Pasing Grades
  • Start Selling
  • Blog
  • Contact
  • 0

    Your cart is empty!

English

  • English
  • Spanish
  • Arabic
Create Account Sign In
  • Library
    • New Prep Guides
    • Featured Prep Guides
    • Free Exam Prep Guides
    • Best sellers
  • General
  • Nursing
    • Research Paper
    • Case Study
    • Discussion Post
    • Assignment
    • Exam
    • Practice Questions and Answers
    • Test Bank
    • solutions manual
    • study guide
  • Accounting
    • Case Study
    • Thesis
    • Study Guide
    • Summary
    • Research Paper
    • test bank
  • English
    • Creative Writing
    • Research Paper
    • Summary
    • Rhetorics
    • Literature
    • Journal
    • Exam
    • Grammar
    • Discussion Post
    • Essay
  • Psychology
    • Hesi
    • Presentation
    • Essay
    • Summary
    • Study Guide
    • Essay
    • Solution Manual
    • Final Exam Review
    • Class Notes
    • test bank
  • Business
    • Lecture Notes
    • Solution Manual
    • Presentation
    • Business Plan
    • Class Notes
    • Experiment
    • Summary
    • Practice Questions
    • Study Guide
    • Case Study
    • test bank
    • Exam
  • More
    • Computer Science
    • Economics
    • Statistics
    • Engineering
    • Biology
    • Religious Studies
    • Physics
    • Chemistry
    • Mathematics
    • History
    • Sociology
    • Science
    • Philosophy
    • Law
  • Pages
    • About Us
    • Selling Tips
    • Delivery Policy
    • Faq
    • Privacy Policy
  • Flash Sale
  • Home
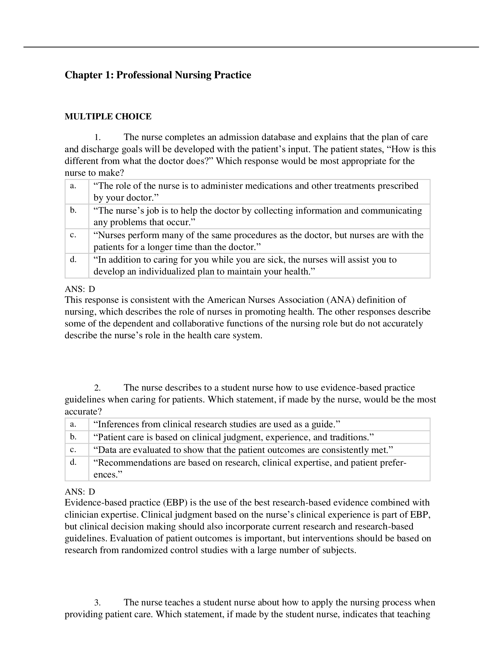
  • Test Bank for Brunner and Suddarth's Textbook of Medical-Surgical Nursing, 16th Edition

Test Bank for Brunner and Suddarth's Textbook of Medical-Surgical Nursing, 16th Edition

Preview page 1 Preview page 2 Preview page 3
Add To Favorites

Share this item Share this item

  • Item Details
  • Comments (0)
  • Reviews (2)
  • Contact Seller

Brunner & Suddarth Medical-Surgical Nursing Test Bank (16th Edition) with Detailed Rationales

Complete Chapter-by-Chapter Test Bank Questions with Answers and Detailed Rationales

Prepare confidently for medical-surgical nursing exams, NCLEX-style questions, ATI, and HESI assessments with this comprehensive Test Bank for Brunner & Suddarth’s Textbook of Medical-Surgical Nursing. This particular test bank is designed to align precisely with the 16th edition’s streamlined, nursing-centered approach.

Many student have found this test bank to be a very valuable study material especially when prepping for exams.

Why This Brunner & Suddarth Test Bank Works

The 16th edition of Brunner & Suddarth textbook focuses on essential nursing competencies, critical thinking, and real-world application. Subsequently, its test bank mirrors that structure by emphasizing high-yield topics, realistic patient-care scenarios, and exam-relevant content mainly through real exam-styled questions and answers, medical surgical case studies and many more.

Each question within this test bank is crafted to reinforce nursing priorities, safety, and evidence-based practice, making it ideal for both coursework exams and licensure preparation.

What’s Included in this Test Bank

  • Complete coverage of all chapters (Chapters 1–69)
  • NCLEX-style multiple-choice questions aligned to Med-Surg exam formats
  • Detailed rationales for correct and incorrect answers to strengthen understanding
  • Focus on commonly tested medical-surgical concepts, not low-yield content
  • Organized by unit and chapter for targeted or cumulative study

From fluid and electrolyte balance, shock, and sepsis to cardiovascular, respiratory, neurologic, endocrine, renal, and emergency nursing, this test bank supports mastery across the full scope of adult health nursing.

Best Brunner Test Bank Built for How Nursing Students Actually Study

Many students struggle in medical-surgical nursing not because they don’t read but because they don’t practice applying concepts under exam conditions. Based on feedback from the PasingGrades student community, this medical-surgical nursing test bank helps bridge that gap by

  • Reinforcing clinical reasoning and prioritization
  • Highlighting common exam traps and distractors
  • Supporting active recall and repeated practice

Who This Test Bank Is For

  • Nursing students using Brunner & Suddarth’s Medical-Surgical Nursing, 16th Edition
  • Students preparing for NCLEX, ATI, or HESI Med-Surg exams
  • Tutors and instructors seeking reliable Med-Surg practice questions
  • Repeat test-takers looking to improve scores through structured practice

Study with Confidence

Trusted for decades, Brunner & Suddarth remains the gold standard in medical-surgical nursing education. This 16th Edition test bank complements that legacy by giving you the practice, feedback, and confidence needed to succeed both in the classroom and on exam day.

Start practicing today and strengthen your medical-surgical nursing foundation with confidence.

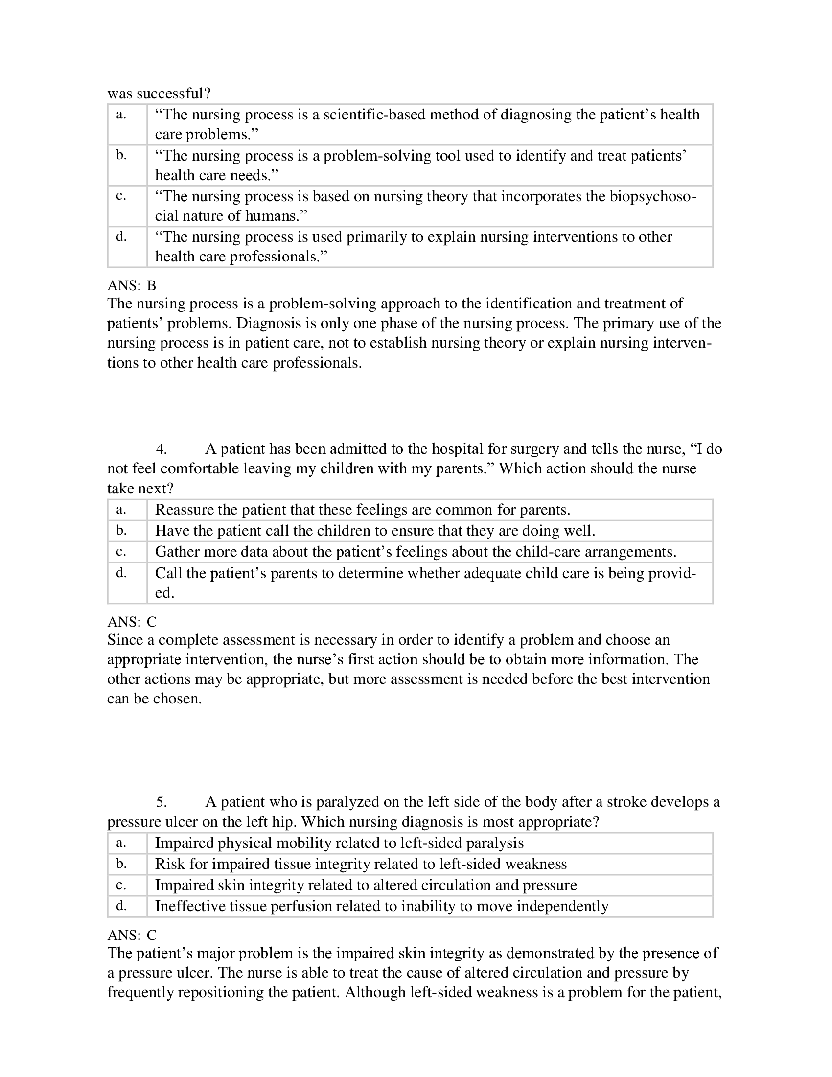
Sample Brunner & Suddarth's Questions and Answers

Chapter 3 Health Education and Health Promotion

10. In your role as a school nurse, you are working with a female high school junior whose BMI is 31. When planning this girl's care, you should identify what goal?

A) Continuation of current diet and activity level B) Increase in exercise and reduction in calorie intake C) Possible referral to an eating disorder clinic D) Increase in daily calorie intake

Ans: B

Feedback:

A BMI of 31 is considered clinically obese; dietary and exercise modifications would be indicated. People who have a BMI lower than 24 (or who are 80% or less of their desirable body weight for height) are at increased risk for problems associated with poor nutritional status. Those who have a BMI of 25 to 29.9 are considered overweight; those with a BMI of 30 or greater are considered to be obese.

11.During your integumentary assessment of an adult female patient, you note that the patient has dry, dull, brittle hair and dry, flaky skin with poor turgor. When planning this patient's nursing care, you should prioritize interventions that address what problem?

A) Inadequate physical activity B) Ineffective personal hygiene C) Deficient nutritional status D) Exposure to environmental toxins

Ans: C

Feedback:

Signs of poor nutrition include dry, dull, brittle hair and dry, flaky skin with poor turgor. These findings do not indicate a lack of physical activity, poor personal hygiene, or damage from an environmental cause.

12. A home care nurse is teaching meal-planning to a patient's son who is caring for his mother during her recovery from hip replacement surgery. Which of the following meals indicates that the son understands the concept of nutrition, based on the U.S. Department of Agriculture's MyPlate?

A) Cheeseburger, carrot sticks, and mushroom soup with whole wheat crackers B) Spaghetti and meat sauce with garlic bread and a salad C) Chicken and pepper stir fry on a bed of rice D) Ham sandwich with tomato on rye bread with peaches and yogurt

Ans: D

Feedback:

This menu has a choice from each of the food groups identified in MyPlate: grains, vegetables, fruits, dairy, and protein. The other selections are incomplete choices.

13. You are assessing an 80-year-old patient who has presented because of an unintended weight loss of 10 pounds over the past 8 weeks. During the assessment, you learn that the patient has ill-fitting dentures and a limited intake of high-fiber foods. You would be aware that the patient is at risk for what problem?

A) Constipation B) Deficient fluid volume C) Malabsorption of nutrients D) Excessive intake of convenience foods

Ans: A

Feedback:

Patients with ill-fitting dentures are at a potential risk for an inadequate intake of high- fiber foods. The elderly are already at an increased risk for constipation because of other developmental factors and the potential for a decreased activity level. Ill-fitting dentures do not put a patient at risk for dehydration, malabsorption of nutrients, or a reliance on convenience foods.

14.You are teaching a nutrition education class that is being held for a group of older adults at a senior center. When planning your teaching, you should be aware that individuals at this point in the lifespan have which of the following?

A) A decreased need for calcium B) An increased need for glucose C) An increased need for sodium D) A decreased need for calories

Ans: D

Feedback

The older adult has a decreased metabolism, and absorption of nutrients has decreased.

The older adult has an increased need for sound nutrition but a decreased need for calories. The other options are incorrect because there is no decreased need for calcium and no increased need for either glucose or sodium.

15. You are the emergency department nurse obtaining a health history from a patient who has earlier told the triage nurse that she is experiencing intermittent abdominal pain. What question should you ask to elicit the probable reason for the visit and identify her chief complaint?

A) Why do you think your abdomen is painful?

B) Where exactly is your abdominal pain and when did it start?

C) What brings you to the hospital today?

D) What is wrong with you today?

Ans: C

Feedback:

The chief complaint should clearly address what has brought the patient to see the health care provider; an open-ended question best serves this purpose. The question What brings you to the hospital? allows the patient sufficient latitude to provide an answer that expresses the priority issue. Focusing solely on abdominal pain would be too specific to serve as the first question regarding the chief complaint. Asking, What is wrong with you today? is an open-ended question but still directs the patient toward the fact that there is a problem.

16.You are the nurse caring for a patient who is Native American who arrives at the clinic for treatment related to type 2 diabetes. Which question would best provide you with information about the role of food in the patient's cultural practices and identify how the patient's food preferences could be related to his problem?

A) Do you feel any of your cultural practices have a negative impact on your disease process? B) What types of foods are served as a part of your cultural practices, and how are they prepared? C) As a nonnative, I am unaware of your cultural practices. Could you teach me a few practices that may affect your care? D) Tell me about foods that are important in your culture and how you feel they influence your diabetes

Ans: D

Feedback:

The beliefs and practices that have been shared from generation to generation are known as cultural or ethnic patterns. Food plays a significant role in both cultural practices and type 2 diabetes. By asking the question, Tell me about the foods that are important in your culture and how you feel they influence your diabetes, the nurse demonstrates a cultural awareness to the client and allows an open-ended discussion of the disease process and its relationship to cultural practice. An overemphasis on negatives can inhibit assessment and communication. Assessing the types and preparation of foods specific to cultural practices without relating it to diabetes is inadequate. The question, As a nonnative, I am unaware of yourculturalpractices.Could you teach me a few practices that may affect your care? focuses oncareand failstoaddress the significance of food in cultural practice or diabetes.

  • jloucks13

    jloucks13

    07 January 2026 06:10:21
    Complete

    Has all chapters, I recommend!

  • nmuchotrigo

    nmuchotrigo

    23 August 2025 14:35:00
    Usefulness

    good test bank

Contact the Seller

Please Sign In to contact this seller.


  • 👎  Report Copyright Violation

Frequently Asked Questions

What Do I Get When I Buy This Study Material?

+

When you buy a study material on Passing Grades, an instant download link will be sent directly to your email, giving you access to the file anytime after payment is completed.

Is Passing Grades a Trusted Platform?

+

Yes, Passing Grades is a reputable students’ marketplace with a secure payment system and reliable customer support. You can trust us to ensure a safe and seamless transaction experience.

Will I Be Stuck with a Subscription?

+

No, all purchases on Passing Grades are one-time transactions. You only pay for the notes you choose to buy, with no subscriptions or hidden fees attached.

Who Am I Buying These Study Materials From?

+

Passing Grades is a marketplace, which means you are purchasing the document from an individual vendor, not directly from us. We facilitate the payment and delivery process between you and the vendor.

Does Passing Grades Offer Free Study Materials?

+

Yes, sellers on Passing Grades have uploaded numerous free test banks, exams, practice questions, and class notes that can be downloaded at no cost.

Pasinggrades - Quality Study Materials

USD 15

    • Quality checked by Pasing Grades
    • 100% satisfaction guarantee
    • Seller: mentor2000
Buy PDF $15

Seller Information

mentor2000

Member since April 2021

  • icon
  • icon
View Profile
  • total sales

    126
  • Favourites

    0
  • Comments

    0
    ( 2 Ratings )

Item Information

  • Uploaded

    05 August 2024

  • Updated

    06 January 2026

  • Category

    Nursing

  • Item Type

    test bank

  • Tags

    test bank brunner and suddarth medical surgical nursing

Related Exam Prep Guides by mentor2000

Test Bank for Essentials for Nursing Practice 8th Edition by Potter | All Chapters
View Document

Test Bank for Essent...

  • mentor2000

    mentor2000

  • test bank

Master nursing concepts with this study material; Test Bank for Essentials for Nursing Practice, 8th...

15 USD

0

126

A &P 1 MA278 BSC2 Final Module II Questions & Answers 2026 Update
View Document

A &P 1 MA278 BSC2 Fi...

  • mentor2000

    mentor2000

  • test bank

Prepare for success with A&P 1 MA278 BSC2 Final Module II 2024 Q&A. Boost your grades with this comp...

15 USD

0

126

ATI Comprehensive Predictor Exam 2026
View Document

ATI Comprehensive Pr...

  • mentor2000

    mentor2000

  • test bank

Prepare for success with the ATI Comprehensive Predictor Exam 2026. Access key practice questions to...

15 USD

0

126

Purchase

Download link will be sent to this email immediately after purchase.

IMPORTANT LINKS

  • How To Upload Class Notes
  • Selling Tips
  • Passing Grades's Study Materials
  • Scholarships for International Students 2026

POPULAR CATEGORIES

  • Law
  • Accounting
  • English
  • Psychology
  • Business
  • Nursing
  • Computer Science
  • General

View Document

  • Blog
  • Contact
  • Delivery Policy
  • Latest Scholarships Around the World
  • How to Pass Bar Exams: Passing Grades’ Strategies
  • How to Study and Pass the CPA Exam
  • All Test Banks
  • Faq
  • Copyright Claims
  • Privacy Policy
  • Terms of Use

KNOWLEDGE BASE

  • How to Write A+ Grade Good Research Paper
  • How to Manage Stress During Exam Period
  • Best Time to Study
  • How to Pass NCLEX-RN Exam
  • How To Effectively Utilize Test Banks
  • Popular Shadow Health Exam Assessments
  • Popular HESI Case Studies
  • How to Prepare for a Nursing Career
  • The Importance Of Summaries in Exam Revisvion

© 2026 Pasing Grades. All rights reserved.