Pasing Grades
  • Start Selling
  • Blog
  • Contact
  • 0

    Your cart is empty!

English

  • English
  • Spanish
  • Arabic
Create Account Sign In
  • Library
    • New Prep Guides
    • Featured Prep Guides
    • Free Exam Prep Guides
    • Best sellers
  • General
  • Nursing
    • Research Paper
    • Case Study
    • Discussion Post
    • Assignment
    • Exam
    • Practice Questions and Answers
    • Test Bank
    • solutions manual
  • Accounting
    • Case Study
    • Thesis
    • Study Guide
    • Summary
    • Research Paper
    • test bank
  • English
    • Creative Writing
    • Research Paper
    • Summary
    • Rhetorics
    • Literature
    • Journal
    • Exam
    • Grammar
    • Discussion Post
    • Essay
  • Psychology
    • Hesi
    • Presentation
    • Essay
    • Summary
    • Study Guide
    • Essay
    • Solution Manual
    • Final Exam Review
    • Class Notes
    • test bank
  • Business
    • Lecture Notes
    • Solution Manual
    • Presentation
    • Business Plan
    • Class Notes
    • Experiment
    • Summary
    • Practice Questions
    • Study Guide
    • Case Study
    • test bank
    • Exam
  • More
    • Computer Science
    • Economics
    • Statistics
    • Engineering
    • Biology
    • Religious Studies
    • Physics
    • Chemistry
    • Mathematics
    • History
    • Sociology
    • Science
    • Philosophy
    • Law
  • Pages
    • About Us
    • Selling Tips
    • Delivery Policy
    • Faq
    • Privacy Policy
  • Flash Sale
  • Home
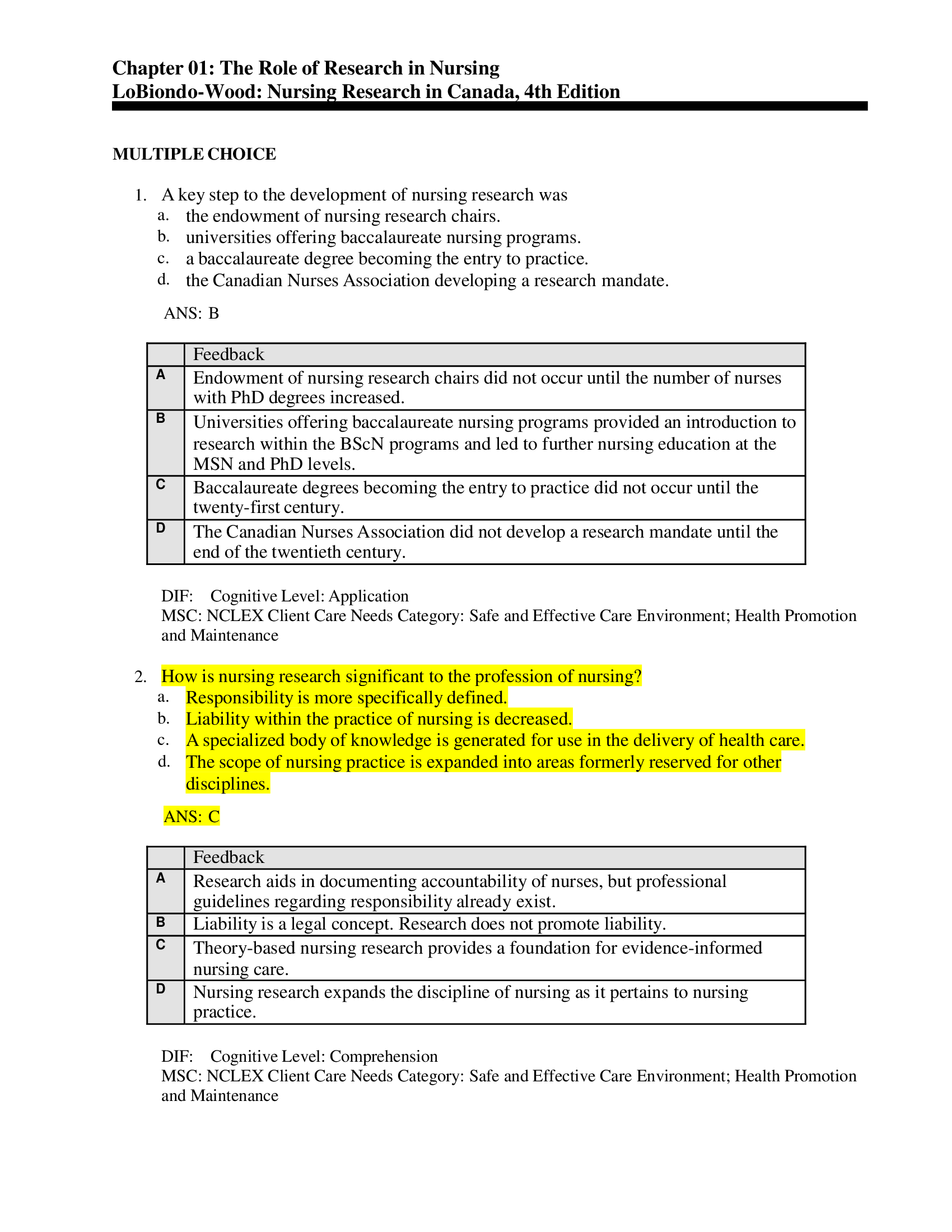
  • VERIFIED TEST BANK FOR NURSING RESEARCH IN CANADA, 4TH EDITION 2023,2024 by Mina Singh, RN, RP, BSc, BScN MEd, PhD, I-FCNEI, Cherylyn Cameron, RN, PhD, Geri LoBiondo-Wood, PhD, RN, FAAN and Judith Haber, PhD, RN, FAAN

VERIFIED TEST BANK FOR NURSING RESEARCH IN CANADA, 4TH EDITION 2023,2024 by Mina Singh, RN, RP, BSc, BScN MEd, PhD, I-FCNEI, Cherylyn Cameron, RN, PhD, Geri LoBiondo-Wood, PhD, RN, FAAN and Judith Haber, PhD, RN, FAAN

Preview page 1 Preview page 2 Preview page 3
Add To Favorites

Share this item Share this item

  • Item Details
  • Comments (0)
  • Reviews (0)
  • Contact Seller
TEST BANK FOR NURSING RESEARCH IN CANADA, 4TH EDITION by Mina Singh, RN, RP, BSc, BScN MEd, PhD, I-FCNEI, Cherylyn Cameron, RN, PhD, Geri LoBiondo-Wood, PhD, RN, FAAN and Judith Haber, PhD, RN, FAAN TABLE OF CONTENT PartI: Research Overview Research Vignette: A Program of Research in Transcultural Nursing 1. The Role of Research in Nursing 2. Theoretical Framework 3. Critical Reading Strategies: Overview of the Research Process 4. Developing Research Questions, Hypotheses, and Clinical Questions 5. Finding and Appraising the Literature 6. Legal and Ethical Issues PartII: Qualitative Research Research Vignette: Creating Qualitatively Derived Knowledge for a Practice Discipline 7. Introduction to Qualitative Research 8. Qualitative Approaches to Research PartIII: Quantitative Research Research Vignette: Tackling the Prevention of Falls Among Older Adults 9. Introduction to Quantitative Research 10. Experimental and Quasiexperimental Designs 11. Non-experimental Designs PartIV: Processes Related to Research Research Vignette: Partnering with parents to reduce newborn pain - evidence and implementation 12. Sampling 13. Data Collection Methods 14. Rigour in Research 15. Qualitative Data Analysis 16. Quantitative Data Analysis 17. Presenting the Findings Part V: Critiquing Research Research Vignette: A Program of Research 18. Critiquing Qualitative Research 19. Critiquing Quantitative Research Part VI: Application of Research: Evidence-Informed Practice Research Vignette: From my Ph.D. to her Post-Doctoral studies: Building a Survivorship Cancer Care Program 20. Developing an Evidence-Informed Practice Research Vignette: Social Support Needs of Older Adults

Contact the Seller

Please Sign In to contact this seller.


  • 👎  Report Copyright Violation

Frequently Asked Questions

What Do I Get When I Buy This Study Material?

+

When you buy a study material on Passing Grades, an instant download link will be sent directly to your email, giving you access to the file anytime after payment is completed.

Is Passing Grades a Trusted Platform?

+

Yes, Passing Grades is a reputable students’ marketplace with a secure payment system and reliable customer support. You can trust us to ensure a safe and seamless transaction experience.

Will I Be Stuck with a Subscription?

+

No, all purchases on Passing Grades are one-time transactions. You only pay for the notes you choose to buy, with no subscriptions or hidden fees attached.

Who Am I Buying These Study Materials From?

+

Passing Grades is a marketplace, which means you are purchasing the document from an individual vendor, not directly from us. We facilitate the payment and delivery process between you and the vendor.

Does Passing Grades Offer Free Study Materials?

+

Yes, sellers on Passing Grades have uploaded numerous free test banks, exams, practice questions, and class notes that can be downloaded at no cost.

Pasinggrades - Quality Study Materials

USD 26

    • Quality checked by Pasing Grades
    • 100% satisfaction guarantee
    • Seller: DYNAMICSCORES254
Buy PDF $26

Seller Information

DYNAMICSCORES254

Member since January 2024

  • icon
  • icon
View Profile
  • total sales

    0
  • Favourites

    0
  • Comments

    0
    ( 0 Ratings )

Item Information

  • Uploaded

    21 January 2024

  • Updated

    17 October 2025

  • Category

    No category

  • Item Type

    exam

  • Tags

    TEST BANK FOR NURSING RESEARCH IN CANADA 4TH EDITION by Mina Singh RN RP BSc BScN MEd PhD I FCNEI Cherylyn Cameron RN PhD Geri LoBiondo Wood PhD RN FAAN and Judith Haber PhD RN FAAN TABLE OF CONTENT PartI: Research Overview Research Vignette: A Program of Research in Transcultural Nursing 1. The Role of Research in Nursing 2. Theoretical Framework 3. Critical Reading Strategies: Overview of the Research Process 4. Developing Research Questions Hypotheses and Clinical Questions 5. Finding and Appraising the Literature 6. Legal and Ethical Issues PartII: Qualitative Research Research Vignette: Creating Qualitatively Derived Knowledge for a Practice Discipline 7. Introduction to Qualitative Research 8. Qualitative Approaches to Research PartIII: Quantitative Research Research Vignette: Tackling the Prevention of Falls Among Older Adults 9. Introduction to Quantitative Research 10. Experimental and Quasiexperimental Designs 11. Non experimental Designs PartIV: Processes Related to Research Research Vignette: Partnering with parents to reduce newborn pain evidence and implementation 12. Sampling 13. Data Collection Methods 14. Rigour in Research 15. Qualitative Data Analysis 16. Quantitative Data Analysis 17. Presenting the Findings Part V: Critiquing Research Research Vignette: A Program of Research 18. Critiquing Qualitative Research 19. Critiquing Quantitative Research Part VI: Application of Research: Evidence Informed Practice Research Vignette: From my Ph.D. to her Post Doctoral studies: Building a Survivorship Cancer Care Program 20. Developing an Evidence Informed Practice Research Vignette: Social Support Needs of Older Adults

Related Exam Prep Guides by DYNAMICSCORES254

BASI Pilates: Mat Work Theory - Module 1 & 2 100 Percent  VERIFIED ANSWERS  2024, 2026
View Document

BASI Pilates: Mat Wo...

  • DYNAMICSCORES254

    DYNAMICSCORES254

  • exam

Explore 100% verified answers for BASI Pilates: Mat Work Theory. Discover Joseph Pilates' principles...

26 USD

0

0

best review for TMU Practice 2024, 2026  EXAM GUIDE VERIFIED  ANSWERS
View Document

best review for TMU ...

  • DYNAMICSCORES254

    DYNAMICSCORES254

  • exam

best review for TMU Practice 2024, 2025 EXAM GUIDE VERIFIED ANSWERS – Download PDF...

26 USD

0

0

CNA Practice exam 4 100 Percent  VERIFIED ANSWERS  2024, 2026
View Document

CNA Practice exam 4 ...

  • DYNAMICSCORES254

    DYNAMICSCORES254

  • exam

CNA Practice exam 4 100 Percent VERIFIED ANSWERS 2024, 2025 – Download PDF...

26 USD

0

0

Purchase

Download link will be sent to this email immediately after purchase.

IMPORTANT LINKS

  • How To Upload Class Notes
  • Selling Tips
  • Passing Grades's Study Materials
  • Scholarships for International Students 2026

POPULAR CATEGORIES

  • Law
  • Accounting
  • English
  • Psychology
  • Business
  • Nursing
  • Computer Science
  • General

View Document

  • Blog
  • Contact
  • Delivery Policy
  • Latest Scholarships Around the World
  • How to Pass Bar Exams: Passing Grades’ Strategies
  • How to Study and Pass the CPA Exam
  • All Test Banks
  • Faq
  • Copyright Claims
  • Privacy Policy
  • Terms of Use

KNOWLEDGE BASE

  • How to Write A+ Grade Good Research Paper
  • How to Manage Stress During Exam Period
  • Best Time to Study
  • How to Pass NCLEX-RN Exam
  • How To Effectively Utilize Test Banks
  • Popular Shadow Health Exam Assessments
  • Popular HESI Case Studies
  • How to Prepare for a Nursing Career
  • The Importance Of Summaries in Exam Revisvion

© 2026 Pasing Grades. All rights reserved.