Pasing Grades
  • Start Selling
  • Blog
  • Contact
  • 0

    Your cart is empty!

English

  • English
  • Spanish
  • Arabic
Create Account Sign In
  • Library
    • New Prep Guides
    • Featured Prep Guides
    • Free Exam Prep Guides
    • Best sellers
  • General
  • Nursing
    • Research Paper
    • Case Study
    • Discussion Post
    • Assignment
    • Exam
    • Practice Questions and Answers
    • Test Bank
    • solutions manual
    • study guide
  • Accounting
    • Case Study
    • Thesis
    • Study Guide
    • Summary
    • Research Paper
    • test bank
  • English
    • Creative Writing
    • Research Paper
    • Summary
    • Rhetorics
    • Literature
    • Journal
    • Exam
    • Grammar
    • Discussion Post
    • Essay
  • Psychology
    • Hesi
    • Presentation
    • Essay
    • Summary
    • Study Guide
    • Essay
    • Solution Manual
    • Final Exam Review
    • Class Notes
    • test bank
  • Business
    • Lecture Notes
    • Solution Manual
    • Presentation
    • Business Plan
    • Class Notes
    • Experiment
    • Summary
    • Practice Questions
    • Study Guide
    • Case Study
    • test bank
    • Exam
  • More
    • Computer Science
    • Economics
    • Statistics
    • Engineering
    • Biology
    • Religious Studies
    • Physics
    • Chemistry
    • Mathematics
    • History
    • Sociology
    • Science
    • Philosophy
    • Law
  • Pages
    • About Us
    • Selling Tips
    • Delivery Policy
    • Faq
    • Privacy Policy
  • Flash Sale
  • Home
  • Test Bank Psychiatric Mental Health Nursing 9th Edition By Videbeck (All Chapters)

Test Bank Psychiatric Mental Health Nursing 9th Edition By Videbeck (All Chapters)

Preview page 1 Preview page 2 Preview page 3
Add To Favorites

Share this item Share this item

  • Item Details
  • Comments (0)
  • Reviews (0)
  • Contact Seller

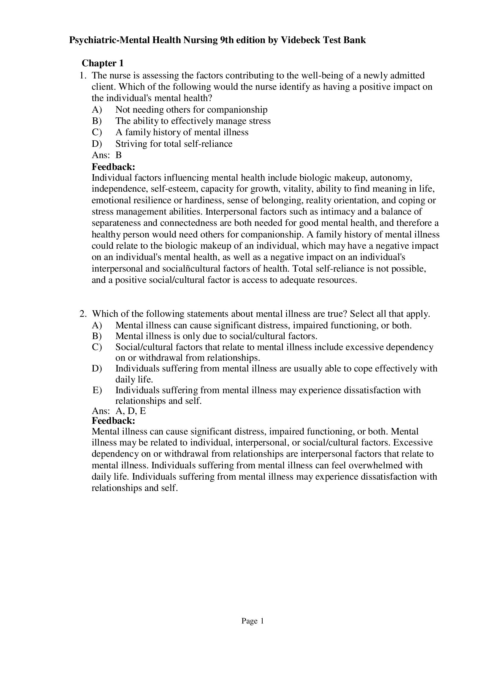
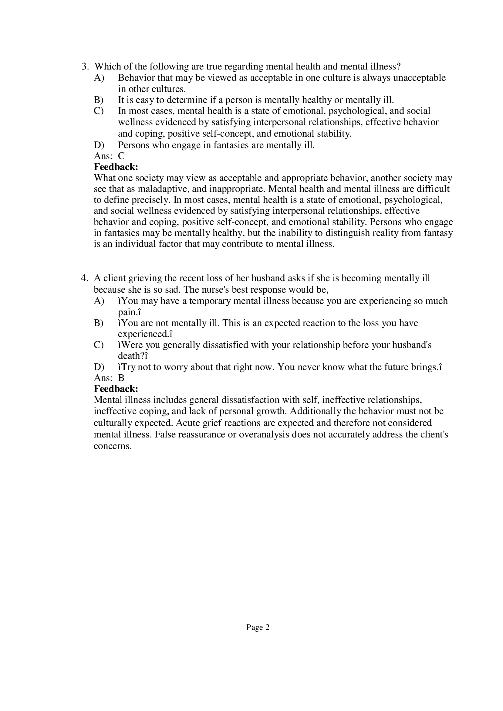
Test Bank Psychiatric Mental Health Nursing 9th Edition By Videbeck (All Chapters)/ TOC/ UNIT 1 Current Theories and Practice 1. Foundations of Psychiatric–Mental Health Nursing Introduction Mental Health and Mental Illness Diagnostic and Statistical Manual of Mental Disorders Historical Perspectives of the Treatment of Mental Illness Mental Illness in the 21st Century Psychiatric Nursing Practice Student Concerns 2. Neurobiologic Theories and Psychopharmacology Introduction The Nervous System and How It Works Brain Imaging Techniques Neurobiologic Causes of Mental Illness The Nurse’s Role in Research and Education Psychopharmacology 3. Psychosocial Theories and Therapy Introduction Psychosocial Theories Treatment Modalities The Nurse and Psychosocial Interventions 4. Treatment Settings and Therapeutic Programs Introduction Treatment Settings Psychiatric Rehabilitation and Recovery Clients with Complex Needs Interdisciplinary Team Psychosocial Nursing in Public Health and Home Care UNIT 2 Building the Nurse–Client Relationship 5. Therapeutic Relationships Introduction Components of a Therapeutic Relationship Types of Relationships Establishing the Therapeutic Relationship Avoiding Behaviors That Diminish the Therapeutic Relationship Roles of the Nurse in a Therapeutic Relationship 6. Therapeutic Communication Introduction What Is Therapeutic Communication? Social and Physical Distancing Verbal Communication Skills Nonverbal Communication Skills Understanding the Meaning of Communication Understanding Context Understanding Spirituality The Therapeutic Communication Session Assertive Communication Community-Based Care 7. Client’s Response to Illness Introduction Individual Factors Interpersonal Factors Cultural Factors Social Determinants Diversity 8. Assessment Introduction Factors Influencing Assessment How to Conduct the Interview Content of the Assessment Data Analysis UNIT 3 Current Social and Emotional Concerns 9. Legal and Ethical Issues Introduction Legal Considerations Ethical Issues 10. Grief and Loss Introduction Types of Losses The Grieving Process Dimensions of Grieving Disenfranchised Grief Complicated Grieving 11. Anger, Hostility, and Aggression Introduction Onset and Clinical Course Related Disorders Etiology Treatment Workplace Hostility Community-Based Care 12. Abuse and Violence Introduction Clinical Picture of Abuse and Violence Characteristics of Violent Families Intimate Partner Violence Child Abuse Elder Abuse Rape and Sexual Assault Community Violence UNIT 4 Nursing Practice for Psychiatric Disorders 13. Trauma and Stressor-Related Disorders Introduction Posttraumatic Stress Disorder Dissociative Disorders 14. Anxiety and Anxiety Disorders Introduction Anxiety as a Response to Stress Overview of Anxiety Disorders Incidence Onset and Clinical Course Related Disorders Etiology Treatment Community-Based Care Mental Health Promotion Panic Disorder Phobias Generalized Anxiety Disorder 15. Obsessive–Compulsive and Related Disorders Introduction Obsessive–Compulsive Disorder Community-Based Care 16. Schizophrenia Introduction Clinical Course Related Disorders Etiology Treatment Community-Based Care Mental Health Promotion 17. Mood Disorders and Suicide Introduction Categories of Mood Disorders Related Disorders Etiology Major Depressive Disorder Bipolar Disorder Suicide Community-Based Care Mental Health Promotion 18. Personality Disorders Introduction Personality Disorders Etiology Treatment Paranoid Personality Disorder Schizoid Personality Disorder Schizotypal Personality Disorder Antisocial Personality Disorder Borderline Personality Disorder Histrionic Personality Disorder Narcissistic Personality Disorder Avoidant Personality Disorder Dependent Personality Disorder Obsessive–Compulsive Personality Disorder Community-Based Care Mental Health Promotion 19. Addiction Introduction Types of Substance Abuse Onset and Clinical Course Related Disorders Etiology Types of Substances and Treatment Treatment and Prognosis Community-Based Care Mental Health Promotion Substance Use in Health Professionals 20. Eating Disorders Introduction Overview of Eating Disorders Categories of Eating Disorders Etiology Anorexia Nervosa Bulimia Nervosa Community-Based Care Mental Health Promotion 21. Somatic Symptom Illnesses Introduction Overview of Somatic Symptom Illnesses Etiology Treatment Community-Based Care Mental Health Promotion 22. Neurodevelopmental Disorders Introduction Autism Spectrum Disorder Attention-Deficit/Hyperactivity Disorder Mental Health Promotion 23. Disruptive Behavior Disorders Introduction Related Disorders Oppositional Defiant Disorder Intermittent Explosive Disorder Conduct Disorder Community-Based Care Mental Health Promotion 24. Cognitive Disorders Introduction Delirium Dementia Answers to Chapter Study Guides

Contact the Seller

Please Sign In to contact this seller.


  • 👎  Report Copyright Violation

Frequently Asked Questions

What Do I Get When I Buy This Study Material?

+

When you buy a study material on Passing Grades, an instant download link will be sent directly to your email, giving you access to the file anytime after payment is completed.

Is Passing Grades a Trusted Platform?

+

Yes, Passing Grades is a reputable students’ marketplace with a secure payment system and reliable customer support. You can trust us to ensure a safe and seamless transaction experience.

Will I Be Stuck with a Subscription?

+

No, all purchases on Passing Grades are one-time transactions. You only pay for the notes you choose to buy, with no subscriptions or hidden fees attached.

Who Am I Buying These Study Materials From?

+

Passing Grades is a marketplace, which means you are purchasing the document from an individual vendor, not directly from us. We facilitate the payment and delivery process between you and the vendor.

Does Passing Grades Offer Free Study Materials?

+

Yes, sellers on Passing Grades have uploaded numerous free test banks, exams, practice questions, and class notes that can be downloaded at no cost.

Pasinggrades - Quality Study Materials

USD 16

    • Quality checked by Pasing Grades
    • 100% satisfaction guarantee
    • Seller: mentor2000
Buy PDF $16

Seller Information

mentor2000

Member since April 2021

  • icon
  • icon
View Profile
  • total sales

    0
  • Favourites

    0
  • Comments

    0
    ( 0 Ratings )

Item Information

  • Uploaded

    23 August 2023

  • Updated

    21 May 2025

  • Category

    Nursing

  • Item Type

    test bank

  • Tags

    Test Bank Psychiatric Mental Health Nursing 9th Edition By Videbeck

Related Exam Prep Guides by mentor2000

Test Bank for Essentials for Nursing Practice 8th Edition by Potter | All Chapters
View Document

Test Bank for Essent...

  • mentor2000

    mentor2000

  • test bank

Master nursing concepts with this study material; Test Bank for Essentials for Nursing Practice, 8th...

16 USD

0

0

A &P 1 MA278 BSC2 Final Module II Questions & Answers 2026 Update
View Document

A &P 1 MA278 BSC2 Fi...

  • mentor2000

    mentor2000

  • test bank

Prepare for success with A&P 1 MA278 BSC2 Final Module II 2024 Q&A. Boost your grades with this comp...

16 USD

0

0

ATI Comprehensive Predictor Exam 2026
View Document

ATI Comprehensive Pr...

  • mentor2000

    mentor2000

  • test bank

Prepare for success with the ATI Comprehensive Predictor Exam 2026. Access key practice questions to...

16 USD

0

0

Purchase

Download link will be sent to this email immediately after purchase.

IMPORTANT LINKS

  • How To Upload Class Notes
  • Selling Tips
  • Passing Grades's Study Materials
  • Scholarships for International Students 2026

POPULAR CATEGORIES

  • Law
  • Accounting
  • English
  • Psychology
  • Business
  • Nursing
  • Computer Science
  • General

View Document

  • Blog
  • Contact
  • Delivery Policy
  • Latest Scholarships Around the World
  • How to Pass Bar Exams: Passing Grades’ Strategies
  • How to Study and Pass the CPA Exam
  • All Test Banks
  • Faq
  • Copyright Claims
  • Privacy Policy
  • Terms of Use

KNOWLEDGE BASE

  • How to Write A+ Grade Good Research Paper
  • How to Manage Stress During Exam Period
  • Best Time to Study
  • How to Pass NCLEX-RN Exam
  • How To Effectively Utilize Test Banks
  • Popular Shadow Health Exam Assessments
  • Popular HESI Case Studies
  • How to Prepare for a Nursing Career
  • The Importance Of Summaries in Exam Revisvion

© 2026 Pasing Grades. All rights reserved.