Pasing Grades
  • Start Selling
  • Blog
  • Contact
  • 0

    Your cart is empty!

English

  • English
  • Spanish
  • Arabic
Create Account Sign In
  • Library
    • New Prep Guides
    • Featured Prep Guides
    • Free Exam Prep Guides
    • Best sellers
  • General
  • Nursing
    • Research Paper
    • Case Study
    • Discussion Post
    • Assignment
    • Exam
    • Practice Questions and Answers
    • Test Bank
    • solutions manual
    • study guide
  • Accounting
    • Case Study
    • Thesis
    • Study Guide
    • Summary
    • Research Paper
    • test bank
  • English
    • Creative Writing
    • Research Paper
    • Summary
    • Rhetorics
    • Literature
    • Journal
    • Exam
    • Grammar
    • Discussion Post
    • Essay
  • Psychology
    • Hesi
    • Presentation
    • Essay
    • Summary
    • Study Guide
    • Essay
    • Solution Manual
    • Final Exam Review
    • Class Notes
    • test bank
  • Business
    • Lecture Notes
    • Solution Manual
    • Presentation
    • Business Plan
    • Class Notes
    • Experiment
    • Summary
    • Practice Questions
    • Study Guide
    • Case Study
    • test bank
    • Exam
  • More
    • Computer Science
    • Economics
    • Statistics
    • Engineering
    • Biology
    • Religious Studies
    • Physics
    • Chemistry
    • Mathematics
    • History
    • Sociology
    • Science
    • Philosophy
    • Law
  • Pages
    • About Us
    • Selling Tips
    • Delivery Policy
    • Faq
    • Privacy Policy
  • Flash Sale
  • Home
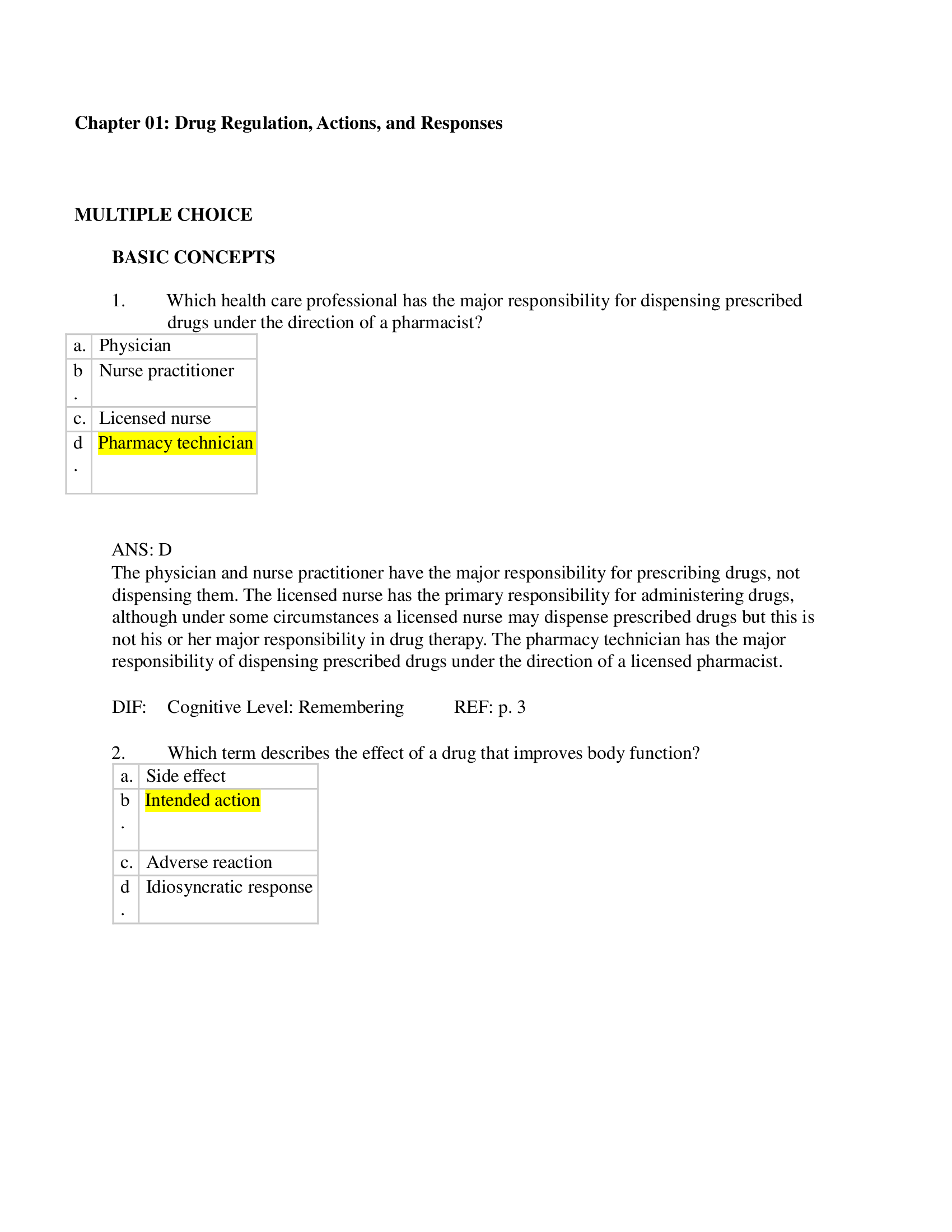
  • Test Bank for Understanding Pharmacology, Essentials for Medication Safety, 3rd Edition by Linda Workman and Linda A. LaCharity

Test Bank for Understanding Pharmacology, Essentials for Medication Safety, 3rd Edition by Linda Workman and Linda A. LaCharity

Preview page 1 Preview page 2 Preview page 3
Add To Favorites

Share this item Share this item

  • Item Details
  • Comments (0)
  • Reviews (0)
  • Contact Seller

Test Bank for Understanding Pharmacology, Essentials for Medication Safety, 3rd Edition by M. Linda Whats included in this test bank UNIT I GENERAL ASPECTS OF PHARMACOLOGY 1 Drug Therapy: Roles, Regulations, Actions,and Responses 2 Safely Preparing and Giving Drugs UNIT II MATHEMATICS FOR PHARMACOLOGY AND DOSAGE CALCULATION 3 Mathematics Review and Introduction to Dosage Calculations 4 Medical Systems of Weights and Measures 5 Dosage Calculation of Intravenous Solutions and Drugs UNIT III PHARMACOLOGY FOR MULTISYSTEM APPLICATION 6 Antiinfectives: Antibacterial Drugs 7 Antiinfectives: Antiviral Drugs 8 Antiinfectives: Antitubercular and Antifungal Drugs 9 Drugs for Pain Control, Migraines, and Skeletal Muscle Spasms 10 General Antiinflammatory Drugs 11 Immunizations and Immunosuppressant Drugs UNIT IV DRUG THERAPY FOR PROBLEMS OF THE CIRCULATORY AND CARDIAC SYSTEMS 12 Drugs That Affect Urine Output 13 Drug Therapy for Hypertension 14 Drug Therapy for Heart Failure 15 Drug Therapy for Dysrhythmias 16 Drug Therapy for High Blood Lipids 17 Drugs That Affect Blood Clotting UNIT V DRUG THERAPY FOR RESPIRATORY SYSTEM PROBLEMS 18 Drug Therapy for Asthma and Other Respiratory Problems UNIT VI DRUG THERAPY FOR GASTROINTESTINAL SYSTEM PROBLEMS 19 Drug Therapy for Gastrointestinal Problems 20 Drug Therapy for Gastric Ulcers, Reflux, and Inflammatory Bowel Disease UNIT VII DRUG THERAPY FOR ENDOCRINE PROBLEMS 21 Drug Therapy for Diabetes 22 Drug Therapy for Thyroid and Adrenal Gland Problems UNIT VIII DRUG THERAPY FOR NERVOUS SYSTEM PROBLEMS 23 Drug Therapy for Seizures 24 Drug Therapy for Alzheimer’s and Parkinson’s Diseases 25 Drug Therapy for Psychiatric Problems 26 Drug Therapy for Insomnia 27 Drug Therapy for Eye Problems UNIT IX DRUG THERAPY FOR PROBLEMS OF THE REPRODUCTIVE SYSTEM 28 Drug Therapy for Male Reproductive Problems 29 Drug Therapy for Female Reproductive Problems

Contact the Seller

Please Sign In to contact this seller.


  • 👎  Report Copyright Violation

Frequently Asked Questions

What Do I Get When I Buy This Study Material?

+

When you buy a study material on Passing Grades, an instant download link will be sent directly to your email, giving you access to the file anytime after payment is completed.

Is Passing Grades a Trusted Platform?

+

Yes, Passing Grades is a reputable students’ marketplace with a secure payment system and reliable customer support. You can trust us to ensure a safe and seamless transaction experience.

Will I Be Stuck with a Subscription?

+

No, all purchases on Passing Grades are one-time transactions. You only pay for the notes you choose to buy, with no subscriptions or hidden fees attached.

Who Am I Buying These Study Materials From?

+

Passing Grades is a marketplace, which means you are purchasing the document from an individual vendor, not directly from us. We facilitate the payment and delivery process between you and the vendor.

Does Passing Grades Offer Free Study Materials?

+

Yes, sellers on Passing Grades have uploaded numerous free test banks, exams, practice questions, and class notes that can be downloaded at no cost.

Pasinggrades - Quality Study Materials

USD 15

    • Quality checked by Pasing Grades
    • 100% satisfaction guarantee
    • Seller: wangeci
Buy PDF $15

Seller Information

wangeci

Member since March 2023

  • icon
View Profile
  • total sales

    0
  • Favourites

    0
  • Comments

    0
    ( 0 Ratings )

Item Information

  • Uploaded

    20 January 2025

  • Updated

    01 October 2025

  • Category

    Accounting

  • Item Type

    test bank

  • Tags

    Test Bank for Understanding Pharmacology Essentials for Medication Safety 3rd Edition Linda Workman and Linda A. LaCharity pharmacology test bank

Related Exam Prep Guides by wangeci

NURS 6521 Midterm Exam (Walden University) 2023
View Document

NURS 6521 Midterm Ex...

  • wangeci

    wangeci

  • test bank

NURS 6521 Midterm Exam (Walden University) 2023...

15 USD

0

0

NURS 6521 Pharmacy Final Exam 2023
View Document

NURS 6521 Pharmacy F...

  • wangeci

    wangeci

  • test bank

NURS 6521 Pharmacy Final Exam 2023...

15 USD

0

0

NURS 6521 Pharmacy Midterm Exam Questions with Answers 2026
View Document

NURS 6521 Pharmacy M...

  • wangeci

    wangeci

  • test bank

NURS 6521 Pharmacy Midterm Exam Questions with Answers 2025...

15 USD

0

0

Purchase

Download link will be sent to this email immediately after purchase.

IMPORTANT LINKS

  • How To Upload Class Notes
  • Selling Tips
  • Passing Grades's Study Materials
  • Scholarships for International Students 2026

POPULAR CATEGORIES

  • Law
  • Accounting
  • English
  • Psychology
  • Business
  • Nursing
  • Computer Science
  • General

View Document

  • Blog
  • Contact
  • Delivery Policy
  • Latest Scholarships Around the World
  • How to Pass Bar Exams: Passing Grades’ Strategies
  • How to Study and Pass the CPA Exam
  • All Test Banks
  • Faq
  • Copyright Claims
  • Privacy Policy
  • Terms of Use

KNOWLEDGE BASE

  • How to Write A+ Grade Good Research Paper
  • How to Manage Stress During Exam Period
  • Best Time to Study
  • How to Pass NCLEX-RN Exam
  • How To Effectively Utilize Test Banks
  • Popular Shadow Health Exam Assessments
  • Popular HESI Case Studies
  • How to Prepare for a Nursing Career
  • The Importance Of Summaries in Exam Revisvion

© 2026 Pasing Grades. All rights reserved.