & Statistics for Engineering & the Sciences (9e) | Instructor Answers + Solutions Manual

  • SAMUEL

    SAMUEL

  • test bank

Complete 9th-ed test bank for Devore’s Probability & Statistics for Engineering & the Sciences (ISBN 9781305251809). A...

16 USD

0

0

Stanfield: Test Bank for Principles of Human Physiology, 7th Edition latest update
View Document

Stanfield: Test Bank for Principles of Human Physiology, 7th Edition latest update

  • mentor2000

    mentor2000

  • test bank

Test Bank for Principles of Human Physiology, 7th Edition by Stanfield latest update...

15 USD

0

0

Test Bank Fundamentals of Selling Customers for Life through Service 13th Edition by Charles Futrell
View Document

Test Bank Fundamentals of Selling Customers for Life through Service 13th Edition by Charles Futrell

  • mumbi

    mumbi

  • test bank

Test Bank Fundamentals of Selling Customers for Life through Service 13th Edition by Charles Futrell...

10 USD

0

0

Test Bank Maternal Newborn Nursing The Critical Components of Nursing Care, 3rd Edition, Roberta Durham, Linda Chapman
View Document

Test Bank Maternal Newborn Nursing The Critical Components of Nursing Care, 3rd Edition, Roberta Durham, Linda Chapman

  • mumbi

    mumbi

  • test bank

Test Bank Maternal Newborn Nursing The Critical Components of Nursing Care, 3rd Edition, Roberta Durham, Linda Chapman...

21 USD

0

0

Test Bank Pharmacotherapeutics for Advanced Practice Nurse Prescribers, 5th Edition, Teri Moser Woo, Marylou
View Document

Test Bank Pharmacotherapeutics for Advanced Practice Nurse Prescribers, 5th Edition, Teri Moser Woo, Marylou

  • mumbi

    mumbi

  • test bank

Test Bank Pharmacotherapeutics for Advanced Practice Nurse Prescribers, 5th Edition, Teri Moser Woo, Marylou...

17 USD

0

0

Test Bank Fundamentals of Selling Customers for Life through Service 13th Edition by Charles Futrell
View Document

Test Bank Fundamentals of Selling Customers for Life through Service 13th Edition by Charles Futrell

  • SAMUEL

    SAMUEL

  • test bank

Test Bank Fundamentals of Selling Customers for Life through Service 13th Edition by Charles Futrell...

21 USD

0

0

Test Bank Maternal Newborn Nursing The Critical Components of Nursing Care, 3rd Edition, Roberta Durham, Linda Chapman
View Document

Test Bank Maternal Newborn Nursing The Critical Components of Nursing Care, 3rd Edition, Roberta Durham, Linda Chapman

  • SAMUEL

    SAMUEL

  • test bank

Test Bank Maternal Newborn Nursing The Critical Components of Nursing Care, 3rd Edition, Roberta Durham, Linda Chapman...

27 USD

0

0

Test Bank Pharmacotherapeutics for Advanced Practice Nurse Prescribers, 5th Edition, Teri Moser Woo, Marylou
View Document

Test Bank Pharmacotherapeutics for Advanced Practice Nurse Prescribers, 5th Edition, Teri Moser Woo, Marylou

  • SAMUEL

    SAMUEL

  • test bank

Test Bank Pharmacotherapeutics for Advanced Practice Nurse Prescribers, 5th Edition, Teri Moser Woo, Marylou...

25 USD

0

0

Workbook for Textbook of Basic Nursing,10th edition, by Caroline Bunker Rosdahl and Mary T. Kowalski.
View Document

Workbook for Textbook of Basic Nursing,10th edition, by Caroline Bunker Rosdahl and Mary T. Kowalski.

  • Kiboi

    Kiboi

  • exam

Workbook for Textbook of Basic Nursing,10th edition, by Caroline Bunker Rosdahl and Mary T. Kowalski....

4 USD

0

0

Test bank Social Psychology and Human Nature Brief 4th Edition
View Document

Test bank Social Psychology and Human Nature Brief 4th Edition

  • Kiboi

    Kiboi

  • exam

Test bank Social Psychology and Human Nature Brief 4th Edition...

4 USD

0

0

Test Bank Prioritization, Delegation, and Assignment 4th Edition.
View Document

Test Bank Prioritization, Delegation, and Assignment 4th Edition.

  • Kiboi

    Kiboi

  • exam

Test Bank Prioritization, Delegation, and Assignment 4th Edition....

4 USD

0

0

Wongs Test bank for Nursing Care of Infants and Children 13th Edition by Hock1enberry Chapter 1-34
View Document

Wongs Test bank for Nursing Care of Infants and Children 13th Edition by Hock1enberry Chapter 1-34

  • Kiboi

    Kiboi

  • exam

Wongs Test bank for Nursing Care of Infants and Children 13th Edition by Hock1enberry Chapter 1-34 – Download PDF...

15 USD

0

0

TEST BANK FOR RADIOGRAPHIC POSITIONING AND RELATED ANATOMY 10TH EDITION BY LAMPIGNANO.
View Document

TEST BANK FOR RADIOGRAPHIC POSITIONING AND RELATED ANATOMY 10TH EDITION BY LAMPIGNANO.

  • Kiboi

    Kiboi

  • exam

TEST BANK FOR RADIOGRAPHIC POSITIONING AND RELATED ANATOMY 10TH EDITION BY LAMPIGNANO....

6 USD

0

0

TEST BANK FOR MEDICAL-SURGICAL NURSING,CRITICAL THINKING IN CLIENT
View Document

TEST BANK FOR MEDICAL-SURGICAL NURSING,CRITICAL THINKING IN CLIENT

  • Kiboi

    Kiboi

  • exam

TEST BANK FOR MEDICAL-SURGICAL NURSING,CRITICAL THINKING IN CLIENT...

30 USD

0

0

TEST BANK FOR LNP TO RN TRANSITION 5TH EDITION BY CLAYWELL LATEST 2023-2024 GRADED A+WITH EXPLANATION
View Document

TEST BANK FOR LNP TO RN TRANSITION 5TH EDITION BY CLAYWELL LATEST 2023-2024 GRADED A+WITH EXPLANATION

  • Kiboi

    Kiboi

  • exam

TEST BANK FOR LNP TO RN TRANSITION 5TH EDITION BY CLAYWELL LATEST 2023-2024 GRADED A+WITH EXPLANATION – Download PDF...

30 USD

0

0

test bank for leadership roles and management function in nursing 10th edition by marquis huston new update
View Document

test bank for leadership roles and management function in nursing 10th edition by marquis huston new update

  • Kiboi

    Kiboi

  • exam

test bank for leadership roles and management function in nursing 10th edition by marquis huston new update – Download...

30 USD

0

0

TEST BANK FOR HEALTH INFORMATICS 2ND EDITION
View Document

TEST BANK FOR HEALTH INFORMATICS 2ND EDITION

  • Kiboi

    Kiboi

  • exam

TEST BANK FOR HEALTH INFORMATICS 2ND EDITION – Download PDF...

30 USD

0

0

TEST BANK FOR FUNDAMENTALS OF NURSING 11TH EDITION COMPLETE VERIFIED BY EXPERTS CONTAINING BOTH QAS  2023-2024
View Document

TEST BANK FOR FUNDAMENTALS OF NURSING 11TH EDITION COMPLETE VERIFIED BY EXPERTS CONTAINING BOTH QAS 2023-2024

  • Kiboi

    Kiboi

  • exam

TEST BANK FOR FUNDAMENTALS OF NURSING 11TH EDITION COMPLETE VERIFIED BY EXPERTS CONTAINING BOTH QAS 2023-2024 – Downl...

40 USD

0

0

test bank for foundation of population health for community public health nursing 5th edition Stanhope.
View Document

test bank for foundation of population health for community public health nursing 5th edition Stanhope.

  • Kiboi

    Kiboi

  • exam

test bank for foundation of population health for community public health nursing 5th edition Stanhope. – Download PDF...

40 USD

0

0

TEST BANK FOR COMMUNITY HEALTH NURSING 7TH EDITION  BY NIES
View Document

TEST BANK FOR COMMUNITY HEALTH NURSING 7TH EDITION BY NIES

  • Kiboi

    Kiboi

  • exam

TEST BANK FOR COMMUNITY HEALTH NURSING 7TH EDITION BY NIES...

6 USD

0

0

TEST BANK FOR BIOSTATISTICS ALL IN ONE LATEST UPDATE
View Document

TEST BANK FOR BIOSTATISTICS ALL IN ONE LATEST UPDATE

  • Kiboi

    Kiboi

  • exam

TEST BANK FOR BIOSTATISTICS ALL IN ONE LATEST UPDATE – Download PDF...

20 USD

0

0

TEST BANK FOR BASIC AND CLINICAL PHARMACOLOGY 15TH EDITION KATZUNG TREVOR UPDATED 2023-2024 (PAGES 822 COMPLETE)
View Document

TEST BANK FOR BASIC AND CLINICAL PHARMACOLOGY 15TH EDITION KATZUNG TREVOR UPDATED 2023-2024 (PAGES 822 COMPLETE)

  • Kiboi

    Kiboi

  • exam

TEST BANK FOR BASIC AND CLINICAL PHARMACOLOGY 15TH EDITION KATZUNG TREVOR UPDATED 2023-2024 (PAGES 822 COMPLETE) – Dow...

40 USD

0

0

Test Bank Essentials of Psychiatric Nursing 2nd Edition by Mary Ann Boyd New Update
View Document

Test Bank Essentials of Psychiatric Nursing 2nd Edition by Mary Ann Boyd New Update

  • Kiboi

    Kiboi

  • exam

Discover the newly updated test bank for Essentials of Psychiatric Nursing, 2nd Edition by Mary Ann Boyd, offering compr...

15 USD

0

0

Test Bank Essentials of Nursing Leadership & Management 7th Edition Sally A. Weiss Ruth M. Tappen
View Document

Test Bank Essentials of Nursing Leadership & Management 7th Edition Sally A. Weiss Ruth M. Tappen

  • Kiboi

    Kiboi

  • exam

Test Bank Essentials of Nursing Leadership & Management 7th Edition Sally A. Weiss Ruth M. Tappen...

25 USD

0

0

TEST BANK - MATERNAL CHILD NURSING CARE BY PERRY (6TH EDITION 2023-2024)
View Document

TEST BANK - MATERNAL CHILD NURSING CARE BY PERRY (6TH EDITION 2023-2024)

  • Kiboi

    Kiboi

  • exam

TEST BANK - MATERNAL CHILD NURSING CARE BY PERRY (6TH EDITION 2023-2024)...

25 USD

0

0

Primary Care A Collaborative Practice 6th Edition Buttaro Test Bank
View Document

Primary Care A Collaborative Practice 6th Edition Buttaro Test Bank

  • Kiboi

    Kiboi

  • exam

Primary Care A Collaborative Practice 6th Edition Buttaro Test Bank...

25 USD

0

0

Primary Care A Collaborative Practice 5th Edition Buttaro Test Bank - Passing Grades
View Document

Primary Care A Collaborative Practice 5th Edition Buttaro Test Bank - Passing Grades

  • Kiboi

    Kiboi

  • exam

Primary Care A Collaborative Practice 5th Edition Buttaro Test Bank - Passing Grades...

25 USD

0

0

Pharmacology and the Nursing Process, 9th Edition-TEST BANK
View Document

Pharmacology and the Nursing Process, 9th Edition-TEST BANK

  • Kiboi

    Kiboi

  • exam

Pharmacology and the Nursing Process, 9th Edition-TEST BANK...

25 USD

0

0

MATERNITY AND WOMENS HEALTH CARE 12TH EDITION LOWDERMILK TEST BANK
View Document

MATERNITY AND WOMENS HEALTH CARE 12TH EDITION LOWDERMILK TEST BANK

  • Kiboi

    Kiboi

  • exam

MATERNITY AND WOMENS HEALTH CARE 12TH EDITION LOWDERMILK TEST BANK – Download PDF...

25 USD

0

0

Lewis Medical Surgical Nursing 11th Edition Test Bank Latest Update
View Document

Lewis Medical Surgical Nursing 11th Edition Test Bank Latest Update

  • Kiboi

    Kiboi

  • exam

Lewis Medical Surgical Nursing 11th Edition Test Bank Latest Update...

25 USD

0

0

LEHNE’S PHARMACOTHERAPEUTICS FOR ADVANCED PRACTICE NURSES AND PHYSICIAN ASSISTANTS 2ND EDITION ROSENTHAL TEST BANK
View Document

LEHNE’S PHARMACOTHERAPEUTICS FOR ADVANCED PRACTICE NURSES AND PHYSICIAN ASSISTANTS 2ND EDITION ROSENTHAL TEST BANK

  • Kiboi

    Kiboi

  • exam

LEHNE’S PHARMACOTHERAPEUTICS FOR ADVANCED PRACTICE NURSES AND PHYSICIAN ASSISTANTS 2ND EDITION ROSENTHAL TEST BANK...

25 USD

0

0

Ebersole and Hess’ Toward Healthy Aging 10th Edition Touhy Test Bank
View Document

Ebersole and Hess’ Toward Healthy Aging 10th Edition Touhy Test Bank

  • Kiboi

    Kiboi

  • exam

Ebersole and Hess’ Toward Healthy Aging 10th Edition Touhy Test Bank...

25 USD

0

0

Bates nursing guide physical examination 2nd edition Hogan Quigley palm bickley test bank
View Document

Bates nursing guide physical examination 2nd edition Hogan Quigley palm bickley test bank

  • Kiboi

    Kiboi

  • exam

Bates nursing guide physical examination 2nd edition Hogan Quigley palm bickley test bank...

25 USD

0

0

BASIC MARKETING A STRATEGIC MARKETING PLANNING APPROACH 19TH EDITION BY PERREAULT TEST BANK
View Document

BASIC MARKETING A STRATEGIC MARKETING PLANNING APPROACH 19TH EDITION BY PERREAULT TEST BANK

  • Kiboi

    Kiboi

  • exam

BASIC MARKETING A STRATEGIC MARKETING PLANNING APPROACH 19TH EDITION BY PERREAULT TEST BANK...

25 USD

0

0

Abnormal Psychology Changing World 9th Edition Test Bank
View Document

Abnormal Psychology Changing World 9th Edition Test Bank

  • Kiboi

    Kiboi

  • exam

Abnormal Psychology Changing World 9th Edition Test Bank...

25 USD

0

0

Understanding Medical-Surgical Nursing 7th Edition Williams Test Bank
View Document

Understanding Medical-Surgical Nursing 7th Edition Williams Test Bank

  • Kiboi

    Kiboi

  • questions & answers

Understanding Medical-Surgical Nursing 7th Edition Williams Test Bank...

25 USD

0

0

Test Bank Primary Care Interprofessional Collaborative Practice 7th Edition by Terry Mahan Buttaro Chapter 1-228 Complete Guide
View Document

Test Bank Primary Care Interprofessional Collaborative Practice 7th Edition by Terry Mahan Buttaro Chapter 1-228 Complete Guide

  • Kiboi

    Kiboi

  • questions & answers

Test Bank Primary Care Interprofessional Collaborative Practice 7th Edition by Terry Mahan Buttaro Chapter 1-228 Complet...

25 USD

0

1

Test Bank for Nutrition For Healthy Living 6th Edition Schiff All Chapters 1-13 Full Complete
View Document

Test Bank for Nutrition For Healthy Living 6th Edition Schiff All Chapters 1-13 Full Complete

  • Kiboi

    Kiboi

  • questions & answers

Get the complete Test Bank for Nutrition for Healthy Living, 6th Edition by Wendy Schiff covering all chapters 1-13. Pre...

15 USD

0

0

Test Bank for Fundamentals of Corporate Finance 10th Edition by Ross
View Document

Test Bank for Fundamentals of Corporate Finance 10th Edition by Ross

  • Kiboi

    Kiboi

  • questions & answers

Test Bank for Fundamentals of Corporate Finance 10th Edition by Ross...

25 USD

0

0

Test Bank for Foundations of Nursing Research 7th Edition by Nieswiadomy
View Document

Test Bank for Foundations of Nursing Research 7th Edition by Nieswiadomy

  • Kiboi

    Kiboi

  • questions & answers

Test Bank for Foundations of Nursing Research 7th Edition by Nieswiadomy...

25 USD

0

0

TEST BANK FOR FOUNDATIONS OF MATERNAL-NEWBORN AND WOMENS HEALTH NURSING 7TH EDITION BY MURRAY
View Document

TEST BANK FOR FOUNDATIONS OF MATERNAL-NEWBORN AND WOMENS HEALTH NURSING 7TH EDITION BY MURRAY

  • Kiboi

    Kiboi

  • questions & answers

TEST BANK FOR FOUNDATIONS OF MATERNAL-NEWBORN AND WOMENS HEALTH NURSING 7TH EDITION BY MURRAY...

15 USD

0

0

TEST BANK FOR FOUNDATIONS OF BUSINESS 5TH EDITION BY PRIDE
View Document

TEST BANK FOR FOUNDATIONS OF BUSINESS 5TH EDITION BY PRIDE

  • Kiboi

    Kiboi

  • questions & answers

TEST BANK FOR FOUNDATIONS OF BUSINESS 5TH EDITION BY PRIDE...

25 USD

0

0

TEST BANK FOR FOUNDATION OF POPULATION HEALTH FOR COMMUNITY PUBLIC HEALTH NURSING 5TH EDITION STANHOPE
View Document

TEST BANK FOR FOUNDATION OF POPULATION HEALTH FOR COMMUNITY PUBLIC HEALTH NURSING 5TH EDITION STANHOPE

  • Kiboi

    Kiboi

  • questions & answers

TEST BANK FOR FOUNDATION OF POPULATION HEALTH FOR COMMUNITY PUBLIC HEALTH NURSING 5TH EDITION STANHOPE...

25 USD

0

0

TEST BANK FOR FOUNDATION OF MATERNAL-NEWBORN AND WOMENS HEALTH NURSING 7TH EDITION
View Document

TEST BANK FOR FOUNDATION OF MATERNAL-NEWBORN AND WOMENS HEALTH NURSING 7TH EDITION

  • Kiboi

    Kiboi

  • questions & answers

TEST BANK FOR FOUNDATION OF MATERNAL-NEWBORN AND WOMENS HEALTH NURSING 7TH EDITION...

25 USD

0

0

TEST BANK FOR FORTINASH PSYCHIATRIC MENTAL HEALTH NURSING 5TH EDITION
View Document

TEST BANK FOR FORTINASH PSYCHIATRIC MENTAL HEALTH NURSING 5TH EDITION

  • Kiboi

    Kiboi

  • questions & answers

TEST BANK FOR FORTINASH PSYCHIATRIC MENTAL HEALTH NURSING 5TH EDITION...

25 USD

0

0

Test Bank for Fordneys Medical Insurance 15th Edition by Smith
View Document

Test Bank for Fordneys Medical Insurance 15th Edition by Smith

  • Kiboi

    Kiboi

  • questions & answers

Test Bank for Fordneys Medical Insurance 15th Edition by Smith...

25 USD

0

0

TEST BANK FOR FOCUS ON PERSONAL FINANCE 6TH EDITION BY JACK KAPOOR, LES DLABAY, ROBERT J. HUGHES, MELISSA HART
View Document

TEST BANK FOR FOCUS ON PERSONAL FINANCE 6TH EDITION BY JACK KAPOOR, LES DLABAY, ROBERT J. HUGHES, MELISSA HART

  • Kiboi

    Kiboi

  • questions & answers

TEST BANK FOR FOCUS ON PERSONAL FINANCE 6TH EDITION BY JACK KAPOOR, LES DLABAY, ROBERT J. HUGHES, MELISSA HART...

25 USD

0

0

TEST BANK FOR FOCUS ON NURSING PHARMACOLOGY 7TH EDITION BY KARCH
View Document

TEST BANK FOR FOCUS ON NURSING PHARMACOLOGY 7TH EDITION BY KARCH

  • Kiboi

    Kiboi

  • questions & answers

TEST BANK FOR FOCUS ON NURSING PHARMACOLOGY 7TH EDITION BY KARCH...

25 USD

0

0

TEST BANK FOR EVIDENCE BASED PRACTICE IN NURSING AND HEALTHCARE 4TH EDITION BY MELNYK
View Document

TEST BANK FOR EVIDENCE BASED PRACTICE IN NURSING AND HEALTHCARE 4TH EDITION BY MELNYK

  • Kiboi

    Kiboi

  • questions & answers

TEST BANK FOR EVIDENCE BASED PRACTICE IN NURSING AND HEALTHCARE 4TH EDITION BY MELNYK...

25 USD

0

0

TEST BANK FOR ESSENTIALS OF UNDERSTANDING PSYCHOLOGY 11TH EDITION BY FELDMAN
View Document

TEST BANK FOR ESSENTIALS OF UNDERSTANDING PSYCHOLOGY 11TH EDITION BY FELDMAN

  • Kiboi

    Kiboi

  • questions & answers

TEST BANK FOR ESSENTIALS OF UNDERSTANDING PSYCHOLOGY 11TH EDITION BY FELDMAN...

25 USD

0

0

TEST BANK FOR ESSENTIALS OF PHARMACOLOGY FOR HEALTH PROFESSIONS, 8TH EDITION, BRUCE COLBERT, RUTH WOODROW
View Document

TEST BANK FOR ESSENTIALS OF PHARMACOLOGY FOR HEALTH PROFESSIONS, 8TH EDITION, BRUCE COLBERT, RUTH WOODROW

  • Kiboi

    Kiboi

  • questions & answers

TEST BANK FOR ESSENTIALS OF PHARMACOLOGY FOR HEALTH PROFESSIONS, 8TH EDITION, BRUCE COLBERT, RUTH WOODROW...

25 USD

0

0

Test bank for Essentials of Dental Radiography 9th Edition By Evelyn Thomson
View Document

Test bank for Essentials of Dental Radiography 9th Edition By Evelyn Thomson

  • Kiboi

    Kiboi

  • questions & answers

Test bank for Essentials of Dental Radiography 9th Edition By Evelyn Thomson...

25 USD

0

0

Test Bank for Essentials of Biological Anthropology 4th Edition by Larsen
View Document

Test Bank for Essentials of Biological Anthropology 4th Edition by Larsen

  • Kiboi

    Kiboi

  • questions & answers

Test Bank for Essentials of Biological Anthropology 4th Edition by Larsen – Download PDF...

30 USD

0

0

TEST BANK FOR ESSENTIALS FOR NURSING PRACTICE 8TH EDITION BY POTTER ALL CHAPTERS
View Document

TEST BANK FOR ESSENTIALS FOR NURSING PRACTICE 8TH EDITION BY POTTER ALL CHAPTERS

  • Kiboi

    Kiboi

  • questions & answers

TEST BANK FOR ESSENTIALS FOR NURSING PRACTICE 8TH EDITION BY POTTER ALL CHAPTERS...

25 USD

0

0

TEST BANK FOR ECGS MADE EASY 6TH EDITION BY BARBARA ALL CHAPTERS
View Document

TEST BANK FOR ECGS MADE EASY 6TH EDITION BY BARBARA ALL CHAPTERS

  • Kiboi

    Kiboi

  • questions & answers

TEST BANK FOR ECGS MADE EASY 6TH EDITION BY BARBARA ALL CHAPTERS...

25 USD

0

0

Test Bank For Diversity and Society- Race, Ethnicity, and Gender 5th Edition by Joseph F. Healey , Andi Stepnick
View Document

Test Bank For Diversity and Society- Race, Ethnicity, and Gender 5th Edition by Joseph F. Healey , Andi Stepnick

  • Kiboi

    Kiboi

  • questions & answers

Test Bank For Diversity and Society- Race, Ethnicity, and Gender 5th Edition by Joseph F. Healey , Andi Stepnick...

25 USD

0

0

TEST BANK FOR DEWITS FUNDAMENTAL CONCEPTS AND SKILLS FOR NURSING 5TH EDITION BY WILLIAMS
View Document

TEST BANK FOR DEWITS FUNDAMENTAL CONCEPTS AND SKILLS FOR NURSING 5TH EDITION BY WILLIAMS

  • Kiboi

    Kiboi

  • questions & answers

TEST BANK FOR DEWITS FUNDAMENTAL CONCEPTS AND SKILLS FOR NURSING 5TH EDITION BY WILLIAMS...

25 USD

0

0

Test Bank For Dental Radiography Principles And Techniques, 5th Edition, Joen Iannucci, Laura Howerton
View Document

Test Bank For Dental Radiography Principles And Techniques, 5th Edition, Joen Iannucci, Laura Howerton

  • Kiboi

    Kiboi

  • questions & answers

Test Bank For Dental Radiography Principles And Techniques, 5th Edition, Joen Iannucci, Laura Howerton...

25 USD

0

0

Test bank for Davis Advantage for Pathophysiology Introductory Concepts and Clinical Perspectives
View Document

Test bank for Davis Advantage for Pathophysiology Introductory Concepts and Clinical Perspectives

  • Kiboi

    Kiboi

  • questions & answers

Test bank for Davis Advantage for Pathophysiology Introductory Concepts and Clinical Perspectives...

28 USD

0

0

TEST BANK FOR DAVIS ADVANTAGE FOR MEDICAL SURGICAL NURSING MAKING CONNECTIONS TO PRACTICE 2ND EDITION HOFFMAN
View Document

TEST BANK FOR DAVIS ADVANTAGE FOR MEDICAL SURGICAL NURSING MAKING CONNECTIONS TO PRACTICE 2ND EDITION HOFFMAN

  • Kiboi

    Kiboi

  • questions & answers

TEST BANK FOR DAVIS ADVANTAGE FOR MEDICAL SURGICAL NURSING MAKING CONNECTIONS TO PRACTICE 2ND EDITION HOFFMAN...

25 USD

0

0

TEST BANK FOR DARBY & WALSH DENTAL HYGIENE THEORY AND PRACTICE, 4TH EDITION
View Document

TEST BANK FOR DARBY & WALSH DENTAL HYGIENE THEORY AND PRACTICE, 4TH EDITION

  • Kiboi

    Kiboi

  • questions & answers

TEST BANK FOR DARBY & WALSH DENTAL HYGIENE THEORY AND PRACTICE, 4TH EDITION...

25 USD

0

0

Test Bank for Basic Geriatric Nursing 8th Edition by Patricia A. Williams
View Document

Test Bank for Basic Geriatric Nursing 8th Edition by Patricia A. Williams

  • Kiboi

    Kiboi

  • questions & answers

Test Bank for Basic Geriatric Nursing 8th Edition by Patricia A. Williams...

25 USD

0

0

Test Bank for Anatomy and Physiology, 10th Edition, Kevin T. Patton
View Document

Test Bank for Anatomy and Physiology, 10th Edition, Kevin T. Patton

  • Kiboi

    Kiboi

  • questions & answers

Test Bank for Anatomy and Physiology, 10th Edition, Kevin T. Patton...

25 USD

0

0

Maternity and Womens Health Nursing Lowdermilk Maternity Examination and History Taking 13th Edition Bickley Test Bank
View Document

Maternity and Womens Health Nursing Lowdermilk Maternity Examination and History Taking 13th Edition Bickley Test Bank

  • Kiboi

    Kiboi

  • questions & answers

Maternity and Womens Health Nursing Lowdermilk Maternity Examination and History Taking 13th Edition Bickley Test Bank �...

25 USD

0

0

Introductory Maternity and Pediatric Nursing 5th Edition Hatfield Test Bank
View Document

Introductory Maternity and Pediatric Nursing 5th Edition Hatfield Test Bank

  • Kiboi

    Kiboi

  • questions & answers

Introductory Maternity and Pediatric Nursing 5th Edition Hatfield Test Bank...

25 USD

0

0

ESSENTIALS OF PSYCHIATRIC MENTAL HEALTH NURSING 9TH EDITION CONCEPTS OF CARE IN EVIDENCE- BASED PRACTICE MORGAN TOWNSEND TEST BANK
View Document

ESSENTIALS OF PSYCHIATRIC MENTAL HEALTH NURSING 9TH EDITION CONCEPTS OF CARE IN EVIDENCE- BASED PRACTICE MORGAN TOWNSEND TEST BANK

  • Kiboi

    Kiboi

  • questions & answers

ESSENTIALS OF PSYCHIATRIC MENTAL HEALTH NURSING 9TH EDITION CONCEPTS OF CARE IN EVIDENCE- BASED PRACTICE MORGAN TOWNSEND...

25 USD

0

0

Complete Test Bank For Lewis’s Medical Surgical Nursing 12th Edition Harding
View Document

Complete Test Bank For Lewis’s Medical Surgical Nursing 12th Edition Harding

  • Kiboi

    Kiboi

  • questions & answers

Complete Test Bank For Lewis’s Medical Surgical Nursing 12th Edition Harding...

25 USD

0

0

Biological Psychology, 14th Edition, James W. Kalat Test Bank
View Document

Biological Psychology, 14th Edition, James W. Kalat Test Bank

  • Kiboi

    Kiboi

  • questions & answers

Biological Psychology, 14th Edition, James W. Kalat Test Bank...

28 USD

0

0

Test Bank for Biological Psychology, 14th Edition by James W. Kalat (All Chapters, Verified & A+ Quality)
View Document

Test Bank for Biological Psychology, 14th Edition by James W. Kalat (All Chapters, Verified & A+ Quality)

  • Kiboi

    Kiboi

  • questions & answers

Get Test Bank for Biological Psychology 14th Edition By James W. Kalat (All Chapters, 100% original verified, A+ Grade)....

15 USD

0

0

Auditing A Practical Approach with Data Analytics, 2nd Edition is written by Raymond N. Johnson; Laura Davis Wiley Complete Test Bank
View Document

Auditing A Practical Approach with Data Analytics, 2nd Edition is written by Raymond N. Johnson; Laura Davis Wiley Complete Test Bank

  • Kiboi

    Kiboi

  • questions & answers

Auditing A Practical Approach with Data Analytics, 2nd Edition is written by Raymond N. Johnson; Laura Davis Wiley Compl...

25 USD

0

0

Advanced Practice Nursing-Essentials for Role Development 5th Edition by Lucille A. Joel - Complete, Elaborated, and Latest(Test Bank).
View Document

Advanced Practice Nursing-Essentials for Role Development 5th Edition by Lucille A. Joel - Complete, Elaborated, and Latest(Test Bank).

  • Kiboi

    Kiboi

  • questions & answers

Advanced Practice Nursing-Essentials for Role Development 5th Edition by Lucille A. Joel - Complete, Elaborated, and Lat...

25 USD

0

0

Chapter 08: Pain Lewis: Medical-Surgical Nursing, 10th Edition with 100% correct answers
View Document

Chapter 08: Pain Lewis: Medical-Surgical Nursing, 10th Edition with 100% correct answers

  • BACKTOSCHOOL

    BACKTOSCHOOL

  • exam

Chapter 08: Pain Lewis: Medical-Surgical Nursing, 10th Edition with 100% correct answers Which question asked by the nur...

11 USD

0

0

Advanced Practice Nursing Essential Knowledge for the Profession 5th Edition Test Bank All Chapters
View Document

Advanced Practice Nursing Essential Knowledge for the Profession 5th Edition Test Bank All Chapters

  • Kiboi

    Kiboi

  • questions & answers

Advanced Practice Nursing Essential Knowledge for the Profession 5th Edition Test Bank All Chapters...

25 USD

0

0

Advanced Practice Nursing Essential Knowledge for the Profession 4th Edition Denisco Test Bank
View Document

Advanced Practice Nursing Essential Knowledge for the Profession 4th Edition Denisco Test Bank

  • Kiboi

    Kiboi

  • questions & answers

Advanced Practice Nursing Essential Knowledge for the Profession 4th Edition Denisco Test Bank...

25 USD

0

0

A Complete Test Bank for Medical-Surgical Nursing; Concepts for Inter professional Collaborative Care,  10th Edition By Ignatavicius
View Document

A Complete Test Bank for Medical-Surgical Nursing; Concepts for Inter professional Collaborative Care, 10th Edition By Ignatavicius

  • Kiboi

    Kiboi

  • questions & answers

A Complete Test Bank for Medical-Surgical Nursing; Concepts for Inter professional Collaborative Care, 10th Edition By ...

25 USD

0

0

[Test Bank] Strategic Management: Text and Cases 10th Edition by Dess, McNamara, Eisner
View Document

[Test Bank] Strategic Management: Text and Cases 10th Edition by Dess, McNamara, Eisner

  • Kiboi

    Kiboi

  • questions & answers

Access the official test bank for Strategic Management: Text and Cases, 10th Edition. Includes accurate, exam-style ques...

15 USD

0

0

[TEST BANK] AUDITING AND ASSURANCE SERVICES, 17TH EDITION BY ARENS, ELDER, BEASLEY, HOGAN
View Document

[TEST BANK] AUDITING AND ASSURANCE SERVICES, 17TH EDITION BY ARENS, ELDER, BEASLEY, HOGAN

  • Kiboi

    Kiboi

  • questions & answers

[TEST BANK] AUDITING AND ASSURANCE SERVICES, 17TH EDITION BY ARENS, ELDER, BEASLEY, HOGAN...

25 USD

0

0

TEST BANK for Fundamentals of Molecular Virology 2nd Edition by Acheson
View Document

TEST BANK for Fundamentals of Molecular Virology 2nd Edition by Acheson

  • mumbi

    mumbi

  • test bank

TEST BANK for Fundamentals of Molecular Virology 2nd Edition by Acheson...

21 USD

0

0

Test Bank for Fortinash Psychiatric Mental Health Nursing  5th Edition.
View Document

Test Bank for Fortinash Psychiatric Mental Health Nursing 5th Edition.

  • mumbi

    mumbi

  • test bank

Test Bank for Fortinash Psychiatric Mental Health Nursing 5th Edition....

21 USD

0

0

Test Bank For Essentials of Economics, 8th Edition By Mankiw.
View Document

Test Bank For Essentials of Economics, 8th Edition By Mankiw.

  • mumbi

    mumbi

  • test bank

Test Bank For Essentials of Economics, 8th Edition By Mankiw....

23 USD

0

0

Test Bank for  Medical-Surgical Nursing Concepts & Practice, 3rd Edition by DeWit
View Document

Test Bank for Medical-Surgical Nursing Concepts & Practice, 3rd Edition by DeWit

  • mumbi

    mumbi

  • test bank

Test Bank for Medical-Surgical Nursing Concepts & Practice, 3rd Edition by DeWit...

27 USD

0

0

Test Bank and Notes  for Principles Of Economics 8th Edition Mankiw
View Document

Test Bank and Notes for Principles Of Economics 8th Edition Mankiw

  • mumbi

    mumbi

  • business plan

Test Bank and Notes for Principles Of Economics 8th Edition Mankiw...

19 USD

0

0

Test Bank - Introduction to Maternity and Pediatric Nursing 7th Edition
View Document

Test Bank - Introduction to Maternity and Pediatric Nursing 7th Edition

  • mumbi

    mumbi

  • test bank

Test Bank - Introduction to Maternity and Pediatric Nursing 7th Edition...

21 USD

0

0

Test Bank - Fundamentals of Nursing (9th Edition by Taylor)
View Document

Test Bank - Fundamentals of Nursing (9th Edition by Taylor)

  • mumbi

    mumbi

  • test bank

Test Bank - Fundamentals of Nursing (9th Edition by Taylor)...

17 USD

0

0

Medical Surgical Nursing 9th Edition Ignatavicius Test Bank
View Document

Medical Surgical Nursing 9th Edition Ignatavicius Test Bank

  • SAMUEL

    SAMUEL

  • test bank

Medical Surgical Nursing 9th Edition Ignatavicius Test Bank...

21 USD

0

0

Essentials of Psychiatric Mental Health Nursing Concepts of Care in Evidence-Based Practice 8th edition Morgan, Townsend Test Bank
View Document

Essentials of Psychiatric Mental Health Nursing Concepts of Care in Evidence-Based Practice 8th edition Morgan, Townsend Test Bank

  • SAMUEL

    SAMUEL

  • test bank

Essentials of Psychiatric Mental Health Nursing Concepts of Care in Evidence-Based Practice 8th edition Morgan, Townsend...

19 USD

0

0

(Test Bank) Mark F. Bear, Barry W. Connors, Michael A. Paradiso - Neuroscience - Exploring the Brain-Wolters Kluwer (2015)
View Document

(Test Bank) Mark F. Bear, Barry W. Connors, Michael A. Paradiso - Neuroscience - Exploring the Brain-Wolters Kluwer (2015)

  • SAMUEL

    SAMUEL

  • test bank

(Test Bank) Mark F. Bear, Barry W. Connors, Michael A. Paradiso - Neuroscience - Exploring the Brain-Wolters Kluwer (201...

23 USD

0

0

(Test Bank) Denise G. Anderson, Sarah N. Salm, Deborah P. Allen - Nester’s Microbiology_ A Human Perspective-McGraw-Hill (2015)
View Document

(Test Bank) Denise G. Anderson, Sarah N. Salm, Deborah P. Allen - Nester’s Microbiology_ A Human Perspective-McGraw-Hill (2015)

  • SAMUEL

    SAMUEL

  • shadow health

(Test Bank) Denise G. Anderson, Sarah N. Salm, Deborah P. Allen - Nester’s Microbiology_ A Human Perspective-McGraw-Hi...

23 USD

0

0

(Complete Answered) Test Bank Pharmacology A Patient-Centered Nursing Process Approach, 11th Edition by Linda E. McCuistion Chapter 1-58
View Document

(Complete Answered) Test Bank Pharmacology A Patient-Centered Nursing Process Approach, 11th Edition by Linda E. McCuistion Chapter 1-58

  • SAMUEL

    SAMUEL

  • test bank

(Complete Answered) Test Bank Pharmacology A Patient-Centered Nursing Process Approach, 11th Edition by Linda E. McCuist...

21 USD

0

0

(Complete 275 Q&A) Med-Surg II HESI Test Bank
View Document

(Complete 275 Q&A) Med-Surg II HESI Test Bank

  • SAMUEL

    SAMUEL

  • hesi

(Complete 275 Q&A) Med-Surg II HESI Test Bank – Download PDF...

21 USD

0

0

TEST BANK-WILKINS’ CLINICAL ASSESSMENT IN RESPIRATORY CARE 8TH EDITION BY HEUER-LATEST-2022-2023 .
View Document

TEST BANK-WILKINS’ CLINICAL ASSESSMENT IN RESPIRATORY CARE 8TH EDITION BY HEUER-LATEST-2022-2023 .

  • Kiboi

    Kiboi

  • questions & answers

TEST BANK-WILKINS’ CLINICAL ASSESSMENT IN RESPIRATORY CARE 8TH EDITION BY HEUER-LATEST-2022-2023 ....

25 USD

0

0

Test Bank Varcarolis Foundations of Psychiatric-Mental Health Nursing A Clinical 9th Edition by Margaret Jordan Halter Chapter 1-36 complete update
View Document

Test Bank Varcarolis Foundations of Psychiatric-Mental Health Nursing A Clinical 9th Edition by Margaret Jordan Halter Chapter 1-36 complete update

  • Kiboi

    Kiboi

  • questions & answers

Test Bank Varcarolis Foundations of Psychiatric-Mental Health Nursing A Clinical 9th Edition by Margaret Jordan Halter C...

20 USD

0

0

Test Bank Medical-Surgical Nursing 7th Edition by Linton Chapter 1-63 complete Guide
View Document

Test Bank Medical-Surgical Nursing 7th Edition by Linton Chapter 1-63 complete Guide

  • Kiboi

    Kiboi

  • questions & answers

Test Bank Medical-Surgical Nursing 7th Edition by Linton Chapter 1-63 complete Guide...

25 USD

0

0

Test Bank Growth and Development Across the Lifespan 2nd Edition Leifer
View Document

Test Bank Growth and Development Across the Lifespan 2nd Edition Leifer

  • Kiboi

    Kiboi

  • questions & answers

Test Bank Growth and Development Across the Lifespan 2nd Edition Leifer...

25 USD

0

0

Test Bank for Varcaroli’s Foundations of Psychiatric Mental Health Nursing (8th Edition)
View Document

Test Bank for Varcaroli’s Foundations of Psychiatric Mental Health Nursing (8th Edition)

  • Kiboi

    Kiboi

  • questions & answers

Test Bank for Varcaroli’s Foundations of Psychiatric Mental Health Nursing (8th Edition)...

25 USD

0

0

TEST BANK FOR UNDERSTANDINGNURSING RESEARCH 7TH EDITION BY GROVE
View Document

TEST BANK FOR UNDERSTANDINGNURSING RESEARCH 7TH EDITION BY GROVE

  • Kiboi

    Kiboi

  • questions & answers

TEST BANK FOR UNDERSTANDINGNURSING RESEARCH 7TH EDITION BY GROVE...

25 USD

0

0

TEST BANK FOR SOCIOLOGY A GLOBAL PERSPECTIVE 8TH EDITION BY FERRANTE
View Document

TEST BANK FOR SOCIOLOGY A GLOBAL PERSPECTIVE 8TH EDITION BY FERRANTE

  • Kiboi

    Kiboi

  • questions & answers

TEST BANK FOR SOCIOLOGY A GLOBAL PERSPECTIVE 8TH EDITION BY FERRANTE...

25 USD

0

0

TEST BANK FOR RUPPEL’S MANUAL OF PULMONARY FUNCTION TESTING 11 TH EDITION BY MOTTRAM
View Document

TEST BANK FOR RUPPEL’S MANUAL OF PULMONARY FUNCTION TESTING 11 TH EDITION BY MOTTRAM

  • Kiboi

    Kiboi

  • questions & answers

TEST BANK FOR RUPPEL’S MANUAL OF PULMONARY FUNCTION TESTING 11 TH EDITION BY MOTTRAM...

25 USD

0

0

Test Bank For Psychiatric Mental Health Nursing, 5th Edition By Fortinash
View Document

Test Bank For Psychiatric Mental Health Nursing, 5th Edition By Fortinash

  • Kiboi

    Kiboi

  • questions & answers

Test Bank For Psychiatric Mental Health Nursing, 5th Edition By Fortinash...

25 USD

0

0

TEST BANK FOR NURSING LEADERSHIP, MANAGEMENT, AND PROFESSIONAL PRACTICE FOR THE LPN LVN 6TH EDITION BY DAHLKEMPER
View Document

TEST BANK FOR NURSING LEADERSHIP, MANAGEMENT, AND PROFESSIONAL PRACTICE FOR THE LPN LVN 6TH EDITION BY DAHLKEMPER

  • Kiboi

    Kiboi

  • questions & answers

TEST BANK FOR NURSING LEADERSHIP, MANAGEMENT, AND PROFESSIONAL PRACTICE FOR THE LPN LVN 6TH EDITION BY DAHLKEMPER...

25 USD

0

0

Test Bank for Medical-Surgical Nursing, 7th Edition by Adrianne Dill Linton and Mary Ann Matteson
View Document

Test Bank for Medical-Surgical Nursing, 7th Edition by Adrianne Dill Linton and Mary Ann Matteson

  • Kiboi

    Kiboi

  • questions & answers

Test Bank for Medical-Surgical Nursing, 7th Edition by Adrianne Dill Linton and Mary Ann Matteson...

25 USD

0

0

Test Bank For Maternal-Child Nursing, 5th Edition by_ McKinney.
View Document

Test Bank For Maternal-Child Nursing, 5th Edition by_ McKinney.

  • Kiboi

    Kiboi

  • questions & answers

Test Bank For Maternal-Child Nursing, 5th Edition by_ McKinney....

25 USD

0

0

TEST BANK FOR LPN TO RN TRANSITIONS 4TH EDITION CLAYWELL
View Document

TEST BANK FOR LPN TO RN TRANSITIONS 4TH EDITION CLAYWELL

  • Kiboi

    Kiboi

  • questions & answers

TEST BANK FOR LPN TO RN TRANSITIONS 4TH EDITION CLAYWELL...

25 USD

0

0

Test bank for leadership roles and management function in nursing 9th edition by marquis
View Document

Test bank for leadership roles and management function in nursing 9th edition by marquis

  • Kiboi

    Kiboi

  • questions & answers

Test bank for leadership roles and management function in nursing 9th edition by marquis...

25 USD

0

0

Test Bank For Introductory Mental Health Nursing 4th Edition Womble Kincheloe
View Document

Test Bank For Introductory Mental Health Nursing 4th Edition Womble Kincheloe

  • Kiboi

    Kiboi

  • questions & answers

Get Test Bank - Introductory Mental Health Nursing, 4th Edition (Kincheloe, 2024), Chapter 1-19 | All Chapters PDF....

15 USD

0

0

Test Bank for Introduction to Maternity and Pediatric Nursing 7 edition latest update
View Document

Test Bank for Introduction to Maternity and Pediatric Nursing 7 edition latest update

  • Kiboi

    Kiboi

  • questions & answers

Test Bank for Introduction to Maternity and Pediatric Nursing 7 edition latest update...

25 USD

0

0

TEST BANK FOR INTRODUCTION TO CRITICAL CARE NURSING 7THEDITION BY SOLE
View Document

TEST BANK FOR INTRODUCTION TO CRITICAL CARE NURSING 7THEDITION BY SOLE

  • Kiboi

    Kiboi

  • questions & answers

TEST BANK FOR INTRODUCTION TO CRITICAL CARE NURSING 7THEDITION BY SOLE...

25 USD

0

0

Test Bank For Goulds Pathophysiology for the Health Professions 7th Edition Van Meter and Hubert Chapter 1-28 Complete Guide A+
View Document

Test Bank For Goulds Pathophysiology for the Health Professions 7th Edition Van Meter and Hubert Chapter 1-28 Complete Guide A+

  • Kiboi

    Kiboi

  • questions & answers

Test Bank For Goulds Pathophysiology for the Health Professions 7th Edition Van Meter and Hubert Chapter 1-28 Complete G...

25 USD

0

0

Test Bank For Gerontological Nursing 10th Edition
View Document

Test Bank For Gerontological Nursing 10th Edition

  • Kiboi

    Kiboi

  • questions & answers

Test Bank For Gerontological Nursing 10th Edition...

25 USD

0

0

Test Bank for Foundations in Microbiology 8th Edition By Talaro
View Document

Test Bank for Foundations in Microbiology 8th Edition By Talaro

  • Kiboi

    Kiboi

  • questions & answers

Test Bank for Foundations in Microbiology 8th Edition By Talaro...

25 USD

0

0

Test Bank: Electrocardiography for Healthcare Professionals 5th Ed – All Chapters Q&A by Booth & O’Brien
View Document

Test Bank: Electrocardiography for Healthcare Professionals 5th Ed – All Chapters Q&A by Booth & O’Brien

  • Kiboi

    Kiboi

  • questions & answers

Get the complete test bank for Electrocardiography for Healthcare Professionals (5th Edition) by Kathryn Booth & Thomas ...

30 USD

0

0

TEST BANK For COMMUNITY AND PUBLIC HEALTH NURSING 10TH EDITION By RECTOR | All Chapters
View Document

TEST BANK For COMMUNITY AND PUBLIC HEALTH NURSING 10TH EDITION By RECTOR | All Chapters

  • Kiboi

    Kiboi

  • questions & answers

TEST BANK For COMMUNITY AND PUBLIC HEALTH NURSING 10TH EDITION By RECTOR...

20 USD

0

0

test bank for claytons basic pharmacology for nurses 18th edition by willihnganz complete chapters
View Document

test bank for claytons basic pharmacology for nurses 18th edition by willihnganz complete chapters

  • Kiboi

    Kiboi

  • questions & answers

test bank for claytons basic pharmacology for nurses 18th edition by willihnganz complete chapters...

25 USD

0

0

TEST BANK FOR ADAM’S PHARMACOLOGY FOR NURSES A PATHOPHYSIOLOGIC APPROACH, 5TH EDITION
View Document

TEST BANK FOR ADAM’S PHARMACOLOGY FOR NURSES A PATHOPHYSIOLOGIC APPROACH, 5TH EDITION

  • Kiboi

    Kiboi

  • questions & answers

TEST BANK FOR ADAM’S PHARMACOLOGY FOR NURSES A PATHOPHYSIOLOGIC APPROACH, 5TH EDITION...

25 USD

0

0

Test Bank Focus on Nursing Pharmacology8th Edition Test bank by Amy Karch - Chapter 1-59 Complete Guide
View Document

Test Bank Focus on Nursing Pharmacology8th Edition Test bank by Amy Karch - Chapter 1-59 Complete Guide

  • Kiboi

    Kiboi

  • questions & answers

Test Bank Focus on Nursing Pharmacology8th Edition Test bank by Amy Karch - Chapter 1-59 Complete Guide...

25 USD

0

0

TEST BANK APPLIED PATHOPHYSIOLOGY, A CONCEPTUAL APPROACH TO THE MECHANISMS OF DISEASE 3RD EDITION BY CARIE BRAUN-COMPREHENSIVE STUDY GUIDE
View Document

TEST BANK APPLIED PATHOPHYSIOLOGY, A CONCEPTUAL APPROACH TO THE MECHANISMS OF DISEASE 3RD EDITION BY CARIE BRAUN-COMPREHENSIVE STUDY GUIDE

  • Kiboi

    Kiboi

  • questions & answers

TEST BANK APPLIED PATHOPHYSIOLOGY, A CONCEPTUAL APPROACH TO THE MECHANISMS OF DISEASE 3RD EDITION BY CARIE BRAUN-COMPREH...

25 USD

0

0

TEST BANK - PSYCHIATRIC NURSING; CONTEMPORARY PRACTICE 6TH EDITION BY BOYD
View Document

TEST BANK - PSYCHIATRIC NURSING; CONTEMPORARY PRACTICE 6TH EDITION BY BOYD

  • Kiboi

    Kiboi

  • questions & answers

TEST BANK - PSYCHIATRIC NURSING; CONTEMPORARY PRACTICE 6TH EDITION BY BOYD...

25 USD

0

0

Solutions and Test Bank For Managerial Accounting 17th Edition By Ray Garrison
View Document

Solutions and Test Bank For Managerial Accounting 17th Edition By Ray Garrison

  • Kiboi

    Kiboi

  • questions & answers

Solutions and Test Bank For Managerial Accounting 17th Edition By Ray Garrison...

25 USD

0

0

SCIENCE 29 ADVANCED PRACTICE Seidels Guide to Physical Examination 9th Edition Ball TEST BANK
View Document

SCIENCE 29 ADVANCED PRACTICE Seidels Guide to Physical Examination 9th Edition Ball TEST BANK

  • Kiboi

    Kiboi

  • questions & answers

SCIENCE 29 ADVANCED PRACTICE Seidels Guide to Physical Examination 9th Edition Ball TEST BANK – Download PDF...

25 USD

0

0

PYC3703 test bank of over 500 questions and answers
View Document

PYC3703 test bank of over 500 questions and answers

  • Kiboi

    Kiboi

  • questions & answers

PYC3703 test bank of over 500 questions and answers...

25 USD

0

0

Psychiatric-Mental Health Nursing 8th edition by Videbeck Test Bank
View Document

Psychiatric-Mental Health Nursing 8th edition by Videbeck Test Bank

  • Kiboi

    Kiboi

  • questions & answers

Psychiatric-Mental Health Nursing 8th edition by Videbeck Test Bank...

25 USD

0

0

Professional Nursing;Concepts & Challenges, 9th Edition Test Bank
View Document

Professional Nursing;Concepts & Challenges, 9th Edition Test Bank

  • Kiboi

    Kiboi

  • questions & answers

Professional Nursing;Concepts & Challenges, 9th Edition Test Bank...

25 USD

0

0

PROFESSIONAL NURSING CONCEPTS & CHALLENGES,9TH EDITION TEST BANK
View Document

PROFESSIONAL NURSING CONCEPTS & CHALLENGES,9TH EDITION TEST BANK

  • Kiboi

    Kiboi

  • questions & answers

PROFESSIONAL NURSING CONCEPTS & CHALLENGES,9TH EDITION TEST BANK...

25 USD

0

0

Professional Nursing Concepts & Challenges, 9th Edition Test Bank
View Document

Professional Nursing Concepts & Challenges, 9th Edition Test Bank

  • Kiboi

    Kiboi

  • questions & answers

Professional Nursing Concepts & Challenges, 9th Edition Test Bank...

25 USD

0

0

Primary Care 6th Edition Buttaro Test Bank
View Document

Primary Care 6th Edition Buttaro Test Bank

  • Kiboi

    Kiboi

  • questions & answers

Primary Care 6th Edition Buttaro Test Bank...

25 USD

0

0

NURSING RESEARCH TEST BANK  COMPLETE CHAPTERS
View Document

NURSING RESEARCH TEST BANK COMPLETE CHAPTERS

  • Kiboi

    Kiboi

  • questions & answers

NURSING RESEARCH TEST BANK COMPLETE CHAPTERS...

25 USD

0

0

NURSING 5315 Pathophysiology The Biologic Basis for Disease in Adults and Children 8th Edition Test Bank
View Document

NURSING 5315 Pathophysiology The Biologic Basis for Disease in Adults and Children 8th Edition Test Bank

  • Kiboi

    Kiboi

  • questions & answers

NURSING 5315 Pathophysiology The Biologic Basis for Disease in Adults and Children 8th Edition Test Bank...

25 USD

0

0

NSG 6005 Adv Pharm FINAL EXAM TEST BANK QUESTIONS AND ANSWERS
View Document

NSG 6005 Adv Pharm FINAL EXAM TEST BANK QUESTIONS AND ANSWERS

  • Kiboi

    Kiboi

  • questions & answers

NSG 6005 Adv Pharm FINAL EXAM TEST BANK QUESTIONS AND ANSWERS...

25 USD

0

0

Medical Surgical Nursing 10th Edition Ignatavicius Workman  Test Bank
View Document

Medical Surgical Nursing 10th Edition Ignatavicius Workman Test Bank

  • Kiboi

    Kiboi

  • questions & answers

Medical Surgical Nursing 10th Edition Ignatavicius Workman Test Bank...

25 USD

0

0

LEHNE’S PHARMACOTHERAPEUTICS FOR ADVANCED PRACTICE NURSES AND PHYSICIAN ASSISTANTS 2ND  EDITION ROSENTHAL TEST BANK
View Document

LEHNE’S PHARMACOTHERAPEUTICS FOR ADVANCED PRACTICE NURSES AND PHYSICIAN ASSISTANTS 2ND EDITION ROSENTHAL TEST BANK

  • Kiboi

    Kiboi

  • questions & answers

LEHNE’S PHARMACOTHERAPEUTICS FOR ADVANCED PRACTICE NURSES AND PHYSICIAN ASSISTANTS 2ND EDITION ROSENTHAL TEST BANK...

25 USD

0

0

Introduction to mastering microbiology 13th edition complete test bank
View Document

Introduction to mastering microbiology 13th edition complete test bank

  • Kiboi

    Kiboi

  • questions & answers

Introduction to mastering microbiology 13th edition complete test bank...

25 USD

0

0

Human Resources Management in Canada Test Bank by Dessler G, Cole 14th Edition
View Document

Human Resources Management in Canada Test Bank by Dessler G, Cole 14th Edition

  • Kiboi

    Kiboi

  • questions & answers

Human Resources Management in Canada Test Bank by Dessler G, Cole 14th Edition...

15 USD

0

0

HESI PN EXIX EXAM V1 2023 TEST BANK 160 QUESTIONS WITH ANSWERS ACTUAL EXAM UPDATED VERSION
View Document

HESI PN EXIX EXAM V1 2023 TEST BANK 160 QUESTIONS WITH ANSWERS ACTUAL EXAM UPDATED VERSION

  • Kiboi

    Kiboi

  • questions & answers

HESI PN EXIX EXAM V1 2023 TEST BANK 160 QUESTIONS WITH ANSWERS ACTUAL EXAM UPDATED VERSION...

25 USD

0

0

Fundamentals of Nursing Active Learning for Collaborative Practice 3rd Edition Yoost Test Bank
View Document

Fundamentals of Nursing Active Learning for Collaborative Practice 3rd Edition Yoost Test Bank

  • Kiboi

    Kiboi

  • questions & answers

Fundamentals of Nursing Active Learning for Collaborative Practice 3rd Edition Yoost Test Bank...

25 USD

0

0

FUNDAMENTALS OF NURSING 9TH EDITION BY TAYLOR LYNN BARTLETT TEST BANK COMPLETE ALL CHAPTERS.
View Document

FUNDAMENTALS OF NURSING 9TH EDITION BY TAYLOR LYNN BARTLETT TEST BANK COMPLETE ALL CHAPTERS.

  • Kiboi

    Kiboi

  • questions & answers

FUNDAMENTALS OF NURSING 9TH EDITION BY TAYLOR LYNN BARTLETT TEST BANK COMPLETE ALL CHAPTERS....

25 USD

0

0

Foundations for Population Health in Community Public Health Nursing 5th Edition Stanhope Test Bank
View Document

Foundations for Population Health in Community Public Health Nursing 5th Edition Stanhope Test Bank

  • Kiboi

    Kiboi

  • questions & answers

Foundations for Population Health in Community Public Health Nursing 5th Edition Stanhope Test Bank...

25 USD

0

0

Essentials of Pathophysiology 4th edition Porth Test Bank
View Document

Essentials of Pathophysiology 4th edition Porth Test Bank

  • Kiboi

    Kiboi

  • questions & answers

Essentials of Pathophysiology 4th edition Porth Test Bank...

25 USD

0

0

Essential Health Assessment 1st Edition Thompson Test Bank
View Document

Essential Health Assessment 1st Edition Thompson Test Bank

  • Kiboi

    Kiboi

  • questions & answers

Essential Health Assessment 1st Edition Thompson Test Bank...

25 USD

0

0

Maternal Child Nursing Care 2nd Edition Ward Hisley Test Bank (2)
View Document

Maternal Child Nursing Care 2nd Edition Ward Hisley Test Bank (2)

  • SAMUEL

    SAMUEL

  • test bank

Maternal Child Nursing Care 2nd Edition Ward Hisley Test Bank (2)...

23 USD

0

0

Test Bank for Lewis’s Medical-Surgical Nursing, 11th Edition: Assessment and Management of Clinical Problems Mariann M. Harding Jeffrey Kwong Dottie Roberts Debra Hagler Courtney Reinisch
View Document

Test Bank for Lewis’s Medical-Surgical Nursing, 11th Edition: Assessment and Management of Clinical Problems Mariann M. Harding Jeffrey Kwong Dottie Roberts Debra Hagler Courtney Reinisch

  • SAMUEL

    SAMUEL

  • ati medical surgical

Test Bank for Lewis’s Medical-Surgical Nursing, 11th Edition: Assessment and Management of Clinical Problems Mariann M...

15 USD

0

0

CURRENT PSYCHOTHERAPIES 11TH EDITION BY DANNY WEDDING TEST BANK COMPLETE
View Document

CURRENT PSYCHOTHERAPIES 11TH EDITION BY DANNY WEDDING TEST BANK COMPLETE

  • Kiboi

    Kiboi

  • questions & answers

CURRENT PSYCHOTHERAPIES 11TH EDITION BY DANNY WEDDING TEST BANK COMPLETE...

25 USD

0

0

Burns and Groves The Practice of Nursing Research Appraisal, Synthesis, and Generation of Evidence 8th Edition Test Bank-LATEST STUDY GUIDE
View Document

Burns and Groves The Practice of Nursing Research Appraisal, Synthesis, and Generation of Evidence 8th Edition Test Bank-LATEST STUDY GUIDE

  • Kiboi

    Kiboi

  • questions & answers

Burns and Groves The Practice of Nursing Research Appraisal, Synthesis, and Generation of Evidence 8th Edition Test Bank...

25 USD

0

0

Applied Pathophysiology for the Advanced Practice Nurse 1st Edition Dlugasch Story Test Bank.
View Document

Applied Pathophysiology for the Advanced Practice Nurse 1st Edition Dlugasch Story Test Bank.

  • Kiboi

    Kiboi

  • questions & answers

Pass the nursing exam with Test Bank for Applied Pathophysiology for the Advanced Practice Nurse, 1st Edition by Dlugasc...

15 USD

0

0

2023 PEDIATRIC (PEDS) HESI EXIT VERSION 1 (V1) TEST BANK NEXT-GEN FORMAT (ALL 55 QUESTIONS & ANSWERS) ALL BRAND NEW QUESTIONS & 100% CORRECT – GUARANTEED A++ ALREADY GRADED
View Document

2023 PEDIATRIC (PEDS) HESI EXIT VERSION 1 (V1) TEST BANK NEXT-GEN FORMAT (ALL 55 QUESTIONS & ANSWERS) ALL BRAND NEW QUESTIONS & 100% CORRECT – GUARANTEED A++ ALREADY GRADED

  • SAMUEL

    SAMUEL

  • test bank

2023 PEDIATRIC (PEDS) HESI EXIT VERSION 1 (V1) TEST BANK NEXT-GEN FORMAT (ALL 55 QUESTIONS & ANSWERS) ALL BRAND NEW QUES...

22 USD

0

0

2023 Critical Care Hesi Exit Exam (V2) Version 2 Test Bank Guide (ALL 55 Q&A) 100% Correct - Guaranteed A++ (Next Gen Format)ALREADY GRADED A+
View Document

2023 Critical Care Hesi Exit Exam (V2) Version 2 Test Bank Guide (ALL 55 Q&A) 100% Correct - Guaranteed A++ (Next Gen Format)ALREADY GRADED A+

  • SAMUEL

    SAMUEL

  • hesi

2023 Critical Care Hesi Exit Exam (V2) Version 2 Test Bank Guide (ALL 55 Q&A) 100% Correct - Guaranteed A++ (Next Gen Fo...

21 USD

0

0

Test Bank for Wong’s Essentials of Pediatric Nursing, 11th Edition (Hockenberry): All Chapters 1-31 with Verified Questions & Rationales
View Document

Test Bank for Wong’s Essentials of Pediatric Nursing, 11th Edition (Hockenberry): All Chapters 1-31 with Verified Questions & Rationales

  • Kiboi

    Kiboi

  • test bank

Master pediatric nursing with this complete test bank for Wong’s Essentials 11e: all 31 chapters, verified questions &...

30 USD

0

12

Understanding Pathophysiology 7th Edition Test Bank.
View Document

Understanding Pathophysiology 7th Edition Test Bank.

  • Kiboi

    Kiboi

  • test bank

Understanding Pathophysiology 7th Edition Test Bank....

25 USD

0

0

Understanding Medical Surgical Nursing 6th Edition Williams complete test bank
View Document

Understanding Medical Surgical Nursing 6th Edition Williams complete test bank

  • Kiboi

    Kiboi

  • test bank

Understanding Medical Surgical Nursing 6th Edition Williams complete test bank...

25 USD

0

0

Test banks for  Nursing Interventions & Clinical Skills, 7th Edition by perry et al complete A+
View Document

Test banks for Nursing Interventions & Clinical Skills, 7th Edition by perry et al complete A+

  • Kiboi

    Kiboi

  • test bank

Test banks for Nursing Interventions & Clinical Skills, 7th Edition by perry et al complete A+...

25 USD

0

0

Test Bank; Maternal-Newborn Nursing The Critical Components of Nursing Care, 3rd Edition, Roberta Durham, Linda Chapman
View Document

Test Bank; Maternal-Newborn Nursing The Critical Components of Nursing Care, 3rd Edition, Roberta Durham, Linda Chapman

  • Kiboi

    Kiboi

  • test bank

Test Bank; Maternal-Newborn Nursing The Critical Components of Nursing Care, 3rd Edition, Roberta Durham, Linda Chapman...

25 USD

0

0

Test Bank; Leading and Managing in Nursing, 6th Edition, By Patricia S. YoderWise
View Document

Test Bank; Leading and Managing in Nursing, 6th Edition, By Patricia S. YoderWise

  • Kiboi

    Kiboi

  • test bank

Test Bank; Leading and Managing in Nursing, 6th Edition, By Patricia S. YoderWise...

25 USD

0

0

Test Bank Safe Maternity & Pediatric Nursing Care Second Edition by Luanne Linnard-Palmer Chapter 1-38 Complete Guide A+
View Document

Test Bank Safe Maternity & Pediatric Nursing Care Second Edition by Luanne Linnard-Palmer Chapter 1-38 Complete Guide A+

  • Kiboi

    Kiboi

  • test bank

Test Bank Safe Maternity & Pediatric Nursing Care Second Edition by Luanne Linnard-Palmer Chapter 1-38 Complete Guide A+...

25 USD

0

0

TEST BANK Pharmacology and the Nursing Process 9th Edition Linda Lane Lilley, Shelly Rainforth Collins, Julie S. Snyder all chapters 1-58 complete questions, answers, rationales A+ Guide
View Document

TEST BANK Pharmacology and the Nursing Process 9th Edition Linda Lane Lilley, Shelly Rainforth Collins, Julie S. Snyder all chapters 1-58 complete questions, answers, rationales A+ Guide

  • Kiboi

    Kiboi

  • test bank

TEST BANK Pharmacology and the Nursing Process 9th Edition Linda Lane Lilley, Shelly Rainforth Collins, Julie S. Snyder ...

25 USD

0

0

Test Bank Pharmacology A Patient-Centered Nursing Process Approach,11th Edition by Linda E. McCuistion Chapter 1-58 Complete
View Document

Test Bank Pharmacology A Patient-Centered Nursing Process Approach,11th Edition by Linda E. McCuistion Chapter 1-58 Complete

  • Kiboi

    Kiboi

  • test bank

Test Bank Pharmacology A Patient-Centered Nursing Process Approach,11th Edition by Linda E. McCuistion Chapter 1-58 Comp...

25 USD

0

0

test bank medical surgical nursing 9th edition ignatavicius workman.pdf
View Document

test bank medical surgical nursing 9th edition ignatavicius workman.pdf

  • Kiboi

    Kiboi

  • test bank

test bank medical surgical nursing 9th edition ignatavicius workman.pdf...

25 USD

0

0

Test Bank McCance Pathophysiology Biologic Basis for Disease 8th 2018.
View Document

Test Bank McCance Pathophysiology Biologic Basis for Disease 8th 2018.

  • Kiboi

    Kiboi

  • test bank

Test Bank McCance Pathophysiology Biologic Basis for Disease 8th 2018....

25 USD

0

0

Test Bank Lehnes Pharmacology for Nursing Care, 11th Edition by Jacqueline Burchum, Laura Rosenthal Chapter 1-112 Complete Guide A+
View Document

Test Bank Lehnes Pharmacology for Nursing Care, 11th Edition by Jacqueline Burchum, Laura Rosenthal Chapter 1-112 Complete Guide A+

  • Kiboi

    Kiboi

  • test bank

Test Bank Lehnes Pharmacology for Nursing Care, 11th Edition by Jacqueline Burchum, Laura Rosenthal Chapter 1-112 Comple...

25 USD

0

0

Test Bank for Safe Maternity & PediatricNursing Care 2nd edition by Linnard palmer
View Document

Test Bank for Safe Maternity & PediatricNursing Care 2nd edition by Linnard palmer

  • Kiboi

    Kiboi

  • exam

Test Bank for Safe Maternity & PediatricNursing Care 2nd edition by Linnard palmer...

25 USD

0

0

TEST BANK FOR PUBLIC HEALTH NURSING POPULATION CENTERED HEALTH CARE IN THE COMMUNITY 9TH EDITION
View Document

TEST BANK FOR PUBLIC HEALTH NURSING POPULATION CENTERED HEALTH CARE IN THE COMMUNITY 9TH EDITION

  • Kiboi

    Kiboi

  • exam

TEST BANK FOR PUBLIC HEALTH NURSING POPULATION CENTERED HEALTH CARE IN THE COMMUNITY 9TH EDITION...

25 USD

0

0

TEST BANK FOR PSYCHOLOGICAL TESTING PRINCIPLES, APPLICATIONS, AND ISSUES, 9TH EDITION, ROBERT M. KAPLAN, DENNIS P. SACCUZZO
View Document

TEST BANK FOR PSYCHOLOGICAL TESTING PRINCIPLES, APPLICATIONS, AND ISSUES, 9TH EDITION, ROBERT M. KAPLAN, DENNIS P. SACCUZZO

  • Kiboi

    Kiboi

  • exam

TEST BANK FOR PSYCHOLOGICAL TESTING PRINCIPLES, APPLICATIONS, AND ISSUES, 9TH EDITION, ROBERT M. KAPLAN, DENNIS P. SACCU...

25 USD

0

0

Test Bank for Psychological Science, 6th Edition, Michael Gazzaniga
View Document

Test Bank for Psychological Science, 6th Edition, Michael Gazzaniga

  • Kiboi

    Kiboi

  • exam

Test Bank for Psychological Science, 6th Edition, Michael Gazzaniga...

25 USD

0

0

TEST BANK FOR PSYCHIATRIC NURSING CONTEMPORARY PRACTICE, 5TH EDITION, MARY ANN BOYD
View Document

TEST BANK FOR PSYCHIATRIC NURSING CONTEMPORARY PRACTICE, 5TH EDITION, MARY ANN BOYD

  • Kiboi

    Kiboi

  • exam

TEST BANK FOR PSYCHIATRIC NURSING CONTEMPORARY PRACTICE, 5TH EDITION, MARY ANN BOYD...

25 USD

0

0

Test Bank for Psychiatric Nursing Contemporary Practice 5th Edition Mary Ann Boyd all chapters
View Document

Test Bank for Psychiatric Nursing Contemporary Practice 5th Edition Mary Ann Boyd all chapters

  • Kiboi

    Kiboi

  • exam

Test Bank for Psychiatric Nursing Contemporary Practice 5th Edition Mary Ann Boyd all chapters...

25 USD

0

0

TEST BANK FOR PSYCHIATRIC MENTAL HEALTH NURSING 8TH EDITION BY VIDEBECK
View Document

TEST BANK FOR PSYCHIATRIC MENTAL HEALTH NURSING 8TH EDITION BY VIDEBECK

  • Kiboi

    Kiboi

  • exam

TEST BANK FOR PSYCHIATRIC MENTAL HEALTH NURSING 8TH EDITION BY VIDEBECK...

25 USD

0

0

TEST BANK FOR PROFESSIONAL NURSING CONCEPTS & CHALLENGES 9TH EDITION BETH BLACK
View Document

TEST BANK FOR PROFESSIONAL NURSING CONCEPTS & CHALLENGES 9TH EDITION BETH BLACK

  • Kiboi

    Kiboi

  • exam

TEST BANK FOR PROFESSIONAL NURSING CONCEPTS & CHALLENGES 9TH EDITION BETH BLACK...

25 USD

0

0

TEST BANK FOR PRINCIPLES OF PEDIATRIC NURSING CARING FOR CHILDREN, 7E (BALL ET AL.) NEWLY UPDATED
View Document

TEST BANK FOR PRINCIPLES OF PEDIATRIC NURSING CARING FOR CHILDREN, 7E (BALL ET AL.) NEWLY UPDATED

  • Kiboi

    Kiboi

  • exam

TEST BANK FOR PRINCIPLES OF PEDIATRIC NURSING CARING FOR CHILDREN, 7E (BALL ET AL.) NEWLY UPDATED...

25 USD

0

0

test bank for Prescotts Principles of Microbiology
View Document

test bank for Prescotts Principles of Microbiology

  • Kiboi

    Kiboi

  • exam

test bank for Prescotts Principles of Microbiology – Download PDF...

25 USD

0

0

Test Bank for Pilbeams Mechanical Ventilation 7th Edition by Cairo
View Document

Test Bank for Pilbeams Mechanical Ventilation 7th Edition by Cairo

  • Kiboi

    Kiboi

  • exam

Test Bank for Pilbeams Mechanical Ventilation 7th Edition by Cairo...

25 USD

0

0

Test Bank for Pilbeam’s Mechanical Ventilation, 6th Edition, J M Cairo
View Document

Test Bank for Pilbeam’s Mechanical Ventilation, 6th Edition, J M Cairo

  • Kiboi

    Kiboi

  • exam

Test Bank for Pilbeam’s Mechanical Ventilation, 6th Edition, J M Cairo...

25 USD

0

0

TEST BANK FOR PHARMACOTHERAPEUTICS FOR ADVANCED PRACTICE NURSE PRESCRIBERS 5TH EDITION WOO ROBINSON ALL CHAPTERS
View Document

TEST BANK FOR PHARMACOTHERAPEUTICS FOR ADVANCED PRACTICE NURSE PRESCRIBERS 5TH EDITION WOO ROBINSON ALL CHAPTERS

  • Kiboi

    Kiboi

  • exam

TEST BANK FOR PHARMACOTHERAPEUTICS FOR ADVANCED PRACTICE NURSE PRESCRIBERS 5TH EDITION WOO ROBINSON ALL CHAPTERS...

25 USD

0

0

TEST BANK FOR PHARMACOLOGY FOR PRIMARY PROVIDER 4TH EDITION EDMUNDS
View Document

TEST BANK FOR PHARMACOLOGY FOR PRIMARY PROVIDER 4TH EDITION EDMUNDS

  • Kiboi

    Kiboi

  • exam

TEST BANK FOR PHARMACOLOGY FOR PRIMARY PROVIDER 4TH EDITION EDMUNDS...

25 USD

0

0

TEST BANK FOR PHARMACOLOGY FOR PRIMARY PROVIDER 4TH EDITION EDMUNDS
View Document

TEST BANK FOR PHARMACOLOGY FOR PRIMARY PROVIDER 4TH EDITION EDMUNDS

  • Kiboi

    Kiboi

  • exam

TEST BANK FOR PHARMACOLOGY FOR PRIMARY PROVIDER 4TH EDITION EDMUNDS...

25 USD

0

0

TEST BANK FOR PHARMACOLOGY AND THE NURSING PROCESS 9TH EDITION BY LILLEY
View Document

TEST BANK FOR PHARMACOLOGY AND THE NURSING PROCESS 9TH EDITION BY LILLEY

  • Kiboi

    Kiboi

  • exam

TEST BANK FOR PHARMACOLOGY AND THE NURSING PROCESS 9TH EDITION BY LILLEY...

25 USD

0

0

TEST BANK FOR PHARMACOLOGY AND THE NURSING PROCESS 8TH EDITION BY LILLEY
View Document

TEST BANK FOR PHARMACOLOGY AND THE NURSING PROCESS 8TH EDITION BY LILLEY

  • Kiboi

    Kiboi

  • exam

TEST BANK FOR PHARMACOLOGY AND THE NURSING PROCESS 8TH EDITION BY LILLEY...

25 USD

0

0

TEST BANK FOR PHARMACOLOGY AND THE NURSING PROCESS 7TH EDITION BY LILLEY
View Document

TEST BANK FOR PHARMACOLOGY AND THE NURSING PROCESS 7TH EDITION BY LILLEY

  • Kiboi

    Kiboi

  • exam

TEST BANK FOR PHARMACOLOGY AND THE NURSING PROCESS 7TH EDITION BY LILLEY...

25 USD

0

0

Test Bank for Pharmacology 10th Edition A Patient-Centered Nursing Process Approach By Linda McCuistion, Kathleen DiMaggio, Mary Beth Winton, Jennifer Yeager Complete Guide A+
View Document

Test Bank for Pharmacology 10th Edition A Patient-Centered Nursing Process Approach By Linda McCuistion, Kathleen DiMaggio, Mary Beth Winton, Jennifer Yeager Complete Guide A+

  • Kiboi

    Kiboi

  • exam

Test Bank for Pharmacology 10th Edition A Patient-Centered Nursing Process Approach By Linda McCuistion, Kathleen DiMagg...

25 USD

0

0

TEST BANK FOR PEDIATRIC PRIMARY CARE 4TH EDITION RICHARDSON
View Document

TEST BANK FOR PEDIATRIC PRIMARY CARE 4TH EDITION RICHARDSON

  • Kiboi

    Kiboi

  • exam

TEST BANK FOR PEDIATRIC PRIMARY CARE 4TH EDITION RICHARDSON...

25 USD

0

0

Test Bank For Pediatric Physical Examination An Illustrated Handbook 3rd Edition Duderstadt
View Document

Test Bank For Pediatric Physical Examination An Illustrated Handbook 3rd Edition Duderstadt

  • Kiboi

    Kiboi

  • exam

Test Bank For Pediatric Physical Examination An Illustrated Handbook 3rd Edition Duderstadt...

25 USD

0

0

TEST BANK FOR PEDIATRIC NURSING THE CRITICAL COMPONENTS OF NURSING CARE 2ND EDITION RUDD
View Document

TEST BANK FOR PEDIATRIC NURSING THE CRITICAL COMPONENTS OF NURSING CARE 2ND EDITION RUDD

  • Kiboi

    Kiboi

  • exam

TEST BANK FOR PEDIATRIC NURSING THE CRITICAL COMPONENTS OF NURSING CARE 2ND EDITION RUDD...

25 USD

0

0

Test Bank For Pediatric Nursing A Case-Based Approach 1st Edition Tagher Knapp
View Document

Test Bank For Pediatric Nursing A Case-Based Approach 1st Edition Tagher Knapp

  • Kiboi

    Kiboi

  • exam

Test Bank For Pediatric Nursing A Case-Based Approach 1st Edition Tagher Knapp...

25 USD

0

0

Test Bank For Pathophysiology 7th Edition by Jacquelyn L. Banasik Chapter 1-54 Complete Guide
View Document

Test Bank For Pathophysiology 7th Edition by Jacquelyn L. Banasik Chapter 1-54 Complete Guide

  • Kiboi

    Kiboi

  • exam

Test Bank For Pathophysiology 7th Edition by Jacquelyn L. Banasik Chapter 1-54 Complete Guide...

25 USD

0

0

Test Bank For Pathophysiology 6th Edition by Jacquelyn L. Banasik Chapter 1-54 Complete Guide
View Document

Test Bank For Pathophysiology 6th Edition by Jacquelyn L. Banasik Chapter 1-54 Complete Guide

  • Kiboi

    Kiboi

  • exam

Test Bank For Pathophysiology 6th Edition by Jacquelyn L. Banasik Chapter 1-54 Complete Guide...

25 USD

0

0

TEST BANK FOR PATHOPHYSIOLOGY 5TH EDITION
View Document

TEST BANK FOR PATHOPHYSIOLOGY 5TH EDITION

  • Kiboi

    Kiboi

  • exam

TEST BANK FOR PATHOPHYSIOLOGY 5TH EDITION...

25 USD

0

0

Test bank for Pathophysiology 5th Edition by Copstead and Banasik
View Document

Test bank for Pathophysiology 5th Edition by Copstead and Banasik

  • Kiboi

    Kiboi

  • exam

Test bank for Pathophysiology 5th Edition by Copstead and Banasik...

25 USD

0

0

Test Bank for Organizational Behavior; Bridging Science and Practice v3.0 by Talya Bauer, Berrin Erdogan
View Document

Test Bank for Organizational Behavior; Bridging Science and Practice v3.0 by Talya Bauer, Berrin Erdogan

  • Kiboi

    Kiboi

  • exam

Test Bank for Organizational Behavior; Bridging Science and Practice v3.0 by Talya Bauer, Berrin Erdogan...

25 USD

0

0

TEST BANK FOR ORAL PATHOLOGY FOR THE DENTAL HYGIENIST 7TH EDITION IBSEN
View Document

TEST BANK FOR ORAL PATHOLOGY FOR THE DENTAL HYGIENIST 7TH EDITION IBSEN

  • Kiboi

    Kiboi

  • exam

TEST BANK FOR ORAL PATHOLOGY FOR THE DENTAL HYGIENIST 7TH EDITION IBSEN...

25 USD

0

0

TEST BANK FOR NURSING LEADERSHIP, MANAGEMENT, AND PROFESSIONAL PRACTICE FOR THE LPN LVN 6TH EDITION BY DAHLKEMPER
View Document

TEST BANK FOR NURSING LEADERSHIP, MANAGEMENT, AND PROFESSIONAL PRACTICE FOR THE LPN LVN 6TH EDITION BY DAHLKEMPER

  • Kiboi

    Kiboi

  • exam

TEST BANK FOR NURSING LEADERSHIP, MANAGEMENT, AND PROFESSIONAL PRACTICE FOR THE LPN LVN 6TH EDITION BY DAHLKEMPER...

25 USD

0

0

TEST BANK FOR NURSING LEADERSHIP MANAGEMENT AND PROFESSIONAL PRACTICE FOR THE LPN LVN 6TH EDITION TAMARA R DAHLKEMPER ALL CHAPTERS
View Document

TEST BANK FOR NURSING LEADERSHIP MANAGEMENT AND PROFESSIONAL PRACTICE FOR THE LPN LVN 6TH EDITION TAMARA R DAHLKEMPER ALL CHAPTERS

  • Kiboi

    Kiboi

  • exam

TEST BANK FOR NURSING LEADERSHIP MANAGEMENT AND PROFESSIONAL PRACTICE FOR THE LPN LVN 6TH EDITION TAMARA R DAHLKEMPER AL...

25 USD

0

0

TEST BANK FOR NURSING INFORMATICS AND THE FOUNDATION OF KNOWLEDGE 4TH EDITION
View Document

TEST BANK FOR NURSING INFORMATICS AND THE FOUNDATION OF KNOWLEDGE 4TH EDITION

  • Kiboi

    Kiboi

  • exam

TEST BANK FOR NURSING INFORMATICS AND THE FOUNDATION OF KNOWLEDGE 4TH EDITION...

25 USD

0

0

TEST BANK FOR NURSING INFORMATICS AND THE FOUNDATION OF KNOWLEDGE 4TH EDITION
View Document

TEST BANK FOR NURSING INFORMATICS AND THE FOUNDATION OF KNOWLEDGE 4TH EDITION

  • Kiboi

    Kiboi

  • exam

TEST BANK FOR NURSING INFORMATICS AND THE FOUNDATION OF KNOWLEDGE 4TH EDITION...

25 USD

0

0

Test Bank for Nursing Health Assessment The Foundation of Clinical Practice, 3rd Edition, Patricia M. Dillon
View Document

Test Bank for Nursing Health Assessment The Foundation of Clinical Practice, 3rd Edition, Patricia M. Dillon

  • Kiboi

    Kiboi

  • exam

Test Bank for Nursing Health Assessment The Foundation of Clinical Practice, 3rd Edition, Patricia M. Dillon...

25 USD

0

0

TEST BANK FOR NURSING DELEGATION AND MANAGEMENT OF PATIENT CARE 2ND EDITION BY MOTACKI
View Document

TEST BANK FOR NURSING DELEGATION AND MANAGEMENT OF PATIENT CARE 2ND EDITION BY MOTACKI

  • Kiboi

    Kiboi

  • exam

TEST BANK FOR NURSING DELEGATION AND MANAGEMENT OF PATIENT CARE 2ND EDITION BY MOTACKI...

25 USD

0

0

Test bank for microbiology a systems approach 6th edition by marjorie kelly,cowan heidi smith.
View Document

Test bank for microbiology a systems approach 6th edition by marjorie kelly,cowan heidi smith.

  • Kiboi

    Kiboi

  • exam

Test bank for microbiology a systems approach 6th edition by marjorie kelly,cowan heidi smith....

25 USD

0

0

Test Bank for Medical Surgical Nursing Critical Thinking in Client Care 4th Edition Priscilla LeMon
View Document

Test Bank for Medical Surgical Nursing Critical Thinking in Client Care 4th Edition Priscilla LeMon

  • Kiboi

    Kiboi

  • exam

Test Bank for Medical Surgical Nursing Critical Thinking in Client Care 4th Edition Priscilla LeMon...

25 USD

0

0

Test Bank for MCQ on Linear Programming Problem”
View Document

Test Bank for MCQ on Linear Programming Problem”

  • Kiboi

    Kiboi

  • exam

Test Bank for MCQ on Linear Programming Problem”...

25 USD

0

0

Test Bank for Leading and Managing in Nursing 7th Edition by Yoder Wise (chapters 1-30) complete.
View Document

Test Bank for Leading and Managing in Nursing 7th Edition by Yoder Wise (chapters 1-30) complete.

  • Kiboi

    Kiboi

  • exam

Test Bank for Leading and Managing in Nursing 7th Edition by Yoder Wise (chapters 1-30) complete....

25 USD

0

0

TEST BANK FOR INTRODUCTION TO CRITICAL CARE NURSING 7TH EDITION BY SOLE
View Document

TEST BANK FOR INTRODUCTION TO CRITICAL CARE NURSING 7TH EDITION BY SOLE

  • Kiboi

    Kiboi

  • exam

TEST BANK FOR INTRODUCTION TO CRITICAL CARE NURSING 7TH EDITION BY SOLE...

25 USD

0

0

TEST BANK FOR HUMAN BODY IN HEALTH AND DISEASE 7TH EDITION BY PATTON (2024)
View Document

TEST BANK FOR HUMAN BODY IN HEALTH AND DISEASE 7TH EDITION BY PATTON (2024)

  • Kiboi

    Kiboi

  • exam

TEST BANK FOR HUMAN BODY IN HEALTH AND DISEASE 7TH EDITION BY PATTON (2024)...

25 USD

0

0

Test Bank For Fundamental Concepts and Skills for Nursing 5th Edition by Patricia A. Williams Chapter 141 Complete Guide A+
View Document

Test Bank For Fundamental Concepts and Skills for Nursing 5th Edition by Patricia A. Williams Chapter 141 Complete Guide A+

  • Kiboi

    Kiboi

  • exam

Test Bank For Fundamental Concepts and Skills for Nursing 5th Edition by Patricia A. Williams Chapter 141 Complete Guide...

25 USD

0

0

Test Bank for Canadian Fundamentals of Nursing 6th Edition by Potter all chapters 1-48 (questions & answers) A+ guide
View Document

Test Bank for Canadian Fundamentals of Nursing 6th Edition by Potter all chapters 1-48 (questions & answers) A+ guide

  • Kiboi

    Kiboi

  • exam

Ace your nursing exams with the Test Bank for Canadian Fundamentals of Nursing, 6th Edition by Potter. This A+ guide pro...

30 USD

0

0

TEST BANK - PSYCHIATRIC MENTAL HEALTH NURSING BY MARY TOWNSEND (9TH EDITION, 2023)
View Document

TEST BANK - PSYCHIATRIC MENTAL HEALTH NURSING BY MARY TOWNSEND (9TH EDITION, 2023)

  • Kiboi

    Kiboi

  • test bank

TEST BANK - PSYCHIATRIC MENTAL HEALTH NURSING BY MARY TOWNSEND (9TH EDITION, 2023)...

25 USD

0

0

PROFESSIONAL NURSING PRACTICE LEWIS;MEDICAL-SURGICAL NURSING, 10TH EDITION, COMPLETE TEST BANK
View Document

PROFESSIONAL NURSING PRACTICE LEWIS;MEDICAL-SURGICAL NURSING, 10TH EDITION, COMPLETE TEST BANK

  • Kiboi

    Kiboi

  • test bank

PROFESSIONAL NURSING PRACTICE LEWIS;MEDICAL-SURGICAL NURSING, 10TH EDITION, COMPLETE TEST BANK – Download PDF...

25 USD

0

0

Pharmacotherapeutics for Advanced Practice Nurse Prescribers 5th Edition Woo Robinson Test Bank
View Document

Pharmacotherapeutics for Advanced Practice Nurse Prescribers 5th Edition Woo Robinson Test Bank

  • Kiboi

    Kiboi

  • test bank

Pharmacotherapeutics for Advanced Practice Nurse Prescribers 5th Edition Woo Robinson Test Bank...

25 USD

0

0

Mental Health and Psychiatric Nursing NCLEX Practice Questions Nursing Test Bank (700+ Questions)
View Document

Mental Health and Psychiatric Nursing NCLEX Practice Questions Nursing Test Bank (700+ Questions)

  • Kiboi

    Kiboi

  • test bank

Mental Health and Psychiatric Nursing NCLEX Practice Questions Nursing Test Bank (700+ Questions) – Download PDF...

25 USD

0

0

Maternity and Pediatric Nursing 4th Edition Ricci Kyle Carman Test Bank
View Document

Maternity and Pediatric Nursing 4th Edition Ricci Kyle Carman Test Bank

  • Kiboi

    Kiboi

  • test bank

Study the test bank for 'Maternity and Pediatric Nursing 4th Edition' by Ricci, Kyle, and Carman. Enhance your study wit...

15 USD

0

0

Lewis Medical Surgical Nursing 11th Edition Test Bank (LATEST 2024) BY MARIANN M. HARDING
View Document

Lewis Medical Surgical Nursing 11th Edition Test Bank (LATEST 2024) BY MARIANN M. HARDING

  • Kiboi

    Kiboi

  • test bank

Lewis Medical Surgical Nursing 11th Edition Test Bank (LATEST 2024) BY MARIANN M. HARDING – Download PDF...

25 USD

0

0

INTRODUCTION TO MATERNITY AND PEDIATRIC NURSING 8TH EDITION LEIFER TEST BANK
View Document

INTRODUCTION TO MATERNITY AND PEDIATRIC NURSING 8TH EDITION LEIFER TEST BANK

  • Kiboi

    Kiboi

  • test bank

INTRODUCTION TO MATERNITY AND PEDIATRIC NURSING 8TH EDITION LEIFER TEST BANK – Download PDF...

25 USD

0

0

This is an updated version of the Nursing Test Bank illustrating Introduction to Obstetric and Pediatric Nursing (7th Edition) by Leifer.
View Document

This is an updated version of the Nursing Test Bank illustrating Introduction to Obstetric and Pediatric Nursing (7th Edition) by Leifer.

  • Kiboi

    Kiboi

  • test bank

This is an updated version of the Nursing Test Bank illustrating Introduction to Obstetric and Pediatric Nursing (7th Ed...

25 USD

0

0

Test Bank For Health Assessment for Nursing Practice 8th Edition By Susan Fickertt Wilson Jean Foret Giddens
View Document

Test Bank For Health Assessment for Nursing Practice 8th Edition By Susan Fickertt Wilson Jean Foret Giddens

  • K

    K

  • test bank

Test Bank For Health Assessment for Nursing Practice 8th Edition By Susan Fickertt Wilson Jean Foret Giddens...

18 USD

0

0

Test Bank For Health Assessment for Nursing Practice 7th Edition By Susan Fickertt Wilson All Chapters
View Document

Test Bank For Health Assessment for Nursing Practice 7th Edition By Susan Fickertt Wilson All Chapters

  • K

    K

  • test bank

Test Bank For Health Assessment for Nursing Practice 7th Edition By Susan Fickertt Wilson All Chapters...

17 USD

0

0

Test Bank For Microbiology Fundamentals 4th Edition by Cowan All Chapters | Chapter 1-22 | 9781260702439
View Document

Test Bank For Microbiology Fundamentals 4th Edition by Cowan All Chapters | Chapter 1-22 | 9781260702439

  • K

    K

  • test bank

Test Bank For Microbiology Fundamentals 4th Edition by Cowan All Chapters | Chapter 1-22 | 9781260702439...

17 USD

0

0

Test Bank for Clinical Chemistry Principles, Techniques, and Correlations 9th Edition by Bishop Fody
View Document

Test Bank for Clinical Chemistry Principles, Techniques, and Correlations 9th Edition by Bishop Fody

  • K

    K

  • test bank

Test Bank for Clinical Chemistry Principles, Techniques, and Correlations 9th Edition by Bishop Fody...

17 USD

0

0

Test Bank Stanhope: Public Health Nursing: Population- centered Health Care in the community 10th Edition
View Document

Test Bank Stanhope: Public Health Nursing: Population- centered Health Care in the community 10th Edition

  • studypal

    studypal

  • test bank

Test Bank Stanhope: Public Health Nursing: Population- centered Health Care in the community 10th Edition...

10 USD

0

0

TNCC EXAM TEST BANK ACTUAL TEST BANK 250+  COMPLETE QUESTIONS AND CORRECT VERIFIED ANSWERS LATEST 2023-2024 | RATED A+
View Document

TNCC EXAM TEST BANK ACTUAL TEST BANK 250+ COMPLETE QUESTIONS AND CORRECT VERIFIED ANSWERS LATEST 2023-2024 | RATED A+

  • wiseman

    wiseman

  • questions & answers

TNCC EXAM TEST BANK ACTUAL TEST BANK 250+ COMPLETE QUESTIONS AND CORRECT VERIFIED ANSWERS LATEST 2023-2024 | RATED A+...

18 USD

0

0

Test Bank for Primary Care: The Art and Science of Advanced Practice Nursing, 6th Edition by Dunphy
View Document

Test Bank for Primary Care: The Art and Science of Advanced Practice Nursing, 6th Edition by Dunphy

  • kevv

    kevv

  • test bank

Download the official Test Bank for Primary Care: The Art and Science of Advanced Practice Nursing, 6th Edition by Dunph...

15 USD

0

0

Test Banks For Guyton and Hall Textbook of Medical Physiology 14th Edition by John E. Hall; Michael E. Hall | Chapter 1-86
View Document

Test Banks For Guyton and Hall Textbook of Medical Physiology 14th Edition by John E. Hall; Michael E. Hall | Chapter 1-86

  • kevv

    kevv

  • test bank

Guyton and Hall Textbook of Medical Physiology 14th Edition Hall Test Bank...

15 USD

7

44

Test Bank- Essentials of Maternity Newborn and Women’s Health Nursing 5th Edition Susan Ricci
View Document

Test Bank- Essentials of Maternity Newborn and Women’s Health Nursing 5th Edition Susan Ricci

  • TEXTWIZARD

    TEXTWIZARD

  • test bank

Download the test bank for Essentials of Maternity, Newborn, and Women’s Health Nursing, 5th Edition by Susan Ricci. T...

15 USD

0

0

Test Bank for Perry’s Maternal Child Nursing Care in Canada, 4th Edition
View Document

Test Bank for Perry’s Maternal Child Nursing Care in Canada, 4th Edition

  • mentor2000

    mentor2000

  • exam

Prepare for your maternal and child nursing exams with the Test Bank for Perry’s Maternal Child Nursing Care in Canada...

18 USD

0

0

Test Bank for Perry’s Maternal Child Nursing Care in Canada, 3rd Edition
View Document

Test Bank for Perry’s Maternal Child Nursing Care in Canada, 3rd Edition

  • mentor2000

    mentor2000

  • exam

Get exam-ready with the Test Bank for Perry’s Maternal Child Nursing Care in Canada, 3rd Edition. Access expertly craf...

16 USD

0

0

Test Bank for Understanding Medical-Surgical Nursing 6th Edition Linda S. Williams Paula D. Hopper
View Document

Test Bank for Understanding Medical-Surgical Nursing 6th Edition Linda S. Williams Paula D. Hopper

  • studypal

    studypal

  • test bank

Test Bank for Understanding Medical-Surgical Nursing 6th Edition Linda S. Williams Paula D. Hopper...

12 USD

0

0

Clinical Nurse Leader, CNL Test Bank Question with correct Answers latest update
View Document

Clinical Nurse Leader, CNL Test Bank Question with correct Answers latest update

  • studypal

    studypal

  • test bank

Clinical Nurse Leader, CNL Test Bank Question with correct Answers latest update – Download PDF...

14 USD

0

0

ServSafe Manager Exam master test bank (COMPLETE SOLUTION)
View Document

ServSafe Manager Exam master test bank (COMPLETE SOLUTION)

  • studypal

    studypal

  • questions & answers

ServSafe Manager Exam master test bank (COMPLETE SOLUTION)...

14 USD

0

0

Test Bank for Myers Psychology for the AP Course Third  Edition David G Myers
View Document

Test Bank for Myers Psychology for the AP Course Third Edition David G Myers

  • mentor2000

    mentor2000

  • test bank

Get the Test Bank for Myers' Psychology for the AP® Course, 3rd Edition by David G. Myers and C. Nathan DeWall. This re...

15 USD

0

3

Test Bank For Textbook of Basic Nursing 11th Edition By Caroline Bunker Rosdahl, Mary T. Kowalski
View Document

Test Bank For Textbook of Basic Nursing 11th Edition By Caroline Bunker Rosdahl, Mary T. Kowalski

  • mentor2000

    mentor2000

  • test bank

Test Bank For Textbook of Basic Nursing 11th Edition By Caroline Bunker Rosdahl, Mary T. Kowalski...

17 USD

0

0

Test bank for Biochemistry Concepts and Connections 2nd edition by Dean Appling
View Document

Test bank for Biochemistry Concepts and Connections 2nd edition by Dean Appling

  • GradeA

    GradeA

  • shadow health

Test bank for Biochemistry Concepts and Connections 2nd edition by Dean Appling...

16 USD

0

0

Test Bank for Microbiology, An Introduction, 13th Edition Tortora
View Document

Test Bank for Microbiology, An Introduction, 13th Edition Tortora

  • GradeA

    GradeA

  • shadow health

Test Bank for Microbiology, An Introduction, 13th Edition Tortora...

16 USD

0

0

Project Management 8th Edition Larson Test Bank
View Document

Project Management 8th Edition Larson Test Bank

  • GradeA

    GradeA

  • test bank

Project Management 8th Edition Larson Test Bank...

17 USD

0

0

Test Bank for Ignataviciuss Medical-Surgical Nursing, 11th Edition
View Document

Test Bank for Ignataviciuss Medical-Surgical Nursing, 11th Edition

  • mentor2000

    mentor2000

  • test bank

Get PDF Test Bank for Ignatavicius Medical-Surgical Nursing, 11th Edition. Comprehensive practice questions covering all...

15 USD

0

3

Test Bank for Psychological Science 7th Edition, Michael Gazzaniga
View Document

Test Bank for Psychological Science 7th Edition, Michael Gazzaniga

  • Clinton-Wanjala

    Clinton-Wanjala

  • test bank

Test Bank for Psychological Science 7th Edition, Michael Gazzaniga...

17 USD

0

0

Test Bank for Social Psychology Core Concepts and Emerging Trends 1st Edition Barrett
View Document

Test Bank for Social Psychology Core Concepts and Emerging Trends 1st Edition Barrett

  • Daniel-Onyapidi

    Daniel-Onyapidi

  • test bank

Test Bank for Social Psychology Core Concepts and Emerging Trends 1st Edition Barrett...

17 USD

0

0

Test Bank for Raven Biology of Plants 8th Edition Evert Raven Eichhorn
View Document

Test Bank for Raven Biology of Plants 8th Edition Evert Raven Eichhorn

  • Daniel-Onyapidi

    Daniel-Onyapidi

  • test bank

Test Bank for Raven Biology of Plants 8th Edition Evert Raven Eichhorn...

17 USD

0

0

Test Bank for Physics for Scientists and Engineers A Strategic Approach with Modern Physics 4th Edition Knight
View Document

Test Bank for Physics for Scientists and Engineers A Strategic Approach with Modern Physics 4th Edition Knight

  • Daniel-Onyapidi

    Daniel-Onyapidi

  • test bank

Test Bank for Physics for Scientists and Engineers A Strategic Approach with Modern Physics 4th Edition Knight...

18 USD

0

0

Test Bank for Organic Chemistry 9th Edition McMurry
View Document

Test Bank for Organic Chemistry 9th Edition McMurry

  • Daniel-Onyapidi

    Daniel-Onyapidi

  • test bank

Test Bank for Organic Chemistry 9th Edition by John McMurry, covering key topics from covalent bonding to organic reacti...

17 USD

0

0

Test Bank for Modern Competitive Strategy 4th Edition Walker Madsen
View Document

Test Bank for Modern Competitive Strategy 4th Edition Walker Madsen

  • Daniel-Onyapidi

    Daniel-Onyapidi

  • test bank

Test Bank for Modern Competitive Strategy 4th Edition Walker Madsen...

17 USD

0

0

Test Bank for Microeconomics An Intuitive Approach with Calculus 2nd Edition Thomas Nechyb
View Document

Test Bank for Microeconomics An Intuitive Approach with Calculus 2nd Edition Thomas Nechyb

  • Daniel-Onyapidi

    Daniel-Onyapidi

  • test bank

Test Bank for Microeconomics An Intuitive Approach with Calculus 2nd Edition Thomas Nechyb – Download PDF...

17 USD

0

0

Test Bank for Law and Ethics in the Business Environment 8th Halbert Ingulli
View Document

Test Bank for Law and Ethics in the Business Environment 8th Halbert Ingulli

  • Daniel-Onyapidi

    Daniel-Onyapidi

  • test bank

Test Bank for Law and Ethics in the Business Environment 8th Halbert Ingulli...

17 USD

0

0

Test Bank for Introduction to Derivatives and Risk Management 10th Edition Chance and Brooks
View Document

Test Bank for Introduction to Derivatives and Risk Management 10th Edition Chance and Brooks

  • Daniel-Onyapidi

    Daniel-Onyapidi

  • test bank

Test Bank for Introduction to Derivatives and Risk Management 10th Edition Chance and Brooks...

17 USD

0

0

Test Bank for Intellectual Property The Law of Trademarks Copyrights Patents and Trade Secrets 5th Edition Bouchoux
View Document

Test Bank for Intellectual Property The Law of Trademarks Copyrights Patents and Trade Secrets 5th Edition Bouchoux

  • Daniel-Onyapidi

    Daniel-Onyapidi

  • test bank

Test Bank for Intellectual Property The Law of Trademarks Copyrights Patents and Trade Secrets 5th Edition Bouchoux...

17 USD

0

0

Test Bank for Group Dynamics for Teams 5th Edition Levi
View Document

Test Bank for Group Dynamics for Teams 5th Edition Levi

  • Daniel-Onyapidi

    Daniel-Onyapidi

  • test bank

Test Bank for Group Dynamics for Teams 5th Edition Levi...

17 USD

0

0

Test Bank for Genetics A Conceptual Approach 6th Edition by Pierce
View Document

Test Bank for Genetics A Conceptual Approach 6th Edition by Pierce

  • Daniel-Onyapidi

    Daniel-Onyapidi

  • test bank

Access the Test Bank for Genetics: A Conceptual Approach, 6th Edition by Benjamin A. Pierce. Includes all chapters, ISBN...

15 USD

0

0

Test Bank for Forensic Science Fundamentals and Investigations 2nd Edition by Bertino
View Document

Test Bank for Forensic Science Fundamentals and Investigations 2nd Edition by Bertino

  • Daniel-Onyapidi

    Daniel-Onyapidi

  • test bank

Test Bank for Forensic Science Fundamentals and Investigations 2nd Edition by Bertino...

17 USD

0

0

Test Bank for Essentials of Negotiation 6th Edition by Lewicki Barry and Saunders
View Document

Test Bank for Essentials of Negotiation 6th Edition by Lewicki Barry and Saunders

  • Daniel-Onyapidi

    Daniel-Onyapidi

  • test bank

Test Bank for Essentials of Negotiation 6th Edition by Lewicki Barry and Saunders...

17 USD

0

0

Test Bank for Environment Science Issues Solutions 1st Edition by Molles Borrell
View Document

Test Bank for Environment Science Issues Solutions 1st Edition by Molles Borrell

  • Daniel-Onyapidi

    Daniel-Onyapidi

  • test bank

Test Bank for Environment Science Issues Solutions 1st Edition by Molles Borrell...

17 USD

0

0

Test Bank for Elements of Ecology Canadian 1st Edition by Smith Robert Smith and Waters
View Document

Test Bank for Elements of Ecology Canadian 1st Edition by Smith Robert Smith and Waters

  • Daniel-Onyapidi

    Daniel-Onyapidi

  • test bank

Test Bank for Elements of Ecology Canadian 1st Edition by Smith Robert Smith and Waters...

17 USD

0

0

Test Bank for Decoding the Ethics Code A Practical Guide for Psychologists 4th Edition by Fisher
View Document

Test Bank for Decoding the Ethics Code A Practical Guide for Psychologists 4th Edition by Fisher

  • Daniel-Onyapidi

    Daniel-Onyapidi

  • test bank

Test Bank for Decoding the Ethics Code A Practical Guide for Psychologists 4th Edition by Fisher...

17 USD

0

0

Test Bank for Americas History Volume 19th Edition Edwards Hinderaker Self Henretta
View Document

Test Bank for Americas History Volume 19th Edition Edwards Hinderaker Self Henretta

  • Daniel-Onyapidi

    Daniel-Onyapidi

  • test bank

Test Bank for Americas History Volume 19th Edition Edwards Hinderaker Self Henretta...

17 USD

0

0

Test Bank Strategic Management Text And Cases 11th Edition By Dess, McNamara, Eisner
View Document

Test Bank Strategic Management Text And Cases 11th Edition By Dess, McNamara, Eisner

  • Angelicer

    Angelicer

  • test bank

Test Bank Strategic Management Text And Cases 11th Edition By Dess, McNamara, Eisner...

18 USD

0

0

Test Bank Strategic Management Text And Cases 10th Edition By Dess, McNamara, Eisner
View Document

Test Bank Strategic Management Text And Cases 10th Edition By Dess, McNamara, Eisner

  • mentor2000

    mentor2000

  • test bank

Test Bank Strategic Management Text And Cases 10th Edition By Dess, McNamara, Eisner...

17 USD

0

0

Test Bank for Essential Genetics, a Genomic Perspective 8th Edition By Daniel L. Hartl
View Document

Test Bank for Essential Genetics, a Genomic Perspective 8th Edition By Daniel L. Hartl

  • mentor2000

    mentor2000

  • test bank

Test Bank for Essential Genetics, a Genomic Perspective 8th Edition By Daniel L. Hartl...

0 USD

0

0

Test Bank for Sociology in Our Times 12th Edition by Diana Kendall
View Document

Test Bank for Sociology in Our Times 12th Edition by Diana Kendall

  • Namwaki

    Namwaki

  • test bank

Test Bank for Sociology in Our Times 12th Edition by Diana Kendall...

17 USD

0

0

Test Bank for Sociology in Our Times 11th Edition by Diana Kendall
View Document

Test Bank for Sociology in Our Times 11th Edition by Diana Kendall

  • Namwaki

    Namwaki

  • test bank

Test Bank for Sociology in Our Times 11th Edition by Diana Kendall...

17 USD

0

0

Test Bank for Fundamentals of Cost Accounting 7th Edition By Lanen, Shannon W. Anderson, Maher All Chapters
View Document

Test Bank for Fundamentals of Cost Accounting 7th Edition By Lanen, Shannon W. Anderson, Maher All Chapters

  • mentor2000

    mentor2000

  • test bank

Test Bank for Fundamentals of Cost Accounting 7th Edition By Lanen, Shannon W. Anderson, Maher All Chapters...

15 USD

0

0

Test Bank for Fundamentals of Cost Accounting 8th Edition By Lanen, Shannon W. Anderson, Michael W. Maher All Chapters
View Document

Test Bank for Fundamentals of Cost Accounting 8th Edition By Lanen, Shannon W. Anderson, Michael W. Maher All Chapters

  • Angelicer

    Angelicer

  • test bank

Test Bank for Fundamentals of Cost Accounting 8th Edition By Lanen, Shannon W. Anderson, Michael W. Maher All Chapters...

25 USD

0

0

Test Bank for Fundamentals of Cost Accounting 7th Edition By Lanen, Shannon W. Anderson, Michael W. Maher All Chapters
View Document

Test Bank for Fundamentals of Cost Accounting 7th Edition By Lanen, Shannon W. Anderson, Michael W. Maher All Chapters

  • mentor2000

    mentor2000

  • test bank

Test Bank for Fundamentals of Cost Accounting 7th Edition By Lanen, Shannon W. Anderson, Michael W. Maher All Chapters...

25 USD

0

0

Testbank for Fundamentals of Cost Accounting 6th Edition By Lanen All Chapters
View Document

Testbank for Fundamentals of Cost Accounting 6th Edition By Lanen All Chapters

  • mentor2000

    mentor2000

  • test bank

Testbank for Fundamentals of Cost Accounting 6th Edition By Lanen All Chapters...

15 USD

0

0

The International Fire Service Training Association IFSTA, FFS Essentials 3rd Edition Practice Test Bank Questions and Answers.
View Document

The International Fire Service Training Association IFSTA, FFS Essentials 3rd Edition Practice Test Bank Questions and Answers.

  • studypal

    studypal

  • questions & answers

The International Fire Service Training Association IFSTA, FFS Essentials 3rd Edition Practice Test Bank Questions and A...

15 USD

0

0

Fire fighter I Test Bank with Answers and Explanation Notes, Test Bank for Firefighter I with Answers and Notes
View Document

Fire fighter I Test Bank with Answers and Explanation Notes, Test Bank for Firefighter I with Answers and Notes

  • studypal

    studypal

  • questions & answers

Fire fighter I Test Bank with Answers and Explanation Notes, Test Bank for Firefighter I with Answers and Notes – Down...

14 USD

0

0

Test Bank For Practical Management Science, 6th Edition By Winston, Albright
View Document

Test Bank For Practical Management Science, 6th Edition By Winston, Albright

  • Daniel-Onyapidi

    Daniel-Onyapidi

  • test bank

Test Bank For Practical Management Science, 6th Edition By Winston, Albright...

16 USD

0

0

Test Bank for Clinical Nursing Skills and Techniques 10th Edition Potter, Perry
View Document

Test Bank for Clinical Nursing Skills and Techniques 10th Edition Potter, Perry

  • mentor2000

    mentor2000

  • test bank

Test Bank for Clinical Nursing Skills and Techniques 10th Edition Potter, Perry...

16 USD

0

0

Test Bank For Stahls Essential Psychopharmacology 4th Edition By Stephen M. Stahl All Chapters
View Document

Test Bank For Stahls Essential Psychopharmacology 4th Edition By Stephen M. Stahl All Chapters

  • Daniel-Onyapidi

    Daniel-Onyapidi

  • test bank

Prepare effectively with the Test Bank for Stahl's Essential Psychopharmacology, 4th Edition by Stephen M. Stahl. Get in...

16 USD

0

0

Test Bank for Medical-Surgical Nursing 9th Edition By Mary Ann Matteson; Adrianne Dill Linton
View Document

Test Bank for Medical-Surgical Nursing 9th Edition By Mary Ann Matteson; Adrianne Dill Linton

  • Daniel-Onyapidi

    Daniel-Onyapidi

  • test bank

Test Bank for Medical-Surgical Nursing 9th Edition By Mary Ann Matteson; Adrianne Dill Linton...

20 USD

0

0

Test Bank for Medical Surgical Nursing 8th Edition By Mary Ann Matteson, Adrianne Dill Linton
View Document

Test Bank for Medical Surgical Nursing 8th Edition By Mary Ann Matteson, Adrianne Dill Linton

  • Daniel-Onyapidi

    Daniel-Onyapidi

  • test bank

Test Bank for Medical Surgical Nursing 8th Edition By Mary Ann Matteson, Adrianne Dill Linton...

16 USD

0

0

Test Bank for Cellular and Molecular Immunology, 10th Edition by Abbas
View Document

Test Bank for Cellular and Molecular Immunology, 10th Edition by Abbas

  • Opati-Kaka

    Opati-Kaka

  • test bank

Test Bank for Cellular and Molecular Immunology, 10th Edition by Abbas – Download PDF...

16 USD

0

0

Test Bank for Brock Biology of Microorganisms, Madigan, 16th edition Madigan
View Document

Test Bank for Brock Biology of Microorganisms, Madigan, 16th edition Madigan

  • Opati-Kaka

    Opati-Kaka

  • test bank

Get exam-ready with the Test Bank for Brock Biology of Microorganisms, 16th Edition by Madigan. This comprehensive resou...

17 USD

0

1

Test Bank for Kuby Immunology 7th Edition Judy Owen
View Document

Test Bank for Kuby Immunology 7th Edition Judy Owen

  • Opati-Kaka

    Opati-Kaka

  • test bank

Test Bank for Kuby Immunology 7th Edition Judy Owen – Download PDF...

15 USD

0

1

Test Bank for Kuby Immunology 8th Edition Judy Owen
View Document

Test Bank for Kuby Immunology 8th Edition Judy Owen

  • Opati-Kaka

    Opati-Kaka

  • test bank

Test Bank for Kuby Immunology 8th Edition Judy Owen – Download PDF...

15 USD

0

0

Test Bank for Kuby Immunology 9th Edition Judy Owen
View Document

Test Bank for Kuby Immunology 9th Edition Judy Owen

  • Opati-Kaka

    Opati-Kaka

  • test bank

Test Bank for Kuby Immunology 9th Edition Judy Owen...

17 USD

0

0

Test Bank For Kaplan & Sadock’s Synopsis of Psychiatry 12th Edition
View Document

Test Bank For Kaplan & Sadock’s Synopsis of Psychiatry 12th Edition

  • Pasing-Grades

    Pasing-Grades

  • test bank

Revise the comprehensive Test Bank for Kaplan and Sadock’s Synopsis of Psychiatry, 12th Edition. This resource covers ...

16 USD

0

2

Test Bank for Foundations and Adult Health Nursing 9th Edition by Cooper
View Document

Test Bank for Foundations and Adult Health Nursing 9th Edition by Cooper

  • Pasing-Grades

    Pasing-Grades

  • test bank

Prepare for exams with the comprehensive Test Bank for Foundations and Adult Health Nursing, 9th Edition by Cooper. This...

17 USD

0

0

Test Bank for Wongs Nursing Care of Infants and Children 12th Edition Hockenberry
View Document

Test Bank for Wongs Nursing Care of Infants and Children 12th Edition Hockenberry

  • Opati-Kaka

    Opati-Kaka

  • questions & answers

Need help studying pediatric nursing? The test bank for Wong's Nursing Care of Infants and Children, 12th Edition by Mar...

16 USD

0

0

CLC 056 Analyzing Contracts costs Test Bank with questions and answers
View Document

CLC 056 Analyzing Contracts costs Test Bank with questions and answers

  • Opati-Kaka

    Opati-Kaka

  • questions & answers

CLC 056 Analyzing Contracts costs Test Bank with questions and answers...

10 USD

0

0

Test Bank for Principles of Human Physiology, 6th Edition by Stanfield
View Document

Test Bank for Principles of Human Physiology, 6th Edition by Stanfield

  • Pasing-Grades

    Pasing-Grades

  • test bank

Test Bank for Principles of Human Physiology, 6th Edition by Stanfield – Download PDF...

16 USD

0

0

Test Bank for Operations Management, Sustainability and Supply Chain Management 15th Edition Heizer, Render, Munson
View Document

Test Bank for Operations Management, Sustainability and Supply Chain Management 15th Edition Heizer, Render, Munson

  • Daniel-Onyapidi

    Daniel-Onyapidi

  • test bank

Test Bank for Operations Management, Sustainability and Supply Chain Management 15th Edition Heizer, Render, Munson...

15 USD

0

0

Test Bank for Operations Management, Sustainability and Supply Chain Management 14th Edition Heizer, Render, Munson
View Document

Test Bank for Operations Management, Sustainability and Supply Chain Management 14th Edition Heizer, Render, Munson

  • Daniel-Onyapidi

    Daniel-Onyapidi

  • test bank

Test Bank for Operations Management, Sustainability and Supply Chain Management 14th Edition Heizer, Render, Munson...

20 USD

0

0

Test Bank for Operations Management, Sustainability and Supply Chain Management 13th Edition Heizer, Render, Munson
View Document

Test Bank for Operations Management, Sustainability and Supply Chain Management 13th Edition Heizer, Render, Munson

  • Daniel-Onyapidi

    Daniel-Onyapidi

  • test bank

Test Bank for Operations Management, Sustainability and Supply Chain Management 13th Edition Heizer, Render, Munson – ...

16 USD

0

0

Test Bank for Operations Management, Sustainability and Supply Chain Management 12th Edition Heizer, Render, Munson
View Document

Test Bank for Operations Management, Sustainability and Supply Chain Management 12th Edition Heizer, Render, Munson

  • Daniel-Onyapidi

    Daniel-Onyapidi

  • test bank

Test Bank for Operations Management, Sustainability and Supply Chain Management 12th Edition Heizer, Render, Munson...

17 USD

0

0

Test Bank for Exploring Anatomy & Physiology in the Laboratory 4th Edition Amerman
View Document

Test Bank for Exploring Anatomy & Physiology in the Laboratory 4th Edition Amerman

  • Opati-Kaka

    Opati-Kaka

  • test bank

Test Bank for Exploring Anatomy & Physiology in the Laboratory 4th Edition Amerman – Download PDF...

16 USD

0

0

Best Test Bank for Seeleys Anatomy and Physiology, 12th Edition VanPutte All Chapters
View Document

Best Test Bank for Seeleys Anatomy and Physiology, 12th Edition VanPutte All Chapters

  • Opati-Kaka

    Opati-Kaka

  • test bank

Best Test Bank for Seeleys Anatomy and Physiology, 12th Edition VanPutte All Chapters – Download PDF...

17 USD

0

0

Lucie Dlugasch; Lachel Story: Test bank For Applied Pathophysiology for the Advanced Practice Nurse 2nd Edition by All Chapters
View Document

Lucie Dlugasch; Lachel Story: Test bank For Applied Pathophysiology for the Advanced Practice Nurse 2nd Edition by All Chapters

  • Namwaki

    Namwaki

  • exam

This is the complete Test bank For Applied Pathophysiology for the Advanced Practice Nurse 2nd Edition by Lucie Dlugasch...

15 USD

0

0

Test Bank for Nursing Research Methods and Critical Appraisal for Evidence Based Practice 10th Edition by Geri Lobiondo Wood
View Document

Test Bank for Nursing Research Methods and Critical Appraisal for Evidence Based Practice 10th Edition by Geri Lobiondo Wood

  • Angelicer

    Angelicer

  • test bank

Test Bank for Nursing Research Methods and Critical Appraisal for Evidence Based Practice 10th Edition by Geri Lobiondo ...

16 USD

0

2

Test Bank for Theory and Practice of Counseling and Psychotherapy (10th Edition) by Gerald Corey | Latest Version | Complete & Verified
View Document

Test Bank for Theory and Practice of Counseling and Psychotherapy (10th Edition) by Gerald Corey | Latest Version | Complete & Verified

  • Markel

    Markel

  • test bank

Get the full test bank for Theory and Practice of Counseling and Psychotherapy, 10th Edition by Corey. Includes updated ...

15 USD

0

0

Test Bank for Maternal Newborn Nursing: The Critical Components of Nursing Care, 10th Edition, by Roberta Durham and Linda Chapman
View Document

Test Bank for Maternal Newborn Nursing: The Critical Components of Nursing Care, 10th Edition, by Roberta Durham and Linda Chapman

  • Markel

    Markel

  • test bank

Access the Test Bank for Maternal Newborn Nursing: The Critical Components of Nursing Care, 10th Edition, by Roberta Dur...

18 USD

0

0

Test Bank for Understanding Nursing Research (8th Edition) by Susan K. Grove | All Chapters Covered | Latest & Verified
View Document

Test Bank for Understanding Nursing Research (8th Edition) by Susan K. Grove | All Chapters Covered | Latest & Verified

  • Markel

    Markel

  • test bank

Get the complete test bank for Understanding Nursing Research, 8th Edition by Grove. Covers all chapters with accurate, ...

15 USD

0

0

Test Bank for Understanding Nursing Research (7th Edition) by Susan K. Grove & Jennifer R. Gray | Complete & Verified
View Document

Test Bank for Understanding Nursing Research (7th Edition) by Susan K. Grove & Jennifer R. Gray | Complete & Verified

  • Markel

    Markel

  • test bank

Access the comprehensive test bank for Understanding Nursing Research, 7th Edition. Authored by Grove & Gray, this resou...

15 USD

0

0

Test Bank for The Language of Medicine (12th Edition) by Davi-Ellen Chabner | Latest Version | All Chapters Included
View Document

Test Bank for The Language of Medicine (12th Edition) by Davi-Ellen Chabner | Latest Version | All Chapters Included

  • Markel

    Markel

  • test bank

Download the full test bank for The Language of Medicine, 12th Edition by Chabner. Covers all chapters with accurate, ex...

15 USD

0

0

Test Bank for Rosedahl’s Textbook for Basic Nursing 12 Edition by Caroline Rosdahl Covers all chapters
View Document

Test Bank for Rosedahl’s Textbook for Basic Nursing 12 Edition by Caroline Rosdahl Covers all chapters

  • Markel

    Markel

  • test bank

Get the complete test bank for Rosedahl’s Textbook of Basic Nursing, 12th Edition by Caroline Rosdahl, covering all ch...

15 USD

0

0

Test Bank for Quick & Easy Medical Terminology (9th Edition) by Leonard | All Chapters Covered | Verified & Up-to-Date
View Document

Test Bank for Quick & Easy Medical Terminology (9th Edition) by Leonard | All Chapters Covered | Verified & Up-to-Date

  • Markel

    Markel

  • test bank

Instant pdf download for the Test Bank for Quick & Easy Medical Terminology (9th Edition) by Leonard...

15 USD

0

0

Test Bank for Public Health Nursing: Population-Centered Health Care in the Community (10th Edition) by Stanhope | Complete & Verified
View Document

Test Bank for Public Health Nursing: Population-Centered Health Care in the Community (10th Edition) by Stanhope | Complete & Verified

  • Markel

    Markel

  • test bank

Access Test Bank for Public Health Nursing: Population-Centered Health Care in the Community (10th Edition) by Stanhope ...

15 USD

0

0

Test Bank for Psychiatric-Mental Health Nursing (7th Edition) by Sheila L. Videbeck | Latest Edition | Verified & Complete
View Document

Test Bank for Psychiatric-Mental Health Nursing (7th Edition) by Sheila L. Videbeck | Latest Edition | Verified & Complete

  • Markel

    Markel

  • test bank

Access the latest test bank for Psychiatric-Mental Health Nursing, 7th Edition by Sheila L. Videbeck. Covers all chapter...

14 USD

0

0

Test bank for fundamentals of nursing care 3rd edition by Burton
View Document

Test bank for fundamentals of nursing care 3rd edition by Burton

  • Markel

    Markel

  • test bank

Test bank for fundamentals of nursing care 3rd edition by Burton...

12 USD

0

0

Test Bank Essentials of Nursing Leadership & Management 7th Edition Sally A., Exams of Health sciences | Latest Update
View Document

Test Bank Essentials of Nursing Leadership & Management 7th Edition Sally A., Exams of Health sciences | Latest Update

  • Markel

    Markel

  • test bank

Test Bank Essentials of Nursing Leadership & Management 7th Edition Sally A., Exams of Health sciences | Latest Update...

15 USD

0

0

TEST BANK PEDIATRIC NURSING CRITICAL COMPONENT OF NURSING CARE 3RD EDITION ALL CHAPTERS COVERED
View Document

TEST BANK PEDIATRIC NURSING CRITICAL COMPONENT OF NURSING CARE 3RD EDITION ALL CHAPTERS COVERED

  • Markel

    Markel

  • test bank

TEST BANK PEDIATRIC NURSING CRITICAL COMPONENT OF NURSING CARE 3RD EDITION ALL CHAPTERS COVERED...

18 USD

0

0

Test Bank Maternal Newborn Nursing latest update June 2023 The Critical Components of Nursing Care 10th  Edition Roberta Durham Linda Chapman
View Document

Test Bank Maternal Newborn Nursing latest update June 2023 The Critical Components of Nursing Care 10th Edition Roberta Durham Linda Chapman

  • Markel

    Markel

  • test bank

Test Bank Maternal Newborn Nursing latest update June 2023 The Critical Components of Nursing Care 10th Edition Roberta...

15 USD

0

0

Test Bank Fundamentals of Nursing Concepts and Competencies for Practice 9th Edition Craven 2021 Chapter 1-43  All Chapters covered
View Document

Test Bank Fundamentals of Nursing Concepts and Competencies for Practice 9th Edition Craven 2021 Chapter 1-43 All Chapters covered

  • Markel

    Markel

  • test bank

Test Bank Fundamentals of Nursing Concepts and Competencies for Practice 9th Edition Craven 2021 Chapter 1-43 All Chapt...

15 USD

0

0

TEST BANK FOR WILKINS CILINICAL ASSESSMENT IN RESPIRATORY CARE 7TH EDITION BY AL HEUER ALL CHAPTERS COVERED
View Document

TEST BANK FOR WILKINS CILINICAL ASSESSMENT IN RESPIRATORY CARE 7TH EDITION BY AL HEUER ALL CHAPTERS COVERED

  • Markel

    Markel

  • test bank

TEST BANK FOR WILKINS CILINICAL ASSESSMENT IN RESPIRATORY CARE 7TH EDITION BY AL HEUER ALL CHAPTERS COVERED...

15 USD

0

0

Test Bank for Understanding Pathophysiology, 1st Canadian Edition, Mohamed Elhussein, Kelly Power-Kean
View Document

Test Bank for Understanding Pathophysiology, 1st Canadian Edition, Mohamed Elhussein, Kelly Power-Kean

  • Markel

    Markel

  • test bank

Test Bank for Understanding Pathophysiology, 1st Canadian Edition, Mohamed Elhussein, Kelly Power-Kean...

15 USD

0

0

TEST BANK FOR UNDERSTANDING NURSING RESEARCH - 7TH EDITION BY SUSAN K GROVE & JENNIFER R GRAY ALL CHAPTERS COVERED
View Document

TEST BANK FOR UNDERSTANDING NURSING RESEARCH - 7TH EDITION BY SUSAN K GROVE & JENNIFER R GRAY ALL CHAPTERS COVERED

  • Markel

    Markel

  • test bank

TEST BANK FOR UNDERSTANDING NURSING RESEARCH - 7TH EDITION BY SUSAN K GROVE & JENNIFER R GRAY ALL CHAPTERS COVERED...

15 USD

0

0

TEST BANK FOR PATHOPHYSIOLOGY INTRODUCTORY CONCEPTS AND CLINICAL PERSPECTIVES 2ND EDITION CAPRIOTTI ALL CHAPTERS COVERED
View Document

TEST BANK FOR PATHOPHYSIOLOGY INTRODUCTORY CONCEPTS AND CLINICAL PERSPECTIVES 2ND EDITION CAPRIOTTI ALL CHAPTERS COVERED

  • Markel

    Markel

  • test bank

TEST BANK FOR PATHOPHYSIOLOGY INTRODUCTORY CONCEPTS AND CLINICAL PERSPECTIVES 2ND EDITION CAPRIOTTI ALL CHAPTERS COVERED...

18 USD

0

0

TEST BANK FOR MATERNITY AND WOMEN’S HEALTH CARE 11TH EDITION BY LOWDERMILK ALL CHAPTERS COVERED
View Document

TEST BANK FOR MATERNITY AND WOMEN’S HEALTH CARE 11TH EDITION BY LOWDERMILK ALL CHAPTERS COVERED

  • Markel

    Markel

  • test bank

TEST BANK FOR MATERNITY AND WOMEN’S HEALTH CARE 11TH EDITION BY LOWDERMILK ALL CHAPTERS COVERED...

18 USD

0

0

TEST BANK FOR JOURNEY ACROSS THE LIFE SPAN 6TH EDITION By Polan Taylor Full Complete Solution ALL chapters  covered
View Document

TEST BANK FOR JOURNEY ACROSS THE LIFE SPAN 6TH EDITION By Polan Taylor Full Complete Solution ALL chapters covered

  • Markel

    Markel

  • test bank

TEST BANK FOR JOURNEY ACROSS THE LIFE SPAN 6TH EDITION By Polan Taylor Full Complete Solution ALL chapters covered...

17 USD

0

0

TEST BANK FOR INTRODUCTORY CLINICAL PHARMACOLOGY 12TH EDITION SUSAN FORD NURSING ALL CHAPTERS COVERED
View Document

TEST BANK FOR INTRODUCTORY CLINICAL PHARMACOLOGY 12TH EDITION SUSAN FORD NURSING ALL CHAPTERS COVERED

  • Markel

    Markel

  • test bank

TEST BANK FOR INTRODUCTORY CLINICAL PHARMACOLOGY 12TH EDITION SUSAN FORD NURSING ALL CHAPTERS COVERED...

10 USD

0

0

TEST BANK FOR HUMAN PHYSIOLOGY 16TH EDITION STUART FOX ALL CHAPTERS COVERED  GRADED A+
View Document

TEST BANK FOR HUMAN PHYSIOLOGY 16TH EDITION STUART FOX ALL CHAPTERS COVERED GRADED A+

  • Markel

    Markel

  • test bank

TEST BANK FOR HUMAN PHYSIOLOGY 16TH EDITION STUART FOX ALL CHAPTERS COVERED GRADED A+...

12 USD

0

0

TEST BANK FOR FUNDAMENTALS OF NURSING 10TH EDITION ALL CHAPTERS COVERED GRADED A+
View Document

TEST BANK FOR FUNDAMENTALS OF NURSING 10TH EDITION ALL CHAPTERS COVERED GRADED A+

  • Markel

    Markel

  • test bank

TEST BANK FOR FUNDAMENTALS OF NURSING 10TH EDITION ALL CHAPTERS COVERED GRADED A+...

13 USD

0

0

TEST BANK FOR ECGS MADE EASY 6TH EDITION BY BARBARA AEHLERT ALL CHAPTERS COVERED GRADED A+
View Document

TEST BANK FOR ECGS MADE EASY 6TH EDITION BY BARBARA AEHLERT ALL CHAPTERS COVERED GRADED A+

  • Markel

    Markel

  • test bank

TEST BANK FOR ECGS MADE EASY 6TH EDITION BY BARBARA AEHLERT ALL CHAPTERS COVERED GRADED A+...

15 USD

0

0

Test Bank For Ebersole and Hess Gerontological Nursing & Healthy Aging Canadian Edition 3rd  2023 All Chapters Covered Graded A+
View Document

Test Bank For Ebersole and Hess Gerontological Nursing & Healthy Aging Canadian Edition 3rd 2023 All Chapters Covered Graded A+

  • Markel

    Markel

  • test bank

Test Bank For Ebersole and Hess Gerontological Nursing & Healthy Aging Canadian Edition 3rd 2023 All Chapters Covered G...

15 USD

0

0

Test Bank for Davis Advantage for Medical-Surgical Nursing Making Connections to Practice 2nd edition Hoffman Sullivan All Chapters Covered Graded A+
View Document

Test Bank for Davis Advantage for Medical-Surgical Nursing Making Connections to Practice 2nd edition Hoffman Sullivan All Chapters Covered Graded A+

  • Markel

    Markel

  • test bank

Test Bank for Davis Advantage for Medical-Surgical Nursing Making Connections to Practice 2nd edition Hoffman Sullivan A...

15 USD

0

0

TEST BANK FOR CURRENT DIAGNOSIS AND TREATMENT PEDIATRICS 24TH EDITION BY WILLIAM HAY JR. ALL CHAPTERS COVERED
View Document

TEST BANK FOR CURRENT DIAGNOSIS AND TREATMENT PEDIATRICS 24TH EDITION BY WILLIAM HAY JR. ALL CHAPTERS COVERED

  • Markel

    Markel

  • test bank

TEST BANK FOR CURRENT DIAGNOSIS AND TREATMENT PEDIATRICS 24TH EDITION BY WILLIAM HAY JR. ALL CHAPTERS COVERED...

14 USD

0

0

TEST BANK FOR CRIMINAL BEHAVIOR A PSYCHOLOGICAL APPROACH 11TH EDITION BY BARTOL ALL CHAPTERS COVERED
View Document

TEST BANK FOR CRIMINAL BEHAVIOR A PSYCHOLOGICAL APPROACH 11TH EDITION BY BARTOL ALL CHAPTERS COVERED

  • Markel

    Markel

  • test bank

TEST BANK FOR CRIMINAL BEHAVIOR A PSYCHOLOGICAL APPROACH 11TH EDITION BY BARTOL ALL CHAPTERS COVERED...

17 USD

0

0

Test Bank for Concept-Based Clinical Nursing Skills 2nd Edition Stein All Chapters Covered Graded A+
View Document

Test Bank for Concept-Based Clinical Nursing Skills 2nd Edition Stein All Chapters Covered Graded A+

  • Markel

    Markel

  • test bank

Test Bank for Concept-Based Clinical Nursing Skills 2nd Edition Stein All Chapters Covered Graded A+...

14 USD

0

0

TEST BANK FOR COMMUNITY HEALTH NURSING A CANADIAN PERSPECTIVE 5TH EDITION BY STAMLER ALL CHAPTERS COVERED
View Document

TEST BANK FOR COMMUNITY HEALTH NURSING A CANADIAN PERSPECTIVE 5TH EDITION BY STAMLER ALL CHAPTERS COVERED

  • Markel

    Markel

  • test bank

TEST BANK FOR COMMUNITY HEALTH NURSING A CANADIAN PERSPECTIVE 5TH EDITION BY STAMLER ALL CHAPTERS COVERED...

15 USD

0

0

TEST BANK FOR CLINICAL GUIDELINES IN PRIMARY CARE 4TH EDITION BY HOLLIER ALL CHAPTERS COVERED
View Document

TEST BANK FOR CLINICAL GUIDELINES IN PRIMARY CARE 4TH EDITION BY HOLLIER ALL CHAPTERS COVERED

  • Markel

    Markel

  • test bank

TEST BANK FOR CLINICAL GUIDELINES IN PRIMARY CARE 4TH EDITION BY HOLLIER ALL CHAPTERS COVERED...

14 USD

0

0

Test Bank For Berne and Levy Physiology 7th Edition Koeppen  All Chapters 1-44 Covered Graded A+
View Document

Test Bank For Berne and Levy Physiology 7th Edition Koeppen All Chapters 1-44 Covered Graded A+

  • Markel

    Markel

  • test bank

Test Bank For Berne and Levy Physiology 7th Edition Koeppen All Chapters 1-44 Covered Graded A+...

14 USD

0

0

TEST BANK FOR BASIC & APPLIED CONCEPTS OF BLOOD BANKING AND TRANSFUSION PRACTICES 5TH EDITION ALL CHAPTERS COVERED GRADED A+
View Document

TEST BANK FOR BASIC & APPLIED CONCEPTS OF BLOOD BANKING AND TRANSFUSION PRACTICES 5TH EDITION ALL CHAPTERS COVERED GRADED A+

  • Markel

    Markel

  • test bank

TEST BANK FOR BASIC & APPLIED CONCEPTS OF BLOOD BANKING AND TRANSFUSION PRACTICES 5TH EDITION ALL CHAPTERS COVERED GRADE...

15 USD

0

0

Test Bank Community and Public Health Nursing Promoting the Public’s Health 10th Edition Rector All Chapters Covered
View Document

Test Bank Community and Public Health Nursing Promoting the Public’s Health 10th Edition Rector All Chapters Covered

  • Markel

    Markel

  • test bank

Get the Test Bank for Community and Public Health Nursing: Promoting the Public’s Health, 10th Edition by Rector. Inst...

15 USD

0

0

Test Bank  Fundamentals of Nursing, 11th Edition Potter Perry 2023 Chapter 1-50  All Chapters Covered
View Document

Test Bank Fundamentals of Nursing, 11th Edition Potter Perry 2023 Chapter 1-50 All Chapters Covered

  • Markel

    Markel

  • test bank

Test Bank Fundamentals of Nursing, 11th Edition Potter Perry 2023 Chapter 1-50 All Chapters Covered...

15 USD

0

0

Test Bank - Foundations of Mental Health Care 8th Edition (Morrison Valfre 2023 Chapter 1-32 NextGeneration NCLEX Case Studies with answers  All Chapters Covered Graded A+
View Document

Test Bank - Foundations of Mental Health Care 8th Edition (Morrison Valfre 2023 Chapter 1-32 NextGeneration NCLEX Case Studies with answers All Chapters Covered Graded A+

  • Markel

    Markel

  • test bank

Test Bank - Foundations of Mental Health Care 8th Edition (Morrison Valfre 2023 Chapter 1-32 NextGeneration NCLEX Case S...

15 USD

0

0

Test Bank - Anatomy and Physiology 11th Edition (Patton 2023) Chapter 1-48  All Chapters Covered Graded A+
View Document

Test Bank - Anatomy and Physiology 11th Edition (Patton 2023) Chapter 1-48 All Chapters Covered Graded A+

  • Markel

    Markel

  • test bank

Test Bank - Anatomy and Physiology 11th Edition (Patton 2023) Chapter 1-48 All Chapters Covered Graded A+...

17 USD

0

0

Test Bank for Radiation Protection in Medical Radiography 8th Edition Sherer
View Document

Test Bank for Radiation Protection in Medical Radiography 8th Edition Sherer

  • Markel

    Markel

  • test bank

Test Bank for Radiation Protection in Medical Radiography 8th Edition Sherer ALL CHAPTERS COVERED VERIFIED ANSWERS...

17 USD

0

0

Test Bank For Clinically Oriented Anatomy 7th Edition Moore Dalley
View Document

Test Bank For Clinically Oriented Anatomy 7th Edition Moore Dalley

  • Angelicer

    Angelicer

  • test bank

Ace your anatomy exams with the Test Bank for Clinically Oriented Anatomy, 7th Edition by Moore & Dalley. Get instant ac...

15 USD

0

0

Updated Test bank For Varcarolis Foundations of Psychiatric-Mental Health Nursing 9th Edition
View Document

Updated Test bank For Varcarolis Foundations of Psychiatric-Mental Health Nursing 9th Edition

  • mentor2000

    mentor2000

  • test bank

Updated Test bank For Varcarolis Foundations of Psychiatric-Mental Health Nursing 9th Edition...

17 USD

0

0

Test Bank for Leadership Roles and Management Functions in Nursing (9th Edition) | All Chapters Covered | Complete & Verified
View Document

Test Bank for Leadership Roles and Management Functions in Nursing (9th Edition) | All Chapters Covered | Complete & Verified

  • Markel

    Markel

  • test bank

Download the full test bank for Leadership Roles and Management Functions in Nursing, 9th Edition. Includes accurate, ex...

15 USD

0

0

Test Bank for Biology (5th Edition) by Brooker | All Chapters Covered | Verified & Comprehensive
View Document

Test Bank for Biology (5th Edition) by Brooker | All Chapters Covered | Verified & Comprehensive

  • Markel

    Markel

  • test bank

Access the complete test bank for Biology, 5th Edition by Brooker. Includes all chapters with real exam-style questions ...

15 USD

0

0

Textbook of Basic Nursing 12th Edition Rosdahl Test Bank
View Document

Textbook of Basic Nursing 12th Edition Rosdahl Test Bank

  • Markel

    Markel

  • test bank

Textbook of Basic Nursing 12th Edition Rosdahl Test Bank – Download PDF...

17 USD

0

0

Test Bank for An Introduction to Psychological Science 2nd Canadian Edition Mark Krause Daniel Corts Stephen C Smith Dan Dolderman
View Document

Test Bank for An Introduction to Psychological Science 2nd Canadian Edition Mark Krause Daniel Corts Stephen C Smith Dan Dolderman

  • Pasing-Grades

    Pasing-Grades

  • exam

Test Bank for An Introduction to Psychological Science 2nd Canadian Edition Mark Krause Daniel Corts Stephen C Smith Dan...

17 USD

0

0

Test Bank for An Introduction to Psychological Science 4th Canadian Edition Mark Krause Daniel Corts Stephen C Smith Dan Dolderman
View Document

Test Bank for An Introduction to Psychological Science 4th Canadian Edition Mark Krause Daniel Corts Stephen C Smith Dan Dolderman

  • Pasing-Grades

    Pasing-Grades

  • exam

Test Bank for An Introduction to Psychological Science 4th Canadian Edition Mark Krause Daniel Corts Stephen C Smith Dan...

17 USD

0

16

Test Bank Varneys Midwifery 6th edition by King
View Document

Test Bank Varneys Midwifery 6th edition by King

  • Pasing-Grades

    Pasing-Grades

  • exam

Test Bank Varneys Midwifery 6th edition by King – Download PDF...

17 USD

0

0

Test Bank for Cardiopulmonary Anatomy and Physiology Essentials of Respiratory Care 6th Edition by Des Jardins
View Document

Test Bank for Cardiopulmonary Anatomy and Physiology Essentials of Respiratory Care 6th Edition by Des Jardins

  • Nkosi

    Nkosi

  • test bank

Test Bank for Cardiopulmonary Anatomy and Physiology Essentials of Respiratory Care 6th Edition by Des Jardins...

0 USD

0

0

Exam (elaborations) TEST BANK LEADING AND MANAGING IN NURSING 7TH EDITION YODER-WISE, Leading and Managing in Nursing 7th Edition Yoder-Wise Test Bank
View Document

Exam (elaborations) TEST BANK LEADING AND MANAGING IN NURSING 7TH EDITION YODER-WISE, Leading and Managing in Nursing 7th Edition Yoder-Wise Test Bank

  • studypal

    studypal

  • test bank

Exam (elaborations) TEST BANK LEADING AND MANAGING IN NURSING 7TH EDITION YODER-WISE, Leading and Managing in Nursing 7t...

15 USD

0

0

Behavioral Neuroscience, 11 edition by Marc Breedlove, Neil Watson Test Bank
View Document

Behavioral Neuroscience, 11 edition by Marc Breedlove, Neil Watson Test Bank

  • mentor2000

    mentor2000

  • test bank

Behavioral Neuroscience, 11 edition by Marc Breedlove, Neil Watson Test Bank...

20 USD

0

0

Test Bank for Behavioral Neuroscience, 10e Marc Breedlove, Neil Watson
View Document

Test Bank for Behavioral Neuroscience, 10e Marc Breedlove, Neil Watson

  • mentor2000

    mentor2000

  • test bank

Test Bank for Behavioral Neuroscience Exam, 10th Edition by Marc Breedlove and Neil Watson. This resource provides compr...

16 USD

0

2

Test Bank for Behavioral Neuroscience, 9e Marc Breedlove, Neil Watson Latest
View Document

Test Bank for Behavioral Neuroscience, 9e Marc Breedlove, Neil Watson Latest

  • mentor2000

    mentor2000

  • test bank

Test Bank for Behavioral Neuroscience, 9e Marc Breedlove, Neil Watson Latest Behavioral Neuroscience 9th edition Auth...

15 USD

0

2

Test Bank for Behavioral Neuroscience, 8 Edition by Marc Breedlove, Neil Watson
View Document

Test Bank for Behavioral Neuroscience, 8 Edition by Marc Breedlove, Neil Watson

  • mentor2000

    mentor2000

  • test bank

Test Bank for Behavioral Neuroscience, 8 Edition by Marc Breedlove, Neil Watson...

17 USD

0

0

Test Bank for Anatomy & Physiology, The Unity of Form and Function 9th Edition Saladin
View Document

Test Bank for Anatomy & Physiology, The Unity of Form and Function 9th Edition Saladin

  • Daniel-Onyapidi

    Daniel-Onyapidi

  • exam

Prepare for your exams with the Test Bank for Anatomy & Physiology: The Unity of Form and Function 9th Edition by Saladi...

15 USD

0

0

Test Bank for Basic Geriatric Nursing 7th Edition By Patricia A. Williams
View Document

Test Bank for Basic Geriatric Nursing 7th Edition By Patricia A. Williams

  • Daniel-Onyapidi

    Daniel-Onyapidi

  • exam

Test Bank for Basic Geriatric Nursing 7th Edition By Patricia A. Williams...

17 USD

0

0

Test Bank for Career Counseling, A Holistic Approach 9th Edition Zunker
View Document

Test Bank for Career Counseling, A Holistic Approach 9th Edition Zunker

  • Daniel-Onyapidi

    Daniel-Onyapidi

  • exam

Study Test Bank for Career Counseling, A Holistic Approach 9th Edition Zunker on PasingGrades. Instant PDF Download. Bes...

15 USD

0

0

Test Bank for Foundations and Adult Health Nursing 10th Edition by Cooper
View Document

Test Bank for Foundations and Adult Health Nursing 10th Edition by Cooper

  • Daniel-Onyapidi

    Daniel-Onyapidi

  • exam

Test Bank for Foundations and Adult Health Nursing 10th Edition by Cooper...

17 USD

0

0

Test Bank for Medical Surgical Nursing 10th Edition Ignatavicius Workman Complete Guide Newest Version 2023
View Document

Test Bank for Medical Surgical Nursing 10th Edition Ignatavicius Workman Complete Guide Newest Version 2023

  • Daniel-Onyapidi

    Daniel-Onyapidi

  • exam

Test Bank for Medical Surgical Nursing 10th Edition Ignatavicius Workman Complete Guide Newest Version 2023...

17 USD

0

0

Test Bank for Organizational Behaviour Concepts, Controversie, Applications, 9th Canadian Edition, Nancy Langton
View Document

Test Bank for Organizational Behaviour Concepts, Controversie, Applications, 9th Canadian Edition, Nancy Langton

  • Daniel-Onyapidi

    Daniel-Onyapidi

  • exam

Pass exams with Test Bank for Organizational Behaviour Concepts, Controversie, Applications, 9th Canadian Edition, Nancy...

15 USD

0

0

Test Bank Prehospital Emergency Pharmacology 8th Edition Bledsoe
View Document

Test Bank Prehospital Emergency Pharmacology 8th Edition Bledsoe

  • Daniel-Onyapidi

    Daniel-Onyapidi

  • exam

Test Bank Prehospital Emergency Pharmacology 8th Edition Bledsoe...

16 USD

0

0

Test Bank for Cognitive Psychology Connecting Mind Research and Everyday Experience 5th Edition by Goldstein
View Document

Test Bank for Cognitive Psychology Connecting Mind Research and Everyday Experience 5th Edition by Goldstein

  • Opati-Kaka

    Opati-Kaka

  • questions & answers

Test Bank for Cognitive Psychology Connecting Mind Research and Everyday Experience 5th Edition by Goldstein – Downloa...

17 USD

0

0

Test Bank for Introduction to Management Science, 6e Frederick. Hillier, Mark Hillier
View Document

Test Bank for Introduction to Management Science, 6e Frederick. Hillier, Mark Hillier

  • Daniel-Onyapidi

    Daniel-Onyapidi

  • test bank

Test Bank for Introduction to Management Science, 6e Frederick. Hillier, Mark Hillier...

17 USD

0

0

Test Bank Sociology, A Down-To-Earth Approach, 14th Edition Jim M. Henslin
View Document

Test Bank Sociology, A Down-To-Earth Approach, 14th Edition Jim M. Henslin

  • Daniel-Onyapidi

    Daniel-Onyapidi

  • test bank

Test Bank Sociology, A Down-To-Earth Approach, 14th Edition Jim M. Henslin...

15 USD

0

0

Test Bank for Genetics A Conceptual Approach, 8th Edition Benjamin Pierce
View Document

Test Bank for Genetics A Conceptual Approach, 8th Edition Benjamin Pierce

  • Daniel-Onyapidi

    Daniel-Onyapidi

  • test bank

Instant download pdf of Test Bank for Genetics A Conceptual Approach, 8th Edition Benjamin Pierce...

18 USD

0

0

Test Bank for Surgical Technology 9th Edition by Kotcher Fuller
View Document

Test Bank for Surgical Technology 9th Edition by Kotcher Fuller

  • Daniel-Onyapidi

    Daniel-Onyapidi

  • test bank

Test Bank for Surgical Technology 9th Edition by Kotcher Fuller...

17 USD

0

0

Test Bank for Genetics A Conceptual Approach, 7th Edition Benjamin Pierce
View Document

Test Bank for Genetics A Conceptual Approach, 7th Edition Benjamin Pierce

  • mentor2000

    mentor2000

  • test bank

Studying genetics? The Test Bank for Genetics: A Conceptual Approach, 7th Edition by Benjamin Pierce offers a complete s...

15 USD

0

1

Test Bank for Diagnostic and Statistical Manual of Mental Disorders (DSM-5®)
View Document

Test Bank for Diagnostic and Statistical Manual of Mental Disorders (DSM-5®)

  • Eddah-Nafula

    Eddah-Nafula

  • exam

Test Bank for Diagnostic and Statistical Manual of Mental Disorders (DSM-5®)...

15 USD

0

0

Test Bank Traditions and Encounters A Global Perspective on the Past 6th Edition Bentley
View Document

Test Bank Traditions and Encounters A Global Perspective on the Past 6th Edition Bentley

  • Namwaki

    Namwaki

  • test bank

Test Bank Traditions and Encounters A Global Perspective on the Past 6th Edition Bentley...

15 USD

0

0

Test Bank for Concepts of Chemical Dependency 10th Edition Doweiko
View Document

Test Bank for Concepts of Chemical Dependency 10th Edition Doweiko

  • Namwaki

    Namwaki

  • test bank

Test Bank for Concepts of Chemical Dependency 10th Edition Doweiko...

15 USD

0

0

Test Bank for Theory Practice and Trends in Human Services 6th Edition Neukrug
View Document

Test Bank for Theory Practice and Trends in Human Services 6th Edition Neukrug

  • Namwaki

    Namwaki

  • test bank

Test Bank for Theory Practice and Trends in Human Services 6th Edition Neukrug – Download PDF...

15 USD

0

0

Test Bank for Success in Practical Vocational Nursing 10th Edition by Knecht
View Document

Test Bank for Success in Practical Vocational Nursing 10th Edition by Knecht

  • Namwaki

    Namwaki

  • test bank

Study essential exam questions for success in practical and vocational nursing with the 'Test Bank for Success in Practi...

15 USD

0

0

Test Bank for Illustrated Anatomy of the Head and Neck 7th Edition by  Fehrenbach
View Document

Test Bank for Illustrated Anatomy of the Head and Neck 7th Edition by Fehrenbach

  • Namwaki

    Namwaki

  • test bank

Test Bank for Illustrated Anatomy of the Head and Neck 7th Edition by Fehrenbach...

18 USD

0

0

Test Bank for Illustrated Anatomy of the Head and Neck 6th Edition by Margaret J. Fehrenbach, Susan W. Herring
View Document

Test Bank for Illustrated Anatomy of the Head and Neck 6th Edition by Margaret J. Fehrenbach, Susan W. Herring

  • Namwaki

    Namwaki

  • test bank

Test Bank for Illustrated Anatomy of the Head and Neck 6th Edition by Margaret J. Fehrenbach, Susan W. Herring – Downl...

15 USD

0

1

Test Bank for Evidence Based Practice in Nursing and Healthcare 6th Edition by Melnyk
View Document

Test Bank for Evidence Based Practice in Nursing and Healthcare 6th Edition by Melnyk

  • Opati-Kaka

    Opati-Kaka

  • test bank

Test Bank for Evidence Based Practice in Nursing and Healthcare 6th Edition by Melnyk...

15 USD

0

0

Test Bank for Evidence Based Practice in Nursing and Healthcare 5th Edition by Melnyk
View Document

Test Bank for Evidence Based Practice in Nursing and Healthcare 5th Edition by Melnyk

  • Opati-Kaka

    Opati-Kaka

  • test bank

Test Bank for Evidence Based Practice in Nursing and Healthcare 5th Edition by Melnyk – Download PDF...

15 USD

0

1

Test Bank for Microbiology, An Introduction, 15th Edition, Gerard J. Tortora
View Document

Test Bank for Microbiology, An Introduction, 15th Edition, Gerard J. Tortora

  • mentor2000

    mentor2000

  • test bank

Test Bank for Microbiology, An Introduction, 15th Edition, Gerard J. Tortora...

15 USD

0

0

Test Bank for Microbiology, An Introduction, 14th Edition, Gerard J. Tortora, Berdell R. Funke, Christine L. Case, Derek Weber, Warner Bair
View Document

Test Bank for Microbiology, An Introduction, 14th Edition, Gerard J. Tortora, Berdell R. Funke, Christine L. Case, Derek Weber, Warner Bair

  • mentor2000

    mentor2000

  • test bank

Test Bank for Microbiology, An Introduction, 14th Edition, Gerard J. Tortora, Berdell R. Funke, Christine L. Case, Derek...

15 USD

0

0

Test Bank for Microbiology, An Introduction, 13th Edition, Gerard J. Tortora, Berdell R. Funke, Christine L. Case, Derek Weber, Warner Bair
View Document

Test Bank for Microbiology, An Introduction, 13th Edition, Gerard J. Tortora, Berdell R. Funke, Christine L. Case, Derek Weber, Warner Bair

  • mentor2000

    mentor2000

  • test bank

Get the 2025 test bank for Microbiology: An Introduction, 13th Ed. by Tortora. 2000+ exam-style Q&As. Perfect for nursin...

15 USD

0

0

Test Bank for Research in Psychology, Methods and Design 10th Edition by Kerri Goodwin, James Goodwin
View Document

Test Bank for Research in Psychology, Methods and Design 10th Edition by Kerri Goodwin, James Goodwin

  • mentor2000

    mentor2000

  • test bank

Test Bank for Research in Psychology, Methods and Design 10th Edition by Kerri Goodwin, James Goodwin...

15 USD

0

0

Test Bank for Research in Psychology, Methods and Design 9th Edition by Kerri Goodwin
View Document

Test Bank for Research in Psychology, Methods and Design 9th Edition by Kerri Goodwin

  • mentor2000

    mentor2000

  • test bank

Test Bank for Research in Psychology, Methods and Design 9th Edition by Kerri Goodwin...

15 USD

0

0

Test Bank for Introduction to Clinical Pharmacology 10th Edition By Constance Visovsky, Cheryl Zambroski, Shirley Hosler Chapter 1-20
View Document

Test Bank for Introduction to Clinical Pharmacology 10th Edition By Constance Visovsky, Cheryl Zambroski, Shirley Hosler Chapter 1-20

  • mentor2000

    mentor2000

  • test bank

Access PDF test bank for Introduction to Clinical Pharmacology, 10th Edition, by Constance Visovsky, Cheryl Zambroski, a...

15 USD

0

0

Test Bank For Pharmacology and the Nursing Process 12th Edition Linda Lane Lilley
View Document

Test Bank For Pharmacology and the Nursing Process 12th Edition Linda Lane Lilley

  • mentor2000

    mentor2000

  • test bank

Test Bank For Pharmacology and the Nursing Process 12th Edition Linda Lane Lilley...

15 USD

0

0

Test Bank For Pharmacology and the Nursing Process 11th Edition Linda Lane Lilley, Shelly Rainforth Collins, Julie S. Snyder
View Document

Test Bank For Pharmacology and the Nursing Process 11th Edition Linda Lane Lilley, Shelly Rainforth Collins, Julie S. Snyder

  • mentor2000

    mentor2000

  • test bank

Test Bank For Pharmacology and the Nursing Process 11th Edition Linda Lane Lilley, Shelly Rainforth Collins, Julie S. Sn...

15 USD

0

0

Test Bank For Pharmacology and the Nursing Process 10th Edition
View Document

Test Bank For Pharmacology and the Nursing Process 10th Edition

  • mentor2000

    mentor2000

  • test bank

Test Bank For Pharmacology and the Nursing Process 10th Edition...

15 USD

0

0

Test Bank for Research in Psychology, Methods and Design 8th Edition by Goodwin All Chapters
View Document

Test Bank for Research in Psychology, Methods and Design 8th Edition by Goodwin All Chapters

  • mentor2000

    mentor2000

  • test bank

Access the complete test bank for Research in Psychology, Methods and Design 8th Edition by Goodwin. Find exam questions...

15 USD

0

0

Test Bank for Janeway’s Immunobiology, 12th Edition Kenneth M. Murphy,  Casey Weaver
View Document

Test Bank for Janeway’s Immunobiology, 12th Edition Kenneth M. Murphy, Casey Weaver

  • Namwaki

    Namwaki

  • exam

Test Bank for Janeway’s Immunobiology, 12th Edition Kenneth M. Murphy, Casey Weaver...

18 USD

0

0

Test Bank for Janeway’s Immunobiology, 11th Edition Kenneth M. Murphy,  Casey Weaver
View Document

Test Bank for Janeway’s Immunobiology, 11th Edition Kenneth M. Murphy, Casey Weaver

  • Namwaki

    Namwaki

  • exam

Test Bank for Janeway’s Immunobiology, 11th Edition Kenneth M. Murphy, Casey Weaver...

17 USD

0

0

Test Bank for Janeway’s Immunobiology, 10th Edition Kenneth M. Murphy,  Casey Weaver
View Document

Test Bank for Janeway’s Immunobiology, 10th Edition Kenneth M. Murphy, Casey Weaver

  • Namwaki

    Namwaki

  • exam

Test Bank for Janeway’s Immunobiology, 10th Edition Kenneth M. Murphy, Casey Weaver...

15 USD

0

4

Test Bank For Wardlaws Contemporary Nutrition, A Functional Approach, 13th Edition By Anne Smith All Chapters
View Document

Test Bank For Wardlaws Contemporary Nutrition, A Functional Approach, 13th Edition By Anne Smith All Chapters

  • mentor2000

    mentor2000

  • test bank

Test Bank For Wardlaws Contemporary Nutrition, A Functional Approach, 13th Edition By Anne Smith All Chapters...

16 USD

0

0

Test Bank For Wardlaws Contemporary Nutrition, A Functional Approach, 12th Edition By Anne Smith All Chapters
View Document

Test Bank For Wardlaws Contemporary Nutrition, A Functional Approach, 12th Edition By Anne Smith All Chapters

  • mentor2000

    mentor2000

  • test bank

Test Bank For Wardlaws Contemporary Nutrition, A Functional Approach, 12th Edition By Anne Smith All Chapters...

17 USD

0

0

Test Bank For Wardlaws Contemporary Nutrition, A Functional Approach, 11th Edition By Anne Smith All Chapters
View Document

Test Bank For Wardlaws Contemporary Nutrition, A Functional Approach, 11th Edition By Anne Smith All Chapters

  • mentor2000

    mentor2000

  • test bank

Test Bank For Wardlaws Contemporary Nutrition, A Functional Approach, 11th Edition By Anne Smith All Chapters...

15 USD

0

0

Test Bank For Wardlaws Contemporary Nutrition, A Functional Approach, 10th Edition By Anne Smith All Chapters
View Document

Test Bank For Wardlaws Contemporary Nutrition, A Functional Approach, 10th Edition By Anne Smith All Chapters

  • mentor2000

    mentor2000

  • test bank

Test Bank For Wardlaws Contemporary Nutrition, A Functional Approach, 10th Edition By Anne Smith All Chapters...

15 USD

0

0

Test Bank For Wardlaws Contemporary Nutrition, A Functional Approach, 9th Edition By Anne Smith All Chapters
View Document

Test Bank For Wardlaws Contemporary Nutrition, A Functional Approach, 9th Edition By Anne Smith All Chapters

  • mentor2000

    mentor2000

  • test bank

Test Bank For Wardlaws Contemporary Nutrition, A Functional Approach, 9th Edition By Anne Smith All Chapters...

16 USD

0

0

Test Bank For Wardlaws Contemporary Nutrition, A Functional Approach, 8th Edition By Anne Smith All Chapters
View Document

Test Bank For Wardlaws Contemporary Nutrition, A Functional Approach, 8th Edition By Anne Smith All Chapters

  • mentor2000

    mentor2000

  • test bank

Test Bank For Wardlaws Contemporary Nutrition, A Functional Approach, 8th Edition By Anne Smith All Chapters...

15 USD

0

0

Test Bank For Wardlaws Contemporary Nutrition, A Functional Approach, 7th Edition By Anne Smith All Chapters
View Document

Test Bank For Wardlaws Contemporary Nutrition, A Functional Approach, 7th Edition By Anne Smith All Chapters

  • mentor2000

    mentor2000

  • test bank

Test Bank For Wardlaws Contemporary Nutrition, A Functional Approach, 7th Edition By Anne Smith All Chapters...

16 USD

0

1

Test Bank For Wardlaws Contemporary Nutrition, A Functional Approach, 6th Edition All Chapters
View Document

Test Bank For Wardlaws Contemporary Nutrition, A Functional Approach, 6th Edition All Chapters

  • mentor2000

    mentor2000

  • test bank

Test Bank For Wardlaws Contemporary Nutrition, A Functional Approach, 6th Edition All Chapters...

16 USD

0

0

Test Bank for Textbook of Diagnostic Sonography 9th Edition by Hagen Ansert
View Document

Test Bank for Textbook of Diagnostic Sonography 9th Edition by Hagen Ansert

  • mentor2000

    mentor2000

  • test bank

Access the complete test bank for the Textbook of Diagnostic Sonography, 9th Edition by Hagen-Ansert, designed to enhanc...

15 USD

0

2

Test Bank for Textbook of Diagnostic Sonography 8th Edition by Hagen Ansert
View Document

Test Bank for Textbook of Diagnostic Sonography 8th Edition by Hagen Ansert

  • mentor2000

    mentor2000

  • test bank

Get the comprehensive test bank for the Textbook of Diagnostic Sonography, 8th Edition by Hagen-Ansert, to reinforce you...

15 USD

0

0

Test Bank for Strategic Management of Technological Innovation 7th Edition Schilling
View Document

Test Bank for Strategic Management of Technological Innovation 7th Edition Schilling

  • mentor2000

    mentor2000

  • test bank

Test Bank for Strategic Management of Technological Innovation 7th Edition Schilling...

16 USD

0

0

Test Bank for Strategic Management of Technological Innovation 6th Edition Schilling
View Document

Test Bank for Strategic Management of Technological Innovation 6th Edition Schilling

  • mentor2000

    mentor2000

  • test bank

Test Bank for Strategic Management of Technological Innovation 6th Edition Schilling...

15 USD

0

0

Test Bank for Porths Essentials Of Pathophysiology, Concepts Of Altered Health States Third, North American Edition 12 Edition by Norris
View Document

Test Bank for Porths Essentials Of Pathophysiology, Concepts Of Altered Health States Third, North American Edition 12 Edition by Norris

  • mentor2000

    mentor2000

  • test bank

Test Bank for Porths Essentials Of Pathophysiology, Concepts Of Altered Health States Third, North American Edition 12 E...

17 USD

0

0

Test Bank for Porths Essentials Of Pathophysiology, Concepts Of Altered Health States Third, North American Edition 11 Edition by Norris
View Document

Test Bank for Porths Essentials Of Pathophysiology, Concepts Of Altered Health States Third, North American Edition 11 Edition by Norris

  • mentor2000

    mentor2000

  • test bank

Test Bank for Porths Essentials Of Pathophysiology, Concepts Of Altered Health States Third, North American Edition 11 E...

15 USD

0

0

Test Bank for Porths Essentials Of Pathophysiology, Concepts Of Altered Health States Third, North American Edition 10 Edition by Norris
View Document

Test Bank for Porths Essentials Of Pathophysiology, Concepts Of Altered Health States Third, North American Edition 10 Edition by Norris

  • mentor2000

    mentor2000

  • test bank

Test Bank for Porths Essentials Of Pathophysiology, Concepts Of Altered Health States Third, North American Edition 10 E...

15 USD

0

0

Test Bank for Biochemistry A Short Course 4th Edition John L. Tymoczko
View Document

Test Bank for Biochemistry A Short Course 4th Edition John L. Tymoczko

  • mentor2000

    mentor2000

  • test bank

Test Bank for Biochemistry A Short Course 4th Edition John L. Tymoczko...

15 USD

0

0

Test Bank for Biochemistry A Short Course 3rd Edition John L. Tymoczko
View Document

Test Bank for Biochemistry A Short Course 3rd Edition John L. Tymoczko

  • mentor2000

    mentor2000

  • test bank

Test Bank for Biochemistry A Short Course 3rd Edition John L. Tymoczko...

16 USD

0

0

Test Bank for Biochemistry 10th Edition Campbell, Farrell
View Document

Test Bank for Biochemistry 10th Edition Campbell, Farrell

  • mentor2000

    mentor2000

  • test bank

Test Bank for Biochemistry 10th Edition Campbell, Farrell...

15 USD

0

0

Test Bank for Biochemistry 9th Edition Campbell, Farrell (All Chapters)
View Document

Test Bank for Biochemistry 9th Edition Campbell, Farrell (All Chapters)

  • mentor2000

    mentor2000

  • test bank

Get PDF copy of the Test Bank for Biochemistry 9th Edition by Campbell, Farrell. All chapter questions are included. Ins...

15 USD

0

1

Test Bank For Applied Pathophysiology A Conceptual Approach 5th Edition By Judi Nath; Carie Braun All Chapters
View Document

Test Bank For Applied Pathophysiology A Conceptual Approach 5th Edition By Judi Nath; Carie Braun All Chapters

  • mentor2000

    mentor2000

  • test bank

Test Bank For Applied Pathophysiology A Conceptual Approach 5th Edition By Judi Nath; Carie Braun All Chapters...

16 USD

0

0

Test Bank For Applied Pathophysiology A Conceptual Approach 4th Edition By Judi Nath, Carie Braun All Chapters
View Document

Test Bank For Applied Pathophysiology A Conceptual Approach 4th Edition By Judi Nath, Carie Braun All Chapters

  • mentor2000

    mentor2000

  • test bank

Test Bank For Applied Pathophysiology A Conceptual Approach 4th Edition By Judi Nath, Carie Braun All Chapters...

15 USD

0

3

TEST BANK FOR ESSENTIALS FOR NURSING PRACTICE 8TH EDITION BY POTTER ALL CHAPTERS
View Document

TEST BANK FOR ESSENTIALS FOR NURSING PRACTICE 8TH EDITION BY POTTER ALL CHAPTERS

  • Denoh001

    Denoh001

  • test bank

TEST BANK FOR ESSENTIALS FOR NURSING PRACTICE 8TH EDITION BY POTTER ALL CHAPTERS...

16 USD

0

0

Test Bank for Success in Practical Vocational Nursing 10th Edition Carroll
View Document

Test Bank for Success in Practical Vocational Nursing 10th Edition Carroll

  • Markel

    Markel

  • test bank

Test Bank for Success in Practical Vocational Nursing 10th Edition Carroll – Download PDF...

30 USD

0

0

Essentials Of Psychiatric Mental Health Nursing 3rd Edition Varcarolis Test Bank
View Document

Essentials Of Psychiatric Mental Health Nursing 3rd Edition Varcarolis Test Bank

  • NASHON

    NASHON

  • test bank

Essentials Of Psychiatric Mental Health Nursing 3rd Edition Varcarolis Test Bank...

13 USD

0

0

Test Bank For Applied Pathophysiology: A Conceptual Approach 4th Edition By Judi Nath; Carie Braun 9781975179199 Chapter 1-20 Complete Guide
View Document

Test Bank For Applied Pathophysiology: A Conceptual Approach 4th Edition By Judi Nath; Carie Braun 9781975179199 Chapter 1-20 Complete Guide

  • NASHON

    NASHON

  • questions & answers

Test Bank For Applied Pathophysiology: A Conceptual Approach 4th Edition By Judi Nath; Carie Braun 9781975179199 Chapter...

15 USD

0

0

Test Bank for Emergency Care 14th Edition Daniel Limmer
View Document

Test Bank for Emergency Care 14th Edition Daniel Limmer

  • Opati-Kaka

    Opati-Kaka

  • test bank

Get the PDF Test Bank for Emergency Care 14th Edition by Daniel Limmer, Michael F. O'Keefe, Edward T. Dickinson...

15 USD

0

0

Test Bank for Community Health Nursing in Canada 4th Edition by Stanhope
View Document

Test Bank for Community Health Nursing in Canada 4th Edition by Stanhope

  • Opati-Kaka

    Opati-Kaka

  • test bank

Test Bank for Community Health Nursing in Canada 4th Edition by Stanhope...

17 USD

0

0

Test Bank for Community Health Nursing in Canada 3rd Edition by Stanhope
View Document

Test Bank for Community Health Nursing in Canada 3rd Edition by Stanhope

  • Opati-Kaka

    Opati-Kaka

  • test bank

Test Bank for Community Health Nursing in Canada 3rd Edition by Stanhope...

17 USD

0

0

Test Bank for Pharmacology A Patient-Centered Nursing Process Approach, 12th Edition by McCuistion
View Document

Test Bank for Pharmacology A Patient-Centered Nursing Process Approach, 12th Edition by McCuistion

  • Namwaki

    Namwaki

  • exam

Test Bank for Pharmacology A Patient-Centered Nursing Process Approach, 12th Edition by McCuistion...

15 USD

0

0

Test Bank for Pharmacology A Patient-Centered Nursing Process Approach, 11th Edition by McCuistion
View Document

Test Bank for Pharmacology A Patient-Centered Nursing Process Approach, 11th Edition by McCuistion

  • Namwaki

    Namwaki

  • exam

Test Bank for Pharmacology A Patient-Centered Nursing Process Approach, 11th Edition by McCuistion...

16 USD

0

0

TEST BANK Yoder-Wise: Leading and Managing in Nursing, 8th Edition 2023, 2024 Update
View Document

TEST BANK Yoder-Wise: Leading and Managing in Nursing, 8th Edition 2023, 2024 Update

  • Passingmaster

    Passingmaster

  • test bank

TEST BANK Yoder-Wise: Leading and Managing in Nursing, 8th Edition 2023, 2024 Update – Download PDF...

30 USD

0

0

TEST BANK For COMMUNITY AND PUBLIC HEALTH NURSING 10TH EDITION BY CHERIE RECTOR, MARY JO STANLEY
View Document

TEST BANK For COMMUNITY AND PUBLIC HEALTH NURSING 10TH EDITION BY CHERIE RECTOR, MARY JO STANLEY

  • Passingmaster

    Passingmaster

  • questions & answers

TEST BANK For COMMUNITY AND PUBLIC HEALTH NURSING 10TH EDITION BY CHERIE RECTOR, MARY JO STANLEY – Download PDF...

30 USD

0

0

Test Bank for Leadership and Nursing Care Management 6th Edition Huber
View Document

Test Bank for Leadership and Nursing Care Management 6th Edition Huber

  • mentor2000

    mentor2000

  • test bank

Test Bank for Leadership and Nursing Care Management 6th Edition Huber...

15 USD

0

0

Test Bank for Fundamentals of Nursing 3rd Edition by Yoost All Chapters
View Document

Test Bank for Fundamentals of Nursing 3rd Edition by Yoost All Chapters

  • Angelicer

    Angelicer

  • test bank

Test Bank for Fundamentals of Nursing 3rd Edition by Yoost All Chapters...

15 USD

0

0

Test Bank For Pharmacology for Nurses, A Pathophysiologic Approach 7th Edition Adams, Holland, Chang
View Document

Test Bank For Pharmacology for Nurses, A Pathophysiologic Approach 7th Edition Adams, Holland, Chang

  • claratutor1

    claratutor1

  • test bank

Get the Test Bank for Pharmacology for Nurses, 7th Ed. by Adams, Holland & Chang. Includes all chapters, NCLEX-style que...

15 USD

0

0

Test Bank for Cardiopulmonary Anatomy and Physiology Essentials of Respiratory Care 8th Edition by Des Jardins
View Document

Test Bank for Cardiopulmonary Anatomy and Physiology Essentials of Respiratory Care 8th Edition by Des Jardins

  • Clinton-Wanjala

    Clinton-Wanjala

  • test bank

Test Bank for Cardiopulmonary Anatomy and Physiology Essentials of Respiratory Care 8th Edition by Des Jardins – Downl...

17 USD

0

0

Test Bank for CURRENT Medical Diagnosis and Treatment 2024 by Maxine A. Papadakis, Stephen J. McPhee
View Document

Test Bank for CURRENT Medical Diagnosis and Treatment 2024 by Maxine A. Papadakis, Stephen J. McPhee

  • Namwaki

    Namwaki

  • test bank

Test Bank for CURRENT Medical Diagnosis and Treatment 2024 by Maxine A. Papadakis, Stephen J. McPhee...

15 USD

0

0

Test Bank Pharmacology A Patient-Centered Nursing Process Approach, 10th Edition by Linda E. McCuistion Chapter 1-58
View Document

Test Bank Pharmacology A Patient-Centered Nursing Process Approach, 10th Edition by Linda E. McCuistion Chapter 1-58

  • NASHON

    NASHON

  • test bank

Test Bank Pharmacology A Patient-Centered Nursing Process Approach, 10th Edition by Linda E. McCuistion Chapter 1-58...

15 USD

0

0

Test Bank Pharmacology A Patient-Centered Nursing Process Approach, 11th Edition by Linda E. McCuistion Chapter 1-58
View Document

Test Bank Pharmacology A Patient-Centered Nursing Process Approach, 11th Edition by Linda E. McCuistion Chapter 1-58

  • NASHON

    NASHON

  • test bank

Test Bank Pharmacology A Patient-Centered Nursing Process Approach, 11th Edition by Linda E. McCuistion Chapter 1-58...

15 USD

0

0

Test Bank for Textbook of Physical Diagnosis 7th Edition Mark H. Swartz
View Document

Test Bank for Textbook of Physical Diagnosis 7th Edition Mark H. Swartz

  • Kaponga

    Kaponga

  • test bank

Test Bank for Textbook of Physical Diagnosis 7th Edition Mark H. Swartz...

15 USD

0

0

All hesi fundamentals exam test bank updated 2023
View Document

All hesi fundamentals exam test bank updated 2023

  • NASHON

    NASHON

  • hesi

All hesi fundamentals exam test bank updated 2023...

15 USD

0

0

Foundations of Clinical Research: Applications to Evidence-Based Practice, 4th Edition Test Bank , Leslie G. Portney
View Document

Foundations of Clinical Research: Applications to Evidence-Based Practice, 4th Edition Test Bank , Leslie G. Portney

  • Opati-Kaka

    Opati-Kaka

  • test bank

Foundations of Clinical Research: Applications to Evidence-Based Practice, 4th Edition Test Bank , Leslie G. Portney...

15 USD

0

0

Test Bank for Understanding Child Abuse and Neglect, 10th Edition, Cynthia Crosson-Tower
View Document

Test Bank for Understanding Child Abuse and Neglect, 10th Edition, Cynthia Crosson-Tower

  • Pasing-Grades

    Pasing-Grades

  • test bank

Test Bank for Understanding Child Abuse and Neglect, 10th Edition, Cynthia Crosson-Tower...

15 USD

0

0

Test Bank for Understanding Biology, 4th Edition, Kenneth Mason, Tod Duncan, Jonathan Losos.
View Document

Test Bank for Understanding Biology, 4th Edition, Kenneth Mason, Tod Duncan, Jonathan Losos.

  • Pasing-Grades

    Pasing-Grades

  • test bank

Test Bank for Understanding Biology, 4th Edition, Kenneth Mason, Tod Duncan, Jonathan Losos....

15 USD

0

0

Test Bank for Total Fitness and Wellness, 8th Edition, Scott K. Powers, Stephen L. Dodd
View Document

Test Bank for Total Fitness and Wellness, 8th Edition, Scott K. Powers, Stephen L. Dodd

  • Pasing-Grades

    Pasing-Grades

  • test bank

Test Bank for Total Fitness and Wellness, 8th Edition, Scott K. Powers, Stephen L. Dodd...

15 USD

0

0

Test Bank for The Psychology of Health and Health Care A Canadian Perspective, 5th Edition, Gary Poole, Deborah Hunt Matheson, David N. Cox,
View Document

Test Bank for The Psychology of Health and Health Care A Canadian Perspective, 5th Edition, Gary Poole, Deborah Hunt Matheson, David N. Cox,

  • Pasing-Grades

    Pasing-Grades

  • test bank

Test Bank for The Psychology of Health and Health Care A Canadian Perspective, 5th Edition, Gary Poole, Deborah Hunt Mat...

15 USD

0

0

Test Bank for The United States Health Care System Combining Business Health and Delivery, 3rd Edition, Anne Austin, Victoria Wetle
View Document

Test Bank for The United States Health Care System Combining Business Health and Delivery, 3rd Edition, Anne Austin, Victoria Wetle

  • Pasing-Grades

    Pasing-Grades

  • test bank

Test Bank for The United States Health Care System Combining Business Health and Delivery, 3rd Edition, Anne Austin, Vic...

15 USD

0

0

Test Bank for Understanding Psychology, 12th Edition, Charles G. Morris, Dr. Albert A. Maisto
View Document

Test Bank for Understanding Psychology, 12th Edition, Charles G. Morris, Dr. Albert A. Maisto

  • Pasing-Grades

    Pasing-Grades

  • test bank

Test Bank for Understanding Psychology, 12th Edition, Charles G. Morris, Dr. Albert A. Maisto...

17 USD

0

0

Test Bank for Visual Anatomy and Physiology, 3rd Edition, Frederic H. Martini, William C. Ober, Judi L. Nath, Edwin F. Bartholomew, Kevin F. Petti
View Document

Test Bank for Visual Anatomy and Physiology, 3rd Edition, Frederic H. Martini, William C. Ober, Judi L. Nath, Edwin F. Bartholomew, Kevin F. Petti

  • Pasing-Grades

    Pasing-Grades

  • test bank

Test Bank for Visual Anatomy and Physiology, 3rd Edition, Frederic H. Martini, William C. Ober, Judi L. Nath, Edwin F. B...

15 USD

0

0

Test Bank for The Psychology of Attitudes and Attitude Change, 3rd Edition, Gregory R. Maio, Bas Verplanken, Geoffrey Haddock
View Document

Test Bank for The Psychology of Attitudes and Attitude Change, 3rd Edition, Gregory R. Maio, Bas Verplanken, Geoffrey Haddock

  • Pasing-Grades

    Pasing-Grades

  • test bank

Test Bank for The Psychology of Attitudes and Attitude Change, 3rd Edition, Gregory R. Maio, Bas Verplanken, Geoffrey Ha...

15 USD

0

0

Test Bank for Ebersole and Hess Gerontological Nursing and Healthy Aging 6th Edition by Touhy
View Document

Test Bank for Ebersole and Hess Gerontological Nursing and Healthy Aging 6th Edition by Touhy

  • Pasing-Grades

    Pasing-Grades

  • test bank

Test Bank for Ebersole and Hess Gerontological Nursing and Healthy Aging 6th Edition by Touhy...

16 USD

0

0

Test Bank for Understanding Psychology, 15th Edition, Robert Feldman
View Document

Test Bank for Understanding Psychology, 15th Edition, Robert Feldman

  • Pasing-Grades

    Pasing-Grades

  • test bank

Test Bank for Understanding Psychology, 15th Edition, Robert Feldman...

15 USD

0

0

Test Bank for Understanding Pharmacology for Health Professionals, 6th Edition, Susan M. Turley
View Document

Test Bank for Understanding Pharmacology for Health Professionals, 6th Edition, Susan M. Turley

  • Pasing-Grades

    Pasing-Grades

  • test bank

Test Bank for Understanding Pharmacology for Health Professionals, 6th Edition, Susan M. Turley...

18 USD

0

0

Test Bank for Theories of Personality Understanding Persons, 7th Edition, Susan Cloninger,
View Document

Test Bank for Theories of Personality Understanding Persons, 7th Edition, Susan Cloninger,

  • Pasing-Grades

    Pasing-Grades

  • test bank

Test Bank for Theories of Personality Understanding Persons, 7th Edition, Susan Cloninger,...

15 USD

0

0

Test Bank for The Psychology of Women and Gender, 10th Edition, Nicole M. Else-Quest, Janet Shibley Hyde
View Document

Test Bank for The Psychology of Women and Gender, 10th Edition, Nicole M. Else-Quest, Janet Shibley Hyde

  • Pasing-Grades

    Pasing-Grades

  • test bank

Test Bank for The Psychology of Women and Gender, 10th Edition, Nicole M. Else-Quest, Janet Shibley Hyde...

15 USD

0

0

Test Bank for The World of Psychology, 8th Canadian Edition, Wood, Ellen, Boyd
View Document

Test Bank for The World of Psychology, 8th Canadian Edition, Wood, Ellen, Boyd

  • Pasing-Grades

    Pasing-Grades

  • test bank

Test Bank for The World of Psychology, 8th Canadian Edition, Wood, Ellen, Boyd...

17 USD

0

0

Test Bank for Thelan’s Critical Care Nursing Diagnosis and Management, 5th Edition, Linda D. Urden
View Document

Test Bank for Thelan’s Critical Care Nursing Diagnosis and Management, 5th Edition, Linda D. Urden

  • Pasing-Grades

    Pasing-Grades

  • test bank

Test Bank for Thelan’s Critical Care Nursing Diagnosis and Management, 5th Edition, Linda D. Urden...

15 USD

0

0

Test Bank for Davis Advantage for Understanding Medical-Surgical Nursing, 7th Edition, Linda S. Williams, Paula D. Hopper,
View Document

Test Bank for Davis Advantage for Understanding Medical-Surgical Nursing, 7th Edition, Linda S. Williams, Paula D. Hopper,

  • Pasing-Grades

    Pasing-Grades

  • test bank

Test Bank for Davis Advantage for Understanding Medical-Surgical Nursing, 7th Edition, Linda S. Williams, Paula D. Hoppe...

15 USD

0

0

Test Bank for Varcarolis’ Foundations of Psychiatric-Mental Health Nursing, 11th Edition, Margaret Jordan Halter
View Document

Test Bank for Varcarolis’ Foundations of Psychiatric-Mental Health Nursing, 11th Edition, Margaret Jordan Halter

  • Pasing-Grades

    Pasing-Grades

  • test bank

Test Bank for Varcarolis’ Foundations of Psychiatric-Mental Health Nursing, 11th Edition, Margaret Jordan Halter...

15 USD

0

0

Test Bank for Varcarolis’ Foundations of Psychiatric-Mental Health Nursing, 10th Edition, Margaret Jordan Halter
View Document

Test Bank for Varcarolis’ Foundations of Psychiatric-Mental Health Nursing, 10th Edition, Margaret Jordan Halter

  • Pasing-Grades

    Pasing-Grades

  • test bank

Test Bank for Varcarolis’ Foundations of Psychiatric-Mental Health Nursing, 10th Edition, Margaret Jordan Halter...

17 USD

0

0

Test Bank for Vander’s Human Physiology, 16th Edition, Eric Widmaier, Hershel Raff, Kevin Strang
View Document

Test Bank for Vander’s Human Physiology, 16th Edition, Eric Widmaier, Hershel Raff, Kevin Strang

  • Pasing-Grades

    Pasing-Grades

  • test bank

Achieve top grades with the Test Bank for Vander’s Human Physiology, 16th Edition by Widmaier, Raff, and Strang. Essen...

15 USD

0

0

Test Bank for Winningham’s Critical Thinking Cases in Nursing, 6th Edition Harding, Snyder
View Document

Test Bank for Winningham’s Critical Thinking Cases in Nursing, 6th Edition Harding, Snyder

  • Pasing-Grades

    Pasing-Grades

  • test bank

Prepare for your nursing exams with the Test Bank for Winningham’s Critical Thinking Cases in Nursing, 6th Edition. Ge...

15 USD

0

0

Test Bank for Therapeutic Exercise Foundations and Techniques, 5th Edition, Carolyn Kisner, Lynn Allen Colby
View Document

Test Bank for Therapeutic Exercise Foundations and Techniques, 5th Edition, Carolyn Kisner, Lynn Allen Colby

  • Pasing-Grades

    Pasing-Grades

  • test bank

Test Bank for Therapeutic Exercise Foundations and Techniques, 5th Edition, Carolyn Kisner, Lynn Allen Colby...

15 USD

0

0

Test Bank for Therapeutic Exercise Foundations and Techniques, 6th Edition, Carolyn Kisner, Lynn Allen Colby
View Document

Test Bank for Therapeutic Exercise Foundations and Techniques, 6th Edition, Carolyn Kisner, Lynn Allen Colby

  • Pasing-Grades

    Pasing-Grades

  • test bank

Test Bank for Therapeutic Exercise Foundations and Techniques, 6th Edition, Carolyn Kisner, Lynn Allen Colby...

15 USD

0

0

Test Bank for Understanding Human Sexuality, 15th Edition, Janet Hyde, John DeLamater
View Document

Test Bank for Understanding Human Sexuality, 15th Edition, Janet Hyde, John DeLamater

  • Pasing-Grades

    Pasing-Grades

  • test bank

Test Bank for Understanding Human Sexuality, 15th Edition, Janet Hyde, John DeLamater...

15 USD

0

0

Test Bank for Understanding the Psychology of Diversity, 4th Edition, Bruce E. Blaine, Kimberly J. McClure Brenchley
View Document

Test Bank for Understanding the Psychology of Diversity, 4th Edition, Bruce E. Blaine, Kimberly J. McClure Brenchley

  • Pasing-Grades

    Pasing-Grades

  • test bank

Test Bank for Understanding the Psychology of Diversity, 4th Edition, Bruce E. Blaine, Kimberly J. McClure Brenchley...

15 USD

0

0

Test Bank for Wheeler’s Dental Anatomy Physiology and Occlusion, 9th Edition, Stanley Nelson
View Document

Test Bank for Wheeler’s Dental Anatomy Physiology and Occlusion, 9th Edition, Stanley Nelson

  • Pasing-Grades

    Pasing-Grades

  • test bank

Test Bank for Wheeler’s Dental Anatomy Physiology and Occlusion, 9th Edition, Stanley Nelson...

15 USD

0

0

Test Bank for Williams’ Essentials of Nutrition and Diet Therapy, 10th Edition, Eleanor Schlenker, Sara Long Roth
View Document

Test Bank for Williams’ Essentials of Nutrition and Diet Therapy, 10th Edition, Eleanor Schlenker, Sara Long Roth

  • Pasing-Grades

    Pasing-Grades

  • test bank

Test Bank for Williams’ Essentials of Nutrition and Diet Therapy, 10th Edition, Eleanor Schlenker, Sara Long Roth...

15 USD

0

0

Test Bank for Williams’ Essentials of Nutrition and Diet Therapy, 11th Edition, Eleanor Schlenker
View Document

Test Bank for Williams’ Essentials of Nutrition and Diet Therapy, 11th Edition, Eleanor Schlenker

  • Pasing-Grades

    Pasing-Grades

  • test bank

Test Bank for Williams’ Essentials of Nutrition and Diet Therapy, 11th Edition, Eleanor Schlenker...

15 USD

0

0

Test Bank for Tietz Fundamentals of Clinical Chemistry, 6th Edition, Carl A. Burtis, David E. Bruns
View Document

Test Bank for Tietz Fundamentals of Clinical Chemistry, 6th Edition, Carl A. Burtis, David E. Bruns

  • Pasing-Grades

    Pasing-Grades

  • test bank

Test Bank for Tietz Fundamentals of Clinical Chemistry, 6th Edition, Carl A. Burtis, David E. Bruns...

15 USD

0

0

Test Bank for the Human Body in Health & Disease 9th Edition by Patton
View Document

Test Bank for the Human Body in Health & Disease 9th Edition by Patton

  • Opati-Kaka

    Opati-Kaka

  • test bank

Test Bank for the Human Body in Health & Disease 9th Edition by Patton...

16 USD

0

0

Test Bank For The Human Body in Health & Disease 8th Edition By Kevin T. Patton
View Document

Test Bank For The Human Body in Health & Disease 8th Edition By Kevin T. Patton

  • Opati-Kaka

    Opati-Kaka

  • test bank

Test Bank For The Human Body in Health & Disease 8th Edition By Kevin T. Patton...

15 USD

0

0

Test Bank for Thompson & Thompson Genetics in Medicine, 8th Edition, Robert Nussbaum, Roderick McInnes, Huntington Willard
View Document

Test Bank for Thompson & Thompson Genetics in Medicine, 8th Edition, Robert Nussbaum, Roderick McInnes, Huntington Willard

  • Pasing-Grades

    Pasing-Grades

  • test bank

Test Bank for Thompson & Thompson Genetics in Medicine, 8th Edition, Robert Nussbaum, Roderick McInnes, Huntington Willa...

15 USD

0

0

Test Bank for Therapeutic Exercise  Foundations and Techniques, 7th Edition, Carolyn Kisner, Lynn Allen Colby
View Document

Test Bank for Therapeutic Exercise Foundations and Techniques, 7th Edition, Carolyn Kisner, Lynn Allen Colby

  • Pasing-Grades

    Pasing-Grades

  • test bank

Test Bank for Therapeutic Exercise Foundations and Techniques, 7th Edition, Carolyn Kisner, Lynn Allen Colby...

17 USD

0

0

Test Bank for Today’s Medical Assistant, 3rd Edition, Kathy Bonewit-West, Sue Hunt, Edith Applegate
View Document

Test Bank for Today’s Medical Assistant, 3rd Edition, Kathy Bonewit-West, Sue Hunt, Edith Applegate

  • Pasing-Grades

    Pasing-Grades

  • test bank

Test Bank for Today’s Medical Assistant, 3rd Edition, Kathy Bonewit-West, Sue Hunt, Edith Applegate...

15 USD

0

0

Test Bank for Tietz Fundamentals of Clinical Chemistry and Molecular Diagnostics, 7th Edition, Carl A. Burtis, David E. Bruns
View Document

Test Bank for Tietz Fundamentals of Clinical Chemistry and Molecular Diagnostics, 7th Edition, Carl A. Burtis, David E. Bruns

  • Pasing-Grades

    Pasing-Grades

  • test bank

Test Bank for Tietz Fundamentals of Clinical Chemistry and Molecular Diagnostics, 7th Edition, Carl A. Burtis, David E. ...

16 USD

0

0

Test Bank for Understanding Nursing Research, 5th Edition, Nancy Burns, Susan K. Grove
View Document

Test Bank for Understanding Nursing Research, 5th Edition, Nancy Burns, Susan K. Grove

  • Pasing-Grades

    Pasing-Grades

  • test bank

Test Bank for Understanding Nursing Research, 5th Edition, Nancy Burns, Susan K. Grove...

16 USD

0

0

Test Bank for Understanding Nursing Research, 7th Edition, Susan Grove, Jennifer Gray
View Document

Test Bank for Understanding Nursing Research, 7th Edition, Susan Grove, Jennifer Gray

  • Pasing-Grades

    Pasing-Grades

  • test bank

Test Bank for Understanding Nursing Research, 7th Edition, Susan Grove, Jennifer Gray...

16 USD

0

0

Test Bank for Understanding Pharmacology Essentials for Medication Safety, 2nd Edition, Linda Workman
View Document

Test Bank for Understanding Pharmacology Essentials for Medication Safety, 2nd Edition, Linda Workman

  • Pasing-Grades

    Pasing-Grades

  • test bank

Test Bank for Understanding Pharmacology Essentials for Medication Safety, 2nd Edition, Linda Workman...

15 USD

0

0

Test Bank for Understanding Pharmacology, 1st Edition, M. Linda Workman
View Document

Test Bank for Understanding Pharmacology, 1st Edition, M. Linda Workman

  • Pasing-Grades

    Pasing-Grades

  • test bank

Test Bank for Understanding Pharmacology, 1st Edition, M. Linda Workman...

15 USD

0

0

Test Bank for Urinalysis and Body Fluids, 5th Edition, Susan King Strasinger , Marjorie Schaub Di Lorenzo
View Document

Test Bank for Urinalysis and Body Fluids, 5th Edition, Susan King Strasinger , Marjorie Schaub Di Lorenzo

  • Pasing-Grades

    Pasing-Grades

  • test bank

Test Bank for Urinalysis and Body Fluids, 5th Edition, Susan King Strasinger , Marjorie Schaub Di Lorenzo...

15 USD

0

0

Test Bank for Urinalysis and Body Fluids, 6th Edition, Susan King Strasinger, Marjorie Schaub Di Lorenzo
View Document

Test Bank for Urinalysis and Body Fluids, 6th Edition, Susan King Strasinger, Marjorie Schaub Di Lorenzo

  • Pasing-Grades

    Pasing-Grades

  • test bank

Test Bank for Urinalysis and Body Fluids, 6th Edition, Susan King Strasinger, Marjorie Schaub Di Lorenzo...

15 USD

0

0

Test Bank for Wilkins’ Clinical Assessment in Respiratory Care, 7th Edition, Al Heuer
View Document

Test Bank for Wilkins’ Clinical Assessment in Respiratory Care, 7th Edition, Al Heuer

  • Pasing-Grades

    Pasing-Grades

  • test bank

Test Bank for Wilkins’ Clinical Assessment in Respiratory Care, 7th Edition, Al Heuer...

17 USD

0

0

Test Bank for Wilkins’ Clinical Assessment in Respiratory Care, 8th Edition, Al Heuer
View Document

Test Bank for Wilkins’ Clinical Assessment in Respiratory Care, 8th Edition, Al Heuer

  • Pasing-Grades

    Pasing-Grades

  • test bank

Test Bank for Wilkins’ Clinical Assessment in Respiratory Care, 8th Edition, Al Heuer – Download PDF...

15 USD

0

0

Test Bank for Wilkins’ Clinical Assessment in Respiratory Care, 9th Edition, Al Heuer
View Document

Test Bank for Wilkins’ Clinical Assessment in Respiratory Care, 9th Edition, Al Heuer

  • Pasing-Grades

    Pasing-Grades

  • test bank

Test Bank for Wilkins’ Clinical Assessment in Respiratory Care, 9th Edition, Al Heuer – Download PDF...

15 USD

0

0

Test Bank for Williams’ Basic Nutrition & Diet Therapy, 16th Edition, Staci Nix McIntosh
View Document

Test Bank for Williams’ Basic Nutrition & Diet Therapy, 16th Edition, Staci Nix McIntosh

  • Pasing-Grades

    Pasing-Grades

  • test bank

Get the complete test bank for Williams’ Nutrition & Diet Therapy, 16th Ed. NCLEX-ready, with rationales, all chapters...

15 USD

0

0

Test Bank For Introduction to Maternity and Pediatric Nursing 9th Edition BY Gloria Leifer | Complete Chapter 1 - 34 | 100 % Verified
View Document

Test Bank For Introduction to Maternity and Pediatric Nursing 9th Edition BY Gloria Leifer | Complete Chapter 1 - 34 | 100 % Verified

  • NASHON

    NASHON

  • test bank

TEST BANK For Introduction to Maternity and Pediatric Nursing 9th Edition BY Gloria Leifer |Complete Chapter 1 - 34 | 10...

15 USD

0

0

Test Bank Primary Care Interprofessional Collaborative Practice 6th Edition by Terry Buttaro All Chapters
View Document

Test Bank Primary Care Interprofessional Collaborative Practice 6th Edition by Terry Buttaro All Chapters

  • Kaponga

    Kaponga

  • test bank

Revise primary care exams with the Test Bank for Primary Care: Interprofessional Collaborative Practice, 6th Edition by ...

15 USD

0

1

Test Bank Primary Care Interprofessional Collaborative Practice 6th Edition by Terry Mahan Buttaro
View Document

Test Bank Primary Care Interprofessional Collaborative Practice 6th Edition by Terry Mahan Buttaro

  • mentor2000

    mentor2000

  • test bank

Test Bank Primary Care Interprofessional Collaborative Practice 6th Edition by Terry Mahan Buttaro...

15 USD

0

0

Test Bank for Gray’s Anatomy for Students 4th Edition by Drake
View Document

Test Bank for Gray’s Anatomy for Students 4th Edition by Drake

  • Kaponga

    Kaponga

  • test bank

Test Bank for Gray’s Anatomy for Students 4th Edition by Drake...

15 USD

0

0

Test Bank for Schmidt & Brown 5th Edition Evidence-Based Practice for Nurses, Appraisal and Application of Research
View Document

Test Bank for Schmidt & Brown 5th Edition Evidence-Based Practice for Nurses, Appraisal and Application of Research

  • mentor2000

    mentor2000

  • test bank

Test Bank for Schmidt & Brown 5th Edition Evidence-Based Practice for Nurses, Appraisal and Application of Research...

17 USD

0

0

Test Bank - Hamric and Hanson’s Advanced Practice Nursing: An Integrative Approach, 7th Edition (Tracy, 2023) All chapters
View Document

Test Bank - Hamric and Hanson’s Advanced Practice Nursing: An Integrative Approach, 7th Edition (Tracy, 2023) All chapters

  • Opati-Kaka

    Opati-Kaka

  • test bank

Test Bank - Hamric and Hanson’s Advanced Practice Nursing: An Integrative Approach, 7th Edition (Tracy, 2023) All chap...

17 USD

0

0

Test Bank For Raus Respiratory Care Pharmacology 11th Edition By Gardenhire All Chapters
View Document

Test Bank For Raus Respiratory Care Pharmacology 11th Edition By Gardenhire All Chapters

  • mentor2000

    mentor2000

  • test bank

Test Bank For Raus Respiratory Care Pharmacology 11th Edition By Gardenhire All Chapters...

17 USD

0

0

Test Bank for Pilbeams Mechanical Ventilation 9th Edition by Cairo
View Document

Test Bank for Pilbeams Mechanical Ventilation 9th Edition by Cairo

  • mentor2000

    mentor2000

  • test bank

Test Bank for Pilbeams Mechanical Ventilation 9th Edition by Cairo...

17 USD

0

0

Test Bank for Medical Surgical Nursing 10th Edition Ignatavicius All Chapters
View Document

Test Bank for Medical Surgical Nursing 10th Edition Ignatavicius All Chapters

  • mentor2000

    mentor2000

  • test bank

Test Bank for Medical Surgical Nursing 10th Edition Ignatavicius All Chapters...

17 USD

0

0

Test Bank for Introductory Maternity & Pediatric Nursing 5th Edition Hatfield
View Document

Test Bank for Introductory Maternity & Pediatric Nursing 5th Edition Hatfield

  • mentor2000

    mentor2000

  • questions & answers

Test Bank for Introductory Maternity & Pediatric Nursing 5th Edition Hatfield...

16 USD

0

0

Test Bank Psychiatric Mental Health Nursing 9th Edition By Videbeck (All Chapters)
View Document

Test Bank Psychiatric Mental Health Nursing 9th Edition By Videbeck (All Chapters)

  • mentor2000

    mentor2000

  • test bank

Test Bank Psychiatric Mental Health Nursing 9th Edition By Videbeck (All Chapters)...

16 USD

0

0

Test Bank for Davis Advantage for Fundamentals of Nursing Care Concepts, Connections & Skills 4th Edition By Marti Burton David Smith All chapters
View Document

Test Bank for Davis Advantage for Fundamentals of Nursing Care Concepts, Connections & Skills 4th Edition By Marti Burton David Smith All chapters

  • mentor2000

    mentor2000

  • test bank

Get PDF for Test Bank for Davis Advantage for Fundamentals of Nursing Care, 4th Edition. Covers essential concepts, conn...

16 USD

0

3

Test Bank for Fundamentals of Nursing 10th Edition by Taylor
View Document

Test Bank for Fundamentals of Nursing 10th Edition by Taylor

  • Pasing-Grades

    Pasing-Grades

  • test bank

Get now the Test Bank for Fundamentals of Nursing 10th Edition by Taylor. Instant PDF Download....

16 USD

0

0

Test Bank For Maternal Child Nursing 6th Edition By Emily Slone McKinney (All chapters)
View Document

Test Bank For Maternal Child Nursing 6th Edition By Emily Slone McKinney (All chapters)

  • mentor2000

    mentor2000

  • test bank

Prepare for your exams with the comprehensive Test Bank for Maternal-Child Nursing, 6th Edition by McKinney, James, Murr...

15 USD

0

0

Test Bank for Essentials of Federal Taxation 3rd Edition Spilker
View Document

Test Bank for Essentials of Federal Taxation 3rd Edition Spilker

  • tutorvalentine

    tutorvalentine

  • test bank

Test Bank for Essentials of Federal Taxation 3rd Edition Spilker...

17 USD

0

0

Test Bank for Business- Its Legal Ethical and Global Environment 12th Edition Jennings (All Chapters)
View Document

Test Bank for Business- Its Legal Ethical and Global Environment 12th Edition Jennings (All Chapters)

  • tutorvalentine

    tutorvalentine

  • test bank

Test Bank for Business- Its Legal Ethical and Global Environment 12th Edition Jennings (All Chapters)...

17 USD

0

0

Test Bank For SOC 6th Edition by Nijole V. Benokraitis
View Document

Test Bank For SOC 6th Edition by Nijole V. Benokraitis

  • tutorvalentine

    tutorvalentine

  • test bank

Test Bank For SOC 6th Edition by Nijole V. Benokraitis...

16 USD

0

0

Test Bank For Medical Surgical Nursing 5th Edition By Holly K. Stromberg Chapter All chapters
View Document

Test Bank For Medical Surgical Nursing 5th Edition By Holly K. Stromberg Chapter All chapters

  • tutorvalentine

    tutorvalentine

  • test bank

Test Bank For Medical Surgical Nursing 5th Edition By Holly K. Stromberg Chapter All chapters...

16 USD

0

0

Test Bank for Human Physiology An Integrated Approach 8th Edition Silverthorn
View Document

Test Bank for Human Physiology An Integrated Approach 8th Edition Silverthorn

  • mentor2000

    mentor2000

  • test bank

Test Bank for Human Physiology An Integrated Approach 8th Edition Silverthorn...

15 USD

0

0

ATI TEAS 7 Science Exam Test Bank For 2026 Exam, All Questions Answered
View Document

ATI TEAS 7 Science Exam Test Bank For 2026 Exam, All Questions Answered

  • mentor2000

    mentor2000

  • ati

ATI TEAS 7 Science Exam Test Bank For 2025 Exam, All Questions Answered...

12 USD

0

0

New NCLEX-PN Test-Bank (200 Questions with Answers and Explanation)
View Document

New NCLEX-PN Test-Bank (200 Questions with Answers and Explanation)

  • Kaponga

    Kaponga

  • nclex

New NCLEX-PN Test-Bank (200 Questions with Answers and Explanation)...

15 USD

0

0

Test Bank for Law Enforcement in the 21st Century 4th Edition Grant
View Document

Test Bank for Law Enforcement in the 21st Century 4th Edition Grant

  • mentor2000

    mentor2000

  • test bank

Test Bank for Law Enforcement in the 21st Century 4th Edition Grant...

15 USD

0

0

Test Bank for Family Practice Guidelines 5th Edition Cash Glass Mullen
View Document

Test Bank for Family Practice Guidelines 5th Edition Cash Glass Mullen

  • Kaponga

    Kaponga

  • test bank

Test Bank for Family Practice Guidelines 5th Edition Cash Glass Mullen...

15 USD

0

1

Test Bank for Stahl’s Essential Psychopharmacology 5th Edition
View Document

Test Bank for Stahl’s Essential Psychopharmacology 5th Edition

  • Eddah-Nafula

    Eddah-Nafula

  • exam

Test Bank for Stahl’s Essential Psychopharmacology 5th Edition – Download PDF...

18 USD

0

0

Test Bank For Introduction To Critical Care Nursing 10th Edition By Sole All Chapters
View Document

Test Bank For Introduction To Critical Care Nursing 10th Edition By Sole All Chapters

  • tutorvalentine

    tutorvalentine

  • test bank

Test Bank For Introduction To Critical Care Nursing 10th Edition By Sole All Chapters...

16 USD

0

0

Test Bank For Introduction To Critical Care Nursing 9th Edition By Sole All Chapters
View Document

Test Bank For Introduction To Critical Care Nursing 9th Edition By Sole All Chapters

  • tutorvalentine

    tutorvalentine

  • test bank

Test Bank For Introduction To Critical Care Nursing 9th Edition By Sole All Chapters...

16 USD

0

0

Test Bank For Lewiss Medical Surgical Nursing in Canada 5th Edition by Jane Tyerman, Shelley Cobbett
View Document

Test Bank For Lewiss Medical Surgical Nursing in Canada 5th Edition by Jane Tyerman, Shelley Cobbett

  • Namwaki

    Namwaki

  • test bank

Test Bank For Lewiss Medical Surgical Nursing in Canada 5th Edition by Jane Tyerman, Shelley Cobbett...

15 USD

0

0

Test Bank for Neuroscience 6th Edition by Purves, Chapters 1-34
View Document

Test Bank for Neuroscience 6th Edition by Purves, Chapters 1-34

  • tutorvalentine

    tutorvalentine

  • test bank

Test Bank for Neuroscience 6th Edition by Purves, Chapters 1-34...

17 USD

0

0

Test Bank for Berne & Levy Physiology, 7th Edition, Bruce M. Koeppen, Bruce A. Stanton 2023
View Document

Test Bank for Berne & Levy Physiology, 7th Edition, Bruce M. Koeppen, Bruce A. Stanton 2023

  • Angelicer

    Angelicer

  • exam

Test Bank for Berne & Levy Physiology, 7th Edition, Bruce M. Koeppen, Bruce A. Stanton 2023...

15 USD

0

0

Test Bank for Fundamentals of Anatomy and Physiology, 11th Edition, Frederic H. Martini 2023
View Document

Test Bank for Fundamentals of Anatomy and Physiology, 11th Edition, Frederic H. Martini 2023

  • Angelicer

    Angelicer

  • exam

Test Bank for Fundamentals of Anatomy and Physiology, 11th Edition, Frederic H. Martini 2023...

15 USD

0

0

Test Bank for Joint Structure and Function A Comprehensive Analysis, 6th Edition, Pamela K. Levangie
View Document

Test Bank for Joint Structure and Function A Comprehensive Analysis, 6th Edition, Pamela K. Levangie

  • Angelicer

    Angelicer

  • exam

Test Bank for Joint Structure and Function A Comprehensive Analysis, 6th Edition, Pamela K. Levangie...

15 USD

0

0

Test Bank for Nutrition for Health and Health Care 8th Edition By Linda Kelley DeBruyne, Kathryn Pinna
View Document

Test Bank for Nutrition for Health and Health Care 8th Edition By Linda Kelley DeBruyne, Kathryn Pinna

  • Angelicer

    Angelicer

  • exam

Test Bank for Nutrition for Health and Health Care 8th Edition By Linda Kelley DeBruyne, Kathryn Pinna...

15 USD

0

0

Test Bank for Human Anatomy and Physiology 11th Edition Elaine N. Marieb, Katja Hoehn 2023
View Document

Test Bank for Human Anatomy and Physiology 11th Edition Elaine N. Marieb, Katja Hoehn 2023

  • Angelicer

    Angelicer

  • exam

Test Bank for Human Anatomy and Physiology 11th Edition Elaine N. Marieb, Katja Hoehn 2023...

16 USD

0

0

Test Bank for Advancing Your Career Concepts of Professional Nursing, 7th Edition, Rose Kearney Nunnery 2023
View Document

Test Bank for Advancing Your Career Concepts of Professional Nursing, 7th Edition, Rose Kearney Nunnery 2023

  • Angelicer

    Angelicer

  • exam

Test Bank for Advancing Your Career Concepts of Professional Nursing, 7th Edition, Rose Kearney Nunnery 2023...

16 USD

0

0

Test Bank for Adult Health Nursing 6th Edition By Barbara Lauritsen 2023
View Document

Test Bank for Adult Health Nursing 6th Edition By Barbara Lauritsen 2023

  • Angelicer

    Angelicer

  • exam

Test Bank for Adult Health Nursing 6th Edition By Barbara Lauritsen 2023...

16 USD

0

0

Test Bank for Community Health Nursing, A Canadian Perspective, 5th Edition, Stamler
View Document

Test Bank for Community Health Nursing, A Canadian Perspective, 5th Edition, Stamler

  • Angelicer

    Angelicer

  • exam

Test Bank for Community Health Nursing, A Canadian Perspective, 5th Edition, Stamler...

15 USD

0

0

Test Bank for Communication in Nursing, 8th Edition, Julia Balzer Riley Latest Update 2024
View Document

Test Bank for Communication in Nursing, 8th Edition, Julia Balzer Riley Latest Update 2024

  • Angelicer

    Angelicer

  • exam

Test Bank for Communication in Nursing, 8th Edition, Julia Balzer Riley Latest Update 2024 – Download PDF...

17 USD

0

0

Test Bank for Anderson’s Caring for Older Adults Holistically 6th Edition Tamara R. Dahlkemper 2023
View Document

Test Bank for Anderson’s Caring for Older Adults Holistically 6th Edition Tamara R. Dahlkemper 2023

  • Angelicer

    Angelicer

  • exam

Test Bank for Anderson’s Caring for Older Adults Holistically 6th Edition Tamara R. Dahlkemper 2023...

15 USD

0

0

Test Bank for Addiction Treatment, 4th Edition, Katherine Van Wormer, Diane Rae Davis
View Document

Test Bank for Addiction Treatment, 4th Edition, Katherine Van Wormer, Diane Rae Davis

  • Angelicer

    Angelicer

  • exam

Test Bank for Addiction Treatment, 4th Edition, Katherine Van Wormer, Diane Rae Davis...

15 USD

0

0

Test Bank for Nursing A Concept-Based Approach to Learning 4th Edition Pearson Education 2023
View Document

Test Bank for Nursing A Concept-Based Approach to Learning 4th Edition Pearson Education 2023

  • Angelicer

    Angelicer

  • exam

Test Bank for Nursing A Concept-Based Approach to Learning 4th Edition Pearson Education 2023...

15 USD

0

0

Test Bank for Hole’s Human Anatomy and Physiology 16th Edition Welsh
View Document

Test Bank for Hole’s Human Anatomy and Physiology 16th Edition Welsh

  • Angelicer

    Angelicer

  • exam

Test Bank for Hole’s Human Anatomy and Physiology 16th Edition Welsh – Download PDF...

15 USD

0

0

Test Bank for Pathophysiology 9th Edition Mccance 2023
View Document

Test Bank for Pathophysiology 9th Edition Mccance 2023

  • mentor2000

    mentor2000

  • test bank

Test Bank for Pathophysiology 9th Edition Mccance 2023...

16 USD

0

1

Test bank For Varcarolis Foundations of Psychiatric-Mental Health Nursing 9th Edition by Margaret Jordan Halter Chapters 1-36
View Document

Test bank For Varcarolis Foundations of Psychiatric-Mental Health Nursing 9th Edition by Margaret Jordan Halter Chapters 1-36

  • Angelicer

    Angelicer

  • test bank

Test bank For Varcarolis Foundations of Psychiatric-Mental Health Nursing 9th Edition – Download PDF...

17 USD

9

37

Test Bank For Leading and Managing in Nursing, 8th Edition by Patricia S. Yoder-Wise, Susan Sportsman 2023
View Document

Test Bank For Leading and Managing in Nursing, 8th Edition by Patricia S. Yoder-Wise, Susan Sportsman 2023

  • mentor2000

    mentor2000

  • test bank

Test Bank For Leading and Managing in Nursing, 8th Edition by Patricia S. Yoder-Wise, Susan Sportsman 2023...

17 USD

0

0

[Test Bank] Basic And Fundamentals Of Computers QUESTION BANK & ANSWER KEY (Revised Edition) 2023.
View Document

[Test Bank] Basic And Fundamentals Of Computers QUESTION BANK & ANSWER KEY (Revised Edition) 2023.

  • studypal

    studypal

  • test bank

[Test Bank] Basic And Fundamentals Of Computers QUESTION BANK & ANSWER KEY (Revised Edition) 2023. – Download PDF...

17 USD

0

0

Test Bank for Campbell Biology Concepts & Connections, 9th Edition Reece, Taylor, Dickey, Hogan
View Document

Test Bank for Campbell Biology Concepts & Connections, 9th Edition Reece, Taylor, Dickey, Hogan

  • tutorvalentine

    tutorvalentine

  • test bank

Test Bank for Campbell Biology Concepts & Connections, 9th Edition Reece, Taylor, Dickey, Hogan – Download PDF...

17 USD

0

0

Test Bank for Campbell Biology Concepts & Connections, 10th Edition Reece, Taylor, Dickey, Hogan
View Document

Test Bank for Campbell Biology Concepts & Connections, 10th Edition Reece, Taylor, Dickey, Hogan

  • tutorvalentine

    tutorvalentine

  • test bank

Test Bank for Campbell Biology Concepts & Connections, 10th Edition Reece, Taylor, Dickey, Hogan – Download PDF...

18 USD

0

0

Test Bank for Campbell Biology Concepts & Connections, 8th Edition Reece, Taylor, Dickey, Hogan
View Document

Test Bank for Campbell Biology Concepts & Connections, 8th Edition Reece, Taylor, Dickey, Hogan

  • tutorvalentine

    tutorvalentine

  • questions & answers

Test Bank for Campbell Biology Concepts & Connections, 8th Edition Reece, Taylor, Dickey, Hogan – Download PDF...

17 USD

0

0

Test Bank for Advanced Practice Psychiatric Nursing, 3rd Edition – Tusaie & Fitzpatrick
View Document

Test Bank for Advanced Practice Psychiatric Nursing, 3rd Edition – Tusaie & Fitzpatrick

  • Angelicer

    Angelicer

  • test bank

Access the comprehensive Test Bank for Advanced Practice Psychiatric Nursing, 3rd Edition by Kathleen Tusaie and Joyce J...

17 USD

0

3

Zahra Shajani: Test Bank For Wright & Leaheys Nurses and Families A Guide to Family Assessment and Intervention 7th Edition
View Document

Zahra Shajani: Test Bank For Wright & Leaheys Nurses and Families A Guide to Family Assessment and Intervention 7th Edition

  • Namwaki

    Namwaki

  • study guide

Zahra Shajani: Test Bank For Wright & Leaheys Nurses and Families A Guide to Family Assessment and Intervention 7th Edit...

17 USD

0

0

Solutions to Biopsychology 8th Edition by John P.J. Pinel – Test Bank.
View Document

Solutions to Biopsychology 8th Edition by John P.J. Pinel – Test Bank.

  • studypal

    studypal

  • test bank

Solutions to Biopsychology 8th Edition by John P.J. Pinel – Test Bank....

17 USD

0

0

Test bank for Nursing Ethics Across the Curriculum and Into Practice 5th Edition Butts
View Document

Test bank for Nursing Ethics Across the Curriculum and Into Practice 5th Edition Butts

  • Eddah-Nafula

    Eddah-Nafula

  • test bank

Test bank for Nursing Ethics Across the Curriculum and Into Practice 5th Edition Butts...

17 USD

0

0

Test Bank for Practice Management for the Dental Team 9th Edition by Finkbeiner All chapters 1-18
View Document

Test Bank for Practice Management for the Dental Team 9th Edition by Finkbeiner All chapters 1-18

  • Eddah-Nafula

    Eddah-Nafula

  • test bank

Test Bank for Practice Management for the Dental Team 9th Edition by Finkbeiner All chapters 1-18...

17 USD

0

0

Test Bank for Developmental Psychology Childhood And Adolescence 9th Edition By Shaffer
View Document

Test Bank for Developmental Psychology Childhood And Adolescence 9th Edition By Shaffer

  • Eddah-Nafula

    Eddah-Nafula

  • test bank

Test Bank for Developmental Psychology Childhood And Adolescence 9th Edition By Shaffer...

17 USD

0

0

Test Bank For Human Anatomy, 9th Edition Martini Tallitsch Nath
View Document

Test Bank For Human Anatomy, 9th Edition Martini Tallitsch Nath

  • Eddah-Nafula

    Eddah-Nafula

  • test bank

Complete test bank for Human Anatomy (9th Edition) by Martini, Tallitsch & Nath. Includes 1000+ multiple choice, true/fa...

15 USD

0

0

Test Bank for Maternal Child Nursing Care 8th Edition by Perry, Lowdermilk, Hockenberry
View Document

Test Bank for Maternal Child Nursing Care 8th Edition by Perry, Lowdermilk, Hockenberry

  • Eddah-Nafula

    Eddah-Nafula

  • test bank

Test Bank for Maternal Child Nursing Care 8th Edition by Perry, Lowdermilk, Hockenberry...

20 USD

0

0

Test Bank for Maternal Child Nursing Care 7th Edition by Perry, Lowdermilk, Hockenberry
View Document

Test Bank for Maternal Child Nursing Care 7th Edition by Perry, Lowdermilk, Hockenberry

  • Eddah-Nafula

    Eddah-Nafula

  • test bank

Test Bank for Maternal Child Nursing Care 7th Edition by Perry, Lowdermilk, Hockenberry – Download PDF...

17 USD

0

0

Test Bank for Chemistry and Physics for Nurse Anesthesia 3rd Edition Shubert (All chapters)
View Document

Test Bank for Chemistry and Physics for Nurse Anesthesia 3rd Edition Shubert (All chapters)

  • Eddah-Nafula

    Eddah-Nafula

  • test bank

Test Bank for Chemistry and Physics for Nurse Anesthesia 3rd Edition Shubert (All chapters)...

17 USD

0

0

Test Bank for Molecular Biology Principles and Practice, 2nd Edition by Michael Cox, Jennifer Doudna, Michael O’Donnell
View Document

Test Bank for Molecular Biology Principles and Practice, 2nd Edition by Michael Cox, Jennifer Doudna, Michael O’Donnell

  • Angelicer

    Angelicer

  • test bank

Test Bank for Molecular Biology Principles and Practice, 2nd Edition by Michael Cox, Jennifer Doudna, Michael O’Donnel...

17 USD

0

0

Test Bank Introduction to Clinical Pharmacology 10th Edition Cheryl Zambroski, Shirley Hosler Visovsky
View Document

Test Bank Introduction to Clinical Pharmacology 10th Edition Cheryl Zambroski, Shirley Hosler Visovsky

  • Angelicer

    Angelicer

  • test bank

Test Bank Introduction to Clinical Pharmacology 10th Edition Cheryl Zambroski, Shirley Hosler Visovsky – Download PDF...

17 USD

0

0

Test Bank for Human Anatomy & Physiology, 12th Global Edition (Marieb, 2023), Chapter 1-29
View Document

Test Bank for Human Anatomy & Physiology, 12th Global Edition (Marieb, 2023), Chapter 1-29

  • Angelicer

    Angelicer

  • test bank

Test Bank for Human Anatomy & Physiology, 12th Global Edition (Marieb, 2023), Chapter 1-29...

17 USD

0

0

Test bank for Introduction to Critical Care Nursing 8th Edition Sole Klein Moseley
View Document

Test bank for Introduction to Critical Care Nursing 8th Edition Sole Klein Moseley

  • Darling

    Darling

  • test bank

Test bank for Introduction to Critical Care Nursing 8th Edition Sole Klein Moseley...

17 USD

0

0

Test Bank for Community and Public Health Nursing 10th Edition by Rector
View Document

Test Bank for Community and Public Health Nursing 10th Edition by Rector

  • Eddah-Nafula

    Eddah-Nafula

  • test bank

Test Bank for Community and Public Health Nursing 10th Edition by Rector...

17 USD

0

0

Test Bank for Physical Examination and Health Assessment 7th edition by Jarvis
View Document

Test Bank for Physical Examination and Health Assessment 7th edition by Jarvis

  • Eddah-Nafula

    Eddah-Nafula

  • test bank

Test Bank for Physical Examination and Health Assessment 7th edition by Jarvis...

17 USD

0

0

Test Bank - Principles of Biochemistry, 5th Edition (Moran)
View Document

Test Bank - Principles of Biochemistry, 5th Edition (Moran)

  • tutorvalentine

    tutorvalentine

  • test bank

Test Bank - Principles of Biochemistry, 5th Edition (Moran)...

17 USD

0

0

Essentials of Federal Taxation 3rd Edition Spilker Test Bank
View Document

Essentials of Federal Taxation 3rd Edition Spilker Test Bank

  • mentor2000

    mentor2000

  • test bank

Essentials of Federal Taxation 3rd Edition Spilker Test Bank...

17 USD

0

0

Corporate Finance A Focused Approach 5th Edition Ehrhardt Test Bank
View Document

Corporate Finance A Focused Approach 5th Edition Ehrhardt Test Bank

  • mentor2000

    mentor2000

  • test bank

Corporate Finance A Focused Approach 5th Edition Ehrhardt Test Bank...

17 USD

0

0

Web Design Introductory 6th Edition Campbell Test Bank
View Document

Web Design Introductory 6th Edition Campbell Test Bank

  • mentor2000

    mentor2000

  • test bank

Web Design Introductory 6th Edition Campbell Test Bank...

17 USD

0

0

Introduction to Managerial Accounting 6th Edition Brewer Test Bank
View Document

Introduction to Managerial Accounting 6th Edition Brewer Test Bank

  • mentor2000

    mentor2000

  • test bank

Introduction to Managerial Accounting 6th Edition Brewer Test Bank...

17 USD

0

0

General Organic And Biological Chemistry Structures Of Life 4th Edition Timberlake Test Bank
View Document

General Organic And Biological Chemistry Structures Of Life 4th Edition Timberlake Test Bank

  • mentor2000

    mentor2000

  • test bank

General Organic And Biological Chemistry Structures Of Life 4th Edition Timberlake Test Bank...

17 USD

0

0

TEST BANK by Hockenberry Wongs Essentials of Pediatric Nursing, 10th EditionWONGS ESSENTIALS OF PEDIATRIC NURSING 10TH EDITION by HOCKENBERRY TEST BANK
View Document

TEST BANK by Hockenberry Wongs Essentials of Pediatric Nursing, 10th EditionWONGS ESSENTIALS OF PEDIATRIC NURSING 10TH EDITION by HOCKENBERRY TEST BANK

  • studypal

    studypal

  • questions & answers

TEST BANK by Hockenberry Wongs Essentials of Pediatric Nursing, 10th EditionWONGS ESSENTIALS OF PEDIATRIC NURSING 10TH E...

14 USD

0

0

PHARMACOLOGY STUDENT ACTIVITY SHEET BS NURSING ALL MODULE ANSWERS-QUIZZES-AND-TEST BANK
View Document

PHARMACOLOGY STUDENT ACTIVITY SHEET BS NURSING ALL MODULE ANSWERS-QUIZZES-AND-TEST BANK

  • studypal

    studypal

  • questions & answers

PHARMACOLOGY STUDENT ACTIVITY SHEET BS NURSING ALL MODULE ANSWERS-QUIZZES-AND-TEST BANK...

14 USD

0

0

Test Bank For Understanding Nursing Research, Building An Evidence-Based Practice, 7th Edition by Susan K. Grove, Jennifer R. Gray, Nancy Burns
View Document

Test Bank For Understanding Nursing Research, Building An Evidence-Based Practice, 7th Edition by Susan K. Grove, Jennifer R. Gray, Nancy Burns

  • Eddah-Nafula

    Eddah-Nafula

  • questions & answers

Test Bank For Understanding Nursing Research, Building An Evidence-Based Practice, 7th Edition by Susan K. Grove, Jennif...

17 USD

0

0

Global Marketing Practical Insights and International Analysis 1st Edition Farrell Test Bank
View Document

Global Marketing Practical Insights and International Analysis 1st Edition Farrell Test Bank

  • Eddah-Nafula

    Eddah-Nafula

  • questions & answers

Global Marketing Practical Insights and International Analysis 1st Edition Farrell Test Bank...

16 USD

0

0

Test Bank for Management A Practical Introduction 6th Edition Kinicki
View Document

Test Bank for Management A Practical Introduction 6th Edition Kinicki

  • Eddah-Nafula

    Eddah-Nafula

  • questions & answers

Test Bank for Management A Practical Introduction 6th Edition Kinicki...

17 USD

0

0

Test bank for Chemical Dependency Counseling A Practical Guide 5th Edition Perkinson
View Document

Test bank for Chemical Dependency Counseling A Practical Guide 5th Edition Perkinson

  • Eddah-Nafula

    Eddah-Nafula

  • questions & answers

Test bank for Chemical Dependency Counseling A Practical Guide 5th Edition Perkinson...

17 USD

0

0

Test Bank for Using Econometrics A Practical Guide 6th Edition Studenmund
View Document

Test Bank for Using Econometrics A Practical Guide 6th Edition Studenmund

  • Eddah-Nafula

    Eddah-Nafula

  • questions & answers

Test Bank for Using Econometrics A Practical Guide 6th Edition Studenmund...

17 USD

0

0

Test Bank for Substance Abuse and Addiction Treatment Practical Application of Counseling Theory 1st Edition Lewis
View Document

Test Bank for Substance Abuse and Addiction Treatment Practical Application of Counseling Theory 1st Edition Lewis

  • Eddah-Nafula

    Eddah-Nafula

  • questions & answers

Test Bank for Substance Abuse and Addiction Treatment Practical Application of Counseling Theory 1st Edition Lewis...

17 USD

0

0

Test Bank for Principles of Anatomy and Physiology, 16th Edition Tortora
View Document

Test Bank for Principles of Anatomy and Physiology, 16th Edition Tortora

  • Gorski

    Gorski

  • test bank

Master anatomy and physiology with the Test Bank for Principles of Anatomy and Physiology, 16th Edition. Get comprehensi...

16 USD

0

0

Test Bank for The Psychiatric Interview 4th Edition Carlat (All Chapters)
View Document

Test Bank for The Psychiatric Interview 4th Edition Carlat (All Chapters)

  • Emily

    Emily

  • test bank

Test Bank for The Psychiatric Interview 4th Edition Carlat (All Chapters)...

17 USD

0

0

Test Bank Introduction to Clinical Pharmacology 10th Edition Visovsky
View Document

Test Bank Introduction to Clinical Pharmacology 10th Edition Visovsky

  • wangeci

    wangeci

  • exam

Test Bank Introduction to Clinical Pharmacology 10th Edition Visovsky...

17 USD

0

0

Varacolis Foundations of Psychiatric Health  Nursing
View Document

Varacolis Foundations of Psychiatric Health Nursing

  • mianah

    mianah

  • test bank

Varacolis Foundations of Psychiatric Health Nursing...

10 USD

0

0

Test Bank for Essentials of Nursing Research Appraising Evidence for Nursing Practice 9th Edition Denise F. Polit, Cheryl Tatano Beck
View Document

Test Bank for Essentials of Nursing Research Appraising Evidence for Nursing Practice 9th Edition Denise F. Polit, Cheryl Tatano Beck

  • tutorvalentine

    tutorvalentine

  • exam

Test Bank for Essentials of Nursing Research Appraising Evidence for Nursing Practice 9th Edition Denise F. Polit, Chery...

14 USD

0

0

ANATOMY AND PHYSIOLOGY OPENSTAX TEST BANK [Instant download] Complete Guide- Pass your tests.
View Document

ANATOMY AND PHYSIOLOGY OPENSTAX TEST BANK [Instant download] Complete Guide- Pass your tests.

  • studypal

    studypal

  • test bank

ANATOMY AND PHYSIOLOGY OPENSTAX TEST BANK [Instant download] Complete Guide- Pass your tests....

14 USD

0

0

Test Bank for Pilbeams Mechanical Ventilation 8th Edition by Cairo (All Chapters)
View Document

Test Bank for Pilbeams Mechanical Ventilation 8th Edition by Cairo (All Chapters)

  • Eddah-Nafula

    Eddah-Nafula

  • study guide

Test Bank for Pilbeams Mechanical Ventilation 8th Edition by Cairo (All Chapters)...

17 USD

0

0

Critical Thinking, Clinical Reasoning, and Clinical Judgment, 7th Edition. by Rosalinda Test Bank
View Document

Critical Thinking, Clinical Reasoning, and Clinical Judgment, 7th Edition. by Rosalinda Test Bank

  • mentor2000

    mentor2000

  • book

Critical Thinking, Clinical Reasoning, and Clinical Judgment, 7th Edition. by Rosalinda Test Bank...

17 USD

0

0

Porth’s Pathophysiology 10th Edition By Norris Test Bank (Updated)
View Document

Porth’s Pathophysiology 10th Edition By Norris Test Bank (Updated)

  • Emily

    Emily

  • exam

Porth’s Pathophysiology 10th Edition By Norris Test Bank (Updated)...

17 USD

0

4

Chapter 04 Bacteria and Archaea
View Document

Chapter 04 Bacteria and Archaea

  • mentor2000

    mentor2000

  • questions & answers

Chapter 04 Bacteria and Archaea...

3 USD

0

2

Test Bank for Dulcan’s Textbook of Child and Adolescent Psychiatry
View Document

Test Bank for Dulcan’s Textbook of Child and Adolescent Psychiatry

  • GradeA

    GradeA

  • test bank

Test Bank for Dulcan’s Textbook of Child and Adolescent Psychiatry...

15 USD

0

0

Test Bank for Clinically Oriented Anatomy 8th Edition Moore Dalley
View Document

Test Bank for Clinically Oriented Anatomy 8th Edition Moore Dalley

  • mentor2000

    mentor2000

  • questions & answers

Test Bank for Clinically Oriented Anatomy 8th Edition Moore Dalley...

17 USD

0

0

Test Bank For Financial Accounting for MBAs, 8th Edition by Easton
View Document

Test Bank For Financial Accounting for MBAs, 8th Edition by Easton

  • mentor2000

    mentor2000

  • questions & answers

Test Bank For Financial Accounting for MBAs, 8th Edition by Easton...

17 USD

0

0

Test Bank for Nursing for Wellness in Older Adults 8th Edition Miller
View Document

Test Bank for Nursing for Wellness in Older Adults 8th Edition Miller

  • mentor2000

    mentor2000

  • questions & answers

Get PDF of Test Bank for Nursing for Wellness in Older Adults 8th Edition Miller Study material from pasinggrades.com...

17 USD

0

1

Test Bank for Psychiatric Advanced Practice Nursing, A Biopsychosocial Foundation for Practice 1st Edition Perese
View Document

Test Bank for Psychiatric Advanced Practice Nursing, A Biopsychosocial Foundation for Practice 1st Edition Perese

  • mentor2000

    mentor2000

  • questions & answers

Test Bank for Psychiatric Advanced Practice Nursing, A Biopsychosocial Foundation for Practice 1st Edition Perese...

15 USD

0

0

Test Bank for Care of The Older Adult Objective Assessment (C475)
View Document

Test Bank for Care of The Older Adult Objective Assessment (C475)

  • mentor2000

    mentor2000

  • questions & answers

Test Bank for Care of The Older Adult Objective Assessment (C475)...

15 USD

0

0

Test Bank for Systems Analysis and Design, 7th Edition, Alan Dennis, Barbara Haley Wixom, Roberta M. Roth
View Document

Test Bank for Systems Analysis and Design, 7th Edition, Alan Dennis, Barbara Haley Wixom, Roberta M. Roth

  • Emily

    Emily

  • exam

Test Bank for Systems Analysis and Design, 7th Edition, Alan Dennis, Barbara Haley Wixom, Roberta M. Roth...

16 USD

0

0

Comprehensive Test Bank for Medical Language: Immerse Yourself, 5th Edition by Susan M. Turley
View Document

Comprehensive Test Bank for Medical Language: Immerse Yourself, 5th Edition by Susan M. Turley

  • Emily

    Emily

  • exam

Comprehensive Test Bank for Medical Language: Immerse Yourself, 5th Edition by Susan M. Turley – The Ultimate Instruct...

16 USD

0

0

Test Bank for Exploring Anatomy & Physiology in the Laboratory 3rd Edition Amerman
View Document

Test Bank for Exploring Anatomy & Physiology in the Laboratory 3rd Edition Amerman

  • Emily

    Emily

  • exam

Test Bank for Exploring Anatomy & Physiology in the Laboratory 3rd Edition Amerman...

16 USD

0

0

Test Bank for Anthropology of Religion, Magic, and Witchcraft, 3rd Edition Rebecca Stein, Philip L Stein
View Document

Test Bank for Anthropology of Religion, Magic, and Witchcraft, 3rd Edition Rebecca Stein, Philip L Stein

  • Emily

    Emily

  • exam

Test Bank for Anthropology of Religion, Magic, and Witchcraft, 3rd Edition Rebecca Stein, Philip L Stein...

16 USD

0

0

Test Bank For Current Medical Diagnosis And Treatment 2023 62nd Edition By Maxine Papadakis, Stephen Mcphee, Michael Rabow & Kenneth Mcquaid
View Document

Test Bank For Current Medical Diagnosis And Treatment 2023 62nd Edition By Maxine Papadakis, Stephen Mcphee, Michael Rabow & Kenneth Mcquaid

  • mentor2000

    mentor2000

  • questions & answers

Access the Test Bank for Current Medical Diagnosis and Treatment 2023, 62nd Edition by Papadakis, McPhee, Rabow, & McQua...

15 USD

0

0

Test Bank for Crafting & Executing Strategy, The Quest for Competitive Advantage, Concepts and Cases 23rd Edition Thompson
View Document

Test Bank for Crafting & Executing Strategy, The Quest for Competitive Advantage, Concepts and Cases 23rd Edition Thompson

  • mentor2000

    mentor2000

  • questions & answers

Test Bank for Crafting & Executing Strategy, The Quest for Competitive Advantage, Concepts and Cases 23rd Edition Thomps...

16 USD

0

0

Test Bank for Timbys Introductory Medical-Surgical Nursing 13th Edition by Moreno
View Document

Test Bank for Timbys Introductory Medical-Surgical Nursing 13th Edition by Moreno

  • mentor2000

    mentor2000

  • test bank

Test Bank for Timbys Introductory Medical-Surgical Nursing 13th Edition by Moreno...

15 USD

0

0

Test Bank For Goulds Pathophysiology for the Health Professions, 7th Edition  (All 28 chapters)
View Document

Test Bank For Goulds Pathophysiology for the Health Professions, 7th Edition (All 28 chapters)

  • Opati-Kaka

    Opati-Kaka

  • test bank

Test Bank For Goulds Pathophysiology for the Health Professions, 7th Edition (All 28 chapters) – Download PDF...

17 USD

0

0

Test Bank For Goulds Pathophysiology for the Health Professions, 6th Edition  (All 28 chapters)
View Document

Test Bank For Goulds Pathophysiology for the Health Professions, 6th Edition (All 28 chapters)

  • Opati-Kaka

    Opati-Kaka

  • test bank

Test Bank For Goulds Pathophysiology for the Health Professions, 6th Edition (All 28 chapters) – Download PDF...

17 USD

0

0

Test Bank for Dewit's Medical-Surgical Nursing: Concepts and Practice, 4th Edition by Holly Stromberg, Verified Chapters 1-49
View Document

Test Bank for Dewit's Medical-Surgical Nursing: Concepts and Practice, 4th Edition by Holly Stromberg, Verified Chapters 1-49

  • Opati-Kaka

    Opati-Kaka

  • test bank

Prepare for your 2024 medical-surgical nursing exams with the Test Bank for Dewit's Medical-Surgical Nursing, 4th Editio...

15 USD

0

0

Dewit’s Medical Surgical Nursing Concepts And Practice 3rd Edition Stromberg Test Bank
View Document

Dewit’s Medical Surgical Nursing Concepts And Practice 3rd Edition Stromberg Test Bank

  • Opati-Kaka

    Opati-Kaka

  • test bank

Dewit’s Medical Surgical Nursing Concepts And Practice 3rd Edition Stromberg Test Bank...

18 USD

0

0

Test Bank For Pathophysiology 6th Edition by Jacquelyn L. Banasik Chapter 1-54 Complete Guide
View Document

Test Bank For Pathophysiology 6th Edition by Jacquelyn L. Banasik Chapter 1-54 Complete Guide

  • mentor2000

    mentor2000

  • test bank

Test Bank For Pathophysiology 6th Edition by Jacquelyn L. Banasik Chapter 1-54 Complete Guide...

17 USD

0

0

Test Bank For Pathophysiology 7th Edition by Jacquelyn L. Banasik Chapter 1-54 Complete Guide
View Document

Test Bank For Pathophysiology 7th Edition by Jacquelyn L. Banasik Chapter 1-54 Complete Guide

  • mentor2000

    mentor2000

  • test bank

Test Bank For Pathophysiology 7th Edition by Jacquelyn L. Banasik Chapter 1-54 Complete Guide...

17 USD

0

0

Test Bank For Nursing in Todays World Trends, Issues, and Management 12th Edition by Amy J. Buckway, Holli Sowerby
View Document

Test Bank For Nursing in Todays World Trends, Issues, and Management 12th Edition by Amy J. Buckway, Holli Sowerby

  • mentor2000

    mentor2000

  • test bank

Test Bank For Nursing in Todays World Trends, Issues, and Management 12th Edition by Amy J. Buckway, Holli Sowerby...

17 USD

0

1

Test Bank for Managerial Accounting 12E by Garrison Noreen Brewer
View Document

Test Bank for Managerial Accounting 12E by Garrison Noreen Brewer

  • mentor2000

    mentor2000

  • test bank

Test Bank for Managerial Accounting 12E by Garrison Noreen Brewer...

15 USD

0

0

Test Bank for Lewiss Medical-Surgical Nursing, Assessment and Management of Clinical Problems 12th Edition By Marianne M. Harding, Jeffrey Kwong, Debra Hagler
View Document

Test Bank for Lewiss Medical-Surgical Nursing, Assessment and Management of Clinical Problems 12th Edition By Marianne M. Harding, Jeffrey Kwong, Debra Hagler

  • mentor2000

    mentor2000

  • test bank

Get the Test Bank for Lewis’s Medical-Surgical Nursing, 12th Ed. by Harding & Kwong. All chapters, NCLEX-style questio...

15 USD

0

0

NR 509 Final Exam 2023 Test Bank
View Document

NR 509 Final Exam 2023 Test Bank

  • Angelicer

    Angelicer

  • exam

NR 509 Final Exam 2023 Test Bank...

10 USD

0

0

Test Bank for Clinical Calculations 9th Edition Kee Marshall
View Document

Test Bank for Clinical Calculations 9th Edition Kee Marshall

  • tutorvalentine

    tutorvalentine

  • test bank

Test Bank for Clinical Calculations 9th Edition Kee Marshall...

17 USD

0

0

Test Bank for C How to Program, 8th Edition, Paul J. Deitel
View Document

Test Bank for C How to Program, 8th Edition, Paul J. Deitel

  • tutorvalentine

    tutorvalentine

  • test bank

Test Bank for C How to Program, 8th Edition, Paul J. Deitel...

17 USD

0

0

Test Bank for Wongs Essentials of Pediatric Nursing 10th Edition by Marilyn Hockenberry and David Wilson
View Document

Test Bank for Wongs Essentials of Pediatric Nursing 10th Edition by Marilyn Hockenberry and David Wilson

  • Nkosi

    Nkosi

  • questions & answers

Test Bank for Wongs Essentials of Pediatric Nursing 10th Edition by Marilyn Hockenberry and David Wilson – Download PD...

17 USD

0

0

Test Bank for Wongs Essentials of Pediatric Nursing 9th Edition by Marilyn Hockenberry and David Wilson
View Document

Test Bank for Wongs Essentials of Pediatric Nursing 9th Edition by Marilyn Hockenberry and David Wilson

  • Nkosi

    Nkosi

  • questions & answers

Test Bank for Wongs Essentials of Pediatric Nursing 9th Edition by Marilyn Hockenberry and David Wilson – Download PDF...

17 USD

0

0

NR 509 Final Exam Test Bank 2023
View Document

NR 509 Final Exam Test Bank 2023

  • Nkosi

    Nkosi

  • questions & answers

NR 509 Final Exam Test Bank 2023...

12 USD

0

0

Test Bank The Interpersonal Communication Book 14th Edition DeVito
View Document

Test Bank The Interpersonal Communication Book 14th Edition DeVito

  • Eddah-Nafula

    Eddah-Nafula

  • test bank

Test Bank The Interpersonal Communication Book 14th Edition DeVito...

17 USD

0

0

Test Bank for Social and Personality Development 6th Editionby Shaffer
View Document

Test Bank for Social and Personality Development 6th Editionby Shaffer

  • Eddah-Nafula

    Eddah-Nafula

  • test bank

Test Bank for Social and Personality Development 6th Editionby Shaffer...

17 USD

0

0

Test Bank for Nutrition and Diet Therapy, 12th Edition, Ruth A. Roth, Kathy L. Wehrle
View Document

Test Bank for Nutrition and Diet Therapy, 12th Edition, Ruth A. Roth, Kathy L. Wehrle

  • Eddah-Nafula

    Eddah-Nafula

  • test bank

Access the full Test Bank for Nutrition and Diet Therapy, 12th Edition by Ruth A. Roth and Kathy L. Wehrle. Ideal for nu...

17 USD

0

1

Test Bank for Leadership Theory Application and Skill Development 6th Edition Lussier & Achuad
View Document

Test Bank for Leadership Theory Application and Skill Development 6th Edition Lussier & Achuad

  • Eddah-Nafula

    Eddah-Nafula

  • test bank

Test Bank for Leadership Theory Application and Skill Development 6th Edition Lussier & Achuad...

17 USD

0

0

Test Bank for Statistical Techniques in Business and Economics 18th Edition Lind
View Document

Test Bank for Statistical Techniques in Business and Economics 18th Edition Lind

  • Emily

    Emily

  • test bank

Test Bank for Statistical Techniques in Business and Economics 18th Edition Lind...

17 USD

0

0

Test Bank for Music Business Handbook and Career Guide 12th Edition Baskerville
View Document

Test Bank for Music Business Handbook and Career Guide 12th Edition Baskerville

  • Emily

    Emily

  • test bank

Test Bank for Music Business Handbook and Career Guide 12th Edition Baskerville...

17 USD

0

0

Test Bank for Managing Organizational Change, A Multiple Perspectives Approach 4th Edition Palmer
View Document

Test Bank for Managing Organizational Change, A Multiple Perspectives Approach 4th Edition Palmer

  • Emily

    Emily

  • test bank

Test Bank for Managing Organizational Change, A Multiple Perspectives Approach 4th Edition Palmer...

17 USD

0

0

Test Bank for Managing in a Global Economy, Demystifying International Macroeconomics 2nd Ed Marthinse
View Document

Test Bank for Managing in a Global Economy, Demystifying International Macroeconomics 2nd Ed Marthinse

  • Emily

    Emily

  • test bank

Test Bank for Managing in a Global Economy, Demystifying International Macroeconomics 2nd Ed Marthinse...

17 USD

0

0

Test Bank for Managing Human Resources 9th Canadian Edition Belcourt
View Document

Test Bank for Managing Human Resources 9th Canadian Edition Belcourt

  • Emily

    Emily

  • test bank

Test Bank for Managing Human Resources 9th Canadian Edition Belcourt...

17 USD

0

0

Test Bank for Leadership, Enhancing the Lessons of Experience 10th Edition Hughes
View Document

Test Bank for Leadership, Enhancing the Lessons of Experience 10th Edition Hughes

  • Emily

    Emily

  • test bank

Test Bank for Leadership, Enhancing the Lessons of Experience 10th Edition Hughes...

17 USD

0

0

Test Bank for Get Fit Stay Fit 7th Edition by Prentice
View Document

Test Bank for Get Fit Stay Fit 7th Edition by Prentice

  • Emily

    Emily

  • test bank

Test Bank for Get Fit Stay Fit 7th Edition by Prentice...

17 USD

0

0

Test Bank for Gerontologic Nursing 5th Edition by Meiner
View Document

Test Bank for Gerontologic Nursing 5th Edition by Meiner

  • Emily

    Emily

  • test bank

Test Bank for Gerontologic Nursing 5th Edition by Meiner...

17 USD

0

0

Test Bank for Gangs in America’s Communities 3rd Edition Howell
View Document

Test Bank for Gangs in America’s Communities 3rd Edition Howell

  • Emily

    Emily

  • test bank

Test Bank for Gangs in America’s Communities 3rd Edition Howell...

17 USD

0

0

Test Bank for Davis’s Drug Guide for Nurses 16th Edition by Vallerand
View Document

Test Bank for Davis’s Drug Guide for Nurses 16th Edition by Vallerand

  • Emily

    Emily

  • test bank

Test Bank for Davis’s Drug Guide for Nurses 16th Edition by Vallerand...

17 USD

0

0

Test Bank for Consumer Behaviour 8th Canadian Edition By Solomon
View Document

Test Bank for Consumer Behaviour 8th Canadian Edition By Solomon

  • Emily

    Emily

  • test bank

Get the Test Bank for Consumer Behaviour, 8th Canadian Edition by Michael R. Solomon. Comprehensive chapters and accurat...

15 USD

0

0

Test Bank for Conceptual Foundations 7th Edition by Friberg
View Document

Test Bank for Conceptual Foundations 7th Edition by Friberg

  • Emily

    Emily

  • test bank

Test Bank for Conceptual Foundations 7th Edition by Friberg...

17 USD

0

0

Test Bank for Close Encounters, Communication in Relationships 5th Edition By Guerrero
View Document

Test Bank for Close Encounters, Communication in Relationships 5th Edition By Guerrero

  • Emily

    Emily

  • test bank

Test Bank for Close Encounters, Communication in Relationships 5th Edition By Guerrero...

16 USD

0

0

Test Bank for Business Analytics 2nd Edition by Evans
View Document

Test Bank for Business Analytics 2nd Edition by Evans

  • Emily

    Emily

  • test bank

Test Bank for Business Analytics 2nd Edition by Evans...

16 USD

0

0

Test Bank for Abnormal Psychology 3rd Edition by Ray
View Document

Test Bank for Abnormal Psychology 3rd Edition by Ray

  • Emily

    Emily

  • test bank

Test Bank for Abnormal Psychology 3rd Edition by Ray...

20 USD

0

0

Test Bank For Personality Theory and Research 14th Edition By Cervone
View Document

Test Bank For Personality Theory and Research 14th Edition By Cervone

  • Emily

    Emily

  • test bank

Test Bank For Personality Theory and Research 14th Edition By Cervone...

18 USD

0

0

Test Bank for Leifer’s Introduction to Maternity and Pediatric Nursing in Canada 10th Edition by Gloria Leifer
View Document

Test Bank for Leifer’s Introduction to Maternity and Pediatric Nursing in Canada 10th Edition by Gloria Leifer

  • Emily

    Emily

  • test bank

Test Bank for Leifer’s Introduction to Maternity and Pediatric Nursing in Canada 10th Edition by Gloria Leifer...

18 USD

0

0

Test Bank for Leifer’s Introduction to Maternity and Pediatric Nursing in Canada 9th Edition by Gloria Leifer
View Document

Test Bank for Leifer’s Introduction to Maternity and Pediatric Nursing in Canada 9th Edition by Gloria Leifer

  • tutorvalentine

    tutorvalentine

  • test bank

Test Bank for Leifer’s Introduction to Maternity and Pediatric Nursing in Canada 9th Edition by Gloria Leifer...

17 USD

0

0

Med-Surg II HESI Test Bank (Questions & Answers) Best for Revision
View Document

Med-Surg II HESI Test Bank (Questions & Answers) Best for Revision

  • Emily

    Emily

  • test bank

Med-Surg II HESI Test Bank (Questions & Answers) Best for Revision...

12 USD

0

0

Test Bank for Psychology 12th Edition Myers
View Document

Test Bank for Psychology 12th Edition Myers

  • Emily

    Emily

  • exam

Test Bank for Psychology 12th Edition Myers – Download PDF...

17 USD

0

0

Test Bank Anatomy & Physiology for Emergency Care, 3rd Edition Bryan E. Bledsoe
View Document

Test Bank Anatomy & Physiology for Emergency Care, 3rd Edition Bryan E. Bledsoe

  • Emily

    Emily

  • test bank

Prepare for exams with the Test Bank for Anatomy & Physiology for Emergency Care, 3rd Edition. Access hundreds of verifi...

15 USD

0

0

NCLEX RN ACTUAL EXAM TEST BANK OF REAL QUESTIONS & ANSWERS
View Document

NCLEX RN ACTUAL EXAM TEST BANK OF REAL QUESTIONS & ANSWERS

  • mentor2000

    mentor2000

  • exam

NCLEX RN ACTUAL EXAM TEST BANK OF REAL QUESTIONS & ANSWERS...

15 USD

0

0

NCLEX RN 2026 REAL EXAM REAL QUESTIONS & ANSWERS TEST BANK
View Document

NCLEX RN 2026 REAL EXAM REAL QUESTIONS & ANSWERS TEST BANK

  • mentor2000

    mentor2000

  • exam

NCLEX RN 2025 REAL EXAM REAL QUESTIONS & ANSWERS TEST BANK...

15 USD

0

1

Test Bank For Nutrition An Applied Approach 5th Edition Thompson
View Document

Test Bank For Nutrition An Applied Approach 5th Edition Thompson

  • mentor2000

    mentor2000

  • exam

Test Bank For Nutrition An Applied Approach 5th Edition Thompson...

17 USD

0

0

Test Bank for Canadian Fundamentals of Nursing 6th Edition by Potter
View Document

Test Bank for Canadian Fundamentals of Nursing 6th Edition by Potter

  • mentor2000

    mentor2000

  • exam

Test Bank for Canadian Fundamentals of Nursing 6th Edition by Potter...

18 USD

0

0

Test Bank, For Gynecologic Health Care With an Introduction to Prenatal and Postpartum Care 4th Edition By Schuiling
View Document

Test Bank, For Gynecologic Health Care With an Introduction to Prenatal and Postpartum Care 4th Edition By Schuiling

  • mentor2000

    mentor2000

  • test bank

Test Bank, For Gynecologic Health Care With an Introduction to Prenatal and Postpartum Care 4th Edition By Schuiling...

17 USD

0

0

Test Bank Safe Maternity And Pediatric Nursing Care 2nd Ed Palmer
View Document

Test Bank Safe Maternity And Pediatric Nursing Care 2nd Ed Palmer

  • mentor2000

    mentor2000

  • test bank

Test Bank Safe Maternity And Pediatric Nursing Care 2nd Ed Palmer...

17 USD

0

0

Test Bank Focus On Adult Health Medical Surgical Nursing 2nd Edition Honan
View Document

Test Bank Focus On Adult Health Medical Surgical Nursing 2nd Edition Honan

  • mentor2000

    mentor2000

  • test bank

Test Bank Focus On Adult Health Medical Surgical Nursing 2nd Edition Honan...

17 USD

0

0

Test Bank Evolution, Making Sense Of Life, 2nd Revised Edition by Carl Zimmer, Emlen
View Document

Test Bank Evolution, Making Sense Of Life, 2nd Revised Edition by Carl Zimmer, Emlen

  • mentor2000

    mentor2000

  • test bank

Test Bank Evolution, Making Sense Of Life, 2nd Revised Edition by Carl Zimmer, Emlen...

17 USD

0

0

Test Bank for Essentials of Human Anatomy and Physiology 10th Edition by Elaine N. Marieb ISBN-13 9780321720412
View Document

Test Bank for Essentials of Human Anatomy and Physiology 10th Edition by Elaine N. Marieb ISBN-13 9780321720412

  • studypal

    studypal

  • test bank

Looking for help with anatomy and physiology? The test bank for Essentials of Human Anatomy and Physiology, 10th Edition...

14 USD

0

0

Test Bank for Pharmacotherapeutics for Advanced Practice, A Practical Approach 5th Edition Arcangelo
View Document

Test Bank for Pharmacotherapeutics for Advanced Practice, A Practical Approach 5th Edition Arcangelo

  • Eddah-Nafula

    Eddah-Nafula

  • exam

Test Bank for Pharmacotherapeutics for Advanced Practice, A Practical Approach 5th Edition Arcangelo...

17 USD

0

0

Test Bank: Pharmacotherapeutics for Advanced Practice | 5th Edition | Arcangelo, Peterson, Wilbur, Kang | Complete Test Bank Chapters
View Document

Test Bank: Pharmacotherapeutics for Advanced Practice | 5th Edition | Arcangelo, Peterson, Wilbur, Kang | Complete Test Bank Chapters

  • Eddah-Nafula

    Eddah-Nafula

  • exam

Download the updated test bank for Arcangelo’s Pharmacotherapeutics for Advanced Practice (5e). Accurate Q&A for advan...

15 USD

0

0

Lewiss Medical Surgical Nursing
View Document

Lewiss Medical Surgical Nursing

  • Eddah-Nafula

    Eddah-Nafula

  • exam

Lewiss Medical Surgical Nursing – Download PDF...

20 USD

0

0

(All Chapters) HUMAN BODY IN HEALTH AND ILLNESS 6TH EDITION BY HERLIHY TEST BANK
View Document

(All Chapters) HUMAN BODY IN HEALTH AND ILLNESS 6TH EDITION BY HERLIHY TEST BANK

  • Eddah-Nafula

    Eddah-Nafula

  • exam

(All Chapters) HUMAN BODY IN HEALTH AND ILLNESS 6TH EDITION BY HERLIHY TEST BANK...

18 USD

0

0

Test Bank for Organic Chemistry 9th Edition by William H. Brown, Brent L. Iverson, Eric Anslyn, Christopher S. Foote
View Document

Test Bank for Organic Chemistry 9th Edition by William H. Brown, Brent L. Iverson, Eric Anslyn, Christopher S. Foote

  • Angelicer

    Angelicer

  • test bank

Access comprehensive practice questions and solutions with the Test Bank for Organic Chemistry 9th Edition by William H....

17 USD

0

1

Test Bank For Clinical Guidelines In Primary Care 4th Edition Hollier
View Document

Test Bank For Clinical Guidelines In Primary Care 4th Edition Hollier

  • mentor2000

    mentor2000

  • test bank

Test Bank For Clinical Guidelines In Primary Care 4th Edition Hollier...

17 USD

0

0

ACE’s Essentials of Exercise Science for Fitness Professionals Test Bank
View Document

ACE’s Essentials of Exercise Science for Fitness Professionals Test Bank

  • studypal

    studypal

  • test bank

ACE’s Essentials of Exercise Science for Fitness Professionals Test Bank...

14 USD

0

0

(Instant Download) Advanced Practice Nursing : Essentials for Role Development 4th Edition Joel Test Bank
View Document

(Instant Download) Advanced Practice Nursing : Essentials for Role Development 4th Edition Joel Test Bank

  • studypal

    studypal

  • test bank

(Instant Download) Advanced Practice Nursing : Essentials for Role Development 4th Edition Joel Test Bank...

14 USD

0

0

Test Bank Memmlers Structure and Function of the Human Body 12th Edition Cohen
View Document

Test Bank Memmlers Structure and Function of the Human Body 12th Edition Cohen

  • Brightstudy

    Brightstudy

  • test bank

Test Bank Memmlers Structure and Function of the Human Body 12th Edition Cohen...

32 USD

0

0

Essentials of Psychiatric Nursing 2nd Edition Boyd Test Bank
View Document

Essentials of Psychiatric Nursing 2nd Edition Boyd Test Bank

  • Brightstudy

    Brightstudy

  • book

Explore the extensive test bank for Essentials of Psychiatric Nursing, 2nd Edition by Boyd, designed to support students...

15 USD

0

0

Test Bank for Cognition, Exploring the Science of the Mind 7th Edition by Daniel Reisberg
View Document

Test Bank for Cognition, Exploring the Science of the Mind 7th Edition by Daniel Reisberg

  • Angelicer

    Angelicer

  • test bank

Test Bank for Cognition, Exploring the Science of the Mind 7th Edition by Daniel Reisberg...

17 USD

0

0

Test Bank For Microbiology with Diseases by Taxonomy, 6th Edition Robert W. Bauman (All Chapters)
View Document

Test Bank For Microbiology with Diseases by Taxonomy, 6th Edition Robert W. Bauman (All Chapters)

  • Eddah-Nafula

    Eddah-Nafula

  • exam

Test Bank For Microbiology with Diseases by Taxonomy, 6th Edition Robert W. Bauman (All Chapters)...

17 USD

0

0

Test Bank, For Gynecologic Health Care With an Introduction to Prenatal and Postpartum Care 4th Edition By Schuiling
View Document

Test Bank, For Gynecologic Health Care With an Introduction to Prenatal and Postpartum Care 4th Edition By Schuiling

  • Eddah-Nafula

    Eddah-Nafula

  • exam

Test Bank, For Gynecologic Health Care With an Introduction to Prenatal and Postpartum Care 4th Edition By Schuiling...

17 USD

0

0

Test Bank For Safe Maternity And Pediatric Nursing Care 2nd Edition Linnard-Palmer
View Document

Test Bank For Safe Maternity And Pediatric Nursing Care 2nd Edition Linnard-Palmer

  • Eddah-Nafula

    Eddah-Nafula

  • exam

Test Bank For Safe Maternity And Pediatric Nursing Care 2nd Edition Linnard-Palmer...

17 USD

0

0

Test Bank For Focus on Adult Health Medical Surgical Nursing 2nd Edition Honan
View Document

Test Bank For Focus on Adult Health Medical Surgical Nursing 2nd Edition Honan

  • Eddah-Nafula

    Eddah-Nafula

  • exam

Test Bank For Focus on Adult Health Medical Surgical Nursing 2nd Edition Honan...

17 USD

0

0

ATI FUNDAMENTALS PROCTORED EXAM  TEST BANK 2020 - 2022
View Document

ATI FUNDAMENTALS PROCTORED EXAM TEST BANK 2020 - 2022

  • Eddah-Nafula

    Eddah-Nafula

  • exam

ATI FUNDAMENTALS PROCTORED EXAM TEST BANK 2020 - 2022...

15 USD

0

0

Test Bank For Advanced Assessment: Interpreting Findings And Formulating Differential Diagnoses 4th Edition, Mary Jo Goolsby, Laurie Grubbs
View Document

Test Bank For Advanced Assessment: Interpreting Findings And Formulating Differential Diagnoses 4th Edition, Mary Jo Goolsby, Laurie Grubbs

  • studypal

    studypal

  • test bank

Get PDF copy of Test Bank For Advanced Assessment 4th Edition by Mary Jo Goolsby, Laurie Grubbs on PasingGrades; The Bes...

15 USD

0

0

Certified in Public Health, Exam Review Guide, CPH Exam Practice Test Bank Prep Latest 2022
View Document

Certified in Public Health, Exam Review Guide, CPH Exam Practice Test Bank Prep Latest 2022

  • mentor2000

    mentor2000

  • exam

Certified in Public Health, Exam Review Guide, CPH Exam Practice Test Bank Prep Latest 2022...

10 USD

0

0

Test Bank For Abrams’ Clinical Drug Therapy Rationales for Nursing Practice 12th Edition Geralyn Frandsen
View Document

Test Bank For Abrams’ Clinical Drug Therapy Rationales for Nursing Practice 12th Edition Geralyn Frandsen

  • mentor2000

    mentor2000

  • test bank

Test Bank For Abrams’ Clinical Drug Therapy Rationales for Nursing Practice 12th Edition Geralyn Frandsen...

17 USD

0

1

TEST BANK INTRODUCTION TO HEALTH RESEARCH METHODS 3RD JACOBSEN
View Document

TEST BANK INTRODUCTION TO HEALTH RESEARCH METHODS 3RD JACOBSEN

  • mentor2000

    mentor2000

  • test bank

TEST BANK INTRODUCTION TO HEALTH RESEARCH METHODS 3RD JACOBSEN...

15 USD

0

0

Test Bank for Abrams Clinical Drug Therapy Rationales for Nursing Practice 12th Edition by Geralyn Frandsen
View Document

Test Bank for Abrams Clinical Drug Therapy Rationales for Nursing Practice 12th Edition by Geralyn Frandsen

  • studypal

    studypal

  • test bank

Test Bank for Abrams Clinical Drug Therapy Rationales for Nursing Practice 12th Edition by Geralyn Frandsen – Download...

18 USD

0

1

Advanced Health Assessment and Diagnostic Reasoning 3th Edition Rhoads Test Bank
View Document

Advanced Health Assessment and Diagnostic Reasoning 3th Edition Rhoads Test Bank

  • studypal

    studypal

  • test bank

Advanced Health Assessment and Diagnostic Reasoning 3th Edition Rhoads Test Bank – Download PDF...

14 USD

0

0

Test Bank for Physics: Principles with Applications Sixth Edition Douglas Giancoli- Chapter 1 to 33. COMPLETE TEST BANK
View Document

Test Bank for Physics: Principles with Applications Sixth Edition Douglas Giancoli- Chapter 1 to 33. COMPLETE TEST BANK

  • studypal

    studypal

  • test bank

Test Bank for Physics: Principles with Applications Sixth Edition Douglas Giancoli- Chapter 1 to 33. COMPLETE TEST BANK...

15 USD

0

0

Community Public Health Nursing, 7th Edition by Nies test bank 2022 updated
View Document

Community Public Health Nursing, 7th Edition by Nies test bank 2022 updated

  • Kaponga

    Kaponga

  • exam

Community Public Health Nursing, 7th Edition by Nies test bank 2022 updated...

17 USD

0

0

SEJPME II Module Test Bank: From Module 3 to 22 with Verified Answers Latest (2022)
View Document

SEJPME II Module Test Bank: From Module 3 to 22 with Verified Answers Latest (2022)

  • Kaponga

    Kaponga

  • nclex

SEJPME II Module Test Bank: From Module 3 to 22 with Verified Answers Latest (2022)...

15 USD

0

0

McKinney: Evolve Resources for Maternal-Child Nursing, 5th Edition Latest
View Document

McKinney: Evolve Resources for Maternal-Child Nursing, 5th Edition Latest

  • Angelicer

    Angelicer

  • test bank

McKinney: Evolve Resources for Maternal-Child Nursing, 5th Edition Latest...

17 USD

0

0

Test Bank for Medical Surgical Nursing; Concepts For Inter-professional Collaborative Care 10th Edition by Ignatavicius, Workman, Rebar, Heimargartner .
View Document

Test Bank for Medical Surgical Nursing; Concepts For Inter-professional Collaborative Care 10th Edition by Ignatavicius, Workman, Rebar, Heimargartner .

  • studypal

    studypal

  • test bank

Test Bank for Medical Surgical Nursing; Concepts For Inter-professional Collaborative Care 10th Edition by Ignatavicius,...

14 USD

0

0

A Complete Test Bank For Varcarolis’ Foundations Of Psychiatric Mental Health Nursing, A Clinical Approach, 7th Edition Margaret Jordan Halter
View Document

A Complete Test Bank For Varcarolis’ Foundations Of Psychiatric Mental Health Nursing, A Clinical Approach, 7th Edition Margaret Jordan Halter

  • mentor2000

    mentor2000

  • test bank

A Complete Test Bank For Varcarolis’ Foundations Of Psychiatric Mental Health Nursing, A Clinical Approach, 7th Editio...

17 USD

0

0

A Complete Test Bank For Success In Practical, Vocational Nursing, From Student To Leader, 7th Edition Signe S. Hill, Helen Stephens Howlett
View Document

A Complete Test Bank For Success In Practical, Vocational Nursing, From Student To Leader, 7th Edition Signe S. Hill, Helen Stephens Howlett

  • mentor2000

    mentor2000

  • test bank

A Complete Test Bank For Success In Practical, Vocational Nursing, From Student To Leader, 7th Edition Signe S. Hill, He...

17 USD

0

0

A Complete Test Bank For Nursing Today, Transition And Trends, 8th Edition JoAnn Zerwekh MSN EdD RN, Ashley Zerwekh Garneau MS RN
View Document

A Complete Test Bank For Nursing Today, Transition And Trends, 8th Edition JoAnn Zerwekh MSN EdD RN, Ashley Zerwekh Garneau MS RN

  • mentor2000

    mentor2000

  • test bank

A Complete Test Bank For Nursing Today, Transition And Trends, 8th Edition JoAnn Zerwekh MSN EdD RN, Ashley Zerwekh Garn...

17 USD

0

0

A Complete Test Bank For Medical-Surgical Nursing, Patient-Centered Collaborative Care, Single Volume, 8th Edition Donna D. Ignatavicius MS RN ANEF, M. Linda Workman
View Document

A Complete Test Bank For Medical-Surgical Nursing, Patient-Centered Collaborative Care, Single Volume, 8th Edition Donna D. Ignatavicius MS RN ANEF, M. Linda Workman

  • mentor2000

    mentor2000

  • test bank

A Complete Test Bank For Medical-Surgical Nursing, Patient-Centered Collaborative Care, Single Volume, 8th Edition Donna...

17 USD

0

0

A Complete Test Bank For Leadership Roles And Management Functions In Nursing, Theory And Application Eighth, North American Edition Edition Bessie L Marquis RN CNAA MSN, Carol J. Huston
View Document

A Complete Test Bank For Leadership Roles And Management Functions In Nursing, Theory And Application Eighth, North American Edition Edition Bessie L Marquis RN CNAA MSN, Carol J. Huston

  • mentor2000

    mentor2000

  • test bank

A Complete Test Bank For Leadership Roles And Management Functions In Nursing, Theory And Application Eighth, North Amer...

17 USD

0

0

A Complete Test Bank For Introduction To Medical-Surgical Nursing, 6th Edition Adrianne Dill Linto
View Document

A Complete Test Bank For Introduction To Medical-Surgical Nursing, 6th Edition Adrianne Dill Linto

  • mentor2000

    mentor2000

  • test bank

A Complete Test Bank For Introduction To Medical-Surgical Nursing, 6th Edition Adrianne Dill Linto...

17 USD

0

0

A Complete Test Bank For Introduction To Maternity And Pediatric Nursing, 7th Edition Gloria Leifer
View Document

A Complete Test Bank For Introduction To Maternity And Pediatric Nursing, 7th Edition Gloria Leifer

  • mentor2000

    mentor2000

  • test bank

A Complete Test Bank For Introduction To Maternity And Pediatric Nursing, 7th Edition Gloria Leifer...

17 USD

0

0

A Complete Test Bank For Introduction to Management Science, 11th Edition Misty E. Vermaat
View Document

A Complete Test Bank For Introduction to Management Science, 11th Edition Misty E. Vermaat

  • mentor2000

    mentor2000

  • test bank

A Complete Test Bank For Introduction to Management Science, 11th Edition Misty E. Vermaat...

17 USD

0

0

A Complete Test Bank For Introduction to Business Statistics, 7th Edition Ronald M. Weiers
View Document

A Complete Test Bank For Introduction to Business Statistics, 7th Edition Ronald M. Weiers

  • mentor2000

    mentor2000

  • test bank

A Complete Test Bank For Introduction to Business Statistics, 7th Edition Ronald M. Weiers...

17 USD

0

0

A Complete Test Bank For Gender, Race, and Class in Media, A Critical Reader, 4th Edition Authors, Gail Dines, Jean M. Humez
View Document

A Complete Test Bank For Gender, Race, and Class in Media, A Critical Reader, 4th Edition Authors, Gail Dines, Jean M. Humez

  • mentor2000

    mentor2000

  • test bank

A Complete Test Bank For Gender, Race, and Class in Media, A Critical Reader, 4th Edition Authors, Gail Dines, Jean M. H...

17 USD

0

0

A Complete Test Bank For Gangs in America’s Communities, 2nd Edition James C Howell, Elizabeth A Griffiths
View Document

A Complete Test Bank For Gangs in America’s Communities, 2nd Edition James C Howell, Elizabeth A Griffiths

  • mentor2000

    mentor2000

  • test bank

A Complete Test Bank For Gangs in America’s Communities, 2nd Edition James C Howell, Elizabeth A Griffiths...

17 USD

0

0

A Complete Test Bank For Fundamentals Of Nursing, Human Health And Function (Craven, Fundamentals Of Nursing Human Health And Function), 7th Edition Ruth F. Craven EdD RN, Constance J. Hirnle MN RN BC, Sharon Jensen
View Document

A Complete Test Bank For Fundamentals Of Nursing, Human Health And Function (Craven, Fundamentals Of Nursing Human Health And Function), 7th Edition Ruth F. Craven EdD RN, Constance J. Hirnle MN RN BC, Sharon Jensen

  • mentor2000

    mentor2000

  • test bank

A Complete Test Bank For Fundamentals Of Nursing, Human Health And Function (Craven, Fundamentals Of Nursing Human Healt...

17 USD

0

0

A Complete Test Bank For Fundamental Nursing Skills and Concepts, 10th Edition Barbara Kuhn Timby
View Document

A Complete Test Bank For Fundamental Nursing Skills and Concepts, 10th Edition Barbara Kuhn Timby

  • mentor2000

    mentor2000

  • test bank

A Complete Test Bank For Fundamental Nursing Skills and Concepts, 10th Edition Barbara Kuhn Timby...

17 USD

0

0

A Complete Test Bank For Family Theories An Introduction, 4th Edition James M White, David M Klein, Todd F Martin
View Document

A Complete Test Bank For Family Theories An Introduction, 4th Edition James M White, David M Klein, Todd F Martin

  • mentor2000

    mentor2000

  • test bank

A Complete Test Bank For Family Theories An Introduction, 4th Edition James M White, David M Klein, Todd F Martin...

17 USD

0

0

A Complete Test Bank For Essentials Of Pathophysiology, Concepts Of Altered Health States Third, North American Edition Carol Porth
View Document

A Complete Test Bank For Essentials Of Pathophysiology, Concepts Of Altered Health States Third, North American Edition Carol Porth

  • mentor2000

    mentor2000

  • test bank

A Complete Test Bank For Essentials Of Pathophysiology, Concepts Of Altered Health States Third, North American Edition ...

17 USD

0

0

A Complete Test Bank For Essentials of Business Communication, 9th Edition Mary Ellen Guffey, Dana Loewy
View Document

A Complete Test Bank For Essentials of Business Communication, 9th Edition Mary Ellen Guffey, Dana Loewy

  • mentor2000

    mentor2000

  • test bank

A Complete Test Bank For Essentials of Business Communication, 9th Edition Mary Ellen Guffey, Dana Loewy...

17 USD

0

0

A Complete Test Bank For Ecology, Concepts And Applications, 7th Edition Manuel Molles
View Document

A Complete Test Bank For Ecology, Concepts And Applications, 7th Edition Manuel Molles

  • mentor2000

    mentor2000

  • test bank

A Complete Test Bank For Ecology, Concepts And Applications, 7th Edition Manuel Molles...

17 USD

0

0

A Complete Test Bank For Diversity and Society, Race, Ethnicity, and Gender, 5th Edition Authors Joseph F. Healey, Andi Stepnick
View Document

A Complete Test Bank For Diversity and Society, Race, Ethnicity, and Gender, 5th Edition Authors Joseph F. Healey, Andi Stepnick

  • mentor2000

    mentor2000

  • test bank

A Complete Test Bank For Diversity and Society, Race, Ethnicity, and Gender, 5th Edition Authors Joseph F. Healey, Andi ...

17 USD

0

0

A Complete Test Bank For Dental Materials, Clinical Applications for Dental Assistants and Dental Hygienists, 4th Edition W. Stephan Eakle, Carol Dixon Hatrick
View Document

A Complete Test Bank For Dental Materials, Clinical Applications for Dental Assistants and Dental Hygienists, 4th Edition W. Stephan Eakle, Carol Dixon Hatrick

  • mentor2000

    mentor2000

  • test bank

A Complete Test Bank For Dental Materials, Clinical Applications for Dental Assistants and Dental Hygienists, 4th Editio...

17 USD

0

0

A Complete Test Bank For Critical Care Nursing, A Holistic Approach, 10th Edition Patricia Gonce Morton RN PhD ACNP-BC FAAN, Dorrie K. Fontaine
View Document

A Complete Test Bank For Critical Care Nursing, A Holistic Approach, 10th Edition Patricia Gonce Morton RN PhD ACNP-BC FAAN, Dorrie K. Fontaine

  • mentor2000

    mentor2000

  • test bank

A Complete Test Bank For Critical Care Nursing, A Holistic Approach, 10th Edition Patricia Gonce Morton RN PhD ACNP-BC F...

17 USD

0

0

A Complete Test Bank For Concepts of Genetics, 10th Edition William S. Klug, Michael R. Cummings, Charlotte A. Spencer, Michael A. Palladino
View Document

A Complete Test Bank For Concepts of Genetics, 10th Edition William S. Klug, Michael R. Cummings, Charlotte A. Spencer, Michael A. Palladino

  • mentor2000

    mentor2000

  • test bank

A Complete Test Bank For Concepts of Genetics, 10th Edition William S. Klug, Michael R. Cummings, Charlotte A. Spencer, ...

17 USD

0

0

A Complete Test Bank For Community As Partner Theory and Practice in Nursing, 6th Edition Elizabeth T. Anderson, Judith McFarlane
View Document

A Complete Test Bank For Community As Partner Theory and Practice in Nursing, 6th Edition Elizabeth T. Anderson, Judith McFarlane

  • mentor2000

    mentor2000

  • test bank

A Complete Test Bank For Community As Partner Theory and Practice in Nursing, 6th Edition Elizabeth T. Anderson, Judith ...

17 USD

0

0

A Complete Test Bank For Community and Public Health Nursing, Promoting the Public’s Health, 8th Edition Judith Ann Allender, Cherie Rector, Kristine D. Warner
View Document

A Complete Test Bank For Community and Public Health Nursing, Promoting the Public’s Health, 8th Edition Judith Ann Allender, Cherie Rector, Kristine D. Warner

  • mentor2000

    mentor2000

  • test bank

A Complete Test Bank For Community and Public Health Nursing, Promoting the Public’s Health, 8th Edition Judith Ann Al...

17 USD

0

0

A Complete Test Bank For Cengage Advantage Books, Essentials of the Legal Environment, 4th Edition Roger LeRoy Miller, Frank B. Cross
View Document

A Complete Test Bank For Cengage Advantage Books, Essentials of the Legal Environment, 4th Edition Roger LeRoy Miller, Frank B. Cross

  • mentor2000

    mentor2000

  • test bank

A Complete Test Bank For Cengage Advantage Books, Essentials of the Legal Environment, 4th Edition Roger LeRoy Miller, F...

20 USD

0

0

A Complete Test Bank For Business Law Today, Standard Edition, 9th Edition Roger LeRoy Miller, Gaylord A. Jentz
View Document

A Complete Test Bank For Business Law Today, Standard Edition, 9th Edition Roger LeRoy Miller, Gaylord A. Jentz

  • mentor2000

    mentor2000

  • test bank

A Complete Test Bank For Business Law Today, Standard Edition, 9th Edition Roger LeRoy Miller, Gaylord A. Jentz...

17 USD

0

0

A Complete Test Bank For Burtons Microbiology for the Health Sciences, 10th Edition Paul G Engelkirk, Janet Duben Engelkirk, Engelkirk
View Document

A Complete Test Bank For Burtons Microbiology for the Health Sciences, 10th Edition Paul G Engelkirk, Janet Duben Engelkirk, Engelkirk

  • mentor2000

    mentor2000

  • test bank

A Complete Test Bank For Burtons Microbiology for the Health Sciences, 10th Edition Paul G Engelkirk, Janet Duben Engelk...

17 USD

0

1

A Complete Test Bank For Biochemistry, 5th Edition Reginald H. Garrett, Charles M. Grisham
View Document

A Complete Test Bank For Biochemistry, 5th Edition Reginald H. Garrett, Charles M. Grisham

  • mentor2000

    mentor2000

  • test bank

A Complete Test Bank For Biochemistry, 5th Edition Reginald H. Garrett, Charles M. Grisham...

17 USD

0

0

A Complete Test Bank For Bates’ Guide to Physical Examination and History Taking, 11th Edition Lynn S. Bickley, Peter G. Szilagyi
View Document

A Complete Test Bank For Bates’ Guide to Physical Examination and History Taking, 11th Edition Lynn S. Bickley, Peter G. Szilagyi

  • mentor2000

    mentor2000

  • test bank

A Complete Test Bank For Bates’ Guide to Physical Examination and History Taking, 11th Edition Lynn S. Bickley, Peter ...

17 USD

0

0

A Complete Test Bank For Basic Statistics For Business And Economics, 8th Edition Douglas Lind, William Marchal, Samuel Wathen
View Document

A Complete Test Bank For Basic Statistics For Business And Economics, 8th Edition Douglas Lind, William Marchal, Samuel Wathen

  • mentor2000

    mentor2000

  • test bank

A Complete Test Bank For Basic Statistics For Business And Economics, 8th Edition Douglas Lind, William Marchal, Samuel ...

17 USD

0

0

A Complete Test Bank For Abrams’ Clinical Drug Therapy, Rationales for Nursing Practice, 10th Edition Frandsen, Geralyn; Pennington, Sandra Smith
View Document

A Complete Test Bank For Abrams’ Clinical Drug Therapy, Rationales for Nursing Practice, 10th Edition Frandsen, Geralyn; Pennington, Sandra Smith

  • mentor2000

    mentor2000

  • test bank

A Complete Test Bank For Abrams’ Clinical Drug Therapy, Rationales for Nursing Practice, 10th Edition Frandsen, Geraly...

17 USD

0

0

Test Bank For Essentials Of Biology 6th Edition Sylvia Mader
View Document

Test Bank For Essentials Of Biology 6th Edition Sylvia Mader

  • mentor2000

    mentor2000

  • test bank

Test Bank For Essentials Of Biology 6th Edition Sylvia Mader...

17 USD

0

0

Test bank for fundamentals of nursing 11th edition by potter perry
View Document

Test bank for fundamentals of nursing 11th edition by potter perry

  • mentor2000

    mentor2000

  • test bank

Test bank for fundamentals of nursing 11th edition by potter perry...

17 USD

0

0

TEST BANK FOR CASES IN HUMAN RESOURCE MANAGEMENT 1ST EDITION KIMBALL
View Document

TEST BANK FOR CASES IN HUMAN RESOURCE MANAGEMENT 1ST EDITION KIMBALL

  • Namwaki

    Namwaki

  • study guide

TEST BANK FOR CASES IN HUMAN RESOURCE MANAGEMENT 1ST EDITION KIMBALL...

17 USD

0

0

TEST BANK FOR CANADIAN ORGANIZATIONAL BEHAVIOUR 9TH EDITION MCSHANE
View Document

TEST BANK FOR CANADIAN ORGANIZATIONAL BEHAVIOUR 9TH EDITION MCSHANE

  • Namwaki

    Namwaki

  • study guide

TEST BANK FOR CANADIAN ORGANIZATIONAL BEHAVIOUR 9TH EDITION MCSHANE...

17 USD

0

0

TEST BANK FOR CALIFORNIA POLITICS A PRIMER 4TH EDITION VECHTEN
View Document

TEST BANK FOR CALIFORNIA POLITICS A PRIMER 4TH EDITION VECHTEN

  • Namwaki

    Namwaki

  • study guide

TEST BANK FOR CALIFORNIA POLITICS A PRIMER 4TH EDITION VECHTEN...

17 USD

0

0

TEST BANK FOR BUSINESS TO BUSINESS MARKETING 4TH EDITION BRENNAN
View Document

TEST BANK FOR BUSINESS TO BUSINESS MARKETING 4TH EDITION BRENNAN

  • Namwaki

    Namwaki

  • study guide

TEST BANK FOR BUSINESS TO BUSINESS MARKETING 4TH EDITION BRENNAN...

17 USD

0

0

Test Bank For The Only EKG Book You’ll Ever Need 9th Edition Thaler
View Document

Test Bank For The Only EKG Book You’ll Ever Need 9th Edition Thaler

  • mentor2000

    mentor2000

  • exam

Prepare effectively with the comprehensive test bank for 'The Only EKG Book You’ll Ever Need' 9th Edition by Thaler. G...

17 USD

0

0

Test Bank For Clinical Guidelines in Primary Care 3rd Edition Hollier
View Document

Test Bank For Clinical Guidelines in Primary Care 3rd Edition Hollier

  • mentor2000

    mentor2000

  • exam

Test Bank For Clinical Guidelines in Primary Care 3rd Edition Hollier...

17 USD

0

0

Test Bank For Campbell Biology in Focus 12th Edition Urry Cain
View Document

Test Bank For Campbell Biology in Focus 12th Edition Urry Cain

  • tutor_gesco

    tutor_gesco

  • exam

Unlock your academic success with the Test Bank for Campbell Biology in Focus, 12th Edition by Urry & Cain. All chapters...

17 USD

0

0

Test Bank For Campbell Biology in Focus 3rd Edition Urry Cain
View Document

Test Bank For Campbell Biology in Focus 3rd Edition Urry Cain

  • tutor_gesco

    tutor_gesco

  • exam

Ace your biology exams with the Test Bank for Campbell Biology in Focus, 3rd Edition by Urry & Cain. Comprehensive pract...

17 USD

0

1

ALL APEA EXAM PACKAGE - Questions And Answers Test Bank 2022
View Document

ALL APEA EXAM PACKAGE - Questions And Answers Test Bank 2022

  • studypal

    studypal

  • test bank

ALL APEA EXAM PACKAGE - Questions And Answers Test Bank 2022 – Download PDF...

15 USD

0

0

Test Bank For Pharmacology, A Patient-Centered Nursing Process Approach, (Kee, Pharmacology) 8th Edition Linda E. McCuistion, Joyce LeFever Kee, Evelyn R. Haye
View Document

Test Bank For Pharmacology, A Patient-Centered Nursing Process Approach, (Kee, Pharmacology) 8th Edition Linda E. McCuistion, Joyce LeFever Kee, Evelyn R. Haye

  • Boit

    Boit

  • test bank

Test Bank For Pharmacology, A Patient-Centered Nursing Process Approach, (Kee, Pharmacology) 8th Edition Linda E. McCuis...

17 USD

0

0

TEST BANK FOR ESSENTIALS OF PEDIATRIC NURSING 4TH EDITION BY KYLE
View Document

TEST BANK FOR ESSENTIALS OF PEDIATRIC NURSING 4TH EDITION BY KYLE

  • Boit

    Boit

  • test bank

TEST BANK FOR ESSENTIALS OF PEDIATRIC NURSING 4TH EDITION BY KYLE...

17 USD

0

0

TEST BANK FOR CANADIAN FAMILIES TODAY NEW PERSPECTIVES 4TH EDITION ALBANESE
View Document

TEST BANK FOR CANADIAN FAMILIES TODAY NEW PERSPECTIVES 4TH EDITION ALBANESE

  • Boit

    Boit

  • test bank

TEST BANK FOR CANADIAN FAMILIES TODAY NEW PERSPECTIVES 4TH EDITION ALBANESE...

17 USD

0

0

TEST BANK FOR BIOLOGY THE ESSENTIALS 3RD EDITION HOEFNAGELS
View Document

TEST BANK FOR BIOLOGY THE ESSENTIALS 3RD EDITION HOEFNAGELS

  • Boit

    Boit

  • test bank

TEST BANK FOR BIOLOGY THE ESSENTIALS 3RD EDITION HOEFNAGELS...

17 USD

0

0

A Complete Test Bank for Successful Project Management, 6th Edition Jack Gido, James P. Clements
View Document

A Complete Test Bank for Successful Project Management, 6th Edition Jack Gido, James P. Clements

  • Boit

    Boit

  • test bank

A Complete Test Bank for Successful Project Management, 6th Edition Jack Gido, James P. Clements...

17 USD

0

0

A Complete Test Bank For Operations Management, Processes and Supply Chains, 10th Edition by Lee J. Krajewski, Larry P. Ritzman, Manoj K. Malhotra
View Document

A Complete Test Bank For Operations Management, Processes and Supply Chains, 10th Edition by Lee J. Krajewski, Larry P. Ritzman, Manoj K. Malhotra

  • Boit

    Boit

  • test bank

A Complete Test Bank For Operations Management, Processes and Supply Chains, 10th Edition by Lee J. Krajewski, Larry P. ...

17 USD

0

0

Test Bank For Mastering Competencies in Family Therapy 3rd Edition by Gehart
View Document

Test Bank For Mastering Competencies in Family Therapy 3rd Edition by Gehart

  • Opati-Kaka

    Opati-Kaka

  • test bank

Test Bank For Mastering Competencies in Family Therapy 3rd Edition by Gehart...

17 USD

0

0

(Test Bank) Respiratory Care Practice Exam Gary Persing, TMC Questions And Answers Plus Rationale
View Document

(Test Bank) Respiratory Care Practice Exam Gary Persing, TMC Questions And Answers Plus Rationale

  • studypal

    studypal

  • test bank

(Test Bank) Respiratory Care Practice Exam Gary Persing, TMC Questions And Answers Plus Rationale...

14 USD

0

0

TMC Test Bank 1001 Practice Questions With Answers for TMC Exam
View Document

TMC Test Bank 1001 Practice Questions With Answers for TMC Exam

  • studypal

    studypal

  • test bank

TMC Test Bank 1001 Practice Questions With Answers for TMC Exam...

14 USD

0

0

Beth Perry Blacks Professional Nursing: Concepts & Challenges, 9th Edition Test Bank
View Document

Beth Perry Blacks Professional Nursing: Concepts & Challenges, 9th Edition Test Bank

  • studypal

    studypal

  • test bank

Beth Perry Blacks Professional Nursing: Concepts & Challenges, 9th Edition Test Bank – Download PDF...

15 USD

0

0

Test Bank for Assessment in Rehabilitation and Mental Health Counseling 1st Edition by Strauser
View Document

Test Bank for Assessment in Rehabilitation and Mental Health Counseling 1st Edition by Strauser

  • Namwaki

    Namwaki

  • test bank

Test Bank for Assessment in Rehabilitation and Mental Health Counseling 1st Edition by Strauser...

17 USD

0

0

Test Bank For Advanced Nutrition And Human Metabolism 8th Edition Gropper, Smith, Carr
View Document

Test Bank For Advanced Nutrition And Human Metabolism 8th Edition Gropper, Smith, Carr

  • mentor2000

    mentor2000

  • test bank

Test Bank For Advanced Nutrition And Human Metabolism 8th Edition Gropper, Smith, Carr...

17 USD

0

0

THE HUMAN BODY IN HEALTH AND ILLNESS, 6TH EDITION BY: BARBARA HERLIHY TEST BANK ISBN: 9780323498449
View Document

THE HUMAN BODY IN HEALTH AND ILLNESS, 6TH EDITION BY: BARBARA HERLIHY TEST BANK ISBN: 9780323498449

  • studypal

    studypal

  • test bank

THE HUMAN BODY IN HEALTH AND ILLNESS, 6TH EDITION BY: BARBARA HERLIHY TEST BANK ISBN: 9780323498449...

17 USD

0

0

NCLEX ACTUAL EXAM PREDICTION QUESTIONS 2022 TEST BANK. A++ GUARANTEED
View Document

NCLEX ACTUAL EXAM PREDICTION QUESTIONS 2022 TEST BANK. A++ GUARANTEED

  • studypal

    studypal

  • nclex

NCLEX ACTUAL EXAM PREDICTION QUESTIONS 2022 TEST BANK. A++ GUARANTEED...

10 USD

0

0

NCLEX-PN Test-Bank (200 Questions with Answers and Explanation) Complete Guide.
View Document

NCLEX-PN Test-Bank (200 Questions with Answers and Explanation) Complete Guide.

  • studypal

    studypal

  • nclex

NCLEX-PN Test-Bank (200 Questions with Answers and Explanation) Complete Guide....

14 USD

0

0

Ebersole and Hess Toward Healthy Aging 9th Edition Touhy Test Bank
View Document

Ebersole and Hess Toward Healthy Aging 9th Edition Touhy Test Bank

  • studypal

    studypal

  • test bank

Ebersole and Hess Toward Healthy Aging 9th Edition Touhy Test Bank...

15 USD

0

0

Test Bank For Pathophysiology The Biologic Basis For Disease In Adults And Children 8th Edition Kathryn L. Mccance, Sue E. Huether
View Document

Test Bank For Pathophysiology The Biologic Basis For Disease In Adults And Children 8th Edition Kathryn L. Mccance, Sue E. Huether

  • mentor2000

    mentor2000

  • test bank

Test Bank For Pathophysiology The Biologic Basis For Disease In Adults And Children 8th Edition Kathryn L. Mccance, Sue ...

17 USD

0

0

TEST BANK FOR INTRODUCTION TO RADIOLOGIC AND IMAGING SCIENCES AND PATIENT CARE 7TH EDITION BY ADLER
View Document

TEST BANK FOR INTRODUCTION TO RADIOLOGIC AND IMAGING SCIENCES AND PATIENT CARE 7TH EDITION BY ADLER

  • mentor2000

    mentor2000

  • test bank

TEST BANK FOR INTRODUCTION TO RADIOLOGIC AND IMAGING SCIENCES AND PATIENT CARE 7TH EDITION BY ADLER...

17 USD

0

0

ATI TEAS 7 TEST BANK QUESTION BANK 300+ QUESTIONS & ANSWERS LATEST SUMMER 2022
View Document

ATI TEAS 7 TEST BANK QUESTION BANK 300+ QUESTIONS & ANSWERS LATEST SUMMER 2022

  • studypal

    studypal

  • nclex

ATI TEAS 7 TEST BANK QUESTION BANK 300+ QUESTIONS & ANSWERS LATEST SUMMER 2022...

17 USD

0

0

Medical-Surgical Nursing 7th Edition Linton Matteson Test Bank
View Document

Medical-Surgical Nursing 7th Edition Linton Matteson Test Bank

  • mentor2000

    mentor2000

  • exam

Medical-Surgical Nursing 7th Edition Linton Matteson Test Bank...

17 USD

0

0

Davis Advantage for Pathophysiology 2nd Edition Capriotti Test Bank
View Document

Davis Advantage for Pathophysiology 2nd Edition Capriotti Test Bank

  • mentor2000

    mentor2000

  • test bank

Davis Advantage for Pathophysiology 2nd Edition Capriotti Test Bank...

17 USD

0

0

Test Bank Principles of Anatomy and Physiology, 12th Edition, by Bryan Derrickson, Gerald Tortora
View Document

Test Bank Principles of Anatomy and Physiology, 12th Edition, by Bryan Derrickson, Gerald Tortora

  • studypal

    studypal

  • test bank

Test Bank Principles of Anatomy and Physiology, 12th Edition, by Bryan Derrickson, Gerald Tortora...

17 USD

0

0

Test Bank For Financial Markets And Institutions 9th Edition By Saunders
View Document

Test Bank For Financial Markets And Institutions 9th Edition By Saunders

  • mentor2000

    mentor2000

  • test bank

Test Bank For Financial Markets And Institutions 9th Edition By Saunders...

17 USD

0

0

Test Bank For Financial Markets And Institutions 11th Edition By Saunders
View Document

Test Bank For Financial Markets And Institutions 11th Edition By Saunders

  • mentor2000

    mentor2000

  • test bank

Test Bank For Financial Markets And Institutions 11th Edition By Saunders...

17 USD

0

0

Test Bank For Financial Markets And Institutions 10th Edition By Saunders
View Document

Test Bank For Financial Markets And Institutions 10th Edition By Saunders

  • mentor2000

    mentor2000

  • test bank

Test Bank For Financial Markets And Institutions 10th Edition By Saunders...

17 USD

0

0

Test Bank For Financial Markets And Institutions 8th Edition By Saunders
View Document

Test Bank For Financial Markets And Institutions 8th Edition By Saunders

  • mentor2000

    mentor2000

  • test bank

Test Bank For Financial Markets And Institutions 8th Edition By Saunders...

15 USD

0

1

Essentials of Psychiatric Mental Health Nursing 8th Edition Concepts of Care in Evidence-Based Practice 8th Edition Morgan Townsend Test Bank
View Document

Essentials of Psychiatric Mental Health Nursing 8th Edition Concepts of Care in Evidence-Based Practice 8th Edition Morgan Townsend Test Bank

  • studypal

    studypal

  • test bank

Essentials of Psychiatric Mental Health Nursing 8th Edition Concepts of Care in Evidence-Based Practice 8th Edition Morg...

15 USD

0

0

Neuroscience Exploring the Brain 4th Edition by Bear Test Bank
View Document

Neuroscience Exploring the Brain 4th Edition by Bear Test Bank

  • tutor_gesco

    tutor_gesco

  • test bank

Neuroscience Exploring the Brain 4th Edition by Bear Test Bank...

17 USD

0

0

NHA Medical Assistant (CCMA) Exam solution Test bank Latest 2022
View Document

NHA Medical Assistant (CCMA) Exam solution Test bank Latest 2022

  • tutor_gesco

    tutor_gesco

  • exam

NHA Medical Assistant (CCMA) Exam solution Test bank Latest 2022...

12 USD

0

0

Test Bank For Human Anatomy & Physiology Laboratory Manual, Making Connections, Cat Version, 2nd Edition By Catharine C. Whiting
View Document

Test Bank For Human Anatomy & Physiology Laboratory Manual, Making Connections, Cat Version, 2nd Edition By Catharine C. Whiting

  • Opati-Kaka

    Opati-Kaka

  • test bank

Test Bank For Human Anatomy & Physiology Laboratory Manual, Making Connections, Cat Version, 2nd Edition By Catharine C....

17 USD

0

0

Test Bank for Advanced Health Assessment and Clinical Diagnosis in Primary Care, 6th Edition by Joyce Dains
View Document

Test Bank for Advanced Health Assessment and Clinical Diagnosis in Primary Care, 6th Edition by Joyce Dains

  • tutor_gesco

    tutor_gesco

  • hesi

Download the Test Bank for Advanced Health Assessment & Clinical Diagnosis in Primary Care, 6th Edition by Dains. Verifi...

15 USD

0

0

Test Bank For Pediatric Physical Examination An Illustrated Handbook 3rd Edition Duderstadt
View Document

Test Bank For Pediatric Physical Examination An Illustrated Handbook 3rd Edition Duderstadt

  • mentor2000

    mentor2000

  • test bank

Test Bank For Pediatric Physical Examination An Illustrated Handbook 3rd Edition Duderstadt...

17 USD

0

0

Test Bank for Lehninger Principles of Biochemistry 7th Edition by David L. Nelson, Michael M. Cox
View Document

Test Bank for Lehninger Principles of Biochemistry 7th Edition by David L. Nelson, Michael M. Cox

  • studypal

    studypal

  • test bank

Improve your biochemistry studies with the Test Bank for Lehninger Principles of Biochemistry 7th Edition. Access detail...

15 USD

0

0

Test Bank for Alcamos Fundamentals of Microbiology 9th Edition by Pommerville
View Document

Test Bank for Alcamos Fundamentals of Microbiology 9th Edition by Pommerville

  • studypal

    studypal

  • hesi

Test Bank for Alcamos Fundamentals of Microbiology 9th Edition by Pommerville...

15 USD

0

0

Test Bank to W.D. Mounce, Basics of Biblical Greek Workbook Revision by John C. Beckman, Full Answer Key
View Document

Test Bank to W.D. Mounce, Basics of Biblical Greek Workbook Revision by John C. Beckman, Full Answer Key

  • studypal

    studypal

  • test bank

Test Bank to W.D. Mounce, Basics of Biblical Greek Workbook Revision by John C. Beckman, Full Answer Key...

14 USD

0

0

Test Bank Lehnes Pharmacology For Nursing Care 10th Edition Burcham latest update With verified answers for every question. (ALL CHAPTERS INCLUDED)
View Document

Test Bank Lehnes Pharmacology For Nursing Care 10th Edition Burcham latest update With verified answers for every question. (ALL CHAPTERS INCLUDED)

  • elitesolutions

    elitesolutions

  • test bank

Test Bank Lehnes Pharmacology For Nursing Care 10th Edition Burcham latest update With verified answers for every questi...

23 USD

0

0

Test bank for cherry and jacob contemporary nursing issues trends and management 7th edition | Contemporary Nursing Issues Trends And Management 7th Edition Cherry and Jacob Test Bank.
View Document

Test bank for cherry and jacob contemporary nursing issues trends and management 7th edition | Contemporary Nursing Issues Trends And Management 7th Edition Cherry and Jacob Test Bank.

  • studypal

    studypal

  • test bank

Test bank for cherry and jacob contemporary nursing issues trends and management 7th edition | Contemporary Nursing Issu...

14 USD

0

0

NCLEX-PN Test-Bank 2022 (200 Questions with Answers and Explanation)
View Document

NCLEX-PN Test-Bank 2022 (200 Questions with Answers and Explanation)

  • elitesolutions

    elitesolutions

  • nclex

NCLEX-PN Test-Bank 2022 (200 Questions with Answers and Explanation)...

20 USD

0

0

Test Bank for Stahls Essential Psychopharmacology: Neuroscientific Basis & Practical Applications 4th Edition
View Document

Test Bank for Stahls Essential Psychopharmacology: Neuroscientific Basis & Practical Applications 4th Edition

  • studypal

    studypal

  • test bank

Test Bank for Stahls Essential Psychopharmacology: Neuroscientific Basis & Practical Applications 4th Edition...

15 USD

0

0

Test Bank for Women’s Gynecologic Health, 3rd Edition, Kerri Durnell Schuiling, Frances E. Likis
View Document

Test Bank for Women’s Gynecologic Health, 3rd Edition, Kerri Durnell Schuiling, Frances E. Likis

  • studypal

    studypal

  • test bank

Test Bank for Women’s Gynecologic Health, 3rd Edition, Kerri Durnell Schuiling, Frances E. Likis...

15 USD

0

0

Test Bank for Nutritional Foundations and Clinical Applications, 7th Edition, by Michele Grodner, Sylvia Escott-Stump, Suzanne Dorner
View Document

Test Bank for Nutritional Foundations and Clinical Applications, 7th Edition, by Michele Grodner, Sylvia Escott-Stump, Suzanne Dorner

  • studypal

    studypal

  • test bank

Test Bank for Nutritional Foundations and Clinical Applications, 7th Edition, by Michele Grodner, Sylvia Escott-Stump, S...

15 USD

0

0

Test Bank for Fundamental Concepts and Skills for Nursing 6th Edition by Williams
View Document

Test Bank for Fundamental Concepts and Skills for Nursing 6th Edition by Williams

  • mentor2000

    mentor2000

  • test bank

Enhance your nursing knowledge with the Test Bank for Fundamental Concepts and Skills for Nursing, 6th Edition by Willia...

16 USD

0

10

Sociological Theory in the Classical Era - 3rd Edition by Laura D. Edles Scott Appelrouth - Test Bank
View Document

Sociological Theory in the Classical Era - 3rd Edition by Laura D. Edles Scott Appelrouth - Test Bank

  • elitesolutions

    elitesolutions

  • exam

Sociological Theory in the Classical Era - 3rd Edition by Laura D. Edles Scott Appelrouth - Test Bank...

12 USD

0

0

Test Bank For Radiologic Science for Technologists, 11th Edition by Stewart C. Bushong
View Document

Test Bank For Radiologic Science for Technologists, 11th Edition by Stewart C. Bushong

  • Namwaki

    Namwaki

  • test bank

Access the complete test bank for Radiologic Science for Technologists, 11th Edition by Stewart C. Bushong, offering det...

17 USD

0

0

womens-gynecologic-health-third-edition-test-bank-all-questions-and-answers-verified.
View Document

womens-gynecologic-health-third-edition-test-bank-all-questions-and-answers-verified.

  • elitesolutions

    elitesolutions

  • test bank

womens-gynecologic-health-third-edition-test-bank-all-questions-and-answers-verified....

10 USD

0

0

test-bank-for-medical-terminology-in-a-flash-4th-edition-by-finnegan.
View Document

test-bank-for-medical-terminology-in-a-flash-4th-edition-by-finnegan.

  • elitesolutions

    elitesolutions

  • test bank

test-bank-for-medical-terminology-in-a-flash-4th-edition-by-finnegan....

10 USD

0

0

Maternal & Child Health Nursing Care of the Childbearing & Childrearing Family 8th Edition Test Bank
View Document

Maternal & Child Health Nursing Care of the Childbearing & Childrearing Family 8th Edition Test Bank

  • studypal

    studypal

  • test bank

Maternal & Child Health Nursing Care of the Childbearing & Childrearing Family 8th Edition Test Bank...

14 USD

0

0

Test Bank ( Complete Download ) For Gerontologic Nursing 6th Edition by Sue E. Meiner.
View Document

Test Bank ( Complete Download ) For Gerontologic Nursing 6th Edition by Sue E. Meiner.

  • studypal

    studypal

  • test bank

Test Bank ( Complete Download ) For Gerontologic Nursing 6th Edition by Sue E. Meiner....

17 USD

0

0

Test Bank for Essentials of Biological Anthropology 4th Edition by Larsen (All Chapters)
View Document

Test Bank for Essentials of Biological Anthropology 4th Edition by Larsen (All Chapters)

  • mentor2000

    mentor2000

  • test bank

Test Bank for Essentials of Biological Anthropology 4th Edition by Larsen (All Chapters)...

17 USD

0

0

Test Bank for Introduction to Critical Care Nursing 7th Edition by Sole All Chapters Covered.
View Document

Test Bank for Introduction to Critical Care Nursing 7th Edition by Sole All Chapters Covered.

  • studypal

    studypal

  • test bank

Test Bank for Introduction to Critical Care Nursing 7th Edition by Sole All Chapters Covered....

15 USD

0

0

test-bank-for-medical-surgical-nursing-9th-edition-ignatavicius-all-chapters.
View Document

test-bank-for-medical-surgical-nursing-9th-edition-ignatavicius-all-chapters.

  • elitesolutions

    elitesolutions

  • test bank

test-bank-for-medical-surgical-nursing-9th-edition-ignatavicius-all-chapters. – Download PDF...

15 USD

0

0

Test bank for Database Systems Design, Implementation and Management 13th Edition Carlos Coronel, Steven Morris.
View Document

Test bank for Database Systems Design, Implementation and Management 13th Edition Carlos Coronel, Steven Morris.

  • evekendra3

    evekendra3

  • test bank

Test bank for Database Systems Design, Implementation and Management 13th Edition Carlos Coronel, Steven Morris....

15 USD

0

0

Test Bank - Recruitment and Selection In Canada - 7th Edition (Chapter 1-10) COMPLETE TEST BANK
View Document

Test Bank - Recruitment and Selection In Canada - 7th Edition (Chapter 1-10) COMPLETE TEST BANK

  • evekendra3

    evekendra3

  • test bank

Test Bank - Recruitment and Selection In Canada - 7th Edition (Chapter 1-10) COMPLETE TEST BANK...

15 USD

0

0

TEST BANK FOR YODER-WISE’S LEADING AND MANAGING IN NURSING 7TH EDITION BY YODER-WISE ALL CHAPTERS
View Document

TEST BANK FOR YODER-WISE’S LEADING AND MANAGING IN NURSING 7TH EDITION BY YODER-WISE ALL CHAPTERS

  • mentor2000

    mentor2000

  • test bank

TEST BANK FOR YODER-WISE’S LEADING AND MANAGING IN NURSING 7TH EDITION BY YODER-WISE ALL CHAPTERS...

16 USD

0

0

Test Bank for Understanding Pharmacology for Health Professionals 5th Edition by Turley.
View Document

Test Bank for Understanding Pharmacology for Health Professionals 5th Edition by Turley.

  • mentor2000

    mentor2000

  • test bank

Test Bank for Understanding Pharmacology for Health Professionals 5th Edition by Turley....

16 USD

0

0

Test Bank for Success in Practical Vocational Nursing 9th Edition by Knecht.
View Document

Test Bank for Success in Practical Vocational Nursing 9th Edition by Knecht.

  • mentor2000

    mentor2000

  • test bank

Test Bank for Success in Practical Vocational Nursing 9th Edition by Knecht....

16 USD

0

2

TEST BANK FOR NURSING TODAY TRANSITION AND TRENDS 11TH EDITION BY ZERWEKH
View Document

TEST BANK FOR NURSING TODAY TRANSITION AND TRENDS 11TH EDITION BY ZERWEKH

  • mentor2000

    mentor2000

  • test bank

TEST BANK FOR NURSING TODAY TRANSITION AND TRENDS 11TH EDITION BY ZERWEKH...

16 USD

0

0

TEST BANK FOR NURSING TODAY TRANSITION AND TRENDS 10TH EDITION BY ZERWEKH
View Document

TEST BANK FOR NURSING TODAY TRANSITION AND TRENDS 10TH EDITION BY ZERWEKH

  • mentor2000

    mentor2000

  • test bank

TEST BANK FOR NURSING TODAY TRANSITION AND TRENDS 10TH EDITION BY ZERWEKH...

16 USD

0

0

TEST BANK FOR NURSING TODAY TRANSITION AND TRENDS 9TH EDITION BY ZERWEKH All chapters
View Document

TEST BANK FOR NURSING TODAY TRANSITION AND TRENDS 9TH EDITION BY ZERWEKH All chapters

  • mentor2000

    mentor2000

  • test bank

TEST BANK FOR NURSING TODAY TRANSITION AND TRENDS 9TH EDITION BY ZERWEKH All chapters...

16 USD

0

0

TEST BANK FOR HEALTH ASSESSMENT IN NURSING 8TH EDITION BY WEBER ALL CHAPTERS
View Document

TEST BANK FOR HEALTH ASSESSMENT IN NURSING 8TH EDITION BY WEBER ALL CHAPTERS

  • mentor2000

    mentor2000

  • test bank

TEST BANK FOR HEALTH ASSESSMENT IN NURSING 8TH EDITION BY WEBER ALL CHAPTERS...

16 USD

0

28

TEST BANK FOR HEALTH ASSESSMENT IN NURSING 7TH EDITION BY WEBER ALL CHAPTERS
View Document

TEST BANK FOR HEALTH ASSESSMENT IN NURSING 7TH EDITION BY WEBER ALL CHAPTERS

  • mentor2000

    mentor2000

  • test bank

TEST BANK FOR HEALTH ASSESSMENT IN NURSING 7TH EDITION BY WEBER ALL CHAPTERS...

16 USD

0

0

Test bank for fundamentals of nursing 10th edition by potter perry
View Document

Test bank for fundamentals of nursing 10th edition by potter perry

  • mentor2000

    mentor2000

  • test bank

Test bank for fundamentals of nursing 10th edition by potter perry...

16 USD

0

0

Essentials of Understanding Psychology 14th Edition By Robert Feldman Test Bank
View Document

Essentials of Understanding Psychology 14th Edition By Robert Feldman Test Bank

  • mentor2000

    mentor2000

  • test bank

Essentials of Understanding Psychology 14th Edition By Robert Feldman Test Bank...

16 USD

0

0

Discovering the Life Span, 5th Edition. Robert S. Feldman, Test Bank.
View Document

Discovering the Life Span, 5th Edition. Robert S. Feldman, Test Bank.

  • mentor2000

    mentor2000

  • test bank

Test Bank for Lifespan Development A Topical Approach, 5th Edition, Robert S. Feldman, ISBN-13: 9780137987498...

15 USD

0

0

Test Bank For Lehnes Pharmacology for Nursing Care 10th Edition BY Burchum
View Document

Test Bank For Lehnes Pharmacology for Nursing Care 10th Edition BY Burchum

  • mentor2000

    mentor2000

  • test bank

Test Bank For Lehnes Pharmacology for Nursing Care 10th Edition BY Burchum...

17 USD

0

0

Test Bank For Lehnes Pharmacology for Nursing Care 11th Edition BY Burchum
View Document

Test Bank For Lehnes Pharmacology for Nursing Care 11th Edition BY Burchum

  • mentor2000

    mentor2000

  • test bank

Test Bank For Lehnes Pharmacology for Nursing Care 11th Edition BY Burchum...

17 USD

0

0

(NREMT) National Registry of Emergency Medical Technicians, Emergency Medical Responder Test Bank
View Document

(NREMT) National Registry of Emergency Medical Technicians, Emergency Medical Responder Test Bank

  • tutor_gesco

    tutor_gesco

  • exam

(NREMT) National Registry of Emergency Medical Technicians, Emergency Medical Responder Test Bank...

12 USD

0

0

TEST BANK FOR MEDICAL SURGICAL CONCEPTS FOR INTERPROFESSIONAL COLLABORATIVE CARE 12TH EDITION IGNATAVICIUS
View Document

TEST BANK FOR MEDICAL SURGICAL CONCEPTS FOR INTERPROFESSIONAL COLLABORATIVE CARE 12TH EDITION IGNATAVICIUS

  • tutor_gesco

    tutor_gesco

  • test bank

TEST BANK FOR MEDICAL SURGICAL CONCEPTS FOR INTERPROFESSIONAL COLLABORATIVE CARE 12TH EDITION IGNATAVICIUS...

17 USD

0

0

Ignatavicius 11th Edition | Medical-Surgical Nursing 11th Edition Test Bank | Interprofessional Collaborative Care
View Document

Ignatavicius 11th Edition | Medical-Surgical Nursing 11th Edition Test Bank | Interprofessional Collaborative Care

  • tutor_gesco

    tutor_gesco

  • test bank

Test Bank for Ignatavicius Medical-Surgical Nursing 11th Ed – 2,000+ NCLEX-style questions with rationales. Perfect fo...

14 USD

0

0

TEST BANK FOR MEDICAL SURGICAL CONCEPTS FOR INTERPROFESSIONAL COLLABORATIVE CARE 10TH EDITION IGNATAVICIUS
View Document

TEST BANK FOR MEDICAL SURGICAL CONCEPTS FOR INTERPROFESSIONAL COLLABORATIVE CARE 10TH EDITION IGNATAVICIUS

  • tutor_gesco

    tutor_gesco

  • test bank

TEST BANK FOR MEDICAL SURGICAL CONCEPTS FOR INTERPROFESSIONAL COLLABORATIVE CARE 10TH EDITION IGNATAVICIUS...

16 USD

0

0

TEST BANK FOR MEDICAL SURGICAL CONCEPTS FOR INTERPROFESSIONAL COLLABORATIVE CARE 9TH EDITION IGNATAVICIUS
View Document

TEST BANK FOR MEDICAL SURGICAL CONCEPTS FOR INTERPROFESSIONAL COLLABORATIVE CARE 9TH EDITION IGNATAVICIUS

  • tutor_gesco

    tutor_gesco

  • test bank

TEST BANK FOR MEDICAL SURGICAL CONCEPTS FOR INTERPROFESSIONAL COLLABORATIVE CARE 9TH EDITION IGNATAVICIUS...

17 USD

0

0

TEST BANK FOR MEDICAL SURGICAL CONCEPTS FOR INTERPROFESSIONAL COLLABORATIVE CARE 8TH EDITION IGNATAVICIUS
View Document

TEST BANK FOR MEDICAL SURGICAL CONCEPTS FOR INTERPROFESSIONAL COLLABORATIVE CARE 8TH EDITION IGNATAVICIUS

  • tutor_gesco

    tutor_gesco

  • test bank

TEST BANK FOR MEDICAL SURGICAL CONCEPTS FOR INTERPROFESSIONAL COLLABORATIVE CARE 8TH EDITION IGNATAVICIUS...

17 USD

0

0

TEST BANK FOR MEDICAL SURGICAL CONCEPTS FOR INTERPROFESSIONAL COLLABORATIVE CARE 7TH EDITION IGNATAVICIUS
View Document

TEST BANK FOR MEDICAL SURGICAL CONCEPTS FOR INTERPROFESSIONAL COLLABORATIVE CARE 7TH EDITION IGNATAVICIUS

  • tutor_gesco

    tutor_gesco

  • test bank

TEST BANK FOR MEDICAL SURGICAL CONCEPTS FOR INTERPROFESSIONAL COLLABORATIVE CARE 7TH EDITION IGNATAVICIUS...

17 USD

0

0

TEST BANK FOR MEDICAL SURGICAL CONCEPTS FOR INTERPROFESSIONAL COLLABORATIVE CARE 6TH EDITION IGNATAVICIUS
View Document

TEST BANK FOR MEDICAL SURGICAL CONCEPTS FOR INTERPROFESSIONAL COLLABORATIVE CARE 6TH EDITION IGNATAVICIUS

  • tutor_gesco

    tutor_gesco

  • test bank

TEST BANK FOR MEDICAL SURGICAL CONCEPTS FOR INTERPROFESSIONAL COLLABORATIVE CARE 6TH EDITION IGNATAVICIUS...

17 USD

0

0

TEST BANK FOR MEDICAL SURGICAL CONCEPTS FOR INTERPROFESSIONAL COLLABORATIVE CARE 5TH EDITION IGNATAVICIUS
View Document

TEST BANK FOR MEDICAL SURGICAL CONCEPTS FOR INTERPROFESSIONAL COLLABORATIVE CARE 5TH EDITION IGNATAVICIUS

  • tutor_gesco

    tutor_gesco

  • test bank

TEST BANK FOR MEDICAL SURGICAL CONCEPTS FOR INTERPROFESSIONAL COLLABORATIVE CARE 5TH EDITION IGNATAVICIUS...

17 USD

0

0

Test Bank For Essentials Of Negotiation 6th Edition By Roy J Lewicki Irving
View Document

Test Bank For Essentials Of Negotiation 6th Edition By Roy J Lewicki Irving

  • Namwaki

    Namwaki

  • test bank

Test Bank For Essentials Of Negotiation 6th Edition By Roy J Lewicki Irving...

17 USD

0

0

FOUNDATIONS OF MENTAL HEALTH CARE 12TH EDITION BY MORRISON-VALFRE TEST BANK
View Document

FOUNDATIONS OF MENTAL HEALTH CARE 12TH EDITION BY MORRISON-VALFRE TEST BANK

  • tutor_gesco

    tutor_gesco

  • test bank

FOUNDATIONS OF MENTAL HEALTH CARE 12TH EDITION BY MORRISON-VALFRE TEST BANK...

16 USD

0

0

FOUNDATIONS OF MENTAL HEALTH CARE 11TH EDITION BY MORRISON-VALFRE TEST BANK
View Document

FOUNDATIONS OF MENTAL HEALTH CARE 11TH EDITION BY MORRISON-VALFRE TEST BANK

  • tutor_gesco

    tutor_gesco

  • test bank

FOUNDATIONS OF MENTAL HEALTH CARE 11TH EDITION BY MORRISON-VALFRE TEST BANK...

20 USD

0

0

FOUNDATIONS OF MENTAL HEALTH CARE 10TH EDITION BY MORRISON-VALFRE TEST BANK
View Document

FOUNDATIONS OF MENTAL HEALTH CARE 10TH EDITION BY MORRISON-VALFRE TEST BANK

  • tutor_gesco

    tutor_gesco

  • test bank

FOUNDATIONS OF MENTAL HEALTH CARE 10TH EDITION BY MORRISON-VALFRE TEST BANK...

16 USD

0

0

FOUNDATIONS OF MENTAL HEALTH CARE 9TH EDITION BY MORRISON-VALFRE TEST BANK
View Document

FOUNDATIONS OF MENTAL HEALTH CARE 9TH EDITION BY MORRISON-VALFRE TEST BANK

  • tutor_gesco

    tutor_gesco

  • test bank

FOUNDATIONS OF MENTAL HEALTH CARE 9TH EDITION BY MORRISON-VALFRE TEST BANK...

16 USD

0

0

FOUNDATIONS OF MENTAL HEALTH CARE 8TH EDITION BY MORRISON-VALFRE TEST BANK
View Document

FOUNDATIONS OF MENTAL HEALTH CARE 8TH EDITION BY MORRISON-VALFRE TEST BANK

  • tutor_gesco

    tutor_gesco

  • test bank

FOUNDATIONS OF MENTAL HEALTH CARE 8TH EDITION BY MORRISON-VALFRE TEST BANK...

16 USD

0

0

FOUNDATIONS OF MENTAL HEALTH CARE 7TH EDITION BY MORRISON-VALFRE TEST BANK
View Document

FOUNDATIONS OF MENTAL HEALTH CARE 7TH EDITION BY MORRISON-VALFRE TEST BANK

  • tutor_gesco

    tutor_gesco

  • test bank

FOUNDATIONS OF MENTAL HEALTH CARE 7TH EDITION BY MORRISON-VALFRE TEST BANK...

16 USD

0

0

FOUNDATIONS OF MENTAL HEALTH CARE 5TH EDITION BY MORRISON-VALFRE TEST BANK
View Document

FOUNDATIONS OF MENTAL HEALTH CARE 5TH EDITION BY MORRISON-VALFRE TEST BANK

  • tutor_gesco

    tutor_gesco

  • test bank

FOUNDATIONS OF MENTAL HEALTH CARE 5TH EDITION BY MORRISON-VALFRE TEST BANK...

16 USD

0

0

FOUNDATIONS OF MENTAL HEALTH CARE 4TH EDITION BY MORRISON-VALFRE TEST BANK
View Document

FOUNDATIONS OF MENTAL HEALTH CARE 4TH EDITION BY MORRISON-VALFRE TEST BANK

  • tutor_gesco

    tutor_gesco

  • test bank

FOUNDATIONS OF MENTAL HEALTH CARE 4TH EDITION BY MORRISON-VALFRE TEST BANK...

16 USD

0

0

Test Bank for Marriages and Families Changes, Choices, and Constraints, 9th Edition Nijole V. Benokraitis
View Document

Test Bank for Marriages and Families Changes, Choices, and Constraints, 9th Edition Nijole V. Benokraitis

  • studypal

    studypal

  • test bank

Test Bank for Marriages and Families Changes, Choices, and Constraints, 9th Edition Nijole V. Benokraitis...

14 USD

0

0

RNC-OB Exam test bank 2022 , Inpatient Obstetric Nurse Exam Prep 2022
View Document

RNC-OB Exam test bank 2022 , Inpatient Obstetric Nurse Exam Prep 2022

  • mentor2000

    mentor2000

  • exam

RNC-OB Exam test bank 2022 , Inpatient Obstetric Nurse Exam Prep 2022...

15 USD

0

0

HESI Computerized Adaptive Testing (CAT) Test Bank With Rationales 2022
View Document

HESI Computerized Adaptive Testing (CAT) Test Bank With Rationales 2022

  • mentor2000

    mentor2000

  • exam

HESI Computerized Adaptive Testing (CAT) Test Bank With Rationales 2022...

15 USD

0

0

Test Bank for Managerial Economics, 6th Edition. Paul G. Keat, Thunderbird. Philip K. Young, Thunderbird.
View Document

Test Bank for Managerial Economics, 6th Edition. Paul G. Keat, Thunderbird. Philip K. Young, Thunderbird.

  • mentor2000

    mentor2000

  • test bank

Test Bank for Managerial Economics, 6th Edition. Paul G. Keat, Thunderbird. Philip K. Young, Thunderbird....

15 USD

0

0

Test bank for Cost Accounting, 14th edition by Horngren,Datar and Rajan. All 23 Chapters Covered.
View Document

Test bank for Cost Accounting, 14th edition by Horngren,Datar and Rajan. All 23 Chapters Covered.

  • studypal

    studypal

  • test bank

Test Bank for Horngren's Cost Accounting A Managerial Emphasis 14th Edition (Canadian Edition) By Srikant Datar, Madhav ...

17 USD

0

0

Test Bank For Critical Thinking, Clinical Reasoning, and Clinical Judgment A Practical Approach 7th Edition – by Rosalinda Alfaro-LeFevre
View Document

Test Bank For Critical Thinking, Clinical Reasoning, and Clinical Judgment A Practical Approach 7th Edition – by Rosalinda Alfaro-LeFevre

  • mentor2000

    mentor2000

  • test bank

Test Bank For Critical Thinking, Clinical Reasoning, and Clinical Judgment A Practical Approach 7th Edition – by Rosal...

16 USD

0

0

Test Bank for Calculation of Drug Dosages, 11th Edition, Sheila J. Ogden, Linda Fluharty
View Document

Test Bank for Calculation of Drug Dosages, 11th Edition, Sheila J. Ogden, Linda Fluharty

  • mentor2000

    mentor2000

  • test bank

Test Bank for Calculation of Drug Dosages, 11th Edition, Sheila J. Ogden, Linda Fluharty...

18 USD

0

0

Test Bank for Calculating Drug Dosages A Patient-Safe Approach to Nursing and Math 2nd Edition de Castillo
View Document

Test Bank for Calculating Drug Dosages A Patient-Safe Approach to Nursing and Math 2nd Edition de Castillo

  • mentor2000

    mentor2000

  • test bank

Test Bank for Calculating Drug Dosages A Patient-Safe Approach to Nursing and Math 2nd Edition de Castillo...

15 USD

0

0

Test Bank for Calculating Drug Dosages A Patient-Safe Approach to Nursing and Math 1st Edition de Castillo
View Document

Test Bank for Calculating Drug Dosages A Patient-Safe Approach to Nursing and Math 1st Edition de Castillo

  • mentor2000

    mentor2000

  • test bank

Test Bank for Calculating Drug Dosages A Patient-Safe Approach to Nursing and Math 1st Edition de Castillo...

15 USD

0

0

NURSING TEST BANK [GRADED A+] [CORRECT SOLUTIONS]
View Document

NURSING TEST BANK [GRADED A+] [CORRECT SOLUTIONS]

  • Leo37

    Leo37

  • questions & answers

NURSING TEST BANK [GRADED A+] [CORRECT SOLUTIONS]...

7 USD

0

0

NURSING TEST BANK [GRADED A+] [CORRECT SOLUTIONS]
View Document

NURSING TEST BANK [GRADED A+] [CORRECT SOLUTIONS]

  • Leo37

    Leo37

  • questions & answers

NURSING TEST BANK [GRADED A+] [CORRECT SOLUTIONS]...

7 USD

0

0

NURSING TEST BANK [GRADED A+] [CORRECT SOLUTIONS]
View Document

NURSING TEST BANK [GRADED A+] [CORRECT SOLUTIONS]

  • Leo37

    Leo37

  • questions & answers

NURSING TEST BANK [GRADED A+] [CORRECT SOLUTIONS]...

7 USD

0

7

NURSING TEST BANK [GRADED A+] [CORRECT SOLUTIONS]
View Document

NURSING TEST BANK [GRADED A+] [CORRECT SOLUTIONS]

  • Leo37

    Leo37

  • questions & answers

NURSING TEST BANK [GRADED A+] [CORRECT SOLUTIONS]...

7 USD

0

0

NURSING TEST BANK [GRADED A+] [CORRECT SOLUTIONS]
View Document

NURSING TEST BANK [GRADED A+] [CORRECT SOLUTIONS]

  • Leo37

    Leo37

  • questions & answers

NURSING TEST BANK [GRADED A+] [CORRECT SOLUTIONS]...

7 USD

0

0

Fundamentals of Nursing [GRADED A+] [ALL CORRECT SOLUTIONS]
View Document

Fundamentals of Nursing [GRADED A+] [ALL CORRECT SOLUTIONS]

  • Leo37

    Leo37

  • questions & answers

Fundamentals of Nursing [GRADED A+] [ALL CORRECT SOLUTIONS]...

9 USD

0

0

Test Bank - Touhy and Jett; Ebersole and Hess Gerontological Nursing & Healthy Aging 5th Edition
View Document

Test Bank - Touhy and Jett; Ebersole and Hess Gerontological Nursing & Healthy Aging 5th Edition

  • studypal

    studypal

  • test bank

Test Bank - Touhy and Jett; Ebersole and Hess Gerontological Nursing & Healthy Aging 5th Edition...

14 USD

0

0

Emergency Care in the Streets 8th edition by Nancy Caroline Test Bank
View Document

Emergency Care in the Streets 8th edition by Nancy Caroline Test Bank

  • mentor2000

    mentor2000

  • test bank

Emergency Care in the Streets 8th edition by Nancy Caroline Test Bank...

16 USD

0

0

TEST BANK FOR MEDICAL SURGICAL NURSING 9TH EDITION IGNATAVICIUS
View Document

TEST BANK FOR MEDICAL SURGICAL NURSING 9TH EDITION IGNATAVICIUS

  • mentor2000

    mentor2000

  • test bank

TEST BANK FOR MEDICAL SURGICAL NURSING 9TH EDITION IGNATAVICIUS...

16 USD

0

0

Lewis Medical Surgical Nursing 15th Edition Test Bank
View Document

Lewis Medical Surgical Nursing 15th Edition Test Bank

  • mentor2000

    mentor2000

  • test bank

Lewis Medical Surgical Nursing 15th Edition Test Bank...

17 USD

0

0

Lewis Medical Surgical Nursing 14th Edition Test Bank
View Document

Lewis Medical Surgical Nursing 14th Edition Test Bank

  • mentor2000

    mentor2000

  • test bank

Lewis Medical Surgical Nursing 14th Edition Test Bank...

16 USD

0

0

Lewis Medical Surgical Nursing 13th Edition Test Bank
View Document

Lewis Medical Surgical Nursing 13th Edition Test Bank

  • mentor2000

    mentor2000

  • test bank

Lewis Medical Surgical Nursing 13th Edition Test Bank...

15 USD

0

0

Lewis Medical Surgical Nursing 12th Edition Test Bank
View Document

Lewis Medical Surgical Nursing 12th Edition Test Bank

  • mentor2000

    mentor2000

  • test bank

Lewis Medical Surgical Nursing 12th Edition Test Bank...

16 USD

0

0

Test Bank for Auditing: A Risk Based-Approach, 11th Edition, Karla M. Johnstone, Audrey A. Gramling, Larry E. Rittenberg
View Document

Test Bank for Auditing: A Risk Based-Approach, 11th Edition, Karla M. Johnstone, Audrey A. Gramling, Larry E. Rittenberg

  • mentor2000

    mentor2000

  • test bank

Test Bank for Auditing: A Risk Based-Approach, 11th Edition, Karla M. Johnstone, Audrey A. Gramling, Larry E. Rittenberg...

16 USD

0

0

Applied Pharmacology for the Dental Hygienist 8th Edition Haveles Test Bank
View Document

Applied Pharmacology for the Dental Hygienist 8th Edition Haveles Test Bank

  • mentor2000

    mentor2000

  • test bank

Applied Pharmacology for the Dental Hygienist 8th Edition Haveles Test Bank...

16 USD

0

0

TEST BANK FOR INTRODUCTION TO CLINICAL PHARMACOLOGY 10TH EDITION BY VISOVSKY
View Document

TEST BANK FOR INTRODUCTION TO CLINICAL PHARMACOLOGY 10TH EDITION BY VISOVSKY

  • mentor2000

    mentor2000

  • exam

TEST BANK FOR INTRODUCTION TO CLINICAL PHARMACOLOGY 10TH EDITION BY VISOVSKY...

20 USD

0

0

Test Bank for University Physics with Modern Physics, 14th Edition by Hugh D. Young , Roger A. Freedman
View Document

Test Bank for University Physics with Modern Physics, 14th Edition by Hugh D. Young , Roger A. Freedman

  • mentor2000

    mentor2000

  • test bank

Test Bank for University Physics with Modern Physics, 14th Edition by Hugh D. Young , Roger A. Freedman...

15 USD

0

0

Test Bank For Understanding Nursing Research, Building An Evidence-Based Practice, 6th Edition by Susan K. Grove, Jennifer R. Gray, Nancy Burns
View Document

Test Bank For Understanding Nursing Research, Building An Evidence-Based Practice, 6th Edition by Susan K. Grove, Jennifer R. Gray, Nancy Burns

  • mentor2000

    mentor2000

  • test bank

Test Bank For Understanding Nursing Research, Building An Evidence-Based Practice, 6th Edition by Susan K. Grove, Jennif...

16 USD

0

0

Test Bank For The Economy Today, 13th Edition Jack Gido, James P. Clements
View Document

Test Bank For The Economy Today, 13th Edition Jack Gido, James P. Clements

  • mentor2000

    mentor2000

  • test bank

Test Bank For The Economy Today, 13th Edition Jack Gido, James P. Clements...

16 USD

0

0

Test Bank for Technology In Action, Complete, 9th Edition by  Alan Evans, Kendall Martin, MaryAnne Poatsy
View Document

Test Bank for Technology In Action, Complete, 9th Edition by Alan Evans, Kendall Martin, MaryAnne Poatsy

  • mentor2000

    mentor2000

  • test bank

Test Bank for Technology In Action, Complete, 9th Edition by Alan Evans, Kendall Martin, MaryAnne Poatsy...

15 USD

0

0

Test Bank for Successful Project Management, 6th Edition by Jack Gido, James P. Clements
View Document

Test Bank for Successful Project Management, 6th Edition by Jack Gido, James P. Clements

  • mentor2000

    mentor2000

  • test bank

Test Bank for Successful Project Management, 6th Edition by Jack Gido, James P. Clements...

16 USD

0

0

Test Bank For Strategic Management, Text And Cases, 7th Edition by Gregory Dess, G.T. (Tom) Lumpkin, Alan Eisner, Gerry McNamara
View Document

Test Bank For Strategic Management, Text And Cases, 7th Edition by Gregory Dess, G.T. (Tom) Lumpkin, Alan Eisner, Gerry McNamara

  • mentor2000

    mentor2000

  • test bank

Test Bank For Strategic Management, Text And Cases, 7th Edition by Gregory Dess, G.T. (Tom) Lumpkin, Alan Eisner, Gerry ...

16 USD

0

0

Test Bank for Strategic Management: Concepts and Cases, Competitiveness and Globalization, 11th Edition by Michael A Hitt, Duane R Ireland, Robert E Hoskisson
View Document

Test Bank for Strategic Management: Concepts and Cases, Competitiveness and Globalization, 11th Edition by Michael A Hitt, Duane R Ireland, Robert E Hoskisson

  • mentor2000

    mentor2000

  • test bank

Test Bank for Strategic Management: Concepts and Cases, Competitiveness and Globalization, 11th Edition by Michael A Hit...

16 USD

0

0

Test Bank for Strategic Management in Action, 6th Edition by Mary Coulter
View Document

Test Bank for Strategic Management in Action, 6th Edition by Mary Coulter

  • mentor2000

    mentor2000

  • test bank

Test Bank for Strategic Management in Action, 6th Edition by Mary Coulter...

16 USD

0

0

Test Bank for Statistics for the Behavioral Sciences, 9th Edition by Frederick J Gravetter, Larry B. Wallnau
View Document

Test Bank for Statistics for the Behavioral Sciences, 9th Edition by Frederick J Gravetter, Larry B. Wallnau

  • mentor2000

    mentor2000

  • test bank

Test Bank for Statistics for the Behavioral Sciences, 9th Edition by Frederick J Gravetter, Larry B. Wallnau...

16 USD

0

0

Test Bank for Project Management, The Managerial Process, 7th Edition by Erik W. Larson, Clifford F. Gray
View Document

Test Bank for Project Management, The Managerial Process, 7th Edition by Erik W. Larson, Clifford F. Gray

  • mentor2000

    mentor2000

  • test bank

Explore the comprehensive test bank for Project Management: The Managerial Process, 7th Edition by Erik W. Larson and Cl...

16 USD

0

0

Test Bank for Principles of Economics (Irwin Economics), 6th Edition by Robert H. Frank , Ben Bernanke Professor , Kate Antonovics , Ori Heffetz
View Document

Test Bank for Principles of Economics (Irwin Economics), 6th Edition by Robert H. Frank , Ben Bernanke Professor , Kate Antonovics , Ori Heffetz

  • mentor2000

    mentor2000

  • test bank

Test Bank for Principles of Economics (Irwin Economics), 6th Edition by Robert H. Frank , Ben Bernanke Professor , Kate ...

16 USD

0

0

Test Bank For Maternal & Child Health Nursing, Care of the Childbearing & Childrearing Family 8th Edition by  JoAnne Silbert-Flagg, Pillitteri, Adele
View Document

Test Bank For Maternal & Child Health Nursing, Care of the Childbearing & Childrearing Family 8th Edition by JoAnne Silbert-Flagg, Pillitteri, Adele

  • mentor2000

    mentor2000

  • test bank

Test Bank For Maternal & Child Health Nursing, Care of the Childbearing & Childrearing Family 8th Edition by JoAnne Sil...

16 USD

0

0

Test Bank for Janeway’s Immunobiology, 9th Edition By Kenneth Murphy, Casey Weaver
View Document

Test Bank for Janeway’s Immunobiology, 9th Edition By Kenneth Murphy, Casey Weaver

  • mentor2000

    mentor2000

  • test bank

Test Bank for Janeway’s Immunobiology, 9th Edition By Kenneth Murphy, Casey Weaver...

16 USD

0

1

Test Bank for Evolution, Making Sense Of Life, 2nd Revised Edition by Carl Zimmer, Prof. Douglas Emlen
View Document

Test Bank for Evolution, Making Sense Of Life, 2nd Revised Edition by Carl Zimmer, Prof. Douglas Emlen

  • mentor2000

    mentor2000

  • test bank

Test Bank for Evolution, Making Sense Of Life, 2nd Revised Edition by Carl Zimmer, Prof. Douglas Emlen...

15 USD

0

0

Microbiology, An Introduction Plus Mastering Microbiology , 13th Edition Test Bank
View Document

Microbiology, An Introduction Plus Mastering Microbiology , 13th Edition Test Bank

  • mentor2000

    mentor2000

  • test bank

Microbiology, An Introduction Plus Mastering Microbiology , 13th Edition Test Bank...

16 USD

0

0

TEST BANK FOR CLINICAL PROCEDURES FOR MEDICAL ASSISTANTS 10TH EDITION BY KATHY BONEWIT-WEST
View Document

TEST BANK FOR CLINICAL PROCEDURES FOR MEDICAL ASSISTANTS 10TH EDITION BY KATHY BONEWIT-WEST

  • jean-judy

    jean-judy

  • exam

TEST BANK FOR CLINICAL PROCEDURES FOR MEDICAL ASSISTANTS 10TH EDITION BY KATHY BONEWIT-WEST...

20 USD

0

0

LMSW LICENSING EXAM TEST BANK 2022
View Document

LMSW LICENSING EXAM TEST BANK 2022

  • jean-judy

    jean-judy

  • exam

LMSW LICENSING EXAM TEST BANK 2022 – Download PDF...

15 USD

0

0

LMSW Exam Solution Guide, Test Bank Distinction level Exam Guide 2022.
View Document

LMSW Exam Solution Guide, Test Bank Distinction level Exam Guide 2022.

  • jean-judy

    jean-judy

  • exam

LMSW Exam Solution Guide, Test Bank Distinction level Exam Guide 2022. – Download PDF...

15 USD

0

0

Test Bank (Instant Download) for Cognition, 6th Edition, Mark H. Ashcraft, Gabriel A. Radvansky.
View Document

Test Bank (Instant Download) for Cognition, 6th Edition, Mark H. Ashcraft, Gabriel A. Radvansky.

  • studypal

    studypal

  • test bank

Test Bank (Instant Download) for Cognition, 6th Edition, Mark H. Ashcraft, Gabriel A. Radvansky....

14 USD

0

0

Test Bank for Cognition Exploring The Science of the Mind 6th Edition by Daniel Reisberg, All 14 Chapters Covered.
View Document

Test Bank for Cognition Exploring The Science of the Mind 6th Edition by Daniel Reisberg, All 14 Chapters Covered.

  • studypal

    studypal

  • test bank

Test Bank for Cognition Exploring The Science of the Mind 6th Edition by Daniel Reisberg, All 14 Chapters Covered....

14 USD

0

0

Test Bank for Understanding Psychology 9th Edition by Morris | All chapters
View Document

Test Bank for Understanding Psychology 9th Edition by Morris | All chapters

  • studypal

    studypal

  • test bank

Test Bank for Understanding Psychology 9th Edition by Morris...

14 USD

0

0

Test Bank For Nutrition Therapy And Pathophysiology 4th Edition by Nelms
View Document

Test Bank For Nutrition Therapy And Pathophysiology 4th Edition by Nelms

  • Yna

    Yna

  • hesi

Test Bank For Nutrition Therapy And Pathophysiology 4th Edition by Nelms...

16 USD

0

0

Test Bank for community and public health nursing 10th edition rector (Complete Test Bank with Questions and Answers All 30 Chapters Covered) 439 pages
View Document

Test Bank for community and public health nursing 10th edition rector (Complete Test Bank with Questions and Answers All 30 Chapters Covered) 439 pages

  • studypal

    studypal

  • test bank

Test Bank for community and public health nursing 10th edition rector (Complete Test Bank with Questions and Answers All...

15 USD

0

0

CMA (AAMA) Medical Assistant Test Bank_200 questions & answers updated 2022
View Document

CMA (AAMA) Medical Assistant Test Bank_200 questions & answers updated 2022

  • Namwaki

    Namwaki

  • exam

CMA (AAMA) Medical Assistant Test Bank_200 questions & answers updated 2022 – Download PDF...

15 USD

0

0

(PN Medical-Surgical) Adult Medical Surgical Test Bank
View Document

(PN Medical-Surgical) Adult Medical Surgical Test Bank

  • Namwaki

    Namwaki

  • exam

(PN Medical-Surgical) Adult Medical Surgical Test Bank...

14 USD

0

0

Nelson Essentials of Pediatrics 8th Edition Marcdante Kliegman Test Bank
View Document

Nelson Essentials of Pediatrics 8th Edition Marcdante Kliegman Test Bank

  • mentor2000

    mentor2000

  • exam

Nelson Essentials of Pediatrics 8th Edition Marcdante Kliegman Test Bank...

16 USD

0

0

Test Bank For Managing and Using Information Systems A Strategic Approach, 6th Edition
View Document

Test Bank For Managing and Using Information Systems A Strategic Approach, 6th Edition

  • mentor2000

    mentor2000

  • exam

Test Bank For Managing and Using Information Systems A Strategic Approach, 6th Edition...

16 USD

0

0

Test Bank For Principles of Biochemistry 4th Edition Horton
View Document

Test Bank For Principles of Biochemistry 4th Edition Horton

  • mentor2000

    mentor2000

  • exam

Test Bank For Principles of Biochemistry 4th Edition Horton...

15 USD

0

0

Test Bank Fundamentals of Nursing Care Concepts, Connections & Skills 3rd Edition Marti Burton
View Document

Test Bank Fundamentals of Nursing Care Concepts, Connections & Skills 3rd Edition Marti Burton

  • Eddah-Nafula

    Eddah-Nafula

  • exam

Test Bank Fundamentals of Nursing Care Concepts, Connections & Skills 3rd Edition Marti Burton...

16 USD

0

0

Principles of Biochemistry 4th Edition Horton Test Bank with answer keys.
View Document

Principles of Biochemistry 4th Edition Horton Test Bank with answer keys.

  • studypal

    studypal

  • test bank

Principles of Biochemistry 4th Edition Horton Test Bank with answer keys....

15 USD

0

0

Test Bank for Nursing Delegation and Management of Patient Care, 2nd Edition By Motacki |Nursing Delegation and Management of Patient Care 2nd Edition Motacki Test Bank (All Chapters 1-21)
View Document

Test Bank for Nursing Delegation and Management of Patient Care, 2nd Edition By Motacki |Nursing Delegation and Management of Patient Care 2nd Edition Motacki Test Bank (All Chapters 1-21)

  • studypal

    studypal

  • test bank

Test Bank for Nursing Delegation and Management of Patient Care, 2nd Edition By Motacki |Nursing Delegation and Manageme...

14 USD

0

0

Managing and Using Information Systems: A Strategic Approach, 6th Edition Complete Test Bank
View Document

Managing and Using Information Systems: A Strategic Approach, 6th Edition Complete Test Bank

  • studypal

    studypal

  • test bank

Managing and Using Information Systems: A Strategic Approach, 6th Edition Complete Test Bank...

14 USD

0

0

TEST BANK FOR COGNITIVE PSYCHOLOGY MIND BY BRAIN 1ST EDITION BY EDWARD E. SMITH STEPHEN M. KOSSLYN
View Document

TEST BANK FOR COGNITIVE PSYCHOLOGY MIND BY BRAIN 1ST EDITION BY EDWARD E. SMITH STEPHEN M. KOSSLYN

  • evekendra3

    evekendra3

  • test bank

TEST BANK FOR COGNITIVE PSYCHOLOGY MIND BY BRAIN 1ST EDITION BY EDWARD E. SMITH STEPHEN M. KOSSLYN...

14 USD

0

0

Test Bank For Intermediate Microeconomics A Modern Approach 9th Edition by Hal R. Varian Theodore C. Bergstrom James E. West - COMPLETE TEST BANK
View Document

Test Bank For Intermediate Microeconomics A Modern Approach 9th Edition by Hal R. Varian Theodore C. Bergstrom James E. West - COMPLETE TEST BANK

  • studypal

    studypal

  • test bank

Test Bank For Intermediate Microeconomics A Modern Approach 9th Edition by Hal R. Varian Theodore C. Bergstrom James E. ...

15 USD

0

0

Test Bank: A Concise Introduction to Logic 11th Edition By Patrick J. Hurley
View Document

Test Bank: A Concise Introduction to Logic 11th Edition By Patrick J. Hurley

  • Angelicer

    Angelicer

  • test bank

Test Bank: A Concise Introduction to Logic 11th Edition By Patrick J. Hurley – Download PDF...

15 USD

0

0

Test Bank for Maternity & Women’s Health Care 12th Edition Lowdermilk
View Document

Test Bank for Maternity & Women’s Health Care 12th Edition Lowdermilk

  • Angelicer

    Angelicer

  • exam

Test Bank (PDF) for Maternity & Women’s Health Care 12th Edition by Deitra Leonard Lowdermilk, Kitty Cashion, Shannon ...

15 USD

0

0

Test bank for Macroeconomics Sixteenth Canadian Edition:16th Canadian Edition by Christopher Ragan.
View Document

Test bank for Macroeconomics Sixteenth Canadian Edition:16th Canadian Edition by Christopher Ragan.

  • evekendra3

    evekendra3

  • test bank

Test bank for Macroeconomics Sixteenth Canadian Edition:16th Canadian Edition by Christopher Ragan. – Download PDF...

16 USD

0

0

Psychiatric Nursing 8th Edition Keltner Steele Test Bank
View Document

Psychiatric Nursing 8th Edition Keltner Steele Test Bank

  • studypal

    studypal

  • test bank

Psychiatric Nursing 8th Edition Keltner Steele Test Bank...

15 USD

0

0

TEST BANK FOR LEIFER’S INTRODUCTION TO MATERNITY AND PEDIATRIC NURSING IN CANADA 8TH EDITION ALL CHAPTERS COVERED
View Document

TEST BANK FOR LEIFER’S INTRODUCTION TO MATERNITY AND PEDIATRIC NURSING IN CANADA 8TH EDITION ALL CHAPTERS COVERED

  • mentor2000

    mentor2000

  • test bank

TEST BANK FOR LEIFER’S INTRODUCTION TO MATERNITY AND PEDIATRIC NURSING IN CANADA 8TH EDITION ALL CHAPTERS COVERED...

14 USD

0

0

Test Bank for Diversity and Society: Race, Ethnicity, and Gender (5th Edition) by Healey & Stepnick
View Document

Test Bank for Diversity and Society: Race, Ethnicity, and Gender (5th Edition) by Healey & Stepnick

  • mentor2000

    mentor2000

  • exam

Boost your grades with the Test Bank for Diversity and Society: Race, Ethnicity, and Gender, 5th Edition by Healey & Ste...

15 USD

0

0

A Concise Introduction to Logic 11th Edition By Patrick J. Hurley Test Bank
View Document

A Concise Introduction to Logic 11th Edition By Patrick J. Hurley Test Bank

  • QuizBank

    QuizBank

  • test bank

A Concise Introduction to Logic 11th Edition By Patrick J. Hurley Test Bank – Download PDF...

20 USD

0

0

Test Bank for Parkins Macroeconomics, Test bank 3 Chapter 10-15 by Luke Armstrong, Barbara Moore, Mark Rush.
View Document

Test Bank for Parkins Macroeconomics, Test bank 3 Chapter 10-15 by Luke Armstrong, Barbara Moore, Mark Rush.

  • studypal

    studypal

  • test bank

Test Bank for Parkins Macroeconomics, Test bank 3 Chapter 10-15 by Luke Armstrong, Barbara Moore, Mark Rush....

15 USD

0

0

TEST BANK FOR MEDICAL SURGICAL NURSING 9TH EDITION IGNATAVICIUS
View Document

TEST BANK FOR MEDICAL SURGICAL NURSING 9TH EDITION IGNATAVICIUS

  • mentor2000

    mentor2000

  • exam

TEST BANK FOR MEDICAL SURGICAL NURSING 9TH EDITION IGNATAVICIUS...

15 USD

0

0

Test Bank for Buttaro Primary Care A Collaborative Practice, 6th Edition
View Document

Test Bank for Buttaro Primary Care A Collaborative Practice, 6th Edition

  • studypal

    studypal

  • test bank

Test Bank for Buttaro Primary Care A Collaborative Practice, 6th Edition...

24 USD

0

0

Test Bank for Medical Surgical Nursing 8th Edition by Ignatavicius
View Document

Test Bank for Medical Surgical Nursing 8th Edition by Ignatavicius

  • mentor2000

    mentor2000

  • test bank

Test Bank for Medical Surgical Nursing 8th Edition by Ignatavicius...

18 USD

0

0

Test Bank for Dental Hygiene by Henry
View Document

Test Bank for Dental Hygiene by Henry

  • Gorski

    Gorski

  • test bank

Test Bank for Dental Hygiene by Henry – Download PDF...

15 USD

0

0

Test Bank for Dental Hygiene 4th Edition by Darby
View Document

Test Bank for Dental Hygiene 4th Edition by Darby

  • Gorski

    Gorski

  • test bank

Test Bank for Dental Hygiene 4th Edition by Darby – Download PDF...

15 USD

0

0

Test Bank for Dental Assisting A Comprehensive Approach 5th Edition by Phinney
View Document

Test Bank for Dental Assisting A Comprehensive Approach 5th Edition by Phinney

  • Gorski

    Gorski

  • test bank

Test Bank for Dental Assisting A Comprehensive Approach 5th Edition by Phinney – Download PDF...

15 USD

0

0

Test Bank for Cultural Diversity in Health and Illness 9th Edition by Spector
View Document

Test Bank for Cultural Diversity in Health and Illness 9th Edition by Spector

  • Gorski

    Gorski

  • test bank

Test Bank for Cultural Diversity in Health and Illness 9th Edition by Spector – Download PDF...

15 USD

0

0

Test Bank for Critical Care Nursing 7th Edition by Urden
View Document

Test Bank for Critical Care Nursing 7th Edition by Urden

  • Gorski

    Gorski

  • test bank

Test Bank for Critical Care Nursing 7th Edition by Urden – Download PDF...

15 USD

0

0

Test Bank for Core Concepts in Pharmacology 5th Edition by Holland
View Document

Test Bank for Core Concepts in Pharmacology 5th Edition by Holland

  • Gorski

    Gorski

  • test bank

Test Bank for Core Concepts in Pharmacology 5th Edition by Holland – Download PDF...

15 USD

0

0

Test Bank for Core Concepts in Pharmacology 4th Edition by Holland
View Document

Test Bank for Core Concepts in Pharmacology 4th Edition by Holland

  • Gorski

    Gorski

  • test bank

Test Bank for Core Concepts in Pharmacology 4th Edition by Holland – Download PDF...

15 USD

0

0

Test Bank for Contemporary Psychiatric Mental Health Nursing 3rd Edition by Kneisl
View Document

Test Bank for Contemporary Psychiatric Mental Health Nursing 3rd Edition by Kneisl

  • Gorski

    Gorski

  • test bank

Test Bank for Contemporary Psychiatric Mental Health Nursing 3rd Edition by Kneisl – Download PDF...

15 USD

0

0

Test Bank for Contemporary Nursing 6th Edition by Cherry
View Document

Test Bank for Contemporary Nursing 6th Edition by Cherry

  • Gorski

    Gorski

  • test bank

Test Bank for Contemporary Nursing 6th Edition by Cherry – Download PDF...

15 USD

0

0

Test Bank For Essentials of the Living World 6th Edition By George Johnson
View Document

Test Bank For Essentials of the Living World 6th Edition By George Johnson

  • Gorski

    Gorski

  • test bank

Test Bank For Essentials of the Living World 6th Edition By George Johnson – Download PDF...

16 USD

0

0

Test Bank for Pearsons Federal Taxation 2019 Individuals 32nd Edition by Rupert
View Document

Test Bank for Pearsons Federal Taxation 2019 Individuals 32nd Edition by Rupert

  • tutorvalentine

    tutorvalentine

  • test bank

Test Bank for Pearsons Federal Taxation 2019 Individuals 32nd Edition by Rupert – Download PDF...

15 USD

0

0

Test Bank for Introductory Financial Accounting for Business 1st Edition By Edmon
View Document

Test Bank for Introductory Financial Accounting for Business 1st Edition By Edmon

  • tutorvalentine

    tutorvalentine

  • test bank

Test Bank for Introductory Financial Accounting for Business 1st Edition By Edmon – Download PDF...

15 USD

0

0

Test Bank for Intermediate Accounting VOLUME 2 4th Edition by Lo
View Document

Test Bank for Intermediate Accounting VOLUME 2 4th Edition by Lo

  • tutorvalentine

    tutorvalentine

  • test bank

Test Bank for Intermediate Accounting VOLUME 2 4th Edition by Lo – Download PDF...

15 USD

0

0

Test Bank for Intermediate Accounting VOLUME 1 4th Edition by Lo
View Document

Test Bank for Intermediate Accounting VOLUME 1 4th Edition by Lo

  • tutorvalentine

    tutorvalentine

  • test bank

Test Bank for Intermediate Accounting VOLUME 1 4th Edition by Lo – Download PDF...

1215 USD

0

0

Test Bank for Intermediate Accounting 10th Edition By Spiceland
View Document

Test Bank for Intermediate Accounting 10th Edition By Spiceland

  • tutorvalentine

    tutorvalentine

  • test bank

Test Bank for Intermediate Accounting 10th Edition By Spiceland – Download PDF...

15 USD

0

0

Test Bank for Horngrens Accounting VOLUME 2 11th CANADIAN Edition by Miller-Nobles
View Document

Test Bank for Horngrens Accounting VOLUME 2 11th CANADIAN Edition by Miller-Nobles

  • tutorvalentine

    tutorvalentine

  • test bank

Test Bank for Horngrens Accounting VOLUME 2 11th CANADIAN Edition by Miller-Nobles – Download PDF...

15 USD

0

0

Test Bank for Horngrens Accounting VOLUME 1 11th CANADIAN Edition by Miller-Nobles
View Document

Test Bank for Horngrens Accounting VOLUME 1 11th CANADIAN Edition by Miller-Nobles

  • tutorvalentine

    tutorvalentine

  • test bank

Test Bank for Horngrens Accounting VOLUME 1 11th CANADIAN Edition by Miller-Nobles – Download PDF...

15 USD

0

0

Test Bank for Canadian Tax Principles 2018-2019 Edition by Byrd
View Document

Test Bank for Canadian Tax Principles 2018-2019 Edition by Byrd

  • tutorvalentine

    tutorvalentine

  • test bank

Test Bank for Canadian Tax Principles 2018-2019 Edition by Byrd – Download PDF...

15 USD

0

0

Test Bank for Auditing The Art and Science of Assurance Engagements 14th CANADIAN Edition by Arens
View Document

Test Bank for Auditing The Art and Science of Assurance Engagements 14th CANADIAN Edition by Arens

  • tutorvalentine

    tutorvalentine

  • test bank

Test Bank for Auditing The Art and Science of Assurance Engagements 14th CANADIAN Edition by Arens – Download PDF...

15 USD

0

0

Test Bank and Solution Manual for Horngrens Accounting VOLUME 2 11th CANADIAN Edition by Miller-Nobles
View Document

Test Bank and Solution Manual for Horngrens Accounting VOLUME 2 11th CANADIAN Edition by Miller-Nobles

  • tutorvalentine

    tutorvalentine

  • test bank

Test Bank and Solution Manual for Horngrens Accounting VOLUME 2 11th CANADIAN Edition by Miller-Nobles – Download PDF...

15 USD

0

0

AS101 Final Exam Test Bank
View Document

AS101 Final Exam Test Bank

  • GradeA

    GradeA

  • exam

AS101 Final Exam Test Bank – Download PDF...

15 USD

0

0

Test Bank for A Concise Introduction to Logic by Patrick J. Hurley (592 pages) Chapter 1-14.
View Document

Test Bank for A Concise Introduction to Logic by Patrick J. Hurley (592 pages) Chapter 1-14.

  • studypal

    studypal

  • test bank

Test Bank for A Concise Introduction to Logic by Patrick J. Hurley (592 pages) Chapter 1-14....

15 USD

0

0

Test Bank Psychiatric Nursing Contemporary Practice 6th Edition by Boyd
View Document

Test Bank Psychiatric Nursing Contemporary Practice 6th Edition by Boyd

  • GradeA

    GradeA

  • test bank

Test Bank Psychiatric Nursing Contemporary Practice 6th Edition by Boyd – Download PDF...

15 USD

0

0

Leadership Research Findings, Practice, and Skills, 9th Edition By J. DuBrin  Test Bank
View Document

Leadership Research Findings, Practice, and Skills, 9th Edition By J. DuBrin Test Bank

  • GradeA

    GradeA

  • test bank

Leadership Research Findings, Practice, and Skills, 9th Edition By J. DuBrin Test Bank...

12 USD

0

0

Robbins Basic Pathology 10th Edition Kymar Abbas Test Bank
View Document

Robbins Basic Pathology 10th Edition Kymar Abbas Test Bank

  • Angelicer

    Angelicer

  • test bank

Robbins Basic Pathology 10th Edition Kymar Abbas Test Bank...

12 USD

0

0

Test Bank Psychiatric Nursing Contemporary Practice (6th Edition by Boyd).
View Document

Test Bank Psychiatric Nursing Contemporary Practice (6th Edition by Boyd).

  • Angelicer

    Angelicer

  • test bank

Test Bank Psychiatric Nursing Contemporary Practice (6th Edition by Boyd). – Download PDF...

17 USD

0

0

Test Bank For Financial Statement Analysis And Security Valuation 5th Edition By Penman
View Document

Test Bank For Financial Statement Analysis And Security Valuation 5th Edition By Penman

  • GradeA

    GradeA

  • test bank

Test Bank For Financial Statement Analysis And Security Valuation 5th Edition By Penman – Download PDF...

15 USD

0

0

Information Technology Project Management 8th Edition Kathy Schwalbe Test Bank_ Complete Chapters 1-13
View Document

Information Technology Project Management 8th Edition Kathy Schwalbe Test Bank_ Complete Chapters 1-13

  • studypal

    studypal

  • test bank

Information Technology Project Management 8th Edition Kathy Schwalbe Test Bank_ Complete Chapters 1-13...

17 USD

0

0

Series 10 Exam Study Guide+ Test Bank by The Securities Institute of America
View Document

Series 10 Exam Study Guide+ Test Bank by The Securities Institute of America

  • studypal

    studypal

  • test bank

Series 10 Exam Study Guide+ Test Bank by The Securities Institute of America...

15 USD

0

0

LINTONS MEDICAL-SURGICAL NURSING 7TH EDITION TEST BANK BY ADRIANNE LINTON & MARY ANN MATTESON
View Document

LINTONS MEDICAL-SURGICAL NURSING 7TH EDITION TEST BANK BY ADRIANNE LINTON & MARY ANN MATTESON

  • studypal

    studypal

  • test bank

LINTONS MEDICAL-SURGICAL NURSING 7TH EDITION TEST BANK BY ADRIANNE LINTON & MARY ANN MATTESON...

15 USD

0

0

Test Bank for Electronic Devices and Circuit Theory 11th Edition by Boylestad
View Document

Test Bank for Electronic Devices and Circuit Theory 11th Edition by Boylestad

  • tutor_gesco

    tutor_gesco

  • test bank

Test Bank for Electronic Devices and Circuit Theory 11th Edition by Boylestad – Download PDF...

15 USD

0

0

AE 1 COMPREHENSIVE TEST BANK
View Document

AE 1 COMPREHENSIVE TEST BANK

  • Gorski

    Gorski

  • exam

AE 1 COMPREHENSIVE TEST BANK 2025...

15 USD

0

0

Test Bank for Microbiology The Human Experience (1st Edition) By John W. Foster Zarrintaj Aliabadi Joan L. Slonczewski ALL CHAPTERS
View Document

Test Bank for Microbiology The Human Experience (1st Edition) By John W. Foster Zarrintaj Aliabadi Joan L. Slonczewski ALL CHAPTERS

  • mentor2000

    mentor2000

  • test bank

Test Bank for Microbiology The Human Experience (1st Edition) By John W. Foster Zarrintaj Aliabadi Joan L. Slonczewski A...

15 USD

0

0

Microbiology, A Systems Approach, 6th Edition Cowan Test Bank | All chapters
View Document

Microbiology, A Systems Approach, 6th Edition Cowan Test Bank | All chapters

  • mentor2000

    mentor2000

  • test bank

Test Bank for Microbiology, A Systems Approach, 6th Edition, Marjorie Kelly Cowan, Heidi Smith...

15 USD

0

0

[Test Bank] Management A Practical Introduction 9th Edition by Kinicki, Williams
View Document

[Test Bank] Management A Practical Introduction 9th Edition by Kinicki, Williams

  • mentor2000

    mentor2000

  • test bank

[Test Bank] Management A Practical Introduction 9th Edition by Kinicki, Williams...

15 USD

0

1

Current Medical Diagnosis and Treatment 2020 59th Edition Papadakis, McPhee Test Bank
View Document

Current Medical Diagnosis and Treatment 2020 59th Edition Papadakis, McPhee Test Bank

  • mentor2000

    mentor2000

  • test bank

Current Medical Diagnosis and Treatment 2020 59th Edition Papadakis, McPhee Test Bank...

12 USD

0

0

Primary Care A Collaborative Practice 5th Edition Buttaro Test Bank
View Document

Primary Care A Collaborative Practice 5th Edition Buttaro Test Bank

  • mentor2000

    mentor2000

  • test bank

Primary Care A Collaborative Practice 5th Edition Buttaro Test Bank...

15 USD

0

0

Test Bank for Microbiology: The Human Experience, 2nd Edition by Foster
View Document

Test Bank for Microbiology: The Human Experience, 2nd Edition by Foster

  • mentor2000

    mentor2000

  • test bank

Download the official test bank for Microbiology: The Human Experience, 2nd Edition. Ideal for nursing exam prep, quizze...

15 USD

0

0

Test Bank for Judgment in Managerial Decision Making, 8th Edition, Max H. Bazerman, Don A. Moore
View Document

Test Bank for Judgment in Managerial Decision Making, 8th Edition, Max H. Bazerman, Don A. Moore

  • mentor2000

    mentor2000

  • test bank

Prepare with the Test Bank for Judgment in Managerial Decision Making, 8th Edition by Max H. Bazerman and Don A. Moore. ...

15 USD

0

0

Test Bank for Foundations of Nursing Research 7th Edition by Nieswiadomy (All Chapters)
View Document

Test Bank for Foundations of Nursing Research 7th Edition by Nieswiadomy (All Chapters)

  • mentor2000

    mentor2000

  • test bank

Test Bank for Foundations of Nursing Research 7th Edition by Nieswiadomy (All Chapters)...

15 USD

0

0

Test Bank for Contemporary Nursing, 8th Edition by Cherry
View Document

Test Bank for Contemporary Nursing, 8th Edition by Cherry

  • mentor2000

    mentor2000

  • test bank

Test Bank for Contemporary Nursing, 8th Edition by Cherry...

15 USD

0

0

TEST BANK FOR CONTEMPORARY NURSING ISSUES, TRENDS AND MANAGEMENTS 7TH EDITION BY CHERRY & JACOB ALL CHAPTERS GRADED A
View Document

TEST BANK FOR CONTEMPORARY NURSING ISSUES, TRENDS AND MANAGEMENTS 7TH EDITION BY CHERRY & JACOB ALL CHAPTERS GRADED A

  • mentor2000

    mentor2000

  • test bank

TEST BANK FOR CONTEMPORARY NURSING ISSUES, TRENDS AND MANAGEMENTS 7TH EDITION BY CHERRY & JACOB ALL CHAPTERS GRADED A...

15 USD

0

0

Brunner Medical-Surgical Nursing-Test Bank Not Book
View Document

Brunner Medical-Surgical Nursing-Test Bank Not Book

  • mentor2000

    mentor2000

  • test bank

Latest Test Bank For Brunner & Suddarths Textbook of Medical-Surgical Nursing 15th Edition Author(s) Janice L Hinkle, Ke...

15 USD

0

2

[Test Bank] Judgment in Managerial Decision Making, 8th Edition by Bazerman, Moore
View Document

[Test Bank] Judgment in Managerial Decision Making, 8th Edition by Bazerman, Moore

  • Namwaki

    Namwaki

  • test bank

Access the Test Bank for Judgment in Managerial Decision Making, 8th Edition by Bazerman and Moore. Comprehensive resour...

15 USD

0

1

TEST BANK FOR NURSING TODAY TRANSITION AND TRENDS 11TH EDITION BY ZERWEKH All chapters
View Document

TEST BANK FOR NURSING TODAY TRANSITION AND TRENDS 11TH EDITION BY ZERWEKH All chapters

  • mentor2000

    mentor2000

  • test bank

TEST BANK FOR NURSING TODAY TRANSITION AND TRENDS 11TH EDITION BY ZERWEKH All chapters...

15 USD

0

0

Test Bank for Nursing Today: Transition and Trends, 10th Edition by JoAnn Zerwekh | Complete All Chapters
View Document

Test Bank for Nursing Today: Transition and Trends, 10th Edition by JoAnn Zerwekh | Complete All Chapters

  • mentor2000

    mentor2000

  • test bank

Get exam-ready with the Test Bank for Nursing Today: Transition and Trends, 10th Edition by JoAnn Zerwekh. Offering comp...

15 USD

0

2

Test Bank for South-Western Federal Taxation Comprehensive Volume
View Document

Test Bank for South-Western Federal Taxation Comprehensive Volume

  • studypal

    studypal

  • test bank

get the Test Bank for South-Western Federal Taxation Comprehensive Volume...

15 USD

0

0

ACC 307 Tax Law complete Test Bank
View Document

ACC 307 Tax Law complete Test Bank

  • studypal

    studypal

  • test bank

ACC 307 Tax Law complete Test Bank...

15 USD

0

0

Test Bank for deWit: Medical-Surgical Nursing: Concepts and Practice, 3rd Edition
View Document

Test Bank for deWit: Medical-Surgical Nursing: Concepts and Practice, 3rd Edition

  • studypal

    studypal

  • test bank

Test Bank for deWit: Medical-Surgical Nursing: Concepts and Practice, 3rd Edition...

15 USD

0

0

A Complete Test Bank for Medical-Surgical Nursing; Concepts for Interprofessional Collaborative Care, 2-Volume Set 9th Edition By Ignatavicius
View Document

A Complete Test Bank for Medical-Surgical Nursing; Concepts for Interprofessional Collaborative Care, 2-Volume Set 9th Edition By Ignatavicius

  • GradeA

    GradeA

  • test bank

A Complete Test Bank for Medical-Surgical Nursing; Concepts for Interprofessional Collaborative Care, 2-Volume Set 9th E...

15 USD

0

0

[TEST BANK] PUBLIC FINANCE IN CANADA 5TH EDITION BY ROSEN, GAYER, SNODDON
View Document

[TEST BANK] PUBLIC FINANCE IN CANADA 5TH EDITION BY ROSEN, GAYER, SNODDON

  • GradeA

    GradeA

  • test bank

[TEST BANK] PUBLIC FINANCE IN CANADA 5TH EDITION BY ROSEN, GAYER, SNODDON...

15 USD

0

0

TEST BANK ACCOUNTING INFORMATION SYSTEMS, 15TH EDITION BY ROMNEY, STEINBART, SUMMERS, WOOD
View Document

TEST BANK ACCOUNTING INFORMATION SYSTEMS, 15TH EDITION BY ROMNEY, STEINBART, SUMMERS, WOOD

  • GradeA

    GradeA

  • test bank

TEST BANK ACCOUNTING INFORMATION SYSTEMS, 15TH EDITION BY ROMNEY, STEINBART, SUMMERS, WOOD – Download PDF...

15 USD

0

0

Concepts For Interprofessional Collaborative Care 10th Edition Ignatavicius Workman Rebar Heimargartner Medical Surgical Nursing Test Bank
View Document

Concepts For Interprofessional Collaborative Care 10th Edition Ignatavicius Workman Rebar Heimargartner Medical Surgical Nursing Test Bank

  • studypal

    studypal

  • test bank

Concepts For Interprofessional Collaborative Care 10th Edition Ignatavicius Workman Rebar Heimargartner Medical Surgical...

15 USD

0

0

Test Bank Stahls Essential Psychopharmacology:Neuroscientific Basis & Practical Applications 4th Edition
View Document

Test Bank Stahls Essential Psychopharmacology:Neuroscientific Basis & Practical Applications 4th Edition

  • studypal

    studypal

  • test bank

Test Bank Stahls Essential Psychopharmacology:Neuroscientific Basis & Practical Applications 4th Edition...

15 USD

0

0

APEA 3P Test Bank Questions and Correct Answers
View Document

APEA 3P Test Bank Questions and Correct Answers

  • Namwaki

    Namwaki

  • exam

APEA 3P Test Bank Questions and Correct Answers – Download PDF...

15 USD

0

0

(DOWNLOAD) Applied Pathophysiology A Conceptual Approach to the Mechanisms of Disease 3rd Edition Braun Test Bank
View Document

(DOWNLOAD) Applied Pathophysiology A Conceptual Approach to the Mechanisms of Disease 3rd Edition Braun Test Bank

  • Namwaki

    Namwaki

  • exam

(DOWNLOAD) Applied Pathophysiology A Conceptual Approach to the Mechanisms of Disease 3rd Edition Braun Test Bank – Do...

12 USD

0

0

Pediatric Physical Examination An Illustrated Handbook 3rd Edition Duderstadt Test Bank
View Document

Pediatric Physical Examination An Illustrated Handbook 3rd Edition Duderstadt Test Bank

  • Namwaki

    Namwaki

  • exam

Pediatric Physical Examination An Illustrated Handbook 3rd Edition Duderstadt Test Bank...

12 USD

0

0

Test Bank - Psychiatric Nursing Contemporary Practice 6th Edition by Boyd Chapter 1-47 COMPLETE TEST BANK
View Document

Test Bank - Psychiatric Nursing Contemporary Practice 6th Edition by Boyd Chapter 1-47 COMPLETE TEST BANK

  • studypal

    studypal

  • test bank

Test Bank - Psychiatric Nursing Contemporary Practice 6th Edition by Boyd Chapter 1-47 COMPLETE TEST BANK...

15 USD

0

0

Pediatric Physical Examination An Illustrated Handbook 3rd Edition Duderstadt Test Bank
View Document

Pediatric Physical Examination An Illustrated Handbook 3rd Edition Duderstadt Test Bank

  • tutor_gesco

    tutor_gesco

  • test bank

Pediatric Physical Examination An Illustrated Handbook 3rd Edition Duderstadt Test Bank...

15 USD

0

0

Test Bank for Little and Falaces Dental Management of the Medically Compromised Patient 9th Edition
View Document

Test Bank for Little and Falaces Dental Management of the Medically Compromised Patient 9th Edition

  • mentor2000

    mentor2000

  • exam

Test Bank for Little and Falaces Dental Management of the Medically Compromised Patient 9th Edition...

15 USD

0

0

Test Bank For Auditing A Practical Approach, 4th Edition by Moroney, Campbell, Hamilton
View Document

Test Bank For Auditing A Practical Approach, 4th Edition by Moroney, Campbell, Hamilton

  • mentor2000

    mentor2000

  • exam

Test Bank For Auditing A Practical Approach, 4th Edition by Moroney, Campbell, Hamilton...

15 USD

0

0

Test Bank For Auditing A Practical Approach With Data Analytics By Hamilton
View Document

Test Bank For Auditing A Practical Approach With Data Analytics By Hamilton

  • mentor2000

    mentor2000

  • exam

Test Bank For Auditing A Practical Approach With Data Analytics By Hamilton...

15 USD

0

0

HESI EXIT Questions and Answers Test Bank (Latest Study Guide)
View Document

HESI EXIT Questions and Answers Test Bank (Latest Study Guide)

  • mentor2000

    mentor2000

  • exam

HESI EXIT Questions and Answers Test Bank (Latest Study Guide 2025) A client receives a new prescription for simvastatin...

15 USD

0

1

Dental Management of the Medically Compromised Patient 9th Edition Little Test Bank
View Document

Dental Management of the Medically Compromised Patient 9th Edition Little Test Bank

  • mentor2000

    mentor2000

  • exam

Dental Management of the Medically Compromised Patient 9th Edition Little Test Bank...

12 USD

0

0

ATI Capstone Med Surg Exam Test Bank Latest Update
View Document

ATI Capstone Med Surg Exam Test Bank Latest Update

  • mentor2000

    mentor2000

  • exam

ATI Capstone Med Surg Exam Test Bank Latest Update...

15 USD

0

0

Test Bank For Gerontological Nursing, 9th Edition by Charlotte Eliopoulos
View Document

Test Bank For Gerontological Nursing, 9th Edition by Charlotte Eliopoulos

  • mentor2000

    mentor2000

  • test bank

Test Bank For Gerontological Nursing, 9th Edition by Charlotte Eliopoulos...

15 USD

0

0

COMPLETE TEST BANK FOR FOCUS ON NURSING PHARMACOLOGY 7TH EDITION BY KARCH
View Document

COMPLETE TEST BANK FOR FOCUS ON NURSING PHARMACOLOGY 7TH EDITION BY KARCH

  • tutorvalentine

    tutorvalentine

  • test bank

COMPLETE TEST BANK FOR FOCUS ON NURSING PHARMACOLOGY 7TH EDITION BY KARCH – Download PDF...

15 USD

0

0

COMPLETE TEST BANK FOR EVIDENCE-BASED PRACTICE FOR NURSES, 2ND EDITION, BY NOLA A. SCHMIDT, JANET M. BROWN
View Document

COMPLETE TEST BANK FOR EVIDENCE-BASED PRACTICE FOR NURSES, 2ND EDITION, BY NOLA A. SCHMIDT, JANET M. BROWN

  • tutor_gesco

    tutor_gesco

  • test bank

COMPLETE TEST BANK FOR EVIDENCE-BASED PRACTICE FOR NURSES, 2ND EDITION, BY NOLA A. SCHMIDT, JANET M. BROWN – Download ...

15 USD

0

0

Dewits Fundamental Concepts And Skills For Nursing 5th Edition Williams Test Bank
View Document

Dewits Fundamental Concepts And Skills For Nursing 5th Edition Williams Test Bank

  • Yna

    Yna

  • test bank

Dewits Fundamental Concepts And Skills For Nursing 5th Edition Williams Test Bank – Download PDF...

12 USD

0

0

TEST BANK FOR FOR GERONTOLOGICAL NURSING COMPETENCIES FOR CARE, 2ND EDITION, KRISTEN L MAUK
View Document

TEST BANK FOR FOR GERONTOLOGICAL NURSING COMPETENCIES FOR CARE, 2ND EDITION, KRISTEN L MAUK

  • Angelicer

    Angelicer

  • test bank

TEST BANK FOR FOR GERONTOLOGICAL NURSING COMPETENCIES FOR CARE, 2ND EDITION, KRISTEN L MAUK – Download PDF...

17 USD

0

0

TEST BANK FOR FOCUS ON NURSING PHARMACOLOGY 7TH EDITION BY KARCH..
View Document

TEST BANK FOR FOCUS ON NURSING PHARMACOLOGY 7TH EDITION BY KARCH..

  • Angelicer

    Angelicer

  • test bank

TEST BANK FOR FOCUS ON NURSING PHARMACOLOGY 7TH EDITION BY KARCH.. – Download PDF...

17 USD

0

0

Test Bank for Evidence-Based Practice for Nurses, 4th Edition, By Nola A. Schmidt, Janet M. Brown
View Document

Test Bank for Evidence-Based Practice for Nurses, 4th Edition, By Nola A. Schmidt, Janet M. Brown

  • Angelicer

    Angelicer

  • test bank

Test Bank for Evidence-Based Practice for Nurses, 4th Edition, By Nola A. Schmidt, Janet M. Brown – Download PDF...

17 USD

0

0

TEST BANK FOR ETHICS AND LAW IN DENTAL HYGIENE 3RD EDITION BY BEEMSTERBOER..
View Document

TEST BANK FOR ETHICS AND LAW IN DENTAL HYGIENE 3RD EDITION BY BEEMSTERBOER..

  • Angelicer

    Angelicer

  • test bank

TEST BANK FOR ETHICS AND LAW IN DENTAL HYGIENE 3RD EDITION BY BEEMSTERBOER.. – Download PDF...

15 USD

0

0

Test Bank for Essentials of Biological Anthropology 4th Edition by Larsen.
View Document

Test Bank for Essentials of Biological Anthropology 4th Edition by Larsen.

  • Angelicer

    Angelicer

  • test bank

Test Bank for Essentials of Biological Anthropology 4th Edition by Larsen. – Download PDF...

17 USD

0

0

Test Bank for Essentials for Nursing Practice, 9th Edition : Patricia A. Potter, Anne G. Perry, Patricia A. Stockert, Amy Hall (Verified PDF)
View Document

Test Bank for Essentials for Nursing Practice, 9th Edition : Patricia A. Potter, Anne G. Perry, Patricia A. Stockert, Amy Hall (Verified PDF)

  • Angelicer

    Angelicer

  • test bank

Download the Essentials for Nursing Practice 9th Edition Test Bank (Potter, Perry, Stockert & Hall). Verified NCLEX, HES...

15 USD

0

1

Test Bank for The Economy Today Bradley Schiller 13th edition
View Document

Test Bank for The Economy Today Bradley Schiller 13th edition

  • Gorski

    Gorski

  • exam

Test Bank for The Economy Today Bradley Schiller 13th edition...

15 USD

0

0

Test Bank for Leadership and Management for Nurses 3rd Edition by Finkelman
View Document

Test Bank for Leadership and Management for Nurses 3rd Edition by Finkelman

  • Gorski

    Gorski

  • exam

Test Bank for Leadership and Management for Nurses 3rd Edition by Finkelman...

15 USD

0

0

Test Bank for Immunology and Serology in Laboratory Medicine 6th Edition by Turgeon
View Document

Test Bank for Immunology and Serology in Laboratory Medicine 6th Edition by Turgeon

  • Gorski

    Gorski

  • exam

Test Bank for Immunology and Serology in Laboratory Medicine 6th Edition by Turgeon...

15 USD

0

0

Test Bank for Bailey and Scotts Diagnostic Microbiology 14th Edition by Tille
View Document

Test Bank for Bailey and Scotts Diagnostic Microbiology 14th Edition by Tille

  • Gorski

    Gorski

  • exam

Test Bank for Bailey and Scotts Diagnostic Microbiology 14th Edition by Tille...

15 USD

0

0

PSYCHIATRIC MENTAL HEALTH NURSING 9TH EDITION TOWNSEND TEST BANK |Test Bank - Psychiatric Mental Health Nursing by Mary Townsend (9th Edition, 2017)
View Document

PSYCHIATRIC MENTAL HEALTH NURSING 9TH EDITION TOWNSEND TEST BANK |Test Bank - Psychiatric Mental Health Nursing by Mary Townsend (9th Edition, 2017)

  • evekendra3

    evekendra3

  • test bank

PSYCHIATRIC MENTAL HEALTH NURSING 9TH EDITION TOWNSEND TEST BANK |Test Bank - Psychiatric Mental Health Nursing by Mary ...

14 USD

0

0

Test Bank For Integrated Business Processes With ERP Systems 1st Edition by Simha R. Magal (Author), Jeffrey Word (Author)
View Document

Test Bank For Integrated Business Processes With ERP Systems 1st Edition by Simha R. Magal (Author), Jeffrey Word (Author)

  • studypal

    studypal

  • test bank

Test Bank For Integrated Business Processes With ERP Systems 1st Edition by Simha R. Magal (Author), Jeffrey Word (Autho...

15 USD

0

1

Test Bank - Psychiatric Mental Health Nursing by Mary Townsend 9th Edition [All 38 Chapters fully covered]
View Document

Test Bank - Psychiatric Mental Health Nursing by Mary Townsend 9th Edition [All 38 Chapters fully covered]

  • studypal

    studypal

  • test bank

Comprehensive test bank for Psychiatric Mental Health Nursing by Mary Townsend (9th Edition), featuring NCLEX-style ques...

15 USD

0

0

Test Bank: Drugs Behaviour and Society, 3rd Canadian Edition, Carl L. Hart, Charles J. Ksir, Andrea Hebb, Robert Gilbert
View Document

Test Bank: Drugs Behaviour and Society, 3rd Canadian Edition, Carl L. Hart, Charles J. Ksir, Andrea Hebb, Robert Gilbert

  • mentor2000

    mentor2000

  • test bank

Test Bank: Drugs Behaviour and Society, 3rd Canadian Edition, Carl L. Hart, Charles J. Ksir, Andrea Hebb, Robert Gilbert...

15 USD

0

0

Campbell Biology Test Bank, 11 edition Complete test Bank all chapters covered
View Document

Campbell Biology Test Bank, 11 edition Complete test Bank all chapters covered

  • ExpertGirl

    ExpertGirl

  • test bank

Campbell Biology Test Bank, 11 edition Complete test Bank all chapters covered – Download PDF...

14 USD

0

0

Test Bank For Information Technology Project Management, 9th Edition by Kathy Schwalbe
View Document

Test Bank For Information Technology Project Management, 9th Edition by Kathy Schwalbe

  • mentor2000

    mentor2000

  • test bank

Test Bank For Information Technology Project Management, 9th Edition by Kathy Schwalbe...

15 USD

0

0

Test bank Hacker & Moore’s Essentials of Obstetrics and Gynecology 6th Edition
View Document

Test bank Hacker & Moore’s Essentials of Obstetrics and Gynecology 6th Edition

  • tutor_gesco

    tutor_gesco

  • exam

Test bank Hacker & Moore’s Essentials of Obstetrics and Gynecology 6th Edition – Download PDF...

15 USD

0

1

Test Bank for Psychiatric Nursing 8th Ed by Keltner
View Document

Test Bank for Psychiatric Nursing 8th Ed by Keltner

  • tutor_gesco

    tutor_gesco

  • exam

Master Psychiatric Nursing with Keltner’s 8th Edition Test Bank – Your Ultimate Study Companion"...

15 USD

0

0

Introduction to Clinical Pharmacology 10th Edition Test Bank Visovsky
View Document

Introduction to Clinical Pharmacology 10th Edition Test Bank Visovsky

  • tutor_gesco

    tutor_gesco

  • exam

Introduction to Clinical Pharmacology 10th Edition Test Bank Visovsky – Download PDF...

12 USD

0

1

Business Data Communications and Networking, 13th Edition by FitzGerald Test Bank
View Document

Business Data Communications and Networking, 13th Edition by FitzGerald Test Bank

  • mentor2000

    mentor2000

  • test bank

Business Data Communications and Networking, 13th Edition by FitzGerald Test Bank...

12 USD

0

0

Test Bank for Principles of Management and Organizational Behavior by Bauer & Erdogan Chapter 1-15 Complete [Questions and Answers]
View Document

Test Bank for Principles of Management and Organizational Behavior by Bauer & Erdogan Chapter 1-15 Complete [Questions and Answers]

  • studypal

    studypal

  • test bank

Test Bank for Principles of Management and Organizational Behavior by Bauer & Erdogan Chapter 1-15 Complete [Questions a...

15 USD

0

0

Test Bank for A Topical Approach to Lifespan Development 10th Edition By John Santrock
View Document

Test Bank for A Topical Approach to Lifespan Development 10th Edition By John Santrock

  • Angelicer

    Angelicer

  • test bank

Prepare for exams with the Test Bank for A Topical Approach to Lifespan Development, 10th Edition by John Santrock. This...

15 USD

0

0

Test Bank for Coyle Supply Chain Management A Logistics Perspective, 9th Edition
View Document

Test Bank for Coyle Supply Chain Management A Logistics Perspective, 9th Edition

  • studypal

    studypal

  • test bank

Test Bank for Coyle Supply Chain Management A Logistics Perspective, 9th Edition...

15 USD

0

1

Primary Care: A Collaborative Practice 5th Edition Buttaro Test Bank
View Document

Primary Care: A Collaborative Practice 5th Edition Buttaro Test Bank

  • tutor_gesco

    tutor_gesco

  • test bank

Primary Care: A Collaborative Practice 5th Edition Buttaro Test Bank – Download PDF...

17 USD

0

6

Test Bank Nursing Research, Methods and Critical Appraisal for Evidence-Based Practice, 9th Edition, Geri LoBiondo-Wood, Judith Haber
View Document

Test Bank Nursing Research, Methods and Critical Appraisal for Evidence-Based Practice, 9th Edition, Geri LoBiondo-Wood, Judith Haber

  • tutor_gesco

    tutor_gesco

  • test bank

Test Bank Nursing Research, Methods and Critical Appraisal for Evidence-Based Practice, 9th Edition, Geri LoBiondo-Wood,...

15 USD

0

0

Test Bank for Understanding Nutrition, 15th Edition, Ellie Whitney, Sharon Rady Rolfes
View Document

Test Bank for Understanding Nutrition, 15th Edition, Ellie Whitney, Sharon Rady Rolfes

  • tutor_gesco

    tutor_gesco

  • test bank

Get exam-ready with the Understanding Nutrition 15e Test Bank. Chapter-by-chapter practice questions for higher scores. ...

15 USD

0

0

Test Bank For Strategic Management, Concepts and Cases 3rd Edition By Jeffrey H. Dyer, Paul Godfrey, Robert Jensen, David Bryce
View Document

Test Bank For Strategic Management, Concepts and Cases 3rd Edition By Jeffrey H. Dyer, Paul Godfrey, Robert Jensen, David Bryce

  • tutor_gesco

    tutor_gesco

  • test bank

Test Bank For Strategic Management, Concepts and Cases 3rd Edition By Jeffrey H. Dyer, Paul Godfrey, Robert Jensen, Davi...

15 USD

0

3

Test Bank for Nursing Research 9th Edition By LoBiondo-Wood
View Document

Test Bank for Nursing Research 9th Edition By LoBiondo-Wood

  • tutor_gesco

    tutor_gesco

  • test bank

Test Bank for Nursing Research 9th Edition By LoBiondo-Wood – Download PDF...

15 USD

0

0

Test Bank for Essentials of Psychiatric Mental Health Nursing 8th Edition Morgan
View Document

Test Bank for Essentials of Psychiatric Mental Health Nursing 8th Edition Morgan

  • tutor_gesco

    tutor_gesco

  • test bank

Test Bank for Essentials of Psychiatric Mental Health Nursing 8th Edition Morgan – Download PDF...

15 USD

0

0

Test Bank for Essential Cell Biology 5th edition by Alberts
View Document

Test Bank for Essential Cell Biology 5th edition by Alberts

  • tutor_gesco

    tutor_gesco

  • test bank

Test Bank for Essential Cell Biology 5th edition by Alberts – Download PDF...

15 USD

0

0

Test Bank For Chemistry Zumdahl 9th edition
View Document

Test Bank For Chemistry Zumdahl 9th edition

  • tutor_gesco

    tutor_gesco

  • test bank

Test Bank For Chemistry Zumdahl 9th edition – Download PDF...

15 USD

0

0

Test Bank For AP Chemistry Zumdahl 9th edition
View Document

Test Bank For AP Chemistry Zumdahl 9th edition

  • tutor_gesco

    tutor_gesco

  • test bank

Test Bank For AP Chemistry Zumdahl 9th edition – Download PDF...

15 USD

0

0

Test Bank for Basic and Applied Concepts of Blood Banking and Transfusion Practices 5th Edition by Howard
View Document

Test Bank for Basic and Applied Concepts of Blood Banking and Transfusion Practices 5th Edition by Howard

  • GradeA

    GradeA

  • test bank

Test Bank for Basic and Applied Concepts of Blood Banking and Transfusion Practices 5th Edition by Howard...

12 USD

0

0

Test Bank For Introduction to Leadership Concepts and Practice 5th Edition By Peter G. Northouse
View Document

Test Bank For Introduction to Leadership Concepts and Practice 5th Edition By Peter G. Northouse

  • GradeA

    GradeA

  • test bank

Test Bank For Introduction to Leadership Concepts and Practice 5th Edition By Peter G. Northouse – Download PDF...

12 USD

0

0

Test bank Memmler’s The Human Body in Health and Disease 14th Edition Cohen Hull
View Document

Test bank Memmler’s The Human Body in Health and Disease 14th Edition Cohen Hull

  • tutor_gesco

    tutor_gesco

  • exam

Ace your A&P exams with the Test Bank for Memmler’s The Human Body in Health and Disease, 14th Edition by Cohen & Hull...

15 USD

0

0

Test Bank for Kaplan and Sadock’s Synopsis of Psychiatry 11th Edition Sadock
View Document

Test Bank for Kaplan and Sadock’s Synopsis of Psychiatry 11th Edition Sadock

  • tutor_gesco

    tutor_gesco

  • exam

Get the Test Bank for Kaplan and Sadock’s Synopsis of Psychiatry, 11th Edition by Sadock. Includes all chapters with d...

16 USD

0

0

Test Bank for Campbell Biology 12th Edition :The Ultimate Study Companion by Urry
View Document

Test Bank for Campbell Biology 12th Edition :The Ultimate Study Companion by Urry

  • tutor_gesco

    tutor_gesco

  • exam

Test Bank for Campbell Biology, 12th Edition by Urry – 55 chapters, detailed explanations, and NCLEX-style exam questi...

16 USD

0

3

Merrills Atlas of Radiographic Positioning and Procedures 14th Edition Long Test Bank
View Document

Merrills Atlas of Radiographic Positioning and Procedures 14th Edition Long Test Bank

  • tutor_gesco

    tutor_gesco

  • exam

Merrills Atlas of Radiographic Positioning and Procedures 14th Edition Long Test Bank...

15 USD

0

0

Mastering Competencies in Family Therapy 3rd Edition Gehart Test Bank
View Document

Mastering Competencies in Family Therapy 3rd Edition Gehart Test Bank

  • tutor_gesco

    tutor_gesco

  • exam

Mastering Competencies in Family Therapy 3rd Edition Gehart Test Bank...

12 USD

0

0

Mastering Competencies in Family Therapy 2nd Edition Gehart Test Bank
View Document

Mastering Competencies in Family Therapy 2nd Edition Gehart Test Bank

  • tutor_gesco

    tutor_gesco

  • exam

Mastering Competencies in Family Therapy 2nd Edition Gehart Test Bank...

12 USD

0

0

Current Diagnosis and Treatment Obstetrics and Gynecology 12th Edition Alan Test Bank
View Document

Current Diagnosis and Treatment Obstetrics and Gynecology 12th Edition Alan Test Bank

  • tutor_gesco

    tutor_gesco

  • exam

Test Bank for Current Diagnosis and Treatment Obstetrics and Gynecology 12th Edition Alan...

12 USD

0

0

Test Bank: Anatomy and Physiology the Unity of Form and Function 10th Edition Saladin
View Document

Test Bank: Anatomy and Physiology the Unity of Form and Function 10th Edition Saladin

  • tutor_gesco

    tutor_gesco

  • exam

Get the Test Bank for Anatomy and Physiology: The Unity of Form and Function 10th Edition by Saladin. Access detailed, e...

15 USD

0

0

Test Bank (AIS) Accounting information systems 11th edition bodnar, Hopwood All Chapters Covered [1-14]
View Document

Test Bank (AIS) Accounting information systems 11th edition bodnar, Hopwood All Chapters Covered [1-14]

  • studypal

    studypal

  • test bank

Test Bank (AIS) Accounting information systems 11th edition bodnar, Hopwood All Chapters Covered [1-14]...

15 USD

0

0

Accounting Information Systems 2nd Edition Richardson Test Bank (Chapter 1-16) COMPLETE TEST BANK.
View Document

Accounting Information Systems 2nd Edition Richardson Test Bank (Chapter 1-16) COMPLETE TEST BANK.

  • studypal

    studypal

  • test bank

Accounting Information Systems 2nd Edition Richardson Test Bank (Chapter 1-16) COMPLETE TEST BANK....

15 USD

0

0

Introductory Maternity and Pediatric Nursing 4th Edition Hatfield Test Bank (Chapter 1-40) COMPLETE TEST BANK
View Document

Introductory Maternity and Pediatric Nursing 4th Edition Hatfield Test Bank (Chapter 1-40) COMPLETE TEST BANK

  • studypal

    studypal

  • test bank

Introductory Maternity and Pediatric Nursing 4th Edition Hatfield Test Bank (Chapter 1-40) COMPLETE TEST BANK...

14 USD

0

0

Test Bank for Operations And Supply Chain Management 13th Edition By F. Robert Jacobs And Richard B. Chase (Chapter 1-14 with Answer keys)
View Document

Test Bank for Operations And Supply Chain Management 13th Edition By F. Robert Jacobs And Richard B. Chase (Chapter 1-14 with Answer keys)

  • studypal

    studypal

  • test bank

Test Bank for Operations And Supply Chain Management 13th Edition By F. Robert Jacobs And Richard B. Chase (Chapter 1-14...

11 USD

0

0

Test Bank for Nursing Now: Today’s Issues Tomorrows Trends 8th Edition Catalano
View Document

Test Bank for Nursing Now: Today’s Issues Tomorrows Trends 8th Edition Catalano

  • studypal

    studypal

  • test bank

Test Bank for Nursing Now: Today’s Issues Tomorrows Trends 8th Edition Catalano...

18 USD

0

0

NCSBN TEST BANK 2021 |for NCLEX-RN & NCLEX-PN | Q&A with Rationales
View Document

NCSBN TEST BANK 2021 |for NCLEX-RN & NCLEX-PN | Q&A with Rationales

  • studypal

    studypal

  • ati

NCSBN TEST BANK 2021 |for NCLEX-RN & NCLEX-PN | Q&A with Rationales...

14 USD

0

0

Test Bank for Potters Fundamentals of Nursing, 9th Edition (All Chapters Covered) COMPLETE TEST BANK
View Document

Test Bank for Potters Fundamentals of Nursing, 9th Edition (All Chapters Covered) COMPLETE TEST BANK

  • studypal

    studypal

  • test bank

Test Bank for Potters Fundamentals of Nursing, 9th Edition (All Chapters Covered) COMPLETE TEST BANK...

14 USD

0

0

Pediatric Nursing The Critical Components of Nursing Care 2nd Edition Rudd Test Bank, All 22 chapters covered. COMPLETE TEST BANK
View Document

Pediatric Nursing The Critical Components of Nursing Care 2nd Edition Rudd Test Bank, All 22 chapters covered. COMPLETE TEST BANK

  • studypal

    studypal

  • test bank

Pediatric Nursing The Critical Components of Nursing Care 2nd Edition Rudd Test Bank, All 22 chapters covered. COMPLETE ...

15 USD

0

0

Test Bank for Linton Medical Surgical Nursing, 7th Edition Linton Medical-Surgical Nursing, 7th Edition Test Bank All 63 chapters covered
View Document

Test Bank for Linton Medical Surgical Nursing, 7th Edition Linton Medical-Surgical Nursing, 7th Edition Test Bank All 63 chapters covered

  • studypal

    studypal

  • test bank

Test Bank for Linton Medical Surgical Nursing, 7th Edition Linton Medical-Surgical Nursing, 7th Edition Test Bank All 63...

15 USD

0

0

Test Bank For Business Essentials, 12th Edition. Ronald J. Ebert. Ricky W. Griffin
View Document

Test Bank For Business Essentials, 12th Edition. Ronald J. Ebert. Ricky W. Griffin

  • harrie

    harrie

  • exam

Test Bank For Business Essentials, 12th Edition. Ronald J. Ebert. Ricky W. Griffin...

15 USD

0

0

Operations and Supply Chain Management by F. Robert Jacobs and Richard B. Chase Test bank
View Document

Operations and Supply Chain Management by F. Robert Jacobs and Richard B. Chase Test bank

  • harrie

    harrie

  • exam

Operations and Supply Chain Management by F. Robert Jacobs and Richard B. Chase Test bank...

10 USD

0

0

MAS Basic Concepts Bobadilla Management Accounting Test Bank.
View Document

MAS Basic Concepts Bobadilla Management Accounting Test Bank.

  • harrie

    harrie

  • exam

MAS Basic Concepts Bobadilla Management Accounting Test Bank....

9 USD

0

0

Operations and Supply Chain Management by F. Robert Jacobs and Richard B. Chase Test bank.
View Document

Operations and Supply Chain Management by F. Robert Jacobs and Richard B. Chase Test bank.

  • harrie

    harrie

  • exam

Operations and Supply Chain Management by F. Robert Jacobs and Richard B. Chase Test bank....

12 USD

0

0

Brunner & Suddarths Textbook of Medical-Surgical Nursing  14th Edition Author(s) Janice L Hinkle, Kerry H. Cheever Test Bank (All Chapters)
View Document

Brunner & Suddarths Textbook of Medical-Surgical Nursing 14th Edition Author(s) Janice L Hinkle, Kerry H. Cheever Test Bank (All Chapters)

  • GradeA

    GradeA

  • test bank

Brunner & Suddarths Textbook of Medical-Surgical Nursing 14th Edition Author(s) Janice L Hinkle, Kerry H. Cheever Test ...

12 USD

0

0

Test Bank Brunner & Suddarths Textbook of Medical-Surgical Nursing :15th Edition
View Document

Test Bank Brunner & Suddarths Textbook of Medical-Surgical Nursing :15th Edition

  • GradeA

    GradeA

  • test bank

Test Bank - Brunner & Suddarth's Textbook of Medical-Surgical Nursing helps you ace exams. Get instant access & boost yo...

15 USD

0

7

Psychiatric-Mental Health Nursing 8th edition by Videbeck Test Bank All 24 Chapters covered.
View Document

Psychiatric-Mental Health Nursing 8th edition by Videbeck Test Bank All 24 Chapters covered.

  • studypal

    studypal

  • test bank

Psychiatric-Mental Health Nursing 8th edition by Videbeck Test Bank All 24 Chapters covered....

15 USD

0

0

Test Bank Maternal Child Nursing Care by Perry 6th Edition Chapter 1-49 Complete test bank.
View Document

Test Bank Maternal Child Nursing Care by Perry 6th Edition Chapter 1-49 Complete test bank.

  • studypal

    studypal

  • test bank

Test Bank Maternal Child Nursing Care by Perry 6th Edition Chapter 1-49 Complete test bank....

14 USD

0

0

Varcarolis: Essentials of Psychiatric Mental Health Nursing: A Communication Approach to Evidence-Based Care, 4th Edition Test Bank| Essentials of Psychiatric Mental Health Nursing 4th Edition Varcarolis Nursing Test Banks
View Document

Varcarolis: Essentials of Psychiatric Mental Health Nursing: A Communication Approach to Evidence-Based Care, 4th Edition Test Bank| Essentials of Psychiatric Mental Health Nursing 4th Edition Varcarolis Nursing Test Banks

  • studypal

    studypal

  • test bank

Varcarolis: Essentials of Psychiatric Mental Health Nursing: A Communication Approach to Evidence-Based Care, 4th Editio...

15 USD

0

1

Contemporary Nursing Issues, Trends, and Management, 7th Edition Cherry & Jacob TEST BANK
View Document

Contemporary Nursing Issues, Trends, and Management, 7th Edition Cherry & Jacob TEST BANK

  • studypal

    studypal

  • test bank

Contemporary Nursing Issues, Trends, and Management, 7th Edition Cherry & Jacob TEST BANK – Download PDF...

17 USD

0

0

Advanced Practice Nursing Essential Knowledge for the Profession 3rd Edition Denisco Test Bank
View Document

Advanced Practice Nursing Essential Knowledge for the Profession 3rd Edition Denisco Test Bank

  • studypal

    studypal

  • test bank

Advanced Practice Nursing Essential Knowledge for the Profession 3rd Edition Denisco Test Bank...

15 USD

0

0

Maternity Newborn and Women’s Health Nursing A Case-Based Approach 1st Edition O’Meara Test Bank 585pages chapter 1-30 (Complete Test Bank)
View Document

Maternity Newborn and Women’s Health Nursing A Case-Based Approach 1st Edition O’Meara Test Bank 585pages chapter 1-30 (Complete Test Bank)

  • studypal

    studypal

  • test bank

Maternity Newborn and Women’s Health Nursing A Case-Based Approach 1st Edition O’Meara Test Bank 585pages chapter 1-...

20 USD

0

0

Test Bank for Communication Sciences and Disorders 3rd Edition by Justice
View Document

Test Bank for Communication Sciences and Disorders 3rd Edition by Justice

  • Eddah-Nafula

    Eddah-Nafula

  • test bank

Test Bank for Communication Sciences and Disorders 3rd Edition by Justice – Download PDF...

15 USD

0

0

Test Bank for Clinical Laboratory Urinalysis and Body Fluids by Stockwin
View Document

Test Bank for Clinical Laboratory Urinalysis and Body Fluids by Stockwin

  • Eddah-Nafula

    Eddah-Nafula

  • test bank

Test Bank for Clinical Laboratory Urinalysis and Body Fluids by Stockwin – Download PDF...

15 USD

0

0

Test Bank for Clinical Calculations 9th Edition by LeFever Kee
View Document

Test Bank for Clinical Calculations 9th Edition by LeFever Kee

  • Eddah-Nafula

    Eddah-Nafula

  • test bank

Test Bank for Clinical Calculations 9th Edition by LeFever Kee – Download PDF...

15 USD

0

0

Test Bank for Canadian Nursing Issues and Perspectives 6th Edition by McCleary
View Document

Test Bank for Canadian Nursing Issues and Perspectives 6th Edition by McCleary

  • Eddah-Nafula

    Eddah-Nafula

  • test bank

Test Bank for Canadian Nursing Issues and Perspectives 6th Edition by McCleary – Download PDF...

15 USD

0

1

Test Bank for Burns and Groves The Practice of Nursing Research 9th Edition by Gray
View Document

Test Bank for Burns and Groves The Practice of Nursing Research 9th Edition by Gray

  • Eddah-Nafula

    Eddah-Nafula

  • test bank

Test Bank for Burns and Groves The Practice of Nursing Research 9th Edition by Gray – Download PDF...

15 USD

0

0

Test Bank for Bontragers Textbook of Radiographic Positioning and Related Anatomy 10th Edition by Lampignano
View Document

Test Bank for Bontragers Textbook of Radiographic Positioning and Related Anatomy 10th Edition by Lampignano

  • Eddah-Nafula

    Eddah-Nafula

  • test bank

Test Bank for Bontragers Textbook of Radiographic Positioning and Related Anatomy 10th Edition by Lampignano – Downloa...

17 USD

0

3

Test Bank for Berry and Kohns Operating Room Technique 14th Edition by Phillips
View Document

Test Bank for Berry and Kohns Operating Room Technique 14th Edition by Phillips

  • Eddah-Nafula

    Eddah-Nafula

  • test bank

Test Bank for Berry and Kohns Operating Room Technique 14th Edition by Phillips – Download PDF...

15 USD

0

0

Test Bank for Basic and Applied Concepts of Blood Banking and Transfusion Practices 5th Edition Howard
View Document

Test Bank for Basic and Applied Concepts of Blood Banking and Transfusion Practices 5th Edition Howard

  • Eddah-Nafula

    Eddah-Nafula

  • test bank

Test Bank for Basic and Applied Concepts of Blood Banking and Transfusion Practices 5th Edition Howard – Download PDF...

15 USD

0

0

Test Bank for Bailey and Scotts Diagnostic Microbiology 15th Edition by Tille
View Document

Test Bank for Bailey and Scotts Diagnostic Microbiology 15th Edition by Tille

  • Eddah-Nafula

    Eddah-Nafula

  • test bank

Test Bank for Bailey and Scotts Diagnostic Microbiology 15th Edition by Tille – Download PDF...

17 USD

0

0

Contemporary Maternal-Newborn Nursing, 9e (Ladewig et al.) Test Bank.
View Document

Contemporary Maternal-Newborn Nursing, 9e (Ladewig et al.) Test Bank.

  • Eddah-Nafula

    Eddah-Nafula

  • test bank

Contemporary Maternal-Newborn Nursing, 9e (Ladewig et al.) Test Bank....

12 USD

0

0

Test Bank for Sales and Marketing 5th edition 932 pages Test covers all 19 chapters from actual textbook.
View Document

Test Bank for Sales and Marketing 5th edition 932 pages Test covers all 19 chapters from actual textbook.

  • studypal

    studypal

  • test bank

Test Bank for Sales and Marketing 5th edition 932 pages Test covers all 19 chapters from actual textbook....

15 USD

0

0

Medical Surgical Nursing 10th Edition Lewis Test Bank
View Document

Medical Surgical Nursing 10th Edition Lewis Test Bank

  • studypal

    studypal

  • book

Medical Surgical Nursing 10th Edition Lewis Test Bank...

14 USD

0

0

Test Bank, Openstax, Microbiology By Parker
View Document

Test Bank, Openstax, Microbiology By Parker

  • Eddah-Nafula

    Eddah-Nafula

  • exam

Test Bank, Openstax, Microbiology By Parker...

15 USD

0

0

Test Bank For Applied Pathophysiology A Conceptual Approach to the Mechanisms of Disease 3rd Edition Braun NUR 221
View Document

Test Bank For Applied Pathophysiology A Conceptual Approach to the Mechanisms of Disease 3rd Edition Braun NUR 221

  • Eddah-Nafula

    Eddah-Nafula

  • exam

Test Bank For Applied Pathophysiology A Conceptual Approach to the Mechanisms of Disease 3rd Edition Braun NUR 221 – D...

15 USD

0

0

Test Bank Focus on Nursing Pharmacology by Amy M. Karch
View Document

Test Bank Focus on Nursing Pharmacology by Amy M. Karch

  • Eddah-Nafula

    Eddah-Nafula

  • exam

Test Bank Focus on Nursing Pharmacology by Amy M. Karch – Download PDF...

15 USD

0

0

Test Bank Neuroscience Exploring the Brain 4th Edition by Bear (All chapters complete, Answer key listed at the end of every chapter)
View Document

Test Bank Neuroscience Exploring the Brain 4th Edition by Bear (All chapters complete, Answer key listed at the end of every chapter)

  • studypal

    studypal

  • test bank

Enhance your neuroscience study sessions with the Test Bank for Neuroscience: Exploring the Brain, 4th Edition by Bear. ...

15 USD

0

0

Advanced Practice Nursing  Essentials for Role Development 4th Edition Joel Test Bank
View Document

Advanced Practice Nursing Essentials for Role Development 4th Edition Joel Test Bank

  • studypal

    studypal

  • test bank

Advanced Practice Nursing Essentials for Role Development 4th Edition Joel Test Bank...

15 USD

0

0

Test Bank For Advanced Practice Nursing In The Care Of Older Adults 2nd Edition By Kennedy-Malone (Newly Updated, All Answers Highlighted, Easy To Download And Print)
View Document

Test Bank For Advanced Practice Nursing In The Care Of Older Adults 2nd Edition By Kennedy-Malone (Newly Updated, All Answers Highlighted, Easy To Download And Print)

  • studypal

    studypal

  • test bank

Test Bank For Advanced Practice Nursing In The Care Of Older Adults 2nd Edition By Kennedy-Malone (Newly Updated, All An...

15 USD

0

0

Halter: Varcarolis’ Foundations of Psychiatric Mental Health Nursing: A Clinical Approach, 8th Edition Test Bank
View Document

Halter: Varcarolis’ Foundations of Psychiatric Mental Health Nursing: A Clinical Approach, 8th Edition Test Bank

  • studypal

    studypal

  • test bank

Halter: Varcarolis’ Foundations of Psychiatric Mental Health Nursing: A Clinical Approach, 8th Edition Test Bank...

15 USD

0

0

Test Bank for Advanced Practice Nursing: Essential Knowledge for the Profession (3rd Edition) by DeNisco | All Chapters Covered | Verified & Updated
View Document

Test Bank for Advanced Practice Nursing: Essential Knowledge for the Profession (3rd Edition) by DeNisco | All Chapters Covered | Verified & Updated

  • studypal

    studypal

  • test bank

Download the complete test bank for Advanced Practice Nursing, 3rd Edition by Denise DeNisco. Includes comprehensive exa...

15 USD

0

0

Test Bank for McCuistion: Pharmacology: A Patient-Centered Nursing Process Approach, 10th Edition (Chapter 1-55) New Updated.
View Document

Test Bank for McCuistion: Pharmacology: A Patient-Centered Nursing Process Approach, 10th Edition (Chapter 1-55) New Updated.

  • studypal

    studypal

  • test bank

Test Bank for McCuistion: Pharmacology: A Patient-Centered Nursing Process Approach, 10th Edition (Chapter 1-55) New Upd...

15 USD

0

0

Current Medical Diagnosis and Treatment 2019 Test Bank
View Document

Current Medical Diagnosis and Treatment 2019 Test Bank

  • Angelicer

    Angelicer

  • test bank

Current Medical Diagnosis and Treatment 2019 Test Bank...

12 USD

0

0

ATI RN Pharmacology 8.0 Test Bank 2020 | ATI RN Pharmacology 8.0 Test Bank 49 CHAPTERS - NEW.
View Document

ATI RN Pharmacology 8.0 Test Bank 2020 | ATI RN Pharmacology 8.0 Test Bank 49 CHAPTERS - NEW.

  • studypal

    studypal

  • ati

ATI RN Pharmacology 8.0 Test Bank 2020 | ATI RN Pharmacology 8.0 Test Bank 49 CHAPTERS - NEW....

15 USD

0

1

Test Bank for Leadership Theory and Practice 8th edition, Northouse.
View Document

Test Bank for Leadership Theory and Practice 8th edition, Northouse.

  • studypal

    studypal

  • test bank

Test Bank for Leadership Theory and Practice 8th edition, Northouse....

15 USD

0

0

Test Bank For Visualizing Geology 4th Edition Murck
View Document

Test Bank For Visualizing Geology 4th Edition Murck

  • mentor2000

    mentor2000

  • test bank

Test Bank For Visualizing Geology 4th Edition Murck...

15 USD

0

0

Test Bank For Strategic Management 17th Edition David
View Document

Test Bank For Strategic Management 17th Edition David

  • mentor2000

    mentor2000

  • test bank

Test Bank For Strategic Management 17th Edition David...

15 USD

0

0

Test Bank For Skills in Clinical Nursing 9th Edition Berman
View Document

Test Bank For Skills in Clinical Nursing 9th Edition Berman

  • mentor2000

    mentor2000

  • test bank

Test Bank For Skills in Clinical Nursing 9th Edition Berman...

15 USD

0

0

Test Bank For Grammar and Writing Skills for the Health Professional 3rd Edition Oberg
View Document

Test Bank For Grammar and Writing Skills for the Health Professional 3rd Edition Oberg

  • mentor2000

    mentor2000

  • test bank

Test Bank For Grammar and Writing Skills for the Health Professional 3rd Edition Oberg...

15 USD

0

0

Test Bank For Dimensional Analysis, Calculating Dosages Safely 2nd Edition Horntvedt
View Document

Test Bank For Dimensional Analysis, Calculating Dosages Safely 2nd Edition Horntvedt

  • mentor2000

    mentor2000

  • test bank

Test Bank For Dimensional Analysis, Calculating Dosages Safely 2nd Edition Horntvedt...

15 USD

0

0

Test Bank For Davis Advantage For Fundamentals Of Nursing (2 Volume Set) 4th Edition Wilkinson
View Document

Test Bank For Davis Advantage For Fundamentals Of Nursing (2 Volume Set) 4th Edition Wilkinson

  • mentor2000

    mentor2000

  • test bank

Boost your nursing knowledge with the Test Bank for Davis Advantage for Fundamentals of Nursing, 4th Edition (2-Volume S...

15 USD

0

0

Test Bank For American Government Power and Purpose Brief 13th Edition Lowi
View Document

Test Bank For American Government Power and Purpose Brief 13th Edition Lowi

  • mentor2000

    mentor2000

  • test bank

Test Bank For American Government Power and Purpose Brief 13th Edition Lowi...

15 USD

0

0

TEST BANK OF MEDICAL SURGICAL NURSING IGNATAVICIUS 7TH EDITION
View Document

TEST BANK OF MEDICAL SURGICAL NURSING IGNATAVICIUS 7TH EDITION

  • Angelicer

    Angelicer

  • exam

TEST BANK OF MEDICAL SURGICAL NURSING IGNATAVICIUS 7TH EDITION – Download PDF...

15 USD

0

0

TEST BANK FORUNDERSTANDING PATHOPHYSIOLOGY 6TH EDITION
View Document

TEST BANK FORUNDERSTANDING PATHOPHYSIOLOGY 6TH EDITION

  • Angelicer

    Angelicer

  • exam

TEST BANK FORUNDERSTANDING PATHOPHYSIOLOGY 6TH EDITION – Download PDF...

15 USD

0

0

TEST BANK FOR UNDERSTANDING PSYCHOLOGY 9TH EDITION BY MORIS
View Document

TEST BANK FOR UNDERSTANDING PSYCHOLOGY 9TH EDITION BY MORIS

  • Angelicer

    Angelicer

  • exam

TEST BANK FOR UNDERSTANDING PSYCHOLOGY 9TH EDITION BY MORIS – Download PDF...

15 USD

0

0

TEST BANK FOR UNDERSTANDING ABNORMAL BEHAVIOURS 1OTH EDITION SUE SUE
View Document

TEST BANK FOR UNDERSTANDING ABNORMAL BEHAVIOURS 1OTH EDITION SUE SUE

  • Angelicer

    Angelicer

  • exam

TEST BANK FOR UNDERSTANDING ABNORMAL BEHAVIOURS 1OTH EDITION SUE SUE – Download PDF...

15 USD

0

0

TEST BANK FOR THE PRACTICE OF NURSING RESEARCH 7TH EDITION
View Document

TEST BANK FOR THE PRACTICE OF NURSING RESEARCH 7TH EDITION

  • Angelicer

    Angelicer

  • exam

TEST BANK FOR THE PRACTICE OF NURSING RESEARCH 7TH EDITION – Download PDF...

15 USD

0

0

TEST BANK FOR RUPPEL’S MANUAL OF PULMONARY FUNCTION TESTING 11TH EDITION
View Document

TEST BANK FOR RUPPEL’S MANUAL OF PULMONARY FUNCTION TESTING 11TH EDITION

  • Angelicer

    Angelicer

  • exam

TEST BANK FOR RUPPEL’S MANUAL OF PULMONARY FUNCTION TESTING 11TH EDITION – Download PDF...

15 USD

0

0

Test Bank for Psychological Testing Principles Applications and Issues 8th Edition by Kaplan
View Document

Test Bank for Psychological Testing Principles Applications and Issues 8th Edition by Kaplan

  • Angelicer

    Angelicer

  • exam

Test Bank for Psychological Testing Principles Applications and Issues 8th Edition by Kaplan – Download PDF...

15 USD

0

0

TEST BANK FOR PHYSICAL EXAMINATION AND HEATH ASSESMENT 8TH EDITOION BY JARVIS
View Document

TEST BANK FOR PHYSICAL EXAMINATION AND HEATH ASSESMENT 8TH EDITOION BY JARVIS

  • Angelicer

    Angelicer

  • exam

TEST BANK FOR PHYSICAL EXAMINATION AND HEATH ASSESMENT 8TH EDITOION BY JARVIS – Download PDF...

15 USD

0

0

TEST BANK FOR PHARMACOLOGY OF NURSING 8TH EDITION
View Document

TEST BANK FOR PHARMACOLOGY OF NURSING 8TH EDITION

  • Angelicer

    Angelicer

  • exam

TEST BANK FOR PHARMACOLOGY OF NURSING 8TH EDITION – Download PDF...

15 USD

0

0

TEST BANK FOR PHARMACOLOGY AND THE NURSING PROCESS 9TH EDITION BY LILLEY
View Document

TEST BANK FOR PHARMACOLOGY AND THE NURSING PROCESS 9TH EDITION BY LILLEY

  • Angelicer

    Angelicer

  • exam

TEST BANK FOR PHARMACOLOGY AND THE NURSING PROCESS 9TH EDITION BY LILLEY – Download PDF...

15 USD

0

0

TEST BANK FOR PEDIATRIC NURSING THE CRITICAL COMPONENTS OF NURSING CARE 2ND EDITION  BY RUDD
View Document

TEST BANK FOR PEDIATRIC NURSING THE CRITICAL COMPONENTS OF NURSING CARE 2ND EDITION BY RUDD

  • Angelicer

    Angelicer

  • exam

TEST BANK FOR PEDIATRIC NURSING THE CRITICAL COMPONENTS OF NURSING CARE 2ND EDITION BY RUDD – Download PDF...

15 USD

0

0

TEST BANK FOR PATHOPHYSIOLOGY 8TH EDITION THE BIOLOGIC BASIS FOR DISEASE IN ADULTS AND CHILDREN BY Kathryn L. McCance, Sue E. Huether
View Document

TEST BANK FOR PATHOPHYSIOLOGY 8TH EDITION THE BIOLOGIC BASIS FOR DISEASE IN ADULTS AND CHILDREN BY Kathryn L. McCance, Sue E. Huether

  • Angelicer

    Angelicer

  • exam

TEST BANK FOR PATHOPHYSIOLOGY 8TH EDITION THE BIOLOGIC BASIS FOR DISEASE IN ADULTS AND CHILDREN BY Kathryn L. McCance, S...

15 USD

0

0

Test Bank For Community and Public Health Nursing-3rd Edition DeMarco Walsh
View Document

Test Bank For Community and Public Health Nursing-3rd Edition DeMarco Walsh

  • Angelicer

    Angelicer

  • exam

Test Bank For Community and Public Health Nursing-3rd Edition DeMarco Walsh – Download PDF...

15 USD

0

0

TEST BANK FOR ALCANO’S FUNDAMENTALS OF MICROBIOLOGY 9TH EDITION..
View Document

TEST BANK FOR ALCANO’S FUNDAMENTALS OF MICROBIOLOGY 9TH EDITION..

  • Angelicer

    Angelicer

  • exam

TEST BANK FOR ALCANO’S FUNDAMENTALS OF MICROBIOLOGY 9TH EDITION.. – Download PDF...

15 USD

0

0

Test Bank for Roachs Introductory Clinical Pharmacology 11th Edition by Ford MN RN CNE, Susan M.
View Document

Test Bank for Roachs Introductory Clinical Pharmacology 11th Edition by Ford MN RN CNE, Susan M.

  • studypal

    studypal

  • test bank

Test Bank for Roachs Introductory Clinical Pharmacology 11th Edition by Ford MN RN CNE, Susan M....

15 USD

0

0

Test Bank Anatomy & Physiology Fourth Edition Elaine N. Marieb Katja Hoehn Test Bank adapted from the Human Anatomy & Physiology, Eighth Edition Test Bank by Jerri K. Lindsey.
View Document

Test Bank Anatomy & Physiology Fourth Edition Elaine N. Marieb Katja Hoehn Test Bank adapted from the Human Anatomy & Physiology, Eighth Edition Test Bank by Jerri K. Lindsey.

  • studypal

    studypal

  • test bank

Test Bank Anatomy & Physiology Fourth Edition Elaine N. Marieb Katja Hoehn Test Bank adapted from the Human Anatomy & Ph...

15 USD

0

0

Test Bank for the corresponding textbook, Prehospital Emergency Care, 11th Edition Prehospital Emergency Care Test Bank Joseph J. Mistovich, Keith J. Karren, Brent Hafen - Chapter 1-46
View Document

Test Bank for the corresponding textbook, Prehospital Emergency Care, 11th Edition Prehospital Emergency Care Test Bank Joseph J. Mistovich, Keith J. Karren, Brent Hafen - Chapter 1-46

  • studypal

    studypal

  • test bank

Test Bank for the corresponding textbook, Prehospital Emergency Care, 11th Edition Prehospital Emergency Care Test Bank ...

15 USD

0

0

TEST BANK - NCLEX EXAM REVIEW - TEST BANK (COMPLETE SOLUTION) Revised Fully, UPDATED VERSION.
View Document

TEST BANK - NCLEX EXAM REVIEW - TEST BANK (COMPLETE SOLUTION) Revised Fully, UPDATED VERSION.

  • studypal

    studypal

  • test bank

TEST BANK - NCLEX EXAM REVIEW - TEST BANK (COMPLETE SOLUTION) Revised Fully, UPDATED VERSION....

16 USD

0

0

Primary Professional Military Education (Enlisted) Block 1 to 7, PPME Block 1-7 TEST BANK
View Document

Primary Professional Military Education (Enlisted) Block 1 to 7, PPME Block 1-7 TEST BANK

  • studypal

    studypal

  • test bank

Primary Professional Military Education (Enlisted) Block 1 to 7, PPME Block 1-7 TEST BANK...

15 USD

0

0

Test Bank For Primary Care Art and Science of Advanced Practice Nursing -An Interprofessional Approach 5th edition Dunphy
View Document

Test Bank For Primary Care Art and Science of Advanced Practice Nursing -An Interprofessional Approach 5th edition Dunphy

  • Angelicer

    Angelicer

  • test bank

Test Bank For Primary Care Art and Science of Advanced Practice Nursing -An Interprofessional Approach 5th edition Dunph...

15 USD

0

0

TEST BANK FOR PHARMACOLOGY AND THE NURSING PROCESS 8TH EDITION LILLEY
View Document

TEST BANK FOR PHARMACOLOGY AND THE NURSING PROCESS 8TH EDITION LILLEY

  • Angelicer

    Angelicer

  • test bank

TEST BANK FOR PHARMACOLOGY AND THE NURSING PROCESS 8TH EDITION LILLEY...

15 USD

0

0

Test Bank for Patient Care in Radiography 8th Edition by Ehrlich
View Document

Test Bank for Patient Care in Radiography 8th Edition by Ehrlich

  • Angelicer

    Angelicer

  • test bank

Test Bank for Patient Care in Radiography 8th Edition by Ehrlich – Download PDF...

15 USD

0

0

Test Bank for Nuclear Medicine and PET CT 7th Edition by Chrisitan
View Document

Test Bank for Nuclear Medicine and PET CT 7th Edition by Chrisitan

  • Angelicer

    Angelicer

  • test bank

Test Bank for Nuclear Medicine and PET CT 7th Edition by Chrisitan – Download PDF...

15 USD

0

0

Test Bank for Local Anesthesia for Dental Professionals, 2nd Edition Kathy Bassett
View Document

Test Bank for Local Anesthesia for Dental Professionals, 2nd Edition Kathy Bassett

  • Angelicer

    Angelicer

  • test bank

Test Bank for Local Anesthesia for Dental Professionals, 2nd Edition Kathy Bassett – Download PDF...

15 USD

0

0

TEST BANK FOR LEADERSHIP AND MANAGEMENT IN NURSING, 4TH EDITION, MARY ELLEN GROHAR-MURRAY
View Document

TEST BANK FOR LEADERSHIP AND MANAGEMENT IN NURSING, 4TH EDITION, MARY ELLEN GROHAR-MURRAY

  • Angelicer

    Angelicer

  • test bank

TEST BANK FOR LEADERSHIP AND MANAGEMENT IN NURSING, 4TH EDITION, MARY ELLEN GROHAR-MURRAY – Download PDF...

15 USD

0

0

Test Bank for Introductory Medical surgical nursing 11th Edition by Timby Smith
View Document

Test Bank for Introductory Medical surgical nursing 11th Edition by Timby Smith

  • Angelicer

    Angelicer

  • test bank

Test Bank for Introductory Medical surgical nursing 11th Edition by Timby Smith – Download PDF...

15 USD

0

0

TEST BANK FOR FUNDAMENTALS OF CANADIAN NURSING CONCEPTS PROCESS AND PRACTICE 2ND EDITION BY KOZIER
View Document

TEST BANK FOR FUNDAMENTALS OF CANADIAN NURSING CONCEPTS PROCESS AND PRACTICE 2ND EDITION BY KOZIER

  • Angelicer

    Angelicer

  • test bank

Stay ahead in your nursing exams with the Test Bank for Canadian Fundamentals of Nursing, 7th Edition by Potter. Featuri...

15 USD

0

0

TEST BANK FOR FOUNDATIONS OF NURSING RESEARCH 6TH EDITION BY NIESWIADOMY
View Document

TEST BANK FOR FOUNDATIONS OF NURSING RESEARCH 6TH EDITION BY NIESWIADOMY

  • Angelicer

    Angelicer

  • test bank

TEST BANK FOR FOUNDATIONS OF NURSING RESEARCH 6TH EDITION BY NIESWIADOMY – Download PDF...

15 USD

0

0

TEST BANK FOR ESSENTIALS OF NEUROANATOMY FOR REHABILITATIONLEAH DVORAK PAUL MANSFIELD
View Document

TEST BANK FOR ESSENTIALS OF NEUROANATOMY FOR REHABILITATIONLEAH DVORAK PAUL MANSFIELD

  • Angelicer

    Angelicer

  • test bank

TEST BANK FOR ESSENTIALS OF NEUROANATOMY FOR REHABILITATIONLEAH DVORAK PAUL MANSFIELD – Download PDF...

15 USD

0

0

Test Bank: Emergency Medical Technician (2nd Edition by Barbara Aehlert) – Complete Verified Exam Questions and Answers
View Document

Test Bank: Emergency Medical Technician (2nd Edition by Barbara Aehlert) – Complete Verified Exam Questions and Answers

  • Angelicer

    Angelicer

  • test bank

Test Bank for Emergency Medical Technician 2nd Edition by Aehlert – Download PDF...

15 USD

0

0

Test Bank for Electronic Health Records and Nursing by Gartee
View Document

Test Bank for Electronic Health Records and Nursing by Gartee

  • Angelicer

    Angelicer

  • test bank

Test Bank for Electronic Health Records and Nursing by Gartee – Download PDF...

15 USD

0

0

Test Bank For Digital Radiography And Pacs 3rd Edition By Carter
View Document

Test Bank For Digital Radiography And Pacs 3rd Edition By Carter

  • Angelicer

    Angelicer

  • test bank

Download the Test Bank for Digital Radiography and PACS, 3rd Edition by Carter. Get expert-verified questions to master ...

15 USD

0

0

TEST BANK FOR DES JARDINS & BURTON CLINICAL MANIFESTATIONS AND ASSESSMENT OF RESPIRATORY DISEASE, 5TH EDITION
View Document

TEST BANK FOR DES JARDINS & BURTON CLINICAL MANIFESTATIONS AND ASSESSMENT OF RESPIRATORY DISEASE, 5TH EDITION

  • Angelicer

    Angelicer

  • test bank

TEST BANK FOR DES JARDINS & BURTON CLINICAL MANIFESTATIONS AND ASSESSMENT OF RESPIRATORY DISEASE, 5TH EDITION – Downlo...

15 USD

0

0

Test Bank for Clinical Laboratory Hematology 3rd Edition by McKenzie
View Document

Test Bank for Clinical Laboratory Hematology 3rd Edition by McKenzie

  • Angelicer

    Angelicer

  • test bank

Test Bank for Clinical Laboratory Hematology 3rd Edition by McKenzie...

15 USD

0

0

TEST BANK FOR CLINICAL LABORATORY BLOOD BANKING AND TRANSFUSION MEDICINE PRACTICES 1ST EDITION JOHNS
View Document

TEST BANK FOR CLINICAL LABORATORY BLOOD BANKING AND TRANSFUSION MEDICINE PRACTICES 1ST EDITION JOHNS

  • Angelicer

    Angelicer

  • test bank

TEST BANK FOR CLINICAL LABORATORY BLOOD BANKING AND TRANSFUSION MEDICINE PRACTICES 1ST EDITION JOHNS – Download PDF...

15 USD

0

1

TEST BANK FOR BONTRAGER TEXT-BOOK OF RADIO-GRAPHIC POSITIONING AND RELATED ANATO-MY, 7TH EDITION
View Document

TEST BANK FOR BONTRAGER TEXT-BOOK OF RADIO-GRAPHIC POSITIONING AND RELATED ANATO-MY, 7TH EDITION

  • Angelicer

    Angelicer

  • test bank

TEST BANK FOR BONTRAGER TEXT-BOOK OF RADIO-GRAPHIC POSITIONING AND RELATED ANATO-MY, 7TH EDITION – Download PDF...

17 USD

0

0

Test Bank for Anatomy Physiology and Disease for the Health Professions 3rd Edition by Booth
View Document

Test Bank for Anatomy Physiology and Disease for the Health Professions 3rd Edition by Booth

  • Angelicer

    Angelicer

  • test bank

Test Bank for Anatomy Physiology and Disease for the Health Professions 3rd Edition by Booth – Download PDF...

15 USD

0

0

Test Bank for Anatomy and Physiology Foundations for the Health Professions 1st Edition by Roiger
View Document

Test Bank for Anatomy and Physiology Foundations for the Health Professions 1st Edition by Roiger

  • Angelicer

    Angelicer

  • test bank

Test Bank for Anatomy and Physiology Foundations for the Health Professions 1st Edition by Roiger – Download PDF...

15 USD

0

0

Test Bank For Understanding Financial Accounting Canadian Edition
View Document

Test Bank For Understanding Financial Accounting Canadian Edition

  • Namwaki

    Namwaki

  • exam

Test Bank For Understanding Financial Accounting Canadian Edition – Download PDF...

15 USD

0

0

Test Bank For The Humanistic Tradition Volume 2 The Early Modern World To The Present, 7th Edition, Gloria K. Fiero
View Document

Test Bank For The Humanistic Tradition Volume 2 The Early Modern World To The Present, 7th Edition, Gloria K. Fiero

  • Namwaki

    Namwaki

  • exam

Test Bank For The Humanistic Tradition Volume 2 The Early Modern World To The Present, 7th Edition, Gloria K. Fiero – ...

15 USD

0

0

Test Bank For Principles Of Corporate Finance 2nd Canadian Edition  Gitman
View Document

Test Bank For Principles Of Corporate Finance 2nd Canadian Edition Gitman

  • Namwaki

    Namwaki

  • exam

Test Bank For Principles Of Corporate Finance 2nd Canadian Edition Gitman – Download PDF...

15 USD

0

0

Test Bank For Personal Finance 10th Edition by Garman
View Document

Test Bank For Personal Finance 10th Edition by Garman

  • Namwaki

    Namwaki

  • exam

Test Bank For Personal Finance 10th Edition by Garman – Download PDF...

15 USD

0

0

Test Bank For Nutrition Therapy And Pathophysiology 4th Edition, Nelms
View Document

Test Bank For Nutrition Therapy And Pathophysiology 4th Edition, Nelms

  • Namwaki

    Namwaki

  • exam

Test Bank For Nutrition Therapy And Pathophysiology 4th Edition, Nelms – Download PDF...

15 USD

0

0

Test Bank For NEW Corporate Finance Online Stanley Eakins William McNally
View Document

Test Bank For NEW Corporate Finance Online Stanley Eakins William McNally

  • Namwaki

    Namwaki

  • exam

Test Bank For NEW Corporate Finance Online Stanley Eakins William McNally – Download PDF...

15 USD

0

0

Test Bank For Multinational Business Finance 13th Edition By Eiteman
View Document

Test Bank For Multinational Business Finance 13th Edition By Eiteman

  • Namwaki

    Namwaki

  • exam

Test Bank For Multinational Business Finance 13th Edition By Eiteman – Download PDF...

15 USD

0

0

Test Bank For Macroeconomics, 10th Edition N. Gregory Mankiw
View Document

Test Bank For Macroeconomics, 10th Edition N. Gregory Mankiw

  • Namwaki

    Namwaki

  • exam

Test Bank For Macroeconomics, 10th Edition N. Gregory Mankiw – Download PDF...

16 USD

0

0

Test Bank For M Finance 3rd Edition By Cornett
View Document

Test Bank For M Finance 3rd Edition By Cornett

  • Namwaki

    Namwaki

  • exam

Test Bank For M Finance 3rd Edition By Cornett – Download PDF...

15 USD

0

0

Test Bank For Interpersonal Communication Relating To Others 9th Edition Steven A. Beebe, Susan J. Beebe Mark V. Redmond
View Document

Test Bank For Interpersonal Communication Relating To Others 9th Edition Steven A. Beebe, Susan J. Beebe Mark V. Redmond

  • Namwaki

    Namwaki

  • exam

Test Bank For Interpersonal Communication Relating To Others 9th Edition Steven A. Beebe, Susan J. Beebe Mark V. Redmond...

15 USD

0

0

Test Bank For Fundamentals Of Financial Management Concise Edition 7th Edition Brigham
View Document

Test Bank For Fundamentals Of Financial Management Concise Edition 7th Edition Brigham

  • Namwaki

    Namwaki

  • exam

Test Bank For Fundamentals Of Financial Management Concise Edition 7th Edition Brigham – Download PDF...

15 USD

0

0

Test Bank For Fundamentals Of Financial Management 12th Edition By Brigham
View Document

Test Bank For Fundamentals Of Financial Management 12th Edition By Brigham

  • Namwaki

    Namwaki

  • exam

Test Bank For Fundamentals Of Financial Management 12th Edition By Brigham – Download PDF...

15 USD

0

0

Test Bank For Fundamentals Of Corporate Finance 1st Edition Parrino
View Document

Test Bank For Fundamentals Of Corporate Finance 1st Edition Parrino

  • Namwaki

    Namwaki

  • exam

Test Bank For Fundamentals Of Corporate Finance 1st Edition Parrino – Download PDF...

15 USD

0

0

Test Bank For Foundations Of Financial Management 8th Canadian Edition By Block
View Document

Test Bank For Foundations Of Financial Management 8th Canadian Edition By Block

  • Namwaki

    Namwaki

  • exam

Test Bank For Foundations Of Financial Management 8th Canadian Edition By Block – Download PDF...

15 USD

0

0

Test Bank For Financial Reporting And Analysis 13th Edition By Gibson
View Document

Test Bank For Financial Reporting And Analysis 13th Edition By Gibson

  • Namwaki

    Namwaki

  • exam

Test Bank For Financial Reporting And Analysis 13th Edition By Gibson – Download PDF...

15 USD

0

0

Test Bank For Financial Markets And Institutions 7th Edition By Saunders
View Document

Test Bank For Financial Markets And Institutions 7th Edition By Saunders

  • Namwaki

    Namwaki

  • exam

Test Bank For Financial Markets And Institutions 7th Edition By Saunders – Download PDF...

15 USD

0

0

Test Bank For Financial Management Theory And Practice Third Canadian Edition
View Document

Test Bank For Financial Management Theory And Practice Third Canadian Edition

  • Namwaki

    Namwaki

  • exam

Test Bank For Financial Management Theory And Practice Third Canadian Edition – Download PDF...

15 USD

0

0

Test Bank For Financial Management Core Concepts 3rd Edition
View Document

Test Bank For Financial Management Core Concepts 3rd Edition

  • Namwaki

    Namwaki

  • exam

Test Bank For Financial Management Core Concepts 3rd Edition – Download PDF...

15 USD

0

0

Test Bank For Financial Institutions Instruments And Markets 7th Edition By Viney
View Document

Test Bank For Financial Institutions Instruments And Markets 7th Edition By Viney

  • GradeA

    GradeA

  • test bank

Test Bank For Financial Institutions Instruments And Markets 7th Edition By Viney – Download PDF...

15 USD

0

0

Test Bank For Essentials Of Investments 9th Edition  Bodie
View Document

Test Bank For Essentials Of Investments 9th Edition Bodie

  • GradeA

    GradeA

  • test bank

Test Bank For Essentials Of Investments 9th Edition Bodie – Download PDF...

15 USD

0

0

Test Bank For Entrepreneurial Finance 6th Edition Kindle Edition
View Document

Test Bank For Entrepreneurial Finance 6th Edition Kindle Edition

  • GradeA

    GradeA

  • test bank

Test Bank For Entrepreneurial Finance 6th Edition Kindle Edition – Download PDF...

15 USD

0

0

Test Bank For CFIN 2010 1st Edition Besley
View Document

Test Bank For CFIN 2010 1st Edition Besley

  • Eddah-Nafula

    Eddah-Nafula

  • test bank

Test Bank For CFIN 2010 1st Edition Besley – Download PDF...

15 USD

0

0

Test Bank For CFIN 3 3rd Edition Besley
View Document

Test Bank For CFIN 3 3rd Edition Besley

  • Eddah-Nafula

    Eddah-Nafula

  • exam

Test Bank For CFIN 3 3rd Edition Besley – Download PDF...

15 USD

0

0

Test Bank For Biology, 12th Edition, Peter Raven, George Johnson, Kenneth Mason, Jonathan Losos, Tod Duncan
View Document

Test Bank For Biology, 12th Edition, Peter Raven, George Johnson, Kenneth Mason, Jonathan Losos, Tod Duncan

  • Eddah-Nafula

    Eddah-Nafula

  • exam

Test Bank For Biology, 12th Edition, Peter Raven, George Johnson, Kenneth Mason, Jonathan Losos, Tod Duncan – Download...

15 USD

0

0

Test Bank For Auditing And Assurance Services, 17th Edition, Alvin A Arens, Randal J Elder, Mark S Beasley, Chris E Hogan
View Document

Test Bank For Auditing And Assurance Services, 17th Edition, Alvin A Arens, Randal J Elder, Mark S Beasley, Chris E Hogan

  • Eddah-Nafula

    Eddah-Nafula

  • exam

Test Bank For Auditing And Assurance Services, 17th Edition, Alvin A Arens, Randal J Elder, Mark S Beasley, Chris E Hoga...

15 USD

0

0

Test Bank Principles Of Money Banking & Financial Markets Ritter 12th Edition
View Document

Test Bank Principles Of Money Banking & Financial Markets Ritter 12th Edition

  • Eddah-Nafula

    Eddah-Nafula

  • test bank

Test Bank Principles Of Money Banking & Financial Markets Ritter 12th Edition – Download PDF...

15 USD

0

0

ADV PHARM FINALS PREDICTONS EXAM TEST BANK.
View Document

ADV PHARM FINALS PREDICTONS EXAM TEST BANK.

  • harrie

    harrie

  • exam

ADV PHARM FINALS PREDICTONS EXAM TEST BANK....

6 USD

0

0

QUESTIONS AND ANSWERS TEST BANK FOR PUBLIC FINANCE IN CANADA 5TH EDITION BY ROSEN, GAYER, SNODDON
View Document

QUESTIONS AND ANSWERS TEST BANK FOR PUBLIC FINANCE IN CANADA 5TH EDITION BY ROSEN, GAYER, SNODDON

  • Yna

    Yna

  • test bank

QUESTIONS AND ANSWERS TEST BANK FOR PUBLIC FINANCE IN CANADA 5TH EDITION BY ROSEN, GAYER, SNODDON – Download PDF...

15 USD

0

0

Test Bank for Mechanical Ventilation, 7th Edition, J M Cairo
View Document

Test Bank for Mechanical Ventilation, 7th Edition, J M Cairo

  • Namwaki

    Namwaki

  • test bank

Test Bank for Mechanical Ventilation, 7th Edition, J M Cairo – Download PDF...

15 USD

0

0

Test Bank for Leadership Research Findings, Practice, and Skills, 9th Edition By J. DuBrin.
View Document

Test Bank for Leadership Research Findings, Practice, and Skills, 9th Edition By J. DuBrin.

  • mentor2000

    mentor2000

  • exam

Test Bank for Leadership Research Findings, Practice, and Skills, 9th Edition By J. DuBrin....

15 USD

0

0

Test Bank for Bank Management & Financial Services 9th Edition Peter S Rose, Sylvia C Hudgins All Chapters
View Document

Test Bank for Bank Management & Financial Services 9th Edition Peter S Rose, Sylvia C Hudgins All Chapters

  • mentor2000

    mentor2000

  • exam

Test Bank for Bank Management & Financial Services 9th Edition Peter S Rose, Sylvia C Hudgins All Chapters...

15 USD

0

0

Women’s Gynecologic Health, Third Edition test bank all questions and answers verified
View Document

Women’s Gynecologic Health, Third Edition test bank all questions and answers verified

  • Eddah-Nafula

    Eddah-Nafula

  • test bank

Women’s Gynecologic Health, Third Edition test bank all questions and answers verified...

12 USD

0

0

Whitten – Systems Analysis & Design Methods – 7th Edition Test Bank All Chapters
View Document

Whitten – Systems Analysis & Design Methods – 7th Edition Test Bank All Chapters

  • Eddah-Nafula

    Eddah-Nafula

  • test bank

Whitten – Systems Analysis & Design Methods – 7th Edition Test Bank All Chapters...

12 USD

0

0

Test Bank Solutions For Microbiology Fundamentals A Clinical Approach 3rd Edition By Cowan
View Document

Test Bank Solutions For Microbiology Fundamentals A Clinical Approach 3rd Edition By Cowan

  • Eddah-Nafula

    Eddah-Nafula

  • test bank

Test Bank Solutions For Microbiology Fundamentals A Clinical Approach 3rd Edition By Cowan – Download PDF...

15 USD

0

0

TEST BANK FOR UNDERSTANDING ANATOMY & PHYSIOLOGY, 3RD EDITION, GALE SLOAN THOMPSON
View Document

TEST BANK FOR UNDERSTANDING ANATOMY & PHYSIOLOGY, 3RD EDITION, GALE SLOAN THOMPSON

  • Eddah-Nafula

    Eddah-Nafula

  • test bank

TEST BANK FOR UNDERSTANDING ANATOMY & PHYSIOLOGY, 3RD EDITION, GALE SLOAN THOMPSON – Download PDF...

15 USD

0

0

TEST BANK FOR QUICK AND EASY MEDICAL TERMINOLOGY 9TH EDITION BY LEONARD ALL CHAPTERS
View Document

TEST BANK FOR QUICK AND EASY MEDICAL TERMINOLOGY 9TH EDITION BY LEONARD ALL CHAPTERS

  • Eddah-Nafula

    Eddah-Nafula

  • test bank

TEST BANK FOR QUICK AND EASY MEDICAL TERMINOLOGY 9TH EDITION BY LEONARD ALL CHAPTERS – Download PDF...

15 USD

0

0

TEST BANK FOR PSYCHOLOGICAL TESTING PRINCIPLES, APPLICATIONS, AND ISSUES, 9TH EDITION, ROBERT M. KAPLAN, DENNIS P. SACCUZZO
View Document

TEST BANK FOR PSYCHOLOGICAL TESTING PRINCIPLES, APPLICATIONS, AND ISSUES, 9TH EDITION, ROBERT M. KAPLAN, DENNIS P. SACCUZZO

  • Eddah-Nafula

    Eddah-Nafula

  • test bank

TEST BANK FOR PSYCHOLOGICAL TESTING PRINCIPLES, APPLICATIONS, AND ISSUES, 9TH EDITION, ROBERT M. KAPLAN, DENNIS P. SACCU...

15 USD

0

0

Test bank for Pediatric Primary Care Practical Guidelines for Nurses - 4th edition richardson
View Document

Test bank for Pediatric Primary Care Practical Guidelines for Nurses - 4th edition richardson

  • Eddah-Nafula

    Eddah-Nafula

  • test bank

Test bank for Pediatric Primary Care Practical Guidelines for Nurses - 4th edition richardson – Download PDF...

15 USD

0

0

Test Bank for Nursing Health Assessment The Foundation of Clinical Practice, 3rd Edition, Patricia M. Dillon
View Document

Test Bank for Nursing Health Assessment The Foundation of Clinical Practice, 3rd Edition, Patricia M. Dillon

  • Eddah-Nafula

    Eddah-Nafula

  • test bank

Test Bank for Nursing Health Assessment The Foundation of Clinical Practice, 3rd Edition, Patricia M. Dillon – Downloa...

15 USD

0

0

TEST BANK FOR HEALTH ASSESSMENT FOR NURSING PRACTICE 6TH EDITION BY WILSON
View Document

TEST BANK FOR HEALTH ASSESSMENT FOR NURSING PRACTICE 6TH EDITION BY WILSON

  • Eddah-Nafula

    Eddah-Nafula

  • test bank

TEST BANK FOR HEALTH ASSESSMENT FOR NURSING PRACTICE 6TH EDITION BY WILSON – Download PDF...

15 USD

0

0

TEST BANK FOR FOCUS ON NURSING PHARMACOLOGY 7TH EDITION BY KARCH
View Document

TEST BANK FOR FOCUS ON NURSING PHARMACOLOGY 7TH EDITION BY KARCH

  • Eddah-Nafula

    Eddah-Nafula

  • test bank

TEST BANK FOR FOCUS ON NURSING PHARMACOLOGY 7TH EDITION BY KARCH...

12 USD

0

0

TEST BANK FOR DARBY & WALSH DENTAL HYGIENE THEORY AND PRACTICE, 4TH EDITION
View Document

TEST BANK FOR DARBY & WALSH DENTAL HYGIENE THEORY AND PRACTICE, 4TH EDITION

  • Eddah-Nafula

    Eddah-Nafula

  • test bank

TEST BANK FOR DARBY & WALSH DENTAL HYGIENE THEORY AND PRACTICE, 4TH EDITION – Download PDF...

15 USD

0

0

ADVANCED HESI MED SURG TEST BANK
View Document

ADVANCED HESI MED SURG TEST BANK

  • Eddah-Nafula

    Eddah-Nafula

  • study guide

ADVANCED HESI MED SURG TEST BANK – Download PDF...

15 USD

0

0

TEST BANK FOR ANATOMY AND PHYSIOLOGY 9TH EDITION BY PATTON ALL CHAPTERS
View Document

TEST BANK FOR ANATOMY AND PHYSIOLOGY 9TH EDITION BY PATTON ALL CHAPTERS

  • Angelicer

    Angelicer

  • test bank

TEST BANK FOR ANATOMY AND PHYSIOLOGY 9TH EDITION BY PATTON ALL CHAPTERS – Download PDF...

15 USD

0

0

Test Bank for Accounting Information Systems 15th Edition Marshall B. Romney, Paul J. Steinbart
View Document

Test Bank for Accounting Information Systems 15th Edition Marshall B. Romney, Paul J. Steinbart

  • Angelicer

    Angelicer

  • test bank

Test Bank for Accounting Information Systems 15th Edition Marshall B. Romney, Paul J. Steinbart – Download PDF...

15 USD

0

0

Test Bank for Accounting Information Systems 14th Edition Marshall B. Romney, Paul J. Steinbart
View Document

Test Bank for Accounting Information Systems 14th Edition Marshall B. Romney, Paul J. Steinbart

  • Angelicer

    Angelicer

  • test bank

Test Bank for Accounting Information Systems 14th Edition Marshall B. Romney, Paul J. Steinbart – Download PDF...

15 USD

0

0

Strategic Management Text and Cases, Ninth edition, written by Dess, McNamara, Eisner, and Lee Test Bank
View Document

Strategic Management Text and Cases, Ninth edition, written by Dess, McNamara, Eisner, and Lee Test Bank

  • Angelicer

    Angelicer

  • test bank

Strategic Management Text and Cases, Ninth edition, written by Dess, McNamara, Eisner, and Lee Test Bank...

12 USD

0

0

LeMone and Burkes Medical Surgical Nursing 7th Edition by Bauldoff Test Bank
View Document

LeMone and Burkes Medical Surgical Nursing 7th Edition by Bauldoff Test Bank

  • Yna

    Yna

  • test bank

LeMone and Burkes Medical Surgical Nursing 7th Edition by Bauldoff Test Bank...

13 USD

0

0

WONGS NURSING CARE OF INFANTS AND CHILDREN 11TH EDITION HOCKENBERRY TEST BANK
View Document

WONGS NURSING CARE OF INFANTS AND CHILDREN 11TH EDITION HOCKENBERRY TEST BANK

  • Yna

    Yna

  • test bank

WONGS NURSING CARE OF INFANTS AND CHILDREN 11TH EDITION HOCKENBERRY TEST BANK – Download PDF...

20 USD

0

0

TEST BANK FOR LEADERSHIP AND MANAGEMENT FUNCTIONS IN NURSING 1OTH EDITION MARQUIS HUSTON
View Document

TEST BANK FOR LEADERSHIP AND MANAGEMENT FUNCTIONS IN NURSING 1OTH EDITION MARQUIS HUSTON

  • Yna

    Yna

  • test bank

TEST BANK FOR LEADERSHIP AND MANAGEMENT FUNCTIONS IN NURSING 1OTH EDITION MARQUIS HUSTON – Download PDF...

15 USD

0

0

Test Bank for Primary Care: The Art and Science of Advanced Practice Nursing, 6th Edition Dunphy All Chapters
View Document

Test Bank for Primary Care: The Art and Science of Advanced Practice Nursing, 6th Edition Dunphy All Chapters

  • Yna

    Yna

  • test bank

Instantly download Test Bank (PDF) for Primary Care: The Art and Science of Advanced Practice Nursing, 6th Edition Dunph...

15 USD

0

0

HEIZER OPERATION MANAGEMENT 9TH EDITION COMPLETE TEST BANK
View Document

HEIZER OPERATION MANAGEMENT 9TH EDITION COMPLETE TEST BANK

  • Yna

    Yna

  • test bank

HEIZER OPERATION MANAGEMENT 9TH EDITION COMPLETE TEST BANK...

12 USD

0

0

FUNDAMENTALS OF NURSING 9TH EDITION BY TAYLOR COMPLETE TEST BANK
View Document

FUNDAMENTALS OF NURSING 9TH EDITION BY TAYLOR COMPLETE TEST BANK

  • Yna

    Yna

  • test bank

FUNDAMENTALS OF NURSING 9TH EDITION BY TAYLOR COMPLETE TEST BANK...

12 USD

0

0

FRAZIER ESSENTIALS OF HUMAN DISEASES AND CON-DITIONS, 5TH EDITION COMPLETE TEST BANK
View Document

FRAZIER ESSENTIALS OF HUMAN DISEASES AND CON-DITIONS, 5TH EDITION COMPLETE TEST BANK

  • Yna

    Yna

  • test bank

FRAZIER ESSENTIALS OF HUMAN DISEASES AND CON-DITIONS, 5TH EDITION COMPLETE TEST BANK...

12 USD

0

0

ADVANCED HEALTH ASSESMENT AND DIFFERENTIAL DIAGNOSIS ESSENTIALS FOR CLINICAL PRACTICE 1ST EDITION MYRICK TEST BANK
View Document

ADVANCED HEALTH ASSESMENT AND DIFFERENTIAL DIAGNOSIS ESSENTIALS FOR CLINICAL PRACTICE 1ST EDITION MYRICK TEST BANK

  • Yna

    Yna

  • test bank

ADVANCED HEALTH ASSESMENT AND DIFFERENTIAL DIAGNOSIS ESSENTIALS FOR CLINICAL PRACTICE 1ST EDITION MYRICK TEST BANK...

13 USD

0

0

Test Bank for Understanding Medical-Surgical Nursing 6th Edition Linda S. Williams Paula D. Hopper
View Document

Test Bank for Understanding Medical-Surgical Nursing 6th Edition Linda S. Williams Paula D. Hopper

  • Angelicer

    Angelicer

  • exam

Test Bank for Understanding Medical-Surgical Nursing 6th Edition Linda S. Williams Paula D. Hopper – Download PDF...

15 USD

0

0

Test Bank For Auditing A Practical Approach With Data Analytics, Raymond N. Johnson, Laura Davis Wiley, Robyn Moroney, Fiona Campbell, Jane Hamilton
View Document

Test Bank For Auditing A Practical Approach With Data Analytics, Raymond N. Johnson, Laura Davis Wiley, Robyn Moroney, Fiona Campbell, Jane Hamilton

  • GradeA

    GradeA

  • exam

Test Bank For Auditing A Practical Approach With Data Analytics, Raymond N. Johnson, Laura Davis Wiley, Robyn Moroney, F...

15 USD

0

0

TEST BANK FOR WOMENS HEALTH A PRIMARY CARE CLINICAL GUIDE 5TH EDITION YOUNGKIN SCHADEWALD PRITHAM
View Document

TEST BANK FOR WOMENS HEALTH A PRIMARY CARE CLINICAL GUIDE 5TH EDITION YOUNGKIN SCHADEWALD PRITHAM

  • mentor2000

    mentor2000

  • exam

TEST BANK FOR WOMENS HEALTH A PRIMARY CARE CLINICAL GUIDE 5TH EDITION YOUNGKIN SCHADEWALD PRITHAM...

15 USD

0

0

Test Bank For Pharmacology and the Nursing Process 9th EditionLinda Lane Lilley, Shelly Rainforth Collins, Julie S. Snyder
View Document

Test Bank For Pharmacology and the Nursing Process 9th EditionLinda Lane Lilley, Shelly Rainforth Collins, Julie S. Snyder

  • mentor2000

    mentor2000

  • exam

Test Bank For Pharmacology and the Nursing Process 9th EditionLinda Lane Lilley, Shelly Rainforth Collins, Julie S. Snyd...

15 USD

0

0

Test Bank For Goulds Pathophysiology for the Health Professions 6th Edition by Robert J. Hubert BS
View Document

Test Bank For Goulds Pathophysiology for the Health Professions 6th Edition by Robert J. Hubert BS

  • mentor2000

    mentor2000

  • exam

Test Bank For Goulds Pathophysiology for the Health Professions 6th Edition by Robert J. Hubert BS...

15 USD

0

0

Primary Care Art and Science of Advanced Practice Nursing - An Interprofessional Approach 5th edition Dunphy Test Bank
View Document

Primary Care Art and Science of Advanced Practice Nursing - An Interprofessional Approach 5th edition Dunphy Test Bank

  • mentor2000

    mentor2000

  • exam

Primary Care Art and Science of Advanced Practice Nursing - An Interprofessional Approach 5th edition Dunphy Test Bank...

15 USD

0

0

Essentials of Psychiatric Mental Health Nursing 4th Edition Varcarolis Nursing Test Banks
View Document

Essentials of Psychiatric Mental Health Nursing 4th Edition Varcarolis Nursing Test Banks

  • mentor2000

    mentor2000

  • exam

Essentials of Psychiatric Mental Health Nursing 4th Edition Varcarolis Nursing Test Banks...

12 USD

0

0

Burns Pediatric Primary Care 7th Edition All Chapters Complete Test Bank
View Document

Burns Pediatric Primary Care 7th Edition All Chapters Complete Test Bank

  • mentor2000

    mentor2000

  • exam

Burns Pediatric Primary Care 7th Edition All Chapters Complete Test Bank...

12 USD

0

0

Test Bank Advanced Practice Nursing Essential Knowledge for the Profession 3rd Edition Denisco
View Document

Test Bank Advanced Practice Nursing Essential Knowledge for the Profession 3rd Edition Denisco

  • mentor2000

    mentor2000

  • exam

Test Bank Advanced Practice Nursing Essential Knowledge for the Profession 3rd Edition Denisco...

15 USD

0

0

FNP MSN 560 Chapter 1-30 Complete Test Bank ANSWERS AND RATIONALES
View Document

FNP MSN 560 Chapter 1-30 Complete Test Bank ANSWERS AND RATIONALES

  • GradeA

    GradeA

  • exam

FNP MSN 560 Chapter 1-30 Complete Test Bank ANSWERS AND RATIONALES – Download PDF...

15 USD

0

0

FIN3702 - MCQ Test Bank (2021)
View Document

FIN3702 - MCQ Test Bank (2021)

  • GradeA

    GradeA

  • exam

FIN3702 - MCQ Test Bank (2021) – Download PDF...

15 USD

0

0

NUR 101 > NCSBN TEST BANK - for the NCLEX-RN & NCLEX-PN Examination > Latest Update (2020) A Rated.
View Document

NUR 101 > NCSBN TEST BANK - for the NCLEX-RN & NCLEX-PN Examination > Latest Update (2020) A Rated.

  • harrie

    harrie

  • exam

NUR 101 > NCSBN TEST BANK - for the NCLEX-RN & NCLEX-PN Examination > Latest Update (2020) A Rated....

12 USD

0

0

Nursing; NR508 Pharmacology test bank Latest 2020 with all the correct answers.
View Document

Nursing; NR508 Pharmacology test bank Latest 2020 with all the correct answers.

  • harrie

    harrie

  • exam

Nursing; NR508 Pharmacology test bank Latest 2020 with all the correct answers....

10 USD

0

0

Womens Gynecologic Health 3rd Edition Schuiling Test Bank Updated
View Document

Womens Gynecologic Health 3rd Edition Schuiling Test Bank Updated

  • GradeA

    GradeA

  • test bank

Womens Gynecologic Health 3rd Edition Schuiling Test Bank Updated...

12 USD

0

0

Test Bank Maternal-Newborn Nursing The Critical Components of Nursing Care, 3rd Edition, Roberta Durham, Linda Chapman
View Document

Test Bank Maternal-Newborn Nursing The Critical Components of Nursing Care, 3rd Edition, Roberta Durham, Linda Chapman

  • GradeA

    GradeA

  • test bank

Test Bank Maternal-Newborn Nursing The Critical Components of Nursing Care, 3rd Edition, Roberta Durham, Linda Chapman �...

15 USD

0

0

Test Bank for Williams Basic Nutrition and Diet Therapy 15th Edition Staci Nix
View Document

Test Bank for Williams Basic Nutrition and Diet Therapy 15th Edition Staci Nix

  • GradeA

    GradeA

  • test bank

Test Bank for Williams Basic Nutrition and Diet Therapy 15th Edition Staci Nix – Download PDF...

15 USD

0

1

Test Bank For Psychology Themes and Variations Version 9th Edition Wayne Weiten Updated
View Document

Test Bank For Psychology Themes and Variations Version 9th Edition Wayne Weiten Updated

  • GradeA

    GradeA

  • test bank

Test Bank For Psychology Themes and Variations Version 9th Edition Wayne Weiten Updated – Download PDF...

15 USD

0

0

Test Bank For Psychology Themes and Variations Version 8th Edition Wayne Weiten
View Document

Test Bank For Psychology Themes and Variations Version 8th Edition Wayne Weiten

  • GradeA

    GradeA

  • test bank

Test Bank For Psychology Themes and Variations Version 8th Edition Wayne Weiten – Download PDF...

15 USD

0

0

Test Bank for On Cooking A Textbook of Culinary Fundamentals, 6th Edition, Sarah R. Labensky, Priscilla A. Martel, Alan M. Hause
View Document

Test Bank for On Cooking A Textbook of Culinary Fundamentals, 6th Edition, Sarah R. Labensky, Priscilla A. Martel, Alan M. Hause

  • GradeA

    GradeA

  • test bank

Test Bank for On Cooking A Textbook of Culinary Fundamentals, 6th Edition, Sarah R. Labensky, Priscilla A. Martel, Alan ...

15 USD

0

0

Test Bank for Maternal And Child Health Nursing Care Of The Childbearing And Childrearing Family, 8E
View Document

Test Bank for Maternal And Child Health Nursing Care Of The Childbearing And Childrearing Family, 8E

  • GradeA

    GradeA

  • test bank

Test Bank for Maternal And Child Health Nursing Care Of The Childbearing And Childrearing Family, 8E – Download PDF...

15 USD

0

0

Test Bank For Human Geography: People, Place, and Culture, 11th Edition, Erin H. Fouberg, Alexander B. Murphy, Harm J. de Blij
View Document

Test Bank For Human Geography: People, Place, and Culture, 11th Edition, Erin H. Fouberg, Alexander B. Murphy, Harm J. de Blij

  • GradeA

    GradeA

  • test bank

Enhance your exam prep with the Test Bank for Human Geography: People, Place, and Culture, 11th Edition. Get comprehensi...

15 USD

0

0

HESI Biology 2021 Q & A test bank
View Document

HESI Biology 2021 Q & A test bank

  • harrie

    harrie

  • exam

HESI Biology 2021 Q & A test bank...

10 USD

0

0

Test Bank for US A Narrative History 8th Edition by Davidson
View Document

Test Bank for US A Narrative History 8th Edition by Davidson

  • tutor_gesco

    tutor_gesco

  • test bank

Test Bank for US A Narrative History 8th Edition by Davidson – Download PDF...

15 USD

0

0

Test Bank for Understanding Human Behavior 9th Edition by Honeycutt..
View Document

Test Bank for Understanding Human Behavior 9th Edition by Honeycutt..

  • tutor_gesco

    tutor_gesco

  • test bank

Test Bank for Understanding Human Behavior 9th Edition by Honeycutt.. – Download PDF...

15 USD

0

1

Test Bank for Understanding Hospital Billing and Coding 3rd Edition by Ferenc..
View Document

Test Bank for Understanding Hospital Billing and Coding 3rd Edition by Ferenc..

  • tutor_gesco

    tutor_gesco

  • test bank

Test Bank for Understanding Hospital Billing and Coding 3rd Edition by Ferenc.. – Download PDF...

15 USD

0

0

Test Bank for Tietz Fundamentals of Clinical Chemistry and Molecular Diagnostics 7th Edition by Burtis..
View Document

Test Bank for Tietz Fundamentals of Clinical Chemistry and Molecular Diagnostics 7th Edition by Burtis..

  • tutor_gesco

    tutor_gesco

  • test bank

Test Bank for Tietz Fundamentals of Clinical Chemistry and Molecular Diagnostics 7th Edition by Burtis.. – Download PD...

15 USD

0

0

Test Bank for The United States Health Care System 3rd Edition by Austin
View Document

Test Bank for The United States Health Care System 3rd Edition by Austin

  • tutor_gesco

    tutor_gesco

  • test bank

Test Bank for The United States Health Care System 3rd Edition by Austin – Download PDF...

15 USD

0

0

Test Bank for Mulholland’s The Nurse, The Math, The Meds, 5th Edition by Susan Turner
View Document

Test Bank for Mulholland’s The Nurse, The Math, The Meds, 5th Edition by Susan Turner

  • tutor_gesco

    tutor_gesco

  • test bank

Access the Test Bank for Mulholland’s The Nurse, The Math, The Meds, 5th Edition by Susan Turner, a comprehensive reso...

15 USD

0

0

Test Bank for The Muscular System Manual 4th Edition by Muscolino
View Document

Test Bank for The Muscular System Manual 4th Edition by Muscolino

  • tutor_gesco

    tutor_gesco

  • test bank

Test Bank for The Muscular System Manual 4th Edition by Muscolino – Download PDF...

15 USD

0

0

Test Bank for The Language of Medicine 11th Edition by Chabner
View Document

Test Bank for The Language of Medicine 11th Edition by Chabner

  • tutor_gesco

    tutor_gesco

  • test bank

Test Bank for The Language of Medicine 11th Edition by Chabner – Download PDF...

15 USD

0

0

Test Bank for The Dental Hygienists Guide to Nutritional Care 4th Edition by Stegeman..
View Document

Test Bank for The Dental Hygienists Guide to Nutritional Care 4th Edition by Stegeman..

  • tutor_gesco

    tutor_gesco

  • test bank

Test Bank for The Dental Hygienists Guide to Nutritional Care 4th Edition by Stegeman.. – Download PDF...

15 USD

0

0

Test Bank for Textbook of Diagnostic Microbiology 5th Edition by Mahon..
View Document

Test Bank for Textbook of Diagnostic Microbiology 5th Edition by Mahon..

  • tutor_gesco

    tutor_gesco

  • test bank

Test Bank for Textbook of Diagnostic Microbiology 5th Edition by Mahon.. – Download PDF...

15 USD

0

0

Test Bank for Surgical Technology for the Surgical Technologist 5th Edition..
View Document

Test Bank for Surgical Technology for the Surgical Technologist 5th Edition..

  • tutor_gesco

    tutor_gesco

  • test bank

Test Bank for Surgical Technology for the Surgical Technologist 5th Edition.. – Download PDF...

15 USD

0

0

Test Bank for Structural Balancing by Wright
View Document

Test Bank for Structural Balancing by Wright

  • tutor_gesco

    tutor_gesco

  • test bank

Test Bank for Structural Balancing by Wright – Download PDF...

15 USD

0

0

Test Bank for Sonography Principles and Instruments 9th Edition by Kremkau..
View Document

Test Bank for Sonography Principles and Instruments 9th Edition by Kremkau..

  • tutor_gesco

    tutor_gesco

  • test bank

Test Bank for Sonography Principles and Instruments 9th Edition by Kremkau.. – Download PDF...

15 USD

0

0

Test Bank for Radiographic Pathology for Technologists 6th Edition by Kowalczyk
View Document

Test Bank for Radiographic Pathology for Technologists 6th Edition by Kowalczyk

  • tutor_gesco

    tutor_gesco

  • test bank

Test Bank for Radiographic Pathology for Technologists 6th Edition by Kowalczyk – Download PDF...

15 USD

0

0

Test Bank for Radiation Protection in Medical Radiography 8th Edition by Sherer
View Document

Test Bank for Radiation Protection in Medical Radiography 8th Edition by Sherer

  • tutor_gesco

    tutor_gesco

  • test bank

Test Bank for Radiation Protection in Medical Radiography 8th Edition by Sherer...

12 USD

0

0

Test Bank for Radiation Protection in Medical Radiography 7th Edition by Sherer
View Document

Test Bank for Radiation Protection in Medical Radiography 7th Edition by Sherer

  • tutor_gesco

    tutor_gesco

  • test bank

Test Bank for Radiation Protection in Medical Radiography 7th Edition by Sherer – Download PDF...

15 USD

0

0

Test Bank for Potter and Perrys Fundamentals of Nursing 4th Australian Edition by Crisp
View Document

Test Bank for Potter and Perrys Fundamentals of Nursing 4th Australian Edition by Crisp

  • tutor_gesco

    tutor_gesco

  • test bank

Test Bank for Potter and Perrys Fundamentals of Nursing 4th Australian Edition by Crisp – Download PDF...

15 USD

0

0

Test Bank for Pharmacology for the Surgical Technologist 4th Edition by Snyder
View Document

Test Bank for Pharmacology for the Surgical Technologist 4th Edition by Snyder

  • tutor_gesco

    tutor_gesco

  • test bank

Test Bank for Pharmacology for the Surgical Technologist 4th Edition by Snyder – Download PDF...

15 USD

0

0

Test Bank for Palkos Medical Laboratory Procedures 3rd Edition by Cox
View Document

Test Bank for Palkos Medical Laboratory Procedures 3rd Edition by Cox

  • tutor_gesco

    tutor_gesco

  • test bank

Test Bank for Palkos Medical Laboratory Procedures 3rd Edition by Cox – Download PDF...

15 USD

0

0

Test Bank for Oral Pathology 7th Edition by Regezi
View Document

Test Bank for Oral Pathology 7th Edition by Regezi

  • tutor_gesco

    tutor_gesco

  • test bank

Test Bank for Oral Pathology 7th Edition by Regezi – Download PDF...

15 USD

0

0

Test Bank for Nursing Research 11th Edition by LoBiondo Wood
View Document

Test Bank for Nursing Research 11th Edition by LoBiondo Wood

  • tutor_gesco

    tutor_gesco

  • test bank

Test Bank for Nursing Research 11th Edition by LoBiondo Wood – Download PDF...

15 USD

0

0

Test Bank for Neuroscience Fundamentals for Rehabilitation 4th Edition by Lundy Ekman
View Document

Test Bank for Neuroscience Fundamentals for Rehabilitation 4th Edition by Lundy Ekman

  • tutor_gesco

    tutor_gesco

  • test bank

Test Bank for Neuroscience Fundamentals for Rehabilitation 4th Edition by Lundy Ekman – Download PDF...

15 USD

0

0

Test Bank for Mosbys Textbook for Long Term Care Nursing Assistants 7th Edition by Kostelnick
View Document

Test Bank for Mosbys Textbook for Long Term Care Nursing Assistants 7th Edition by Kostelnick

  • mentor2000

    mentor2000

  • test bank

Test Bank for Mosbys Textbook for Long Term Care Nursing Assistants 7th Edition by Kostelnick...

15 USD

0

0

Test Bank for Mosbys Essentials for Nursing Assistants 5th Edition by Sorrentino
View Document

Test Bank for Mosbys Essentials for Nursing Assistants 5th Edition by Sorrentino

  • mentor2000

    mentor2000

  • test bank

Comprehensive Test Bank for Mosby's Essentials for Nursing Assistants, 5th Edition by Sorrentino – Top exam prep and s...

15 USD

0

0

Test Bank for Medical Terminology 3rd Edition by Thierer
View Document

Test Bank for Medical Terminology 3rd Edition by Thierer

  • tutor_gesco

    tutor_gesco

  • test bank

Test Bank for Medical Terminology 3rd Edition by Thierer – Download PDF...

15 USD

0

0

Test Bank for Medical Terminology 2nd Edition by Bostwick..
View Document

Test Bank for Medical Terminology 2nd Edition by Bostwick..

  • tutor_gesco

    tutor_gesco

  • test bank

Test Bank for Medical Terminology 2nd Edition by Bostwick.. – Download PDF...

15 USD

0

0

Test Bank for Medical Coding Fundamentals by Goldsmith All chapters
View Document

Test Bank for Medical Coding Fundamentals by Goldsmith All chapters

  • tutor_gesco

    tutor_gesco

  • test bank

Test Bank for Medical Coding Fundamentals by Goldsmith All chapters – Download PDF...

15 USD

0

0

Test Bank for Medical Coding Fundamentals by Goldsmith
View Document

Test Bank for Medical Coding Fundamentals by Goldsmith

  • tutor_gesco

    tutor_gesco

  • test bank

Test Bank for Medical Coding Fundamentals by Goldsmith – Download PDF...

15 USD

0

0

Test Bank for Mastering Healthcare Terminology 5th Edition by Shiland..
View Document

Test Bank for Mastering Healthcare Terminology 5th Edition by Shiland..

  • tutor_gesco

    tutor_gesco

  • test bank

Test Bank for Mastering Healthcare Terminology 5th Edition by Shiland.. – Download PDF...

15 USD

0

0

Test Bank for Local Anesthesia for the Dental Hygienist 2nd Edition by Logothetis
View Document

Test Bank for Local Anesthesia for the Dental Hygienist 2nd Edition by Logothetis

  • tutor_gesco

    tutor_gesco

  • test bank

Test Bank for Local Anesthesia for the Dental Hygienist 2nd Edition by Logothetis – Download PDF...

15 USD

0

0

Test Bank for Lehnes Pharmacology for Nursing Care 9th Edition by Burchum
View Document

Test Bank for Lehnes Pharmacology for Nursing Care 9th Edition by Burchum

  • tutor_gesco

    tutor_gesco

  • test bank

Test Bank for Lehnes Pharmacology for Nursing Care 9th Edition by Burchum – Download PDF...

15 USD

0

0

Test Bank for Laboratory and Diagnostic Testing in Ambulatory Care 3rd Edition by Garrels..
View Document

Test Bank for Laboratory and Diagnostic Testing in Ambulatory Care 3rd Edition by Garrels..

  • tutor_gesco

    tutor_gesco

  • test bank

Test Bank for Laboratory and Diagnostic Testing in Ambulatory Care 3rd Edition by Garrels.. – Download PDF...

15 USD

0

0

Test Bank for Kinns The Administrative Medical Assistant 13th Edition by Proctor.
View Document

Test Bank for Kinns The Administrative Medical Assistant 13th Edition by Proctor.

  • tutor_gesco

    tutor_gesco

  • test bank

Test Bank for Kinns The Administrative Medical Assistant 13th Edition by Proctor. – Download PDF...

15 USD

0

0

Test Bank for Kinesiology for Manual Therapies by Dail
View Document

Test Bank for Kinesiology for Manual Therapies by Dail

  • tutor_gesco

    tutor_gesco

  • test bank

Test Bank for Kinesiology for Manual Therapies by Dail – Download PDF...

15 USD

0

0

Test Bank for Introduction to Health Care 4th Edition by Mitchell
View Document

Test Bank for Introduction to Health Care 4th Edition by Mitchell

  • tutor_gesco

    tutor_gesco

  • test bank

Test Bank for Introduction to Health Care 4th Edition by Mitchell – Download PDF...

15 USD

0

0

Test Bank for Integrated Electronic Health Records 2nd Edition by Shanholtzer
View Document

Test Bank for Integrated Electronic Health Records 2nd Edition by Shanholtzer

  • tutor_gesco

    tutor_gesco

  • test bank

Test Bank for Integrated Electronic Health Records 2nd Edition by Shanholtzer – Download PDF...

15 USD

0

0

Test Bank for Health Information 5th Edition by Abdelhak
View Document

Test Bank for Health Information 5th Edition by Abdelhak

  • tutor_gesco

    tutor_gesco

  • test bank

Test Bank for Health Information 5th Edition by Abdelhak – Download PDF...

15 USD

0

0

Test Bank for Fundamental Orthopedic Management for the Physical Therapist Assistant 4th Edition by Manske
View Document

Test Bank for Fundamental Orthopedic Management for the Physical Therapist Assistant 4th Edition by Manske

  • tutor_gesco

    tutor_gesco

  • test bank

Test Bank for Fundamental Orthopedic Management for the Physical Therapist Assistant 4th Edition by Manske – Download ...

15 USD

0

0

Test Bank for Focus on Pharmacology 3rd Edition by Moini.
View Document

Test Bank for Focus on Pharmacology 3rd Edition by Moini.

  • tutor_gesco

    tutor_gesco

  • test bank

Test Bank for Focus on Pharmacology 3rd Edition by Moini. – Download PDF...

15 USD

0

0

Test Bank for Essentials of Dental Assisting 6th Edition by Robinson
View Document

Test Bank for Essentials of Dental Assisting 6th Edition by Robinson

  • tutor_gesco

    tutor_gesco

  • test bank

Test Bank for Essentials of Dental Assisting 6th Edition by Robinson – Download PDF...

15 USD

0

0

Test Bank for Essentials of Cardiopulmonary Physical Therapy 4th Edition by Hillegass
View Document

Test Bank for Essentials of Cardiopulmonary Physical Therapy 4th Edition by Hillegass

  • tutor_gesco

    tutor_gesco

  • test bank

Test Bank for Essentials of Cardiopulmonary Physical Therapy 4th Edition by Hillegass – Download PDF...

15 USD

0

0

Test Bank for Electronic Health Records 3rd Edition by Hamilton.
View Document

Test Bank for Electronic Health Records 3rd Edition by Hamilton.

  • tutor_gesco

    tutor_gesco

  • test bank

Test Bank for Electronic Health Records 3rd Edition by Hamilton. – Download PDF...

15 USD

0

0

Test Bank for ECGs Made Easy 6th Edition by Aehlert
View Document

Test Bank for ECGs Made Easy 6th Edition by Aehlert

  • tutor_gesco

    tutor_gesco

  • test bank

Test Bank for ECGs Made Easy 6th Edition by Aehlert – Download PDF...

15 USD

0

0

Test Bank for Diet and Nutrition in Oral Health 3rd Edition by Palmer
View Document

Test Bank for Diet and Nutrition in Oral Health 3rd Edition by Palmer

  • tutor_gesco

    tutor_gesco

  • test bank

Test Bank for Diet and Nutrition in Oral Health 3rd Edition by Palmer – Download PDF...

15 USD

0

0

Test Bank for Dental Materials 5th Edition by Hatrick.
View Document

Test Bank for Dental Materials 5th Edition by Hatrick.

  • tutor_gesco

    tutor_gesco

  • test bank

Test Bank for Dental Materials 5th Edition by Hatrick. – Download PDF...

15 USD

0

0

Test Bank for Dental Assisting A Comprehensive Approach 5th Edition by Phinney..
View Document

Test Bank for Dental Assisting A Comprehensive Approach 5th Edition by Phinney..

  • tutor_gesco

    tutor_gesco

  • test bank

Test Bank for Dental Assisting A Comprehensive Approach 5th Edition by Phinney.. – Download PDF...

15 USD

0

0

Test Bank for Comprehensive Health Insurance 3rd Edition by Vines
View Document

Test Bank for Comprehensive Health Insurance 3rd Edition by Vines

  • tutor_gesco

    tutor_gesco

  • test bank

Test Bank for Comprehensive Health Insurance 3rd Edition by Vines – Download PDF...

15 USD

0

0

Test Bank for Clinical Laboratory Chemistry 2nd Edition by Sunheimer
View Document

Test Bank for Clinical Laboratory Chemistry 2nd Edition by Sunheimer

  • tutor_gesco

    tutor_gesco

  • test bank

Test Bank for Clinical Laboratory Chemistry 2nd Edition by Sunheimer – Download PDF...

15 USD

0

0

Test Bank for Clinical Imaging 3rd Edition by Marchiori
View Document

Test Bank for Clinical Imaging 3rd Edition by Marchiori

  • tutor_gesco

    tutor_gesco

  • test bank

Test Bank for Clinical Imaging 3rd Edition by Marchiori – Download PDF...

15 USD

0

0

Test Bank for Bailey and Scotts Diagnostic Microbiology 13th Edition by Tille
View Document

Test Bank for Bailey and Scotts Diagnostic Microbiology 13th Edition by Tille

  • tutor_gesco

    tutor_gesco

  • test bank

Test Bank for Bailey and Scotts Diagnostic Microbiology 13th Edition by Tille...

11 USD

0

0

Test Bank for Administrative Medical Assisting 8th Edition by French
View Document

Test Bank for Administrative Medical Assisting 8th Edition by French

  • tutor_gesco

    tutor_gesco

  • test bank

Test Bank for Administrative Medical Assisting 8th Edition by French...

16 USD

0

0

Test Bank for Administrative Medical Assisting 6th Edition by Lindh
View Document

Test Bank for Administrative Medical Assisting 6th Edition by Lindh

  • tutor_gesco

    tutor_gesco

  • test bank

Test Bank for Administrative Medical Assisting 6th Edition by Lindh – Download PDF...

15 USD

0

0

HESI A2 Biology Real Exam Questions & Answers V1 and V2
View Document

HESI A2 Biology Real Exam Questions & Answers V1 and V2

  • mentor2000

    mentor2000

  • exam

Get ready for the HESI A2 Biology exam with 90+ real-style questions and answers from Versions 1 and 2. Perfect for 2025...

6 USD

0

0

Lewiss Medical-Surgical Nursing Assessment and Management of Clinical Problems 11th Edition Complete Test Bank
View Document

Lewiss Medical-Surgical Nursing Assessment and Management of Clinical Problems 11th Edition Complete Test Bank

  • mentor2000

    mentor2000

  • exam

Lewiss Medical-Surgical Nursing Assessment and Management of Clinical Problems 11th Edition Complete Test Bank...

16 USD

0

0

NR 599 Test Bank (Chapter 1 to 26) NR599 Question Bank Nursing Informatics And The Foundation (Latest, 2021)
View Document

NR 599 Test Bank (Chapter 1 to 26) NR599 Question Bank Nursing Informatics And The Foundation (Latest, 2021)

  • mentor2000

    mentor2000

  • exam

NR 599 Test Bank (Chapter 1 to 26) NR599 Question Bank Nursing Informatics And The Foundation (Latest, 2021)...

15 USD

0

0

Physical Examination and Health Assessment 8th Edition Test Bank
View Document

Physical Examination and Health Assessment 8th Edition Test Bank

  • mentor2000

    mentor2000

  • exam

Physical Examination and Health Assessment 8th Edition Test Bank...

11 USD

0

0

Test Bank For Applied Pathophysiology A Conceptual Approach to the Mechanisms of Disease 3rd Edition Braun
View Document

Test Bank For Applied Pathophysiology A Conceptual Approach to the Mechanisms of Disease 3rd Edition Braun

  • mentor2000

    mentor2000

  • exam

Test Bank For Applied Pathophysiology A Conceptual Approach to the Mechanisms of Disease 3rd Edition Braun...

15 USD

0

0

Test Bank for Clinical Immunology And Serology; A Laboratory Perspective, 4th Edition Test Bank by Stevens
View Document

Test Bank for Clinical Immunology And Serology; A Laboratory Perspective, 4th Edition Test Bank by Stevens

  • mentor2000

    mentor2000

  • exam

Test Bank for Clinical Immunology And Serology; A Laboratory Perspective, 4th Edition Test Bank by Stevens...

15 USD

0

0

Test Bank for Davis Advantage for Fundamentals of Nursing (2 Volume Set) 4th Edition Judith M. Wilkinson, Leslie S. Treas
View Document

Test Bank for Davis Advantage for Fundamentals of Nursing (2 Volume Set) 4th Edition Judith M. Wilkinson, Leslie S. Treas

  • mentor2000

    mentor2000

  • exam

Achieve thorough exam prep with the Test Bank for Davis Advantage for Fundamentals of Nursing, 4th Edition (2-Volume Set...

15 USD

0

0

Test Bank for Nursing Leadership and Management
View Document

Test Bank for Nursing Leadership and Management

  • mentor2000

    mentor2000

  • exam

Test Bank for Nursing Leadership and Management...

15 USD

0

0

Test Bank for Understanding Anatomy & Physiology, 3rd Edition, Gale Sloan Thompson, ISBN-13; 9780803676459
View Document

Test Bank for Understanding Anatomy & Physiology, 3rd Edition, Gale Sloan Thompson, ISBN-13; 9780803676459

  • mentor2000

    mentor2000

  • exam

Test Bank for Understanding Anatomy & Physiology, 3rd Edition, Gale Sloan Thompson, ISBN-13; 9780803676459...

15 USD

0

0

Test Bank of Organic Chemistry 4th Edition By Janice Smith
View Document

Test Bank of Organic Chemistry 4th Edition By Janice Smith

  • mentor2000

    mentor2000

  • test bank

Test Bank of Organic Chemistry 4th Edition By Janice Smith...

15 USD

0

0

Test Bank for Bailey and Scotts Diagnostic Microbiology 13th Edition by Tille.
View Document

Test Bank for Bailey and Scotts Diagnostic Microbiology 13th Edition by Tille.

  • harrie

    harrie

  • test bank

Test Bank for Bailey and Scotts Diagnostic Microbiology 13th Edition by Tille....

15 USD

0

0

Test Bank for Clinical Imaging 3rd Edition by Marchiori.
View Document

Test Bank for Clinical Imaging 3rd Edition by Marchiori.

  • harrie

    harrie

  • test bank

Test Bank for Clinical Imaging 3rd Edition by Marchiori....

16 USD

0

0

Test Bank for Comprehensive Health Insurance 3rd Edition by Vines.
View Document

Test Bank for Comprehensive Health Insurance 3rd Edition by Vines.

  • harrie

    harrie

  • test bank

Test Bank for Comprehensive Health Insurance 3rd Edition by Vines....

16 USD

0

0

Test Bank for Diet and Nutrition in Oral Health 3rd Edition by Palmer.
View Document

Test Bank for Diet and Nutrition in Oral Health 3rd Edition by Palmer.

  • harrie

    harrie

  • test bank

Test Bank for Diet and Nutrition in Oral Health 3rd Edition by Palmer....

17 USD

0

1

Test Bank for Electronic Health Records 3rd Edition by Hamilton
View Document

Test Bank for Electronic Health Records 3rd Edition by Hamilton

  • harrie

    harrie

  • test bank

Test Bank for Electronic Health Records 3rd Edition by Hamilton...

17 USD

0

0

Test Bank for Essentials of Human Diseases and Conditions 6th Edition by Frazier.
View Document

Test Bank for Essentials of Human Diseases and Conditions 6th Edition by Frazier.

  • harrie

    harrie

  • test bank

Test Bank for Essentials of Human Diseases and Conditions 6th Edition by Frazier....

17 USD

0

0

Test Bank for Focus on Pharmacology 3rd Edition by Moini
View Document

Test Bank for Focus on Pharmacology 3rd Edition by Moini

  • harrie

    harrie

  • test bank

Test Bank for Focus on Pharmacology 3rd Edition by Moini...

13 USD

0

0

Test Bank for Fundamental Orthopedic Management for the Physical Therapist Assistant 4th Edition by Manske .
View Document

Test Bank for Fundamental Orthopedic Management for the Physical Therapist Assistant 4th Edition by Manske .

  • harrie

    harrie

  • test bank

Test Bank for Fundamental Orthopedic Management for the Physical Therapist Assistant 4th Edition by Manske ....

15 USD

0

0

Test Bank for Health Information 5th Edition by Abdelhak.
View Document

Test Bank for Health Information 5th Edition by Abdelhak.

  • harrie

    harrie

  • test bank

Test Bank for Health Information 5th Edition by Abdelhak....

19 USD

0

0

Test Bank for Kinns The Administrative Medical Assistant 13th Edition by Proctor
View Document

Test Bank for Kinns The Administrative Medical Assistant 13th Edition by Proctor

  • harrie

    harrie

  • test bank

Test Bank for Kinns The Administrative Medical Assistant 13th Edition by Proctor...

15 USD

0

0

Test Bank for Laboratory and Diagnostic Testing in Ambulatory Care 3rd Edition by Garrels
View Document

Test Bank for Laboratory and Diagnostic Testing in Ambulatory Care 3rd Edition by Garrels

  • harrie

    harrie

  • test bank

Test Bank for Laboratory and Diagnostic Testing in Ambulatory Care 3rd Edition by Garrels...

16 USD

0

0

Test Bank for Lehnes Pharmacology for Nursing Care 9th Edition by Burchum.
View Document

Test Bank for Lehnes Pharmacology for Nursing Care 9th Edition by Burchum.

  • harrie

    harrie

  • test bank

Test Bank for Lehnes Pharmacology for Nursing Care 9th Edition by Burchum....

14 USD

0

0

Test Bank for Mastering Healthcare Terminology 5th Edition by Shiland
View Document

Test Bank for Mastering Healthcare Terminology 5th Edition by Shiland

  • harrie

    harrie

  • test bank

Test Bank for Mastering Healthcare Terminology 5th Edition by Shiland...

17 USD

0

0

Test Bank for Medical Terminology 2nd Edition by Bostwick
View Document

Test Bank for Medical Terminology 2nd Edition by Bostwick

  • harrie

    harrie

  • test bank

Test Bank for Medical Terminology 2nd Edition by Bostwick...

15 USD

0

0

Test Bank for Mosbys Textbook for Long Term Care Nursing Assistants 7th Edition by Kostelnick.
View Document

Test Bank for Mosbys Textbook for Long Term Care Nursing Assistants 7th Edition by Kostelnick.

  • harrie

    harrie

  • test bank

Test Bank for Mosbys Textbook for Long Term Care Nursing Assistants 7th Edition by Kostelnick....

17 USD

0

0

Test Bank for Mosbys Textbook for Nursing Assistants 9th Edition by Sorrentino
View Document

Test Bank for Mosbys Textbook for Nursing Assistants 9th Edition by Sorrentino

  • harrie

    harrie

  • test bank

Test Bank for Mosbys Textbook for Nursing Assistants 9th Edition by Sorrentino...

16 USD

0

0

Test Bank for Radiation Protection in Medical Radiography 8th Edition by Sherer
View Document

Test Bank for Radiation Protection in Medical Radiography 8th Edition by Sherer

  • harrie

    harrie

  • test bank

Test Bank for Radiation Protection in Medical Radiography 8th Edition by Sherer...

16 USD

0

0

Test Bank for Nursing Research 8th Edition by LoBiondo Wood.
View Document

Test Bank for Nursing Research 8th Edition by LoBiondo Wood.

  • harrie

    harrie

  • test bank

Test Bank for Nursing Research 8th Edition by LoBiondo Wood. – Download PDF...

17 USD

0

0

Test Bank for Sonography Principles and Instruments 9th Edition by Kremkau
View Document

Test Bank for Sonography Principles and Instruments 9th Edition by Kremkau

  • harrie

    harrie

  • test bank

Test Bank for Sonography Principles and Instruments 9th Edition by Kremkau...

15 USD

0

0

Test Bank for Raus Respiratory Care Pharmacology 9th Edition by Gardenhire.
View Document

Test Bank for Raus Respiratory Care Pharmacology 9th Edition by Gardenhire.

  • harrie

    harrie

  • test bank

Test Bank for Raus Respiratory Care Pharmacology 9th Edition by Gardenhire. – Download PDF...

15 USD

0

0

Test Bank for The Language of Medicine 11th Edition by Chabner.
View Document

Test Bank for The Language of Medicine 11th Edition by Chabner.

  • harrie

    harrie

  • test bank

Test Bank for The Language of Medicine 11th Edition by Chabner....

15 USD

0

0

Test Bank for The Muscular System Manual 4th Edition by Muscolino.
View Document

Test Bank for The Muscular System Manual 4th Edition by Muscolino.

  • harrie

    harrie

  • test bank

Test Bank for The Muscular System Manual 4th Edition by Muscolino....

15 USD

0

0

Test Bank for The United States Health Care System 3rd Edition by Austin.
View Document

Test Bank for The United States Health Care System 3rd Edition by Austin.

  • harrie

    harrie

  • test bank

Test Bank for The United States Health Care System 3rd Edition by Austin....

16 USD

0

0

Test Bank for Tietz Fundamentals of Clinical Chemistry and Molecular Diagnostics 7th Edition by Burtis
View Document

Test Bank for Tietz Fundamentals of Clinical Chemistry and Molecular Diagnostics 7th Edition by Burtis

  • harrie

    harrie

  • test bank

Test Bank for Tietz Fundamentals of Clinical Chemistry and Molecular Diagnostics 7th Edition by Burtis...

16 USD

0

0

Test Bank for Understanding Hospital Billing and Coding 3rd Edition by Ferenc
View Document

Test Bank for Understanding Hospital Billing and Coding 3rd Edition by Ferenc

  • harrie

    harrie

  • test bank

Test Bank for Understanding Hospital Billing and Coding 3rd Edition by Ferenc...

16 USD

0

0

Test Bank for US A Narrative History 8th Edition by Davidson.
View Document

Test Bank for US A Narrative History 8th Edition by Davidson.

  • harrie

    harrie

  • test bank

Test Bank for US A Narrative History 8th Edition by Davidson....

16 USD

0

0

TEST BANK ILLUSTRATED DENTAL EMBRYOLOGY HISTOLOGY AND ANATOMY 4TH EDITION FEHRENBACH
View Document

TEST BANK ILLUSTRATED DENTAL EMBRYOLOGY HISTOLOGY AND ANATOMY 4TH EDITION FEHRENBACH

  • mentor2000

    mentor2000

  • test bank

TEST BANK ILLUSTRATED DENTAL EMBRYOLOGY HISTOLOGY AND ANATOMY 4TH EDITION FEHRENBACH...

15 USD

0

1

Test Bank for Principles of Pediatric Nursing: Caring for Children 6th Edition by Ball
View Document

Test Bank for Principles of Pediatric Nursing: Caring for Children 6th Edition by Ball

  • mentor2000

    mentor2000

  • test bank

Test Bank for Principles of Pediatric Nursing: Caring for Children 6th Edition by Ball...

15 USD

0

0

Test Bank For Principles of Pediatric Nursing: Caring for Children, 7e (Ball et al.)
View Document

Test Bank For Principles of Pediatric Nursing: Caring for Children, 7e (Ball et al.)

  • mentor2000

    mentor2000

  • test bank

Test Bank For Principles of Pediatric Nursing: Caring for Children, 7e (Ball et al.) Chapter 1 Nurse's Role in Care of ...

12 USD

0

0

Test Bank for Surgical Technology for the Surgical Technologist 5th Edition
View Document

Test Bank for Surgical Technology for the Surgical Technologist 5th Edition

  • harrie

    harrie

  • test bank

Test Bank for Surgical Technology for the Surgical Technologist 5th Edition...

15 USD

0

0

Test Bank for Textbook of Diagnostic Microbiology 5th Edition by Mahon
View Document

Test Bank for Textbook of Diagnostic Microbiology 5th Edition by Mahon

  • harrie

    harrie

  • test bank

Test Bank for Textbook of Diagnostic Microbiology 5th Edition by Mahon...

13 USD

0

0

Test Bank for The Dental Hygienists Guide to Nutritional Care 4th Edition by Stegeman
View Document

Test Bank for The Dental Hygienists Guide to Nutritional Care 4th Edition by Stegeman

  • harrie

    harrie

  • test bank

Test Bank for The Dental Hygienists Guide to Nutritional Care 4th Edition by Stegeman...

12 USD

0

0

Test Bank for The Nurse The Math The Meds 3rd Edition by Mulholland
View Document

Test Bank for The Nurse The Math The Meds 3rd Edition by Mulholland

  • harrie

    harrie

  • test bank

Test Bank for The Nurse The Math The Meds 3rd Edition by Mulholland...

17 USD

0

0

Test Bank for Understanding Human Behavior 9th Edition by Honeycutt
View Document

Test Bank for Understanding Human Behavior 9th Edition by Honeycutt

  • harrie

    harrie

  • test bank

Test Bank for Understanding Human Behavior 9th Edition by Honeycutt...

12 USD

0

0

Test Bank for Administrative Medical Assisting 6th Edition by Lindh.
View Document

Test Bank for Administrative Medical Assisting 6th Edition by Lindh.

  • harrie

    harrie

  • test bank

Test Bank for Administrative Medical Assisting 6th Edition by Lindh....

14 USD

0

0

Test Bank for Administrative Medical Assisting 8th Edition by French.
View Document

Test Bank for Administrative Medical Assisting 8th Edition by French.

  • harrie

    harrie

  • test bank

Test Bank for Administrative Medical Assisting 8th Edition by French....

15 USD

0

0

Test Bank for Dental Assisting A Comprehensive Approach 5th Edition by Phinney.
View Document

Test Bank for Dental Assisting A Comprehensive Approach 5th Edition by Phinney.

  • harrie

    harrie

  • test bank

Test Bank for Dental Assisting A Comprehensive Approach 5th Edition by Phinney....

16 USD

0

0

Test Bank for Dental Materials 3rd Edition by Hatrick
View Document

Test Bank for Dental Materials 3rd Edition by Hatrick

  • harrie

    harrie

  • test bank

Test Bank for Dental Materials 3rd Edition by Hatrick – Download PDF...

15 USD

0

0

Test Bank for Essentials of Dental Assisting 6th Edition by Robinson.
View Document

Test Bank for Essentials of Dental Assisting 6th Edition by Robinson.

  • harrie

    harrie

  • test bank

Test Bank for Essentials of Dental Assisting 6th Edition by Robinson....

14 USD

0

0

Test Bank for Introduction to Health Care 4th Edition by Mitchell.
View Document

Test Bank for Introduction to Health Care 4th Edition by Mitchell.

  • harrie

    harrie

  • test bank

Test Bank for Introduction to Health Care 4th Edition by Mitchell....

13 USD

0

0

Test Bank for Local Anesthesia for the Dental Hygienist 2nd Edition by Logothetis.
View Document

Test Bank for Local Anesthesia for the Dental Hygienist 2nd Edition by Logothetis.

  • harrie

    harrie

  • test bank

Test Bank for Local Anesthesia for the Dental Hygienist 2nd Edition by Logothetis....

15 USD

0

0

Test Bank for Medical Coding Fundamentals by Goldsmith.
View Document

Test Bank for Medical Coding Fundamentals by Goldsmith.

  • harrie

    harrie

  • test bank

Test Bank for Medical Coding Fundamentals by Goldsmith....

14 USD

0

0

Test Bank for Medical Terminology 3rd Edition by Thierer.
View Document

Test Bank for Medical Terminology 3rd Edition by Thierer.

  • harrie

    harrie

  • test bank

Test Bank for Medical Terminology 3rd Edition by Thierer....

14 USD

0

0

Test Bank for Oral Pathology 7th Edition by Regezi.
View Document

Test Bank for Oral Pathology 7th Edition by Regezi.

  • harrie

    harrie

  • test bank

Test Bank for Oral Pathology 7th Edition by Regezi....

15 USD

0

0

Test Bank for Palkos Medical Laboratory Procedures 3rd Edition by Cox.
View Document

Test Bank for Palkos Medical Laboratory Procedures 3rd Edition by Cox.

  • harrie

    harrie

  • test bank

Test Bank for Palkos Medical Laboratory Procedures 3rd Edition by Cox....

16 USD

0

0

Test Bank for Pharmacology for the Surgical Technologist 4th Edition by Snyder.
View Document

Test Bank for Pharmacology for the Surgical Technologist 4th Edition by Snyder.

  • harrie

    harrie

  • test bank

Test Bank for Pharmacology for the Surgical Technologist 4th Edition by Snyder....

15 USD

0

0

Test Bank for Radiation Protection in Medical Radiography 7th Edition by Sherer.
View Document

Test Bank for Radiation Protection in Medical Radiography 7th Edition by Sherer.

  • harrie

    harrie

  • test bank

Test Bank for Radiation Protection in Medical Radiography 7th Edition by Sherer....

15 USD

0

0

Test Bank for Radiographic Pathology for Technologists 6th Edition by Kowalczyk.
View Document

Test Bank for Radiographic Pathology for Technologists 6th Edition by Kowalczyk.

  • harrie

    harrie

  • test bank

Test Bank for Radiographic Pathology for Technologists 6th Edition by Kowalczyk. – Download PDF...

15 USD

0

0

Test Bank for Structural Balancing by Wright.
View Document

Test Bank for Structural Balancing by Wright.

  • harrie

    harrie

  • test bank

Test Bank for Structural Balancing by Wright. – Download PDF...

15 USD

0

0

Test Bank for Surgical Technology for the Surgical Technologist 5th Edition.
View Document

Test Bank for Surgical Technology for the Surgical Technologist 5th Edition.

  • harrie

    harrie

  • test bank

Test Bank for Surgical Technology for the Surgical Technologist 5th Edition....

14 USD

0

0

Test Bank for Advanced Assessment: Interpreting Findings and Formulating Differential Diagnoses, 4th Edition, Mary Jo Goolsby, Laurie Grubbs
View Document

Test Bank for Advanced Assessment: Interpreting Findings and Formulating Differential Diagnoses, 4th Edition, Mary Jo Goolsby, Laurie Grubbs

  • mentor2000

    mentor2000

  • test bank

Test Bank for Advanced Assessment: Interpreting Findings and Formulating Differential Diagnoses, 4th Edition, Mary Jo Go...

15 USD

0

0

Test Bank for Voice Disorders by Ferrand
View Document

Test Bank for Voice Disorders by Ferrand

  • mentor2000

    mentor2000

  • test bank

Test Bank for Voice Disorders by Ferrand...

15 USD

0

0

Test Bank for Understanding the Essentials of Critical Care Nursing 3rd Edition by Perrin
View Document

Test Bank for Understanding the Essentials of Critical Care Nursing 3rd Edition by Perrin

  • mentor2000

    mentor2000

  • test bank

Test Bank for Understanding the Essentials of Critical Care Nursing 3rd Edition by Perrin...

15 USD

0

0

Test Bank for The Voice and Voice Therapy 9th Edition by Boone
View Document

Test Bank for The Voice and Voice Therapy 9th Edition by Boone

  • mentor2000

    mentor2000

  • test bank

Get PDF Test Bank for The Voice and Voice Therapy 9th Edition by Boone...

15 USD

0

0

Test Bank for The Development of Language 9th Edition by Gleason
View Document

Test Bank for The Development of Language 9th Edition by Gleason

  • mentor2000

    mentor2000

  • test bank

Test Bank for The Development of Language 9th Edition by Gleason...

15 USD

0

0

Test Bank for Surgical Technology 8th Edition by Kotcher Fuller
View Document

Test Bank for Surgical Technology 8th Edition by Kotcher Fuller

  • mentor2000

    mentor2000

  • test bank

Ace your exams with the Test Bank for Surgical Technology, 8th Edition by Kotcher & Fuller. Get instant access to all ch...

15 USD

0

3

Test Bank for Sonography 5th Edition by Curry
View Document

Test Bank for Sonography 5th Edition by Curry

  • mentor2000

    mentor2000

  • test bank

Get PDF copy of Sonography 5th Edition by Reva Arnez Curry Test Bank...

15 USD

0

0

Test Bank for Rodaks Hematology 5th Edition by Keohane
View Document

Test Bank for Rodaks Hematology 5th Edition by Keohane

  • mentor2000

    mentor2000

  • test bank

Test Bank for Rodaks Hematology 5th Edition by Keohane...

15 USD

0

0

Test Bank for Radiologic Science for Technologists 12th Edition by Bushong
View Document

Test Bank for Radiologic Science for Technologists 12th Edition by Bushong

  • mentor2000

    mentor2000

  • test bank

Get the comprehensive test bank for Radiologic Science for Technologists, 12th Edition by Bushong, designed to enhance y...

15 USD

0

2

Test Bank for Radiography Essentials for Limited Practice 6th Edition by Long
View Document

Test Bank for Radiography Essentials for Limited Practice 6th Edition by Long

  • mentor2000

    mentor2000

  • test bank

Test Bank for Radiography Essentials for Limited Practice 6th Edition by Long...

15 USD

0

0

Test Bank for Radiographic Imaging and Exposure 6th Edition by Fauber
View Document

Test Bank for Radiographic Imaging and Exposure 6th Edition by Fauber

  • mentor2000

    mentor2000

  • test bank

Get Valuable Test Bank for Radiographic Imaging and Exposure 6th Edition by Fauber. Instant PDF Download....

15 USD

0

0

Test Bank for Public Health Science and Nursing Practice Caring For Populations by Savage
View Document

Test Bank for Public Health Science and Nursing Practice Caring For Populations by Savage

  • mentor2000

    mentor2000

  • test bank

Test Bank for Public Health Science and Nursing Practice Caring For Populations by Savage...

15 USD

0

0

Test Bank for Professional Nursing Practice 7th Edition by Blais
View Document

Test Bank for Professional Nursing Practice 7th Edition by Blais

  • mentor2000

    mentor2000

  • test bank

Test Bank for Professional Nursing Practice 7th Edition by Blais...

15 USD

0

0

Complete Test Bank for Pilbeam’s Mechanical Ventilation (7th Edition) by Cairo
View Document

Complete Test Bank for Pilbeam’s Mechanical Ventilation (7th Edition) by Cairo

  • mentor2000

    mentor2000

  • test bank

Download (PDF) the verified Test Bank for Pilbeam’s Mechanical Ventilation, 7th Edition by J.M. Cairo. Perfect for res...

15 USD

0

1

Test Bank for Pharmacology for the Surgical Technologist 5th Edition by Howe
View Document

Test Bank for Pharmacology for the Surgical Technologist 5th Edition by Howe

  • mentor2000

    mentor2000

  • test bank

Test Bank for Pharmacology for the Surgical Technologist 5th Edition by Howe...

15 USD

0

0

Test Bank for Pharmacology 7th Edition by Hitner
View Document

Test Bank for Pharmacology 7th Edition by Hitner

  • mentor2000

    mentor2000

  • test bank

Test Bank for Pharmacology 7th Edition by Hitner...

15 USD

0

0

Test Bank for Pediatric Skills for Occupational Therapy Assistants 5th Edition by Solomon
View Document

Test Bank for Pediatric Skills for Occupational Therapy Assistants 5th Edition by Solomon

  • mentor2000

    mentor2000

  • test bank

Test Bank for Pediatric Skills for Occupational Therapy Assistants 5th Edition by Solomon...

15 USD

0

0

Test Bank for Patient Centered Pharmacology by Tindall
View Document

Test Bank for Patient Centered Pharmacology by Tindall

  • mentor2000

    mentor2000

  • test bank

Struggling with pharmacology? Get the Test Bank for Patient-Centered Pharmacology by Tindall—real exam questions, accu...

15 USD

0

0

Test Bank for Patient Care in Radiography 10th Edition by Ehrlich
View Document

Test Bank for Patient Care in Radiography 10th Edition by Ehrlich

  • mentor2000

    mentor2000

  • test bank

Enhance your radiography studies with the Comprehensive Test Bank for Patient Care in Radiography, 10th Edition by Ruth ...

15 USD

0

0

Test Bank for Pathophysiology Introductory Concepts and Clinical Perspectives by Capriotti
View Document

Test Bank for Pathophysiology Introductory Concepts and Clinical Perspectives by Capriotti

  • mentor2000

    mentor2000

  • test bank

Test Bank for Pathophysiology Introductory Concepts and Clinical Perspectives by Capriotti...

15 USD

0

0

Test Bank for Nursing Assistant 12th Edition by Acello
View Document

Test Bank for Nursing Assistant 12th Edition by Acello

  • mentor2000

    mentor2000

  • test bank

Master your CNA exams with the Test Bank for Nursing Assistant, 12th Edition by Acello. Instant download, real exam-styl...

15 USD

0

0

Test Bank for Modern Dental Assisting 13th Edition by Bird
View Document

Test Bank for Modern Dental Assisting 13th Edition by Bird

  • mentor2000

    mentor2000

  • test bank

Test Bank for Modern Dental Assisting 13th Edition by Bird...

15 USD

0

0

Test Bank for Medical Terminology and Anatomy for Coding 4th Edition by Shiland
View Document

Test Bank for Medical Terminology and Anatomy for Coding 4th Edition by Shiland

  • mentor2000

    mentor2000

  • test bank

Test Bank for Medical Terminology and Anatomy for Coding 4th Edition by Shiland...

15 USD

0

0

Test Bank for Medical Terminology An Accelerated Approach by Jones
View Document

Test Bank for Medical Terminology An Accelerated Approach by Jones

  • mentor2000

    mentor2000

  • test bank

Test Bank for Medical Terminology An Accelerated Approach by Jones...

15 USD

0

0

Test Bank for Medical Office Procedures 8th Edition by Bayes
View Document

Test Bank for Medical Office Procedures 8th Edition by Bayes

  • mentor2000

    mentor2000

  • test bank

Test Bank for Medical Office Procedures 8th Edition by Bayes...

15 USD

0

0

Test Bank for Medical Insurance 7th Edition by Valerius
View Document

Test Bank for Medical Insurance 7th Edition by Valerius

  • mentor2000

    mentor2000

  • test bank

Test Bank for Medical Insurance 7th Edition by Valerius...

15 USD

0

0

Test Bank for Math and Dosage Calculations for Healthcare Professionals 5th Edition by Booth
View Document

Test Bank for Math and Dosage Calculations for Healthcare Professionals 5th Edition by Booth

  • mentor2000

    mentor2000

  • test bank

Test Bank for Math and Dosage Calculations for Healthcare Professionals 5th Edition by Booth...

15 USD

0

0

Test Bank for Maternal Child Nursing Care 2nd Edition by Ward
View Document

Test Bank for Maternal Child Nursing Care 2nd Edition by Ward

  • mentor2000

    mentor2000

  • test bank

Test Bank for Maternal Child Nursing Care 2nd Edition by Ward...

15 USD

0

0

Test Bank for Massage Therapy 6th Edition by Salvo
View Document

Test Bank for Massage Therapy 6th Edition by Salvo

  • mentor2000

    mentor2000

  • test bank

Prepare for success with the Test Bank for Massage Therapy: Principles and Practice, 6th Edition by Susan G. Salvo. Comp...

15 USD

0

0

Test Bank for Kinesiology 3rd Edition by Muscolino
View Document

Test Bank for Kinesiology 3rd Edition by Muscolino

  • mentor2000

    mentor2000

  • test bank

Test Bank for Kinesiology 3rd Edition by Muscolino...

15 USD

0

0

Test Bank for Introduction to Communication Disorders 5th Edition by Owens
View Document

Test Bank for Introduction to Communication Disorders 5th Edition by Owens

  • mentor2000

    mentor2000

  • test bank

Test Bank for Introduction to Communication Disorders 5th Edition by Owens...

15 USD

0

0

Test Bank for Introduction to Auditory Rehabilitation by Johnson
View Document

Test Bank for Introduction to Auditory Rehabilitation by Johnson

  • mentor2000

    mentor2000

  • test bank

Test Bank for Introduction to Auditory Rehabilitation by Johnson...

15 USD

0

0

Test Bank for Introduction to Audiology Today by Hall
View Document

Test Bank for Introduction to Audiology Today by Hall

  • mentor2000

    mentor2000

  • test bank

Test Bank for Introduction to Audiology Today by Hall...

15 USD

0

0

Test Bank for Immunology and Serology in Laboratory Medicine 7th Edition by Turgeon
View Document

Test Bank for Immunology and Serology in Laboratory Medicine 7th Edition by Turgeon

  • mentor2000

    mentor2000

  • test bank

Test Bank for Immunology and Serology in Laboratory Medicine 7th Edition by Turgeon...

15 USD

0

0

Test Bank for ICD 10 CM PCS Coding Theory and Practice 2021 2022 Edition
View Document

Test Bank for ICD 10 CM PCS Coding Theory and Practice 2021 2022 Edition

  • mentor2000

    mentor2000

  • test bank

Test Bank for ICD 10 CM PCS Coding Theory and Practice...

15 USD

0

0

Test Bank for Health Insurance Today 7th Edition by Beik
View Document

Test Bank for Health Insurance Today 7th Edition by Beik

  • mentor2000

    mentor2000

  • test bank

Test Bank for Health Insurance Today 7th Edition by Beik...

15 USD

0

0

Test Bank for Health Information Management and Technology by Shanholtzer
View Document

Test Bank for Health Information Management and Technology by Shanholtzer

  • mentor2000

    mentor2000

  • test bank

Test Bank for Health Information Management and Technology by Shanholtzer...

15 USD

0

0

Test Bank for Health Assessment and Physical Examination 3rd Edition by Forbes
View Document

Test Bank for Health Assessment and Physical Examination 3rd Edition by Forbes

  • mentor2000

    mentor2000

  • test bank

Test Bank for Health Assessment and Physical Examination 3rd Edition by Forbes...

15 USD

0

0

Test Bank for Health Assessment and Physical Examination 2nd Australian and New Zealand Edition by Zastor Estes
View Document

Test Bank for Health Assessment and Physical Examination 2nd Australian and New Zealand Edition by Zastor Estes

  • mentor2000

    mentor2000

  • test bank

Test Bank for Health Assessment and Physical Examination 2nd Australian and New Zealand Edition by Zastor Estes...

15 USD

0

0

Test Bank for Gerontological Nursing 4th Edition by Tabloski
View Document

Test Bank for Gerontological Nursing 4th Edition by Tabloski

  • mentor2000

    mentor2000

  • test bank

Test Bank for Gerontological Nursing 4th Edition by Tabloski...

16 USD

0

1

Test Bank for Fundamentals of Nursing Care 2nd Edition by Burton
View Document

Test Bank for Fundamentals of Nursing Care 2nd Edition by Burton

  • mentor2000

    mentor2000

  • test bank

Test Bank for Fundamentals of Nursing Care 2nd Edition by Burton...

15 USD

0

0

Test Bank for Fundamentals of Nursing 6th Australia and NZ Edition by Crisp
View Document

Test Bank for Fundamentals of Nursing 6th Australia and NZ Edition by Crisp

  • mentor2000

    mentor2000

  • test bank

Test Bank for Fundamentals of Nursing 6th Australia and NZ Edition by Crisp...

15 USD

0

0

Test Bank for Fundamentals of Nursing 3rd Edition by Wilkinson
View Document

Test Bank for Fundamentals of Nursing 3rd Edition by Wilkinson

  • mentor2000

    mentor2000

  • test bank

Test Bank for Fundamentals of Nursing 3rd Edition by Wilkinson...

15 USD

0

0

Test Bank for Fundamentals of Nursing 1st Australia and New Zealand Edition by DeLaune
View Document

Test Bank for Fundamentals of Nursing 1st Australia and New Zealand Edition by DeLaune

  • mentor2000

    mentor2000

  • test bank

Test Bank for Fundamentals of Nursing 1st Australia and New Zealand Edition by DeLaune...

15 USD

0

0

Verified Test Bank for Foundations of Nursing Research 7th Edition | Nieswiadomy
View Document

Verified Test Bank for Foundations of Nursing Research 7th Edition | Nieswiadomy

  • mentor2000

    mentor2000

  • test bank

Verified Test Bank for Foundations of Nursing Research 7th Edition | Nieswiadomy...

15 USD

0

0

Test Bank for Foundations of Nursing 1st Australia and New Zealand Edition by Clarke
View Document

Test Bank for Foundations of Nursing 1st Australia and New Zealand Edition by Clarke

  • mentor2000

    mentor2000

  • test bank

Test Bank for Foundations of Nursing 1st Australia and New Zealand Edition by Clarke...

15 USD

0

0

Test Bank for Dosage Calculations 4th Edition by Pickar
View Document

Test Bank for Dosage Calculations 4th Edition by Pickar

  • mentor2000

    mentor2000

  • test bank

Test Bank for Dosage Calculations 4th Edition by Pickar...

15 USD

0

0

Test Bank for Differentiating Surgical Instruments 2nd Edition by Rutherford
View Document

Test Bank for Differentiating Surgical Instruments 2nd Edition by Rutherford

  • mentor2000

    mentor2000

  • test bank

Test Bank for Differentiating Surgical Instruments 2nd Edition by Rutherford...

15 USD

0

0

Test Bank for Dental Materials 4th Edition by Eakle
View Document

Test Bank for Dental Materials 4th Edition by Eakle

  • mentor2000

    mentor2000

  • test bank

Test Bank for Dental Materials 4th Edition by Eakle...

15 USD

0

0

Complete Test Bank for Cultural Diversity in Health and Illness (9th Edition) by Spector
View Document

Complete Test Bank for Cultural Diversity in Health and Illness (9th Edition) by Spector

  • mentor2000

    mentor2000

  • test bank

Test Bank for Cultural Diversity in Health and Illness 9th Edition by Spector...

15 USD

0

0

Test Bank – Core Concepts in Pharmacology, 5th Edition by Holland
View Document

Test Bank – Core Concepts in Pharmacology, 5th Edition by Holland

  • mentor2000

    mentor2000

  • test bank

Test Bank for Core Concepts in Pharmacology 5th Edition by Holland...

15 USD

0

0

Test Bank for Concept Based Clinical Nursing Skills 1st Edition by Stein
View Document

Test Bank for Concept Based Clinical Nursing Skills 1st Edition by Stein

  • mentor2000

    mentor2000

  • test bank

Test Bank for Concept Based Clinical Nursing Skills 1st Edition by Stein...

15 USD

0

0

Stein’s Concept-Based Clinical Nursing Skills 1st Ed | Verified Test Bank
View Document

Stein’s Concept-Based Clinical Nursing Skills 1st Ed | Verified Test Bank

  • mentor2000

    mentor2000

  • test bank

Test Bank for Concept Based Clinical Nursing Skills 1st Edition by Stein...

15 USD

0

1

Complete Test Bank for Communication Sciences and Disorders (3rd Edition) by Justice
View Document

Complete Test Bank for Communication Sciences and Disorders (3rd Edition) by Justice

  • mentor2000

    mentor2000

  • test bank

Test Bank for Communication Sciences and Disorders 3rd Edition by Justice....

15 USD

0

0

Test Bank – Clinical Laboratory Urinalysis and Body Fluids by Karen R. Stockwin
View Document

Test Bank – Clinical Laboratory Urinalysis and Body Fluids by Karen R. Stockwin

  • mentor2000

    mentor2000

  • test bank

Test Bank for Clinical Laboratory Urinalysis and Body Fluids by Stockwin...

15 USD

0

0

LeFever Kee’s Clinical Calculations 9th Edition | Verified Test Bank
View Document

LeFever Kee’s Clinical Calculations 9th Edition | Verified Test Bank

  • mentor2000

    mentor2000

  • test bank

Test Bank for Clinical Calculations 9th Edition by LeFever Kee...

15 USD

0

0

Canadian Nursing Issues and Perspectives 6th Edition Test Bank All Chapters Updated 2024
View Document

Canadian Nursing Issues and Perspectives 6th Edition Test Bank All Chapters Updated 2024

  • mentor2000

    mentor2000

  • test bank

Canadian Nursing Issues and Perspectives 6th Edition Test Bank All Chapters Updated 2024...

15 USD

0

0

Complete Test Bank for Burns and Grove’s The Practice of Nursing Research (9th Edition) by Gray
View Document

Complete Test Bank for Burns and Grove’s The Practice of Nursing Research (9th Edition) by Gray

  • mentor2000

    mentor2000

  • test bank

Get PDF copy for Test Bank For Burns and Grove's The Practice of Nursing Research Appraisal, Synthesis, and Generation o...

15 USD

1

1

Test Bank – Berry and Kohn’s Operating Room Technique, 14th Edition by Phillips
View Document

Test Bank – Berry and Kohn’s Operating Room Technique, 14th Edition by Phillips

  • mentor2000

    mentor2000

  • test bank

Test Bank for Berry and Kohns Operating Room Technique 14th Edition by Phillips...

15 USD

0

0

Test Bank for Basic Nursing: Thinking, Doing, and Caring (2nd Edition) by Leslie S. Treas & Judith M. Wilkinson – All Chapters 1–46 Complete
View Document

Test Bank for Basic Nursing: Thinking, Doing, and Caring (2nd Edition) by Leslie S. Treas & Judith M. Wilkinson – All Chapters 1–46 Complete

  • mentor2000

    mentor2000

  • test bank

Test Bank for Basic Nursing: Thinking, Doing, and Caring (2nd Edition) by Leslie S. Treas & Judith M. Wilkinson – All ...

15 USD

0

0

Test Bank for Basic and Applied Concepts of Blood Banking and Transfusion Practices 5th Edition By Paula Howard, All Chapters 1 - 16, Complete Newest Version
View Document

Test Bank for Basic and Applied Concepts of Blood Banking and Transfusion Practices 5th Edition By Paula Howard, All Chapters 1 - 16, Complete Newest Version

  • mentor2000

    mentor2000

  • test bank

Test Bank for Basic and Applied Concepts of Blood Banking and Transfusion Practices 5th Edition by Howard...

15 USD

0

0

Test Bank for Bailey & Scott's Diagnostic Microbiology, 15th Edition by Tile, 9780323681056, Covering Chapters 1-76 | Includes Rationales
View Document

Test Bank for Bailey & Scott's Diagnostic Microbiology, 15th Edition by Tile, 9780323681056, Covering Chapters 1-76 | Includes Rationales

  • mentor2000

    mentor2000

  • test bank

Test Bank for Bailey & Scott's Diagnostic Microbiology, 15th Edition by Tile, 9780323681056, Covering Chapters 1-76 | In...

15 USD

0

0

Test Bank for Contemporary Maternal-Newborn Nursing, 9e Ladewig et al
View Document

Test Bank for Contemporary Maternal-Newborn Nursing, 9e Ladewig et al

  • mentor2000

    mentor2000

  • test bank

Test Bank for Contemporary Maternal-Newborn Nursing, 9e Ladewig et al...

15 USD

0

0

Test Bank for Immunology and Serology in Laboratory Medicine 7th Edition by Turgeon.
View Document

Test Bank for Immunology and Serology in Laboratory Medicine 7th Edition by Turgeon.

  • harrie

    harrie

  • test bank

Test Bank for Immunology and Serology in Laboratory Medicine 7th Edition by Turgeon. – Download PDF...

14 USD

0

0

Test Bank for Introduction to Audiology Today by Hall.
View Document

Test Bank for Introduction to Audiology Today by Hall.

  • harrie

    harrie

  • test bank

Test Bank for Introduction to Audiology Today by Hall....

14 USD

0

0

Test Bank for Introduction to Auditory Rehabilitation by Johnson.
View Document

Test Bank for Introduction to Auditory Rehabilitation by Johnson.

  • harrie

    harrie

  • test bank

Test Bank for Introduction to Auditory Rehabilitation by Johnson....

13 USD

0

0

Test Bank for Introduction to Communication Disorders 5th Edition by Owens.
View Document

Test Bank for Introduction to Communication Disorders 5th Edition by Owens.

  • harrie

    harrie

  • test bank

Test Bank for Introduction to Communication Disorders 5th Edition by Owens....

10 USD

0

0

Advanced Practice Nursing: Essentials for Role Development 4th Edition Joel Test Bank
View Document

Advanced Practice Nursing: Essentials for Role Development 4th Edition Joel Test Bank

  • harrie

    harrie

  • exam

Advanced Practice Nursing: Essentials for Role Development 4th Edition Joel Test Bank...

16 USD

0

0

Evidence-Based Practice in Nursing and Healthcare 4th Edition Melnyk Test Bank..
View Document

Evidence-Based Practice in Nursing and Healthcare 4th Edition Melnyk Test Bank..

  • harrie

    harrie

  • exam

Evidence-Based Practice in Nursing and Healthcare 4th Edition Melnyk Test Bank.....

13 USD

0

0

Wongs Essentials of Pediatric Nursing 10th Edition by Hockenberry Test Bank.
View Document

Wongs Essentials of Pediatric Nursing 10th Edition by Hockenberry Test Bank.

  • harrie

    harrie

  • exam

Wongs Essentials of Pediatric Nursing 10th Edition by Hockenberry Test Bank....

13 USD

0

0

Lewiss Medical-Surgical Nursing Assessment and Management of Clinical Problems 11th Edition TEST Bank..
View Document

Lewiss Medical-Surgical Nursing Assessment and Management of Clinical Problems 11th Edition TEST Bank..

  • harrie

    harrie

  • exam

Lewiss Medical-Surgical Nursing Assessment and Management of Clinical Problems 11th Edition TEST Bank.. – Download PDF...

13 USD

0

0

McCuistion Pharmacology A Patient-Centered Nursing Process Approach, 10th Edition Test Bank...
View Document

McCuistion Pharmacology A Patient-Centered Nursing Process Approach, 10th Edition Test Bank...

  • harrie

    harrie

  • exam

McCuistion Pharmacology A Patient-Centered Nursing Process Approach, 10th Edition Test Bank......

10 USD

0

0

Nursing Informatics and the Foundation of Knowledge 6th Edition McGonigle Test Bank
View Document

Nursing Informatics and the Foundation of Knowledge 6th Edition McGonigle Test Bank

  • harrie

    harrie

  • exam

Nursing Informatics and the Foundation of Knowledge 6th Edition McGonigle Test Bank – Download PDF...

17 USD

0

0

PRIORITIZATION DELEGATION AND ASSIGNMENT 4TH EDITION LACHARITY TEST BANK...
View Document

PRIORITIZATION DELEGATION AND ASSIGNMENT 4TH EDITION LACHARITY TEST BANK...

  • harrie

    harrie

  • exam

PRIORITIZATION DELEGATION AND ASSIGNMENT 4TH EDITION LACHARITY TEST BANK......

13 USD

0

0

Understanding Medical-Surgical Nursing 6th Edition, 5e Hopper Test Bank
View Document

Understanding Medical-Surgical Nursing 6th Edition, 5e Hopper Test Bank

  • harrie

    harrie

  • exam

Understanding Medical-Surgical Nursing 6th Edition, 5e Hopper Test Bank...

13 USD

0

0

Understanding Medical-Surgical Nursing 6th Edition, 6e Hopper Test Bank
View Document

Understanding Medical-Surgical Nursing 6th Edition, 6e Hopper Test Bank

  • harrie

    harrie

  • exam

Understanding Medical-Surgical Nursing 6th Edition, 6e Hopper Test Bank...

13 USD

0

0

Abnormal Psychology: Clinical Perspectives on Psychological Disorders 9th Edition By Susan Krauss  Test Bank
View Document

Abnormal Psychology: Clinical Perspectives on Psychological Disorders 9th Edition By Susan Krauss Test Bank

  • harrie

    harrie

  • exam

Abnormal Psychology: Clinical Perspectives on Psychological Disorders 9th Edition By Susan Krauss Test Bank...

13 USD

0

0

Test Bank for Pharmacology for Nurses A Pathophysiologic Approach 5th Edition by Adams with rationale
View Document

Test Bank for Pharmacology for Nurses A Pathophysiologic Approach 5th Edition by Adams with rationale

  • GradeA

    GradeA

  • test bank

Test Bank for Pharmacology for Nurses A Pathophysiologic Approach 5th Edition by Adams with rationale – Download PDF...

15 USD

0

0

Advanced Assessment: Interpreting Findings and Formulating Differential Diagnoses 4th Edition Goolsby Test Bank
View Document

Advanced Assessment: Interpreting Findings and Formulating Differential Diagnoses 4th Edition Goolsby Test Bank

  • harrie

    harrie

  • exam

Advanced Assessment: Interpreting Findings and Formulating Differential Diagnoses 4th Edition Goolsby Test Bank...

13 USD

0

0

TEST BANK FOR ASSESSING STUDENTS WITH SPECIAL NEEDS, 5TH EDITION, JOHN J. VENN...
View Document

TEST BANK FOR ASSESSING STUDENTS WITH SPECIAL NEEDS, 5TH EDITION, JOHN J. VENN...

  • harrie

    harrie

  • exam

TEST BANK FOR ASSESSING STUDENTS WITH SPECIAL NEEDS, 5TH EDITION, JOHN J. VENN......

13 USD

0

0

Clinical immunology and serology 4th edition stevens test bank
View Document

Clinical immunology and serology 4th edition stevens test bank

  • harrie

    harrie

  • exam

Clinical immunology and serology 4th edition stevens test bank...

13 USD

0

0

Test Bank for Pharmacology for Nurses: A Pathophysiologic Approach 6th Edition Michael P. Adams Norman Holland Carol Urban
View Document

Test Bank for Pharmacology for Nurses: A Pathophysiologic Approach 6th Edition Michael P. Adams Norman Holland Carol Urban

  • GradeA

    GradeA

  • test bank

Test Bank for Pharmacology for Nurses: A Pathophysiologic Approach 6th Edition Michael P. Adams Norman Holland Carol Urb...

15 USD

0

0

TEST BANK FOR CORE MARKETING, 8E (KERIN)...
View Document

TEST BANK FOR CORE MARKETING, 8E (KERIN)...

  • harrie

    harrie

  • exam

TEST BANK FOR CORE MARKETING, 8E (KERIN)......

13 USD

0

0

TEST BANK FOR FOR ESSENTIAL HEALTH ASSESSMENT, 1ST EDITION, JANICE THOMPSON...
View Document

TEST BANK FOR FOR ESSENTIAL HEALTH ASSESSMENT, 1ST EDITION, JANICE THOMPSON...

  • harrie

    harrie

  • exam

TEST BANK FOR FOR ESSENTIAL HEALTH ASSESSMENT, 1ST EDITION, JANICE THOMPSON......

13 USD

0

0

TEST BANK FOR HUMAN PHYSIOLOGY, 2ND EDITION, BRYAN H. DERRICKSON...
View Document

TEST BANK FOR HUMAN PHYSIOLOGY, 2ND EDITION, BRYAN H. DERRICKSON...

  • harrie

    harrie

  • exam

TEST BANK FOR HUMAN PHYSIOLOGY, 2ND EDITION, BRYAN H. DERRICKSON......

13 USD

0

0

Leadership Theory and Practice 8th edition Peter G. Northouse Test Bank..
View Document

Leadership Theory and Practice 8th edition Peter G. Northouse Test Bank..

  • harrie

    harrie

  • exam

Leadership Theory and Practice 8th edition Peter G. Northouse Test Bank.....

13 USD

0

0

Test Bank for Nursing A Concept-Based Approach to Learning, Volumes I, II & III, 3rd Edition, Pearson...
View Document

Test Bank for Nursing A Concept-Based Approach to Learning, Volumes I, II & III, 3rd Edition, Pearson...

  • harrie

    harrie

  • exam

Test Bank for Nursing A Concept-Based Approach to Learning, Volumes I, II & III, 3rd Edition, Pearson......

13 USD

0

0

Andersons Nursing Leadership, Management, And Professional Practice For The LPN LVN In Nursing Scho from TEST BANK
View Document

Andersons Nursing Leadership, Management, And Professional Practice For The LPN LVN In Nursing Scho from TEST BANK

  • harrie

    harrie

  • exam

Andersons Nursing Leadership, Management, And Professional Practice For The LPN LVN In Nursing Scho from TEST BANK – D...

13 USD

0

0

Test Bank for Psychiatric Nursing Contemporary Practice 5th Edition Mary Ann Boyd all chapters...
View Document

Test Bank for Psychiatric Nursing Contemporary Practice 5th Edition Mary Ann Boyd all chapters...

  • harrie

    harrie

  • exam

Test Bank for Psychiatric Nursing Contemporary Practice 5th Edition Mary Ann Boyd all chapters......

13 USD

0

0

Psychological Testing Principles, Applications, and Issues, 9th Edition Robert M. Kaplan, Dennis P. Saccuzzo Test Bank
View Document

Psychological Testing Principles, Applications, and Issues, 9th Edition Robert M. Kaplan, Dennis P. Saccuzzo Test Bank

  • harrie

    harrie

  • exam

Psychological Testing Principles, Applications, and Issues, 9th Edition Robert M. Kaplan, Dennis P. Saccuzzo Test Bank...

13 USD

0

0

Touhy Ebersole & Hess Toward Healthy Aging, 9th Edition test bank all chapters.
View Document

Touhy Ebersole & Hess Toward Healthy Aging, 9th Edition test bank all chapters.

  • harrie

    harrie

  • exam

Touhy Ebersole & Hess Toward Healthy Aging, 9th Edition test bank all chapters....

13 USD

0

0

Test Bank for Abnormal Psychology, 10th Edition, Ronald J. Comer, Jonathan S. Comer inclusive every Chapters Essay.
View Document

Test Bank for Abnormal Psychology, 10th Edition, Ronald J. Comer, Jonathan S. Comer inclusive every Chapters Essay.

  • harrie

    harrie

  • exam

Test Bank for Abnormal Psychology, 10th Edition, Ronald J. Comer, Jonathan S. Comer inclusive every Chapters Essay....

14 USD

0

0

Pharmacology for Nurses: A Pathophysiologic Approach 5th Edition. by Michael Adams Test Bank With Rationales.
View Document

Pharmacology for Nurses: A Pathophysiologic Approach 5th Edition. by Michael Adams Test Bank With Rationales.

  • harrie

    harrie

  • exam

Pharmacology for Nurses: A Pathophysiologic Approach 5th Edition. by Michael Adams Test Bank With Rationales....

14 USD

0

0

Primary Care; Art and Science of Advanced Practice Nursing - An Interprofessional Approach 5th edition Dunphy Test Bank
View Document

Primary Care; Art and Science of Advanced Practice Nursing - An Interprofessional Approach 5th edition Dunphy Test Bank

  • GradeA

    GradeA

  • exam

Primary Care; Art and Science of Advanced Practice Nursing - An Interprofessional Approach 5th edition Dunphy Test Bank ...

10 USD

0

0

Test Bank For Primary Care Interprofessional Collaborative Practice 6th Edition Buttaro
View Document

Test Bank For Primary Care Interprofessional Collaborative Practice 6th Edition Buttaro

  • GradeA

    GradeA

  • exam

Test Bank For Primary Care Interprofessional Collaborative Practice 6th Edition Buttaro – Download PDF...

17 USD

0

3

Primary Care Interprofessional Collaborative Practice 6th Edition Buttaro Test Bank
View Document

Primary Care Interprofessional Collaborative Practice 6th Edition Buttaro Test Bank

  • GradeA

    GradeA

  • test bank

Prepare for NP exams with the Primary Care: Interprofessional Collaborative Practice 6th Edition Test Bank: verified que...

15 USD

0

4

TEST BANK FOR NURSING TODAY TRANSITION AND TRENDS 9TH EDITION BY ZERWEKH All chapter
View Document

TEST BANK FOR NURSING TODAY TRANSITION AND TRENDS 9TH EDITION BY ZERWEKH All chapter

  • Angelicer

    Angelicer

  • exam

TEST BANK FOR NURSING TODAY TRANSITION AND TRENDS 9TH EDITION BY ZERWEKH All chapter – Download PDF...

15 USD

0

0

Test Bank For Auditing; A Practical Approach With Data Analytics, Raymond N. Johnson, Laura Davis Wiley, Robyn Moroney, Fiona Campbell, Jane Hamilton
View Document

Test Bank For Auditing; A Practical Approach With Data Analytics, Raymond N. Johnson, Laura Davis Wiley, Robyn Moroney, Fiona Campbell, Jane Hamilton

  • Angelicer

    Angelicer

  • test bank

Test Bank For Auditing; A Practical Approach With Data Analytics, Raymond N. Johnson, Laura Davis Wiley, Robyn Moroney, ...

15 USD

0

0

Test Bank for Modern Auditing and Assurance Services, 6th Edition, Philomena Leung, Paul Coram, Barry J. Cooper, Peter Richardson
View Document

Test Bank for Modern Auditing and Assurance Services, 6th Edition, Philomena Leung, Paul Coram, Barry J. Cooper, Peter Richardson

  • GradeA

    GradeA

  • test bank

Test Bank for Modern Auditing and Assurance Services, 6th Edition, Philomena Leung, Paul Coram, Barry J. Cooper, Peter R...

15 USD

0

0

Test Bank for Washington and Leavers Principles and Practice of Radiation Therapy 5th Edition by Washington
View Document

Test Bank for Washington and Leavers Principles and Practice of Radiation Therapy 5th Edition by Washington

  • mentor2000

    mentor2000

  • test bank

Test Bank for Washington and Leavers Principles and Practice of Radiation Therapy 5th Edition by Washington...

15 USD

0

0

Test Bank for Understanding Current Procedural Terminology and HCPCS Coding Systems 7th Edition by Bowie
View Document

Test Bank for Understanding Current Procedural Terminology and HCPCS Coding Systems 7th Edition by Bowie

  • mentor2000

    mentor2000

  • test bank

Test Bank for Understanding Current Procedural Terminology and HCPCS Coding Systems 7th Edition by Bowie...

15 USD

0

0

Test Bank for Todays Medical Assistant 4th Edition by Bonewit West
View Document

Test Bank for Todays Medical Assistant 4th Edition by Bonewit West

  • mentor2000

    mentor2000

  • test bank

Test Bank for Todays Medical Assistant 4th Edition by Bonewit West...

15 USD

0

0

Test Bank for The Language of Medicine 12th Edition by Chabner
View Document

Test Bank for The Language of Medicine 12th Edition by Chabner

  • mentor2000

    mentor2000

  • test bank

Test Bank for The Language of Medicine 12th Edition by Chabner...

15 USD

0

0

Test Bank for The Administrative Dental Assistant 5th Edition by Gaylor
View Document

Test Bank for The Administrative Dental Assistant 5th Edition by Gaylor

  • mentor2000

    mentor2000

  • test bank

Test Bank for The Administrative Dental Assistant 5th Edition by Gaylor...

15 USD

0

0

Test Bank for Skills in Clinical Nursing 9th Edition by Berman
View Document

Test Bank for Skills in Clinical Nursing 9th Edition by Berman

  • mentor2000

    mentor2000

  • test bank

Test Bank for Skills in Clinical Nursing 9th Edition by Berman...

15 USD

0

0

Test Bank for Shortell and Kaluznys Healthcare Management 7th Edition by Burns
View Document

Test Bank for Shortell and Kaluznys Healthcare Management 7th Edition by Burns

  • mentor2000

    mentor2000

  • test bank

Test Bank for Shortell and Kaluznys Healthcare Management 7th Edition by Burns...

15 USD

0

0

Test Bank for Raus Respiratory Care Pharmacology 10th Edition by Gardenhire
View Document

Test Bank for Raus Respiratory Care Pharmacology 10th Edition by Gardenhire

  • mentor2000

    mentor2000

  • test bank

Test Bank for Raus Respiratory Care Pharmacology 10th Edition by Gardenhire...

15 USD

0

0

Test Bank for Radiographic Image Analysis 5th Edition by Martensen
View Document

Test Bank for Radiographic Image Analysis 5th Edition by Martensen

  • mentor2000

    mentor2000

  • test bank

Access the comprehensive test bank for Radiographic Image Analysis, 5th Edition by Martensen, tailored to help students ...

15 USD

0

0

Test Bank for Quick and Easy Medical Terminology 9th Ed by Leonard
View Document

Test Bank for Quick and Easy Medical Terminology 9th Ed by Leonard

  • mentor2000

    mentor2000

  • test bank

Test Bank for Quick and Easy Medical Terminology 9th Edition by Leonard,...

15 USD

0

0

Test Bank for Psychiatric Nursing 8th Edition by Keltner
View Document

Test Bank for Psychiatric Nursing 8th Edition by Keltner

  • mentor2000

    mentor2000

  • test bank

Test Bank for Psychiatric Nursing 8th Edition by Keltner...

15 USD

0

0

Test Bank for Principles of Radiographic Imaging 6th Edition by Carlton
View Document

Test Bank for Principles of Radiographic Imaging 6th Edition by Carlton

  • mentor2000

    mentor2000

  • test bank

Test Bank for Principles of Radiographic Imaging 6th Edition by Carlton...

16 USD

0

2

Test Bank for Practice Management for the Dental Team 9th Edition by Finkbeiner
View Document

Test Bank for Practice Management for the Dental Team 9th Edition by Finkbeiner

  • mentor2000

    mentor2000

  • test bank

Test Bank for Practice Management for the Dental Team 9th Edition by Finkbeiner...

15 USD

0

0

Test Bank for Phlebotomy 5th Edition by Warekois
View Document

Test Bank for Phlebotomy 5th Edition by Warekois

  • mentor2000

    mentor2000

  • test bank

Test Bank for Phlebotomy 5th Edition by Warekois...

15 USD

0

0

Test Bank for Pharmacology in Nursing 3rd Australian and New Zealand Edition by Broyles
View Document

Test Bank for Pharmacology in Nursing 3rd Australian and New Zealand Edition by Broyles

  • mentor2000

    mentor2000

  • test bank

Test Bank for Pharmacology in Nursing 3rd Australian and New Zealand Edition by Broyles...

17 USD

0

1

Test Bank for Pharmacology for Pharmacy Technicians 3rd Edition by Moscou
View Document

Test Bank for Pharmacology for Pharmacy Technicians 3rd Edition by Moscou

  • mentor2000

    mentor2000

  • test bank

Test Bank for Pharmacology for Pharmacy Technicians 3rd Edition by Moscou...

15 USD

0

0

Test Bank for Pharmacology for Nurses A Pathophysiologic Approach 6th Edition by Adams
View Document

Test Bank for Pharmacology for Nurses A Pathophysiologic Approach 6th Edition by Adams

  • mentor2000

    mentor2000

  • test bank

Test Bank for Pharmacology for Nurses A Pathophysiologic Approach 6th Edition by Adams...

15 USD

0

1

Test Bank for Pharmacology Connections to Nursing Practice 4th Edition by Adams
View Document

Test Bank for Pharmacology Connections to Nursing Practice 4th Edition by Adams

  • mentor2000

    mentor2000

  • test bank

Test Bank for Pharmacology Connections to Nursing Practice 4th Edition by Adams...

15 USD

0

0

Test Bank for Pathophysiology Concepts of Human Disease 1st Edition by Sorenson
View Document

Test Bank for Pathophysiology Concepts of Human Disease 1st Edition by Sorenson

  • mentor2000

    mentor2000

  • test bank

Test Bank for Pathophysiology Concepts of Human Disease 1st Edition by Sorenson...

15 USD

0

0

Test Bank for Olds Maternal Newborn Nursing and Womens Health Across the Lifespan 11th Edition by Davidson
View Document

Test Bank for Olds Maternal Newborn Nursing and Womens Health Across the Lifespan 11th Edition by Davidson

  • mentor2000

    mentor2000

  • test bank

Test Bank for Olds Maternal Newborn Nursing and Womens Health Across the Lifespan 11th Edition by Davidson...

15 USD

0

0

Test Bank for Nursing Leadership and Management by Gaudine
View Document

Test Bank for Nursing Leadership and Management by Gaudine

  • mentor2000

    mentor2000

  • test bank

Test Bank for Nursing Leadership and Management by Gaudine...

15 USD

0

0

Test Bank for Medical Terminology Get Connected 3rd Edition by Frucht
View Document

Test Bank for Medical Terminology Get Connected 3rd Edition by Frucht

  • mentor2000

    mentor2000

  • test bank

Test Bank for Medical Terminology Get Connected 3rd Edition by Frucht...

15 USD

0

0

Test Bank for Medical Terminology for Healthcare Professionals 10th Edition by Rice
View Document

Test Bank for Medical Terminology for Healthcare Professionals 10th Edition by Rice

  • mentor2000

    mentor2000

  • test bank

Test Bank for Medical Terminology for Healthcare Professionals 10th Edition by Rice...

15 USD

0

0

Test Bank for Medical Terminology Complete 4th Edition by Wingerd
View Document

Test Bank for Medical Terminology Complete 4th Edition by Wingerd

  • mentor2000

    mentor2000

  • test bank

Test Bank for Medical Terminology Complete 4th Edition by Wingerd...

15 USD

0

0

Test Bank for Medical Terminology A Living Language 7th Edition by Fremgen
View Document

Test Bank for Medical Terminology A Living Language 7th Edition by Fremgen

  • mentor2000

    mentor2000

  • test bank

Test Bank for Medical Terminology A Living Language 7th Edition by Fremgen...

16 USD

0

0

Test Bank for Medical Language Immerse Yourself 5th Edition by Turley
View Document

Test Bank for Medical Language Immerse Yourself 5th Edition by Turley

  • mentor2000

    mentor2000

  • test bank

Test Bank for Medical Language Immerse Yourself 5th Edition by Turley. Get Instant PDF....

16 USD

0

0

Test Bank for Medical Language Accelerated 2nd Edition By Jones
View Document

Test Bank for Medical Language Accelerated 2nd Edition By Jones

  • mentor2000

    mentor2000

  • test bank

Test Bank for Medical Language Accelerated 2nd Edition By Jone...

15 USD

0

0

Test Bank for Medical Insurance 8th Edition By Valerius
View Document

Test Bank for Medical Insurance 8th Edition By Valerius

  • mentor2000

    mentor2000

  • test bank

Test Bank for Medical Insurance 8th Edition By Valerius...

15 USD

0

0

Test Bank for Medical Assisting Administrative and Clinical Procedures 7th Edition by Booth
View Document

Test Bank for Medical Assisting Administrative and Clinical Procedures 7th Edition by Booth

  • mentor2000

    mentor2000

  • test bank

Test Bank for Medical Assisting Administrative and Clinical Procedures 7th Edition by Booth...

15 USD

0

0

Test Bank: for Long Term Care Nursing Assistants 8th Edition by Kostelnick
View Document

Test Bank: for Long Term Care Nursing Assistants 8th Edition by Kostelnick

  • mentor2000

    mentor2000

  • test bank

Test Bank: for Long Term Care Nursing Assistants 8th Edition by Kostelnick...

15 USD

0

0

Test Bank for LeMone and Burkes Medical Surgical Nursing 7th Edition by Bauldoff
View Document

Test Bank for LeMone and Burkes Medical Surgical Nursing 7th Edition by Bauldoff

  • mentor2000

    mentor2000

  • test bank

Test Bank for LeMone and Burkes Medical Surgical Nursing 7th Edition by Bauldoff...

15 USD

0

0

Test Bank for Legal and Ethical Aspects of Health Information Management 5th Edition by McWay
View Document

Test Bank for Legal and Ethical Aspects of Health Information Management 5th Edition by McWay

  • mentor2000

    mentor2000

  • test bank

Test Bank for Legal and Ethical Aspects of Health Information Management 5th Edition by McWay...

15 USD

0

0

Test Bank for Laboratory and Diagnostic Testing in Ambulatory Care 4th Edition by Garrels
View Document

Test Bank for Laboratory and Diagnostic Testing in Ambulatory Care 4th Edition by Garrels

  • mentor2000

    mentor2000

  • test bank

Test Bank for Laboratory and Diagnostic Testing in Ambulatory Care 4th Edition by Garrels...

15 USD

0

0

Test Bank for Kozier and Erbs Fundamentals of Nursing 11th Edition by Berman
View Document

Test Bank for Kozier and Erbs Fundamentals of Nursing 11th Edition by Berman

  • mentor2000

    mentor2000

  • test bank

Test Bank for Kozier and Erbs Fundamentals of Nursing 11th Edition by Berman...

15 USD

0

0

Test Bank for Kinns The Medical Assistant 14th Edition by Niedzwiecki
View Document

Test Bank for Kinns The Medical Assistant 14th Edition by Niedzwiecki

  • mentor2000

    mentor2000

  • test bank

Test Bank for Kinns The Medical Assistant 14th Edition by Niedzwiecki...

15 USD

0

0

Test Bank for Kinns Medical Assisting Fundamentals 1st Edition by Niedzwiecki
View Document

Test Bank for Kinns Medical Assisting Fundamentals 1st Edition by Niedzwiecki

  • mentor2000

    mentor2000

  • test bank

Test Bank for Kinns Medical Assisting Fundamentals 1st Edition by Niedzwiecki...

15 USD

0

0

Test Bank for Introduction to Sports Medicine and Athletic Training 3rd Edition by France
View Document

Test Bank for Introduction to Sports Medicine and Athletic Training 3rd Edition by France

  • mentor2000

    mentor2000

  • test bank

Test Bank for Introduction to Sports Medicine and Athletic Training 3rd Edition by France...

15 USD

0

0

Test Bank for Introduction to Radiologic and Imaging Sciences and Patient Care | 7th Edition by Adler
View Document

Test Bank for Introduction to Radiologic and Imaging Sciences and Patient Care | 7th Edition by Adler

  • mentor2000

    mentor2000

  • test bank

Test Bank for Introduction to Radiologic and Imaging Sciences and Patient Care | 7th Edition by Adler...

15 USD

0

0

Test Bank for Introduction to Health Care 5th Edition by Haroun
View Document

Test Bank for Introduction to Health Care 5th Edition by Haroun

  • mentor2000

    mentor2000

  • test bank

Test Bank for Introduction to Health Care 5th Edition by Haroun...

15 USD

0

0

Test Bank for High Acuity Nursing 7th Edition by Wagner
View Document

Test Bank for High Acuity Nursing 7th Edition by Wagner

  • mentor2000

    mentor2000

  • test bank

Test Bank for High Acuity Nursing 7th Edition by Wagner...

15 USD

0

0

Test Bank for Health and Physical Assessment In Nursing 4th Edition by Fenske
View Document

Test Bank for Health and Physical Assessment In Nursing 4th Edition by Fenske

  • mentor2000

    mentor2000

  • test bank

Test Bank for Health and Physical Assessment In Nursing 4th Edition by Fenske...

15 USD

0

0

Test Bank for Health and Health Care Delivery in Canada 3rd Edition by Thompson
View Document

Test Bank for Health and Health Care Delivery in Canada 3rd Edition by Thompson

  • mentor2000

    mentor2000

  • test bank

Prepare for exams with the Test Bank for Health and Health Care Delivery in Canada, 3rd Edition by Thompson. Complete wi...

15 USD

0

0

Test Bank for Fundamentals of Nursing 2nd Australia and NZ Edition by DeLaune
View Document

Test Bank for Fundamentals of Nursing 2nd Australia and NZ Edition by DeLaune

  • mentor2000

    mentor2000

  • test bank

Test Bank for Fundamentals of Nursing 2nd Australia and NZ Edition by DeLaune...

15 USD

0

0

Test Bank for Foundations of Health Information Management 5th Edition by Davis
View Document

Test Bank for Foundations of Health Information Management 5th Edition by Davis

  • mentor2000

    mentor2000

  • test bank

Test Bank for Foundations of Health Information Management 5th Edition by Davis...

15 USD

0

0

Test Bank Fordneys Medical Insurance and Billing 16th Edition Smith Questions & Answers with rationales (Chapter 1-20)
View Document

Test Bank Fordneys Medical Insurance and Billing 16th Edition Smith Questions & Answers with rationales (Chapter 1-20)

  • mentor2000

    mentor2000

  • test bank

Test Bank Fordneys Medical Insurance and Billing 16th Edition Smith Questions & Answers with rationales (Chapter 1-20)...

15 USD

0

0

Test Bank for Evidence Based Practice for Nursing and Healthcare Quality Improvement 1st Edition by LoBion
View Document

Test Bank for Evidence Based Practice for Nursing and Healthcare Quality Improvement 1st Edition by LoBion

  • mentor2000

    mentor2000

  • test bank

Test Bank for Evidence Based Practice for Nursing and Healthcare Quality Improvement 1st Edition by LoBion...

15 USD

0

0

Test Bank for Ethical and Legal Issues in Canadian Nursing 4th Edition by Keatings
View Document

Test Bank for Ethical and Legal Issues in Canadian Nursing 4th Edition by Keatings

  • mentor2000

    mentor2000

  • test bank

Test Bank for Ethical and Legal Issues in Canadian Nursing 4th Edition by Keatings...

15 USD

0

0

Test Bank for Essentials of Radiographic Physics and Imaging 3rd Edition by Johnston
View Document

Test Bank for Essentials of Radiographic Physics and Imaging 3rd Edition by Johnston

  • mentor2000

    mentor2000

  • test bank

Test Bank for Essentials of Radiographic Physics and Imaging 3rd Edition by Johnston...

15 USD

0

0

Test Bank for Essentials of Kinesiology for the Physical Therapist Assistant 3rd Edition by Mansfield
View Document

Test Bank for Essentials of Kinesiology for the Physical Therapist Assistant 3rd Edition by Mansfield

  • mentor2000

    mentor2000

  • test bank

Test Bank for Essentials of Kinesiology for the Physical Therapist Assistant 3rd Edition by Mansfield...

15 USD

0

0

Test Bank for Essentials of Health Information Management 4th Edition by Bowie
View Document

Test Bank for Essentials of Health Information Management 4th Edition by Bowie

  • mentor2000

    mentor2000

  • test bank

Test Bank for Essentials of Health Information Management 4th Edition by Bowie...

15 USD

0

0

Test Bank for Essentials of Dental Radiography for Dental Assistants and Hygienists 10th Edition by Thomson
View Document

Test Bank for Essentials of Dental Radiography for Dental Assistants and Hygienists 10th Edition by Thomson

  • mentor2000

    mentor2000

  • test bank

Test Bank for Essentials of Dental Radiography for Dental Assistants and Hygienists 10th Edition by Thomson...

15 USD

0

1

Test Bank for Effective Leadership and Management in Nursing 9th Edition by Sullivan
View Document

Test Bank for Effective Leadership and Management in Nursing 9th Edition by Sullivan

  • mentor2000

    mentor2000

  • test bank

Test Bank for Effective Leadership and Management in Nursing 9th Edition by Sullivan...

15 USD

0

0

Digital Radiography and PACS 3rd Edition by Carter | Test Bank
View Document

Digital Radiography and PACS 3rd Edition by Carter | Test Bank

  • mentor2000

    mentor2000

  • test bank

Get the Test Bank for Digital Radiography and PACS, 3rd Edition by Carter—the ultimate resource for exam success! Acce...

15 USD

0

1

Test Bank for Dental Instruments 7th Edition by Boyd
View Document

Test Bank for Dental Instruments 7th Edition by Boyd

  • mentor2000

    mentor2000

  • test bank

Test Bank for Dental Instruments 7th Edition by Boyd...

15 USD

0

0

Test Bank for Conceptual Foundations: The Bridge to Professional Nursing Practice 7th Edition by Friberg
View Document

Test Bank for Conceptual Foundations: The Bridge to Professional Nursing Practice 7th Edition by Friberg

  • mentor2000

    mentor2000

  • test bank

Friberg: Conceptual Foundations: The Bridge to Professional Nursing, 7th Edition...

15 USD

0

0

Test Bank for Comprehensive Radiographic Pathology 7th Edition by Eisenberg
View Document

Test Bank for Comprehensive Radiographic Pathology 7th Edition by Eisenberg

  • mentor2000

    mentor2000

  • test bank

Access the Test Bank for Comprehensive Radiographic Pathology, 7th Edition by Ronald Eisenberg. Includes questions for a...

17 USD

0

1

Test Bank for Comprehensive Medical Coding 2nd Edition by Papazian Boyce
View Document

Test Bank for Comprehensive Medical Coding 2nd Edition by Papazian Boyce

  • mentor2000

    mentor2000

  • test bank

Test Bank for Comprehensive Medical Coding 2nd Edition by Papazian Boyce...

15 USD

0

0

Test Bank for Community Health Nursing A Canadian Perspective 5th Edition by Stamler
View Document

Test Bank for Community Health Nursing A Canadian Perspective 5th Edition by Stamler

  • mentor2000

    mentor2000

  • test bank

Test Bank for Community Health Nursing A Canadian Perspective 5th Edition by Stamler...

17 USD

0

0

Test Bank for Clinical Manifestations and Assessment of Respiratory Disease 8th Edition, Author: Des Jardins
View Document

Test Bank for Clinical Manifestations and Assessment of Respiratory Disease 8th Edition, Author: Des Jardins

  • mentor2000

    mentor2000

  • test bank

Test Bank for Clinical Manifestations and Assessment of Respiratory Disease 8th Edition, Author: Des Jardins...

15 USD

0

0

Test Bank for Clinical Laboratory Hematology 4th Edition by McKenzie
View Document

Test Bank for Clinical Laboratory Hematology 4th Edition by McKenzie

  • mentor2000

    mentor2000

  • test bank

Test Bank for Clinical Laboratory Hematology 4th Edition by McKenzie...

15 USD

0

0

Test Bank for Child Health Nursing 3rd Edition by Ball
View Document

Test Bank for Child Health Nursing 3rd Edition by Ball

  • mentor2000

    mentor2000

  • test bank

Test Bank for Child Health Nursing 3rd Edition by Ball...

16 USD

0

0

Test Bank for Cardiopulmonary Anatomy and Physiology Essentials of Respiratory Care 7th Edition by Des Jardin
View Document

Test Bank for Cardiopulmonary Anatomy and Physiology Essentials of Respiratory Care 7th Edition by Des Jardin

  • mentor2000

    mentor2000

  • test bank

Test Bank for Cardiopulmonary Anatomy and Physiology Essentials of Respiratory Care 7th Edition by Des Jardin...

15 USD

0

0

Test Bank for Basic Medical Language 6th Edition by Brooks
View Document

Test Bank for Basic Medical Language 6th Edition by Brooks

  • mentor2000

    mentor2000

  • test bank

Test Bank for Basic Medical Language 6th Edition by Brooks...

15 USD

0

0

Test Bank for Basic Allied Health Statistics and Analysis 5th Edition by Darche
View Document

Test Bank for Basic Allied Health Statistics and Analysis 5th Edition by Darche

  • mentor2000

    mentor2000

  • test bank

Test Bank for Basic Allied Health Statistics and Analysis 5th Edition by Darche...

15 USD

0

0

Test Bank for Assisting in Long Term Care 7th Edition by Miller
View Document

Test Bank for Assisting in Long Term Care 7th Edition by Miller

  • mentor2000

    mentor2000

  • test bank

Test Bank for Assisting in Long Term Care 7th Edition by Miller...

15 USD

0

0

Test Bank for Applied Pharmacology for the Dental Hygienist 8th Edition by Haveles
View Document

Test Bank for Applied Pharmacology for the Dental Hygienist 8th Edition by Haveles

  • mentor2000

    mentor2000

  • test bank

Test Bank for Applied Pharmacology for the Dental Hygienist 8th Edition by Haveles...

15 USD

0

0

Test Bank for Anatomy and Physiology for Health Professions 4th Edition by Colbert
View Document

Test Bank for Anatomy and Physiology for Health Professions 4th Edition by Colbert

  • mentor2000

    mentor2000

  • test bank

Test Bank for Anatomy and Physiology for Health Professions 4th Edition by Colbert...

17 USD

0

0

Test Bank for 3 2 1 Code It! 7th Edition by Green
View Document

Test Bank for 3 2 1 Code It! 7th Edition by Green

  • mentor2000

    mentor2000

  • test bank

Test Bank for 3 2 1 Code It! 7th Edition by Green...

15 USD

0

0

NUR 101 NCSBN TEST BANK - for the NCLEX-RN & NCLEX-PN Examination Latest Update (2020) A+ Rated
View Document

NUR 101 NCSBN TEST BANK - for the NCLEX-RN & NCLEX-PN Examination Latest Update (2020) A+ Rated

  • mentor2000

    mentor2000

  • exam

NUR 101 NCSBN TEST BANK - for the NCLEX-RN & NCLEX-PN Examination Latest Update (2020) A+ Rated...

15 USD

0

0

Nursing: NR508 Pharmacology test bank Latest 2020 with all the correct answers
View Document

Nursing: NR508 Pharmacology test bank Latest 2020 with all the correct answers

  • mentor2000

    mentor2000

  • exam

Nursing: NR508 Pharmacology test bank Latest 2020 with all the correct answers...

14 USD

0

0

Test Bank International Economics Theory and Policy 6th Edition Krugman and Obstfeld.
View Document

Test Bank International Economics Theory and Policy 6th Edition Krugman and Obstfeld.

  • harrie

    harrie

  • test bank

Test Bank International Economics Theory and Policy 6th Edition Krugman and Obstfeld....

15 USD

0

0

Norvelle, Introduction to Fund Accounting, 4th edition Test Bank
View Document

Norvelle, Introduction to Fund Accounting, 4th edition Test Bank

  • harrie

    harrie

  • test bank

Norvelle, Introduction to Fund Accounting, 4th edition Test Bank...

14 USD

0

0

Leadership and Nursing Care Management 6th Edition – Test Bank.
View Document

Leadership and Nursing Care Management 6th Edition – Test Bank.

  • harrie

    harrie

  • test bank

Leadership and Nursing Care Management 6th Edition – Test Bank....

14 USD

0

0

Full Test Bank | Leadership Roles and Management Functions in Nursing 9th Edition Test Bank Marquis Huston
View Document

Full Test Bank | Leadership Roles and Management Functions in Nursing 9th Edition Test Bank Marquis Huston

  • harrie

    harrie

  • test bank

Leadership Roles and Management Functions in Nursing 9th Edition Test Bank Marquis Huston....

14 USD

0

0

Test Bank for Leadership Roles and Management Functions in Nursing, 10th Edition by Marquis & Huston – Complete Coverage (Chapters 1–25) with Verified Answers & Rationales
View Document

Test Bank for Leadership Roles and Management Functions in Nursing, 10th Edition by Marquis & Huston – Complete Coverage (Chapters 1–25) with Verified Answers & Rationales

  • harrie

    harrie

  • test bank

Download nursing leadership exams! 10th Ed Test Bank for Leadership Roles & Management Functions in Nursing – all 25 c...

15 USD

0

0

Leading and Managing in Nursing 7th Edition Yoder-Wise Test Bank..
View Document

Leading and Managing in Nursing 7th Edition Yoder-Wise Test Bank..

  • harrie

    harrie

  • test bank

Leading and Managing in Nursing 7th Edition Yoder-Wise Test Bank.....

14 USD

0

0

Test Bank for Sociology, Ninth Canadian Edition 9th Edition By John J. Macionis, Linda M. Gerber
View Document

Test Bank for Sociology, Ninth Canadian Edition 9th Edition By John J. Macionis, Linda M. Gerber

  • harrie

    harrie

  • test bank

Test Bank for Sociology, Ninth Canadian Edition 9th Edition By John J. Macionis, Linda M. Gerber...

14 USD

0

0

Test Bank  for MIS, 9th Edition By Hossein Bidgoli
View Document

Test Bank for MIS, 9th Edition By Hossein Bidgoli

  • harrie

    harrie

  • test bank

Test Bank for MIS, 9th Edition By Hossein Bidgoli...

14 USD

0

0

Test Bank for Marketing, 12th Edition, Lamb.
View Document

Test Bank for Marketing, 12th Edition, Lamb.

  • harrie

    harrie

  • test bank

Test Bank for Marketing, 12th Edition, Lamb....

14 USD

0

0

Marriages and Families: Changes, Choices, and Constraints, 9th Edition. Nijole V. Test Bank.
View Document

Marriages and Families: Changes, Choices, and Constraints, 9th Edition. Nijole V. Test Bank.

  • harrie

    harrie

  • test bank

Marriages and Families: Changes, Choices, and Constraints, 9th Edition. Nijole V. Test Bank....

16 USD

0

0

Maternal Child Nursing 7th Edition Test Bank By McKinney
View Document

Maternal Child Nursing 7th Edition Test Bank By McKinney

  • harrie

    harrie

  • test bank

Maternal Child Nursing 7th Edition Test Bank By McKinney...

14 USD

0

0

Perry: Maternal Child Nursing Care, 6th Edition Test Bank
View Document

Perry: Maternal Child Nursing Care, 6th Edition Test Bank

  • harrie

    harrie

  • test bank

Perry: Maternal Child Nursing Care, 6th Edition Test Bank...

14 USD

0

0

Medical Surgical Nursing 7th Edition by Linton Test Bank..
View Document

Medical Surgical Nursing 7th Edition by Linton Test Bank..

  • harrie

    harrie

  • test bank

Medical Surgical Nursing 7th Edition by Linton Test Bank.....

13 USD

0

0

Medical Surgical Nursing Patient Centered Collaborative Care 8th Edition, Ignatavicius Test Bank.
View Document

Medical Surgical Nursing Patient Centered Collaborative Care 8th Edition, Ignatavicius Test Bank.

  • harrie

    harrie

  • test bank

Medical Surgical Nursing Patient Centered Collaborative Care 8th Edition, Ignatavicius Test Bank....

15 USD

0

0

Ignatavicius Medical Surgical 9th Edition Test Bank,
View Document

Ignatavicius Medical Surgical 9th Edition Test Bank,

  • harrie

    harrie

  • test bank

Ignatavicius Medical Surgical 9th Edition Test Bank,...

14 USD

0

0

Lewiss Medical-Surgical Nursing: Assessment and Management of Clinical Problems 10th Edition Test Bank.
View Document

Lewiss Medical-Surgical Nursing: Assessment and Management of Clinical Problems 10th Edition Test Bank.

  • harrie

    harrie

  • test bank

Lewiss Medical-Surgical Nursing: Assessment and Management of Clinical Problems 10th Edition Test Bank. – Download PDF...

16 USD

0

0

Medical Surgical Nursing Critical Thinking in Patient Care  4th Edition Lemone Test Bank..
View Document

Medical Surgical Nursing Critical Thinking in Patient Care 4th Edition Lemone Test Bank..

  • harrie

    harrie

  • test bank

Medical Surgical Nursing Critical Thinking in Patient Care 4th Edition Lemone Test Bank.....

14 USD

0

0

Medical-Surgical Nursing Critical Thinking in Client Care, 4th Edition Priscilla LeMon Test Bank..
View Document

Medical-Surgical Nursing Critical Thinking in Client Care, 4th Edition Priscilla LeMon Test Bank..

  • harrie

    harrie

  • test bank

Medical-Surgical Nursing Critical Thinking in Client Care, 4th Edition Priscilla LeMon Test Bank.....

15 USD

0

0

Microeconomics 7th Edition By Jeffrey M. Perloff Test Bank
View Document

Microeconomics 7th Edition By Jeffrey M. Perloff Test Bank

  • harrie

    harrie

  • test bank

Microeconomics 7th Edition By Jeffrey M. Perloff Test Bank...

14 USD

0

0

Nursing Informatics and the Foundation of Knowledge 5th Edition McGonigle Test Bank .
View Document

Nursing Informatics and the Foundation of Knowledge 5th Edition McGonigle Test Bank .

  • harrie

    harrie

  • test bank

Nursing Informatics and the Foundation of Knowledge 5th Edition McGonigle Test Bank . – Download PDF...

17 USD

0

0

Perry: Nursing Interventions Clinical Nursing Skills & Techniques, 7th Edition Test Bank.
View Document

Perry: Nursing Interventions Clinical Nursing Skills & Techniques, 7th Edition Test Bank.

  • harrie

    harrie

  • test bank

Perry: Nursing Interventions Clinical Nursing Skills & Techniques, 7th Edition Test Bank....

15 USD

0

0

Oral Pathology for the Dental Hygienist 7th Edition by Ibsen Test Bank.
View Document

Oral Pathology for the Dental Hygienist 7th Edition by Ibsen Test Bank.

  • harrie

    harrie

  • test bank

Oral Pathology for the Dental Hygienist 7th Edition by Ibsen Test Bank....

14 USD

0

0

Porths Essentials of Pathophysiology 5th Edition Test Bank Lenhe.
View Document

Porths Essentials of Pathophysiology 5th Edition Test Bank Lenhe.

  • harrie

    harrie

  • test bank

Porths Essentials of Pathophysiology 5th Edition Test Bank Lenhe. – Download PDF...

14 USD

0

0

Pediatric Nursing The Critical Components of Nursing Care 2nd Edition Rudd Test Bank
View Document

Pediatric Nursing The Critical Components of Nursing Care 2nd Edition Rudd Test Bank

  • harrie

    harrie

  • test bank

Pediatric Nursing The Critical Components of Nursing Care 2nd Edition Rudd Test Bank...

15 USD

0

0

Pediatric Primary Care 4th Edition Richardson Testbank
View Document

Pediatric Primary Care 4th Edition Richardson Testbank

  • harrie

    harrie

  • test bank

Pediatric Primary Care 4th Edition Richardson Testbank...

14 USD

0

0

Pharmacology and the Nursing Process 8th Edition Linda Lane Lilley Test Bank
View Document

Pharmacology and the Nursing Process 8th Edition Linda Lane Lilley Test Bank

  • harrie

    harrie

  • test bank

Pharmacology and the Nursing Process 8th Edition Linda Lane Lilley Test Bank...

14 USD

0

0

Test Bank for Karp’s Cell and Molecular Biology 9th Edition Karp
View Document

Test Bank for Karp’s Cell and Molecular Biology 9th Edition Karp

  • mentor2000

    mentor2000

  • test bank

Test Bank for Karp’s Cell and Molecular Biology 9th Edition Karp...

15 USD

0

0

Pharmacology And The Nursing Process 8th Edition Test Bank by Lilley
View Document

Pharmacology And The Nursing Process 8th Edition Test Bank by Lilley

  • harrie

    harrie

  • test bank

Pharmacology And The Nursing Process 8th Edition Test Bank by Lilley...

15 USD

0

0

Pharmacotherapeutics for Advanced Practice Nurse Prescribers 5th Edition Woo Robinson Test Bank
View Document

Pharmacotherapeutics for Advanced Practice Nurse Prescribers 5th Edition Woo Robinson Test Bank

  • harrie

    harrie

  • test bank

Pharmacotherapeutics for Advanced Practice Nurse Prescribers 5th Edition Woo Robinson Test Bank...

14 USD

0

0

Test Bank: Jarvis Physical Examination Health Assessment 8 Edition.
View Document

Test Bank: Jarvis Physical Examination Health Assessment 8 Edition.

  • harrie

    harrie

  • test bank

Test Bank: Jarvis Physical Examination Health Assessment 8 Edition....

13 USD

0

0

Psychiatric-Mental Health Nursing 8th edition by Videbeck Test Bank..
View Document

Psychiatric-Mental Health Nursing 8th edition by Videbeck Test Bank..

  • harrie

    harrie

  • test bank

Psychiatric-Mental Health Nursing 8th edition by Videbeck Test Bank.....

15 USD

0

0

Public Health Nursing Population Centered Health Care in the Community 9th Edition by Stanhope Test Bank,,
View Document

Public Health Nursing Population Centered Health Care in the Community 9th Edition by Stanhope Test Bank,,

  • harrie

    harrie

  • test bank

Public Health Nursing Population Centered Health Care in the Community 9th Edition by Stanhope Test Bank,,...

15 USD

0

0

Test Bank for Sociology A Global Perspective 8th Edition by Ferrante Complete
View Document

Test Bank for Sociology A Global Perspective 8th Edition by Ferrante Complete

  • harrie

    harrie

  • test bank

Test Bank for Sociology A Global Perspective 8th Edition by Ferrante Complete...

14 USD

0

0

Success in Practical Vocational Nursing 8th Edition Knecht Test Bank.
View Document

Success in Practical Vocational Nursing 8th Edition Knecht Test Bank.

  • harrie

    harrie

  • test bank

Success in Practical Vocational Nursing 8th Edition Knecht Test Bank....

14 USD

0

0

Test Bank for Margaret W. Matlins The Psychology of Women Seventh Edition
View Document

Test Bank for Margaret W. Matlins The Psychology of Women Seventh Edition

  • harrie

    harrie

  • test bank

Test Bank for Margaret W. Matlins The Psychology of Women Seventh Edition – Download PDF...

13 USD

0

0

Understanding Abnormal Behavior, Test Bank [Arthur G. Sue]
View Document

Understanding Abnormal Behavior, Test Bank [Arthur G. Sue]

  • harrie

    harrie

  • test bank

Understanding Abnormal Behavior, Test Bank [Arthur G. Sue] – Download PDF...

14 USD

0

0

Understanding Psychology, 9th Edition. Charles G. Morris Test Bank.
View Document

Understanding Psychology, 9th Edition. Charles G. Morris Test Bank.

  • harrie

    harrie

  • test bank

Understanding Psychology, 9th Edition. Charles G. Morris Test Bank....

13 USD

0

0

Wongs Nursing Care of Infants and Children, 11th Edition, Marilyn J. Hockenberry Test Bank
View Document

Wongs Nursing Care of Infants and Children, 11th Edition, Marilyn J. Hockenberry Test Bank

  • harrie

    harrie

  • test bank

Wongs Nursing Care of Infants and Children, 11th Edition, Marilyn J. Hockenberry Test Bank – Download PDF...

17 USD

0

0

Test Bank For Pharmacology for Nursing Care 8th Edition, Richard..
View Document

Test Bank For Pharmacology for Nursing Care 8th Edition, Richard..

  • harrie

    harrie

  • test bank

Test Bank For Pharmacology for Nursing Care 8th Edition, Richard.....

14 USD

0

0

Brunner & Suddarths Textbook of Medical-surgical Nursing 14th Edition by Janice L Hinkle Test bank.
View Document

Brunner & Suddarths Textbook of Medical-surgical Nursing 14th Edition by Janice L Hinkle Test bank.

  • harrie

    harrie

  • test bank

Brunner & Suddarths Textbook of Medical-surgical Nursing 14th Edition by Janice L Hinkle Test bank. – Download PDF...

16 USD

0

0

Egans Fundamentals of Respiratory Care 11th Edition Kacmarek Test Bank,
View Document

Egans Fundamentals of Respiratory Care 11th Edition Kacmarek Test Bank,

  • harrie

    harrie

  • test bank

Egans Fundamentals of Respiratory Care 11th Edition Kacmarek Test Bank, – Download PDF...

16 USD

0

0

Test bank Leadership Roles and Management Functions in Nursing 9th Edition Marquis, Huston.,
View Document

Test bank Leadership Roles and Management Functions in Nursing 9th Edition Marquis, Huston.,

  • harrie

    harrie

  • test bank

Test bank Leadership Roles and Management Functions in Nursing 9th Edition Marquis, Huston.,...

14 USD

0

0

Test Bank for Maternal Child Nursing Care 6th Edition by Perry,,
View Document

Test Bank for Maternal Child Nursing Care 6th Edition by Perry,,

  • harrie

    harrie

  • test bank

Test Bank for Maternal Child Nursing Care 6th Edition by Perry,,...

14 USD

0

0

Test Bank: Medical Surgical Nursing Assessment and Management of Clinical Problems 10th Edition, Lewis
View Document

Test Bank: Medical Surgical Nursing Assessment and Management of Clinical Problems 10th Edition, Lewis

  • harrie

    harrie

  • test bank

Test Bank: Medical Surgical Nursing Assessment and Management of Clinical Problems 10th Edition, Lewis...

14 USD

0

0

Test Bank for Medical Surgical Nursing 7th Edition by Linton,,
View Document

Test Bank for Medical Surgical Nursing 7th Edition by Linton,,

  • harrie

    harrie

  • test bank

Test Bank for Medical Surgical Nursing 7th Edition by Linton,,...

15 USD

0

0

Test Bank for Medical-Surgical Nursing Critical Thinking in Client Care, 4th Edition Priscilla LeMon (49 Chapters) Complete
View Document

Test Bank for Medical-Surgical Nursing Critical Thinking in Client Care, 4th Edition Priscilla LeMon (49 Chapters) Complete

  • harrie

    harrie

  • test bank

Test Bank for Medical-Surgical Nursing Critical Thinking in Client Care, 4th Edition Priscilla LeMon (49 Chapters) Compl...

14 USD

0

0

Nursing Informatics and the Foundation of Knowledge 4th Edition McGonigle Test Bank.,
View Document

Nursing Informatics and the Foundation of Knowledge 4th Edition McGonigle Test Bank.,

  • harrie

    harrie

  • test bank

Nursing Informatics and the Foundation of Knowledge 4th Edition McGonigle Test Bank.,...

14 USD

0

0

Test Bank for Nursing Interventions Clinical Skills 5th Edition by Perry,
View Document

Test Bank for Nursing Interventions Clinical Skills 5th Edition by Perry,

  • harrie

    harrie

  • test bank

Test Bank for Nursing Interventions Clinical Skills 5th Edition by Perry,...

14 USD

0

0

Pathophysiology: The Biologic Basis for Disease in Adults and Children 8th Edition McCance Huether Test Bank.
View Document

Pathophysiology: The Biologic Basis for Disease in Adults and Children 8th Edition McCance Huether Test Bank.

  • harrie

    harrie

  • test bank

Pathophysiology: The Biologic Basis for Disease in Adults and Children 8th Edition McCance Huether Test Bank....

14 USD

0

0

Pediatric Nursing The Critical Components of Nursing Care 2nd Edition Rudd Test Bank ..
View Document

Pediatric Nursing The Critical Components of Nursing Care 2nd Edition Rudd Test Bank ..

  • harrie

    harrie

  • test bank

Pediatric Nursing The Critical Components of Nursing Care 2nd Edition Rudd Test Bank .....

14 USD

0

0

Test Bank for Pharmacology for Nursing Care 8th Edition by Lehne..
View Document

Test Bank for Pharmacology for Nursing Care 8th Edition by Lehne..

  • harrie

    harrie

  • test bank

Test Bank for Pharmacology for Nursing Care 8th Edition by Lehne.....

14 USD

0

0

Test Bank For Physical Examination and Health Assessment 8th Edition Authors: Jarvis..
View Document

Test Bank For Physical Examination and Health Assessment 8th Edition Authors: Jarvis..

  • harrie

    harrie

  • test bank

Test Bank For Physical Examination and Health Assessment 8th Edition Authors: Jarvis.....

14 USD

0

0

Test Bank for The Science of Mind and Behaviour 2nd Australian Edition by Passer..
View Document

Test Bank for The Science of Mind and Behaviour 2nd Australian Edition by Passer..

  • harrie

    harrie

  • test bank

Test Bank for The Science of Mind and Behaviour 2nd Australian Edition by Passer.....

13 USD

0

0

Test bank for Understanding Abnormal Behavior 10th Edition, Sue, Sue.
View Document

Test bank for Understanding Abnormal Behavior 10th Edition, Sue, Sue.

  • harrie

    harrie

  • test bank

Test bank for Understanding Abnormal Behavior 10th Edition, Sue, Sue. – Download PDF...

17 USD

0

0

Understanding Nursing Research 7th Edition Grove Test Bank ..
View Document

Understanding Nursing Research 7th Edition Grove Test Bank ..

  • harrie

    harrie

  • test bank

Understanding Nursing Research 7th Edition Grove Test Bank .....

14 USD

0

0

Test bank for Intermediate Microeconomics A Modern Approach – 9th Edition HAL-R-varian
View Document

Test bank for Intermediate Microeconomics A Modern Approach – 9th Edition HAL-R-varian

  • Angelicer

    Angelicer

  • test bank

Test bank for Intermediate Microeconomics A Modern Approach – 9th Edition HAL-R-varian – Download PDF...

15 USD

0

0

Test Bank for Vanders Human Physiology 15th Edition Eric Widmaier Hershel Raff Kevin Strang
View Document

Test Bank for Vanders Human Physiology 15th Edition Eric Widmaier Hershel Raff Kevin Strang

  • harrie

    harrie

  • test bank

Improve your understanding with the Test Bank for Vander's Human Physiology, 15th Edition by Widmaier, Raff, and Strang....

15 USD

0

0

Test Bank For Advanced Practive Nursing: Essential Knowledge for the Profession 3rd Edition Denisco
View Document

Test Bank For Advanced Practive Nursing: Essential Knowledge for the Profession 3rd Edition Denisco

  • Angelicer

    Angelicer

  • test bank

Test Bank For Advanced Practive Nursing: Essential Knowledge for the Profession 3rd Edition Denisco – Download PDF...

15 USD

0

0

Test bank for wilkins clinical assessment in respiratory care 8th edition by huber
View Document

Test bank for wilkins clinical assessment in respiratory care 8th edition by huber

  • mentor2000

    mentor2000

  • exam

Test bank for wilkins clinical assessment in respiratory care 8th edition by huber...

15 USD

0

0

Test Bank for An Introduction to Genetic Analysis Eleventh Edition Anthony JF. Griffiths
View Document

Test Bank for An Introduction to Genetic Analysis Eleventh Edition Anthony JF. Griffiths

  • Angelicer

    Angelicer

  • test bank

Test Bank for An Introduction to Genetic Analysis Eleventh Edition Anthony JF. Griffiths – Download PDF...

15 USD

0

0

Test Bank for Aging and Older Adulthood 3rd Edition Joan T Erber
View Document

Test Bank for Aging and Older Adulthood 3rd Edition Joan T Erber

  • Angelicer

    Angelicer

  • test bank

Test Bank for Aging and Older Adulthood 3rd Edition Joan T Erber – Download PDF...

15 USD

0

0

Test Bank for Advertising Promotion, and other aspects of Integrated Marketing Communications, 10th Edition, J. Craig Andrews, Terence A. Shim
View Document

Test Bank for Advertising Promotion, and other aspects of Integrated Marketing Communications, 10th Edition, J. Craig Andrews, Terence A. Shim

  • Angelicer

    Angelicer

  • test bank

Test Bank for Advertising Promotion, and other aspects of Integrated Marketing Communications, 10th Edition, J. Craig An...

15 USD

0

0

Test Bank Pearson’s Federal Taxation 2021 Corporations, Partnerships, Estates & Trusts, 34th Edition by Rupert, Anderson, Hulse
View Document

Test Bank Pearson’s Federal Taxation 2021 Corporations, Partnerships, Estates & Trusts, 34th Edition by Rupert, Anderson, Hulse

  • tutorvalentine

    tutorvalentine

  • test bank

Test Bank Pearson’s Federal Taxation 2021 Corporations, Partnerships, Estates & Trusts, 34th Edition by Rupert, Anders...

15 USD

0

0

Test Bank for Auditing,, A Risk Based-Approach, 11th Edition, Karla M. Johnstone, Audrey A. Gramling, Larry E. Rittenberg
View Document

Test Bank for Auditing,, A Risk Based-Approach, 11th Edition, Karla M. Johnstone, Audrey A. Gramling, Larry E. Rittenberg

  • mentor2000

    mentor2000

  • test bank

Test Bank for Auditing,, A Risk Based-Approach, 11th Edition, Karla M. Johnstone, Audrey A. Gramling, Larry E. Rittenber...

15 USD

0

0

Test Bank for Microbiology with Diseases by Taxonomy 6th Edition by Bauman
View Document

Test Bank for Microbiology with Diseases by Taxonomy 6th Edition by Bauman

  • mentor2000

    mentor2000

  • exam

Test Bank for Microbiology with Diseases by Taxonomy 6th Edition by Bauman...

17 USD

0

0

COMPLETE TEST BANK FOR INFORMATION TECHNOLOGY PROJECT MANAGEMENT, 9TH EDITION, KATHY SCHWALBE
View Document

COMPLETE TEST BANK FOR INFORMATION TECHNOLOGY PROJECT MANAGEMENT, 9TH EDITION, KATHY SCHWALBE

  • mentor2000

    mentor2000

  • exam

COMPLETE TEST BANK FOR INFORMATION TECHNOLOGY PROJECT MANAGEMENT, 9TH EDITION, KATHY SCHWALBE...

15 USD

0

0

COMPLETE TEST BANK FOR FUNDAMENTALS OF NURSING 2ND EDITION BY YOOST
View Document

COMPLETE TEST BANK FOR FUNDAMENTALS OF NURSING 2ND EDITION BY YOOST

  • mentor2000

    mentor2000

  • exam

COMPLETE TEST BANK FOR FUNDAMENTALS OF NURSING 2ND EDITION BY YOOST...

15 USD

0

0

TEST BANK for INCOME TAX FUNDAMENTALS, 38TH EDITION, GERALD E. WHITTENBURG, MARTHA ALTUS-BULLER, STEVEN GILL
View Document

TEST BANK for INCOME TAX FUNDAMENTALS, 38TH EDITION, GERALD E. WHITTENBURG, MARTHA ALTUS-BULLER, STEVEN GILL

  • mentor2000

    mentor2000

  • exam

TEST BANK for INCOME TAX FUNDAMENTALS, 38TH EDITION, GERALD E. WHITTENBURG, MARTHA ALTUS-BULLER, STEVEN GILL...

15 USD

0

0

BASIC GERIATRIC NURSING 7TH EDITION WILLIAMS TEST BANK 100 PERCENT CORRECT ANSWERS
View Document

BASIC GERIATRIC NURSING 7TH EDITION WILLIAMS TEST BANK 100 PERCENT CORRECT ANSWERS

  • mentor2000

    mentor2000

  • exam

BASIC GERIATRIC NURSING 7TH EDITION WILLIAMS TEST BANK 100 PERCENT CORRECT ANSWERS...

15 USD

0

0

Complete Advanced Practice Nursing in the Care of Older Adults 2nd Edition Kennedy Malone Test Bank
View Document

Complete Advanced Practice Nursing in the Care of Older Adults 2nd Edition Kennedy Malone Test Bank

  • mentor2000

    mentor2000

  • exam

Complete Advanced Practice Nursing in the Care of Older Adults 2nd Edition Kennedy Malone Test Bank...

15 USD

0

0

A Complete Test Bank for Medical-Surgical Nursing; Concepts for Inter-professional Collaborative Care, 2-Volume Set 9th Edition By Ignatavicius
View Document

A Complete Test Bank for Medical-Surgical Nursing; Concepts for Inter-professional Collaborative Care, 2-Volume Set 9th Edition By Ignatavicius

  • mentor2000

    mentor2000

  • test bank

A Complete Test Bank for Medical-Surgical Nursing; Concepts for Inter-professional Collaborative Care, 2-Volume Set 9th ...

15 USD

0

0

Test Bank for Medical Surgical Nursing Clinical Reasoning in Patient Care 6th Edition by LeMone
View Document

Test Bank for Medical Surgical Nursing Clinical Reasoning in Patient Care 6th Edition by LeMone

  • mentor2000

    mentor2000

  • test bank

Test Bank for Medical Surgical Nursing Clinical Reasoning in Patient Care 6th Edition by LeMone...

15 USD

0

0

Test Bank for Nursing A Concept-Based Approach to Learning Volumes I II & III 3rd Edition Pearson Education
View Document

Test Bank for Nursing A Concept-Based Approach to Learning Volumes I II & III 3rd Edition Pearson Education

  • mentor2000

    mentor2000

  • test bank

Test Bank for Nursing A Concept-Based Approach to Learning Volumes I II & III 3rd Edition Pearson Education...

15 USD

0

0

COMPLETE TEST BANK FOR PSYCHIATRIC NURSING 7TH EDITION BY KELTNER
View Document

COMPLETE TEST BANK FOR PSYCHIATRIC NURSING 7TH EDITION BY KELTNER

  • mentor2000

    mentor2000

  • test bank

COMPLETE TEST BANK FOR PSYCHIATRIC NURSING 7TH EDITION BY KELTNER...

15 USD

0

0

Test Bank for Understanding Anatomy & Physiology, 3rd Edition, Gale Sloan Thompson (Download Instantly)
View Document

Test Bank for Understanding Anatomy & Physiology, 3rd Edition, Gale Sloan Thompson (Download Instantly)

  • mentor2000

    mentor2000

  • exam

Test Bank for Understanding Anatomy & Physiology, 3rd Edition, Gale Sloan Thompson (Download Instantly)...

15 USD

0

0

THE TEST BANK FOR WONGS NURSING CARE OF INFANTS AND CHILDREN 11TH EDITION HOCKENBERRY
View Document

THE TEST BANK FOR WONGS NURSING CARE OF INFANTS AND CHILDREN 11TH EDITION HOCKENBERRY

  • mentor2000

    mentor2000

  • exam

THE TEST BANK FOR WONGS NURSING CARE OF INFANTS AND CHILDREN 11TH EDITION HOCKENBERRY...

15 USD

0

0

Test Bank for Wound Management Principles and Practices 3rd Edition by Myers
View Document

Test Bank for Wound Management Principles and Practices 3rd Edition by Myers

  • mentor2000

    mentor2000

  • exam

Test Bank for Wound Management Principles and Practices 3rd Edition by Myers...

15 USD

0

0

Test Bank Medical Surgical Nursing,Concepts for Interprofessional Collaborative Care 9th Edition by IGNATAVATIUS
View Document

Test Bank Medical Surgical Nursing,Concepts for Interprofessional Collaborative Care 9th Edition by IGNATAVATIUS

  • mentor2000

    mentor2000

  • exam

Test Bank Medical Surgical Nursing,Concepts for Interprofessional Collaborative Care 9th Edition by IGNATAVATIUS...

15 USD

0

1

Test Bank for Therapeutic Kinesiology Musculoskeletal Systems Palpation and Body Mechanics by Foster
View Document

Test Bank for Therapeutic Kinesiology Musculoskeletal Systems Palpation and Body Mechanics by Foster

  • mentor2000

    mentor2000

  • exam

Test Bank for Therapeutic Kinesiology Musculoskeletal Systems Palpation and Body Mechanics by Foster...

15 USD

0

0

Test Bank For Pharmacology for Nurses , A Pathophysiologic Approach 5th Edition by Michael Patrick Adams , Norman Holland, Carol Urban
View Document

Test Bank For Pharmacology for Nurses , A Pathophysiologic Approach 5th Edition by Michael Patrick Adams , Norman Holland, Carol Urban

  • mentor2000

    mentor2000

  • test bank

Test Bank For Pharmacology for Nurses , A Pathophysiologic Approach 5th Edition by Michael Patrick Adams , Norman Hollan...

15 USD

0

0

Complete Test Bank For Psychological Testing Principles, Applications, And Issues, 9th Edition, Robert M. Kaplan, Dennis P. Saccuzzo
View Document

Complete Test Bank For Psychological Testing Principles, Applications, And Issues, 9th Edition, Robert M. Kaplan, Dennis P. Saccuzzo

  • tutor_gesco

    tutor_gesco

  • exam

Complete Test Bank For Psychological Testing Principles, Applications, And Issues, 9th Edition, Robert M. Kaplan, Dennis...

15 USD

0

0

Pediatric Nursing A Case-Based Approach 1st Edition Tagher Knapp Test Bank
View Document

Pediatric Nursing A Case-Based Approach 1st Edition Tagher Knapp Test Bank

  • Yna

    Yna

  • exam

Pediatric Nursing A Case-Based Approach 1st Edition Tagher Knapp Test Bank...

10 USD

0

0

Morrison-Valfre: Foundations of Mental Health Care, 6th Edition Test Bank
View Document

Morrison-Valfre: Foundations of Mental Health Care, 6th Edition Test Bank

  • Yna

    Yna

  • exam

Morrison-Valfre: Foundations of Mental Health Care, 6th Edition Test Bank...

10 USD

0

0

TEST BANK FOR DEWITS FUNDAMENTAL CONCEPTS AND SKILLS FOR NURSING 5TH EDITION BY WILLIAMS
View Document

TEST BANK FOR DEWITS FUNDAMENTAL CONCEPTS AND SKILLS FOR NURSING 5TH EDITION BY WILLIAMS

  • Yna

    Yna

  • exam

TEST BANK FOR DEWITS FUNDAMENTAL CONCEPTS AND SKILLS FOR NURSING 5TH EDITION BY WILLIAMS – Download PDF...

17 USD

0

2

TEST BANK FOR ESSENTIALS OF BIOLOGICAL ANTHROPOLOGY 4TH ED BY LARSEN
View Document

TEST BANK FOR ESSENTIALS OF BIOLOGICAL ANTHROPOLOGY 4TH ED BY LARSEN

  • tutor_gesco

    tutor_gesco

  • exam

TEST BANK FOR ESSENTIALS OF BIOLOGICAL ANTHROPOLOGY 4TH ED BY LARSEN...

15 USD

0

1

TEST BANK FOR MICROBIOLOGY FOR SURGICAL TECHNOLOGISTS 2ND EDITION RODRIGUEZ
View Document

TEST BANK FOR MICROBIOLOGY FOR SURGICAL TECHNOLOGISTS 2ND EDITION RODRIGUEZ

  • tutor_gesco

    tutor_gesco

  • exam

TEST BANK FOR MICROBIOLOGY FOR SURGICAL TECHNOLOGISTS 2ND EDITION RODRIGUEZ...

17 USD

0

0

Test Bank For Microbiology A Systems Approach, 6th Edition, Marjorie Kelly Cowan, Heidi Smith
View Document

Test Bank For Microbiology A Systems Approach, 6th Edition, Marjorie Kelly Cowan, Heidi Smith

  • tutor_gesco

    tutor_gesco

  • exam

Prepare for your microbiology exams with the Test Bank for Microbiology: A Systems Approach, 6th Edition. This resource ...

15 USD

0

9

Microbiology: Principles and Explorations, 10th Edition – Test Bank by Black | Complete Multiple-Choice Questions with Answers
View Document

Microbiology: Principles and Explorations, 10th Edition – Test Bank by Black | Complete Multiple-Choice Questions with Answers

  • tutor_gesco

    tutor_gesco

  • exam

Test Bank for Microbiology: Principles and Explorations, 10th Edition by Black – Includes 40+ multiple-choice question...

15 USD

0

0

Test Bank for Human Biology, 16e (Mader)
View Document

Test Bank for Human Biology, 16e (Mader)

  • tutor_gesco

    tutor_gesco

  • test bank

Test Bank for Human Biology, 16e (Mader)...

15 USD

0

0

TEST BANK FOR ESSENTIALS OF THE LIVING WORLD 6TH EDITION BY JOHNSON
View Document

TEST BANK FOR ESSENTIALS OF THE LIVING WORLD 6TH EDITION BY JOHNSON

  • tutor_gesco

    tutor_gesco

  • test bank

Master key biology concepts with the Test Bank for Essentials of the Living World, 6th Edition by Johnson. This comprehe...

15 USD

0

2

TEST BANK FOR GENETICS ESSENTIALS CONCEPTS AND CONNECTIONS 4TH EDITION BY PIERCE
View Document

TEST BANK FOR GENETICS ESSENTIALS CONCEPTS AND CONNECTIONS 4TH EDITION BY PIERCE

  • tutor_gesco

    tutor_gesco

  • test bank

TEST BANK FOR GENETICS ESSENTIALS CONCEPTS AND CONNECTIONS 4TH EDITION BY PIERCE...

15 USD

0

0

COMPLETE TEST BANK FOR CLAYTON’S BASIC PHARMACOLOGY FOR NURSES 18TH EDITION BY WILLIHNGANZ
View Document

COMPLETE TEST BANK FOR CLAYTON’S BASIC PHARMACOLOGY FOR NURSES 18TH EDITION BY WILLIHNGANZ

  • Yna

    Yna

  • test bank

COMPLETE TEST BANK FOR CLAYTON’S BASIC PHARMACOLOGY FOR NURSES 18TH EDITION BY WILLIHNGANZ – Download PDF...

15 USD

0

0

Test Bank For Children and Their Development 4th Canadian Edition by Kail
View Document

Test Bank For Children and Their Development 4th Canadian Edition by Kail

  • Yna

    Yna

  • test bank

Test Bank For Children and Their Development 4th Canadian Edition by Kail – Download PDF...

15 USD

0

0

Test Bank for Child Health Nursing 3rd Edition Jane W. Ball Ruth C. Bindler Kay J. Cowen Michele Rose Shaw
View Document

Test Bank for Child Health Nursing 3rd Edition Jane W. Ball Ruth C. Bindler Kay J. Cowen Michele Rose Shaw

  • Yna

    Yna

  • test bank

Test Bank for Child Health Nursing 3rd Edition Jane W. Ball Ruth C. Bindler Kay J. Cowen Michele Rose Shaw – Download ...

15 USD

0

0

Complete Test Bank For Biological Psychology, 13th Edition, James W. Kalat
View Document

Complete Test Bank For Biological Psychology, 13th Edition, James W. Kalat

  • Yna

    Yna

  • test bank

Complete Test Bank For Biological Psychology, 13th Edition, James W. Kalat – Download PDF...

15 USD

0

2

COMPLETE TEST BANK FOR BATE’S GUIDE TO PHYSICAL EXAMINATION AND HISTORY TAKING 12TH EDITION.
View Document

COMPLETE TEST BANK FOR BATE’S GUIDE TO PHYSICAL EXAMINATION AND HISTORY TAKING 12TH EDITION.

  • Yna

    Yna

  • test bank

COMPLETE TEST BANK FOR BATE’S GUIDE TO PHYSICAL EXAMINATION AND HISTORY TAKING 12TH EDITION. – Download PDF...

15 USD

0

0

Test Bank-Auditing & Assurance Services, 8th Edition, Timothy Louwers, Penelope Bagley, Allen Blay, Jerry Strawser, Jay Thibodeau
View Document

Test Bank-Auditing & Assurance Services, 8th Edition, Timothy Louwers, Penelope Bagley, Allen Blay, Jerry Strawser, Jay Thibodeau

  • Yna

    Yna

  • test bank

Test Bank-Auditing & Assurance Services, 8th Edition, Timothy Louwers, Penelope Bagley, Allen Blay, Jerry Strawser, Jay ...

15 USD

0

0

TEST BANK-ADVANCED HEALTH ASSESMENT AND DIFFERENTIAL DIAGNOSIS ESSENTIALS FOR CLINICAL PRACTICE 1ST EDITION MYRICK
View Document

TEST BANK-ADVANCED HEALTH ASSESMENT AND DIFFERENTIAL DIAGNOSIS ESSENTIALS FOR CLINICAL PRACTICE 1ST EDITION MYRICK

  • Yna

    Yna

  • test bank

TEST BANK-ADVANCED HEALTH ASSESMENT AND DIFFERENTIAL DIAGNOSIS ESSENTIALS FOR CLINICAL PRACTICE 1ST EDITION MYRICK – D...

15 USD

0

0

Test Bank for Maternal Child Nursing, 5th Edition by Emily Slone McKinney
View Document

Test Bank for Maternal Child Nursing, 5th Edition by Emily Slone McKinney

  • Yna

    Yna

  • test bank

Test Bank for Maternal Child Nursing, 5th Edition, Emily Slone McKinney, Susan R. James, Sharon Smith Murray, Kristine N...

15 USD

0

0

LEHNE’S PHARMACOTHERAPEUTICS FOR ADVANCED PRACTICE NURSES AND PHYSICIAN ASSISTANTS 2ND ED ROSENTHAL TEST BANK
View Document

LEHNE’S PHARMACOTHERAPEUTICS FOR ADVANCED PRACTICE NURSES AND PHYSICIAN ASSISTANTS 2ND ED ROSENTHAL TEST BANK

  • Yna

    Yna

  • test bank

LEHNE’S PHARMACOTHERAPEUTICS FOR ADVANCED PRACTICE NURSES AND PHYSICIAN ASSISTANTS 2ND ED ROSENTHAL TEST BANK – Down...

10 USD

0

0

INTERPERSONAL RELATIONSHIPS 8TH EDITION BY ARNOLD
View Document

INTERPERSONAL RELATIONSHIPS 8TH EDITION BY ARNOLD

  • Yna

    Yna

  • test bank

INTERPERSONAL RELATIONSHIPS 8TH EDITION BY ARNOLD...

10 USD

0

0

Effective Leadership and Management in Nursing 9th Edition Sullivan Test Bank
View Document

Effective Leadership and Management in Nursing 9th Edition Sullivan Test Bank

  • Yna

    Yna

  • test bank

Effective Leadership and Management in Nursing 9th Edition Sullivan Test Bank – Download PDF...

10 USD

0

0

Biological Psychology, 13th Edition, James W. Kalat Test Bank
View Document

Biological Psychology, 13th Edition, James W. Kalat Test Bank

  • Yna

    Yna

  • test bank

Biological Psychology, 13th Edition, James W. Kalat Test Bank – Download PDF...

17 USD

0

0

Basic Geriatric Nursing 7th Edition Williams Test Bank All Chapters
View Document

Basic Geriatric Nursing 7th Edition Williams Test Bank All Chapters

  • Yna

    Yna

  • test bank

Basic Geriatric Nursing 7th Edition Williams Test Bank All Chapters – Download PDF...

15 USD

0

0

Advanced Practice Nursing in the Care of Older Adults 2nd Edition Kennedy Malone Test Bank
View Document

Advanced Practice Nursing in the Care of Older Adults 2nd Edition Kennedy Malone Test Bank

  • Yna

    Yna

  • test bank

Advanced Practice Nursing in the Care of Older Adults 2nd Edition Kennedy Malone Test Bank...

10 USD

0

0

A Complete Test Bank for Medical-Surgical Nursing; Concepts for Interprofessional Collaborative Care, 2-Volume Set 9th Edition By Ignatavicius..
View Document

A Complete Test Bank for Medical-Surgical Nursing; Concepts for Interprofessional Collaborative Care, 2-Volume Set 9th Edition By Ignatavicius..

  • Yna

    Yna

  • test bank

A Complete Test Bank for Medical-Surgical Nursing; Concepts for Interprofessional Collaborative Care, 2-Volume Set 9th E...

15 USD

0

0

NR 511 Midterm Exam Test Bank Questions and Answers (explained); latest Spring 2021.
View Document

NR 511 Midterm Exam Test Bank Questions and Answers (explained); latest Spring 2021.

  • Yna

    Yna

  • exam

NR 511 Midterm Exam Test Bank Questions and Answers (explained); latest Spring 2021. – Download PDF...

15 USD

0

0

Test Bank for Emergency Medical Technician 2nd Edition by Aehlert..
View Document

Test Bank for Emergency Medical Technician 2nd Edition by Aehlert..

  • tutorvalentine

    tutorvalentine

  • test bank

Test Bank for Emergency Medical Technician 2nd Edition by Aehlert.. – Download PDF...

15 USD

0

0

Test Bank for Economics, 3rd Edition, Dean Karlan, Jonathan Morduch
View Document

Test Bank for Economics, 3rd Edition, Dean Karlan, Jonathan Morduch

  • tutorvalentine

    tutorvalentine

  • test bank

Test Bank for Economics, 3rd Edition, Dean Karlan, Jonathan Morduch – Download PDF...

15 USD

0

0

TEST BANK FOR DOCUMENTATION FOR PHYSICAL THERAPIST ASSISTANTS 5TH EDITION BY BIRCHER
View Document

TEST BANK FOR DOCUMENTATION FOR PHYSICAL THERAPIST ASSISTANTS 5TH EDITION BY BIRCHER

  • tutorvalentine

    tutorvalentine

  • test bank

TEST BANK FOR DOCUMENTATION FOR PHYSICAL THERAPIST ASSISTANTS 5TH EDITION BY BIRCHER – Download PDF...

15 USD

0

0

TEST BANK FOR DIMENSIONAL ANALYSIS 2ND EDITION BY HORNTVEDT
View Document

TEST BANK FOR DIMENSIONAL ANALYSIS 2ND EDITION BY HORNTVEDT

  • tutorvalentine

    tutorvalentine

  • test bank

TEST BANK FOR DIMENSIONAL ANALYSIS 2ND EDITION BY HORNTVEDT – Download PDF...

15 USD

0

0

Test Bank for Deviant Behavior, 12th Edition, Alex C. Thio, Jim D. Taylor, Martin D. Schwartz,
View Document

Test Bank for Deviant Behavior, 12th Edition, Alex C. Thio, Jim D. Taylor, Martin D. Schwartz,

  • tutorvalentine

    tutorvalentine

  • test bank

Test Bank for Deviant Behavior, 12th Edition, Alex C. Thio, Jim D. Taylor, Martin D. Schwartz, – Download PDF...

15 USD

0

0

Test Bank for Davis Advantage for Pathophysiology 2nd Edition By Capriotti
View Document

Test Bank for Davis Advantage for Pathophysiology 2nd Edition By Capriotti

  • tutorvalentine

    tutorvalentine

  • test bank

Access the comprehensive Test Bank for Davis Advantage for Pathophysiology, 2nd Edition by Capriotti. Enhance your study...

15 USD

0

0

Test Bank for Critical Care Nursing 8th Edition by Urden
View Document

Test Bank for Critical Care Nursing 8th Edition by Urden

  • tutorvalentine

    tutorvalentine

  • test bank

Complete Test Bank for Critical Care Nursing, 8th Edition by Urden. This essential resource provides a variety of practi...

15 USD

0

0

Test Bank for Cost Management Measuring, Monitoring, and Motivating Performance, 3rd Canadian Edition, Leslie G. Eldenburg, Susan K. Wolcott, Liang-Hsuan Chen, Gail Cook
View Document

Test Bank for Cost Management Measuring, Monitoring, and Motivating Performance, 3rd Canadian Edition, Leslie G. Eldenburg, Susan K. Wolcott, Liang-Hsuan Chen, Gail Cook

  • tutorvalentine

    tutorvalentine

  • test bank

Test Bank for Cost Management Measuring, Monitoring, and Motivating Performance, 3rd Canadian Edition, Leslie G. Eldenbu...

15 USD

0

0

TEST BANK FOR CONTEMPORARY MATERNAL NEWBORN NURSING 9TH EDITION BY LADEWIG
View Document

TEST BANK FOR CONTEMPORARY MATERNAL NEWBORN NURSING 9TH EDITION BY LADEWIG

  • tutorvalentine

    tutorvalentine

  • test bank

TEST BANK FOR CONTEMPORARY MATERNAL NEWBORN NURSING 9TH EDITION BY LADEWIG – Download PDF...

15 USD

0

0

TEST BANK FOR COGNITION EXPLORING THE SCIENCE OF THE MIND, 5TH EDITION, DANIEL REISBERG
View Document

TEST BANK FOR COGNITION EXPLORING THE SCIENCE OF THE MIND, 5TH EDITION, DANIEL REISBERG

  • tutorvalentine

    tutorvalentine

  • test bank

TEST BANK FOR COGNITION EXPLORING THE SCIENCE OF THE MIND, 5TH EDITION, DANIEL REISBERG – Download PDF...

15 USD

0

0

TEST BANK FOR CLINICAL PSYCHOLOGY SCIENCE, PRACTICE, AND CULTURE, 4TH EDITION, ANDREW M. POMERANTZ LATEST UPDATE
View Document

TEST BANK FOR CLINICAL PSYCHOLOGY SCIENCE, PRACTICE, AND CULTURE, 4TH EDITION, ANDREW M. POMERANTZ LATEST UPDATE

  • tutorvalentine

    tutorvalentine

  • test bank

TEST BANK FOR CLINICAL PSYCHOLOGY SCIENCE, PRACTICE, AND CULTURE, 4TH EDITION, ANDREW M. POMERANTZ LATEST UPDATE – Dow...

15 USD

0

0

TEST BANK FOR CARING FOR OLDER ADULTS HOLISTICALLY 7TH EDITION BY DAHLKEMPER LATEST UPDATE
View Document

TEST BANK FOR CARING FOR OLDER ADULTS HOLISTICALLY 7TH EDITION BY DAHLKEMPER LATEST UPDATE

  • tutorvalentine

    tutorvalentine

  • test bank

TEST BANK FOR CARING FOR OLDER ADULTS HOLISTICALLY 7TH EDITION BY DAHLKEMPER LATEST UPDATE – Download PDF...

15 USD

0

0

Campbell Biology in Focus, 3rd Edition Lisa A. Urry , Michael L. Cain, Steven A. Wasserman, Peter V. Minorsky Test Bank with All 43 Chapters
View Document

Campbell Biology in Focus, 3rd Edition Lisa A. Urry , Michael L. Cain, Steven A. Wasserman, Peter V. Minorsky Test Bank with All 43 Chapters

  • tutorvalentine

    tutorvalentine

  • test bank

Campbell Biology in Focus, 3rd Edition Lisa A. Urry , Michael L. Cain, Steven A. Wasserman, Peter V. Minorsky Test Bank ...

17 USD

0

0

TEST BANK FOR BUILDING A MEDICAL VOCABULARY 10TH EDITION BY LEONARD LATEST UPDATE
View Document

TEST BANK FOR BUILDING A MEDICAL VOCABULARY 10TH EDITION BY LEONARD LATEST UPDATE

  • tutorvalentine

    tutorvalentine

  • test bank

TEST BANK FOR BUILDING A MEDICAL VOCABULARY 10TH EDITION BY LEONARD LATEST UPDATE – Download PDF...

15 USD

0

0

TEST BANK FOR BRAIN & BEHAVIOR AN INTRODUCTION TO BEHAVIORAL NEUROSCIENCE, 5TH ED, BOB GARRETT, GERALD HOUGH
View Document

TEST BANK FOR BRAIN & BEHAVIOR AN INTRODUCTION TO BEHAVIORAL NEUROSCIENCE, 5TH ED, BOB GARRETT, GERALD HOUGH

  • tutorvalentine

    tutorvalentine

  • test bank

TEST BANK FOR BRAIN & BEHAVIOR AN INTRODUCTION TO BEHAVIORAL NEUROSCIENCE, 5TH ED, BOB GARRETT, GERALD HOUGH – Downloa...

15 USD

0

0

Test Bank for Bontrager’s Textbook of Radiographic Positioning and Related Anatomy 9th Edition by Lampignano
View Document

Test Bank for Bontrager’s Textbook of Radiographic Positioning and Related Anatomy 9th Edition by Lampignano

  • tutorvalentine

    tutorvalentine

  • test bank

Unlock success with the Test Bank for Bontrager’s Textbook of Radiographic Positioning and Related Anatomy 9th Edition...

17 USD

0

0

Test Bank for Bontrager’s Textbook of Radiographic Positioning and Related Anatomy 8th Edition by Bontrager
View Document

Test Bank for Bontrager’s Textbook of Radiographic Positioning and Related Anatomy 8th Edition by Bontrager

  • tutorvalentine

    tutorvalentine

  • test bank

Get the Test Bank for Bontrager’s Textbook of Radiographic Positioning and Related Anatomy 8th Edition. Ideal study ma...

17 USD

0

1

Test Bank For Biology, The Core, 3rd Edition By Eric J. Simon
View Document

Test Bank For Biology, The Core, 3rd Edition By Eric J. Simon

  • tutorvalentine

    tutorvalentine

  • test bank

Test Bank For Biology, The Core, 3rd Edition By Eric J. Simon – Download PDF...

15 USD

0

0

Test Bank for Biology Now with Physiology 2nd edition by Anne Houtman, Megan Scudellari, Cindy Malone
View Document

Test Bank for Biology Now with Physiology 2nd edition by Anne Houtman, Megan Scudellari, Cindy Malone

  • tutorvalentine

    tutorvalentine

  • test bank

Test Bank for Biology Now with Physiology 2nd edition by Anne Houtman, Megan Scudellari, Cindy Malone – Download PDF...

15 USD

0

0

Test Bank for Biology How Life Works 3rd Edition Morris
View Document

Test Bank for Biology How Life Works 3rd Edition Morris

  • tutorvalentine

    tutorvalentine

  • test bank

Test Bank for Biology How Life Works 3rd Edition Morris – Download PDF...

15 USD

0

0

Test Bank - Biological Science, 6th Edition (Freeman) Chapter 1-54 | All Chapters
View Document

Test Bank - Biological Science, 6th Edition (Freeman) Chapter 1-54 | All Chapters

  • tutorvalentine

    tutorvalentine

  • test bank

Test Bank - Biological Science, 6th Edition (Freeman) Chapter 1-54 | All Chapters – Download PDF...

15 USD

0

0

Test Bank for Biological Psychology 12th Edition James W. Kalat
View Document

Test Bank for Biological Psychology 12th Edition James W. Kalat

  • tutorvalentine

    tutorvalentine

  • test bank

Test Bank for Biological Psychology 12th Edition James W. Kalat – Download PDF...

15 USD

0

0

TEST BANK FOR BERRY & KOHN’S OPERATING ROOM TECHNIQUE 13TH EDITION BY PHILLIPS
View Document

TEST BANK FOR BERRY & KOHN’S OPERATING ROOM TECHNIQUE 13TH EDITION BY PHILLIPS

  • tutorvalentine

    tutorvalentine

  • test bank

TEST BANK FOR BERRY & KOHN’S OPERATING ROOM TECHNIQUE 13TH EDITION BY PHILLIPS – Download PDF...

15 USD

0

0

Test Bank for Becker’s World of the Cell 9th Edition Jeff Hardin, Gregory Paul Bertoni
View Document

Test Bank for Becker’s World of the Cell 9th Edition Jeff Hardin, Gregory Paul Bertoni

  • tutorvalentine

    tutorvalentine

  • test bank

Test Bank for Becker’s World of the Cell 9th Edition Jeff Hardin, Gregory Paul Bertoni – Download PDF...

18 USD

0

0

Test Bank for Basic Statistics for Business and Economics 9th Edition Douglas Lind, William Marchal, Samuel Wathen
View Document

Test Bank for Basic Statistics for Business and Economics 9th Edition Douglas Lind, William Marchal, Samuel Wathen

  • tutorvalentine

    tutorvalentine

  • test bank

Test Bank for Basic Statistics for Business and Economics 9th Edition Douglas Lind, William Marchal, Samuel Wathen – D...

15 USD

0

0

Test Bank for Basic Statistics for Business & Economics 8th Edition Douglas A. Lind, William G. Marchal, Samuel A. Wathen
View Document

Test Bank for Basic Statistics for Business & Economics 8th Edition Douglas A. Lind, William G. Marchal, Samuel A. Wathen

  • tutorvalentine

    tutorvalentine

  • test bank

Test Bank for Basic Statistics for Business & Economics 8th Edition Douglas A. Lind, William G. Marchal, Samuel A. Wathe...

15 USD

0

0

Test Bank for Basic Marketing Research with Excel 3rd Edition Alvin C Burns, Ronald F Bush
View Document

Test Bank for Basic Marketing Research with Excel 3rd Edition Alvin C Burns, Ronald F Bush

  • tutorvalentine

    tutorvalentine

  • test bank

Test Bank for Basic Marketing Research with Excel 3rd Edition Alvin C Burns, Ronald F Bush – Download PDF...

15 USD

0

0

Test Bank for Basic Criminal Law: The Constitution, Procedure, and Crimes 4th Edition Anniken Davenport
View Document

Test Bank for Basic Criminal Law: The Constitution, Procedure, and Crimes 4th Edition Anniken Davenport

  • mentor2000

    mentor2000

  • test bank

Test Bank for Basic Criminal Law: The Constitution, Procedure, and Crimes 4th Edition Anniken Davenport...

15 USD

0

0

TEST BANK FOR BASIC ALLIED HEALTH STATISTICS AND ANALYSIS, 5TH EDITION, LORIE DARCHE, GERDA KOCH LATEST UPDATE
View Document

TEST BANK FOR BASIC ALLIED HEALTH STATISTICS AND ANALYSIS, 5TH EDITION, LORIE DARCHE, GERDA KOCH LATEST UPDATE

  • tutorvalentine

    tutorvalentine

  • test bank

TEST BANK FOR BASIC ALLIED HEALTH STATISTICS AND ANALYSIS, 5TH EDITION, LORIE DARCHE, GERDA KOCH LATEST UPDATE – Downl...

15 USD

0

0

Bank Management & Financial Services 9th Ed Rose Test Bank
View Document

Bank Management & Financial Services 9th Ed Rose Test Bank

  • tutorvalentine

    tutorvalentine

  • test bank

Bank Management & Financial Services 9th Ed Rose Test Bank – Download PDF...

15 USD

0

0

TEST BANK FOR MEDICAL ASSISTING ADMINISTRATIVE AND CLINICAL PROCEDURES, 6TH EDITION, BY KATHRYN BOOTH, LEESA WHICKER, TERRI WYMAN
View Document

TEST BANK FOR MEDICAL ASSISTING ADMINISTRATIVE AND CLINICAL PROCEDURES, 6TH EDITION, BY KATHRYN BOOTH, LEESA WHICKER, TERRI WYMAN

  • Darling

    Darling

  • test bank

TEST BANK FOR MEDICAL ASSISTING ADMINISTRATIVE AND CLINICAL PROCEDURES, 6TH EDITION, BY KATHRYN BOOTH, LEESA WHICKER, TE...

15 USD

0

0

Test Bank for The Mind and Heart of the Negotiator, 6th Edition, Leigh Thompson
View Document

Test Bank for The Mind and Heart of the Negotiator, 6th Edition, Leigh Thompson

  • Darling

    Darling

  • test bank

Test Bank for The Mind and Heart of the Negotiator, 6th Edition, Leigh Thompson...

15 USD

0

0

Gerontological Nursing 9th Edition Eliopoulos Test Bank
View Document

Gerontological Nursing 9th Edition Eliopoulos Test Bank

  • tutorvalentine

    tutorvalentine

  • exam

Gerontological Nursing 9th Edition Eliopoulos Test Bank...

10 USD

0

0

Fundamentals of Oral Communication Test Bank.
View Document

Fundamentals of Oral Communication Test Bank.

  • tutorvalentine

    tutorvalentine

  • exam

Fundamentals of Oral Communication Test Bank. – Download PDF...

15 USD

0

0

STRUCTURE AND FUNCTION OF THE BODY, 15TH EDITION, KEVIN T. PATTON, GARY A. THIBODEAU TEST BANK
View Document

STRUCTURE AND FUNCTION OF THE BODY, 15TH EDITION, KEVIN T. PATTON, GARY A. THIBODEAU TEST BANK

  • tutorvalentine

    tutorvalentine

  • exam

STRUCTURE AND FUNCTION OF THE BODY, 15TH EDITION, KEVIN T. PATTON, GARY A. THIBODEAU TEST BANK...

10 USD

0

0

COM Section 7 Speech Quiz Answers Test Bank
View Document

COM Section 7 Speech Quiz Answers Test Bank

  • tutorvalentine

    tutorvalentine

  • exam

COM Section 7 Speech Quiz Answers Test Bank – Download PDF...

15 USD

0

0

COM 29102 Master Oral Comm Test Bank 2021
View Document

COM 29102 Master Oral Comm Test Bank 2021

  • tutorvalentine

    tutorvalentine

  • exam

COM 29102 Master Oral Comm Test Bank 2021 – Download PDF...

15 USD

0

0

Test Bank for Medical-Surgical Nursing: Concepts for Interprofessional Collaborative Care, 9th Edition by Donna D. Ignatavicius
View Document

Test Bank for Medical-Surgical Nursing: Concepts for Interprofessional Collaborative Care, 9th Edition by Donna D. Ignatavicius

  • Angelicer

    Angelicer

  • test bank

Test Bank for Medical-Surgical Nursing: Concepts for Interprofessional Collaborative Care, 9th Edition by Donna D. Ignat...

15 USD

0

0

Test Bank For Introduction to Java Programming and Data Structures, Comprehensive Version, 12th Edition By Y. Daniel Liang
View Document

Test Bank For Introduction to Java Programming and Data Structures, Comprehensive Version, 12th Edition By Y. Daniel Liang

  • Angelicer

    Angelicer

  • test bank

Test Bank For Introduction to Java Programming and Data Structures, Comprehensive Version, 12th Edition By Y. Daniel Lia...

15 USD

0

0

NURS MISC APEA TEST BANK 2021.
View Document

NURS MISC APEA TEST BANK 2021.

  • GradeA

    GradeA

  • exam

NURS MISC APEA TEST BANK 2021. – Download PDF...

15 USD

0

0

TEST BANK FOR BRUNNER AND SUDDARTHS TEXTBOOK OF MEDICAL SURGICAL NURSING 14TH EDITION By Hinkle, Cheever
View Document

TEST BANK FOR BRUNNER AND SUDDARTHS TEXTBOOK OF MEDICAL SURGICAL NURSING 14TH EDITION By Hinkle, Cheever

  • GradeA

    GradeA

  • exam

Comprehensive test bank for Brunner and Suddarth's Medical-Surgical Nursing, 14th Edition by Hinkle & Cheever. Includes ...

15 USD

0

0

TEST BANK FOR ALCANO’S FUNDAMENTALS OF MICROBIOLOGY 9 EDITION
View Document

TEST BANK FOR ALCANO’S FUNDAMENTALS OF MICROBIOLOGY 9 EDITION

  • GradeA

    GradeA

  • exam

TEST BANK FOR ALCANO’S FUNDAMENTALS OF MICROBIOLOGY 9 EDITION – Download PDF...

15 USD

0

0

TEST BANK FOR  Maternity and Pediatric Nursing (3rd Edition) by Ricci, Kyle and Carman
View Document

TEST BANK FOR Maternity and Pediatric Nursing (3rd Edition) by Ricci, Kyle and Carman

  • GradeA

    GradeA

  • exam

TEST BANK FOR Maternity and Pediatric Nursing (3rd Edition) by Ricci, Kyle and Carman – Download PDF...

15 USD

0

0

Test Bank for Clinical Immunology and Serology: A Laboratory Perspective, 4th Edition, Christine Dorresteyn Stevens, Linda E. Miller,
View Document

Test Bank for Clinical Immunology and Serology: A Laboratory Perspective, 4th Edition, Christine Dorresteyn Stevens, Linda E. Miller,

  • GradeA

    GradeA

  • exam

Test Bank for Clinical Immunology and Serology: A Laboratory Perspective, 4th Edition, Christine Dorresteyn Stevens, Lin...

15 USD

0

0

Test Bank for Understanding ICD-10-CM and ICD-10-PCS A Worktext 2020, 5th Edition By Mary Jo Bowie
View Document

Test Bank for Understanding ICD-10-CM and ICD-10-PCS A Worktext 2020, 5th Edition By Mary Jo Bowie

  • Angelicer

    Angelicer

  • test bank

Test Bank for Understanding ICD-10-CM and ICD-10-PCS A Worktext 2020, 5th Edition By Mary Jo Bowie – Download PDF...

15 USD

0

0

Test Bank for Understanding Health Insurance A Guide to Billing and Reimbursement – 2020, 15th Edition By Green
View Document

Test Bank for Understanding Health Insurance A Guide to Billing and Reimbursement – 2020, 15th Edition By Green

  • Angelicer

    Angelicer

  • test bank

Prepare for your exams with the Test Bank for Understanding Health Insurance: A Guide to Billing and Reimbursement, 15th...

15 USD

0

0

Test Bank For Understanding Emotions 4th Edition By Keltner
View Document

Test Bank For Understanding Emotions 4th Edition By Keltner

  • Angelicer

    Angelicer

  • test bank

Test Bank For Understanding Emotions 4th Edition By Keltner – Download PDF...

15 USD

0

0

Test Bank For Strategic Management Concepts and Cases 3rd Edition By Jeffrey H. Dyer, Paul Godfrey, Robert Jensen, David Bryce
View Document

Test Bank For Strategic Management Concepts and Cases 3rd Edition By Jeffrey H. Dyer, Paul Godfrey, Robert Jensen, David Bryce

  • Angelicer

    Angelicer

  • test bank

Test Bank For Strategic Management Concepts and Cases 3rd Edition By Jeffrey H. Dyer, Paul Godfrey, Robert Jensen, David...

15 USD

0

0

Test Bank for Statistics for Management and Economics By 11th Edition By Keller
View Document

Test Bank for Statistics for Management and Economics By 11th Edition By Keller

  • Angelicer

    Angelicer

  • test bank

Test Bank for Statistics for Management and Economics By 11th Edition By Keller – Download PDF...

15 USD

0

0

Test Bank for SELL, 6th Edition By N. Ingram
View Document

Test Bank for SELL, 6th Edition By N. Ingram

  • Angelicer

    Angelicer

  • test bank

Test Bank for SELL, 6th Edition By N. Ingram – Download PDF...

15 USD

0

0

Test Bank For Physics, 11th Edition By John D. Cutnell, Kenneth W. Johnson, David Young, Shane Stadler
View Document

Test Bank For Physics, 11th Edition By John D. Cutnell, Kenneth W. Johnson, David Young, Shane Stadler

  • Angelicer

    Angelicer

  • test bank

Test Bank For Physics, 11th Edition By John D. Cutnell, Kenneth W. Johnson, David Young, Shane Stadler – Download PDF...

15 USD

0

0

Test Bank For Personality Theory and Research 14th Edition By Cervone
View Document

Test Bank For Personality Theory and Research 14th Edition By Cervone

  • Angelicer

    Angelicer

  • test bank

Test Bank For Personality Theory and Research 14th Edition By Cervone – Download PDF...

15 USD

0

0

Test Bank for Medical Assisting Administrative & Clinical Competencies , 8th Edition By Blesi
View Document

Test Bank for Medical Assisting Administrative & Clinical Competencies , 8th Edition By Blesi

  • Angelicer

    Angelicer

  • test bank

Test Bank for Medical Assisting Administrative & Clinical Competencies , 8th Edition By Blesi – Download PDF...

15 USD

0

0

Test Bank for Leadership Research Findings, Practice, and Skills, 9th Edition By J. DuBrin
View Document

Test Bank for Leadership Research Findings, Practice, and Skills, 9th Edition By J. DuBrin

  • Angelicer

    Angelicer

  • test bank

Test Bank for Leadership Research Findings, Practice, and Skills, 9th Edition By J. DuBrin – Download PDF...

15 USD

0

0

Test Bank for Law, Liability, and Ethics for Medical Office Professionals, 6th Edition By R. Flight
View Document

Test Bank for Law, Liability, and Ethics for Medical Office Professionals, 6th Edition By R. Flight

  • Angelicer

    Angelicer

  • test bank

Test Bank for Law, Liability, and Ethics for Medical Office Professionals, 6th Edition By R. Flight – Download PDF...

15 USD

0

1

Test Bank for Introduction to Health Care, 5th Edition By Lee Haroun, Dakota Mitchell
View Document

Test Bank for Introduction to Health Care, 5th Edition By Lee Haroun, Dakota Mitchell

  • Angelicer

    Angelicer

  • test bank

Test Bank for Introduction to Health Care, 5th Edition By Lee Haroun, Dakota Mitchell – Download PDF...

15 USD

0

0

Test Bank For Human Physiology, 2nd Edition By H. Derrickson
View Document

Test Bank For Human Physiology, 2nd Edition By H. Derrickson

  • Angelicer

    Angelicer

  • test bank

Test Bank For Human Physiology, 2nd Edition By H. Derrickson – Download PDF...

15 USD

0

0

Test Bank for Human Diseases, 5th Edition By Marianne Neighbors, Ruth Tannehill-Jones
View Document

Test Bank for Human Diseases, 5th Edition By Marianne Neighbors, Ruth Tannehill-Jones

  • Angelicer

    Angelicer

  • test bank

Test Bank for Human Diseases, 5th Edition By Marianne Neighbors, Ruth Tannehill-Jones – Download PDF...

15 USD

0

0

Test Bank for Essentials of Health Information Management Principles and Practices, 4th Edition By Jo Bowie
View Document

Test Bank for Essentials of Health Information Management Principles and Practices, 4th Edition By Jo Bowie

  • Angelicer

    Angelicer

  • test bank

Test Bank for Essentials of Health Information Management Principles and Practices, 4th Edition By Jo Bowie – Download...

15 USD

0

0

Test Bank for Electric Circuits, 1st Edition By S. Kang
View Document

Test Bank for Electric Circuits, 1st Edition By S. Kang

  • Angelicer

    Angelicer

  • test bank

Test Bank for Electric Circuits, 1st Edition By S. Kang – Download PDF...

15 USD

0

0

Test Bank For Counseling the Culturally Diverse Theory and Practice 8th Edition By Wing Sue
View Document

Test Bank For Counseling the Culturally Diverse Theory and Practice 8th Edition By Wing Sue

  • Angelicer

    Angelicer

  • test bank

Test Bank For Counseling the Culturally Diverse Theory and Practice 8th Edition By Wing Sue – Download PDF...

15 USD

0

0

Test Bank For Company Law An Interactive Approach, 2nd Edition By Ellie Chapple, Alex Wong, Richard Baumfield, Richard Copp, Robert Cunningham, Akshaya Kamalnath, Katherine Watson, Paul Harpur
View Document

Test Bank For Company Law An Interactive Approach, 2nd Edition By Ellie Chapple, Alex Wong, Richard Baumfield, Richard Copp, Robert Cunningham, Akshaya Kamalnath, Katherine Watson, Paul Harpur

  • Angelicer

    Angelicer

  • test bank

Test Bank For Company Law An Interactive Approach, 2nd Edition By Ellie Chapple, Alex Wong, Richard Baumfield, Richard C...

15 USD

0

0

Test Bank For Business Law, 5th Edition By Nickolas James, Timothy Thomas
View Document

Test Bank For Business Law, 5th Edition By Nickolas James, Timothy Thomas

  • Angelicer

    Angelicer

  • test bank

Test Bank For Business Law, 5th Edition By Nickolas James, Timothy Thomas – Download PDF...

15 USD

0

0

Test Bank for Business & Society Ethics, Sustainability & Stakeholder Management, 10th Edition By Archie B. Carroll, Jill Brown, Ann K. Buchholtz
View Document

Test Bank for Business & Society Ethics, Sustainability & Stakeholder Management, 10th Edition By Archie B. Carroll, Jill Brown, Ann K. Buchholtz

  • Angelicer

    Angelicer

  • test bank

Test Bank for Business & Society Ethics, Sustainability & Stakeholder Management, 10th Edition By Archie B. Carroll, Jil...

15 USD

0

0

Test Bank For Accounting Business Reporting for Decision Making 6th Edition By Jacqueline Birt, Keryn Chalmers, Suzanne Maloney, Albie Brooks, Judy Oliver
View Document

Test Bank For Accounting Business Reporting for Decision Making 6th Edition By Jacqueline Birt, Keryn Chalmers, Suzanne Maloney, Albie Brooks, Judy Oliver

  • Angelicer

    Angelicer

  • test bank

Test Bank For Accounting Business Reporting for Decision Making 6th Edition By Jacqueline Birt, Keryn Chalmers, Suzanne ...

15 USD

0

0

TEST BANK FOR ACCOUNTING INFORMATION SYSTEMS, 15TH EDITION BY STEINBART, SUMMERS, WOOD, ROMNEY
View Document

TEST BANK FOR ACCOUNTING INFORMATION SYSTEMS, 15TH EDITION BY STEINBART, SUMMERS, WOOD, ROMNEY

  • Angelicer

    Angelicer

  • test bank

TEST BANK FOR ACCOUNTING INFORMATION SYSTEMS, 15TH EDITION BY STEINBART, SUMMERS, WOOD, ROMNEY – Download PDF...

15 USD

0

0

Essentials of Psychiatric Mental Health Nursing 8th Edition Concepts of Care in Evidence- Based Practice 8th Edition Morgan Townsend Test Bank
View Document

Essentials of Psychiatric Mental Health Nursing 8th Edition Concepts of Care in Evidence- Based Practice 8th Edition Morgan Townsend Test Bank

  • Angelicer

    Angelicer

  • test bank

Essentials of Psychiatric Mental Health Nursing 8th Edition Concepts of Care in Evidence- Based Practice 8th Edition Mor...

10 USD

0

0

Test Bank Professional Nursing Concepts & Challenges, 9th Edition, Beth Black
View Document

Test Bank Professional Nursing Concepts & Challenges, 9th Edition, Beth Black

  • professorchue

    professorchue

  • test bank

Test Bank Professional Nursing Concepts & Challenges, 9th Edition, Beth Black – Download PDF...

15 USD

0

0

Potter & Perry Fundamentals of Nursing Test Bank 10th Edition | NCLEX & HESI Prep
View Document

Potter & Perry Fundamentals of Nursing Test Bank 10th Edition | NCLEX & HESI Prep

  • professorchue

    professorchue

  • test bank

Potter & Perry Fundamentals of Nursing Test Bank 10th Edition | NCLEX & HESI Prep...

16 USD

0

0

ECONOMICS 301 TEST BANK CHAPTER 6 LATEST
View Document

ECONOMICS 301 TEST BANK CHAPTER 6 LATEST

  • professorchue

    professorchue

  • test bank

ECONOMICS 301 TEST BANK CHAPTER 6 LATEST – Download PDF...

15 USD

0

0

Test Bank for Auditing: The Art and Science of Assurance Engagements, Fourteenth Canadian Edition 14th edition Alvin A. Arens, Randal J. Elder, Mark S. Beasley, Chris E. Hogan, Joanne C. Jones
View Document

Test Bank for Auditing: The Art and Science of Assurance Engagements, Fourteenth Canadian Edition 14th edition Alvin A. Arens, Randal J. Elder, Mark S. Beasley, Chris E. Hogan, Joanne C. Jones

  • GradeA

    GradeA

  • test bank

Test Bank for Auditing: The Art and Science of Assurance Engagements, Fourteenth Canadian Edition 14th edition Alvin A. ...

15 USD

0

0

Test Bank for Auditing: A Risk Based-Approach: 11th Edition, Karla M. Johnstone, Audrey A. Gramling, Larry E. Rittenberg
View Document

Test Bank for Auditing: A Risk Based-Approach: 11th Edition, Karla M. Johnstone, Audrey A. Gramling, Larry E. Rittenberg

  • GradeA

    GradeA

  • test bank

Test Bank for Auditing: A Risk Based-Approach: 11th Edition, Karla M. Johnstone, Audrey A. Gramling, Larry E. Rittenberg...

15 USD

0

0

Test Bank for Auditing: A Practical Approach, 3rd Canadian Edition 3rd Edition Robyn Moroney, Fiona Campbell, Jane Hamilton, Valerie Warren
View Document

Test Bank for Auditing: A Practical Approach, 3rd Canadian Edition 3rd Edition Robyn Moroney, Fiona Campbell, Jane Hamilton, Valerie Warren

  • GradeA

    GradeA

  • test bank

Test Bank for Auditing: A Practical Approach, 3rd Canadian Edition 3rd Edition Robyn Moroney, Fiona Campbell, Jane Hamil...

15 USD

0

0

Test Bank for Auditing: A Practical Approach with Data Analytics, Raymond N. Johnson, Laura Davis Wiley, Robyn Moroney, Fiona Campbell, Jane Hamilton
View Document

Test Bank for Auditing: A Practical Approach with Data Analytics, Raymond N. Johnson, Laura Davis Wiley, Robyn Moroney, Fiona Campbell, Jane Hamilton

  • GradeA

    GradeA

  • test bank

Test Bank for Auditing: A Practical Approach with Data Analytics, Raymond N. Johnson, Laura Davis Wiley, Robyn Moroney, ...

15 USD

0

2

Test Bank for Auditing: A Practical Approach 3rd Edition Robyn Moroney, Fiona Campbell, Jane Hamilton
View Document

Test Bank for Auditing: A Practical Approach 3rd Edition Robyn Moroney, Fiona Campbell, Jane Hamilton

  • GradeA

    GradeA

  • test bank

Test Bank for Auditing: A Practical Approach 3rd Edition Robyn Moroney, Fiona Campbell, Jane Hamilton – Download PDF...

15 USD

0

0

Test Bank for Auditing and Assurance Services 17th Edition Alvin A. Arens, Randal J. Elder, Mark S. Beasley, Chris E. Hogan
View Document

Test Bank for Auditing and Assurance Services 17th Edition Alvin A. Arens, Randal J. Elder, Mark S. Beasley, Chris E. Hogan

  • GradeA

    GradeA

  • test bank

Test Bank for Auditing and Assurance Services 17th Edition Alvin A. Arens, Randal J. Elder, Mark S. Beasley, Chris E. Ho...

15 USD

0

2

Test Bank for Auditing & Assurance Services,, A Systematic Approach, 11th Edition, William Messier Jr, Steven Glover, Douglas Prawitt
View Document

Test Bank for Auditing & Assurance Services,, A Systematic Approach, 11th Edition, William Messier Jr, Steven Glover, Douglas Prawitt

  • GradeA

    GradeA

  • test bank

Test Bank for Auditing & Assurance Services,, A Systematic Approach, 11th Edition, William Messier Jr, Steven Glover, Do...

15 USD

0

0

Test Bank for Auditing & Assurance Services,, A Systematic Approach 10th Edition William Messier Jr and Steven Glover and Douglas Prawitt
View Document

Test Bank for Auditing & Assurance Services,, A Systematic Approach 10th Edition William Messier Jr and Steven Glover and Douglas Prawitt

  • GradeA

    GradeA

  • test bank

Test Bank for Auditing & Assurance Services,, A Systematic Approach 10th Edition William Messier Jr and Steven Glover an...

15 USD

0

0

Test Bank for Auditing & Assurance Services, 8th Edition, Timothy Louwers, Penelope Bagley, Allen Blay, Jerry Strawser, Jay Thibodeau
View Document

Test Bank for Auditing & Assurance Services, 8th Edition, Timothy Louwers, Penelope Bagley, Allen Blay, Jerry Strawser, Jay Thibodeau

  • GradeA

    GradeA

  • test bank

Test Bank for Auditing & Assurance Services, 8th Edition, Timothy Louwers, Penelope Bagley, Allen Blay, Jerry Strawser, ...

15 USD

0

0

Test Bank for Assessment Procedures for Counselors and Helping Professionals 8th Edition Robert J. Drummond, Carl J. Sheperis, Karyn D. Jones
View Document

Test Bank for Assessment Procedures for Counselors and Helping Professionals 8th Edition Robert J. Drummond, Carl J. Sheperis, Karyn D. Jones

  • GradeA

    GradeA

  • test bank

Test Bank for Assessment Procedures for Counselors and Helping Professionals 8th Edition Robert J. Drummond, Carl J. She...

15 USD

0

0

Test Bank for Applied Psychology in Talent Management, 8th Edition, Wayne F. Cascio, Herman Aguinis
View Document

Test Bank for Applied Psychology in Talent Management, 8th Edition, Wayne F. Cascio, Herman Aguinis

  • GradeA

    GradeA

  • test bank

Test Bank for Applied Psychology in Talent Management, 8th Edition, Wayne F. Cascio, Herman Aguinis – Download PDF...

15 USD

0

0

APPLIED PHARMACOLOGY FOR THE DENTAL HYGIENIST 7TH EDITION BY HAVELES TEST BANK
View Document

APPLIED PHARMACOLOGY FOR THE DENTAL HYGIENIST 7TH EDITION BY HAVELES TEST BANK

  • GradeA

    GradeA

  • test bank

APPLIED PHARMACOLOGY FOR THE DENTAL HYGIENIST 7TH EDITION BY HAVELES TEST BANK...

12 USD

0

0

Test Bank for Anthology of World Scriptures 9th Edition Robert E. Van Voorst
View Document

Test Bank for Anthology of World Scriptures 9th Edition Robert E. Van Voorst

  • GradeA

    GradeA

  • test bank

Test Bank for Anthology of World Scriptures 9th Edition Robert E. Van Voorst – Download PDF...

15 USD

0

0

Test Bank for An Introduction to Genetic Analysis Eleventh Edition Anthony JF Griffiths
View Document

Test Bank for An Introduction to Genetic Analysis Eleventh Edition Anthony JF Griffiths

  • GradeA

    GradeA

  • test bank

Test Bank for An Introduction to Genetic Analysis Eleventh Edition Anthony JF Griffiths – Download PDF...

20 USD

0

0

Test Bank for Aging and Older Adulthood 3rd Edition Joan T. Erber
View Document

Test Bank for Aging and Older Adulthood 3rd Edition Joan T. Erber

  • GradeA

    GradeA

  • test bank

Test Bank for Aging and Older Adulthood 3rd Edition Joan T. Erber – Download PDF...

15 USD

0

0

Test Bank for Advertising, Promotion, and other aspects of Integrated Marketing Communications, 10th Edition, J. Craig Andrews, Terence A. Shim
View Document

Test Bank for Advertising, Promotion, and other aspects of Integrated Marketing Communications, 10th Edition, J. Craig Andrews, Terence A. Shim

  • GradeA

    GradeA

  • test bank

Test Bank for Advertising, Promotion, and other aspects of Integrated Marketing Communications, 10th Edition, J. Craig A...

15 USD

0

0

TEST BANK FOR ADVANCING YOUR CAREER 7TH EDITION BY NUNNERY
View Document

TEST BANK FOR ADVANCING YOUR CAREER 7TH EDITION BY NUNNERY

  • GradeA

    GradeA

  • test bank

TEST BANK FOR ADVANCING YOUR CAREER 7TH EDITION BY NUNNERY – Download PDF...

15 USD

0

0

TEST BANK FOR ADVANCED PRACTICE NURSING 4TH EDITION BY JOEL
View Document

TEST BANK FOR ADVANCED PRACTICE NURSING 4TH EDITION BY JOEL

  • GradeA

    GradeA

  • test bank

TEST BANK FOR ADVANCED PRACTICE NURSING 4TH EDITION BY JOEL – Download PDF...

15 USD

0

0

TEST BANK FOR ADULT PHYSICAL CONDITIONS 1ST EDITION BY MAHLE
View Document

TEST BANK FOR ADULT PHYSICAL CONDITIONS 1ST EDITION BY MAHLE

  • GradeA

    GradeA

  • test bank

TEST BANK FOR ADULT PHYSICAL CONDITIONS 1ST EDITION BY MAHLE – Download PDF...

15 USD

0

0

Test Bank For Surgical Technology 7th Edition by Fuller
View Document

Test Bank For Surgical Technology 7th Edition by Fuller

  • GradeA

    GradeA

  • test bank

Test Bank For Surgical Technology 7th Edition by Fuller – Download PDF...

15 USD

0

0

Test Bank For Psychiatric Mental Health Nursing 7th Edition by Norman Keltner
View Document

Test Bank For Psychiatric Mental Health Nursing 7th Edition by Norman Keltner

  • GradeA

    GradeA

  • test bank

Test Bank For Psychiatric Mental Health Nursing 7th Edition by Norman Keltner – Download PDF...

15 USD

0

0

Primary Care, A Collaborative Practice, 6th Edition Buttaro test bank
View Document

Primary Care, A Collaborative Practice, 6th Edition Buttaro test bank

  • GradeA

    GradeA

  • test bank

Primary Care, A Collaborative Practice, 6th Edition Buttaro test bank – Download PDF...

17 USD

0

0

PEDIATRIC PRIMARY CARE 6TH EDITION BURNS ,DUNN, BRADY TEST BANK
View Document

PEDIATRIC PRIMARY CARE 6TH EDITION BURNS ,DUNN, BRADY TEST BANK

  • GradeA

    GradeA

  • test bank

PEDIATRIC PRIMARY CARE 6TH EDITION BURNS ,DUNN, BRADY TEST BANK...

10 USD

0

0

Test Bank For Maternal-Child Nursing, 5th Edition by mckinney updated 2021
View Document

Test Bank For Maternal-Child Nursing, 5th Edition by mckinney updated 2021

  • GradeA

    GradeA

  • test bank

Test Bank For Maternal-Child Nursing, 5th Edition by mckinney updated 2021 – Download PDF...

15 USD

0

0

Test Bank For Community Public Health Nursing, 8th Edition by Nies
View Document

Test Bank For Community Public Health Nursing, 8th Edition by Nies

  • GradeA

    GradeA

  • test bank

Get the comprehensive Test Bank for Community Public Health Nursing, 8th Edition by Nies. This essential study tool incl...

15 USD

0

0

Test Bank For Business Activity, Bringing an End to the Controversy
View Document

Test Bank For Business Activity, Bringing an End to the Controversy

  • GradeA

    GradeA

  • test bank

Test Bank For Business Activity, Bringing an End to the Controversy – Download PDF...

15 USD

0

0

[Test Bank] Pearson’s Federal Taxation 2021 Corporations, Partnerships, Estates & Trusts, 34th Edition by Rupert, Anderson, Hulse
View Document

[Test Bank] Pearson’s Federal Taxation 2021 Corporations, Partnerships, Estates & Trusts, 34th Edition by Rupert, Anderson, Hulse

  • GradeA

    GradeA

  • test bank

[Test Bank] Pearson’s Federal Taxation 2021 Corporations, Partnerships, Estates & Trusts, 34th Edition by Rupert, Ande...

15 USD

0

0

Test Bank for Neuroscience: Exploring the Brain, 4th Edition by Mark F. Bear, Barry Connors, and Michael Paradiso - Complete Answer Key for All Chapters
View Document

Test Bank for Neuroscience: Exploring the Brain, 4th Edition by Mark F. Bear, Barry Connors, and Michael Paradiso - Complete Answer Key for All Chapters

  • GradeA

    GradeA

  • test bank

Get the Test Bank for Neuroscience: Exploring the Brain, 4th Edition. Featuring a complete answer key for all chapters, ...

15 USD

0

0

TEST BANK FOR LOCAL ANESTHESIA FOR THE DENTAL HYGIENIST 2ND ED BY LOGOTHETIS
View Document

TEST BANK FOR LOCAL ANESTHESIA FOR THE DENTAL HYGIENIST 2ND ED BY LOGOTHETIS

  • Darling

    Darling

  • test bank

TEST BANK FOR LOCAL ANESTHESIA FOR THE DENTAL HYGIENIST 2ND ED BY LOGOTHETIS...

15 USD

0

0

TEST BANK PSYCHIATRIC MENTAL HEALTH NURSING 8TH EDITION, WANDA MOHR
View Document

TEST BANK PSYCHIATRIC MENTAL HEALTH NURSING 8TH EDITION, WANDA MOHR

  • Darling

    Darling

  • test bank

TEST BANK PSYCHIATRIC MENTAL HEALTH NURSING 8TH EDITION, WANDA MOHR...

15 USD

0

0

TEST BANK FOR NEONATAL AND PEDIATRIC RESPIRATORY CARE 5TH EDITION BY WALSH
View Document

TEST BANK FOR NEONATAL AND PEDIATRIC RESPIRATORY CARE 5TH EDITION BY WALSH

  • Darling

    Darling

  • test bank

TEST BANK FOR NEONATAL AND PEDIATRIC RESPIRATORY CARE 5TH EDITION BY WALSH...

15 USD

0

0

Test Bank for Mosby’s Canadian Manual of Diagnostic and Laboratory Tests 2nd Edition by Pagana
View Document

Test Bank for Mosby’s Canadian Manual of Diagnostic and Laboratory Tests 2nd Edition by Pagana

  • Darling

    Darling

  • test bank

Test Bank for Mosby’s Canadian Manual of Diagnostic and Laboratory Tests 2nd Edition by Pagana...

16 USD

0

0

INTRODUCTORY MATERNITY AND PEDIATRIC NURSING 4TH EDITION HATFIELD TEST BANK
View Document

INTRODUCTORY MATERNITY AND PEDIATRIC NURSING 4TH EDITION HATFIELD TEST BANK

  • Darling

    Darling

  • test bank

INTRODUCTORY MATERNITY AND PEDIATRIC NURSING 4TH EDITION HATFIELD TEST BANK...

10 USD

0

0

Test Bank – Potter & Perry Fundamentals of Nursing 10th Edition | Verified, All Chapters
View Document

Test Bank – Potter & Perry Fundamentals of Nursing 10th Edition | Verified, All Chapters

  • Darling

    Darling

  • test bank

Fundamentals of nursing 10th edition potter perry test bank. Instant PDF Download....

14 USD

0

0

Test Bank for Bates’ Guide to Physical Examination and History Taking 13th Edition Bickley All Chapters
View Document

Test Bank for Bates’ Guide to Physical Examination and History Taking 13th Edition Bickley All Chapters

  • Darling

    Darling

  • test bank

Test Bank for Bates’ Guide to Physical Examination and History Taking 13th Edition Bickley All Chapters...

17 USD

0

0

Test Bank for Human Biology 16th Edition by Mader
View Document

Test Bank for Human Biology 16th Edition by Mader

  • Darling

    Darling

  • test bank

Test Bank for Human Biology 16th Edition by Mader...

15 USD

0

0

TEST BANK FOR BERNE AND LEVY PHYSIOLOGY 7TH EDITION BY KOEPPEN
View Document

TEST BANK FOR BERNE AND LEVY PHYSIOLOGY 7TH EDITION BY KOEPPEN

  • Darling

    Darling

  • test bank

TEST BANK FOR BERNE AND LEVY PHYSIOLOGY 7TH EDITION BY KOEPPEN...

16 USD

0

0

Test Bank For Strategic Management,, Text and Cases 10th Edition by Dess, McNamara, Eisner
View Document

Test Bank For Strategic Management,, Text and Cases 10th Edition by Dess, McNamara, Eisner

  • Darling

    Darling

  • test bank

Test Bank For Strategic Management,, Text and Cases 10th Edition by Dess, McNamara, Eisner...

15 USD

0

0

BEST TEST BANK FOR ZOOLOGY, 11TH EDITION, STEPHEN MILLER, TODD A. TUPPER
View Document

BEST TEST BANK FOR ZOOLOGY, 11TH EDITION, STEPHEN MILLER, TODD A. TUPPER

  • Darling

    Darling

  • test bank

BEST TEST BANK FOR ZOOLOGY, 11TH EDITION, STEPHEN MILLER, TODD A. TUPPER...

15 USD

0

0

Test bank for Transforming the School Counseling Profession, 5th Edition, Bradley T. Erford All Chapters
View Document

Test bank for Transforming the School Counseling Profession, 5th Edition, Bradley T. Erford All Chapters

  • Darling

    Darling

  • test bank

Test bank for Transforming the School Counseling Profession, 5th Edition, Bradley T. Erford All Chapters...

15 USD

0

0

TEST BANK FOR THE REAL WORLD, 7TH EDITION, KERRY FERRIS ALL CHAPTERS
View Document

TEST BANK FOR THE REAL WORLD, 7TH EDITION, KERRY FERRIS ALL CHAPTERS

  • Darling

    Darling

  • test bank

TEST BANK FOR THE REAL WORLD, 7TH EDITION, KERRY FERRIS ALL CHAPTERS...

15 USD

0

0

COMPLETE TEST BANK FOR SUPERVISORY MANAGEMENT, 10TH EDITION, DONALD C. MOSLEY, DON C. MOSLEY, JR., PAUL H. PIETRI
View Document

COMPLETE TEST BANK FOR SUPERVISORY MANAGEMENT, 10TH EDITION, DONALD C. MOSLEY, DON C. MOSLEY, JR., PAUL H. PIETRI

  • Darling

    Darling

  • test bank

COMPLETE TEST BANK FOR SUPERVISORY MANAGEMENT, 10TH EDITION, DONALD C. MOSLEY, DON C. MOSLEY, JR., PAUL H. PIETRI...

15 USD

0

0

COMPLETE TEST BANK FOR STRUCTURES OF THE HEAD AND NECK, 1ST EDITION, FRANK J. WEAKER
View Document

COMPLETE TEST BANK FOR STRUCTURES OF THE HEAD AND NECK, 1ST EDITION, FRANK J. WEAKER

  • Darling

    Darling

  • test bank

COMPLETE TEST BANK FOR STRUCTURES OF THE HEAD AND NECK, 1ST EDITION, FRANK J. WEAKER...

15 USD

0

0

TEST BANK FOR STATISTICS FOR PEOPLE WHO THINK THEY HATE STATISTICS, 7TH EDITION, NEIL J. SALKIND, BRUCE B. FREY
View Document

TEST BANK FOR STATISTICS FOR PEOPLE WHO THINK THEY HATE STATISTICS, 7TH EDITION, NEIL J. SALKIND, BRUCE B. FREY

  • Darling

    Darling

  • test bank

TEST BANK FOR STATISTICS FOR PEOPLE WHO THINK THEY HATE STATISTICS, 7TH EDITION, NEIL J. SALKIND, BRUCE B. FREY...

15 USD

0

0

COMPLETE TEST BANK FOR SPECIAL EDUCATION IN CONTEMPORARY SOCIETY AN INTRODUCTION TO EXCEPTIONALITY, 7TH EDITION, RICHARD M. GARGIULO, EMILY C. BOUCK
View Document

COMPLETE TEST BANK FOR SPECIAL EDUCATION IN CONTEMPORARY SOCIETY AN INTRODUCTION TO EXCEPTIONALITY, 7TH EDITION, RICHARD M. GARGIULO, EMILY C. BOUCK

  • Darling

    Darling

  • test bank

COMPLETE TEST BANK FOR SPECIAL EDUCATION IN CONTEMPORARY SOCIETY AN INTRODUCTION TO EXCEPTIONALITY, 7TH EDITION, RICHARD...

15 USD

0

0

TEST BANK FOR RADIOGRAPHIC PATHOLOGY FOR TECHNOLOGISTS, 7TH EDITION, NINA KOWALCZYK ALL CHAPTERS
View Document

TEST BANK FOR RADIOGRAPHIC PATHOLOGY FOR TECHNOLOGISTS, 7TH EDITION, NINA KOWALCZYK ALL CHAPTERS

  • Darling

    Darling

  • test bank

TEST BANK FOR RADIOGRAPHIC PATHOLOGY FOR TECHNOLOGISTS, 7TH EDITION, NINA KOWALCZYK ALL CHAPTERS...

15 USD

0

0

COMPLETE TEST BANK FOR PARENTING A DYNAMIC PERSPECTIVE, 3RD EDITION, GEORGE W. HOLDEN
View Document

COMPLETE TEST BANK FOR PARENTING A DYNAMIC PERSPECTIVE, 3RD EDITION, GEORGE W. HOLDEN

  • Darling

    Darling

  • test bank

COMPLETE TEST BANK FOR PARENTING A DYNAMIC PERSPECTIVE, 3RD EDITION, GEORGE W. HOLDEN...

15 USD

0

1

COMPLETE TEST BANK FOR NUTRITION COUNSELING AND EDUCATION SKILL DEVELOPMENT, 4TH EDITION, KATHLEEN D. BAUER, DOREEN LIOU
View Document

COMPLETE TEST BANK FOR NUTRITION COUNSELING AND EDUCATION SKILL DEVELOPMENT, 4TH EDITION, KATHLEEN D. BAUER, DOREEN LIOU

  • Darling

    Darling

  • test bank

COMPLETE TEST BANK FOR NUTRITION COUNSELING AND EDUCATION SKILL DEVELOPMENT, 4TH EDITION, KATHLEEN D. BAUER, DOREEN LIOU...

15 USD

0

0

COMPLETE TEST BANK FOR NUTRITION CONCEPTS AND CONTROVERSIES, 5TH EDITION, FRANCES SIZER, ELLIE WHITNEY, LEONARD PICHÉ
View Document

COMPLETE TEST BANK FOR NUTRITION CONCEPTS AND CONTROVERSIES, 5TH EDITION, FRANCES SIZER, ELLIE WHITNEY, LEONARD PICHÉ

  • Darling

    Darling

  • test bank

COMPLETE TEST BANK FOR NUTRITION CONCEPTS AND CONTROVERSIES, 5TH EDITION, FRANCES SIZER, ELLIE WHITNEY, LEONARD PICHÉ...

15 USD

0

0

Complete Test Bank For Nursing A Concept-Based Approach To Learning, Volumes I, Ii & Iii, 3rd Edition, Pearson Education
View Document

Complete Test Bank For Nursing A Concept-Based Approach To Learning, Volumes I, Ii & Iii, 3rd Edition, Pearson Education

  • Darling

    Darling

  • test bank

Complete Test Bank For Nursing A Concept-Based Approach To Learning, Volumes I, Ii & Iii, 3rd Edition, Pearson Education...

15 USD

0

0

COMPLETE TEST BANK FOR MICROECONOMICS PRINCIPLES FOR A CHANGING WORLD, 5TH EDITION, ERIC CHIANG
View Document

COMPLETE TEST BANK FOR MICROECONOMICS PRINCIPLES FOR A CHANGING WORLD, 5TH EDITION, ERIC CHIANG

  • Darling

    Darling

  • test bank

COMPLETE TEST BANK FOR MICROECONOMICS PRINCIPLES FOR A CHANGING WORLD, 5TH EDITION, ERIC CHIANG...

15 USD

0

0

COMPLETE TEST BANK FOR METHODS IN PSYCHOLOGICAL RESEARCH, 4TH EDITION, BRYAN J. ROONEY, ANNABEL NESS EVANS
View Document

COMPLETE TEST BANK FOR METHODS IN PSYCHOLOGICAL RESEARCH, 4TH EDITION, BRYAN J. ROONEY, ANNABEL NESS EVANS

  • Darling

    Darling

  • test bank

COMPLETE TEST BANK FOR METHODS IN PSYCHOLOGICAL RESEARCH, 4TH EDITION, BRYAN J. ROONEY, ANNABEL NESS EVANS...

15 USD

0

0

TEST BANK FOR INVESTIGATING CHEMISTRY, 4TH EDITION, MATTHEW JOHLL ALL CHAPTERS
View Document

TEST BANK FOR INVESTIGATING CHEMISTRY, 4TH EDITION, MATTHEW JOHLL ALL CHAPTERS

  • Darling

    Darling

  • test bank

TEST BANK FOR INVESTIGATING CHEMISTRY, 4TH EDITION, MATTHEW JOHLL ALL CHAPTERS...

15 USD

0

0

COMPLETE TEST BANK FOR INTRODUCTION TO WOMEN’S AND GENDER STUDIES AN INTERDISCIPLINARY APPROACH, 2ND EDITION, MELISSA J. GILLIS, ANDREW T. JACOBS
View Document

COMPLETE TEST BANK FOR INTRODUCTION TO WOMEN’S AND GENDER STUDIES AN INTERDISCIPLINARY APPROACH, 2ND EDITION, MELISSA J. GILLIS, ANDREW T. JACOBS

  • Darling

    Darling

  • test bank

COMPLETE TEST BANK FOR INTRODUCTION TO WOMEN’S AND GENDER STUDIES AN INTERDISCIPLINARY APPROACH, 2ND EDITION, MELISSA ...

15 USD

0

0

COMPLETE TEST BANK FOR INTRODUCTION TO LEADERSHIP CONCEPTS AND PRACTICE, 5TH EDITION, PETER G. NORTHOUSE
View Document

COMPLETE TEST BANK FOR INTRODUCTION TO LEADERSHIP CONCEPTS AND PRACTICE, 5TH EDITION, PETER G. NORTHOUSE

  • Darling

    Darling

  • test bank

COMPLETE TEST BANK FOR INTRODUCTION TO LEADERSHIP CONCEPTS AND PRACTICE, 5TH EDITION, PETER G. NORTHOUSE...

15 USD

0

2

TEST BANK FOR INTRODUCTION TO JAVA PROGRAMMING AND DATA STRUCTURES COMPREHENSIVE, 12ED DANIEL LIANG
View Document

TEST BANK FOR INTRODUCTION TO JAVA PROGRAMMING AND DATA STRUCTURES COMPREHENSIVE, 12ED DANIEL LIANG

  • Darling

    Darling

  • test bank

TEST BANK FOR INTRODUCTION TO JAVA PROGRAMMING AND DATA STRUCTURES COMPREHENSIVE, 12ED DANIEL LIANG...

15 USD

0

0

TEST BANK FOR INFORMATION TECHNOLOGY PROJECT MANAGEMENT, 9TH EDITION, KATHY SCHWALBE
View Document

TEST BANK FOR INFORMATION TECHNOLOGY PROJECT MANAGEMENT, 9TH EDITION, KATHY SCHWALBE

  • Darling

    Darling

  • test bank

TEST BANK FOR INFORMATION TECHNOLOGY PROJECT MANAGEMENT, 9TH EDITION, KATHY SCHWALBE...

15 USD

0

0

TEST BANK FOR HUMAN SEXUALITY IN A CHANGING WORLD, 10TH EDITION, SPENCER A. RATHUS, JEFF NEVID, JEFFREY S. NEVID, LOIS FICHNER-RATHUS
View Document

TEST BANK FOR HUMAN SEXUALITY IN A CHANGING WORLD, 10TH EDITION, SPENCER A. RATHUS, JEFF NEVID, JEFFREY S. NEVID, LOIS FICHNER-RATHUS

  • Darling

    Darling

  • test bank

TEST BANK FOR HUMAN SEXUALITY IN A CHANGING WORLD, 10TH EDITION, SPENCER A. RATHUS, JEFF NEVID, JEFFREY S. NEVID, LOIS F...

15 USD

0

0

TEST BANK FOR HUMAN RELATIONS, 6TH EDITION, LOWELL LAMBERTON, LESLIE MINOR-EVANS
View Document

TEST BANK FOR HUMAN RELATIONS, 6TH EDITION, LOWELL LAMBERTON, LESLIE MINOR-EVANS

  • Darling

    Darling

  • test bank

TEST BANK FOR HUMAN RELATIONS, 6TH EDITION, LOWELL LAMBERTON, LESLIE MINOR-EVANS...

15 USD

0

0

TEST BANK FOR HUMAN PHYSIOLOGY, 2ND EDITION, BRYAN H. DERRICKSON
View Document

TEST BANK FOR HUMAN PHYSIOLOGY, 2ND EDITION, BRYAN H. DERRICKSON

  • Darling

    Darling

  • test bank

TEST BANK FOR HUMAN PHYSIOLOGY, 2ND EDITION, BRYAN H. DERRICKSON...

15 USD

0

0

Test bank for Health Behavior and Health Education Theory, Research, and Practice, 4th Edition, Karen Glanz, Barbara K. Rimer, K. Viswanath
View Document

Test bank for Health Behavior and Health Education Theory, Research, and Practice, 4th Edition, Karen Glanz, Barbara K. Rimer, K. Viswanath

  • Darling

    Darling

  • test bank

Test bank for Health Behavior and Health Education Theory, Research, and Practice, 4th Edition, Karen Glanz, Barbara K. ...

15 USD

0

0

Test bank for for Lives Across Cultures Cross-Cultural Human Development, 6th Edition, Harry W. Gardiner
View Document

Test bank for for Lives Across Cultures Cross-Cultural Human Development, 6th Edition, Harry W. Gardiner

  • Darling

    Darling

  • test bank

Test bank for for Lives Across Cultures Cross-Cultural Human Development, 6th Edition, Harry W. Gardiner...

15 USD

0

0

TEST BANK FOR FOR ESSENTIAL HEALTH ASSESSMENT, 1ST EDITION, JANICE THOMPSON
View Document

TEST BANK FOR FOR ESSENTIAL HEALTH ASSESSMENT, 1ST EDITION, JANICE THOMPSON

  • Darling

    Darling

  • test bank

TEST BANK FOR FOR ESSENTIAL HEALTH ASSESSMENT, 1ST EDITION, JANICE THOMPSON...

15 USD

0

1

Test bank for Essential Statistics, 3rd Edition, Robert N. Gould, Colleen Ryan, Rebecca Wong
View Document

Test bank for Essential Statistics, 3rd Edition, Robert N. Gould, Colleen Ryan, Rebecca Wong

  • Darling

    Darling

  • test bank

Test bank for Essential Statistics, 3rd Edition, Robert N. Gould, Colleen Ryan, Rebecca Wong...

15 USD

0

0

TEST BANK FOR EMERGENCY CARE IN ATHLETIC TRAINING, 1ST EDITION, KEITH M. GORSE, FRANCIS FELD, ROBERT BLANC, MATTHEW RADELET
View Document

TEST BANK FOR EMERGENCY CARE IN ATHLETIC TRAINING, 1ST EDITION, KEITH M. GORSE, FRANCIS FELD, ROBERT BLANC, MATTHEW RADELET

  • Darling

    Darling

  • test bank

TEST BANK FOR EMERGENCY CARE IN ATHLETIC TRAINING, 1ST EDITION, KEITH M. GORSE, FRANCIS FELD, ROBERT BLANC, MATTHEW RADE...

15 USD

0

0

Test Bank for Electrocardiography for Healthcare Professionals 6th Edition | All Chapters Questions & Verified Solutions
View Document

Test Bank for Electrocardiography for Healthcare Professionals 6th Edition | All Chapters Questions & Verified Solutions

  • Darling

    Darling

  • test bank

Get Test Bank PDF for Electrocardiography for Healthcare Professionals 6th Edition– All Chapters Questions & Verified ...

15 USD

0

0

TEST BANK FOR EARLY CHILDHOOD EXPERIENCES IN LANGUAGE ARTS EARLY LITERACY, 11TH EDITION, JEANNE M. MACHADO
View Document

TEST BANK FOR EARLY CHILDHOOD EXPERIENCES IN LANGUAGE ARTS EARLY LITERACY, 11TH EDITION, JEANNE M. MACHADO

  • Darling

    Darling

  • test bank

TEST BANK FOR EARLY CHILDHOOD EXPERIENCES IN LANGUAGE ARTS EARLY LITERACY, 11TH EDITION, JEANNE M. MACHADO...

15 USD

0

0

TEST BANK FOR DISCOVERING THE LIFE SPAN, 4TH EDITION, ROBERT S. FELDMAN
View Document

TEST BANK FOR DISCOVERING THE LIFE SPAN, 4TH EDITION, ROBERT S. FELDMAN

  • Darling

    Darling

  • test bank

TEST BANK FOR DISCOVERING THE LIFE SPAN, 4TH EDITION, ROBERT S. FELDMAN...

15 USD

0

0

TEST BANK FOR CONTEMPORARY SOCIOLOGICAL THEORY AND ITS CLASSICAL ROOTS THE BASICS, 5TH EDITION, GEORGE RITZER, JEFFREY STEPNISKY
View Document

TEST BANK FOR CONTEMPORARY SOCIOLOGICAL THEORY AND ITS CLASSICAL ROOTS THE BASICS, 5TH EDITION, GEORGE RITZER, JEFFREY STEPNISKY

  • Darling

    Darling

  • test bank

TEST BANK FOR CONTEMPORARY SOCIOLOGICAL THEORY AND ITS CLASSICAL ROOTS THE BASICS, 5TH EDITION, GEORGE RITZER, JEFFREY S...

15 USD

0

1

Test bank for Children’s Thinking, 5th Edition, Robert Siegler, Martha Alibali
View Document

Test bank for Children’s Thinking, 5th Edition, Robert Siegler, Martha Alibali

  • Darling

    Darling

  • test bank

Test bank for Children’s Thinking, 5th Edition, Robert Siegler, Martha Alibali...

15 USD

0

0

Test Bank for Child Development an Active Learning Approach, 3rd Edition, Laura E. Levine, Joyce Munsch
View Document

Test Bank for Child Development an Active Learning Approach, 3rd Edition, Laura E. Levine, Joyce Munsch

  • Darling

    Darling

  • test bank

Test Bank for Child Development an Active Learning Approach, 3rd Edition, Laura E. Levine, Joyce Munsch...

15 USD

0

0

TEST BANK FOR CHILD DEVELOPMENT A CULTURAL APPROACH, 3RD EDITION, JEFFERY JENSEN ARNETT, LENE ARNETT JENSEN
View Document

TEST BANK FOR CHILD DEVELOPMENT A CULTURAL APPROACH, 3RD EDITION, JEFFERY JENSEN ARNETT, LENE ARNETT JENSEN

  • Darling

    Darling

  • test bank

TEST BANK FOR CHILD DEVELOPMENT A CULTURAL APPROACH, 3RD EDITION, JEFFERY JENSEN ARNETT, LENE ARNETT JENSEN...

15 USD

0

0

Test bank for Chemistry, 4th Edition, Allan Blackman, Steven E. Bottle, Siegbert Schmid, Mauro Mocerino, Uta Wille
View Document

Test bank for Chemistry, 4th Edition, Allan Blackman, Steven E. Bottle, Siegbert Schmid, Mauro Mocerino, Uta Wille

  • Darling

    Darling

  • test bank

Test bank for Chemistry, 4th Edition, Allan Blackman, Steven E. Bottle, Siegbert Schmid, Mauro Mocerino, Uta Wille...

15 USD

0

0

TEST BANK FOR ASSESSING STUDENTS WITH SPECIAL NEEDS, 5TH EDITION, JOHN J. VENN
View Document

TEST BANK FOR ASSESSING STUDENTS WITH SPECIAL NEEDS, 5TH EDITION, JOHN J. VENN

  • Darling

    Darling

  • test bank

TEST BANK FOR ASSESSING STUDENTS WITH SPECIAL NEEDS, 5TH EDITION, JOHN J. VENN...

15 USD

0

0

TEST BANK FOR AGING AS A SOCIAL PROCESS CANADA AND BEYOND, 7TH EDITION, ANDREW V. WISTER
View Document

TEST BANK FOR AGING AS A SOCIAL PROCESS CANADA AND BEYOND, 7TH EDITION, ANDREW V. WISTER

  • Darling

    Darling

  • test bank

TEST BANK FOR AGING AS A SOCIAL PROCESS CANADA AND BEYOND, 7TH EDITION, ANDREW V. WISTER...

15 USD

0

1

TEST BANK FOR AGING AND THE LIFE COURSE AN INTRODUCTION TO SOCIAL GERONTOLOGY, 7TH EDITION, JILL QUADAGNO
View Document

TEST BANK FOR AGING AND THE LIFE COURSE AN INTRODUCTION TO SOCIAL GERONTOLOGY, 7TH EDITION, JILL QUADAGNO

  • Darling

    Darling

  • test bank

TEST BANK FOR AGING AND THE LIFE COURSE AN INTRODUCTION TO SOCIAL GERONTOLOGY, 7TH EDITION, JILL QUADAGNO...

15 USD

0

1

TEST BANK FOR ABNORMAL PSYCHOLOGY CLINICAL PERSPECTIVES ON PSYCHOLOGICAL DISORDERS, 9TH EDITION, SUSAN KRAUSS WHITBOURNE
View Document

TEST BANK FOR ABNORMAL PSYCHOLOGY CLINICAL PERSPECTIVES ON PSYCHOLOGICAL DISORDERS, 9TH EDITION, SUSAN KRAUSS WHITBOURNE

  • Darling

    Darling

  • test bank

TEST BANK FOR ABNORMAL PSYCHOLOGY CLINICAL PERSPECTIVES ON PSYCHOLOGICAL DISORDERS, 9TH EDITION, SUSAN KRAUSS WHITBOURNE...

15 USD

0

0

TEST  BANK FOR FINANCIAL ACCOUNTING, 16TH EDITION, CARL WARREN, CHRISTINE JONICK, JENNIFER SCHNEIDER
View Document

TEST BANK FOR FINANCIAL ACCOUNTING, 16TH EDITION, CARL WARREN, CHRISTINE JONICK, JENNIFER SCHNEIDER

  • Darling

    Darling

  • test bank

TEST BANK FOR FINANCIAL ACCOUNTING, 16TH EDITION, CARL WARREN, CHRISTINE JONICK, JENNIFER SCHNEIDER...

15 USD

0

0

TEST BANK ILLUSTRATED DENTAL EMBRYOLOGY HISTOLOGY AND ANATOMY- 4TH EDITION- FEHRENBACH ALL CHAPTERS
View Document

TEST BANK ILLUSTRATED DENTAL EMBRYOLOGY HISTOLOGY AND ANATOMY- 4TH EDITION- FEHRENBACH ALL CHAPTERS

  • Darling

    Darling

  • test bank

TEST BANK ILLUSTRATED DENTAL EMBRYOLOGY HISTOLOGY AND ANATOMY- 4TH EDITION- FEHRENBACH ALL CHAPTERS...

15 USD

0

0

COMPLETE TEST BANK FOR YODER-WISE’S LEADING AND MANAGING IN CANADIAN NURSING 7TH EDITION BY YODER-WISE
View Document

COMPLETE TEST BANK FOR YODER-WISE’S LEADING AND MANAGING IN CANADIAN NURSING 7TH EDITION BY YODER-WISE

  • Darling

    Darling

  • test bank

COMPLETE TEST BANK FOR YODER-WISE’S LEADING AND MANAGING IN CANADIAN NURSING 7TH EDITION BY YODER-WISE...

15 USD

0

0

TEST BANK FOR UNDERSTANDING ANATOMY & PHYSIOLOGY, 3RD EDITION. GALE SLOAN THOMPSON
View Document

TEST BANK FOR UNDERSTANDING ANATOMY & PHYSIOLOGY, 3RD EDITION. GALE SLOAN THOMPSON

  • Darling

    Darling

  • test bank

TEST BANK FOR UNDERSTANDING ANATOMY & PHYSIOLOGY, 3RD EDITION. GALE SLOAN THOMPSON...

15 USD

0

0

Test Bank For Public Health Nursing Population Centered Health Care In The Community 9th Edition By Marcia Stanhope -Jeanette Lancaster
View Document

Test Bank For Public Health Nursing Population Centered Health Care In The Community 9th Edition By Marcia Stanhope -Jeanette Lancaster

  • Darling

    Darling

  • test bank

Test Bank For Public Health Nursing Population Centered Health Care In The Community 9th Edition By Marcia Stanhope -Jea...

15 USD

0

0

Complete Test Bank for Psychological Science, 6th Edition, Michael Gazzaniga
View Document

Complete Test Bank for Psychological Science, 6th Edition, Michael Gazzaniga

  • Darling

    Darling

  • test bank

Complete Test Bank for Psychological Science, 6th Edition, Michael Gazzaniga...

15 USD

0

0

TEST BANK FOR PSYCHIATRIC MENTAL HEALTH NURSING 8TH EDITION BY VIDEBECK ALL CHAPTERS
View Document

TEST BANK FOR PSYCHIATRIC MENTAL HEALTH NURSING 8TH EDITION BY VIDEBECK ALL CHAPTERS

  • Darling

    Darling

  • test bank

TEST BANK FOR PSYCHIATRIC MENTAL HEALTH NURSING 8TH EDITION BY VIDEBECK ALL CHAPTERS...

15 USD

0

0

TEST BANK FOR PROFESSIONAL NURSING CONCEPTS & CHALLENGES 9TH EDITION BETH BLACK ALL CHAPTERS
View Document

TEST BANK FOR PROFESSIONAL NURSING CONCEPTS & CHALLENGES 9TH EDITION BETH BLACK ALL CHAPTERS

  • Darling

    Darling

  • test bank

TEST BANK FOR PROFESSIONAL NURSING CONCEPTS & CHALLENGES 9TH EDITION BETH BLACK ALL CHAPTERS...

15 USD

0

0

COMPLETE TEST BANK FOR PROFESSIONAL NURSING CONCEPTS & CHALLENGES 9TH EDITION BETH BLACK
View Document

COMPLETE TEST BANK FOR PROFESSIONAL NURSING CONCEPTS & CHALLENGES 9TH EDITION BETH BLACK

  • Darling

    Darling

  • test bank

COMPLETE TEST BANK FOR PROFESSIONAL NURSING CONCEPTS & CHALLENGES 9TH EDITION BETH BLACK...

15 USD

0

0

Test Bank – Primary Care: The Art & Science of Advanced Practice Nursing 5th Ed (Dunphy) | Complete Q&A (Chapters 1–82)
View Document

Test Bank – Primary Care: The Art & Science of Advanced Practice Nursing 5th Ed (Dunphy) | Complete Q&A (Chapters 1–82)

  • Darling

    Darling

  • test bank

Download the full test bank for Primary Care: The Art & Science of Advanced Practice Nursing, 5th Edition (Dunphy). In...

15 USD

0

0

COMPLETE TEST BANK FOR PHYSICAL EXAMINATION AND HEALTH ASSESMENT 8TH EDITION BY JARVIS
View Document

COMPLETE TEST BANK FOR PHYSICAL EXAMINATION AND HEALTH ASSESMENT 8TH EDITION BY JARVIS

  • Darling

    Darling

  • test bank

COMPLETE TEST BANK FOR PHYSICAL EXAMINATION AND HEALTH ASSESMENT 8TH EDITION BY JARVIS...

15 USD

0

0

Complete Test Bank For Pharmacology For Primary Provider 4th Edition Edmunds
View Document

Complete Test Bank For Pharmacology For Primary Provider 4th Edition Edmunds

  • Darling

    Darling

  • test bank

GET Test Bank For Pharmacology For Primary Provider 4th Edition Edmunds. Instant PDF Download....

15 USD

0

0

Comprehensive Test Bank For Pharmacology and the Nursing Process 9th Edition by Lilley
View Document

Comprehensive Test Bank For Pharmacology and the Nursing Process 9th Edition by Lilley

  • Darling

    Darling

  • test bank

Get Test Bank For Pharmacology And The Nursing Process 9th Edition By Lilley PDF...

15 USD

0

0

Test Bank for Pharmacology and the Nursing Process 8th Edition – Lilley | Complete Questions & Answers
View Document

Test Bank for Pharmacology and the Nursing Process 8th Edition – Lilley | Complete Questions & Answers

  • Darling

    Darling

  • test bank

Download the full test bank for Pharmacology and the Nursing Process 8th Edition by Lilley. Includes all chapters with a...

15 USD

0

0

COMPLETE TEST BANK FOR PHARMACOLOGY AND THE NURSING PROCESS 7TH EDITION BY LILLEY
View Document

COMPLETE TEST BANK FOR PHARMACOLOGY AND THE NURSING PROCESS 7TH EDITION BY LILLEY

  • Darling

    Darling

  • test bank

COMPLETE TEST BANK FOR PHARMACOLOGY AND THE NURSING PROCESS 7TH EDITION BY LILLEY...

15 USD

0

0

COMPLETE TEST BANK FOR PEDIATRIC PRIMARY CARE 4TH EDITION RICHARDSON
View Document

COMPLETE TEST BANK FOR PEDIATRIC PRIMARY CARE 4TH EDITION RICHARDSON

  • Darling

    Darling

  • test bank

COMPLETE TEST BANK FOR PEDIATRIC PRIMARY CARE 4TH EDITION RICHARDSON...

15 USD

0

0

Test Bank for Nursing Assistant A Nursing Process Approach, 11th Edition, Barbara Acello.
View Document

Test Bank for Nursing Assistant A Nursing Process Approach, 11th Edition, Barbara Acello.

  • Darling

    Darling

  • test bank

Download the full test bank for Nursing Assistant: A Nursing Process Approach (11th Edition) by Barbara Acello. Includ...

15 USD

0

0

Test Bank For Medical Surgical Nursing 8th Edition Ignavaticius All Chapters
View Document

Test Bank For Medical Surgical Nursing 8th Edition Ignavaticius All Chapters

  • Darling

    Darling

  • test bank

Download Test Bank For Medical Surgical Nursing 8th Edition Ignavaticius All Chapters...

15 USD

0

0

Test Bank for Maternal-Newborn Nursing The Critical Components of Nursing Care, 3rd Edition, Roberta
View Document

Test Bank for Maternal-Newborn Nursing The Critical Components of Nursing Care, 3rd Edition, Roberta

  • Darling

    Darling

  • test bank

Download the full test bank for Maternal‑Newborn Nursing: Critical Components of Nursing Care 3rd Edition by Roberta...

15 USD

0

0

Complete Test Bank For Maternal Child Nursing Care 6th Edition By Perry
View Document

Complete Test Bank For Maternal Child Nursing Care 6th Edition By Perry

  • Darling

    Darling

  • test bank

Get the full test bank for Maternal Child Nursing Care 6th Ed by Perry. Includes all chapters, verified questions, answe...

15 USD

0

0

Complete Test Bank For Legal & Ethical Issues In Nursing, 7th Edition, Ginny Wacker Guido
View Document

Complete Test Bank For Legal & Ethical Issues In Nursing, 7th Edition, Ginny Wacker Guido

  • Darling

    Darling

  • test bank

Download the full test bank for Legal & Ethical Issues in Nursing 7th Edition by Ginny Wacker Guido. Includes all ch...

15 USD

0

0

Complete Test Bank For Leadership And Management Functions In Nursing 1oth Edition Marquis Huston
View Document

Complete Test Bank For Leadership And Management Functions In Nursing 1oth Edition Marquis Huston

  • Darling

    Darling

  • test bank

Instant PDF Download Test Bank For Leadership And Management Functions In Nursing 1oth Edition Marquis Huston...

15 USD

0

0

COMPLETE TEST BANK FOR INTRODUCTION TO CRITICAL CARE NURSING 7TH EDITION BY SOLE
View Document

COMPLETE TEST BANK FOR INTRODUCTION TO CRITICAL CARE NURSING 7TH EDITION BY SOLE

  • Darling

    Darling

  • test bank

COMPLETE TEST BANK FOR INTRODUCTION TO CRITICAL CARE NURSING 7TH EDITION BY SOLE...

15 USD

0

0

COMPLETE TEST BANK FOR ILLUSTRATED ANATOMY OF THE HEAD AND NECK 5TH EDITION BY FEHRENBACH
View Document

COMPLETE TEST BANK FOR ILLUSTRATED ANATOMY OF THE HEAD AND NECK 5TH EDITION BY FEHRENBACH

  • Darling

    Darling

  • test bank

COMPLETE TEST BANK FOR ILLUSTRATED ANATOMY OF THE HEAD AND NECK 5TH EDITION BY FEHRENBACH...

15 USD

0

0

COMPLETE TEST BANK FOR HEALTH PROMOTION THROUGH THE LIFE SPAN 8TH EDITION EDELMAN
View Document

COMPLETE TEST BANK FOR HEALTH PROMOTION THROUGH THE LIFE SPAN 8TH EDITION EDELMAN

  • Darling

    Darling

  • test bank

COMPLETE TEST BANK FOR HEALTH PROMOTION THROUGH THE LIFE SPAN 8TH EDITION EDELMAN...

15 USD

0

0

Complete Test Bank For Genetics And Genomics In Nursing And Health Care 2nd Edition By Beery
View Document

Complete Test Bank For Genetics And Genomics In Nursing And Health Care 2nd Edition By Beery

  • Darling

    Darling

  • test bank

Complete Test Bank For Genetics And Genomics In Nursing And Health Care 2nd Edition By Beery...

15 USD

0

0

Complete Test Bank For Fundamentals Of Nursing 9th Edition By Taylor
View Document

Complete Test Bank For Fundamentals Of Nursing 9th Edition By Taylor

  • Darling

    Darling

  • test bank

Complete Test Bank For Fundamentals Of Nursing 9th Edition By Taylor...

15 USD

0

0

The Test Bank For Foundations Of Maternal-Newborn And Women’s Health Nursing 7th Edition By Murray
View Document

The Test Bank For Foundations Of Maternal-Newborn And Women’s Health Nursing 7th Edition By Murray

  • Darling

    Darling

  • test bank

The Test Bank For Foundations Of Maternal-Newborn And Women’s Health Nursing 7th Edition By Murray...

17 USD

0

0

The Test Bank For Foundations And Adult Health Nursing 8th Edition By Cooper
View Document

The Test Bank For Foundations And Adult Health Nursing 8th Edition By Cooper

  • Darling

    Darling

  • test bank

The Test Bank For Foundations And Adult Health Nursing 8th Edition By Cooper...

17 USD

0

0

Test Bank – Focus on Nursing Pharmacology 7th Edition by Karch | Complete Q&A with Rationales
View Document

Test Bank – Focus on Nursing Pharmacology 7th Edition by Karch | Complete Q&A with Rationales

  • Darling

    Darling

  • test bank

Test Bank – Focus on Nursing Pharmacology 7th Edition by Karch | Complete Q&A with Rationales...

15 USD

0

0

Test Bank – Evidence‑Based Practice in Nursing & Healthcare 4th Edition by Melnyk & Overholt | Complete Q&A (Chapters 1–23)
View Document

Test Bank – Evidence‑Based Practice in Nursing & Healthcare 4th Edition by Melnyk & Overholt | Complete Q&A (Chapters 1–23)

  • Darling

    Darling

  • test bank

Test Bank – Evidence‑Based Practice in Nursing & Healthcare 4th Edition by Melnyk & Overholt | Complete Q&A (Chapt...

15 USD

0

0

TEST BANK FOR ETHICS AND LAW IN DENTAL HYGIENE 3RD EDITION BY BEEMSTERBOER
View Document

TEST BANK FOR ETHICS AND LAW IN DENTAL HYGIENE 3RD EDITION BY BEEMSTERBOER

  • Darling

    Darling

  • test bank

TEST BANK FOR ETHICS AND LAW IN DENTAL HYGIENE 3RD EDITION BY BEEMSTERBOER...

10 USD

0

0

ESSENTIALS OF PHARMACOLOGY FOR HEALTH PROFESSIONS, 8TH EDITION, BRUCE COLBERT, RUTH WOODROW COMPLETE
View Document

ESSENTIALS OF PHARMACOLOGY FOR HEALTH PROFESSIONS, 8TH EDITION, BRUCE COLBERT, RUTH WOODROW COMPLETE

  • Darling

    Darling

  • test bank

ESSENTIALS OF PHARMACOLOGY FOR HEALTH PROFESSIONS, 8TH EDITION, BRUCE COLBERT, RUTH WOODROW COMPLETE...

10 USD

0

0

Test Bank for Deviant Behavior, 12th Edition, Alex C. Thio, Jim D. Taylor, Martin D. Schwartz
View Document

Test Bank for Deviant Behavior, 12th Edition, Alex C. Thio, Jim D. Taylor, Martin D. Schwartz

  • Darling

    Darling

  • test bank

Test Bank for Deviant Behavior, 12th Edition, Alex C. Thio, Jim D. Taylor, Martin D. Schwartz...

15 USD

0

0

Test Bank for Davis Advantage for Pathophysiology Introductory Concepts and Clinical Perspectives 3rd Edition by Theresa Capriotti All Chapters
View Document

Test Bank for Davis Advantage for Pathophysiology Introductory Concepts and Clinical Perspectives 3rd Edition by Theresa Capriotti All Chapters

  • Darling

    Darling

  • test bank

Revise for your exams with the Test Bank for Davis Advantage for Pathophysiology: Introductory Concepts and Clinical Per...

15 USD

0

0

TEST BANK FOR CLINICAL IMMUNOLOGY AND SEROLOGY A LABORATORY PERSPECTIVE, 4TH EDITION, LINDA MILLER
View Document

TEST BANK FOR CLINICAL IMMUNOLOGY AND SEROLOGY A LABORATORY PERSPECTIVE, 4TH EDITION, LINDA MILLER

  • Darling

    Darling

  • test bank

TEST BANK FOR CLINICAL IMMUNOLOGY AND SEROLOGY A LABORATORY PERSPECTIVE, 4TH EDITION, LINDA MILLER...

15 USD

0

0

CLAYTON’S BASIC PHARMACOLOGY FOR NURSES 18TH EDITION BY WILLIHNGANZ COMPLETE TEST BANK
View Document

CLAYTON’S BASIC PHARMACOLOGY FOR NURSES 18TH EDITION BY WILLIHNGANZ COMPLETE TEST BANK

  • Darling

    Darling

  • test bank

CLAYTON’S BASIC PHARMACOLOGY FOR NURSES 18TH EDITION BY WILLIHNGANZ COMPLETE TEST BANK...

10 USD

0

0

TEST BANK FOR UNDERSTANDING MEDICAL-SURGICAL NURSING 5TH ED BY HOPPER ,WILLIAMS
View Document

TEST BANK FOR UNDERSTANDING MEDICAL-SURGICAL NURSING 5TH ED BY HOPPER ,WILLIAMS

  • Darling

    Darling

  • test bank

TEST BANK FOR UNDERSTANDING MEDICAL-SURGICAL NURSING 5TH ED BY HOPPER ,WILLIAMS...

15 USD

0

0

Test Bank For Essentials of Psychiatric Mental Health Nursing 8th Edition Concepts of Care in Evidence- Based Practice 8th Edition Morgan Townsend
View Document

Test Bank For Essentials of Psychiatric Mental Health Nursing 8th Edition Concepts of Care in Evidence- Based Practice 8th Edition Morgan Townsend

  • Darling

    Darling

  • test bank

Test Bank For Essentials of Psychiatric Mental Health Nursing 8th Edition Concepts of Care in Evidence- Based Practice 8...

15 USD

0

0

TEST BANK FOR PUBLIC FINANCE IN CANADA 5TH EDITION BY ROSEN, GAYER, SNODDON
View Document

TEST BANK FOR PUBLIC FINANCE IN CANADA 5TH EDITION BY ROSEN, GAYER, SNODDON

  • Darling

    Darling

  • test bank

TEST BANK FOR PUBLIC FINANCE IN CANADA 5TH EDITION BY ROSEN, GAYER, SNODDON...

15 USD

0

0

TEST BANK FOR ACCOUNTING INFORMATION SYSTEMS, 15TH EDITION BY ROMNEY, STEINBART, SUMMERS, WOOD
View Document

TEST BANK FOR ACCOUNTING INFORMATION SYSTEMS, 15TH EDITION BY ROMNEY, STEINBART, SUMMERS, WOOD

  • Darling

    Darling

  • test bank

TEST BANK FOR ACCOUNTING INFORMATION SYSTEMS, 15TH EDITION BY ROMNEY, STEINBART, SUMMERS, WOOD...

15 USD

0

0

Test bank for Modern Blood Banking & Transfusion Practices, 6th Edition by Denise M. Harmening
View Document

Test bank for Modern Blood Banking & Transfusion Practices, 6th Edition by Denise M. Harmening

  • GradeA

    GradeA

  • test bank

Test bank for Modern Blood Banking & Transfusion Practices, 6th Edition by Denise M. Harmening – Download PDF...

15 USD

1

0

Test Bank – Nursing Leadership, Management & Professional Practice for the LPN/LVN 6th Edition by Dahlkemper | Complete Q&A
View Document

Test Bank – Nursing Leadership, Management & Professional Practice for the LPN/LVN 6th Edition by Dahlkemper | Complete Q&A

  • Eddah-Nafula

    Eddah-Nafula

  • exam

TEST BANK FOR NURSING LEADERSHIP, MANAGEMENT, AND PROFESSIONAL PRACTICE FOR THE LPN LVN 6TH EDITION BY DAHLKEMPER...

15 USD

0

0

TEST BANK FOR NURSING DELEGATION AND MANAGEMENT OF PATIENT CARE 2ND EDITION BY MOTACKI.
View Document

TEST BANK FOR NURSING DELEGATION AND MANAGEMENT OF PATIENT CARE 2ND EDITION BY MOTACKI.

  • Eddah-Nafula

    Eddah-Nafula

  • exam

TEST BANK FOR NURSING DELEGATION AND MANAGEMENT OF PATIENT CARE 2ND EDITION BY MOTACKI....

15 USD

0

0

Test Bank for Karp’s Cell and Molecular Biology, 9th Edition, Gerald Karp, Janet Iwasa, Wallace Marshall
View Document

Test Bank for Karp’s Cell and Molecular Biology, 9th Edition, Gerald Karp, Janet Iwasa, Wallace Marshall

  • Eddah-Nafula

    Eddah-Nafula

  • exam

Test Bank for Karp’s Cell and Molecular Biology, 9th Edition, Gerald Karp, Janet Iwasa, Wallace Marshall...

15 USD

0

3

Test Bank For Introduction to Leadership Concepts and Practice 5th Edition By Northouse
View Document

Test Bank For Introduction to Leadership Concepts and Practice 5th Edition By Northouse

  • Eddah-Nafula

    Eddah-Nafula

  • exam

Test Bank For Introduction to Leadership Concepts and Practice 5th Edition By Northouse...

15 USD

0

1

TEST BANK FOR HEALTH ASSESSMENT IN NURSING 6TH EDITION BY WEBER ALL CHAPTERS
View Document

TEST BANK FOR HEALTH ASSESSMENT IN NURSING 6TH EDITION BY WEBER ALL CHAPTERS

  • Eddah-Nafula

    Eddah-Nafula

  • exam

TEST BANK FOR HEALTH ASSESSMENT IN NURSING 6TH EDITION BY WEBER ALL CHAPTERS...

15 USD

0

0

TEST BANK FOR ESSENTIALS OF NURSING LEADERSHIP AND MANAGEMENT, 7TH EDITION, SALLY A. WEISS, RUTH M. TAPPEN, KAREN GRIMLEY
View Document

TEST BANK FOR ESSENTIALS OF NURSING LEADERSHIP AND MANAGEMENT, 7TH EDITION, SALLY A. WEISS, RUTH M. TAPPEN, KAREN GRIMLEY

  • Eddah-Nafula

    Eddah-Nafula

  • exam

TEST BANK FOR ESSENTIALS OF NURSING LEADERSHIP AND MANAGEMENT, 7TH EDITION, SALLY A. WEISS, RUTH M. TAPPEN, KAREN GRIMLE...

16 USD

0

2

TEST BANK FOR HUMAN RELATIONS,  6TH EDITION, LOWELL LAMBERTON, LESLIE MINOR-EVANS
View Document

TEST BANK FOR HUMAN RELATIONS, 6TH EDITION, LOWELL LAMBERTON, LESLIE MINOR-EVANS

  • rolex

    rolex

  • test bank

TEST BANK FOR HUMAN RELATIONS, 6TH EDITION, LOWELL LAMBERTON, LESLIE MINOR-EVANS – Download PDF...

15 USD

0

0

TEST BANK FOR HUMAN  SEXUALITY IN A CHANGING  WORLD, 10TH EDITION, SPENCER  A. RATHUS, JEFF NEVID,  JEFFREY S. NEVID, LOIS  FICHNER-RATHUS
View Document

TEST BANK FOR HUMAN SEXUALITY IN A CHANGING WORLD, 10TH EDITION, SPENCER A. RATHUS, JEFF NEVID, JEFFREY S. NEVID, LOIS FICHNER-RATHUS

  • rolex

    rolex

  • test bank

TEST BANK FOR HUMAN SEXUALITY IN A CHANGING WORLD, 10TH EDITION, SPENCER A. RATHUS, JEFF NEVID, JEFFREY S. NEVID, LO...

15 USD

0

0

The Human Body in Health and Illness, 6th Edition by Barbara Herlihy, PhD(Physiology), RN Test Bank
View Document

The Human Body in Health and Illness, 6th Edition by Barbara Herlihy, PhD(Physiology), RN Test Bank

  • Angelicer

    Angelicer

  • test bank

The Human Body in Health and Illness, 6th Edition by Barbara Herlihy, PhD(Physiology), RN Test Bank...

10 USD

0

0

Test Bank for Understanding Pathophysiology 7th Edition by Sue Huenther
View Document

Test Bank for Understanding Pathophysiology 7th Edition by Sue Huenther

  • Angelicer

    Angelicer

  • test bank

Studying pathophysiology? The test bank for Understanding Pathophysiology, 7th Edition by Sue Huenther offers expertly c...

15 USD

0

1

TEST BANK FOR HUMAN BODY IN HEALTH AND ILLNESS 6TH EDITION BY HERLIHY
View Document

TEST BANK FOR HUMAN BODY IN HEALTH AND ILLNESS 6TH EDITION BY HERLIHY

  • Angelicer

    Angelicer

  • test bank

TEST BANK FOR HUMAN BODY IN HEALTH AND ILLNESS 6TH EDITION BY HERLIHY – Download PDF...

15 USD

0

0

Test Bank For Halter Varcarolis Foundations of Psychiatric-Mental Health Nursing-Sherpath for Mental Health Nursing, 8th Edition
View Document

Test Bank For Halter Varcarolis Foundations of Psychiatric-Mental Health Nursing-Sherpath for Mental Health Nursing, 8th Edition

  • Eddah-Nafula

    Eddah-Nafula

  • test bank

Test Bank For Halter Varcarolis Foundations of Psychiatric-Mental Health Nursing-Sherpath for Mental Health Nursing, 8th...

15 USD

0

0

Test Bank for Clinical Immunology And Serology: A Laboratory Perspective, 4th ed Test Bank Stevens, Linda Miller
View Document

Test Bank for Clinical Immunology And Serology: A Laboratory Perspective, 4th ed Test Bank Stevens, Linda Miller

  • Eddah-Nafula

    Eddah-Nafula

  • test bank

Test Bank for Clinical Immunology And Serology: A Laboratory Perspective, 4th ed Test Bank Stevens, Linda Miller...

10 USD

0

0

Test Bank for Human Anatomy and Physiology, 9th Edition, Elaine N. Marieb
View Document

Test Bank for Human Anatomy and Physiology, 9th Edition, Elaine N. Marieb

  • Angelicer

    Angelicer

  • test bank

Test Bank for Human Anatomy and Physiology, 9th Edition, Elaine N. Marieb – Download PDF...

15 USD

0

0

Test Bank For Business Data Communications and Networking, 13th Edition by FitzGerald, Dennis, Durcikova
View Document

Test Bank For Business Data Communications and Networking, 13th Edition by FitzGerald, Dennis, Durcikova

  • Angelicer

    Angelicer

  • test bank

Test Bank For Business Data Communications and Networking, 13th Edition by FitzGerald, Dennis, Durcikova – Download PD...

15 USD

0

0

Test Bank for Phillips’s Manual of I.V. Therapeutics; Evidence-Based Practice for Infusion Therapy 6th Edition Lisa Gorski
View Document

Test Bank for Phillips’s Manual of I.V. Therapeutics; Evidence-Based Practice for Infusion Therapy 6th Edition Lisa Gorski

  • Gorski

    Gorski

  • test bank

Test Bank for Phillips’s Manual of I.V. Therapeutics; Evidence-Based Practice for Infusion Therapy 6th Edition Lisa Go...

15 USD

0

1

Test Bank for Phillips’s Manual of I.V. Therapeutics; Evidence-Based Practice for Infusion Therapy 7th Edition Lisa Gorski
View Document

Test Bank for Phillips’s Manual of I.V. Therapeutics; Evidence-Based Practice for Infusion Therapy 7th Edition Lisa Gorski

  • Gorski

    Gorski

  • test bank

Test Bank for Phillips’s Manual of I.V. Therapeutics; Evidence-Based Practice for Infusion Therapy 7th Edition Lisa Go...

15 USD

0

0

Test Bank for Histology and Cell Biology An Introduction to Pathology 3rd Edition by Kierszenbaum
View Document

Test Bank for Histology and Cell Biology An Introduction to Pathology 3rd Edition by Kierszenbaum

  • Eddah-Nafula

    Eddah-Nafula

  • test bank

Test Bank for Histology and Cell Biology An Introduction to Pathology 3rd Edition by Kierszenbaum...

15 USD

0

0

NURS 6640 Final Exam Test Bank 300 Questions with Answers
View Document

NURS 6640 Final Exam Test Bank 300 Questions with Answers

  • Eddah-Nafula

    Eddah-Nafula

  • exam

NURS 6640 Final Exam Test Bank 300 Questions with Answers...

15 USD

0

0

Test Bank for Accounting Information Systems 15th Edition Marshall B. Romney, Paul J Steinbart
View Document

Test Bank for Accounting Information Systems 15th Edition Marshall B. Romney, Paul J Steinbart

  • Eddah-Nafula

    Eddah-Nafula

  • test bank

Test Bank for Accounting Information Systems 15th Edition Marshall B. Romney, Paul J Steinbart...

15 USD

0

1

Test Bank for Accounting Information Systems 14th Edition Marshall B. Romney Paul J. Steinbart
View Document

Test Bank for Accounting Information Systems 14th Edition Marshall B. Romney Paul J. Steinbart

  • Eddah-Nafula

    Eddah-Nafula

  • test bank

Test Bank for Accounting Information Systems 14th Edition Marshall B. Romney Paul J. Steinbart...

15 USD

0

0

Textbook of Basic Nursing 10th edition by Caroline Bunker Rosdahl and Mary T.Kowalski Test Bank
View Document

Textbook of Basic Nursing 10th edition by Caroline Bunker Rosdahl and Mary T.Kowalski Test Bank

  • GradeA

    GradeA

  • test bank

Textbook of Basic Nursing 10th edition by Caroline Bunker Rosdahl and Mary T.Kowalski Test Bank – Download PDF...

17 USD

0

1

Test Bank Gangs in Americas Communities 2nd Edition Test Bank C. Howell
View Document

Test Bank Gangs in Americas Communities 2nd Edition Test Bank C. Howell

  • GradeA

    GradeA

  • test bank

Test Bank Gangs in Americas Communities 2nd Edition Test Bank C. Howell – Download PDF...

15 USD

0

0

Test Bank For Psychiatric Mental Health Nursing, 6th Edition by Sheila Videbeck
View Document

Test Bank For Psychiatric Mental Health Nursing, 6th Edition by Sheila Videbeck

  • GradeA

    GradeA

  • test bank

Test Bank For Psychiatric Mental Health Nursing, 6th Edition by Sheila Videbeck – Download PDF...

15 USD

0

0

Test Bank For Porth’s Pathophysiology: Concepts of Altered Health States, 9th Edition by Grossman, Sheila
View Document

Test Bank For Porth’s Pathophysiology: Concepts of Altered Health States, 9th Edition by Grossman, Sheila

  • GradeA

    GradeA

  • test bank

Test Bank For Porth’s Pathophysiology: Concepts of Altered Health States, 9th Edition by Grossman, Sheila – Download...

15 USD

0

0

Test Bank For Maternity and Pediatric Nursing, 2nd Edition by Susan Ricci, Theresa Kyle
View Document

Test Bank For Maternity and Pediatric Nursing, 2nd Edition by Susan Ricci, Theresa Kyle

  • GradeA

    GradeA

  • test bank

Test Bank For Maternity and Pediatric Nursing, 2nd Edition by Susan Ricci, Theresa Kyle – Download PDF...

15 USD

0

0

Test Bank For Leadership Roles and Management Functions in Nursing, Theory and Application 8th Edition-Bessie L Marquis – Huston
View Document

Test Bank For Leadership Roles and Management Functions in Nursing, Theory and Application 8th Edition-Bessie L Marquis – Huston

  • GradeA

    GradeA

  • test bank

Test Bank For Leadership Roles and Management Functions in Nursing, Theory and Application 8th Edition-Bessie L Marquis ...

15 USD

0

0

Test Bank For Introductory Medical-Surgical Nursing , 11th Edition by RN Timby, Barbara K., RN Smith, Nancy E.
View Document

Test Bank For Introductory Medical-Surgical Nursing , 11th Edition by RN Timby, Barbara K., RN Smith, Nancy E.

  • GradeA

    GradeA

  • test bank

Test Bank For Introductory Medical-Surgical Nursing , 11th Edition by RN Timby, Barbara K., RN Smith, Nancy E. – Downl...

15 USD

0

0

Test Bank For Health Assessment in Nursing, 5th Edition RN Weber, Janet R., Kelley, Jane H
View Document

Test Bank For Health Assessment in Nursing, 5th Edition RN Weber, Janet R., Kelley, Jane H

  • GradeA

    GradeA

  • test bank

Test Bank For Health Assessment in Nursing, 5th Edition RN Weber, Janet R., Kelley, Jane H – Download PDF...

15 USD

0

0

Test Bank For Gerontological Nursing, 8th Edition by Charlotte Eliopoulos
View Document

Test Bank For Gerontological Nursing, 8th Edition by Charlotte Eliopoulos

  • GradeA

    GradeA

  • test bank

Test Bank For Gerontological Nursing, 8th Edition by Charlotte Eliopoulos – Download PDF...

15 USD

0

0

Test Bank For Gender, Race, and Class in Media- A Critical Reader 4th Edition by Gail Dines, Jean M. Humez
View Document

Test Bank For Gender, Race, and Class in Media- A Critical Reader 4th Edition by Gail Dines, Jean M. Humez

  • GradeA

    GradeA

  • test bank

Test Bank For Gender, Race, and Class in Media- A Critical Reader 4th Edition by Gail Dines, Jean M. Humez – Download ...

15 USD

0

0

Test Bank for Fundamental Nursing Skills and Concepts 10th Edition by Timby
View Document

Test Bank for Fundamental Nursing Skills and Concepts 10th Edition by Timby

  • GradeA

    GradeA

  • test bank

Test Bank for Fundamental Nursing Skills and Concepts 10th Edition by Timby – Download PDF...

15 USD

0

0

Test Bank For Evidence Based Practice in Nursing & Healthcare 2nd Edition by Melnyk
View Document

Test Bank For Evidence Based Practice in Nursing & Healthcare 2nd Edition by Melnyk

  • GradeA

    GradeA

  • test bank

Test Bank For Evidence Based Practice in Nursing & Healthcare 2nd Edition by Melnyk – Download PDF...

17 USD

0

0

Test Bank For Essentials of Pathophysiology Concepts of Altered States 4th Edition by Carol Mattson Porth
View Document

Test Bank For Essentials of Pathophysiology Concepts of Altered States 4th Edition by Carol Mattson Porth

  • GradeA

    GradeA

  • test bank

Test Bank For Essentials of Pathophysiology Concepts of Altered States 4th Edition by Carol Mattson Porth – Download P...

15 USD

0

0

Test Bank For Drugs, Crime, and Justice 1st Edition by Steven R. Belenko , Cassia C. Spohn.
View Document

Test Bank For Drugs, Crime, and Justice 1st Edition by Steven R. Belenko , Cassia C. Spohn.

  • GradeA

    GradeA

  • test bank

Test Bank For Drugs, Crime, and Justice 1st Edition by Steven R. Belenko , Cassia C. Spohn. – Download PDF...

15 USD

0

0

Test Bank for Deviance and Social Control A Sociological Perspective 2nd Edition by Inderbitzin Bates and Gainey
View Document

Test Bank for Deviance and Social Control A Sociological Perspective 2nd Edition by Inderbitzin Bates and Gainey

  • GradeA

    GradeA

  • test bank

Test Bank for Deviance and Social Control A Sociological Perspective 2nd Edition by Inderbitzin Bates and Gainey – Dow...

15 USD

0

0

Test Bank For Community Health Nursing in Canada, 2nd Edition Authors; R. N. Stanhope, Marcia, Jeanette Lancaster, Heather Jessup-falcioni, R. N. Viverais-Dresler, Gloria A.
View Document

Test Bank For Community Health Nursing in Canada, 2nd Edition Authors; R. N. Stanhope, Marcia, Jeanette Lancaster, Heather Jessup-falcioni, R. N. Viverais-Dresler, Gloria A.

  • GradeA

    GradeA

  • test bank

Test Bank For Community Health Nursing in Canada, 2nd Edition Authors; R. N. Stanhope, Marcia, Jeanette Lancaster, Heath...

15 USD

0

0

Test Bank For Community As Partner; Theory and Practice in Nursing, 7th Edition by Anderson, Elizabeth T., McFarlane, Judith
View Document

Test Bank For Community As Partner; Theory and Practice in Nursing, 7th Edition by Anderson, Elizabeth T., McFarlane, Judith

  • GradeA

    GradeA

  • test bank

Test Bank For Community As Partner; Theory and Practice in Nursing, 7th Edition by Anderson, Elizabeth T., McFarlane, Ju...

15 USD

0

0

Test Bank For Community and Public Health Nursing; Evidence for Practice, 1st Edition Authors; Gail A. DeMarco, Rosanna Harkness
View Document

Test Bank For Community and Public Health Nursing; Evidence for Practice, 1st Edition Authors; Gail A. DeMarco, Rosanna Harkness

  • GradeA

    GradeA

  • test bank

Test Bank For Community and Public Health Nursing; Evidence for Practice, 1st Edition Authors; Gail A. DeMarco, Rosanna ...

15 USD

0

0

Test Bank For Community & Public Health Nursing- Promoting the Publics Health by Allender , Judith 8th edition
View Document

Test Bank For Community & Public Health Nursing- Promoting the Publics Health by Allender , Judith 8th edition

  • GradeA

    GradeA

  • test bank

Test Bank For Community & Public Health Nursing- Promoting the Publics Health by Allender , Judith 8th edition – Downl...

15 USD

0

0

Test Bank for Burtons Microbiology for the Health Sciences – 9th edition by Paul G. Engelkirk
View Document

Test Bank for Burtons Microbiology for the Health Sciences – 9th edition by Paul G. Engelkirk

  • GradeA

    GradeA

  • test bank

Test Bank for Burtons Microbiology for the Health Sciences – 9th edition by Paul G. Engelkirk – Download PDF...

15 USD

0

1

Test Bank For Bates’ Guide to Physical Examination and History Taking, 11th Edition Authors; Lynn S. Bickley, Peter G. Szilagyi
View Document

Test Bank For Bates’ Guide to Physical Examination and History Taking, 11th Edition Authors; Lynn S. Bickley, Peter G. Szilagyi

  • GradeA

    GradeA

  • test bank

Test Bank For Bates’ Guide to Physical Examination and History Taking, 11th Edition Authors; Lynn S. Bickley, Peter G....

15 USD

0

0

Test Bank for Advanced Health Assessment and Clinical Diagnosis in Primary Care, 5th Edition Authors; Joyce Dains Linda Baumann Pamela Scheibel
View Document

Test Bank for Advanced Health Assessment and Clinical Diagnosis in Primary Care, 5th Edition Authors; Joyce Dains Linda Baumann Pamela Scheibel

  • GradeA

    GradeA

  • test bank

Excel in advanced health assessment with the Test Bank for Advanced Health Assessment and Clinical Diagnosis in Primary ...

15 USD

0

0

Test Bank for Abrams Clinical Drug Therapy; Rationales for Nursing Practice, Tenth edition, Geralyn Frandsen
View Document

Test Bank for Abrams Clinical Drug Therapy; Rationales for Nursing Practice, Tenth edition, Geralyn Frandsen

  • GradeA

    GradeA

  • test bank

Test Bank for Abrams Clinical Drug Therapy; Rationales for Nursing Practice, Tenth edition, Geralyn Frandsen – Downloa...

15 USD

0

0

Test Bank Family Theories- An Introduction 4th Edition by James M. White , David M. Klein, Todd F. Martin.
View Document

Test Bank Family Theories- An Introduction 4th Edition by James M. White , David M. Klein, Todd F. Martin.

  • GradeA

    GradeA

  • test bank

Test Bank Family Theories- An Introduction 4th Edition by James M. White , David M. Klein, Todd F. Martin. – Download ...

15 USD

0

0

Roachs Introductory Clinical Pharmacology 9th Edition by Susan M. Ford Test Bank
View Document

Roachs Introductory Clinical Pharmacology 9th Edition by Susan M. Ford Test Bank

  • GradeA

    GradeA

  • test bank

Roachs Introductory Clinical Pharmacology 9th Edition by Susan M. Ford Test Bank – Download PDF...

10 USD

0

0

Diversity and Society- Race, Ethnicity, and Gender 5th Edition by Joseph F. Healey , Andi Stepnick Test bank
View Document

Diversity and Society- Race, Ethnicity, and Gender 5th Edition by Joseph F. Healey , Andi Stepnick Test bank

  • GradeA

    GradeA

  • test bank

Diversity and Society- Race, Ethnicity, and Gender 5th Edition by Joseph F. Healey , Andi Stepnick Test bank...

10 USD

0

0

Dental Materials Clinical Applications for Dental Assistants and Dental Hygienists 3rd Edition By W. Stephan Eakle -Test Bank.
View Document

Dental Materials Clinical Applications for Dental Assistants and Dental Hygienists 3rd Edition By W. Stephan Eakle -Test Bank.

  • GradeA

    GradeA

  • test bank

Dental Materials Clinical Applications for Dental Assistants and Dental Hygienists 3rd Edition By W. Stephan Eakle -Test...

10 USD

0

0

Community as Partner; Theory and Practice in Nursing 7th edition Anderson Test Bank
View Document

Community as Partner; Theory and Practice in Nursing 7th edition Anderson Test Bank

  • GradeA

    GradeA

  • test bank

Community as Partner; Theory and Practice in Nursing 7th edition Anderson Test Bank...

10 USD

0

0

Clinical Calculations With Applications to General and Specialty Areas 7th Edition Kee Test Bank
View Document

Clinical Calculations With Applications to General and Specialty Areas 7th Edition Kee Test Bank

  • GradeA

    GradeA

  • test bank

Clinical Calculations With Applications to General and Specialty Areas 7th Edition Kee Test Bank...

10 USD

0

0

[Test Bank] Strategic Management: Text and Cases 9th Edition by Dess, McNamara, Eisner
View Document

[Test Bank] Strategic Management: Text and Cases 9th Edition by Dess, McNamara, Eisner

  • GradeA

    GradeA

  • test bank

Enhance your strategic management studies with the verified Test Bank for Strategic Management: Text and Cases, 9th Edit...

15 USD

0

5

Test Bank for Nursing Leadership and Management, 3rd Edition, Patricia Kelly, Heather Quesnelle
View Document

Test Bank for Nursing Leadership and Management, 3rd Edition, Patricia Kelly, Heather Quesnelle

  • GradeA

    GradeA

  • test bank

Test Bank for Nursing Leadership and Management, 3rd Edition, Patricia Kelly, Heather Quesnelle – Download PDF...

15 USD

0

1

Test Bank for Thinking Mathematically, 6th Edition by Robert F. Blitzer
View Document

Test Bank for Thinking Mathematically, 6th Edition by Robert F. Blitzer

  • GradeA

    GradeA

  • test bank

Test Bank for Thinking Mathematically, 6th Edition by Robert F. Blitzer – Download PDF...

15 USD

0

0

Test Bank for Technology In Action Complete, 14th Edition Authors; Alan Evans, Mary Anne Poatsy
View Document

Test Bank for Technology In Action Complete, 14th Edition Authors; Alan Evans, Mary Anne Poatsy

  • GradeA

    GradeA

  • test bank

Test Bank for Technology In Action Complete, 14th Edition Authors; Alan Evans, Mary Anne Poatsy – Download PDF...

17 USD

0

0

Test Bank for Supply Chain Management Strategy, Planning, and Operation, 6th Edition Authors; Sunil Chopra
View Document

Test Bank for Supply Chain Management Strategy, Planning, and Operation, 6th Edition Authors; Sunil Chopra

  • GradeA

    GradeA

  • test bank

Test Bank for Supply Chain Management Strategy, Planning, and Operation, 6th Edition Authors; Sunil Chopra – Download ...

15 USD

0

0

Test Bank for Strategic Management A Competitive Advantage Approach, Concepts, 16th Edition Authors Fred R David, Forest R. David
View Document

Test Bank for Strategic Management A Competitive Advantage Approach, Concepts, 16th Edition Authors Fred R David, Forest R. David

  • GradeA

    GradeA

  • test bank

Test Bank for Strategic Management A Competitive Advantage Approach, Concepts, 16th Edition Authors Fred R David, Forest...

15 USD

0

0

Complete Test Bank for Starting out with Visual C, 4th Edition by Tony Gaddis
View Document

Complete Test Bank for Starting out with Visual C, 4th Edition by Tony Gaddis

  • GradeA

    GradeA

  • test bank

Complete Test Bank for Starting out with Visual C, 4th Edition by Tony Gaddis – Download PDF...

15 USD

0

0

Test Bank for Starting Out With Visual Basic, 7th Edition by Tony Gaddis, Kip Irvine
View Document

Test Bank for Starting Out With Visual Basic, 7th Edition by Tony Gaddis, Kip Irvine

  • GradeA

    GradeA

  • test bank

Test Bank for Starting Out With Visual Basic, 7th Edition by Tony Gaddis, Kip Irvine – Download PDF...

15 USD

0

0

Test Bank for Radiology for the Dental Professional 9th Edition by Frommer
View Document

Test Bank for Radiology for the Dental Professional 9th Edition by Frommer

  • GradeA

    GradeA

  • test bank

Test Bank for Radiology for the Dental Professional 9th Edition by Frommer – Download PDF...

15 USD

0

0

Test Bank for Practice Management for the Dental Team 7th Edition by Finkbeiner
View Document

Test Bank for Practice Management for the Dental Team 7th Edition by Finkbeiner

  • GradeA

    GradeA

  • test bank

Test Bank for Practice Management for the Dental Team 7th Edition by Finkbeiner – Download PDF...

15 USD

0

0

Test Bank for Local Anesthesia for the Dental Hygienist 1st Edition by Logothetis
View Document

Test Bank for Local Anesthesia for the Dental Hygienist 1st Edition by Logothetis

  • GradeA

    GradeA

  • test bank

Test Bank for Local Anesthesia for the Dental Hygienist 1st Edition by Logothetis – Download PDF...

15 USD

0

0

Test Bank for Little and Falaces Dental Management of the Medically Compromised Patient 8th Edition by Little
View Document

Test Bank for Little and Falaces Dental Management of the Medically Compromised Patient 8th Edition by Little

  • GradeA

    GradeA

  • test bank

Test Bank for Little and Falaces Dental Management of the Medically Compromised Patient 8th Edition by Little – Downlo...

15 USD

0

0

Test Bank for Lewis Medical Surgical Nursing 5th AUSTRALIAN Edition by Brown
View Document

Test Bank for Lewis Medical Surgical Nursing 5th AUSTRALIAN Edition by Brown

  • GradeA

    GradeA

  • test bank

Test Bank for Lewis Medical Surgical Nursing 5th AUSTRALIAN Edition by Brown – Download PDF...

15 USD

0

0

Test Bank for Introduction to Pharmacology 12th Edition by Favaro
View Document

Test Bank for Introduction to Pharmacology 12th Edition by Favaro

  • GradeA

    GradeA

  • test bank

Test Bank for Introduction to Pharmacology 12th Edition by Favaro – Download PDF...

15 USD

0

0

A Complete Test Bank for The Adolescent Development, Relationships, and Culture, 14th Edition Authors; Kim G. Dolgin
View Document

A Complete Test Bank for The Adolescent Development, Relationships, and Culture, 14th Edition Authors; Kim G. Dolgin

  • GradeA

    GradeA

  • test bank

A Complete Test Bank for The Adolescent Development, Relationships, and Culture, 14th Edition Authors; Kim G. Dolgin –...

15 USD

0

0

Test Bank for Management Information Systems 16th Edition by Laudon
View Document

Test Bank for Management Information Systems 16th Edition by Laudon

  • rolex

    rolex

  • test bank

Test Bank for Management Information Systems 16th Edition by Laudon – Download PDF...

15 USD

0

0

Test Bank for Fundamentals of Corporate Finance 12th Edition By Ross
View Document

Test Bank for Fundamentals of Corporate Finance 12th Edition By Ross

  • rolex

    rolex

  • test bank

Test Bank for Fundamentals of Corporate Finance 12th Edition By Ross – Download PDF...

15 USD

0

0

Financial Risk Manager Handbook + Test Bank_ FRM Part I Part II (Wiley Finance)
View Document

Financial Risk Manager Handbook + Test Bank_ FRM Part I Part II (Wiley Finance)

  • mentor2000

    mentor2000

  • book

Get the Financial Risk Manager Handbook with its Test Bank FRM Part I Part II. It has all questions and answers for your...

15 USD

0

1

Test Bank For Biological Science 6th Edition Scott Freeman, Lizabeth Allison, Jeff Carmichael
View Document

Test Bank For Biological Science 6th Edition Scott Freeman, Lizabeth Allison, Jeff Carmichael

  • mentor2000

    mentor2000

  • test bank

Get the Biological Science Test Bank for the 6th Edition by Scott Freeman, Lizabeth Allison, and Jeff Carmichael. Ace yo...

15 USD

0

1

Pilbeam’s Mechanical Ventilation, 6th Edition, J M Cairo Test Bank
View Document

Pilbeam’s Mechanical Ventilation, 6th Edition, J M Cairo Test Bank

  • Namwaki

    Namwaki

  • test bank

Pilbeam’s Mechanical Ventilation, 6th Edition, J M Cairo Test Bank...

10 USD

0

1

Test Bank For Nutrition For Healthy Living 5th Edition By Wendy Schiff
View Document

Test Bank For Nutrition For Healthy Living 5th Edition By Wendy Schiff

  • mentor2000

    mentor2000

  • test bank

Test Bank For Nutrition For Healthy Living 5th Edition By Wendy Schiff...

15 USD

0

1

Nutrition For Healthy Living 5th Edition By Wendy Schiff Test Bank
View Document

Nutrition For Healthy Living 5th Edition By Wendy Schiff Test Bank

  • Namwaki

    Namwaki

  • test bank

Nutrition For Healthy Living 5th Edition By Wendy Schiff Test Bank...

10 USD

0

1

Applied Pathophysiology A Conceptual Approach to the Mechanisms of Disease 3rd Edition Braun Test Bank
View Document

Applied Pathophysiology A Conceptual Approach to the Mechanisms of Disease 3rd Edition Braun Test Bank

  • yongsm

    yongsm

  • test bank

Applied Pathophysiology A Conceptual Approach to the Mechanisms of Disease 3rd Edition Braun Test Bank...

10 USD

0

0

TEST BANK PATHOPHYSIOLOGY THE BIOLOGIC BASIS FOR DISEASE IN ADULTS AND CHILDREN 8th Edition Kathryn L. McCance, Sue E. Huether
View Document

TEST BANK PATHOPHYSIOLOGY THE BIOLOGIC BASIS FOR DISEASE IN ADULTS AND CHILDREN 8th Edition Kathryn L. McCance, Sue E. Huether

  • yongsm

    yongsm

  • test bank

TEST BANK PATHOPHYSIOLOGY THE BIOLOGIC BASIS FOR DISEASE IN ADULTS AND CHILDREN 8th Edition Kathryn L. McCance, Sue E. H...

16 USD

0

0

Columbia State Community College Understanding Pathophysiology 7th Edition Test Bank
View Document

Columbia State Community College Understanding Pathophysiology 7th Edition Test Bank

  • yongsm

    yongsm

  • test bank

Columbia State Community College Understanding Pathophysiology 7th Edition Test Bank...

14 USD

0

0

Sue E. Huether, Kathryn L. McCance - Test Bank for Understanding Pathophysiology (6th Ed)-TestBank
View Document

Sue E. Huether, Kathryn L. McCance - Test Bank for Understanding Pathophysiology (6th Ed)-TestBank

  • yongsm

    yongsm

  • test bank

Sue E. Huether, Kathryn L. McCance - Test Bank for Understanding Pathophysiology (6th Ed)-TestBank – Download PDF...

16 USD

0

0

Medical Surgical Nursing 8th Edition Black Hawks Test Bank
View Document

Medical Surgical Nursing 8th Edition Black Hawks Test Bank

  • Eddah-Nafula

    Eddah-Nafula

  • test bank

Test Bank for Medical Surgical Nursing: Clinical Management for Positive Outcomes, 8e (2 Vol Set)...

15 USD

0

2

Test Bank for Organizational Behavior: Bridging Science and Practice v3.0 by Talya Bauer, Berrin Erdogan
View Document

Test Bank for Organizational Behavior: Bridging Science and Practice v3.0 by Talya Bauer, Berrin Erdogan

  • GradeA

    GradeA

  • test bank

Test Bank for Organizational Behavior: Bridging Science and Practice v3.0 by Talya Bauer, Berrin Erdogan – Download PD...

15 USD

0

3

Women’s Health A Primary Care Clinical Guide 5th Edition Youngkin Schadewald Pritham Test Bank
View Document

Women’s Health A Primary Care Clinical Guide 5th Edition Youngkin Schadewald Pritham Test Bank

  • mentor2000

    mentor2000

  • test bank

Women’s Health A Primary Care Clinical Guide 5th Edition Youngkin Schadewald Pritham...

10 USD

0

3

Test Bank for Understanding Pathophysiology 3rd Australian Edition by Craft
View Document

Test Bank for Understanding Pathophysiology 3rd Australian Edition by Craft

  • mentor2000

    mentor2000

  • test bank

Test Bank for Understanding Pathophysiology 3rd Australian Edition by Craft...

15 USD

0

1

Test Bank for Managerial Accounting for Managers 5th Edition By Noreen
View Document

Test Bank for Managerial Accounting for Managers 5th Edition By Noreen

  • mentor2000

    mentor2000

  • test bank

Managerial...

15 USD

0

1

Test Bank for Long Term Care Nursing Assistants 8th Edition by Kostelnick
View Document

Test Bank for Long Term Care Nursing Assistants 8th Edition by Kostelnick

  • mentor2000

    mentor2000

  • test bank

Test Bank for Long Term Care Nursing Assistants 8th Edition by Kostelnick...

15 USD

0

1

Test Bank for Introduction to Health Services Administration 1st Edition Elsevier
View Document

Test Bank for Introduction to Health Services Administration 1st Edition Elsevier

  • mentor2000

    mentor2000

  • test bank

Test Bank for Introduction to Health Services Administration 1st Edition Elsevier...

15 USD

0

1

TEST BANK FOR FOUNDATIONS OF BUSINESS 5TH EDITION BY PRIDE Updated Latest
View Document

TEST BANK FOR FOUNDATIONS OF BUSINESS 5TH EDITION BY PRIDE Updated Latest

  • mentor2000

    mentor2000

  • test bank

TEST BANK FOR FOUNDATIONS OF BUSINESS 5TH EDITION BY PRIDE Updated Latest...

15 USD

0

1

Test Bank for Fordneys Medical Insurance 15th Edition by Smith Updated
View Document

Test Bank for Fordneys Medical Insurance 15th Edition by Smith Updated

  • mentor2000

    mentor2000

  • test bank

Test Bank for Fordneys Medical Insurance 15th Edition by Smith Updated...

15 USD

0

1

Test Bank for Evidence Based Practice for Nursing and Healthcare Quality Improvement 1st Edition by LoBiondo Wood
View Document

Test Bank for Evidence Based Practice for Nursing and Healthcare Quality Improvement 1st Edition by LoBiondo Wood

  • mentor2000

    mentor2000

  • test bank

Test Bank for Evidence Based Practice for Nursing and Healthcare Quality Improvement 1st Edition by LoBiondo Wood...

15 USD

0

1

Test Bank for Clinical Manifestations and Assessment of Respiratory Disease 8th Edition by Des Jardins
View Document

Test Bank for Clinical Manifestations and Assessment of Respiratory Disease 8th Edition by Des Jardins

  • mentor2000

    mentor2000

  • test bank

Test Bank for Clinical Manifestations and Assessment of Respiratory Disease 8th Edition by Des Jardins...

15 USD

0

1

Best Test Bank for Canadian Fundamentals of Nursing 6th Edition by Potter
View Document

Best Test Bank for Canadian Fundamentals of Nursing 6th Edition by Potter

  • mentor2000

    mentor2000

  • test bank

Prepare for your nursing exams with the Test Bank for Canadian Fundamentals of Nursing, 6th Edition by Potter. Offering ...

15 USD

0

1

Test Bank – Introduction to Critical Care Nursing 7th Edition by Sole | Full Q&A (Chapters 1–21)
View Document

Test Bank – Introduction to Critical Care Nursing 7th Edition by Sole | Full Q&A (Chapters 1–21)

  • Eddah-Nafula

    Eddah-Nafula

  • test bank

Test Bank – Introduction to Critical Care Nursing 7th Edition by Sole | Full Q&A (Chapters 1–21)...

15 USD

0

1

Test Bank for Understanding Health Insurance a Guide to Billing and Reimbursement, 12th Edition, Michelle
View Document

Test Bank for Understanding Health Insurance a Guide to Billing and Reimbursement, 12th Edition, Michelle

  • GradeA

    GradeA

  • test bank

Get the Test Bank for Understanding Health Insurance: A Guide to Billing and Reimbursement, 12th Edition by Michelle A. ...

15 USD

0

0

TEST BANK FOR THEORETICAL BASIS FOR NURSING, 3RD EDITION, MELANIE MCEWEN, EVELYN M. WILLS
View Document

TEST BANK FOR THEORETICAL BASIS FOR NURSING, 3RD EDITION, MELANIE MCEWEN, EVELYN M. WILLS

  • GradeA

    GradeA

  • test bank

TEST BANK FOR THEORETICAL BASIS FOR NURSING, 3RD EDITION, MELANIE MCEWEN, EVELYN M. WILLS – Download PDF...

15 USD

0

0

TEST BANK FOR STRUCTURE AND FUNCTION OF THE BODY, 15TH EDITION, KEVIN T. PATTON, GARY A. THIBODEAU
View Document

TEST BANK FOR STRUCTURE AND FUNCTION OF THE BODY, 15TH EDITION, KEVIN T. PATTON, GARY A. THIBODEAU

  • GradeA

    GradeA

  • test bank

TEST BANK FOR STRUCTURE AND FUNCTION OF THE BODY, 15TH EDITION, KEVIN T. PATTON, GARY A. THIBODEAU – Download PDF...

15 USD

0

2

TEST BANK FOR SEELEY’S ESSENTIALS OF ANATOMY AND PHYSIOLOGY, 10TH EDITION, CINNAMON VANPUTTE AND JENNIFER REGAN AND ANDREW RUSSO
View Document

TEST BANK FOR SEELEY’S ESSENTIALS OF ANATOMY AND PHYSIOLOGY, 10TH EDITION, CINNAMON VANPUTTE AND JENNIFER REGAN AND ANDREW RUSSO

  • GradeA

    GradeA

  • test bank

TEST BANK FOR SEELEY’S ESSENTIALS OF ANATOMY AND PHYSIOLOGY, 10TH EDITION, CINNAMON VANPUTTE AND JENNIFER REGAN AND AN...

15 USD

0

0

TEST BANK FOR ROLE DEVELOPMENT IN PROFESSIONAL NURSING PRACTICE 3RD EDITION MASTERS
View Document

TEST BANK FOR ROLE DEVELOPMENT IN PROFESSIONAL NURSING PRACTICE 3RD EDITION MASTERS

  • GradeA

    GradeA

  • test bank

TEST BANK FOR ROLE DEVELOPMENT IN PROFESSIONAL NURSING PRACTICE 3RD EDITION MASTERS – Download PDF...

15 USD

0

0

TEST BANK FOR PSYCHOLOGICAL TESTING PRINCIPLES, APPLICATIONS, AND ISSUES, 9TH EDITION, ROBERT M. KAPLAN, DENNIS P SACCUZZO
View Document

TEST BANK FOR PSYCHOLOGICAL TESTING PRINCIPLES, APPLICATIONS, AND ISSUES, 9TH EDITION, ROBERT M. KAPLAN, DENNIS P SACCUZZO

  • GradeA

    GradeA

  • test bank

TEST BANK FOR PSYCHOLOGICAL TESTING PRINCIPLES, APPLICATIONS, AND ISSUES, 9TH EDITION, ROBERT M. KAPLAN, DENNIS P SACCUZ...

15 USD

0

2

TEST BANK FOR PSYCHIATRIC & MENTAL HEALTH NURSING, 3RD EDITION, RUTH ELDER, KATIE EVANS, DEBRA NIZETTE
View Document

TEST BANK FOR PSYCHIATRIC & MENTAL HEALTH NURSING, 3RD EDITION, RUTH ELDER, KATIE EVANS, DEBRA NIZETTE

  • GradeA

    GradeA

  • test bank

TEST BANK FOR PSYCHIATRIC & MENTAL HEALTH NURSING, 3RD EDITION, RUTH ELDER, KATIE EVANS, DEBRA NIZETTE – Download PDF...

15 USD

0

0

TEST BANK FOR PRINCIPLES AND PRACTICE OF RADIATION THERAPY, 4TH EDITION, CHARLES M. WASHINGTON, DENNIS T. LEAVER
View Document

TEST BANK FOR PRINCIPLES AND PRACTICE OF RADIATION THERAPY, 4TH EDITION, CHARLES M. WASHINGTON, DENNIS T. LEAVER

  • GradeA

    GradeA

  • test bank

TEST BANK FOR PRINCIPLES AND PRACTICE OF RADIATION THERAPY, 4TH EDITION, CHARLES M. WASHINGTON, DENNIS T. LEAVER – Dow...

15 USD

0

0

Test Bank for Population and Community Health Nursing 6th Edition by Clark
View Document

Test Bank for Population and Community Health Nursing 6th Edition by Clark

  • GradeA

    GradeA

  • test bank

Test Bank for Population and Community Health Nursing 6th Edition by Clark – Download PDF...

15 USD

0

0

TEST BANK FOR PILBEAM’S MECHANICAL VENTILATION, 6TH EDITION, J M CAIRO
View Document

TEST BANK FOR PILBEAM’S MECHANICAL VENTILATION, 6TH EDITION, J M CAIRO

  • GradeA

    GradeA

  • test bank

TEST BANK FOR PILBEAM’S MECHANICAL VENTILATION, 6TH EDITION, J M CAIRO – Download PDF...

15 USD

0

0

TEST BANK FOR PHILLIPS’S MANUAL OF I.V. THERAPEUTICS EVIDENCE-BASED PRACTICE FOR INFUSION THERAPY, 7TH EDITION, LISA GORSKI
View Document

TEST BANK FOR PHILLIPS’S MANUAL OF I.V. THERAPEUTICS EVIDENCE-BASED PRACTICE FOR INFUSION THERAPY, 7TH EDITION, LISA GORSKI

  • GradeA

    GradeA

  • test bank

TEST BANK FOR PHILLIPS’S MANUAL OF I.V. THERAPEUTICS EVIDENCE-BASED PRACTICE FOR INFUSION THERAPY, 7TH EDITION, LISA G...

15 USD

0

0

TEST BANK FOR PATHOLOGY FOR THE PHYSICAL THERAPIST ASSISTANT, 1ST EDITION, PENELOPE J. LESCHER
View Document

TEST BANK FOR PATHOLOGY FOR THE PHYSICAL THERAPIST ASSISTANT, 1ST EDITION, PENELOPE J. LESCHER

  • GradeA

    GradeA

  • test bank

TEST BANK FOR PATHOLOGY FOR THE PHYSICAL THERAPIST ASSISTANT, 1ST EDITION, PENELOPE J. LESCHER – Download PDF...

15 USD

0

0

TEST BANK FOR CLINICAL PSYCHOLOGY SCIENCE, PRACTICE, AND CULTURE, 4TH EDITION, ANDREW M. POMERANTZ
View Document

TEST BANK FOR CLINICAL PSYCHOLOGY SCIENCE, PRACTICE, AND CULTURE, 4TH EDITION, ANDREW M. POMERANTZ

  • GradeA

    GradeA

  • test bank

TEST BANK FOR CLINICAL PSYCHOLOGY SCIENCE, PRACTICE, AND CULTURE, 4TH EDITION, ANDREW M. POMERANTZ – Download PDF...

15 USD

0

0

TEST BANK CLINICAL IMMUNOLOGY AND SEROLOGY  A LABORATORY PERSPECTIVE, 4TH ED LINDA E. MILLER
View Document

TEST BANK CLINICAL IMMUNOLOGY AND SEROLOGY A LABORATORY PERSPECTIVE, 4TH ED LINDA E. MILLER

  • GradeA

    GradeA

  • test bank

TEST BANK CLINICAL IMMUNOLOGY AND SEROLOGY A LABORATORY PERSPECTIVE, 4TH ED LINDA E. MILLER – Download PDF...

15 USD

1

2

TEST BANK FOR BRAIN & BEHAVIOR AN INTRODUCTION TO BEHAVIORAL NEUROSCIENCE, 5TH EDITION, BOB GARRETT, GERALD HOUGH
View Document

TEST BANK FOR BRAIN & BEHAVIOR AN INTRODUCTION TO BEHAVIORAL NEUROSCIENCE, 5TH EDITION, BOB GARRETT, GERALD HOUGH

  • GradeA

    GradeA

  • test bank

TEST BANK FOR BRAIN & BEHAVIOR AN INTRODUCTION TO BEHAVIORAL NEUROSCIENCE, 5TH EDITION, BOB GARRETT, GERALD HOUGH – Do...

15 USD

0

0

TEST BANK FOR BASIC ALLIED HEALTH STATISTICS AND ANALYSIS, 5TH EDITION, LORIE DARCHE, GERDA KOCH
View Document

TEST BANK FOR BASIC ALLIED HEALTH STATISTICS AND ANALYSIS, 5TH EDITION, LORIE DARCHE, GERDA KOCH

  • GradeA

    GradeA

  • test bank

TEST BANK FOR BASIC ALLIED HEALTH STATISTICS AND ANALYSIS, 5TH EDITION, LORIE DARCHE, GERDA KOCH – Download PDF...

15 USD

0

0

Test Bank for Marriages and Families Changes, Choices, and Constraints, 9th Edition Nijole V. Benokraitis, University of Baltimore
View Document

Test Bank for Marriages and Families Changes, Choices, and Constraints, 9th Edition Nijole V. Benokraitis, University of Baltimore

  • Eddah-Nafula

    Eddah-Nafula

  • test bank

Test Bank for Marriages and Families Changes, Choices, and Constraints, 9th Edition Nijole V. Benokraitis, University of...

15 USD

1

1

PHARMACOLOGY-AND-THE-NURSING- PROCESS-9TH-EDITION TEST BANK LATEST UPDATE GRADED A)
View Document

PHARMACOLOGY-AND-THE-NURSING- PROCESS-9TH-EDITION TEST BANK LATEST UPDATE GRADED A)

  • mentor2000

    mentor2000

  • exam

PHARMACOLOGY-AND-THE-NURSING- PROCESS-9TH-EDITION TEST BANK LATEST UPDATE GRADED A)...

14 USD

0

1

TEST BANK FOR CALCULATE WITH CONFIDENCE 7TH EDITION BY MORRIS
View Document

TEST BANK FOR CALCULATE WITH CONFIDENCE 7TH EDITION BY MORRIS

  • Eddah-Nafula

    Eddah-Nafula

  • test bank

TEST BANK FOR CALCULATE WITH CONFIDENCE 7TH EDITION BY MORRIS...

17 USD

0

1

Test bank for Pathophysiology 5th Edition by Copstead and Banasik
View Document

Test bank for Pathophysiology 5th Edition by Copstead and Banasik

  • GradeA

    GradeA

  • test bank

Test bank for Pathophysiology 5th Edition by Copstead and Banasik – Download PDF...

15 USD

0

2

Test Bank for Patient Care in Radiography 9th Edition by Ehrlich.
View Document

Test Bank for Patient Care in Radiography 9th Edition by Ehrlich.

  • mentor2000

    mentor2000

  • test bank

Test Bank for Patient Care in Radiography 9th Edition by Ehrlich....

15 USD

0

0

Test Bank for Radiographic Imaging and Exposure 4th Edition by Fauber
View Document

Test Bank for Radiographic Imaging and Exposure 4th Edition by Fauber

  • mentor2000

    mentor2000

  • test bank

Test Bank for Radiographic Imaging and Exposure 4th Edition by Fauber...

15 USD

0

0

Test Bank for Nursing Health Assessment The Foundation of Clinical Practice, 3rd Edition, Patricia M. Dillon..
View Document

Test Bank for Nursing Health Assessment The Foundation of Clinical Practice, 3rd Edition, Patricia M. Dillon..

  • Angelicer

    Angelicer

  • exam

Test Bank for Nursing Health Assessment The Foundation of Clinical Practice, 3rd Edition, Patricia M. Dillon.. – Downl...

15 USD

0

0

TEST BANK FOR UNDERSTANDING ANATOMY & PHYSIOLOGY, 3RD EDITION, GALE SLOAN THOMPSON..
View Document

TEST BANK FOR UNDERSTANDING ANATOMY & PHYSIOLOGY, 3RD EDITION, GALE SLOAN THOMPSON..

  • Angelicer

    Angelicer

  • exam

TEST BANK FOR UNDERSTANDING ANATOMY & PHYSIOLOGY, 3RD EDITION, GALE SLOAN THOMPSON.. – Download PDF...

15 USD

0

0

TEST BANK FOR QUICK AND EASY MEDICAL TERMINOLOGY 9TH EDITION BY LEONARD ALL CHAPTERS..
View Document

TEST BANK FOR QUICK AND EASY MEDICAL TERMINOLOGY 9TH EDITION BY LEONARD ALL CHAPTERS..

  • Angelicer

    Angelicer

  • exam

TEST BANK FOR QUICK AND EASY MEDICAL TERMINOLOGY 9TH EDITION BY LEONARD ALL CHAPTERS.. – Download PDF...

15 USD

0

0

Test bank for Pediatric Primary Care Practical Guidelines for Nurses - 4th edition richardson..
View Document

Test bank for Pediatric Primary Care Practical Guidelines for Nurses - 4th edition richardson..

  • Angelicer

    Angelicer

  • exam

Test bank for Pediatric Primary Care Practical Guidelines for Nurses - 4th edition richardson.. – Download PDF...

15 USD

0

0

TEST BANK FOR MEDICAL SURGICAL NURSING 11TH EDITION BY HARDING UPDATED 2024
View Document

TEST BANK FOR MEDICAL SURGICAL NURSING 11TH EDITION BY HARDING UPDATED 2024

  • Angelicer

    Angelicer

  • exam

TEST BANK FOR MEDICAL SURGICAL NURSING 11TH EDITION BY HARDING UPDATED 2024 – Download PDF...

17 USD

0

0

Maternal-Newborn Nursing The Critical Components of Nursing Care, 3rd Ed, Roberta Test Bank
View Document

Maternal-Newborn Nursing The Critical Components of Nursing Care, 3rd Ed, Roberta Test Bank

  • Angelicer

    Angelicer

  • exam

Maternal-Newborn Nursing The Critical Components of Nursing Care, 3rd Ed, Roberta Test Bank – Download PDF...

17 USD

0

0

TEST BANK FOR LEIFER’S INTRODUCTION TO MATERNITY AND PEDIATRIC NURSING IN CANADA 1ST EDITION BY LEIFER..
View Document

TEST BANK FOR LEIFER’S INTRODUCTION TO MATERNITY AND PEDIATRIC NURSING IN CANADA 1ST EDITION BY LEIFER..

  • Angelicer

    Angelicer

  • exam

TEST BANK FOR LEIFER’S INTRODUCTION TO MATERNITY AND PEDIATRIC NURSING IN CANADA 1ST EDITION BY LEIFER.. – Download ...

17 USD

0

0

TEST BANK FOR HUMAN BODY IN HEALTH AND DISEASE 7TH EDITION BY PATTON (2021)..
View Document

TEST BANK FOR HUMAN BODY IN HEALTH AND DISEASE 7TH EDITION BY PATTON (2021)..

  • Angelicer

    Angelicer

  • exam

TEST BANK FOR HUMAN BODY IN HEALTH AND DISEASE 7TH EDITION BY PATTON (2021).. – Download PDF...

17 USD

0

0

TEST BANK FOR HEALTH ASSESSMENT IN NURSING 6TH EDITION BY WEBER ALL CHAPTERS..
View Document

TEST BANK FOR HEALTH ASSESSMENT IN NURSING 6TH EDITION BY WEBER ALL CHAPTERS..

  • Angelicer

    Angelicer

  • exam

TEST BANK FOR HEALTH ASSESSMENT IN NURSING 6TH EDITION BY WEBER ALL CHAPTERS.. – Download PDF...

17 USD

0

0

Davis Advantage Medical-Surgical Nursing 2nd Ed. Test Bank
View Document

Davis Advantage Medical-Surgical Nursing 2nd Ed. Test Bank

  • Angelicer

    Angelicer

  • exam

Master medical-surgical nursing with the Davis Advantage 2nd Edition Test Bank (2025): over 1,500 verified NCLEX-style q...

15 USD

0

0

Test Bank for concepts for nursing practice 4th Edition by Giddens
View Document

Test Bank for concepts for nursing practice 4th Edition by Giddens

  • Angelicer

    Angelicer

  • exam

Test Bank for concepts for nursing practice 4th Edition by Giddens – Download PDF...

15 USD

0

0

TEST BANK FOR ADVANCED ASSESSMENT INTERPRETING FINDINGS AND FORMULATING DIFFERENTIAL DIAGNOSES
View Document

TEST BANK FOR ADVANCED ASSESSMENT INTERPRETING FINDINGS AND FORMULATING DIFFERENTIAL DIAGNOSES

  • Angelicer

    Angelicer

  • exam

TEST BANK FOR ADVANCED ASSESSMENT INTERPRETING FINDINGS AND FORMULATING DIFFERENTIAL DIAGNOSES – Download PDF...

15 USD

0

0

Bontragers Textbook of Radiographic Positioning and Related Anatomy, 9th Edition by John Lampignano Test Bank
View Document

Bontragers Textbook of Radiographic Positioning and Related Anatomy, 9th Edition by John Lampignano Test Bank

  • Angelicer

    Angelicer

  • exam

Study the Test Bank for Bontrager's Textbook of Radiographic Positioning and Related Anatomy, 9th Edition by John Lampig...

15 USD

0

0

ATI Capstone WEEK 1 TEST BANK COMPLETE HIGHLY GRADED..
View Document

ATI Capstone WEEK 1 TEST BANK COMPLETE HIGHLY GRADED..

  • Angelicer

    Angelicer

  • exam

ATI Capstone WEEK 1 TEST BANK COMPLETE HIGHLY GRADED.. – Download PDF...

15 USD

0

0

TEST BANK FOR FOCUS ON PERSONAL FINANCE 6TH EDITION BY JACK KAPOOR, LES DLABAY, ROBERT J. HUGHES, MELISSA HART
View Document

TEST BANK FOR FOCUS ON PERSONAL FINANCE 6TH EDITION BY JACK KAPOOR, LES DLABAY, ROBERT J. HUGHES, MELISSA HART

  • GradeA

    GradeA

  • test bank

TEST BANK FOR FOCUS ON PERSONAL FINANCE 6TH EDITION BY JACK KAPOOR, LES DLABAY, ROBERT J. HUGHES, MELISSA HART – Downl...

15 USD

0

0

TEST BANK FOR ETHICAL OBLIGATIONS AND DECISION-MAKING IN ACCOUNTING, TEXT AND CASES 5TH EDITION STEVEN MINTZ, ROSELYN MORRIS
View Document

TEST BANK FOR ETHICAL OBLIGATIONS AND DECISION-MAKING IN ACCOUNTING, TEXT AND CASES 5TH EDITION STEVEN MINTZ, ROSELYN MORRIS

  • GradeA

    GradeA

  • test bank

TEST BANK FOR ETHICAL OBLIGATIONS AND DECISION-MAKING IN ACCOUNTING, TEXT AND CASES 5TH EDITION STEVEN MINTZ, ROSELYN MO...

15 USD

0

0

Test Bank for Nursing Health Assessment The Foundation of Clinical Practice, 3rd Edition. Patricia M. Dillon.
View Document

Test Bank for Nursing Health Assessment The Foundation of Clinical Practice, 3rd Edition. Patricia M. Dillon.

  • GradeA

    GradeA

  • test bank

Test Bank for Nursing Health Assessment The Foundation of Clinical Practice, 3rd Edition. Patricia M. Dillon. – Downlo...

15 USD

0

0

[Test Bank] Neuroscience: Exploring the Brain, 4th Edition by Mark F. Bear, Barry W. Connors, and Michael A. Paradiso - Complete Chapter Coverage with Verified Answer Key
View Document

[Test Bank] Neuroscience: Exploring the Brain, 4th Edition by Mark F. Bear, Barry W. Connors, and Michael A. Paradiso - Complete Chapter Coverage with Verified Answer Key

  • GradeA

    GradeA

  • test bank

Excel in neuroscience with the Test Bank for Neuroscience: Exploring the Brain, 4th Edition. This resource offers comple...

15 USD

0

0

Test Bank for Psychological Science 6th Edition, Michael Gazzaniga
View Document

Test Bank for Psychological Science 6th Edition, Michael Gazzaniga

  • Eddah-Nafula

    Eddah-Nafula

  • exam

Test Bank for Psychological Science 6th Edition, Michael Gazzaniga...

15 USD

0

0

Test Bank for Psychological Science, 6th Edition, Michael Gazzaniga
View Document

Test Bank for Psychological Science, 6th Edition, Michael Gazzaniga

  • GradeA

    GradeA

  • test bank

Test Bank for Psychological Science, 6th Edition, Michael Gazzaniga – Download PDF...

15 USD

0

0

TEST BANK FOR NESTER’S MICROBIOLOGY A HUMAN PERSPECTIVE 9TH EDITION BY ANDERSON
View Document

TEST BANK FOR NESTER’S MICROBIOLOGY A HUMAN PERSPECTIVE 9TH EDITION BY ANDERSON

  • mentor2000

    mentor2000

  • test bank

TEST BANK FOR NESTER’S MICROBIOLOGY A HUMAN PERSPECTIVE 9TH EDITION BY ANDERSON...

15 USD

0

0

Test Bank for Biological Psychology, 13th Edition, James W. Kalat
View Document

Test Bank for Biological Psychology, 13th Edition, James W. Kalat

  • mentor2000

    mentor2000

  • test bank

Complete Test Bank for Biological Psychology, 13th Edition, James W. Kalat. Includes true/false, multiple choice, and sh...

15 USD

0

2

TEST BANK FOR HORNGREN’S COST ACCOUNTING A MANAGERIAL EMPHASIS 16TH CANADIAN EDITION SRIKANT
View Document

TEST BANK FOR HORNGREN’S COST ACCOUNTING A MANAGERIAL EMPHASIS 16TH CANADIAN EDITION SRIKANT

  • Namwaki

    Namwaki

  • test bank

TEST BANK FOR HORNGREN’S COST ACCOUNTING A MANAGERIAL EMPHASIS 16TH CANADIAN EDITION SRIKANT – Download PDF...

15 USD

0

3

TEST BANK FOR HORNGREN’S COST ACCOUNTING A MANAGERIAL EMPHASIS 15TH CANADIAN EDITION SRIKANT
View Document

TEST BANK FOR HORNGREN’S COST ACCOUNTING A MANAGERIAL EMPHASIS 15TH CANADIAN EDITION SRIKANT

  • Namwaki

    Namwaki

  • test bank

TEST BANK FOR HORNGREN’S COST ACCOUNTING A MANAGERIAL EMPHASIS 15TH CANADIAN EDITION SRIKANT – Download PDF...

15 USD

0

3

TEST BANK FOR HORNGREN’S COST ACCOUNTING A MANAGERIAL EMPHASIS 14TH CANADIAN EDITION SRIKANT
View Document

TEST BANK FOR HORNGREN’S COST ACCOUNTING A MANAGERIAL EMPHASIS 14TH CANADIAN EDITION SRIKANT

  • Namwaki

    Namwaki

  • test bank

TEST BANK FOR HORNGREN’S COST ACCOUNTING A MANAGERIAL EMPHASIS 14TH CANADIAN EDITION SRIKANT...

15 USD

0

3

TEST BANK FOR HORNGREN’S COST ACCOUNTING A MANAGERIAL EMPHASIS 8TH CANADIAN EDITION SRIKANT
View Document

TEST BANK FOR HORNGREN’S COST ACCOUNTING A MANAGERIAL EMPHASIS 8TH CANADIAN EDITION SRIKANT

  • Namwaki

    Namwaki

  • test bank

TEST BANK FOR HORNGREN’S COST ACCOUNTING A MANAGERIAL EMPHASIS 8TH CANADIAN EDITION SRIKANT – Download PDF...

15 USD

0

3

TEST BANK FOR HORNGREN’S COST ACCOUNTING A MANAGERIAL EMPHASIS 7TH CANADIAN EDITION SRIKANT
View Document

TEST BANK FOR HORNGREN’S COST ACCOUNTING A MANAGERIAL EMPHASIS 7TH CANADIAN EDITION SRIKANT

  • Namwaki

    Namwaki

  • test bank

TEST BANK FOR HORNGREN’S COST ACCOUNTING A MANAGERIAL EMPHASIS 7TH CANADIAN EDITION SRIKANT – Download PDF...

15 USD

0

3

Test Bank For Neeb’s Mental Health Nursing 5th Edition By Gorman
View Document

Test Bank For Neeb’s Mental Health Nursing 5th Edition By Gorman

  • mentor2000

    mentor2000

  • test bank

Get the Test Bank For Davis Advantage for Neeb's Mental Health Nursing, 6th Edition By Linda M. Gorman, Robynn Anwar fro...

15 USD

0

1

TEST BANK INTRODUCTION TO JAVA PROGRAMMING AND DATA STRUCTURES COMPREHENSIVE VERS, 12ed DANIEL LIANG
View Document

TEST BANK INTRODUCTION TO JAVA PROGRAMMING AND DATA STRUCTURES COMPREHENSIVE VERS, 12ed DANIEL LIANG

  • mentor2000

    mentor2000

  • test bank

TEST BANK INTRODUCTION TO JAVA PROGRAMMING AND DATA STRUCTURES COMPREHENSIVE VERS, 12ed DANIEL LIANG...

15 USD

0

3

TEST BANK FOR INTRODUCTION TO WOMEN’S AND GENDER STUDIES AN INTERDISCIPLINARY APPROACH, 2ND EDITION, MELISSA J. GILLIS, ANDREW T. JACOBS
View Document

TEST BANK FOR INTRODUCTION TO WOMEN’S AND GENDER STUDIES AN INTERDISCIPLINARY APPROACH, 2ND EDITION, MELISSA J. GILLIS, ANDREW T. JACOBS

  • mentor2000

    mentor2000

  • test bank

TEST BANK FOR INTRODUCTION TO WOMEN’S AND GENDER STUDIES AN INTERDISCIPLINARY APPROACH, 2ND EDITION, MELISSA J. GILLIS...

15 USD

0

0

TEST BANK FOR INVESTIGATING CHEMISTRY, 4TH EDITION, MATTHEW JOHLL
View Document

TEST BANK FOR INVESTIGATING CHEMISTRY, 4TH EDITION, MATTHEW JOHLL

  • mentor2000

    mentor2000

  • test bank

TEST BANK FOR INVESTIGATING CHEMISTRY, 4TH EDITION, MATTHEW JOHLL...

15 USD

0

0

TEST BANK FOR CLAYTON’S BASIC PHARMACOLOGY FOR NURSES 18TH EDITION BY WILLIHNGANZ
View Document

TEST BANK FOR CLAYTON’S BASIC PHARMACOLOGY FOR NURSES 18TH EDITION BY WILLIHNGANZ

  • mentor2000

    mentor2000

  • test bank

TEST BANK FOR CLAYTON’S BASIC PHARMACOLOGY FOR NURSES 18TH EDITION BY WILLIHNGANZ...

14 USD

0

0

TEST BANK FOR PARENTING A DYNAMIC PERSPECTIVE, 3RD EDITION, GEORGE W. HOLDEN
View Document

TEST BANK FOR PARENTING A DYNAMIC PERSPECTIVE, 3RD EDITION, GEORGE W. HOLDEN

  • mentor2000

    mentor2000

  • test bank

TEST BANK FOR PARENTING A DYNAMIC PERSPECTIVE, 3RD EDITION, GEORGE W. HOLDEN...

15 USD

0

0

TEST BANK FOR PHILLIPS’S MANUAL OF I.V. THERAPEUTICS EVIDENCE BASED PRACTICE FOR INFUSION THERAPY, 7TH EDITION, LISA GORSKI
View Document

TEST BANK FOR PHILLIPS’S MANUAL OF I.V. THERAPEUTICS EVIDENCE BASED PRACTICE FOR INFUSION THERAPY, 7TH EDITION, LISA GORSKI

  • mentor2000

    mentor2000

  • test bank

TEST BANK FOR PHILLIPS’S MANUAL OF I.V. THERAPEUTICS EVIDENCE BASED PRACTICE FOR INFUSION THERAPY, 7TH EDITION, LISA G...

16 USD

0

0

TEST BANK FOR RADIOGRAPHIC PATHOLOGY FOR TECHNOLOGISTS, 7TH EDITION, NINA KOWALCZYK
View Document

TEST BANK FOR RADIOGRAPHIC PATHOLOGY FOR TECHNOLOGISTS, 7TH EDITION, NINA KOWALCZYK

  • mentor2000

    mentor2000

  • test bank

TEST BANK FOR RADIOGRAPHIC PATHOLOGY FOR TECHNOLOGISTS, 7TH EDITION, NINA KOWALCZYK...

16 USD

0

0

TEST BANK FOR SPECIAL EDUCATION IN CONTEMPORARY SOCIETY AN INTRODUCTION TO EXCEPTIONALITY, 7TH EDITION, RICHARD M. GARGIULO, EMILY C. BOUCK
View Document

TEST BANK FOR SPECIAL EDUCATION IN CONTEMPORARY SOCIETY AN INTRODUCTION TO EXCEPTIONALITY, 7TH EDITION, RICHARD M. GARGIULO, EMILY C. BOUCK

  • mentor2000

    mentor2000

  • test bank

TEST BANK FOR SPECIAL EDUCATION IN CONTEMPORARY SOCIETY AN INTRODUCTION TO EXCEPTIONALITY, 7TH EDITION, RICHARD M. GARGI...

15 USD

0

0

TEST BANK FOR STATISTICS FOR PEOPLE WHO (THINK THEY) HATE STATISTICS, 7TH EDITION, NEIL J. SALKIND, BRUCE B. FREY
View Document

TEST BANK FOR STATISTICS FOR PEOPLE WHO (THINK THEY) HATE STATISTICS, 7TH EDITION, NEIL J. SALKIND, BRUCE B. FREY

  • mentor2000

    mentor2000

  • test bank

TEST BANK FOR STATISTICS FOR PEOPLE WHO (THINK THEY) HATE STATISTICS, 7TH EDITION, NEIL J. SALKIND, BRUCE B. FREY...

15 USD

0

0

TEST BANK FOR SUPERVISORY MANAGEMENT, 10TH EDITION, DONALD C. MOSLEY, DON C. MOSLEY, JR., PAUL H. PIETRI
View Document

TEST BANK FOR SUPERVISORY MANAGEMENT, 10TH EDITION, DONALD C. MOSLEY, DON C. MOSLEY, JR., PAUL H. PIETRI

  • mentor2000

    mentor2000

  • test bank

TEST BANK FOR SUPERVISORY MANAGEMENT, 10TH EDITION, DONALD C. MOSLEY, DON C. MOSLEY, JR., PAUL H. PIETRI...

15 USD

0

0

TEST BANK FOR THE REAL WORLD, 7TH EDITION, KERRY FERRIS
View Document

TEST BANK FOR THE REAL WORLD, 7TH EDITION, KERRY FERRIS

  • mentor2000

    mentor2000

  • test bank

TEST BANK FOR THE REAL WORLD, 7TH EDITION, KERRY FERRIS...

15 USD

0

0

Test bank for Transforming the School Counseling Profession, 5th Edition, Bradley T. Erford
View Document

Test bank for Transforming the School Counseling Profession, 5th Edition, Bradley T. Erford

  • mentor2000

    mentor2000

  • test bank

Test bank for Transforming the School Counseling Profession, 5th Edition, Bradley T. Erford...

15 USD

0

0

TEST BANK FOR ZOOLOGY, 11TH EDITION, STEPHEN MILLER, TODD A. TUPPER
View Document

TEST BANK FOR ZOOLOGY, 11TH EDITION, STEPHEN MILLER, TODD A. TUPPER

  • mentor2000

    mentor2000

  • test bank

TEST BANK FOR ZOOLOGY, 11TH EDITION, STEPHEN MILLER, TODD A. TUPPER...

15 USD

0

0

TEST BANK FOR HUMAN BODY IN HEALTH AND DISEASE 7TH EDITION BY PATTON
View Document

TEST BANK FOR HUMAN BODY IN HEALTH AND DISEASE 7TH EDITION BY PATTON

  • GradeA

    GradeA

  • test bank

TEST BANK FOR HUMAN BODY IN HEALTH AND DISEASE 7TH EDITION BY PATTON – Download PDF...

15 USD

0

0

TEST BANK FOR CLINICAL IMMUNOLOGY AND SEROLOGY A LABORATORY PERSPECTIVE, 4TH EDITION, CHRISTINE DORRESTEYN STEVENS, LINDA E. MILLER
View Document

TEST BANK FOR CLINICAL IMMUNOLOGY AND SEROLOGY A LABORATORY PERSPECTIVE, 4TH EDITION, CHRISTINE DORRESTEYN STEVENS, LINDA E. MILLER

  • mentor2000

    mentor2000

  • test bank

TEST BANK FOR CLINICAL IMMUNOLOGY AND SEROLOGY A LABORATORY PERSPECTIVE, 4TH EDITION, CHRISTINE DORRESTEYN STEVENS, LIND...

16 USD

0

1

Test Bank For Basic Concepts Of Psychiatric Mental Health Nursing 8th Edition By Louise Rebraca Shives
View Document

Test Bank For Basic Concepts Of Psychiatric Mental Health Nursing 8th Edition By Louise Rebraca Shives

  • mentor2000

    mentor2000

  • test bank

Test Bank For Basic Concepts Of Psychiatric Mental Health Nursing 8th Edition By Louise Rebraca Shives...

15 USD

0

0

LEWIS’S MEDICAL SURGICAL NURSING 11TH EDITION BY HARDING TEST BANK
View Document

LEWIS’S MEDICAL SURGICAL NURSING 11TH EDITION BY HARDING TEST BANK

  • Namwaki

    Namwaki

  • test bank

LEWIS’S MEDICAL SURGICAL NURSING 11TH EDITION BY HARDING TEST BANK...

14 USD

0

0

Test Bank for Essentials of Pharmacology for Health Professions (8th Edition) by Colbert & Woodrow | All Chapters | Verified & Updated
View Document

Test Bank for Essentials of Pharmacology for Health Professions (8th Edition) by Colbert & Woodrow | All Chapters | Verified & Updated

  • mentor2000

    mentor2000

  • test bank

Test Bank for Essentials of Pharmacology for Health Professions (8th Edition) by Colbert & Woodrow | All Chapters | Veri...

15 USD

0

0

TEST BANK FOR EFFECTIVE LEADERSHIP AND MANAGEMENT IN NURSING, 9TH EDITION, ELEANOR J. SULLIVAN
View Document

TEST BANK FOR EFFECTIVE LEADERSHIP AND MANAGEMENT IN NURSING, 9TH EDITION, ELEANOR J. SULLIVAN

  • mentor2000

    mentor2000

  • test bank

TEST BANK FOR EFFECTIVE LEADERSHIP AND MANAGEMENT IN NURSING, 9TH EDITION, ELEANOR J. SULLIVAN...

15 USD

0

0

TEST BANK ILLUSTRATED DENTAL EMBRYOLOGY HISTOLOGY AND ANATOMY- 4TH EDITION- FEHRENBACH
View Document

TEST BANK ILLUSTRATED DENTAL EMBRYOLOGY HISTOLOGY AND ANATOMY- 4TH EDITION- FEHRENBACH

  • mentor2000

    mentor2000

  • test bank

TEST BANK ILLUSTRATED DENTAL EMBRYOLOGY HISTOLOGY AND ANATOMY- 4TH EDITION- FEHRENBACH...

15 USD

0

0

TEST BANK FOR LEGAL & ETHICAL ISSUES IN NURSING, 7TH EDITION, GINNY WACKER GUIDO
View Document

TEST BANK FOR LEGAL & ETHICAL ISSUES IN NURSING, 7TH EDITION, GINNY WACKER GUIDO

  • mentor2000

    mentor2000

  • test bank

TEST BANK FOR LEGAL & ETHICAL ISSUES IN NURSING, 7TH EDITION, GINNY WACKER GUIDO...

15 USD

0

0

Test Bank for Corporate Finance, 12th Edition, Stephen Ross, Randolph Westerfield, Jeffrey, Bradford Jordan
View Document

Test Bank for Corporate Finance, 12th Edition, Stephen Ross, Randolph Westerfield, Jeffrey, Bradford Jordan

  • mentor2000

    mentor2000

  • exam

Test Bank for Corporate Finance, 12th Edition, Stephen Ross, Randolph Westerfield, Jeffrey, Bradford Jordan...

15 USD

0

1

Test Bank for Fundamentals of Corporate Finance 12th Edition By Stephen Ross and Randolph Westerfield and Br
View Document

Test Bank for Fundamentals of Corporate Finance 12th Edition By Stephen Ross and Randolph Westerfield and Br

  • mentor2000

    mentor2000

  • exam

Test Bank for Fundamentals of Corporate Finance 12th Edition By Stephen Ross and Randolph Westerfield and Br...

14 USD

0

0

Test Bank for concepts for nursing practice 3rd Edition by Giddens
View Document

Test Bank for concepts for nursing practice 3rd Edition by Giddens

  • mentor2000

    mentor2000

  • exam

Test Bank for concepts for nursing practice 3rd Edition by Giddens...

15 USD

0

0

TEST BANK FOR QUICK AND EASY MEDICAL TERMINOLOGY 9TH EDITION BY LEONARD
View Document

TEST BANK FOR QUICK AND EASY MEDICAL TERMINOLOGY 9TH EDITION BY LEONARD

  • mentor2000

    mentor2000

  • exam

TEST BANK FOR QUICK AND EASY MEDICAL TERMINOLOGY 9TH EDITION BY LEONARD...

15 USD

0

0

Test Bank for Fundamentals of Corporate Finance 12th Edition By Stephen Ross and Randolph Westerfield and Bradford Jordan
View Document

Test Bank for Fundamentals of Corporate Finance 12th Edition By Stephen Ross and Randolph Westerfield and Bradford Jordan

  • GradeA

    GradeA

  • book

Test Bank for Fundamentals of Corporate Finance 12th Edition By Stephen Ross and Randolph Westerfield and Bradford Jorda...

15 USD

0

0

Test Bank for Corporate Finance, 11th Edition Author Ross et al
View Document

Test Bank for Corporate Finance, 11th Edition Author Ross et al

  • claratutor1

    claratutor1

  • test bank

Test Bank for Corporate Finance, 11th Edition Author Ross et al...

15 USD

0

0

TEST BANK FOR CARING FOR OLDER ADULTS HOLISTICALLY 7TH EDITION BY DAHLKEMPER.
View Document

TEST BANK FOR CARING FOR OLDER ADULTS HOLISTICALLY 7TH EDITION BY DAHLKEMPER.

  • claratutor1

    claratutor1

  • test bank

TEST BANK FOR CARING FOR OLDER ADULTS HOLISTICALLY 7TH EDITION BY DAHLKEMPER....

15 USD

0

0

Test Bank - Maternity and Pediatric Nursing (3rd Edition) by Ricci, Kyle, and Carman (all chapters)
View Document

Test Bank - Maternity and Pediatric Nursing (3rd Edition) by Ricci, Kyle, and Carman (all chapters)

  • mentor2000

    mentor2000

  • test bank

Test Bank - Maternity and Pediatric Nursing (3rd Edition) by Ricci, Kyle, and Carman (all chapters) – Download PDF...

15 USD

0

1

Test Bank for Health Promotion Throughout the Life Span 9th Edition by Edelman
View Document

Test Bank for Health Promotion Throughout the Life Span 9th Edition by Edelman

  • mentor2000

    mentor2000

  • test bank

Test Bank for Health Promotion Throughout the Life Span 9th Edition by Edelman – Download PDF...

15 USD

0

0

Test Bank for Brunner and Suddarth's Textbook of Medical-Surgical Nursing, 16th Edition
View Document

Test Bank for Brunner and Suddarth's Textbook of Medical-Surgical Nursing, 16th Edition

  • mentor2000

    mentor2000

  • test bank

Comprehensive test bank for Brunner and Suddarth's Medical-Surgical Nursing, 16th Edition by Hinkle & Cheever. Includes ...

15 USD

0

126

TEST BANK FOR LPN TO RN TRANSITIONS 4TH EDITION CLAYWELL
View Document

TEST BANK FOR LPN TO RN TRANSITIONS 4TH EDITION CLAYWELL

  • mentor2000

    mentor2000

  • test bank

TEST BANK FOR LPN TO RN TRANSITIONS 4TH EDITION CLAYWELL – Download PDF...

15 USD

0

0

TEST BANK FOR, NURSING INFORMATICS AND THE FOUNDATION OF KNOWLEDGE 4TH EDITION MCGONINGLE
View Document

TEST BANK FOR, NURSING INFORMATICS AND THE FOUNDATION OF KNOWLEDGE 4TH EDITION MCGONINGLE

  • mentor2000

    mentor2000

  • test bank

TEST BANK FOR, NURSING INFORMATICS AND THE FOUNDATION OF KNOWLEDGE 4TH EDITION MCGONINGLE – Download PDF...

15 USD

0

0

TEST BANK FOR NURSING INTERVENTIONS AND CLINICAL SKILLS 7TH EDITION BY POTTER
View Document

TEST BANK FOR NURSING INTERVENTIONS AND CLINICAL SKILLS 7TH EDITION BY POTTER

  • mentor2000

    mentor2000

  • test bank

TEST BANK FOR NURSING INTERVENTIONS AND CLINICAL SKILLS 7TH EDITION BY POTTER – Download PDF...

15 USD

0

0

TEST BANK FOR NURSING RESEARCH 8TH EDITION BURNS AND GROVE
View Document

TEST BANK FOR NURSING RESEARCH 8TH EDITION BURNS AND GROVE

  • mentor2000

    mentor2000

  • test bank

TEST BANK FOR NURSING RESEARCH 8TH EDITION BURNS AND GROVE – Download PDF...

15 USD

0

0

TEST BANK FOR PEDIATRIC NURSING THE CRITICAL COMPONENTS OF NURSING CARE 2ND EDITION RUDD
View Document

TEST BANK FOR PEDIATRIC NURSING THE CRITICAL COMPONENTS OF NURSING CARE 2ND EDITION RUDD

  • mentor2000

    mentor2000

  • test bank

TEST BANK FOR PEDIATRIC NURSING THE CRITICAL COMPONENTS OF NURSING CARE 2ND EDITION RUDD – Download PDF...

15 USD

0

0

Test Bank for Psychiatric Mental Health Nursing by Mary Townsend 9th Edition
View Document

Test Bank for Psychiatric Mental Health Nursing by Mary Townsend 9th Edition

  • mentor2000

    mentor2000

  • test bank

Test Bank for Psychiatric Mental Health Nursing by Mary Townsend 9th Edition – Download PDF...

15 USD

0

0

TEST BANK FOR THE PRACTICE OF NURSING RESEARCH 7TH EDITION BY BURNS AND GROVE ALL CHAPTERS
View Document

TEST BANK FOR THE PRACTICE OF NURSING RESEARCH 7TH EDITION BY BURNS AND GROVE ALL CHAPTERS

  • mentor2000

    mentor2000

  • test bank

TEST BANK FOR THE PRACTICE OF NURSING RESEARCH 7TH EDITION BY BURNS AND GROVE ALL CHAPTERS – Download PDF...

15 USD

0

0

TEST BANK FOR UNDERSTANDING ABNOMINAL BEHAVIOURS 1OTH EDITION  SUE SUE
View Document

TEST BANK FOR UNDERSTANDING ABNOMINAL BEHAVIOURS 1OTH EDITION SUE SUE

  • mentor2000

    mentor2000

  • test bank

TEST BANK FOR UNDERSTANDING ABNOMINAL BEHAVIOURS 1OTH EDITION SUE SUE – Download PDF...

15 USD

0

0

Test Bank for A Manual of Laboratory and Diagnostic Tests 7th edition Frances T Fischbach
View Document

Test Bank for A Manual of Laboratory and Diagnostic Tests 7th edition Frances T Fischbach

  • mentor2000

    mentor2000

  • test bank

Test Bank for A Manual of Laboratory and Diagnostic Tests 7th edition Frances T Fischbach – Download PDF...

15 USD

0

0

TEST-BANK FOR ADVANCED HEALTH ASSESMENT AND DIFFERENTIAL DIAGNOSIS ESSENTIALS FOR CLINICAL PRACTICE 1ST EDITION MYRICK
View Document

TEST-BANK FOR ADVANCED HEALTH ASSESMENT AND DIFFERENTIAL DIAGNOSIS ESSENTIALS FOR CLINICAL PRACTICE 1ST EDITION MYRICK

  • mentor2000

    mentor2000

  • test bank

TEST-BANK FOR ADVANCED HEALTH ASSESMENT AND DIFFERENTIAL DIAGNOSIS ESSENTIALS FOR CLINICAL PRACTICE 1ST EDITION MYRICK �...

15 USD

0

0

TEST BANK FOR ANATOMY AND PHYSIOLOGY 9TH EDITION BY PATTON ALL CHAPTERS.
View Document

TEST BANK FOR ANATOMY AND PHYSIOLOGY 9TH EDITION BY PATTON ALL CHAPTERS.

  • mentor2000

    mentor2000

  • test bank

TEST BANK FOR ANATOMY AND PHYSIOLOGY 9TH EDITION BY PATTON ALL CHAPTERS. – Download PDF...

10 USD

0

0

TEST BANK FOR INTRODUCTION TO CLINICAL PHARMACOLOGY 9TH EDITION BY VISOVSKY.
View Document

TEST BANK FOR INTRODUCTION TO CLINICAL PHARMACOLOGY 9TH EDITION BY VISOVSKY.

  • mentor2000

    mentor2000

  • test bank

TEST BANK FOR INTRODUCTION TO CLINICAL PHARMACOLOGY 9TH EDITION BY VISOVSKY. – Download PDF...

17 USD

0

1

Test Bank For Olds Maternal-Newborn Nursing & Womens Health Across the Lifespan, 11th Edition (Davidson), Chapter 1-36
View Document

Test Bank For Olds Maternal-Newborn Nursing & Womens Health Across the Lifespan, 11th Edition (Davidson), Chapter 1-36

  • mentor2000

    mentor2000

  • test bank

Test Bank For Olds Maternal-Newborn Nursing & Womens Health Across the Lifespan, 11th Edition (Davidson), Chapter 1-36 �...

15 USD

0

0

TEST BANK FOR NURSING INFORMATICS AND THE FOUNDATION OF KNOWLEDGE 4TH EDITION MCGONINGLE
View Document

TEST BANK FOR NURSING INFORMATICS AND THE FOUNDATION OF KNOWLEDGE 4TH EDITION MCGONINGLE

  • mentor2000

    mentor2000

  • test bank

TEST BANK FOR NURSING INFORMATICS AND THE FOUNDATION OF KNOWLEDGE 4TH EDITION MCGONINGLE – Download PDF...

15 USD

0

0

TEST BANK FOR MICROENOMICS 7TH EDITION BY JEFFRY M PERLOFF
View Document

TEST BANK FOR MICROENOMICS 7TH EDITION BY JEFFRY M PERLOFF

  • mentor2000

    mentor2000

  • test bank

TEST BANK FOR MICROENOMICS 7TH EDITION BY JEFFRY M PERLOFF – Download PDF...

15 USD

0

0

Test Bank Medical Surgical Nursing 7th Edition Ignatavicius All Chapters | Passing Grades
View Document

Test Bank Medical Surgical Nursing 7th Edition Ignatavicius All Chapters | Passing Grades

  • mentor2000

    mentor2000

  • test bank

Prepare for your medical-surgical nursing exams with the Test Bank for Medical-Surgical Nursing, 7th Edition by Ignatavi...

16 USD

0

0

Test Bank for Marriages & Families: Changes, Choices, and Constraints 9th Edition by Nijole V. Benokraitis | Passing Grades
View Document

Test Bank for Marriages & Families: Changes, Choices, and Constraints 9th Edition by Nijole V. Benokraitis | Passing Grades

  • mentor2000

    mentor2000

  • test bank

Get ready for your sociology exams with the Test Bank for Marriages & Families: Changes, Choices, and Constraints by Nij...

15 USD

0

0

Passing Grades | Test Bank for Marriages & Families: Changes, Choices, and Constraints, 10th Edition
View Document

Passing Grades | Test Bank for Marriages & Families: Changes, Choices, and Constraints, 10th Edition

  • mentor2000

    mentor2000

  • test bank

Study for your sociology exams with the Test Bank for Marriages & Families: Changes, Choices, and Constraints, 10th Edit...

15 USD

0

0

Test Bank for Marketing Management, 15th Edition by Kotler and Keller
View Document

Test Bank for Marketing Management, 15th Edition by Kotler and Keller

  • mentor2000

    mentor2000

  • test bank

Get the Test Bank for Marketing Management, 15th Edition by Kotler and Keller. This comprehensive resource includes a va...

15 USD

0

0

TEST BANK FOR MANAGEMENT INFORMATION SYSYTEMS 9TH EDITION BY BIDGOLI
View Document

TEST BANK FOR MANAGEMENT INFORMATION SYSYTEMS 9TH EDITION BY BIDGOLI

  • mentor2000

    mentor2000

  • test bank

Master key concepts in information systems with the Test Bank for Management Information Systems, 9th Edition by Bidgoli...

16 USD

0

1

Test Bank for Sociology, Ninth Canadian Edition by Macionis and Gerber
View Document

Test Bank for Sociology, Ninth Canadian Edition by Macionis and Gerber

  • mentor2000

    mentor2000

  • test bank

Get exam-ready with the Test Bank for Sociology, Ninth Canadian Edition by Macionis and Gerber. Featuring questions, ans...

15 USD

0

0

TEST BANK FOR FOUNDATIONS OF PSYCHIATRIC MENTAL HEALTH NURSING BY VARCAROLI
View Document

TEST BANK FOR FOUNDATIONS OF PSYCHIATRIC MENTAL HEALTH NURSING BY VARCAROLI

  • mentor2000

    mentor2000

  • test bank

TEST BANK FOR FOUNDATIONS OF PSYCHIATRIC MENTAL HEALTH NURSING BY VARCAROLI...

17 USD

0

0

Test Bank for Nursing Interventions & Clinical Skills, 7th Edition by Perry All Chapters | Pasinggrades
View Document

Test Bank for Nursing Interventions & Clinical Skills, 7th Edition by Perry All Chapters | Pasinggrades

  • mentor2000

    mentor2000

  • test bank

Boost your nursing skills with the Test Bank for Nursing Interventions & Clinical Skills, 7th Edition by Perry. Includes...

17 USD

0

0

TEST BANK FOR NURSING INTERVENTION NS AND CLINICAL SKILLS 7TH EDITION BY POTTER
View Document

TEST BANK FOR NURSING INTERVENTION NS AND CLINICAL SKILLS 7TH EDITION BY POTTER

  • mentor2000

    mentor2000

  • test bank

TEST BANK FOR NURSING INTERVENTION NS AND CLINICAL SKILLS 7TH EDITION BY POTTER – Download PDF...

17 USD

0

0

Test Bank for Leadership Roles and Management Functions in Nursing, 10th Edition by Marquis & Huston
View Document

Test Bank for Leadership Roles and Management Functions in Nursing, 10th Edition by Marquis & Huston

  • mentor2000

    mentor2000

  • test bank

Prepare for leadership in nursing with the Test Bank for Leadership Roles and Management Functions in Nursing, 10th Edit...

16 USD

0

0

Test Bank for Introduction to Maternity and Pediatric Nursing, 7th Edition by Leifer All Chapters | 2026
View Document

Test Bank for Introduction to Maternity and Pediatric Nursing, 7th Edition by Leifer All Chapters | 2026

  • mentor2000

    mentor2000

  • test bank

Excel in maternity and pediatric nursing with the Test Bank for Introduction to Maternity and Pediatric Nursing, 7th Edi...

17 USD

0

0

Test Bank for Gould’s Pathophysiology for the Health Professions – 5th Edition
View Document

Test Bank for Gould’s Pathophysiology for the Health Professions – 5th Edition

  • mentor2000

    mentor2000

  • test bank

Studying pathophysiology? The Test Bank for Gould’s Pathophysiology for the Health Professions, 5th Edition has everyt...

17 USD

0

0

TEST BANK FOR FUNDAMENTALS OF NURSING 9TH EDITION BY TAYLOR.
View Document

TEST BANK FOR FUNDAMENTALS OF NURSING 9TH EDITION BY TAYLOR.

  • mentor2000

    mentor2000

  • test bank

TEST BANK FOR FUNDAMENTALS OF NURSING 9TH EDITION BY TAYLOR....

17 USD

0

0

TEST BANK FOR FORTINASH PSYCHIATRIC MENTAL HEALTH NURSING 5TH EDITION
View Document

TEST BANK FOR FORTINASH PSYCHIATRIC MENTAL HEALTH NURSING 5TH EDITION

  • mentor2000

    mentor2000

  • test bank

TEST BANK FOR FORTINASH PSYCHIATRIC MENTAL HEALTH NURSING 5TH EDITION – Download PDF...

17 USD

0

0

TEST BANK FOR INTERPERSONAL RELATIONSHIP 7 TH EDITION ARNOLD ALL CHAPTERS
View Document

TEST BANK FOR INTERPERSONAL RELATIONSHIP 7 TH EDITION ARNOLD ALL CHAPTERS

  • mentor2000

    mentor2000

  • test bank

TEST BANK FOR INTERPERSONAL RELATIONSHIP 7 TH EDITION ARNOLD ALL CHAPTERS – Download PDF...

15 USD

0

0

Pharmacology for Nursing Care 8th edition Lehne Test Bank
View Document

Pharmacology for Nursing Care 8th edition Lehne Test Bank

  • mentor2000

    mentor2000

  • test bank

Pharmacology for Nursing Care 8th edition Lehne Test Bank...

10 USD

0

0

TEST BANK FOR CONTEMPORARY NURSING ISSUES TRENDS AND MANAGEMENTS 7TH EDITION BY CHERRY JACOB
View Document

TEST BANK FOR CONTEMPORARY NURSING ISSUES TRENDS AND MANAGEMENTS 7TH EDITION BY CHERRY JACOB

  • mentor2000

    mentor2000

  • test bank

TEST BANK FOR CONTEMPORARY NURSING ISSUES TRENDS AND MANAGEMENTS 7TH EDITION BY CHERRY JACOB – Download PDF...

15 USD

0

0

TEST BANK FOR UNDERSTANDING ABNORMAL BEHAVIOURS 1OTH EDITION SUE SUE.
View Document

TEST BANK FOR UNDERSTANDING ABNORMAL BEHAVIOURS 1OTH EDITION SUE SUE.

  • Namwaki

    Namwaki

  • test bank

TEST BANK FOR UNDERSTANDING ABNORMAL BEHAVIOURS 1OTH EDITION SUE SUE. – Download PDF...

17 USD

0

0

TEST BANK FOR UNDERSTANDING PSYCHOLOGY 9TH EDITION BY MORIS.
View Document

TEST BANK FOR UNDERSTANDING PSYCHOLOGY 9TH EDITION BY MORIS.

  • Namwaki

    Namwaki

  • test bank

TEST BANK FOR UNDERSTANDING PSYCHOLOGY 9TH EDITION BY MORIS. – Download PDF...

15 USD

0

0

TEST- BANK FOR WONGS NURSING CARE OF INFANTS AND CHILDREN 11TH EDITION HOCKENBERRY
View Document

TEST- BANK FOR WONGS NURSING CARE OF INFANTS AND CHILDREN 11TH EDITION HOCKENBERRY

  • Namwaki

    Namwaki

  • test bank

TEST- BANK FOR WONGS NURSING CARE OF INFANTS AND CHILDREN 11TH EDITION HOCKENBERRY – Download PDF...

15 USD

0

0

Test Bank for Foundation of Population Health for Community Public Health Nursing 5th Edition Stanhope
View Document

Test Bank for Foundation of Population Health for Community Public Health Nursing 5th Edition Stanhope

  • mentor2000

    mentor2000

  • test bank

Test Bank for Foundation of Population Health for Community Public Health Nursing 5th Edition Stanhope – Download PDF...

15 USD

0

0

TEST BANK FOR HEIZER OPERATION MANAGEMENT 9TH EDITION.
View Document

TEST BANK FOR HEIZER OPERATION MANAGEMENT 9TH EDITION.

  • mentor2000

    mentor2000

  • test bank

TEST BANK FOR HEIZER OPERATION MANAGEMENT 9TH EDITION. – Download PDF...

15 USD

0

0

TEST BANK FOR Medical Surgical Nursing 10th EditioN Lewis
View Document

TEST BANK FOR Medical Surgical Nursing 10th EditioN Lewis

  • mentor2000

    mentor2000

  • test bank

TEST BANK FOR Medical Surgical Nursing 10th EditioN Lewis – Download PDF...

15 USD

0

0

Test Bank for Pharmacology 10th Edition by Mccuistion
View Document

Test Bank for Pharmacology 10th Edition by Mccuistion

  • mentor2000

    mentor2000

  • test bank

Prepare effectively for your exams with the Test Bank for Pharmacology 10th Edition by McCuistion. Access comprehensive ...

15 USD

0

0

TEST BANK FOR MEDICAL SURGICAL :CONCEPTS AND PRACTICE 3RD EDITION BY DEWIT
View Document

TEST BANK FOR MEDICAL SURGICAL :CONCEPTS AND PRACTICE 3RD EDITION BY DEWIT

  • mentor2000

    mentor2000

  • test bank

TEST BANK FOR MEDICAL SURGICAL :CONCEPTS AND PRACTICE 3RD EDITION BY DEWIT – Download PDF...

15 USD

0

0

TEST BANK FOR PSYCHIATRIC NURSING 7TH EDITION BY KELTNER ALL CHAPTERS
View Document

TEST BANK FOR PSYCHIATRIC NURSING 7TH EDITION BY KELTNER ALL CHAPTERS

  • mentor2000

    mentor2000

  • test bank

TEST BANK FOR PSYCHIATRIC NURSING 7TH EDITION BY KELTNER ALL CHAPTERS – Download PDF...

15 USD

0

0

TEST BANK FOR UNDERSTANDING PATHOPHYSIOLOGY 6TH EDITION BY SUE HUENTHER AND MCCANE
View Document

TEST BANK FOR UNDERSTANDING PATHOPHYSIOLOGY 6TH EDITION BY SUE HUENTHER AND MCCANE

  • mentor2000

    mentor2000

  • test bank

TEST BANK FOR UNDERSTANDING PATHOPHYSIOLOGY 6TH EDITION BY SUE HUENTHER AND MCCANE – Download PDF...

15 USD

0

0

TEST BANK FOR Community and Public Health Nursing-3rd  Edition DeMarco Walsh
View Document

TEST BANK FOR Community and Public Health Nursing-3rd Edition DeMarco Walsh

  • mentor2000

    mentor2000

  • test bank

TEST BANK FOR Community and Public Health Nursing-3rd Edition DeMarco Walsh – Download PDF...

15 USD

0

0

TEST BANK FOR BURNS PEDIATRIC PRIMARY CARE 7TH EDITION DAWN LEE
View Document

TEST BANK FOR BURNS PEDIATRIC PRIMARY CARE 7TH EDITION DAWN LEE

  • mentor2000

    mentor2000

  • test bank

TEST BANK FOR BURNS PEDIATRIC PRIMARY CARE 7TH EDITION DAWN LEE – Download PDF...

15 USD

0

0

TEST BANK FOR ALCANO’S FUNDAMENTALS OF MICROBIOLOGY 9TH EDITION
View Document

TEST BANK FOR ALCANO’S FUNDAMENTALS OF MICROBIOLOGY 9TH EDITION

  • mentor2000

    mentor2000

  • test bank

TEST BANK FOR ALCANO’S FUNDAMENTALS OF MICROBIOLOGY 9TH EDITION...

10 USD

0

0

TEST-BANK-FOR-ACE-PERSONAL-TRAINER-FIFTH-EDITION
View Document

TEST-BANK-FOR-ACE-PERSONAL-TRAINER-FIFTH-EDITION

  • mentor2000

    mentor2000

  • test bank

TEST-BANK-FOR-ACE-PERSONAL-TRAINER-FIFTH-EDITION – Download PDF...

15 USD

0

0

TEST BANK FOR HEALTH PROMOTION THROUGH THE LIFE SPAN 8TH EDITION EDELMAN.
View Document

TEST BANK FOR HEALTH PROMOTION THROUGH THE LIFE SPAN 8TH EDITION EDELMAN.

  • claratutor1

    claratutor1

  • test bank

TEST BANK FOR HEALTH PROMOTION THROUGH THE LIFE SPAN 8TH EDITION EDELMAN....

16 USD

0

0

Test Bank For Foundations Of Mental Health Care 6th Edition By Morrison-Valfre
View Document

Test Bank For Foundations Of Mental Health Care 6th Edition By Morrison-Valfre

  • Angelicer

    Angelicer

  • test bank

Explore the Test Bank for Foundations of Mental Health Care, 6th Edition by Morrison-Valfre, offering essential resource...

15 USD

0

0

Medical Parasitology 7th Edition Leventhal Test Bank
View Document

Medical Parasitology 7th Edition Leventhal Test Bank

  • Namwaki

    Namwaki

  • test bank

Medical Parasitology 7th Edition Leventhal Test Bank...

10 USD

0

0

Test Bank For Egan’s Fundamentals Of Respiratory Care 11th Edition By Kacmarek | All Chapters
View Document

Test Bank For Egan’s Fundamentals Of Respiratory Care 11th Edition By Kacmarek | All Chapters

  • mentor2000

    mentor2000

  • exam

Test Bank For Egan’s Fundamentals Of Respiratory Care 11th Edition By Kacmarek | All Chapters...

17 USD

0

0

TEST BANK FOR TEST BANK FOR RUPPEL’S MANUAL OF PULMONARY FUNCTION TESTING 11 TH EDITION BY MOTTRAM
View Document

TEST BANK FOR TEST BANK FOR RUPPEL’S MANUAL OF PULMONARY FUNCTION TESTING 11 TH EDITION BY MOTTRAM

  • mentor2000

    mentor2000

  • exam

TEST BANK FOR TEST BANK FOR RUPPEL’S MANUAL OF PULMONARY FUNCTION TESTING 11 TH EDITION BY MOTTRAM...

14 USD

0

0

Test Bank for Ruppel’s Manual of Pulmonary Function Testing (11th Edition) by Mottram | Complete & Verified | All Chapters Included
View Document

Test Bank for Ruppel’s Manual of Pulmonary Function Testing (11th Edition) by Mottram | Complete & Verified | All Chapters Included

  • mentor2000

    mentor2000

  • exam

Access the complete test bank for Ruppel’s Manual of Pulmonary Function Testing, 11th Edition by Carl Mottram. Feature...

17 USD

0

0

Test Bank For Oral Pathology For The Dental Hygienist 6th Edition By Ibsen
View Document

Test Bank For Oral Pathology For The Dental Hygienist 6th Edition By Ibsen

  • mentor2000

    mentor2000

  • exam

Test Bank For Oral Pathology For The Dental Hygienist 6th Edition By Ibsen...

15 USD

0

0

Lehne’s Test Bank for Pharmacotherapeutics for Advanced Practice Nurses and Physician Assistants 2nd Edition Rosenthal
View Document

Lehne’s Test Bank for Pharmacotherapeutics for Advanced Practice Nurses and Physician Assistants 2nd Edition Rosenthal

  • mentor2000

    mentor2000

  • exam

Lehne’s Test Bank for Pharmacotherapeutics for Advanced Practice Nurses and Physician Assistants 2nd Edition Rosenthal...

17 USD

0

0

DEVELOPING HUMAN 11TH EDITION BY MOORE 9 TEST BANK
View Document

DEVELOPING HUMAN 11TH EDITION BY MOORE 9 TEST BANK

  • mentor2000

    mentor2000

  • exam

DEVELOPING HUMAN 11TH EDITION BY MOORE 9 TEST BANK...

15 USD

0

0

FOUNDATION OF PSYCHIATRIC MENTAL HEALTH NURSING A CLINICAL APPROACH, 8TH EDITION TEST BANK
View Document

FOUNDATION OF PSYCHIATRIC MENTAL HEALTH NURSING A CLINICAL APPROACH, 8TH EDITION TEST BANK

  • mentor2000

    mentor2000

  • exam

Excel in psychiatric mental health nursing with the 8th Edition test bank. Comprehensive practice questions for Foundati...

15 USD

0

0

HESI Critical Care TEST BANK RN Best Revision Material for Upcoming Exams
View Document

HESI Critical Care TEST BANK RN Best Revision Material for Upcoming Exams

  • mentor2000

    mentor2000

  • test bank

HESI Critical Care TEST BANK RN Best Revision Material for Upcoming Exams...

15 USD

0

1

Gerontological Nursing 9th Edition Eliopoulos Complete Test Bank
View Document

Gerontological Nursing 9th Edition Eliopoulos Complete Test Bank

  • mentor2000

    mentor2000

  • test bank

Gerontological Nursing 9th Edition Eliopoulos Complete Test Bank...

17 USD

0

0

ATI Pharmacology Proctored Test Bank Best Revision Material for Upcoming Exams
View Document

ATI Pharmacology Proctored Test Bank Best Revision Material for Upcoming Exams

  • mentor2000

    mentor2000

  • test bank

ATI Pharmacology Proctored Test Bank Best Revision Material for Upcoming Exams...

15 USD

0

0

Understanding Pathophysiology 7th Edition Test_Bank
View Document

Understanding Pathophysiology 7th Edition Test_Bank

  • mentor2000

    mentor2000

  • test bank

Understanding Pathophysiology 7th Edition Test_Bank...

17 USD

0

0

TEST BANK PATHOPHYSIOLOGY THE BIOLOGIC BASIS FOR DISEASE IN ADULTS AND CHILDREN 8th Edition
View Document

TEST BANK PATHOPHYSIOLOGY THE BIOLOGIC BASIS FOR DISEASE IN ADULTS AND CHILDREN 8th Edition

  • mentor2000

    mentor2000

  • test bank

TEST BANK PATHOPHYSIOLOGY THE BIOLOGIC BASIS FOR DISEASE IN ADULTS AND CHILDREN 8th Edition...

15 USD

0

0

TEST BANK FOR WONGS NURSING CARE OF INFANTS AND CHILDREN 11TH EDITION HOCKENBERRY
View Document

TEST BANK FOR WONGS NURSING CARE OF INFANTS AND CHILDREN 11TH EDITION HOCKENBERRY

  • mentor2000

    mentor2000

  • test bank

TEST BANK FOR WONGS NURSING CARE OF INFANTS AND CHILDREN 11TH EDITION HOCKENBERRY...

15 USD

0

0

Test Bank for Understanding Pathophysiology Canadian 7th Edition by Huether
View Document

Test Bank for Understanding Pathophysiology Canadian 7th Edition by Huether

  • mentor2000

    mentor2000

  • test bank

Test Bank for Understanding Pathophysiology Canadian 7th Edition by Huether...

15 USD

0

0

TEST BANK FOR STRATEGIC MANAGEMENT 4TH EDITION BY FRANK ROTHAERMEL
View Document

TEST BANK FOR STRATEGIC MANAGEMENT 4TH EDITION BY FRANK ROTHAERMEL

  • mentor2000

    mentor2000

  • test bank

Enhance your understanding with the Test Bank for Strategic Management, 4th Edition by Frank Rothaermel. Access detailed...

15 USD

0

0

TEST BANK FOR SAFE MATERNITY & PEDIATRIC NURSING CARE 1ST EDITION BY LINNARD-PALMER
View Document

TEST BANK FOR SAFE MATERNITY & PEDIATRIC NURSING CARE 1ST EDITION BY LINNARD-PALMER

  • mentor2000

    mentor2000

  • test bank

TEST BANK FOR SAFE MATERNITY & PEDIATRIC NURSING CARE 1ST EDITION BY LINNARD-PALMER...

15 USD

0

0

Test Bank for Public Health Nursing: Population-Centered Health Care in the Community (9th Edition) | Complete & Verified | All Chapters Included
View Document

Test Bank for Public Health Nursing: Population-Centered Health Care in the Community (9th Edition) | Complete & Verified | All Chapters Included

  • mentor2000

    mentor2000

  • test bank

Test Bank for Public Health Nursing: Population-Centered Health Care in the Community (9th Edition) | Complete & Verifie...

15 USD

0

0

Test Bank for Psychiatric-Mental Health Nursing (8th Edition) by Videbeck | Complete & Verified | All Chapters Included
View Document

Test Bank for Psychiatric-Mental Health Nursing (8th Edition) by Videbeck | Complete & Verified | All Chapters Included

  • mentor2000

    mentor2000

  • test bank

Test Bank for Psychiatric-Mental Health Nursing (8th Edition) by Videbeck | Complete & Verified | All Chapters Included...

15 USD

0

0

Test Bank for Professional Nursing: Concepts & Challenges (9th Edition) by Beth Black | Complete & Verified
View Document

Test Bank for Professional Nursing: Concepts & Challenges (9th Edition) by Beth Black | Complete & Verified

  • mentor2000

    mentor2000

  • test bank

Access the complete test bank for Professional Nursing: Concepts & Challenges, 9th Edition by Beth Black. Includes all c...

15 USD

0

0

Test Bank for Primary Care Art and Science of Advanced Practice Nursing – An Interprofessional Approach 5th Edition Dunphy All Chapters
View Document

Test Bank for Primary Care Art and Science of Advanced Practice Nursing – An Interprofessional Approach 5th Edition Dunphy All Chapters

  • mentor2000

    mentor2000

  • test bank

Study advanced practice nursing with the Test Bank for Primary Care Art and Science 5th Edition by Dunphy. Access all ch...

15 USD

0

0

Test Bank for Physical Examination and Health Assessment (8th Edition) by Carolyn Jarvis | Complete Chapters | Verified Edition
View Document

Test Bank for Physical Examination and Health Assessment (8th Edition) by Carolyn Jarvis | Complete Chapters | Verified Edition

  • mentor2000

    mentor2000

  • test bank

Get the full test bank for Physical Examination and Health Assessment, 8th Edition by Carolyn Jarvis. Includes comprehen...

15 USD

0

0

Test Bank for Pharmacotherapeutics for Advanced Practice Nurse Prescribers (5th Edition) by Woo & Robinson | All Chapters Covered | Verified Edition
View Document

Test Bank for Pharmacotherapeutics for Advanced Practice Nurse Prescribers (5th Edition) by Woo & Robinson | All Chapters Covered | Verified Edition

  • mentor2000

    mentor2000

  • test bank

Access the complete test bank for Pharmacotherapeutics for Advanced Practice Nurse Prescribers, 5th Edition by Woo and R...

15 USD

0

0

Test Bank for Pharmacology for the Primary Care Provider (4th Edition) by Edmunds | Complete & Verified | All Chapters Included
View Document

Test Bank for Pharmacology for the Primary Care Provider (4th Edition) by Edmunds | Complete & Verified | All Chapters Included

  • mentor2000

    mentor2000

  • test bank

Test Bank for Pharmacology for the Primary Care Provider (4th Edition) by Edmunds | Complete & Verified | All Chapters I...

15 USD

0

0

TEST BANK FOR PHARMACOLOGY AND THE NURSING PROCESS 8TH EDITION LILLEY.
View Document

TEST BANK FOR PHARMACOLOGY AND THE NURSING PROCESS 8TH EDITION LILLEY.

  • mentor2000

    mentor2000

  • test bank

TEST BANK FOR PHARMACOLOGY AND THE NURSING PROCESS 8TH EDITION LILLEY....

15 USD

0

0

Test Bank for Pediatric Primary Care: Practice Guidelines for Nurses, 4th Edition (Beth Richardson) | All Chapters Q&A | Rationales Included
View Document

Test Bank for Pediatric Primary Care: Practice Guidelines for Nurses, 4th Edition (Beth Richardson) | All Chapters Q&A | Rationales Included

  • mentor2000

    mentor2000

  • test bank

Test Bank for Pediatric Primary Care: Practice Guidelines for Nurses, 4th Edition (Beth Richardson) – All Chapters Q&A...

15 USD

0

0

Test Bank for Nursing Leadership and Management 3rd Edition by Kelly
View Document

Test Bank for Nursing Leadership and Management 3rd Edition by Kelly

  • mentor2000

    mentor2000

  • test bank

Test Bank for Nursing Leadership and Management 3rd Edition by Kelly...

15 USD

0

0

Test Bank for Nursing Delegation and Management of Patient Care, 2nd Edition by Motacki | All Chapters
View Document

Test Bank for Nursing Delegation and Management of Patient Care, 2nd Edition by Motacki | All Chapters

  • mentor2000

    mentor2000

  • test bank

Get the complete Test Bank for Nursing Delegation and Management of Patient Care, 2nd Edition by Kathleen Motacki. Inclu...

15 USD

0

0

Test Bank For Medical Surgical Nursing 8th Edition Ignavaticius
View Document

Test Bank For Medical Surgical Nursing 8th Edition Ignavaticius

  • mentor2000

    mentor2000

  • test bank

This Test Bank for Medical-Surgical Nursing, 8th Edition by Ignatavicius is designed to help you succeed. It covers all ...

15 USD

0

0

Test Bank For Lehne's Pharmacology for Nursing Care 9th Edition BY Burchum
View Document

Test Bank For Lehne's Pharmacology for Nursing Care 9th Edition BY Burchum

  • mentor2000

    mentor2000

  • test bank

Test Bank For Lehne's Pharmacology for Nursing Care 9th Edition BY Burchum...

15 USD

0

0

Test Bank For Leadership And Management Functions In Nursing 10th Edition Marquis Huston Latest | All Chapters
View Document

Test Bank For Leadership And Management Functions In Nursing 10th Edition Marquis Huston Latest | All Chapters

  • mentor2000

    mentor2000

  • test bank

Test Bank For Leadership And Management Functions In Nursing 10th Edition Marquis Huston Latest 2025...

15 USD

0

0

Test Bank For International Economics Theory And Policy 6th Edition By Krugman And Obstfeld All Chapters
View Document

Test Bank For International Economics Theory And Policy 6th Edition By Krugman And Obstfeld All Chapters

  • mentor2000

    mentor2000

  • test bank

Test Bank For International Economics Theory And Policy 6th Edition By Krugman And Obstfeld All Chapters...

15 USD

0

0

TEST BANK FOR INQUIRY INTO LIFE 16TH EDITION BY MADER
View Document

TEST BANK FOR INQUIRY INTO LIFE 16TH EDITION BY MADER

  • mentor2000

    mentor2000

  • test bank

TEST BANK FOR INQUIRY INTO LIFE 16TH EDITION BY MADER...

15 USD

0

0

TEST BANK FOR ILLUSTRATED DENTAL EMBRYOLOGY HISTOLOGY AND ANATOMY 5TH EDITION BY FEHRENBACH
View Document

TEST BANK FOR ILLUSTRATED DENTAL EMBRYOLOGY HISTOLOGY AND ANATOMY 5TH EDITION BY FEHRENBACH

  • mentor2000

    mentor2000

  • test bank

TEST BANK FOR ILLUSTRATED DENTAL EMBRYOLOGY HISTOLOGY AND ANATOMY 5TH EDITION BY FEHRENBACH...

15 USD

0

0

Test Bank for Human Resource Management, 14th Edition by R. Wayne Mondy
View Document

Test Bank for Human Resource Management, 14th Edition by R. Wayne Mondy

  • mentor2000

    mentor2000

  • test bank

Test Bank for Human Resource Management, 14th Edition by R. Wayne Mondy...

15 USD

0

0

TEST BANK FOR HEMATOLOGY IN PRACTICE 3RD EDITION BY CIESLA
View Document

TEST BANK FOR HEMATOLOGY IN PRACTICE 3RD EDITION BY CIESLA

  • mentor2000

    mentor2000

  • test bank

TEST BANK FOR HEMATOLOGY IN PRACTICE 3RD EDITION BY CIESLA...

15 USD

0

0

TEST BANK FOR HEIZER OPERATION MANAGEMENT 9TH EDITION
View Document

TEST BANK FOR HEIZER OPERATION MANAGEMENT 9TH EDITION

  • mentor2000

    mentor2000

  • test bank

TEST BANK FOR HEIZER OPERATION MANAGEMENT 9TH EDITION...

15 USD

0

0

Test Bank For Health Promotion Through The Life Span 8th Edition Edelman
View Document

Test Bank For Health Promotion Through The Life Span 8th Edition Edelman

  • mentor2000

    mentor2000

  • test bank

Test Bank For Health Promotion Through The Life Span 8th Edition Edelman...

15 USD

0

0

Test Bank For Gerontologic Nursing 6th Edition By Meiner All Chapters
View Document

Test Bank For Gerontologic Nursing 6th Edition By Meiner All Chapters

  • mentor2000

    mentor2000

  • test bank

Test Bank For Gerontologic Nursing 6th Edition By Meiner All Chapters...

15 USD

0

0

Test Bank for Genetics and Genomics in Nursing and Health Care 2nd Edition by Beery
View Document

Test Bank for Genetics and Genomics in Nursing and Health Care 2nd Edition by Beery

  • mentor2000

    mentor2000

  • test bank

Study the Test Bank for Genetics and Genomics in Nursing and Health Care 2nd Edition by Beery. This study material conta...

15 USD

0

0

TEST BANK FOR FUNDAMENTALS OF NURSING 9TH EDITION BY TAYLOR
View Document

TEST BANK FOR FUNDAMENTALS OF NURSING 9TH EDITION BY TAYLOR

  • mentor2000

    mentor2000

  • test bank

TEST BANK FOR FUNDAMENTALS OF NURSING 9TH EDITION BY TAYLOR...

15 USD

0

0

TEST BANK FOR FUNDAMENTALS OF CANADIAN BUSINESS LAW 2ND EDITION WILLES
View Document

TEST BANK FOR FUNDAMENTALS OF CANADIAN BUSINESS LAW 2ND EDITION WILLES

  • mentor2000

    mentor2000

  • test bank

TEST BANK FOR FUNDAMENTALS OF CANADIAN BUSINESS LAW 2ND EDITION WILLES...

15 USD

0

0

TEST BANK FOR FOUNDATIONS OF FINANCIAL MANAGEMENT 10TH CANADIAN EDITION BY BLOCK
View Document

TEST BANK FOR FOUNDATIONS OF FINANCIAL MANAGEMENT 10TH CANADIAN EDITION BY BLOCK

  • mentor2000

    mentor2000

  • test bank

TEST BANK FOR FOUNDATIONS OF FINANCIAL MANAGEMENT 10TH CANADIAN EDITION BY BLOCK...

15 USD

0

0

TEST BANK FOR FOUNDATIONS OF CLINICAL RESEARCH 4TH EDITION BY PORTNEY
View Document

TEST BANK FOR FOUNDATIONS OF CLINICAL RESEARCH 4TH EDITION BY PORTNEY

  • mentor2000

    mentor2000

  • test bank

TEST BANK FOR FOUNDATIONS OF CLINICAL RESEARCH 4TH EDITION BY PORTNEY...

15 USD

0

0

Test Bank For Foundations And Adult Health Nursing, 8th Edition, Kim Cooper, Kelly Gosnell
View Document

Test Bank For Foundations And Adult Health Nursing, 8th Edition, Kim Cooper, Kelly Gosnell

  • mentor2000

    mentor2000

  • test bank

Study the Test Bank for Foundations and Adult Health Nursing, 8th Edition by Kim Cooper and Kelly Gosnell. Enhance your ...

17 USD

0

0

Test Bank For Foundation Of Maternal-Newborn And Womens Health Nursing 7th Edition Latest Update
View Document

Test Bank For Foundation Of Maternal-Newborn And Womens Health Nursing 7th Edition Latest Update

  • mentor2000

    mentor2000

  • test bank

Test Bank For Foundation Of Maternal-Newborn And Womens Health Nursing 7th Edition Latest Update...

15 USD

0

0

Test Bank for Exploring Macroeconomics 4th Canadian Edition by Sexton
View Document

Test Bank for Exploring Macroeconomics 4th Canadian Edition by Sexton

  • mentor2000

    mentor2000

  • test bank

Test Bank for Exploring Macroeconomics 4th Canadian Edition by Sexton...

15 USD

0

0

Test Bank For Essentials of Understanding Psychology 11ed Feldman, Robert
View Document

Test Bank For Essentials of Understanding Psychology 11ed Feldman, Robert

  • mentor2000

    mentor2000

  • test bank

Test Bank For Essentials of Understanding Psychology 11ed Feldman, Robert...

15 USD

0

0

Test Bank for Ebersole and Hess’ Gerontological Nursing and Healthy Aging 5th Edition Touhy & Jeff
View Document

Test Bank for Ebersole and Hess’ Gerontological Nursing and Healthy Aging 5th Edition Touhy & Jeff

  • mentor2000

    mentor2000

  • test bank

Test Bank for Ebersole and Hess’ Gerontological Nursing and Healthy Aging 5th Edition Touhy & Jeff...

15 USD

0

0

Test Bank For Caring For Older Adults Holistically 7th Edition By Dahlkemper
View Document

Test Bank For Caring For Older Adults Holistically 7th Edition By Dahlkemper

  • mentor2000

    mentor2000

  • test bank

Test Bank For Caring For Older Adults Holistically 7th Edition By Dahlkemper...

15 USD

0

0

TEST BANK FOR BUILDING A MEDICAL VOCABULARY 10TH EDITION BY LEONARD
View Document

TEST BANK FOR BUILDING A MEDICAL VOCABULARY 10TH EDITION BY LEONARD

  • mentor2000

    mentor2000

  • test bank

TEST BANK FOR BUILDING A MEDICAL VOCABULARY 10TH EDITION BY LEONARD...

15 USD

0

0

TEST BANK BONTRAGER’S TEXTBOOK OF RADIOGRAPHIC POSITIONING AND RELATED ANATOMY 8TH ED BY BONTRAGER
View Document

TEST BANK BONTRAGER’S TEXTBOOK OF RADIOGRAPHIC POSITIONING AND RELATED ANATOMY 8TH ED BY BONTRAGER

  • mentor2000

    mentor2000

  • test bank

TEST BANK BONTRAGER’S TEXTBOOK OF RADIOGRAPHIC POSITIONING AND RELATED ANATOMY 8TH ED BY BONTRAGER...

17 USD

0

1

Complete Test Bank: Applied Pharmacology for The Dental Hygienist 9th Edition | Haveles | All Chapters
View Document

Complete Test Bank: Applied Pharmacology for The Dental Hygienist 9th Edition | Haveles | All Chapters

  • mentor2000

    mentor2000

  • test bank

Get the complete Test Bank for Applied Pharmacology for The Dental Hygienist 9th Edition by Elena Bablenis Haveles...

15 USD

0

0

TEST BANK FOR ADVANCING YOUR CAREER 7TH EDITION BY NUNNERY.
View Document

TEST BANK FOR ADVANCING YOUR CAREER 7TH EDITION BY NUNNERY.

  • mentor2000

    mentor2000

  • test bank

TEST BANK FOR ADVANCING YOUR CAREER 7TH EDITION BY NUNNERY....

15 USD

0

0

TEST BANK FOR ADVANCED PRACTICE NURSING IN THE CARE OF OLDER ADULTS 2ND EDITION BY KENNEDY-MALONE
View Document

TEST BANK FOR ADVANCED PRACTICE NURSING IN THE CARE OF OLDER ADULTS 2ND EDITION BY KENNEDY-MALONE

  • mentor2000

    mentor2000

  • test bank

TEST BANK FOR ADVANCED PRACTICE NURSING IN THE CARE OF OLDER ADULTS 2ND EDITION BY KENNEDY-MALONE...

17 USD

0

0

TEST BANK FOR ADVANCED PRACTICE NURSING ESSSENTIAL KNOWLEDGE FOR THE PROFESSION 3RD EDITION DENISCO
View Document

TEST BANK FOR ADVANCED PRACTICE NURSING ESSSENTIAL KNOWLEDGE FOR THE PROFESSION 3RD EDITION DENISCO

  • mentor2000

    mentor2000

  • test bank

Test bank for advanced practice nursing esssential knowledge for the profession 3rd edition Denisco...

15 USD

0

0

TEST BANK FOR ADVANCED HEALTH ASSESMENT AND DIFFERENTIAL DIAGNOSIS ESSENTIALS FOR CLINICAL PRACTICE 1ST EDITION MYRICK
View Document

TEST BANK FOR ADVANCED HEALTH ASSESMENT AND DIFFERENTIAL DIAGNOSIS ESSENTIALS FOR CLINICAL PRACTICE 1ST EDITION MYRICK

  • mentor2000

    mentor2000

  • test bank

TEST BANK FOR ADVANCED HEALTH ASSESMENT AND DIFFERENTIAL DIAGNOSIS ESSENTIALS FOR CLINICAL PRACTICE 1ST EDITION MYRICK...

15 USD

0

0

Psychiatric Mental Health Nursing 7th Edition Test Bank Norman Keltner
View Document

Psychiatric Mental Health Nursing 7th Edition Test Bank Norman Keltner

  • mentor2000

    mentor2000

  • test bank

Psychiatric Mental Health Nursing 7th Edition Test Bank Norman Keltner...

10 USD

0

0

Phamarmacotherapeutics for Advanced Practice Nurse Prescribers 5th Edition Woo Robinson Test Bank
View Document

Phamarmacotherapeutics for Advanced Practice Nurse Prescribers 5th Edition Woo Robinson Test Bank

  • mentor2000

    mentor2000

  • test bank

Phamarmacotherapeutics for Advanced Practice Nurse Prescribers 5th Edition Woo Robinson Test Bank...

10 USD

0

0

Nutritional Foundations and Clinical Applications, A Nursing Approach 6th Edition Test Bank
View Document

Nutritional Foundations and Clinical Applications, A Nursing Approach 6th Edition Test Bank

  • mentor2000

    mentor2000

  • test bank

Nutritional Foundations and Clinical Applications, A Nursing Approach 6th Edition Test Bank...

16 USD

0

0

Maternal-Child Nursing, 5th Edition test bank by mckinney updated
View Document

Maternal-Child Nursing, 5th Edition test bank by mckinney updated

  • mentor2000

    mentor2000

  • test bank

Maternal-Child Nursing, 5th Edition test bank by mckinney updated...

15 USD

0

0

HESI A2 Health Education Systems TEST BANK
View Document

HESI A2 Health Education Systems TEST BANK

  • mentor2000

    mentor2000

  • test bank

HESI A2 Health Education Systems TEST BANK 1. What can we infer from the first paragraph in this passage? a. Sickness fr...

8 USD

0

0

Community Public Health Nursing, 7th Edition by Nies test bank updated
View Document

Community Public Health Nursing, 7th Edition by Nies test bank updated

  • mentor2000

    mentor2000

  • test bank

Community Public Health Nursing, 7th Edition by Nies test bank updated...

15 USD

0

0

Business Activity, Bringing an End to the Controversy test bank
View Document

Business Activity, Bringing an End to the Controversy test bank

  • mentor2000

    mentor2000

  • test bank

Business Activity, Bringing an End to the Controversy test bank...

15 USD

0

0

A FRAMEWORK FOR HUMAN RESOURCE MANAGEMENT 7TH EDITION BY GARY DESSLER TEST BANK
View Document

A FRAMEWORK FOR HUMAN RESOURCE MANAGEMENT 7TH EDITION BY GARY DESSLER TEST BANK

  • mentor2000

    mentor2000

  • test bank

A FRAMEWORK FOR HUMAN RESOURCE MANAGEMENT 7TH EDITION BY GARY DESSLER TEST BANK...

30 USD

0

0

TEST BANK FOR BASIC-NURSING-CONCEPTS-SKILLS-AND-REASONING-1E-TREAS-WILKINSON ALL CHAPTERS
View Document

TEST BANK FOR BASIC-NURSING-CONCEPTS-SKILLS-AND-REASONING-1E-TREAS-WILKINSON ALL CHAPTERS

  • mentor2000

    mentor2000

  • test bank

TEST BANK FOR BASIC-NURSING-CONCEPTS-SKILLS-AND-REASONING-1E-TREAS-WILKINSON ALL CHAPTERS...

15 USD

0

0

BSN 1004 Evolve+ Test Bank 2026 Exam Pack
View Document

BSN 1004 Evolve+ Test Bank 2026 Exam Pack

  • mentor2000

    mentor2000

  • test bank

BSN 1004 Evolve+ Test Bank 2025 Exam Pack Which of the following is a characteristic of a malignant tumour?...

15 USD

0

0

NR 566 Test Bank Questions (Week 5-7) 2026
View Document

NR 566 Test Bank Questions (Week 5-7) 2026

  • eddukapis6

    eddukapis6

  • study guide

NR 566 Test Bank Questions (Week 5-7) 2025...

10 USD

0

0

Lewis’s Medical Surgical Nursing 11th Edition Test Bank Latest (Questions + Answers + Rationale)
View Document

Lewis’s Medical Surgical Nursing 11th Edition Test Bank Latest (Questions + Answers + Rationale)

  • mentor2000

    mentor2000

  • test bank

Download Lewis’s Medical Surgical Nursing 11th Edition Test Bank Latest (Questions + Answers + Rationale)...

15 USD

0

1

ATI Pharmacology Proctored Test Bank Latest With Verified Solutions 2024
View Document

ATI Pharmacology Proctored Test Bank Latest With Verified Solutions 2024

  • mentor2000

    mentor2000

  • ati

Access the latest ATI Pharmacology Proctored Test Bank with verified 2024 solutions. Get accurate answers to ace your ex...

30 USD

0

1

Test Bank for Essentials for Nursing Practice 8th Edition by Potter | All Chapters
View Document

Test Bank for Essentials for Nursing Practice 8th Edition by Potter | All Chapters

  • mentor2000

    mentor2000

  • test bank

Master nursing concepts with this study material; Test Bank for Essentials for Nursing Practice, 8th Edition by Potter. ...

15 USD

1

6

Test Bank for Illustrated Anatomy of the Head and Neck 5th Edition by Fehrenbach
View Document

Test Bank for Illustrated Anatomy of the Head and Neck 5th Edition by Fehrenbach

  • Angelicer

    Angelicer

  • test bank

Boost your understanding with the Test Bank for Illustrated Anatomy of the Head and Neck 5th Edition by Fehrenbach. Incl...

30 USD

0

4

Test Bank for Maternal Child Nursing Care 7th Edition by Shannon E. Perry, Marilyn J. Hockenberry, Mary Catherine Cashion Chapter 1-50
View Document

Test Bank for Maternal Child Nursing Care 7th Edition by Shannon E. Perry, Marilyn J. Hockenberry, Mary Catherine Cashion Chapter 1-50

  • GoldenStar

    GoldenStar

  • test bank

Test Bank for Maternal Child Nursing Care 7th Edition by Shannon E. Perry, Marilyn J. Hockenberry, Mary Catherine Cashio...

16 USD

0

26

Test Bank for Success in Practical Vocational Nursing 8th Edition by Knecht
View Document

Test Bank for Success in Practical Vocational Nursing 8th Edition by Knecht

  • Angelicer

    Angelicer

  • test bank

Enhance your study with the Test Bank for Success in Practical Vocational Nursing 8th Edition by Knecht. This comprehens...

16 USD

0

3

IMPORTANT LINKS

  • How To Upload Class Notes
  • Selling Tips
  • Passing Grades's Study Materials
  • Scholarships for International Students 2026

POPULAR CATEGORIES

  • Law
  • Accounting
  • English
  • Psychology
  • Business
  • Nursing
  • Computer Science
  • General

View Document

  • Blog
  • Contact
  • Delivery Policy
  • Latest Scholarships Around the World
  • How to Pass Bar Exams: Passing Grades’ Strategies
  • How to Study and Pass the CPA Exam
  • All Test Banks
  • Faq
  • Copyright Claims
  • Privacy Policy
  • Terms of Use

KNOWLEDGE BASE

  • How to Write A+ Grade Good Research Paper
  • How to Manage Stress During Exam Period
  • Best Time to Study
  • How to Pass NCLEX-RN Exam
  • How To Effectively Utilize Test Banks
  • Popular Shadow Health Exam Assessments
  • Popular HESI Case Studies
  • How to Prepare for a Nursing Career
  • The Importance Of Summaries in Exam Revisvion

© 2026 Pasing Grades. All rights reserved.