Pasing Grades
  • Start Selling
  • Blog
  • Contact
  • 0

    Your cart is empty!

English

  • English
  • Spanish
  • Arabic
Create Account Sign In
  • Library
    • New Prep Guides
    • Featured Prep Guides
    • Free Exam Prep Guides
    • Best sellers
  • General
  • Nursing
    • Research Paper
    • Case Study
    • Discussion Post
    • Assignment
    • Exam
    • Practice Questions and Answers
    • Test Bank
    • solutions manual
    • study guide
  • Accounting
    • Case Study
    • Thesis
    • Study Guide
    • Summary
    • Research Paper
    • test bank
  • English
    • Creative Writing
    • Research Paper
    • Summary
    • Rhetorics
    • Literature
    • Journal
    • Exam
    • Grammar
    • Discussion Post
    • Essay
  • Psychology
    • Hesi
    • Presentation
    • Essay
    • Summary
    • Study Guide
    • Essay
    • Solution Manual
    • Final Exam Review
    • Class Notes
    • test bank
  • Business
    • Lecture Notes
    • Solution Manual
    • Presentation
    • Business Plan
    • Class Notes
    • Experiment
    • Summary
    • Practice Questions
    • Study Guide
    • Case Study
    • test bank
    • Exam
  • More
    • Computer Science
    • Economics
    • Statistics
    • Engineering
    • Biology
    • Religious Studies
    • Physics
    • Chemistry
    • Mathematics
    • History
    • Sociology
    • Science
    • Philosophy
    • Law
  • Pages
    • About Us
    • Selling Tips
    • Delivery Policy
    • Faq
    • Privacy Policy
  • Flash Sale
  • Home
  • Test Bank for C How to Program, 8th Edition, Paul J. Deitel

Test Bank for C How to Program, 8th Edition, Paul J. Deitel

Preview page 1 Preview page 2 Preview page 3
Add To Favorites

Share this item Share this item

  • Item Details
  • Comments (0)
  • Reviews (0)
  • Contact Seller
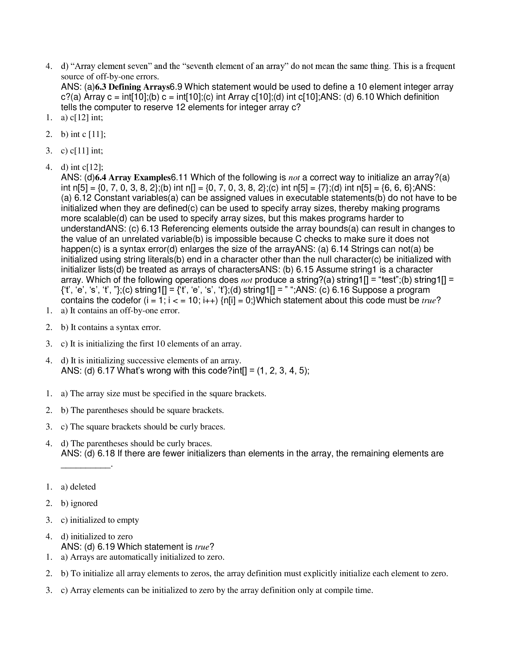
Test Bank for C How to Program, 8th Edition, Paul J. Deitel Chapter 66.1 Introduction 6.1 Arrays are data structures consisting of related data items of the same __________. 1. a) sort order 2. b) subscript 3. c) type 4. d) element ANS: (c) 6.2 Arrays and structures are __________ entities in that they remain the same size throughout program execution. 1. a) dynamic 2. b) automatic 3. c) register 4. d) static ANS: (d) 6.3 Lists, queues, stacks and trees are __________ data structures that may grow and shrink as programs execute. 1. a) flexible 2. b) automatic 3. c) dynamic 4. d) static ANS: (c)6.2 Arrays6.4 An array is not ________.(a) a consecutive group of memory locations(b) indexed by integers(c) pointer-based(d) a dynamic entityANS: (d) 6.5 Which of the following is false?(a) the first element of an array is the zeroth(b) the last element of an array is the array size – 1(c) the position number contained within square brackets is called a subscript(d) a subscript cannot be an expression.ANS: (d) 6.6 An array is a group of memory locations related by the fact that they all have __________ array name and __________ type. 1. a) different, different 2. b) same, different 3. c) different same 4. d) same, same ANS: (d) 6.7 The first element in every array is the __________ element. 1. a) null 2. b) 1 3. c) 0 4. d) empty ANS: (c) 6.8 Which statement is false? 1. a) The brackets used to enclose the subscript of an array are not an operator in C. 2. b) To refer to a particular element in an array, we specify the name of the array and the position number of the element in the array. 3. c) The position number within an array is more formally called a subscript.

Contact the Seller

Please Sign In to contact this seller.


  • 👎  Report Copyright Violation

Frequently Asked Questions

What Do I Get When I Buy This Study Material?

+

When you buy a study material on Passing Grades, an instant download link will be sent directly to your email, giving you access to the file anytime after payment is completed.

Is Passing Grades a Trusted Platform?

+

Yes, Passing Grades is a reputable students’ marketplace with a secure payment system and reliable customer support. You can trust us to ensure a safe and seamless transaction experience.

Will I Be Stuck with a Subscription?

+

No, all purchases on Passing Grades are one-time transactions. You only pay for the notes you choose to buy, with no subscriptions or hidden fees attached.

Who Am I Buying These Study Materials From?

+

Passing Grades is a marketplace, which means you are purchasing the document from an individual vendor, not directly from us. We facilitate the payment and delivery process between you and the vendor.

Does Passing Grades Offer Free Study Materials?

+

Yes, sellers on Passing Grades have uploaded numerous free test banks, exams, practice questions, and class notes that can be downloaded at no cost.

Pasinggrades - Quality Study Materials

USD 17

    • Quality checked by Pasing Grades
    • 100% satisfaction guarantee
    • Seller: tutorvalentine
Buy PDF $17

Seller Information

tutorvalentine

Member since October 2021

  • icon
  • icon
View Profile
  • total sales

    0
  • Favourites

    0
  • Comments

    0
    ( 0 Ratings )

Item Information

  • Uploaded

    24 December 2022

  • Updated

    01 October 2025

  • Category

    General

  • Item Type

    test bank

  • Tags

    Test Bank for C How to Program 8th Edition Paul J. Deitel

Related Exam Prep Guides by tutorvalentine

BIOLOGY 145 HESI Case Studies Medical Surgical-Traumatic Brain Injury (Jeff Dickson)
View Document

BIOLOGY 145 HESI Cas...

  • tutorvalentine

    tutorvalentine

  • test bank

BIOLOGY 145 HESI Case Studies Medical Surgical-Traumatic Brain Injury (Jeff Dickson)...

17 USD

0

0

BUSINESS 501 corporate communication Assessments 8-15
View Document

BUSINESS 501 corpora...

  • tutorvalentine

    tutorvalentine

  • test bank

BUSINESS 501 corporate communication Assessments 8-15...

17 USD

0

0

CS 31 Worksheet Week 4 Concepts While Loops, Do While Loops, String Traversal, Functions
View Document

CS 31 Worksheet Week...

  • tutorvalentine

    tutorvalentine

  • test bank

CS 31 Worksheet Week 4 Concepts While Loops, Do While Loops, String Traversal, Functions...

17 USD

0

0

Purchase

Download link will be sent to this email immediately after purchase.

IMPORTANT LINKS

  • How To Upload Class Notes
  • Selling Tips
  • Passing Grades's Study Materials
  • Scholarships for International Students 2026

POPULAR CATEGORIES

  • Law
  • Accounting
  • English
  • Psychology
  • Business
  • Nursing
  • Computer Science
  • General

View Document

  • Blog
  • Contact
  • Delivery Policy
  • Latest Scholarships Around the World
  • How to Pass Bar Exams: Passing Grades’ Strategies
  • How to Study and Pass the CPA Exam
  • All Test Banks
  • Faq
  • Copyright Claims
  • Privacy Policy
  • Terms of Use

KNOWLEDGE BASE

  • How to Write A+ Grade Good Research Paper
  • How to Manage Stress During Exam Period
  • Best Time to Study
  • How to Pass NCLEX-RN Exam
  • How To Effectively Utilize Test Banks
  • Popular Shadow Health Exam Assessments
  • Popular HESI Case Studies
  • How to Prepare for a Nursing Career
  • The Importance Of Summaries in Exam Revisvion

© 2026 Pasing Grades. All rights reserved.