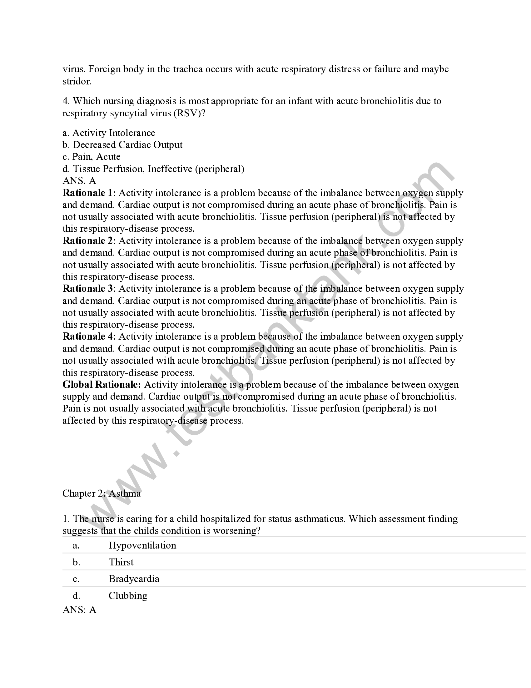
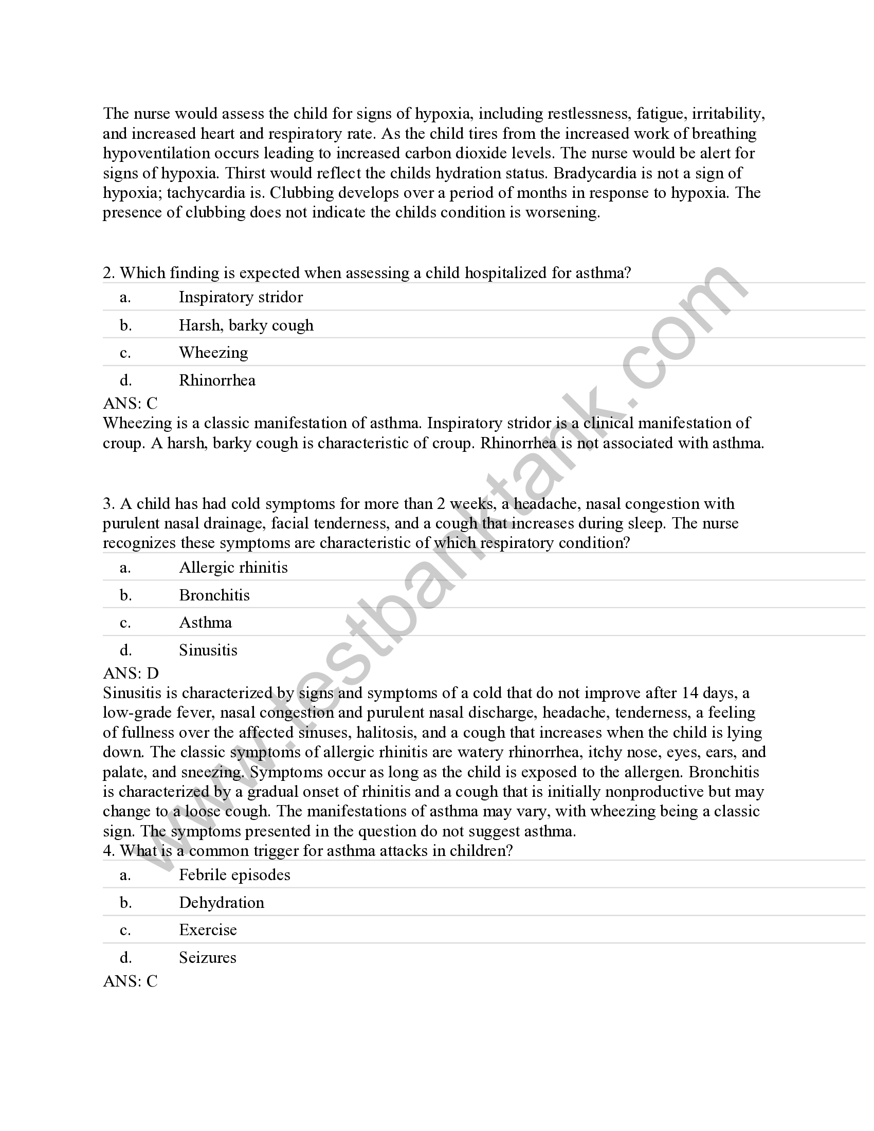
Pasing Grades
  • Start Selling
  • Blog
  • Contact
  • 0

    Your cart is empty!

English

  • English
  • Spanish
  • Arabic
Create Account Sign In
  • Library
    • New Prep Guides
    • Featured Prep Guides
    • Free Exam Prep Guides
    • Best sellers
  • General
  • Nursing
    • Research Paper
    • Case Study
    • Discussion Post
    • Assignment
    • Exam
    • Practice Questions and Answers
    • Test Bank
    • solutions manual
    • study guide
  • Accounting
    • Case Study
    • Thesis
    • Study Guide
    • Summary
    • Research Paper
    • test bank
  • English
    • Creative Writing
    • Research Paper
    • Summary
    • Rhetorics
    • Literature
    • Journal
    • Exam
    • Grammar
    • Discussion Post
    • Essay
  • Psychology
    • Hesi
    • Presentation
    • Essay
    • Summary
    • Study Guide
    • Essay
    • Solution Manual
    • Final Exam Review
    • Class Notes
    • test bank
  • Business
    • Lecture Notes
    • Solution Manual
    • Presentation
    • Business Plan
    • Class Notes
    • Experiment
    • Summary
    • Practice Questions
    • Study Guide
    • Case Study
    • test bank
    • Exam
  • More
    • Computer Science
    • Economics
    • Statistics
    • Engineering
    • Biology
    • Religious Studies
    • Physics
    • Chemistry
    • Mathematics
    • History
    • Sociology
    • Science
    • Philosophy
    • Law
  • Pages
    • About Us
    • Selling Tips
    • Delivery Policy
    • Faq
    • Privacy Policy
  • Flash Sale
  • Home
  • Pediatric Nursing A Case-Based Approach 1st Edition Tagher Knapp Test Bank

Pediatric Nursing A Case-Based Approach 1st Edition Tagher Knapp Test Bank

Preview page 1 Preview page 2 Preview page 3
Add To Favorites

Share this item Share this item

  • Item Details
  • Comments (0)
  • Reviews (0)
  • Contact Seller
Test Bank For Pediatric Nursing A Case-Based Approach 1st Edition Tagher Knapp SAMPLE Pediatric Nursing – A Case-Based Approach 1st Edition Tagher Knapp Test Bank Chapter 1: Bronchiolitis 1. Which intervention is appropriate for the infant hospitalized with bronchiolitis? a. Position on the side with neck slightly flexed. b. Administer antibiotics as ordered. c. Restrict oral and parenteral fluids if tachypneic. d. Give cool, humidified oxygen. ANS: D Cool, humidified oxygen is given to relieve dyspnea, hypoxemia, and insensible fluid loss from tachypnea. The infant should be positioned with the head and chest elevated at a 30- to 40-degree angle and the neck slightly extended to maintain an open airway and decrease pressure on the diaphragm. The etiology of bronchiolitis is viral. Antibiotics are given only if there is a secondary bacterial infection. Tachypnea increases insensible fluid loss. If the infant is tachypneic, fluids are given parenterally to prevent dehydration. 2. An infant with bronchiolitis is hospitalized. The causative organism is respiratory syncytial virus (RSV). The nurse knows that a child infected with this virus requires what type of isolation? a. Reverse isolation b. Airborne isolation c. Contact Precautions d. Standard Precautions ANS: C RSV is transmitted through droplets. In addition to Standard Precautions and hand washing, Contact Precautions are required. Caregivers must use gloves and gowns when entering the room. Care is taken not to touch their own eyes or mucous membranes with a contaminated gloved hand. Children are placed in a private room or in a room with other children with RSV infections. Reverse isolation focuses on keeping bacteria away from the infant. With RSV, other children need to be protected from exposure to the virus. The virus is not airborne. 3. A child has a chronic cough and diffuse wheezing during the expiratory phase of respiration. This suggests what condition? a. Asthma www.testbanktank.com b. Pneumonia c. Bronchiolitis d. Foreign body in trachea ANS: A Asthma may have these chronic signs and symptoms. Pneumonia appears with an acute onset, fever, and general malaise. Bronchiolitis is an acute condition caused by respiratory syncytial virus. Foreign body in the trachea occurs with acute respiratory distress or failure and maybe stridor. 4. Which nursing diagnosis is most appropriate for an infant with acute bronchiolitis due to respiratory syncytial virus (RSV)? a. Activity Intolerance b. Decreased Cardiac Output c. Pain, Acute d. Tissue Perfusion, Ineffective (peripheral) ANS. A Rationale 1: Activity intolerance is a problem because of the imbalance between oxygen supply and demand. Cardiac output is not compromised during an acute phase of bronchiolitis. Pain is not usually associated with acute bronchiolitis. Tissue perfusion (peripheral) is not affected by this respiratory-disease process. Rationale 2: Activity intolerance is a problem because of the imbalance between oxygen supply and demand. Cardiac output is not compromised during an acute phase of bronchiolitis. Pain is not usually associated with acute bronchiolitis. Tissue perfusion (peripheral) is not affected by this respiratory-disease process. Rationale 3: Activity intolerance is a problem because of the imbalance between oxygen supply and demand. Cardiac output is not compromised during an acute phase of bronchiolitis. Pain is not usually associated with acute bronchiolitis. Tissue perfusion (peripheral) is not affected by this respiratory-disease process. Rationale 4: Activity intolerance is a problem because of the imbalance between oxygen supply and demand. Cardiac output is not compromised during an acute phase of bronchiolitis. Pain is not usually associated with acute bronchiolitis. Tissue perfusion (peripheral) is not affected by this respiratory-disease process. Global Rationale: Activity intolerance is a problem because of the imbalance between oxygen supply and demand. Cardiac output is not compromised during an acute phase of bronchiolitis. Pain is not usually associated with acute bronchiolitis. Tissue perfusion (peripheral) is not affected by this respiratory-disease process. Chapter 2: Asthma www.testbanktank.com 1. The nurse is caring for a child hospitalized for status asthmaticus. Which assessment finding suggests that the childs condition is worsening? a. Hypoventilation b. Thirst c. Bradycardia d. Clubbing ANS: A The nurse would assess the child for signs of hypoxia, including restlessness, fatigue, irritability, and increased heart and respiratory rate. As the child tires from the increased work of breathing hypoventilation occurs leading to increased carbon dioxide levels. The nurse would be alert for signs of hypoxia. Thirst would reflect the childs hydration status. Bradycardia is not a sign of hypoxia; tachycardia is. Clubbing develops over a period of months in response to hypoxia. The presence of clubbing does not indicate the childs condition is worsening. 2. Which finding is expected when assessing a child hospitalized for asthma? a. Inspiratory stridor b. Harsh, barky cough c. Wheezing d. Rhinorrhea ANS: C Wheezing is a classic manifestation of asthma. Inspiratory stridor is a clinical manifestation of croup. A harsh, barky cough is characteristic of croup. Rhinorrhea is not associated with asthma. 3. A child has had cold symptoms for more than 2 weeks, a headache, nasal congestion with purulent nasal drainage, facial tenderness, and a cough that increases during sleep. The nurse recognizes these symptoms are characteristic of which respiratory condition? a. Allergic rhinitis b. Bronchitis c. Asthma d. Sinusitis ANS: D Sinusitis is characterized by signs and symptoms of a cold that do not improve after 14 days, a low-grade fever, nasal congestion and purulent nasal discharge, headache, tenderness, a feeling of fullness over the affected sinuses, halitosis, and a cough that increases when the child is lying down. The classic symptoms of allergic rhinitis are watery rhinorrhea, itchy nose, eyes, ears, and palate, and sneezing. Symptoms occur as long as the child is exposed to the allergen. Bronchitis is characterized by a gradual onset of rhinitis and a cough that is initially nonproductive but may change to a loose cough. The manifestations of asthma may vary, with wheezing being a classic sign. The symptoms presented in the question do not suggest asthma. 4. What is a common trigger for asthma attacks in children? a. Febrile episodes www.testbanktank.com b. Dehydration c. Exercise d. Seizures ANS: C Exercise is one of the most common triggers for asthma attacks, particularly in school-age children. Febrile episodes are consistent with other problems, for example, seizures. Dehydration occurs as a result of diarrhea; it does not trigger asthma attacks. Viral infections are triggers for asthma. Seizures can result from a too-rapid intravenous infusion of theophyllinea therapy for asthma. 5.The practitioner changes the medications for the child with asthma to salmeterol (Serevent). The mother asks the nurse what this drug will do. The nurse explains that salmeterol (Serevent) is used to treat asthma because the drug produces which characteristic? 1. Decreases inflammation 2. Decreases mucous production 3. Controls allergic rhinitis 4. Dilates the bronchioles Correct Answer: 4 Rationale 1: Salmeterol (Serevent) is a long-acting beta2-agonist that acts by bronchodilating. Steroids are anti-inflammatory, anticholinergics decrease mucous production, and antihistamines control allergic rhinitis. Rationale 2: Salmeterol (Serevent) is a long-acting beta2-agonist that acts by bronchodilating. Steroids are anti-inflammatory, anticholinergics decrease mucous production, and antihistamines control allergic rhinitis. Rationale 3: Salmeterol (Serevent) is a long-acting beta2-agonist that acts by bronchodilating. Steroids are anti-inflammatory, anticholinergics decrease mucous production, and antihistamines control allergic rhinitis. Rationale 4: Salmeterol (Serevent) is a long-acting beta2-agonist that acts by bronchodilating. Steroids are anti-inflammatory, anticholinergics decrease mucous production, and antihistamines control allergic rhinitis. Global Rationale: Salmeterol (Serevent) is a long-acting beta2-agonist that acts by bronchodilating. Steroids are anti-inflammatory, anticholinergics decrease mucous production, and antihistamines control allergic rhinitis. Cognitive Level: Analyzing Client Need: Physiological Integrity Client Need Sub: Pharmacological and Parenteral Therapies Nursing/Integrated Concepts: Nursing Process: Implementation Learning Outcome: LO 20.6 Create a nursing care plan for a child with a common acute respiratory condition. 6.Following parental teaching, the nurse is evaluating the parents understanding of environmental control for their childs asthma management. Which statement by the parents indicates appropriate understanding of the teaching? www.testbanktank.com 1. We will replace the carpet in our childs bedroom with tile. 2. Were glad the dog can continue to sleep in our childs room. 3. Well be sure to use the fireplace often to keep the house warm in the winter. 4. Well keep the plants in our childs room dusted. Correct Answer: 1 Rationale 1: Control of dust in the childs bedroom is an important aspect of environmental control for asthma management. When possible, pets and plants should not be kept in the home. Smoke from fireplaces should be eliminated. Rationale 2: Control of dust in the childs bedroom is an important aspect of environmental control for asthma management. When possible, pets and plants should not be kept in the home. Smoke from fireplaces should be eliminated. Rationale 3: Control of dust in the childs bedroom is an important aspect of environmental control for asthma management. When possible, pets and plants should not be kept in the home. Smoke from fireplaces should be eliminated. Rationale 4: Control of dust in the childs bedroom is an important aspect of environmental control for asthma management. When possible, pets and plants should not be kept in the home. Smoke from fireplaces should be eliminated. Global Rationale: Control of dust in the childs bedroom is an important aspect of environmental control for asthma management. When possible, pets and plants should not be kept in the home. Smoke from fireplaces should be eliminated. 7.A child with asthma will be receiving an oral dose of prednisone. The order reads prednisone 2 mg/kg per day. The child weighs 50 lbs. The child will receive ____ milligrams daily. (Round the answer.) Standard Text: Round the answer to the nearest whole number. Correct Answer: 45.5 = 46 Rationale: 22.7 2 = 45.5 (46) Global Rationale: 22.7 2 = 45.5 (46) Cognitive Level: Analyzing Client Need: Physiological Integrity Client Need Sub: Pharmacological and Parenteral Therapies Nursing/Integrated Concepts: Nursing Process: Implementation Learning Outcome: LO 07. Plan the nursing care for the child with a chronic respiratory condition. 8.Parents of a child admitted with respiratory distress are concerned because the child wont lie down and wants to sit in a chair leaning forward. Which response by the nurse is the most appropriate? www.testbanktank.com 1. This helps the child feel in control of his situation. 2. The child needs to be encouraged to lie flat in bed. 3. This position helps keep the airway open. 4. This confirms the child has asthma. Correct Answer: 3 Rationale 1: Leaning forward helps keep the airway open. The child is not in control just because he is leaning forward. Lying flat in bed will increase the respiratory distress. This position does not confirm asthma. Rationale 2: Leaning forward helps keep the airway open. The child is not in control just because he is leaning forward. Lying flat in bed will increase the respiratory distress. This position does not confirm asthma. Rationale 3: Leaning forward helps keep the airway open. The child is not in control just because he is leaning forward. Lying flat in bed will increase the respiratory distress. This position does not confirm asthma. Rationale 4: Leaning forward helps keep the airway open. The child is not in control just because he is leaning forward. Lying flat in bed will increase the respiratory distress. This position does not confirm asthma. Global Rationale: Leaning forward helps keep the airway open. The child is not in control just because he is leaning forward. Lying flat in bed will increase the respiratory distress. This position does not confirm asthma. 9.A school nurse is planning care for a school-age child recently diagnosed with asthma. Which items will the school nurse include in the plan of care at the school? www.testbanktank.com Standard Text: Select all that apply. 1. Maintain a log of quick-relief medication administration. 2. Call the parents if quick-relief medications work appropriately. 3. Assess for symptoms of exercise-induced bronchospasm. 4. Coordinate education of the childs teachers. 5. Conduct a support group for all children with asthma. Correct Answer: 1,3,4,5 Rationale 1: Appropriate interventions for the school nurse to include in the plan of care include: keeping a log of the quick-relief medications administered; assessing the child for exercise-induced bronchospasms and reporting, if needed; coordinating education of the childs teachers; and conducting a support group for all children in the school with asthma. The nurse would only call the parents if the quick-relief mediation was not effective in treating the childs symptoms. Rationale 2: Appropriate interventions for the school nurse to include in the plan of care include: keeping a log of the quick-relief medications administered; assessing the child for exercise-induced bronchospasms and reporting, if needed; coordinating education of the childs teachers; and conducting a support group for all children in the school with asthma. The nurse would only call the parents if the quick-relief mediation was not effective in treating the childs symptoms. Rationale 3: Appropriate interventions for the school nurse to include in the plan of care include: keeping a log of the quick-relief medications administered; assessing the child for exercise-induced bronchospasms and reporting, if needed; coordinating education of the childs teachers; and conducting a support group for all children in the school with asthma. The nurse would only call the parents if the quick-relief mediation was not effective in treating the childs symptoms. Rationale 4: Appropriate interventions for the school nurse to include in the plan of care include: keeping a log of the quick-relief medications administered; assessing the child for exercise-induced bronchospasms and reporting, if needed; coordinating education of the childs teachers; and conducting a support group for all children in the school with asthma. The nurse would only call the parents if the quick-relief mediation was not effective in treating the childs symptoms. Rationale 5: Appropriate interventions for the school nurse to include in the plan of care include: keeping a log of the quick-relief medications administered; assessing the child for exercise-induced bronchospasms and reporting, if needed; coordinating education of the childs teachers; and conducting a support group for all children in the school with asthma. The nurse would only call the parents if the quick-relief mediation was not effective in treating the childs symptoms. Global Rationale: Appropriate interventions for the school nurse to include in the plan of care include: keeping a log of the quick-relief medications administered; assessing the child for exercise-induced bronchospasms and reporting, if needed; coordinating education of the childs teachers; and conducting a support group for all children in the school with asthma. The nurse would only call the parents if the quick-relief mediation was not effective in treating the childs symptoms. Chapter 3: Ulnar Fracture 1. Which is an accurate statement concerning a childs musculoskeletal system and how it may be different from adults? a. Growth occurs in children as a result of an increase in the number of muscle fibers. b. Infants are at greater risk for fractures because their epiphyseal plates are not fused. c. Because soft tissues are resilient in children, dislocations and sprains are less common than in adults. d. Their bones have less blood flow. ANS: C Because soft tissues are resilient in children, dislocations and sprains are less common than in adults. A childs growth occurs because of an increase in size rather than an increase in the number of the muscle fibers. Fractures in children younger than 1 year are unusual because a large amount of force is necessary to fracture their bones. A childs bones have greater blood flow than an adults bones. 2. When infants are seen for fractures, which nursing intervention is a priority? a. No intervention is necessary. It is not uncommon for infants to fracture bones. www.testbanktank.com b. Assess the familys safety practices. Fractures in infants usually result from falls. c. Assess for child abuse. Fractures in infants are often nonaccidental. d. Assess for genetic factors. ANS: C Fractures in infants warrant further investigation to rule out child abuse. Fractures in children younger than 1 year are not common because of the cartilaginous quality of the skeleton; a large amount of force is necessary to fracture their bones. Infants should be cared for in a safe environment and should not be falling. Fractures in infancy are usually nonaccidental rather than related to a genetic factor. 3. A mother whose 7-year-old child has been placed in a cast for a fractured right arm reports he will not stop crying even after taking Tylenol with codeine. He also will not straighten the fingers on his right arm. The nurse tells the mother to do which? a. Take him to the emergency department. b. Put ice on the injury. c. Avoid letting him get so tired. d. Wait another hour. If he is still crying, call back. ANS: A Unrelieved pain and the childs inability to extend his fingers are signs of compartmental syndrome, which requires immediate attention. Placing ice on the extremity is an inappropriate action for the presenting symptoms. It is inappropriate for the nurse to tell the mother who is concerned about her child to avoid letting him get so tired. A child who has signs and symptoms of compartmental syndrome should be seen immediately. Waiting an hour could compromise the recovery of the child. 4. When assessing a child for an upper extremity fracture, the nurse should know that these fractures most often result from: a. automobile accidents. b. falls. c. physical abuse. d. sports injuries. ANS: B The major cause of childrens fractures is falls. Because of the protection reflexes, the outstretched arm often receives the full force of the fall. Automobile accidents, physical abuse, and sports injuries may result in fractures to any bone. 5. Which statement is most correct with regard to childhood musculoskeletal injuries? a. After the injury is iced, the swelling decreases, indicating the injury is not severe. b. The presence of localized tenderness indicates a more serious injury. c. The more swelling there is, the less severe the injury is. d. The less willing the child is to bear weight, the more serious the injury is. www.testbanktank.com ANS: D An inability to bear weight on the affected extremity is indicative of a more serious injury. With a fracture, general manifestations include pain or tenderness at the site, immobility or decreased range of motion, deformity of the extremity, edema, and inability to bear weight. A decrease in swelling after icing does not identify the degree of the injury. Localized tenderness along with limited joint mobility may indicate serious injury, but an inability to bear weight on the extremity is a more reliable sign. The degree of swelling does not indicate how serious the injury is. 6. In caring for a child with a compound fracture, what should the nurse carefully assess for? a. Infection b. Osteoarthritis c. Epiphyseal disruption d. Periosteum thickening ANS: A Because the skin has been broken, the child is at risk for organisms to enter the wound. The incidence of osteoarthritis and the chance of epiphyseal disruption are not increased with compound fracture. Periosteum thickening is part of the healing process and is not a complication. 7. A child who has fractured his forearm is unable to extend his fingers. The nurse knows that this: a. is normal following this type of injury. b. may indicate compartmental syndrome. c. may indicate fat embolism. d. may indicate damage to the epiphyseal plate. ANS: B Swelling causes pressure to rise within the immobilizing device leading to compartmental syndrome. Signs include severe pain, often unrelieved by analgesics, and neurovascular impairment. It is not uncommon in the forearm, so the inability to extend the fingers may indicate compartmental syndrome. It is not normal that the child is unable to extend his fingers; this indicates neurovascular compromise of some type. Paresthesia or numbness or loss of feeling can indicate a neurovascular compromise and can result in paralysis. Fat embolism causes respiratory distress with hypoxia and respiratory acidosis. Paresthesia is not related to damage to the epiphyseal plate. Chapter 4: Urinary Tract Infection and Pyelonephritis MULTIPLE CHOICE 1. Which statement made by a school-age girl indicates the need for further teaching about the prevention of urinary tract infections? a. I always wear cotton underwear. www.testbanktank.com b. I really enjoy taking a bubble bath. c. I go to the bathroom every 3 to 4 hours. d. I drink four to six glasses of fluid every day. ANS: B Bubble baths should be avoided because they tend to cause urethral irritation, which leads to urinary tract infection. It is desirable to wear cotton rather than nylon underwear. Nylon tends to hold in moisture and promote bacterial growth, whereas cotton absorbs moisture. Children should be encouraged to urinate at least four times a day. An adequate fluid intake prevents the buildup of bacteria in the bladder. 2. The nurse assessing a child with acute poststreptococcal glomerulonephritis should be alert for which finding? a. Increased urine output b. Hypotension c. Tea-colored urine d. Weight gain ANS: C Acute poststreptococcal glomerulonephritis is characterized by hematuria, proteinuria, edema, and renal insufficiency. Tea-colored urine is an indication of hematuria. In acute poststreptococcal glomerulonephritis, the urine output may be decreased and the blood pressure increased. Edema may be noted around the eyelids and ankles in patients with acute poststreptococcal glomerulonephritis; however, weight gain is associated with nephrotic syndrome. 3. The mother of a child who was recently diagnosed with acute glomerulonephritis asks the nurse why the physician keeps talking about casts in the urine. The nurses response is based on the knowledge that the presence of casts in the urine indicates: a. glomerular injury. b. glomerular healing. c. recent streptococcal infection. d. excessive amounts of protein in the urine. ANS: A The presence of red blood cell casts in the urine indicates glomerular injury. Casts in the urine are abnormal findings and are indicative of glomerular injury, not glomerular healing. A urinalysis positive for casts does not confirm a recent streptococcal infection. Casts in the urine are unrelated to proteinuria. 4. What is a clinical finding that warrants further intervention for the child with acute poststreptococcal glomerulonephritis? a. Weight loss to within 1 pound of the preillness weight b. Urine output of 1 milliliter per kilogram per hour c. A normal blood pressure d. Inspiratory crackles www.testbanktank.com ANS: D Children with excess fluid volume may have pulmonary edema. Inspiratory crackles indicate fluid in the lungs. Pulmonary edema can be a life-threatening complication. Weight loss to within 1 pound of the preillness weight is an indication that the child is responding to treatment. A urine output of 1 milliliter per kilogram per hour is an acceptable urine output and indicates that the child is responding to treatment. A normal blood pressure is also an indication that the child is responding to treatment. 5. Which diagnostic finding is assessed by the nurse when a child has primary nephrotic syndrome? a. Hyperalbuminemia b. Positive ASO titer c. Leukocytosis d. Proteinuria ANS: D Large amounts of protein are lost through the urine as a result of an increased permeability of the glomerular basement membrane. Hypoalbuminemia is present because of loss of albumin through the defective glomerulus and the livers inability to synthesize proteins to balance the loss. ASO titer is negative in a child with primary nephrotic syndrome. Leukocytosis is not a diagnostic finding in primary nephrotic syndrome. 6. Which finding indicates that a child receiving prednisone for primary nephrotic syndrome is in remission? a. Urine is negative for casts for 5 days. b. Urine is 0 to trace for protein for 5 to 7 days. c. Urine is negative for protein for 2 weeks. d. Urine is 0 to trace for blood for 1 week. ANS: B The child receiving steroids for the treatment of primary nephrotic syndrome is considered in remission when the urine is 0 to trace for protein for 5 to 7 days. The absence of casts in the urine gives no indication about the childs response to treatment. The child with primary nephrotic syndrome is considered to be in remission when the urine is negative for protein for 5 to 7 consecutive days. The absence of proteinuria for 2 consecutive weeks indicates a continued remission. The presence or absence of hematuria is not used to determine remission in primary nephrotic syndrome. 7. Which of the following statements made by a parent of a child with nephrotic syndrome indicates an understanding of a no-added-salt diet? a. I only give my child sweet pickles. b. My child just puts a little salt on his food. c. I let my child have slightly salted potato chips. d. I do not put any salt in foods when I am cooking. www.testbanktank.com ANS: D A no-added-salt diet means that no salt should be added to foods, either when cooking or before eating. All types of pickles and potato chips are high in sodium and should not be served to the child on a no-added-salt diet. The child should not be allowed to use a salt shaker at meals when on a no-added-salt diet. 8. Which is an appropriate intervention for a child with nephrotic syndrome who is edematous? a. Teach the child to minimize body movements. b. Change the childs position every 2 hours. c. Avoid the use of skin lotions. d. Bathe every other day. ANS: B Frequent position changes decrease pressure on body parts and help relieve edema in dependent areas. The child with edema is at risk for impaired skin integrity. It is important for the child to change position frequently to prevent skin breakdown. Applying lotion to the skin helps to increase circulation. Bathing daily removes irritating body secretions from the skin. 9. A child with secondary enuresis who complains of dysuria or urgency should be evaluated for which condition? a. Hypocalciuria b. Nephrotic syndrome c. Glomerulonephritis d. Urinary tract infection ANS: D Complaints of dysuria or urgency from a child with secondary enuresis suggest the possibility of a urinary tract infection. An excessive loss of calcium in the urine (hypercalciuria) can be associated with complaints of painful urination, urgency, frequency, and wetting. Nephrotic syndrome is not usually associated with complaints of dysuria or urgency. Glomerulonephritis is not a likely cause of dysuria or urgency. 10. What should the nurse include in a teaching plan for the parents of a child with vesicoureteral reflux? a. Screening for urinary tract infection (UTI) if febrile b. Suggestions for how to maintain fluid restrictions c. The use of bubble baths as an incentive to increase bath time d. The need for the child to hold urine for 6 to 8 hours ANS: A A child with vesicoureteral reflux is screened for a UTI if febrile. Fluids are not restricted when a child has vesicoureteral reflux. In fact, fluid intake should be increased as a measure to prevent urinary tract infections. Bubble baths should be avoided to prevent urethral irritation and possible urinary tract infection. To prevent urinary tract infections, the child should be taught to void frequently and never resist the urge to urinate. 11. Which intervention is appropriate when examining a male infant for cryptorchidism? a. Cooling the examiners hands b. Taking a rectal temperature c. Placing the infant on the examination table www.testbanktank.com d. Warming the room ANS: D For the infants comfort, the infant should be examined in a warm room with the examiners hands warmed. Testes can retract into the inguinal canal if the infant is upset or cold. Examining the infant with cold hands is uncomfortable for the infant and is likely to cause the infants testes to retract into the inguinal canal. It may also cause the infant to be uncooperative during the examination. A rectal temperature yields no information about cryptorchidism. When possible, the infant should be examined in the caregivers lap to elicit cooperation and avoid upsetting the infant. 12. Parents ask the nurse, When should our childs hypospadias be corrected? The nurse responds based upon the knowledge that correction of hypospadias should be accomplished by the time the child is: a. 1 month of age. b. 6 to 8 months of age. c. school age. d. sexually mature. ANS: B The correction of hypospadias should ideally be accomplished by the time the child is 6 to 8 months of age and before toilet training. Surgery to correct hypospadias is not performed when the infant is less than 6 months of age. It is preferable for hypospadias to be surgically corrected before the child enters school so that the child has normal toileting behaviors in the presence of his peers. Corrective surgery for hypospadias is done long before sexual maturity. 13. A nurse is teaching a class on acute renal failure. The nurse relates that acute renal failure as a result of hemolytic-uremic syndrome is classified as: a. prerenal. b. intrarenal. c. postrenal. d. chronic. ANS: B Intrarenal acute renal failure is the result of damage to kidney tissue. Possible causes of intrarenal acute renal failure are hemolytic uremic syndrome, glomerulonephritis, and pyelonephritis. Prerenal acute renal failure is the result of decreased perfusion to the kidney. Possible causes include dehydration, septic and hemorrhagic shock, and hypotension. Postrenal acute renal failure results from obstruction of urine outflow. Conditions causing postrenal failure include ureteropelvic obstruction, ureterovesical obstruction, or neurogenic bladder. Renal failure caused by hemolytic-uremic syndrome is of the acute nature. Chronic renal failure is an irreversible loss of kidney function, which occurs over months or years. 14. Which dietary modification is appropriate for a child with chronic renal failure? a. Decreased salt www.testbanktank.com b. Decreased fat c. Increased potassium d. Increased phosphorus ANS: A Salt is restricted to prevent fluid overload and hypertension. A low-fat diet is not relevant to chronic renal failure. Potassium intake may be restricted because of the kidneys inability to remove it. Phosphorus is restricted to help prevent bone disease. 15. Which condition is characterized by a history of bloody diarrhea, fever, abdominal pain, and low hemoglobin and platelet counts? a. Acute viral gastroenteritis b. Acute glomerulonephritis c. Hemolytic-uremic syndrome d. Acute nephrotic syndrome ANS: C Hemolytic-uremic syndrome is an acute disorder characterized by anemia, thrombocytopenia, and acute renal failure. Most affected children have a history of gastrointestinal symptoms, including bloody diarrhea. Anemia and thrombocytopenia are not associated with acute gastroenteritis. The symptoms described are not suggestive of acute glomerulonephritis or nephrotic syndrome. 16. Which is a true statement describing the differences in the pediatric genitourinary system compared with the adult genitourinary system? a. The young infants kidneys can more effectively concentrate urine than can an adults kidneys. b. After 6 years of age, kidney function is nearly like that of an adult. c. Unlike adults, most children do not regain normal kidney function after acute renal failure. d. Young children have shorter urethras, which can predispose them to urinary tract infections. ANS: D Young children have shorter urethras, which can predispose them to urinary tract infections. The young infants kidneys cannot concentrate urine as efficiently as those of older children and adults because the loop of Henle is not yet long enough to reach the inner medulla, where concentration and reabsorption occur. By 6 to 12 months of age, kidney function is nearly like that of an adult. Unlike adults, most children with acute renal failure regain normal function. MULTIPLE RESPONSE 1. A nurse is planning care for a child admitted with nephrotic syndrome. Which interventions should be included in the plan of care? Select all that apply. a. Administration of antihypertensive medications b. Daily weights c. Salt-restricted diet d. Frequent position changes e. Teach parents to expect tea-colored urine www.testbanktank.com ANS: B, C, D A child with nephrotic syndrome will need to be monitored closely for fluid excess so daily weights are important. The diet is salt restricted to prevent further retention of fluid. Because of the fluid excess, frequent position changes are required to prevent skin breakdown. Nephrotic syndrome does not require antihypertensive medications. These are administered for acute glomerulonephritis. Tea-colored urine is expected with acute glomerulonephritis, but not nephrotic syndrome. The urine in nephrotic syndrome is frothy indicating protein is being lost in the urine. 2. A nurse is assessing an infant for urinary tract infection (UTI). Which assessment findings should the nurse expect? Select all that apply. a. Change in urine odor or color b. Enuresis c. Fever or hypothermia d. Voiding urgency e. Poor weight gain ANS: A, C, E The signs of a UTI in an infant include fever or hypothermia, irritability, dysuria as evidenced by crying when voiding, change in urine odor or color, poor weight gain and feeding difficulties. Enuresis and voiding urgency would be assessed in an older child. Chapter 5: Gastroenteritis, Fever, and Dehydration MULTIPLE CHOICE 1. Which is the best nursing response to a mother asking about the cause of her infants bilateral cleft lip? a. Did you have trouble with this pregnancy? b. Do you know of anyone in your or the fathers family born with cleft lip or palate problems? c. This defect is associated with intrauterine infection during the second trimester. d. Was your husband in the military and involved in chemical warfare? ANS: B Cleft lip and palate result from embryonic failure resulting from multiple genetic and environmental factors. A genetic pattern or familial risk seems to exist. A troublesome pregnancy has not been associated with bilateral cleft lip. The defect occurred at approximately 6 to 8 weeks of gestation. Second-trimester intrauterine infection is not a known cause of bilateral cleft lip. Chemical warfare is not significantly associated with bilateral cleft lip and palate. 2. Which nursing intervention is most helpful to parents of a neonate with bilateral cleft lip? a. Assure the parents that the correction will be immediate and uncomplicated. b. Show the parents before-and-after pictures of an infant whose cleft lip has been successfully repaired. c. Teach the parents about long-term enteral feedings. www.testbanktank.com d. Refer the parents to a community agency that addresses this problem. ANS: B Showing the parents pictures of successful lip repair promotes bonding and enhances coping ability. Correction is usually done around 4 weeks but may be done as early as 2 to 3 days after birth. The infant with a bilateral cleft lip can be fed orally using a compressible, longer nipple, and by making a larger hole in the nipple. Long-term enteral feedings are not usually indicated. A community agency referral is not appropriate at this time and may not be indicated long term. 3. The postoperative care plan for an infant with surgical repair of a cleft lip includes which intervention? a. A clear liquid diet for 72 hours b. Nasogastric feedings until the sutures are removed c. Elbow restraints to keep the infants fingers away from the mouth d. Rinsing the mouth after every feeding ANS: C Keeping the infants hands away from the incision reduces potential complications at the surgical site. The infants diet is advanced from clear liquid to soft foods within 48 hours of surgery. After surgery, the infant can resume preoperative feeding techniques. Rinsing the mouth after feeding is an inappropriate intervention. Feeding a small amount of water after feedings will help keep the mouth clean. A cleft lip repair site should be cleansed with a wet sterile cotton swab after feedings. 4. A nurse is teaching a group of parents about tracheoesophageal fistula. Which statement, made by the nurse, is accurate about tracheoesophageal fistula (TEF)? a. This defect results from an embryonal failure of the foregut to differentiate into the trachea and esophagus. b. It is a fistula between the esophagus and stomach that results in the oral intake being refluxed and aspirated. c. An extra connection between the esophagus and trachea develops because of genetic abnormalities. d. The defect occurs in the second trimester of pregnancy. ANS: A When the foregut does not differentiate into the trachea and esophagus during the fourth to fifth week of gestation, a TEF occurs. TEF is an abnormal connection between the esophagus and trachea. There is no connection between the trachea and esophagus in normal fetal development. Tracheoesophageal fistula occurs early in pregnancy during the fourth to fifth week of gestation. 5. Which maternal assessment is related to the infants diagnosis of TEF? a. Maternal age more than 40 years b. First term pregnancy for the mother www.testbanktank.com c. Maternal history of polyhydramnios d. Complicated pregnancy ANS: C A maternal history of polyhydramnios is associated with TEF. Advanced maternal age is not a risk factor for TEF. The first term pregnancy is not a risk factor for an infant with TEF. Complicated pregnancy is not a risk factor for TEF. 6. What clinical manifestation should a nurse should be alert for when a diagnosis of esophageal atresia is suspected? a. A radiograph in the prenatal period indicates abnormal development. b. It is visually identified at the time of delivery. c. A nasogastric tube fails to pass at birth. d. The infant has a low birth weight. ANS: C Atresia is suspected when a nasogastric tube fails to pass 10 to 11 centimeters beyond the gum line. Abdominal radiographs will confirm the diagnosis. Prenatal radiographs do not provide a definitive diagnosis. The defect is not externally visible. Bronchoscopy and endoscopy can be used to identify this defect. Infants with esophageal atresia may have been born prematurely and with a low birth weight, but neither is suggestive of the presence of an esophageal atresia. 7. The nurse admits an infant with vomiting and the diagnosis of hypertrophic pyloric stenosis. Which metabolic alteration should the nurse plan to assess for with this infant? a. Metabolic alkalosis b. Metabolic acidosis c. Respiratory acidosis d. Respiratory alkalosis ANS: A Frequent projectile vomiting, characteristic of pyloric stenosis, results in a loss of nonvolatile acids that decreases hydrogen ion concentration. This results in an excess of bicarbonate that increases arterial pH above 7.45 (metabolic alkalosis). Metabolic acidosis, respiratory acidosis, and respiratory alkalosis do not result from vomiting. 8. What is the most important information to be included in the discharge planning for an infant with gastroesophageal reflux? a. Teach the parents to position the infant on the left side. b. Reinforce the parents knowledge of the infants developmental needs. c. Teach the parents how to do infant cardiopulmonary resuscitation (CPR). d. Have the parents keep an accurate record of intake and output. ANS: C Risk of aspiration is a priority nursing diagnosis for the infant with gastroesophageal reflux. The parents must be taught infant CPR. Correct positioning minimizes aspiration. The correct position for the infant is on the right side after feeding and supine for sleeping. Knowledge of developmental needs should be included in discharge planning for all hospitalized infants but is not the most important in this case. Keeping a record of intake and output is not a priority and may not be necessary. 9. Which information does the nurse include when teaching the parents of a 5-week-old infant about pyloromyotomy? a. The infant will be in the hospital for a week. www.testbanktank.com b. The surgical procedure is routine and no big deal. c. The prognosis for complete correction with surgery is good. d. They will need to ask the physician about home care nursing. ANS: C Pyloromyotomy is the definitive treatment for pyloric stenosis. Prognosis is good with few complications. These comments reassure parents. The infant will remain in the hospital for a day or two postoperatively. Although the prognosis for surgical correction is good, telling the parents that surgery is no big deal minimizes the infants condition. Home care nursing is not necessary after pyloromyotomy. 10. A nurse has admitted a child to the hospital with a diagnosis of rule out peptic ulcer disease. Which test will the nurse expect to be ordered to confirm the diagnosis of a peptic ulcer? a. A 24-hour dietary history b. A positive Hematest result on a stool sample c. A fiberoptic upper endoscopy d. An abdominal ultrasound ANS: C Endoscopy provides direct visualization of the stomach lining and confirms the diagnosis of peptic ulcer. Dietary history may yield information suggestive of a peptic ulcer, but the diagnosis is confirmed through endoscopy. Blood in the stool indicates a gastrointestinal abnormality, but it does not conclusively confirm a diagnosis of peptic ulcer. An abdominal ultrasound is used to rule out other gastrointestinal alterations such as gallstones, tumor, or mechanical obstruction. 11. What should the nurse teach a school-age child and his parents about the management of ulcer disease? a. Eat a bland, low-fiber diet in small frequent meals. b. Eat three balanced meals a day with no snacking between meals. c. The child needs to eat alone to avoid stress. d. Do not give antacids 1 hour before or after antiulcer medications. ANS: D Antacids can interfere with antiulcer medication if given less than 1 hour before or after antiulcer medications. A bland diet is not indicated for ulcer disease. The diet should be a regular diet that is low in caffeine, and the child should eat a meal or snack every 2 to 3 hours. Eating alone is not indicated. 12. Which prescribed formula should the nurse plan to provide for an infant with lactose intolerance? a. Isomil b. Enfamil c. Similac d. Good Start www.testbanktank.com ANS: A The treatment for lactose intolerance is removal of lactose from the diet. Formulas that do not contain lactose (Isomil, Nursoy, Nutramigen, Prosobee, and other soy-based formulas) may be given to the infant suspected of having lactose intolerance. Enfamil, Similac, and Good Start are all milk-based formulas. 13. Which dietary foods high in calcium should the nurse encourage a lactose intolerant child to eat? a. Yogurt b. Green leafy vegetables c. Cheese d. Rice ANS: B The child between 1 and 10 years requires a minimum of 800 milligrams of calcium daily. Because high-calcium dairy products containing lactose are restricted from the childs diet, alternate sources such as egg yolk, green leafy vegetables, dried beans, and cauliflower must be provided to prevent hypocalcemia. Yogurt and cheese contain lactose. Rice is not high in calcium. 14. Which food choice by a parent of a 2-year-old child with celiac disease indicates a need for further teaching? a. Oatmeal b. Rice cake c. Corn muffin d. Meat patty ANS: A The child with celiac disease is unable to fully digest gluten, the protein found in wheat, barley, rye, and oats. Oatmeal contains gluten and is not an appropriate food selection. Rice is an appropriate choice because it does not contain gluten. Corn is digestible because it does not contain gluten. Meats do not contain gluten and can be included in the diet of a child with celiac disease. 15. Which assessment finding should the nurse expect in an infant with Hirschsprungs disease? a. Currant jelly stools b. Constipation with passage of foul-smelling, ribbon-like stools c. Foul-smelling, fatty stools d. Diarrhea ANS: B Constipation results from the absence of ganglion cells in the rectum and colon and is present since the neonatal period with passage of frequent foul-smelling, ribbon-like, or pellet-like stools. Currant jelly stools are associated with intussusception. Foul-smelling, fatty stools are associated with cystic fibrosis and celiac disease. Diarrhea is not typically associated with Hirschsprungs disease but may result from impaction. 16. Which would be an expected outcome for the parents of a child with encopresis? a. The parents will give the child an enema daily for 34 months. b. The parents will develop a plan to achieve control over incontinence. c. The parents will have the child launder soiled clothes. www.testbanktank.com d. The parents will supply the child with a low-fiber diet. ANS: B Parents of the child with encopresis often feel guilty and believe that encopresis is willful on the part of the child. The family functions effectively by openly discussing problems and developing a plan to achieve control over incontinence. Stool softeners or laxatives, along with dietary changes, are typically used to treat encopresis. Enemas are indicated when a fecal impaction is present. Having the child launder soiled clothes is a punishment and will increase the childs shame and embarrassment. The child should not be punished for an action that is not willful. Increasing fiber in the diet and fluid intake results in greater bulk in the stool, making it easier to pass. 17. Which intervention should be included in the nurses plan of care for a 7-year-old child with encopresis who has cleared the initial impaction? a. Have the child sit on the toilet 30 minutes when he gets up in the morning and at bedtime. b. Increase sugar in the childs diet to promote bowel elimination. c. Use a Fleet enema daily. d. Give the child a choice of beverage to mix with a laxative. ANS: D Offering realistic choices is helpful in meeting the school-age childs sense of control. To facilitate bowel elimination, the child should sit on the toilet for 5 to 10 minutes after breakfast and dinner. Decreasing the amount of sugar in the diet will help keep stools soft. Daily Fleet enemas can result in hypernatremia and hyperphosphatemia and are used only during periods of fecal impaction. 18. A nurse is assisting a child with inflammatory bowel disease to choose items from the dietary menu. Which dietary item should be avoided because it is high in residue? a. Eggs b. Cheese c. Grapes d. Jello ANS: C Fruits with skins or seeds should be avoided because they are high in residue. Cooked or canned fruits and vegetables without skins are allowed. Eggs, cheese, and Jello would be allowed on a low residue diet. 19. What is an expected outcome for the child with irritable bowel disease? a. Decreasing symptoms b. Adherence to a low-fiber diet c. Increasing milk products in the diet d. Adapting the lifestyle to the lifelong problems www.testbanktank.com ANS: A Management of irritable bowel disease is aimed at identifying and decreasing exposure to triggers and decreasing bowel spasms, which will decrease symptoms. Management includes maintenance of a healthy, well-balanced, moderate-fiber, lower-fat diet. A moderate amount of fiber in the diet is indicated for the child with irritable bowel disease. No modification in dairy products is necessary unless the child is lactose intolerant. Irritable bowel syndrome is typically self-limiting and resolves by age 20 years. 20. An infant has been admitted to the Neonatal Intensive Care Unit (NICU) with a congenital gastroschisis. Which intervention should the nurse perform first upon admission to the unit? a. Place the infant flat and prone. b. Cover the defect with sterile warm, moist gauze and wrap with plastic. c. Begin a gestational age assessment. d. Wrap the infant in a warm blanket and allow the father to hold the infant briefly. ANS: B Gastroschisis is the protrusion of intraabdominal contents through a defect in the abdominal wall lateral to the umbilical ring. There is no peritoneal sac. The defect should be immediately wrapped in warm, moist, sterile gauze and covered with plastic to keep moist. The infant cannot be placed prone as more damage could occur to the defect. Movement of the infant should be minimized so gestational age assessment and parental holding would be done after the infant is stabilized. 21. What is an appropriate statement for the nurse to make to parents of a child who has had a barium enema to correct an intussusception? a. I will call the physician when the baby passes his first stool. b. I am going to dilate the anal sphincter with a gloved finger to help the baby pass the barium. c. I would like you to save all the soiled diapers so I can inspect them. d. Add cereal to the babys formula to help him pass the barium. ANS: C The nurse needs to inspect diapers after a barium enema because it is important to document the passage of barium and note the characteristics of the stool. The physician does not need to be notified when the infant passes the first stool. Dilating the anal sphincter is not appropriate for the child after a barium enema. After reduction, the infant is given clear liquids and the diet is gradually increased. 22. Which is the best response for the nurse to make to parents who ask why their infant has a nasogastric tube to intermittent suction after abdominal surgery? a. The nasogastric tube decompresses the abdomen and decreases vomiting. b. We can keep a more accurate measure of intake and output with the nasogastric tube. c. The tube is used to decrease postoperative diarrhea. d. Believe it or not, the nasogastric tube makes the baby more comfortable after surgery. www.testbanktank.com ANS: A The nasogastric tube provides decompression and decreases vomiting. A nursing responsibility when a patient has a nasogastric tube is measurement of accurate intake and output, but this is not why nasogastric tubes are inserted. Nasogastric tube placement does not decrease diarrhea. The presence of a nasogastric tube can be perceived as a discomfort by the patient. 23. Which stool characteristic should the nurse expect to assess with a child diagnosed with intussusception? a. Ribbon-like stools b. Hard stools positive for guaiac c. Currant jelly stools d. Loose, foul-smelling stools ANS: C Pressure on the bowel from obstruction leads to passage of currant jelly stools. Ribbon-like stools are characteristic of Hirschsprungs disease. With intussusception, passage of bloody mucus stools occurs. Stools will not be hard. Loose, foul-smelling stools may indicate infectious gastroenteritis. 24. Which is a priority concern for a 14-year-old child with inflammatory bowel disease? a. Compliance with antidiarrheal medication therapy b. Long-term complications c. Dealing with the embarrassment and stress of diarrhea d. Home schooling ANS: C Embarrassment and stress from chronic diarrhea are real concerns for the adolescent with inflammatory bowel disease. Antidiarrheal medications are not typically ordered for a child with inflammatory bowel disease. Long-term complications are not a priority concern for the adolescent with inflammatory bowel disease. Exacerbations may interfere with school attendance, but home schooling is not a usual consideration for the adolescent with inflammatory bowel disease. 25. A nurse is conducting a teaching session to adolescents about Crohns disease. Which statement, made by the nurse, is the most accurate? a. Crohns disease is responsive to dietary modifications. b. Crohns disease can occur anywhere in the gastrointestinal tract. c. Edema usually accompanies this disease. d. Symptoms of Crohns disease usually disappear by late adolescence. ANS: B Crohns disease can occur anywhere in the GI tract from the mouth to the anus and is most common in the terminal ileum. Maintaining a low-fiber, low-residue, and milk-free diet may give the child some relief; however, strict restrictions may not alleviate symptoms. Diarrhea and malabsorption from Crohns disease cause weight loss, anorexia, dehydration, and growth failure. Edema does not accompany this disease. Crohns disease is a long-term health problem. Symptoms do not typically disappear by adolescence. 26. A child is admitted to the pediatric floor for appendicitis. Which assessment finding will the nurse monitor that indicates the appendix has ruptured? a. Abdominal pain shifts from the left to the right side. b. Vomiting and diarrhea become more intense. c. Elevated temperature decreases to normal. www.testbanktank.com d. Abdominal pain is relieved. ANS: D Abdominal pain is relieved when appendix rupture occurs. Pain in the right lower quadrant is suggestive of appendicitis. Abdominal pain does not shift from one side to the other. The child with appendicitis may have vomiting and diarrhea. A rupture does not intensify symptoms. Because peritonitis is associated with a ruptured appendix, the temperature would be elevated in the presence of infection. 27. What is the most important action to prevent the spread of gastroenteritis in a daycare setting? a. Administering prophylactic medications to children and staff b. Frequent hand washing c. Having parents bring food from home d. Directing the staff to wear gloves at all times ANS: B Hand washing is the most the important measure to prevent the spread of infectious diarrhea. Prophylactic medications are not helpful in preventing gastroenteritis. Bringing food from home will not prevent the spread of infectious diarrhea. Gloves should be worn when changing diapers, soiled clothing, or linens. They do not need to be worn for interactions that do not involve contact with secretions. 28. What is an expected outcome for a 1-month-old infant with biliary atresia? a. Correction of the defect with the Kasai procedure b. Adequate nutrition and age-appropriate growth and development c. Increased blood pressure and adherence to a salt-free diet d. Adequate protein intake ANS: B Adequate nutrition, preventing skin breakdown, adequate growth and development, and family education and support are expected outcomes in an infant with biliary atresia. The goal of the Kasai procedure is to allow for adequate growth until a transplant can be done. It is not a curative procedure. Although blood pressure typically is elevated, a modified salt diet is appropriate. Protein intake may need to be restricted to avoid hepatic encephalopathy. 29. Which assessment findings would be significant for a child with cirrhosis? a. Weight loss b. Change in level of consciousness c. Soft, smooth skin d. Pallor and cyanosis ANS: B www.testbanktank.com The child with cirrhosis must be assessed for encephalopathy, which is characterized by a change in level of consciousness. Encephalopathy can result from a buildup of ammonia in the blood from the incomplete breakdown of protein. One complication of cirrhosis is ascites. The child needs to be assessed for increasing abdominal girth and edema. A child who is retaining fluid will not exhibit weight loss. Biliary obstruction can lead to intense pruritus. The skin will be irritated from frequent scratching. A skin assessment would likely reveal jaundice. Pallor and cyanosis are associated with a cardiac problem. 30. Which nursing diagnosis has the highest priority for the child with celiac disease? a. Pain related to chronic constipation b. Altered growth and development related to obesity c. Fluid volume excess related to celiac crisis d. Imbalanced nutrition: Less than body requirements related to malabsorption ANS: D Imbalanced nutrition: Less than body requirements related to malabsorption is the highest priority nursing diagnosis because celiac disease causes gluten enteropathy, a malabsorption condition. The pain associated with celiac disease is associated with diarrhea, not constipation. Celiac disease causes altered growth and development associated with malnutrition, not obesity. Celiac crisis causes fluid volume deficit. 31. The nurse notes on assessment that a 1-year-old child is underweight, with abdominal distention, thin legs and arms, and foul-smelling stools. The nurse suspects failure to thrive associated with which condition? a. Celiac disease b. Intussusception c. Irritable bowel syndrome d. Imperforate anus ANS: A These are classic symptoms of celiac disease. Intussusception is not associated with failure to thrive or underweight, thin legs and arms, and foul-smelling stools. Stools are like currant jelly. Irritable bowel syndrome is characterized by diarrhea and pain, and the child does not typically have thin legs and arms. Imperforate anus is the incomplete development or absence of the anus in its normal position in the perineum. Symptoms are evident in early infancy. 32. A 10-year-old boy is admitted to the hospital with a diagnosis of appendicitis. He is nauseated, febrile, and complaining of severe abdominal pain radiating to the right lower quadrant. During a routine nursing check, he states that his stomach doesnt hurt anymore. The nurse should suspect that: a. he is anxious about surgery. b. his appendix has ruptured. c. he does not communicate effectively about pain. d. his nausea and vomiting have decreased, thereby relieving his abdominal pain. www.testbanktank.com ANS: B A classic symptom indicating appendix rupture is the sudden relief of pain. The boy may be anxious, but this will not cause his pain to disappear. There is no evidence to substantiate the assumption that he does not communicate effectively about pain. His nausea and vomiting have not decreased, nor will this affect his abdominal pain. 33. The nurse caring for a child with suspected appendicitis should question which physician prescriptions? a. Keep patient NPO. b. Start IV of D5/0.45 normal saline at 60 mL/hr. c. Apply K-pad to abdomen prn for pain. d. Obtain CBC on admission to the nursing unit. ANS: C A K-pad (moist heat device) is contraindicated for suspected appendicitis because it may contribute to the rupture of the appendix. NPO status is appropriate for the potential appendectomy client. An IV is appropriate both as a preoperative intervention and to compensate for the short-term NPO status. Because appendicitis is frequently reflected in an elevated WBC, laboratory data are needed. 34. Which order should the nurse question when caring for a child after surgery for Hirschsprungs disease? a. Monitor rectal temperature every 4 hours and report an elevation greater than 38.5 C. b. Assess stools after surgery. c. Keep the child NPO until bowel sounds return. d. Maintain IV fluids at an ordered rate. ANS: A Rectal temperatures should not be taken after this surgery. Rectal temperatures are generally not the route of choice for children because of the routes traumatic nature. Assessing stools after surgery is an appropriate intervention postoperatively. Stools should be soft and formed. Keeping the child NPO until bowel sounds return is an appropriate intervention postoperatively. Maintaining IV fluids at an ordered rate is an appropriate postoperative order. 35. Which diagnosis has the highest priority for the child with irritable bowel syndrome? a. Alteration in nutrition: Less than body requirements related to malabsorption b. Altered growth and development related to inadequate nutrition c. Pain related to hyperperistalsis d. Constipation related to maldigestion ANS: C Diffuse abdominal pain unrelated to activity or meals is a common clinical manifestation of irritable bowel syndrome. Normal physical growth and development usually occur with this disorder. Constipation may occur with irritable bowel syndrome, usually alternating with diarrhea. 36. A 7-year-old child is admitted to the hospital with severe abdominal pain, bloody currant jelly diarrhea, and fever. What is his probable diagnosis? a. Hirschsprungs disease b. Celiac disease c. Ruptured appendix d. Intussusception www.testbanktank.com ANS: D Severe abdominal pain, bloody currant jelly diarrhea, and fever are common clinical manifestations of intussusception. Hirschsprungs disease usually manifests as bowel obstruction. Severe abdominal pain, bloody currant jelly diarrhea, and fever are not common symptoms of celiac disease. Although a child with a ruptured appendix will probably be febrile, the other symptoms are not indicative of a ruptured appendix. 37. Which goal has the highest priority for a child with malabsorption associated with lactose intolerance? a. The child will experience no abdominal spasms. b. The child will not experience constipation associated with malabsorption syndrome. c. The child will not experience diarrhea associated with malabsorption syndrome. d. The child will receive adequate nutrition as evidenced by a weight gain of 1 kg/day. ANS: C The highest priority goal is that the child will not experience diarrhea associated with malabsorption syndrome; this goal is correct for a child with malabsorption associated with lactose intolerance. A child usually has abdominal cramping, pain, and distention rather than spasms. The child usually has diarrhea, not constipation. One kilogram a day is too much weight gain with no time parameters. 38. What would be an appropriate meal for a school-age child with celiac disease? a. Baked chicken and cornbread b. Hot dog and bun c. Bean with barley soup and rice cakes d. Cheeseburger on rye bread ANS: A Children with celiac disease must eliminate all wheat, rye, barley, oats, and hydrolyzed vegetable proteins from their diet. Cornbread does not contain glutens. Most buns, barley, and rye bread contain glutens. 39. What should the nurse stress in a teaching plan for the mother of an 11-year-old boy with ulcerative colitis? a. Preventing the spread of illness to others b. Nutritional guidance and preventing constipation c. Teaching daily use of enemas d. Coping with stress and adjusting to a chronic illness ANS: D Coping with the stress of a chronic illness and the clinical manifestations associated with ulcerative colitis (diarrhea, pain) are important teaching foci. Ulcerative colitis is not infectious. Although nutritional guidance is a priority teaching focus, diarrhea is a problem with ulcerative colitis, not constipation. Teaching daily use of enemas is not part of the therapeutic plan of care. 40. An infant with Hirschsprungs disease has a temporary colostomy. Which statement by the infants mother indicates she understands how to care for the infants colostomy at home? a. I need to be careful to check the skin around the colostomy for breakdown and be sure I keep it clean. www.testbanktank.com b. Ill call my home health nurse if the colostomy bag needs to be changed. c. Ill call the doctor if I notice that the colostomy stoma is pink. d. Ill have my mother help me with the care of the colostomy. ANS: A Preventing skin breakdown is a priority concern when caring for a colostomy. The mother should be taught the basics of colostomy care, including how to change the appliance. The colostomy stoma should be pink in color, not pale or discolored. There is no evidence that her mother knows how to care for a colostomy. 41. Careful hand washing before and after contact can prevent the spread of _____ in day care and school settings. a. irritable bowel syndrome b. ulcerative colitis c. hepatic cirrhosis d. hepatitis A ANS: D Hepatitis A is spread person to person, by the fecal-oral route and through contaminated food or water. Good hand washing is critical in preventing its spread. The virus can survive on contaminated objects for weeks. Irritable bowel syndrome is the result of increased intestinal motility and is not contagious. Ulcerative colitis and cirrhosis are not infectious. MULTIPLE RESPONSE 1. Which interventions should a nurse implement when caring for a child with hepatitis? Select all that apply. a. Provide a well-balanced low-fat diet. b. Schedule play time in the playroom with other children. c. Teach parents not to administer any over-the-counter medications. d. Arrange for home schooling as the child will not be able to return to school. e. Instruct parents on the importance of good hand washing. ANS: A, C, E The child with hepatitis should be placed on a well-balanced low-fat diet. Parents should be taught to not give over-the-counter medications because of impaired liver function. Hand hygiene is the most important preventive measure for the spread of hepatitis. The child will be in contact isolation in the hospital so play time with other hospitalized children is not scheduled. The child will be on contact isolation for at least 1 week after the onset of jaundice, but after that period, will be allowed to return to school. 2. The nurse is providing home care instructions to the parents of an infant being discharged after repair of a bilateral cleft lip. Which instructions should the nurse include? Select all that apply. a. Acetaminophen (Tylenol) should not be given to your infant. b. Feed your infant in an upright position. c. Place your infant prone for a period of time each day. d. Burp your child frequently during feedings. www.testbanktank.com e. Apply antibiotic ointment to the lip as prescribed. ANS: B, D, E After cleft lip surgery the parents are taught to feed the infant in an upright position to decrease the chance of choking. The parents are taught to burp the infant frequently during feedings because excess air is often swallowed. Parents are taught to cleanse the suture line area with a cotton swab using a rolling motion and apply antibiotic ointment with the same technique. Tylenol is used for pain and the child should never be placed prone as that can damage the suture line. Chapter 6: Leukemia 1. The nurse should base a response to a parents question about the prognosis of acute lymphoblastic leukemia (ALL) on which information? a. Leukemia is a fatal disease although chemotherapy provides increasingly longer periods of remission. b. Research to find a cure for childhood cancers is very active. c. The majority of children go into remission and remain symptom free when treatment is completed. d. It usually takes several months of chemotherapy to achieve a remission. ANS: C Children diagnosed with the most common form of leukemia, ALL, can almost always achieve remission, with a 5-year disease-free survival rate approaching 85%. With the majority of children surviving 5 years or longer, it is inappropriate to refer to leukemia as a fatal disease. Although research to find a cure for childhood cancers is very active, it does not address the parents concern. About 95% of children achieve remission within the first month of chemotherapy. If significant numbers of blast cells are still present in the bone marrow after a month of chemotherapy, a new and stronger regimen is begun. 2. Bone marrow transplantation is the standard treatment for which childhood cancer? a. Acute lymphoblastic leukemia (ALL) b. Non-Hodgkins lymphoma c. Wilms tumor d. Acute myeloblastic leukemia (AML) www.testbanktank.com ANS: D Bone marrow transplantation is currently the standard treatment for children in their first remission with AML. The standard treatment for ALL is combination chemotherapy. The standard treatment for non-Hodgkins lymphoma is chemotherapy. Bone marrow transplantation is used to treat non-Hodgkins lymphoma that is resistant to conventional chemotherapy and radiation. The treatment for Wilms tumor consists of surgery and chemotherapy alone or in combination with radiation therapy. 3. A child with a history of fever of unknown origin, excessive bruising, lymphadenopathy, and fatigue is exhibiting symptoms most suggestive of which condition? a. Ewings sarcoma b. Wilms tumor c. Neuroblastoma d. Leukemia ANS: D Symptoms of a history of fever of unknown origin, excessive bruising, lymphadenopathy, and fatigue reflect bone marrow failure and organ infiltration, which occur in leukemia. Symptoms of Ewings sarcoma involve pain and soft tissue swelling around the affected bone. Wilms tumor usually manifests as an abdominal mass with abdominal pain and may include renal symptoms, such as hematuria, hypertension, and anemia. Neuroblastoma manifests primarily as an abdominal, chest, bone, or joint mass. Symptoms are dependent on the extent and involvement of the tumor. 4. Which nursing diagnosis is a priority for the 4-year-old child newly diagnosed with leukemia? a. Ineffective breathing pattern related to mediastinal disease b. Risk for infection related to immunosuppressed state c. Disturbed body image related to alopecia d. Impaired skin integrity related to radiation therapy ANS: B Leukemia is characterized by the proliferation of immature white blood cells, which lack the ability to fight infection. An ineffective breathing pattern related to mediastinal disease would apply to a child with non-Hodgkins lymphoma or any cancer involving the chest area. Disturbed body image related to alopecia is a nursing diagnosis related to chemotherapy, but it is not of the highest priority. Not all children have a body image disturbance as a result of alopecia, especially not preschoolers. This would be of more concern to an adolescent. Radiation therapy is not a treatment for leukemia. 8. A nurse determines that parents understood the teaching from the pediatric oncologist if the parents indicate that which test confirms the diagnosis of leukemia in children? a. Complete blood cell count (CBC) b. Lumbar puncture c. Bone marrow biopsy d. Computed tomography (CT) scan www.testbanktank.com ANS: C The confirming test for leukemia is microscopic examination of bone marrow obtained by bone marrow aspiration and biopsy. A CBC may show blast cells that would raise suspicion of leukemia. It is not a confirming diagnostic study. A lumbar puncture is done to check for central nervous system involvement in the child who has been diagnosed with leukemia. A CT scan may be done to check for bone involvement in the child with leukemia. It does not confirm a diagnosis. 5. Which statement made by a nurse to the parents of a child with leukemia should be included in discharge instructions? a. Your sons blood pressure must be taken daily while he is on chemotherapy. b. Limit your sons fluid intake just in case he has central nervous system (CNS) involvement. c. Your son must receive all of his immunizations in a timely manner. d. Your sons temperature should be taken daily. ANS: D An elevated temperature may be the only sign of an infection in an immunosuppressed child. Parents should be instructed to monitor their childs temperature daily because of the risk for infection, but it is not necessary to take a blood pressure daily. Fluid is never withheld as a precaution against increased intracranial pressure. If a child had confirmed CNS involvement with increased intracranial pressure, limiting fluid intake might be more appropriate. Children who are immunosuppressed should not receive any live virus vaccines. 6. What is the most appropriate nursing action when the nurse notes a reddened area on the forearm of a neutropenic child with leukemia? a. Massage the area. b. Turn the child more frequently. c. Document the finding and continue to observe the area. d. Notify the physician immediately. ANS: D Any signs of infection in a child who is immunosuppressed must be reported immediately because it is considered a medical emergency. When a child is neutropenic, pus may not be produced and the only sign of infection may be redness. In a child with neutropenia, a reddened area may be the only sign of an infection. The area should never be massaged. The forearm is not a typical pressure area; therefore, the likelihood of the redness being related to pressure is very small. The observation should be documented, but because it may be a sign of an infection and immunosuppression, the physician must also be notified. 7. What is the nurses best response to a mother whose child has a diagnosis of acute lymphoblastic leukemia and is expressing guilt about not having responded sooner to her childs symptoms? a. You should always call the physician when your child has a change in what is normal for him. b. It is better to be safe than sorry. c. It is not uncommon for parents not to notice subtle changes in their childrens health. d. I hope this delay does not affect the treatment plan. www.testbanktank.com ANS: C Suggesting that noticing subtle changes in their childrens health is not uncommon minimizes the role the mother played in not seeking early medical attention. It also displays empathy, which helps to build trust, thereby enabling the mother to talk about her feelings. Identifying concerns and clarifying misconceptions will help families cope with the stress of chronic illness. The goal is to relieve the mothers guilt and build trust so that she can talk about her feelings. Telling the mother that she should have called the pediatrician will only reinforce her guilt. Adages such as It is better to be safe than sorry are flippant and reinforce the belief that the mother was negligent, which will only increase her guilt. Telling the mother that you hope the delay does not affect the treatment plan shows a total lack of empathy and would increase the mothers feelings of guilt. 8. A child with acute myeloblastic leukemia is scheduled to have a bone marrow transplant (BMT). The donor is the childs own umbilical cord blood that had been previously harvested and banked. What type of BMT would this be? a. Autologous b. Allogeneic c. Syngeneic d. Stem cell ANS: A In an autologous transplant, the childs own marrow or previously harvested and banked cord blood is used. In an allogeneic BMT, histocompatibility has been matched with a related or unrelated donor. In a syngeneic transplant, the child receives bone marrow from an identical twin. A stem cell transplantation uses a unique immature cell present in the peripheral circulation. 9. What should the nurse teach parents about oral hygiene for the child receiving chemotherapy? a. Brush the teeth briskly to remove bacteria. b. Use a mouthwash that contains alcohol. c. Inspect the childs mouth daily for ulcers. d. Perform oral hygiene twice a day. www.testbanktank.com ANS: C The childs mouth is inspected regularly for ulcers. At the first sign of ulceration, an antifungal drug is initiated. The teeth should be brushed with a soft-bristled toothbrush. Excessive force with brushing should be avoided because delicate tissue could be broken, causing infection or bleeding. Mouthwashes containing alcohol may be drying to oral mucosa, thus breaking down the protective barrier of the skin. 10. What is the absolute neutrophil count (ANC) for a WBC of total count 3000 with 30% neutrophils and 25% bands? ANS: 1650 The absolute neutrophil count can be easily calculated using the results from the childs CBC. Use the following formula: Add the percent of neutrophils and the percent of bands. Convert the summed percentage into decimal form (e.g., 55% = 0.55). Multiply that figure by the WBC (stated in thousands). 3000 0.55 = 1650. Chapter 7: Heart Failure 1. Which intervention should be included in the plan of care for an infant with the nursing diagnosis Fluid volume excess related to congestive heart failure? a. Weigh the infant every day on the same scale at the same time. b. Notify the physician when weight gain exceeds more than 20 g/day. c. Put the infant in a car seat to minimize movement. d. Administer digoxin (Lanoxin) as ordered by the physician. ANS: A Excess fluid volume may not be overtly visible. Weight changes may indicate fluid retention. Weighing the infant on the same scale at the same time each day ensures consistency. An excessive weight gain for an infant is an increase of more than 50 g/day. With fluid volume excess, skin will be edematous. The infants position should be changed frequently to prevent undesirable pooling of fluid in certain areas. Lanoxin is used in the treatment of congestive heart failure to improve cardiac function. Diuretics will help the body get rid of excess fluid. 2. The nurse assessing a premature newborn infant auscultates a continuous machinery-like murmur. This finding is associated with which congenital heart defect? a. Pulmonary stenosis b. Patent ductus arteriosus c. Ventricular septal defect d. Coarctation of the aorta ANS: B The classic murmur associated with patent ductus arteriosus is a machinery-like one that can be heard throughout both systole and diastole. A systolic ejection murmur that may be accompanied by a palpable thrill is a manifestation of pulmonary stenosis. The characteristic murmur associated with ventricular septal defect is a loud, harsh holosystolic murmur. A systolic murmur that is accompanied by an ejection click may be heard on auscultation when coarctation of the aorta is present. 3. A nurse is explaining a patent ductus arteriosus defect to the parents of a preterm infant. The parents indicate understanding of the defect when they state that a patent ductus arteriosus: a. involves a defect that results in a right-to-left shunting of blood in the heart. b. involves a defect in which the fetal shunt between the aorta and the pulmonary artery fails to close. www.testbanktank.com c. is a stenotic lesion that must be surgically corrected at birth. d. causes an abnormal opening between the four chambers of the heart. ANS: B Patent ductus arteriosus is failure of the fetal shunt between the aorta and the pulmonary artery to close. A patent ductus arteriosus allows blood to flow from the high-pressure aorta to the lowpressure pulmonary artery, resulting in a left-to-right shunt. Patent ductus arteriosus is not a stenotic lesion. Patent ductus arteriosus can be closed both medically and surgically. Atrioventricular defect occurs when fetal development of the endocardial cushions is disturbed, resulting in abnormalities in the atrial and ventricular septa and the atrioventricular valves. 4. What nursing action is appropriate to take when an infant with a congenital heart defect has an increased respiratory rate and sweating and is not feeding well? a. Check the infants temperature. b. Alert the physician. c. Withhold oral feeding. d. Increase the oxygen rate. ANS: B An increased respiratory rate, sweating, and not feeling well are signs of early congestive heart failure and the physician should be notified; they do not suggest a febrile process. Withholding the infants feeding is an incomplete response to the problem. Increasing oxygen may alleviate symptoms, but medications such as digoxin and furosemide are necessary to improve heart function and fluid retention. 5. Nursing care for the child in congestive heart failure includes which action? a. Counting the number of saturated diapers b. Putting the infant in the Trendelenburg position c. Removing oxygen while the infant is crying d. Organizing care to provide rest periods ANS: D Nursing care should be planned to allow for periods of undisturbed rest. Diapers must be weighed for an accurate record of output. The head of the bed should be raised to decrease the work of breathing. Oxygen should be administered during stressful periods such as when the child is crying. 6. Which strategy is appropriate when feeding the infant with congestive heart failure? a. Continue the feeding until a sufficient amount of formula is taken. b. Limit feedings to no more than 30 minutes. c. Always bottle feed every 4 hours. d. Feed larger volumes of concentrated formula less frequently. www.testbanktank.com ANS: B The infant with congestive heart failure may tire easily so the feeding should not continue beyond 30 minutes. If inadequate amounts of formula are taken, gavage feedings should be considered. Infants with congestive heart failure may be breast-fed or fed a smaller volume of concentrated formula. Feedings every 3 hours is a frequently used interval. If the infant were fed less frequently than every 3 hours, more formula would need to be consumed and would tire the infant. 7. Which congenital heart disease causes cyanosis when not repaired? Select all that apply. a. Patent ductus arteriosus (PDA) b. Tetralogy of Fallot c. Pulmonary atresia d. Transposition of the great arteries ANS: B, C, D Tetralogy of Fallot is a cyanotic lesion with decreased pulmonary blood flow. The hypoxia results in baseline oxygen saturations as low as 75% to 85%. Even with oxygen administration, saturations do not reach the normal range. Pulmonary atresia is a cyanotic lesion with decreased pulmonary blood flow. The hypoxia results in baseline oxygen saturations as low as 75% to 85%. Even with oxygen administration, saturations do not reach the normal range. Transposition of the great arteries is a cyanotic lesion with increased pulmonary blood flow. PDA is failure of the fetal shunt between the aorta and the pulmonary artery to close. PDA is not classified as a cyanotic heart disease. Prostaglandin E1 is often given to maintain ductal patency in children with cyanotic heart diseases. 8. A child with heart failure is on Lanoxin (digoxin). The laboratory value a nurse must closely monitor is which? a. Serum sodium b. Serum potassium c. Serum glucose d. Serum chloride ANS: B A fall in the serum potassium level enhances the effects of digoxin, increasing the risk of digoxin toxicity. Increased serum potassium levels diminish digoxins effect. Therefore, serum potassium levels (normal range, 3.55.5 mmol/L) must be carefully monitored. 9. An infant has tetralogy of Fallot. In reviewing the record, what laboratory result should the nurse expect to be documented? a. Leukopenia b. Polycythemia c. Anemia d. Increased platelet level ANS: B Persistent hypoxemia that occurs with tetralogy of Fallot stimulates erythropoiesis, which results in polycythemia, an increased number of red blood cells. 10. What child has a cyanotic congenital heart defect? a. An infant with patent ductus arteriosus www.testbanktank.com b. A 1-year-old infant with atrial septal defect c. A 2-month-old infant with tetralogy of Fallot d. A 6-month-old infant with repaired ventricular septal defect ANS: C Tetralogy of Fallot is a cyanotic congenital heart defect. Patent ductus arteriosus, atrial septal defect, and ventricular septal defect are acyanotic congenital heart defects. 11. The nurse is teaching parents about administering digoxin (Lanoxin). What instructions should the nurse tell the parents? a. If the child vomits, give another dose. b. Give the medication at regular intervals. c. If a dose is missed, give a give an extra dose. d. Give the medication mixed with the childs formula. ANS: B The family should be taught to administer digoxin at regular intervals. If a dose is missed, an extra dose should not be given; the same schedule should be maintained. If the child vomits, do not give a second dose. The drug should not be mixed with foods or other fluids because refusal to consume these would result in inaccurate intake of the drug. 1 2. Heart failure (HF) is a problem after the child has had a congenital heart defect repaired. The nurse knows a sign of HF is what? a. Wheezing b. Increased blood pressure c. Increased urine output d. Decreased heart rate ANS: A A clinical manifestation of heart failure is wheezing from pulmonary congestion. The blood pressure decreases, urine output decreases, and heart rate increases. 13. What medication used to treat heart failure (HF) is a diuretic? a. Captopril (Capten) b. Digoxin (Lanoxin) c. Hydrochlorothiazide (Diuril) d. Carvedilol (Coreg) ANS: C Hydrochlorothiazide is a diuretic. Captopril is an ACE inhibitor, digoxin is a digital glycoside, and carvedilol is a beta-blocker. www.testbanktank.com Chapter 8: Failure to Thrive 1. The nurse notes on assessment that a 1-year-old child is underweight, with abdominal distention, thin legs and arms, and foul-smelling stools. The nurse suspects failure to thrive associated with which condition? a. Celiac disease b. Intussusception c. Irritable bowel syndrome d. Imperforate anus ANS: A These are classic symptoms of celiac disease. Intussusception is not associated with failure to thrive or underweight, thin legs and arms, and foul-smelling stools. Stools are like currant jelly. Irritable bowel syndrome is characterized by diarrhea and pain, and the child does not typically have thin legs and arms. Imperforate anus is the incomplete development or absence of the anus in its normal position in the perineum. Symptoms are evident in early infancy. 2. A nurse should plan to implement which interventions for a child admitted with inorganic failure to thrive? Select all that apply. a. Observation of parentchild interactions b. Assignment of different nurses to care for the child from day to day c. Use of 28 calorie per ounce concentrated formulas d. Administration of daily multivitamin supplements e. Role-modeling appropriate adultchild interactions www.testbanktank.com ANS: A, D, E The nurse should plan to assess parentchild interactions when a child is admitted for nonorganic failure to thrive. The observations should include how the child is held and fed, how eye contact is initiated and maintained, and the facial expressions of both the child and the caregiver during interactions. Role modeling and teaching appropriate adultchild interactions (including holding, touching, and feeding the child) will facilitate appropriate parentchild relationships, enhance parents confidence in caring for their child, and facilitate expression by the parents of realistic expectations based on the childs developmental needs. Daily multivitamin supplements with minerals are often prescribed to ensure that specific nutritional deficiencies do not occur in the course of rapid growth. The nursing staff assigned to care for the child should be consistent. Providing a consistent caregiver from the nursing staff increases trust and provides the child with an adult who anticipates his or her needs and who is able to role model child care to the parent. Caloric enrichment of food is essential, and formula may be concentrated in titrated amounts up to 24 calories per ounce. Greater concentrations can lead to diarrhea and dehydration. 3. A 6-month-old infant presents to the clinic with failure to thrive, a history of frequent respiratory infections, and increasing exhaustion during feedings. On physical examination, a systolic murmur is detected, no central cyanosis, and chest radiography reveals cardiomegaly. An echocardiogram is done that shows left-to-right shunting. This assessment data is characteristic of what? a. Tetralogy of Fallot b. Coarctation of the aorta c. Pulmonary stenosis d. Ventricular septal defect ANS: D Heart failure is common with ventricular septal defect that causes failure to thrive, respiratory infections, and an increase in exhaustion during feedings. There is a characteristic murmur. The other defects do not have left-to-right shunting. Chapter 9: Tonic-Clonic Seizures 1. A child with spina bifida is being admitted to the hospital for a shunt revision? The nurse admitting the child anticipates which type of precautions to be ordered for the child? a. Latex b. Bleeding c. Seizure d. Isolation ANS: A Children with spina bifida are at high risk for developing latex allergies because of frequent exposure to latex during catheterizations, shunt placements, and other operations. The child with spina bifida does not have a risk for bleeding. Not all children with spina bifida are at risk for seizures and isolation would not be indicated in a child being admitted for a shunt revision. 2. Nursing care of the infant who has had a myelomeningocele repair should include which intervention? a. Securely fastening the diaper www.testbanktank.com b. Measurement of pupil size c. Measurement of head circumference d. Administration of seizure medications ANS: C Head circumference measurement is essential because hydrocephalus can develop in these infants. A diaper should be placed under the infant but not fastened. Keeping the diaper open facilitates frequent cleaning and decreases the risk for skin breakdown. Pupil size measurement is usually not necessary. Head circumference measurement is essential because hydrocephalus can develop in these infants. 3. A mother reports that her child has episodes in which he appears to be staring into space. This behavior is characteristic of which type of seizure? a. Absence b. Atonic c. Tonic-clonic d. Simple partial ANS: A Absence seizures are very brief episodes of altered awareness. The child has a blank expression. Atonic seizures cause an abrupt loss of postural tone, loss of consciousness, confusion, lethargy, and sleep. Tonic-clonic seizures involve sustained generalized muscle contractions followed by alternating contraction and relaxation of major muscle groups. There is no change in level of consciousness with simple partial seizures. Simple partial seizures consist of motor, autonomic, or sensory symptoms. 4. What is the best response to a father who tells the nurse that his son daydreams at home and his teacher has observed this behavior at school? a. Your son must have an active imagination. b. Can you tell me exactly how many times this occurs in one day? c. Tell me about your sons activity when you notice the daydreams. d. He is probably getting tired and needs a rest. ANS: C The daydream episodes are suggestive of absence seizures and data about activity associated with the daydreams should be obtained. Suggesting that the child has an active imagination does not address the childs symptoms or the fathers concern. The number of times the behavior occurs is consistent with absence seizures, which can occur one after the other several times a day. Determining an exact number of absence seizures is not as useful as learning about behavior before the seizure that might have precipitated seizure activity. Blaming the seizures on rest ignores both the childs symptoms and the fathers concern about the daydreaming behavior. 5. The nurse teaches parents to alert their healthcare provider about which adverse effect when a child receives valproic acid (Depakene) to control generalized seizures? a. Weight loss b. Bruising www.testbanktank.com c. Anorexia d. Drowsiness ANS: B Thrombocytopenia is an adverse effect of valproic acid. Parents should be alert for any unusual bruising or bleeding. Weight gain, not loss or anorexia, is a side effect of valproic acid. Drowsiness is not a side effect of valproic acid, although it is associated with other anticonvulsant medications. 6. What is the most appropriate nursing action when a child is in the tonic phase of a generalized tonic-clonic seizure? a. Guide the child to the floor if he is standing and go for help. b. Turn the childs body on his side. c. Place a padded tongue blade between the teeth. d. Quickly slip soft restraints on the childs wrists. ANS: B Positioning the child on his side will prevent aspiration. The child should be placed on a soft surface if he is not in bed; however, it would be inappropriate to leave the child during the seizure. Nothing should be inserted into the childs mouth during a seizure to prevent injury to the mouth, gums, or teeth. Restraints could cause injury. Sharp objects and furniture should be moved out of the way to prevent injury. 7. After a tonic-clonic seizure, it would not be unusual for a child to display which symptom? a. Irritability and hunger b. Lethargy and confusion c. Nausea and vomiting d. Nervousness and excitability ANS: B In the period after a tonic-clonic seizure, the child may be confused and lethargic. Some children may sleep for a period of time. Neither irritability nor hunger is typical of the period after a tonic-clonic seizure. Nausea and vomiting are not expected reactions in the postictal period. The child will more likely be confused and lethargic after a tonic-clonic seizure. 8. What should the nurse teach parents when the child is taking phenytoin (Dilantin) to control seizures? a. The child should use a soft toothbrush and floss his teeth after every meal. b. The child will require monitoring of his liver function while taking this medication. c. Dilantin should be taken with food because it causes gastrointestinal distress. d. The medication can be stopped when the child has been seizure free for 1 month. ANS: A A side effect of Dilantin is gingival hyperplasia. Good oral hygiene will minimize this adverse effect. The child receiving Depakene (valproic acid) should have liver function studies because this anticonvulsant may cause hepatic dysfunction. Dilantin has not been found to cause gastrointestinal upset. The medication can be taken without food. Anticonvulsants should never be stopped suddenly or without consulting the physician. Such action could result in seizure activity. 9. A child is brought to the emergency department in generalized tonic-clonic status epilepticus. Which medication should the nurse expect to be given initially in this situation? a. Clorazepate dipotassium (Tranxene) b. Fosphenytoin (Cerebyx) c. Phenobarbital d. Lorazepam (Ativan) www.testbanktank.com ANS: D Lorazepam or diazepam is given intravenously to control generalized tonic-clonic status epilepticus and may also be used for seizures lasting more than 5 minutes. Clorazepate dipotassium (Tranxene) is indicated for cluster seizures. It can be given orally. Fosphenytoin and phenobarbital can be given intravenously as a second round of medication if seizures continue. 10. Which interventions should the nurse perform if a child is having a tonic-clonic seizure? Select all that apply. a. Place a padded tongue blade in the childs mouth. b. Place the child in a supine position. c. Time the seizure. d. Restrain the child. e. Stay with the child. f. Loosen the childs clothing. ANS: C, E, F As a seizure begins the nurse should look at his or her watch and time the seizure. The nurse should protect the child from injury by loosening clothing at the neck and turning the child gently onto the side, removing any obstacles in the childs environment. Do not restrain the child or insert any object into the childs mouth. Chapter 10: Diabetes Mellitus Type 1 1. A nurse is assessing a child with diabetes insipidus. Which sign should the nurse expect to note? a. Weight gain b. Increased urine specific gravity c. Increased urination d. Serum sodium level of 130 mEq/L ANS: C The deficiency of antidiuretic hormone associated with diabetes insipidus causes the body to excrete large volumes of dilute urine. Weight gain results from retention of water when there is an excessive production of antidiuretic hormone; in diabetes insipidus there is a decreased production of antidiuretic hormone. Concentrated urine is a sign of the syndrome of inappropriate antidiuretic hormone (SIADH), in which there is an excessive production of antidiuretic hormone. A deficiency of antidiuretic hormone, as with diabetes insipidus, results in an increased serum sodium concentration (greater than 145 mEq/L). 2. What should the nurse include in the teaching plan for parents of a child with diabetes insipidus who is receiving DDAVP intranasally? a. Increase the dosage of DDAVP as the urine specific gravity (SG) increases. www.testbanktank.com b. Give DDAVP only if the urine output decreases. c. Child should have free access to water and toilet facilities at school. d. Cleanse the skin before administering the transdermal patch. ANS: C The childs teachers should be aware of the diagnosis and the child should have free access to water and toilet facilities at school. DDAVP needs to be given as ordered by the physician. If the parents are monitoring urine SG at home, they would not increase the medication dose for increased SG; the physician may order an increased dosage for very dilute urine with decreased SG. DDAVP needs to be given continuously as ordered by the physician. DDAVP is typically given intranasally or by subcutaneous injection. For nocturnal enuresis, it may be given orally. 3. A nurse is explaining growth hormone deficiency to parents of a child admitted to rule out this problem. Which metabolic alteration should the nurse explain to the parent that is related to growth hormone deficiency? a. Hypocalcemia b. Hypoglycemia c. Diabetes insipidus d. Hyperglycemia ANS: B Growth hormone helps maintain blood sugar at normal levels. Symptoms of hypocalcemia are associated with hypoparathyroidism. Diabetes insipidus is a disorder of the posterior pituitary. Growth hormone is produced by the anterior pituitary. Hyperglycemia results from an insufficiency of insulin, which is produced by the beta cells in the islets of Langerhans in the pancreas. 4. Which statement made by a 14-year-old adolescent who is newly diagnosed with insulindependent diabetes mellitus (IDDM) indicates a need for further teaching? a. I should eat meals and snack at the same time every day. b. Exercise will decrease my insulin requirements. c. It is okay to drink chocolate milk with meals. d. I need to check my sugars before meals and at bedtime. ANS: C Chocolate milk is high in carbohydrates. Carbohydrates raise blood glucose levels. A beverage low in carbohydrates is a better choice. Meals and snacks should be eaten at regular times. Exercise decreases insulin requirements. Checking serum glucose before breakfast and dinner is appropriate. 5. What is the primary concern for a 7-year-old child with insulin-dependent diabetes mellitus (IDDM) who asks his mother not to tell anyone at school that he has diabetes? a. The childs safety b. The privacy of the child c. Development of a sense of industry d. Peer group acceptance www.testbanktank.com ANS: A Safety is the primary issue. School personnel need to be aware of the signs and symptoms of hypoglycemia and hyperglycemia and the appropriate interventions. Privacy is not a lifethreatening concern. The treatment of IDDM should not interfere with the school-age childs development of a sense of industry. Peer group acceptance and body image are issues for the early adolescent with IDDM. This is not of greater priority than the childs safety. 6. Which is the best nursing action when a child with insulin-dependent diabetes mellitus is sweating, trembling, and pale? a. Offer the child a glass of water. b. Give the child 5 units of Regular insulin subcutaneously. c. Give the child a glass of orange juice. d. Give the child glucagon subcutaneously. ANS: C Four ounces of orange juice is an appropriate treatment for the conscious child who is exhibiting signs of hypoglycemia. A glass of water is not indicated in this situation. An easily digested carbohydrate is indicated when a child exhibits symptoms of hypoglycemia. Insulin would lower blood glucose and is contraindicated for a child with hypoglycemia. Subcutaneous injection of glucagon is used to treat hypoglycemia when the child is unconscious. 7. Which sign is the nurse most likely to assess in a child with hypoglycemia? a. Urine positive for ketones and serum glucose greater than 300 mg/dL b. Normal sensorium and serum glucose greater than 160 mg/dL c. Irritability and serum glucose less than 70 mg/dL d. Increased urination and serum glucose less than 120 mg/dL ANS: C Irritability and serum glucose less than 70 mg/dL are neuroglycopenic manifestations of hypoglycemia. Serum glucose greater than 300 mg/dL and urine positive for ketones are indicative of diabetic ketoacidosis. Normal sensorium and serum glucose greater than 160 mg/dL are associated with hyperglycemia. Increased urination is an indicator of hyperglycemia. A serum glucose level less than 120 mg/dL is within normal limits. 8. When would a child diagnosed with insulin-dependent diabetes mellitus most likely demonstrate a decreased need for insulin? a. During the honeymoon phase www.testbanktank.com b. During adolescence c. During growth spurts d. During minor illnesses ANS: A During the honeymoon phase, which may last from a few weeks to a year or longer, the child is likely to need less insulin. During adolescence, physical growth and hormonal changes contribute to an increase in insulin requirements. Insulin requirements are typically increased during growth spurts. Stress either from illness or from events in the environment can cause hyperglycemia. Insulin requirements are increased during periods of minor illness. 9. What should a nurse suggest to the parent of a child with insulin-dependent diabetes mellitus (IDDM) who is not eating as a result of a minor illness? a. Give the child half his regular morning dose of insulin. b. Substitute calorie-containing liquids for solid food to maintain normal serum glucose levels. c. Give the child plenty of unsweetened, clear liquids to prevent dehydration. d. Take the child directly to the emergency department. ANS: B Calorie-containing liquids will maintain normal serum glucose levels and decrease the risk of hypoglycemia. The child should receive his regular dose of insulin even if he does not have an appetite. If the child is not eating as usual, he needs calories to prevent hypoglycemia. During periods of minor illness, the child with IDDM can be managed safely at home. 10. Which is the nurses best response to the parents of a 10-year-old child newly diagnosed with insulin-dependent diabetes mellitus (IDDM) who are concerned about the childs continued participation in soccer? a. Consider the swim team as an alternative to soccer. b. Encourage intellectual activity rather than participation in sports. c. It is okay to play sports such as soccer when the weather is moderate. d. Give the child an extra 15 to 30 grams of carbohydrate snack before soccer practice. ANS: D Exercise lowers blood glucose levels. A snack with 15 to 30 grams of carbohydrates before exercise will decrease the risk of hypoglycemia. Soccer is an appropriate sport for a child with IDDM as long as the child prevents hypoglycemia by eating a snack. Participation in sports is not contraindicated for a child with IDDM. The child with IDDM may participate in sports activities regardless of climate. 11. Which comment made by a 12-year-old child with insulin-dependent diabetes mellitus (IDDM) indicates a knowledge deficit? a. I rotate my insulin injection sites every time I give myself an injection. b. I keep records of my glucose levels and insulin sites and amounts. c. Ill be glad when I can take a pill for my diabetes like my uncle does. d. I keep Lifesavers in my school bag in case I have a low-sugar reaction. ANS: C Children with IDDM will require life-long insulin therapy. Rotating injection sites is appropriate because insulin absorption varies at different sites. Keeping records of serum glucose and insulin sites and amounts is appropriate. Prompt treatment of hypoglycemia reduces the possibility of a severe reaction. Keeping hard candy on hand is an appropriate action. 12. Which laboratory findings would confirm that a child with insulin-dependent diabetes mellitus (IDDM) is experiencing diabetic ketoacidosis? a. No urinary ketones www.testbanktank.com b. Low arterial pH c. Elevated serum carbon dioxide d. Elevated serum phosphorus ANS: B Severe insulin deficiency produces metabolic acidosis, which is indicated by a low arterial pH. Urinary ketones, often in large amounts, are present when a child is in diabetic ketoacidosis. Serum carbon dioxide is decreased in diabetic ketoacidosis. Serum phosphorus is decreased in diabetic ketoacidosis. 13. A nurse is preparing to administer 10 units of Regular insulin and 5 units of Lente insulin. Place in order the steps the nurse should follow to administer the total dosage of 15 units of insulin. Place the initial step first and end with the final step. Use the following format for your answers: A, B, C, D a. Inject 5 units of air into the Lente insulin vial. b. Draw up the 5 units of Lente insulin. c. Inject 10 units of air into the Regular insulin vial. d. Cleanse the insulin vials with alcohol wipes. e. Draw up the 10 units of Regular insulin. ANS: D, A, C, E, B Cleanse the insulin vials with alcohol wipes initially. When mixing two different types of insulin, inject the appropriate amount of air into both vials and then withdraw the short-acting (clear) insulin first. So the steps should be to cleanse the insulin vials, inject air into the Lente, inject air into the Regular insulin vial, then draw the Regular (clear) insulin, and lastly draw the Lente (cloudy) insulin. Chapter 11: Second-Degree Burns 1. The depth of a burn injury may be classified as: a. localized or systemic. b. superficial, superficial partial thickness, deep partial thickness, or full thickness. c. electrical, chemical, or thermal. d. minor, moderate, or major. ANS: B The vocabulary to classify the depth of burn is superficial, partial thickness, or full thickness. These terms refer to the effect of the burn injury. For example, is there a reaction in the area of the burn (localized) or throughout the body (systemic)? Electrical, chemical, or thermal are terms that refer to the cause of the burn injury. Minor, moderate, or major are terms that refer to the severity of the burn injury. 2. What is the major difference between caring for an infant with burns and an adolescent with burns? a. An increased risk of cardiovascular problems in the infant www.testbanktank.com b. A decreased need for caloric intake in the infant c. An increased risk for hypervolemia in the adolescent d. A decreased need for electrolyte replacement in the infant ANS: A The higher proportion of body fluid to body mass in infants increases the risk of cardiovascular problems because of a less effective cardiovascular response to changing intravascular volume. Infants are at an increased risk for protein and calorie deficiency because they have smaller muscle mass and lower body fat. Hypovolemia is a risk for all burn patients; however, the risk is higher for the infant than for the adolescent. There is an increased risk for electrolyte loss in the infant because of the larger body surface area. 3. Which procedure is contraindicated in the care of a child with a minor partial-thickness burn injury wound? a. Cleaning the affected area with mild soap and water b. Applying antimicrobial ointment to the burn wound c. Changing dressings daily d. Leaving all loose tissue or skin intact ANS: D All loose skin and tissue should be debrided because it can become a breeding ground for infectious organisms. Cleaning with mild soap and water is important to the healing process. Antimicrobial ointment is used on the burn wound to fight infection. Clean dressings are applied daily to prevent wound infection. When dressings are changed, the condition of the burn wound can be assessed. 4. The process of burn shock continues until which physiological mechanism occurs? a. Heart rate returns to normal. b. Airway swelling decreases. c. Body temperature regulation returns to normal. d. Capillaries regain their seal. ANS: D Within minutes of the burn injury, the capillary seals are lost with a massive fluid leakage into the surrounding tissue, resulting in burn shock. The process of burn shock continues for approximately 24 to 48 hours, when capillary seals are restored. The heart rate will be increased throughout the healing process because of increased metabolism. Airway swelling subsides over a period of 2 to 5 days after injury. Body temperature regulation will not be normal until healing is well under way. 5. To assess the child with severe burns for adequate perfusion, the nurse monitors which area? a. Distal pulses b. Skin turgor www.testbanktank.com c. Urine output d. Mucous membranes ANS: C Urine output reflects the adequacy of end-organ perfusion. Distal pulses may be affected by many variables. Urine output is the most reliable indicator of end-organ perfusion. Skin turgor is often difficult to assess on burn patients because the skin is not intact. Mucous membranes do not reflect end-organ perfusion. 6. Which medication would be best for the nurse to administer before a dressing change for the severely burned child? a. Codeine b. Benadryl c. Morphine d. Acetaminophen ANS: C Morphine is the drug of choice for pain management in the severely burned child. It should be administered intravenously. Codeine may be used to diminish pain between dressing changes. Benadryl is administered to relieve discomfort from itching. Acetaminophen can be given for discomfort between painful procedures. 7. Which nursing assessment and care holds the highest priority in the initial care of a child with a major burn injury? a. Establishing and maintaining the childs airway b. Establishing and maintaining intravenous access c. Insertion of a catheter to monitor hourly urine output d. Insertion of a nasogastric tube into the stomach to supply adequate nutrition ANS: A Establishing and maintaining the childs airway are always the priority focus for assessment and care. Establishing intravenous access is the second priority in this situation, after the airway has been established. Inserting a catheter and monitoring hourly urine output are the third most important nursing intervention. Nasogastric feedings are not begun initially on a child with major or severe burns. The initial assessment and care focus for a child with major burn injuries are the ABCs. Chapter 12: Sickle Cell Anemia 1. Which is true about the genetic transmission of sickle cell disease? a. Both parents must carry the sickle cell trait. b. Both parents must have sickle cell disease. c. One parent must have the sickle cell trait. d. Sickle cell disease has no known pattern of inheritance. www.testbanktank.com ANS: A Sickle cell disease has an autosomal recessive transmission pattern, which means that both parents must be carriers of the sickle cell trait. The sickle cell trait, not the disease itself, must be present in the parents for the child to have the disease. 2. What are the nursing priorities for a child with sickle cell disease in vaso-occlusive crisis? a. Administration of antibiotics and nebulizer treatments b. Hydration and pain management c. Blood transfusions and an increased calorie diet d. School work and diversion ANS: B Hydration and pain management decrease the cells oxygen demands and prevent sickling. Antibiotics may be given prophylactically. Oxygen therapy rather than nebulizer treatments is used to prevent further sickling. Although blood transfusions and increased calories may be indicated, they are not primary considerations for a vaso-occlusive crisis. Schoolwork and diversion are not major considerations when the child is in a vaso-occlusive crisis. 3. A child with sickle cell disease is seen in the emergency department with increasing back and leg pain for the past 2 days. What is this child most likely experiencing? a. A vaso-occlusive crisis b. Acute splenic sequestration c. Erythroblastopenia d. Acute chest syndrome ANS: A A vaso-occlusive crisis is the most common type of crisis and is characterized by mild to severe pain. Pain can occur anywhere, but is typically manifested as bone or joint pain. Symptoms of acute splenic sequestration are associated with blood volume pooling, causing splenic enlargement and hypovolemic shock. Symptoms of pallor, lethargy, headache, and upper respiratory infection seen in erythroblastopenia result from decreased blood cell production by the bone marrow. Chest pain, fever, and cough are characteristic of acute chest syndrome. 4. What should the discharge plan for a school-age child with sickle cell disease include? a. Restricting the childs participation in outside activities b. Administering aspirin for pain or fever c. Limiting the childs interaction with peers d. Administering penicillin daily as ordered ANS: D Children with sickle cell disease are at a high risk for pneumococcal infections and should receive long-term penicillin therapy and preventive immunizations. Sickle cell disease does not prohibit the child from outdoor play. Active and passive exercises help promote circulation. Aspirin use should be avoided. Acetaminophen or ibuprofen should be administered for fever or pain. The child needs to interact with peers to meet his developmental needs. 5. How should the nurse respond when asked by the mother of a child with beta-thalassemia why the child is receiving deferoxamine? a. To improve the anemia. www.testbanktank.com b. To decrease hepatosplenomegaly. c. To prevent organ damage. d. To prepare your child for a bone marrow transplant. ANS: C Multiple transfusions result in hemosiderosis. Deferoxamine is given to chelate iron and prevent organ damage and complications from repeated transfusions. Preparation for a bone marrow transplant would not include administration of deferoxamine. 6. The nurse is caring for a child with aplastic anemia. Which of the following nursing diagnoses would be appropriate? Select all that apply. a. Acute pain related to vaso-occlusion b. Risk for infection related to inadequate secondary defenses or immunosuppression c. Ineffective protection related to thrombocytopenia d. Ineffective tissue perfusion related to anemia ANS: B, C, D Risk for infection, ineffective protection, and ineffective tissue perfusion are appropriate nursing diagnoses for the nurse planning care for a child with aplastic anemia. Aplastic anemia is a condition in which the bone marrow ceases production of the cells it normally manufactures, resulting in pancytopenia. The child will have varying degrees of the disease depending on how low the values are for absolute neutrophil count (affecting the bodys response to infection), platelet count (putting the child at risk for bleeding), and absolute reticulocyte count (causing the child to have anemia). Acute pain related to vaso-occlusion is an appropriate nursing diagnosis for sickle cell anemia for the child in vaso-occlusive crisis, but it is not applicable to a child with aplastic anemia. 7. A nurse is teaching home care instructions to parents of a child with sickle cell disease. Which instructions should the nurse include? Select all that apply. a. Limit fluid intake. b. Administer aspirin for fever. c. Administer penicillin as ordered. d. Avoid cold and extreme heat. e. Provide for adequate rest periods. www.testbanktank.com ANS: C, D, E Parents should be taught to avoid cold, which can increase sickling, and extreme heat, which can cause dehydration. Adequate rest periods should be provided. Penicillin should be administered daily as ordered. The use of aspirin should be avoided; acetaminophen or ibuprofen should be used as an alternative. Fluids should be encouraged and an increase in fluid intake is encouraged in hot weather or when there are other risks for dehydration. Chapter 13: Attention Deficit Hyperactivity Disorder 1. A nurse is assessing a child with a depressive disorder. Which symptom is likely to be manifested by the child? a. Increased nighttime waking b. Impulsivity and distractibility c. Carelessness and inattention to details d. Refusal to leave the house ANS: A Sleep pattern disturbances are often associated with depression. These include insomnia or hypersomnia. Impulsivity and distractibility are manifestations of attention-deficit hyperactivity disorder (ADHD). A diminished ability to think or concentrate, carelessness, and inattention to details are clinical manifestations of a depressive disorder. A refusal to leave the house, even to play with friends, is characteristic of separation anxiety disorder. 2. What is the goal of therapeutic management for a child diagnosed with attention-deficit hyperactivity (ADHD) disorder? a. Administer stimulant medications. b. Assess the child for other psychosocial disorders. c. Correct nutritional imbalances. d. Reduce the frequency and intensity of unsocialized behaviors. ANS: D The primary goal of therapeutic management for the child with ADHD is to reduce the intensity and frequency of unsocialized behaviors. Although medications are effective in managing behaviors associated with ADHD, all families do not choose to give their child medication. Administering medication is not the primary goal. Children with ADHD may have other psychosocial or learning problems; however, diagnosing these is not the primary goal. Interventions to correct nutritional imbalances are the primary focus of care for eating disorders. 3. A nurse is assessing a child with attention-deficit hyperactivity disorder (ADHD). Which manifestation should the nurse not expect to assess? a. Talking incessantly b. Blurting out the answers to questions before the questions have been completed c. Acting withdrawn in social situations d. Fidgeting with hands or feet www.testbanktank.com ANS: C The child with ADHD tends to be talkative, often interrupting conversations, rather than withdrawn in social situations. Talking excessively is a characteristic of impulsivity/hyperactivity. Blurting out the answers to questions before the questions have been completed is an indication of the impulse control that is often lacking in children with ADHD. The child with ADHD tends to be talkative, often interrupting conversations, rather than withdrawn in social situations. Chapter 14: Obesity 1. The nurse is planning to admit a 14-year-old adolescent with Cushing syndrome. What clinical manifestations should the nurse expect to observe in this child? (Select all that apply.) a. Truncal obesity b. Decreased pubic hair c. Petechial hemorrhage d. Hyperpigmentation of elbows e. Facial plethora f. Headache and weakness ANS: A, C, E Clinical manifestations of Cushing syndrome include truncal obesity, petechial hemorrhage, and facial plethora. Decreased pubic and axillary hair; hyperpigmentation of elbows, knees, and wrists; and headache and weakness are clinical manifestations of adrenocortical insufficiency. 2. A child with Prader-Willi syndrome has been hospitalized. Which assessment findings does the nurse expect with this syndrome? a. Nonverbal b. Insatiable hunger c. Abnormal, puppetlike gait d. Paroxysms of inappropriate laughter ANS: B Prader-Willi syndrome is characterized by insatiable hunger that can lead to morbid obesity in childhood. Abnormal, puppetlike gait, paroxysms of inappropriate laughter, and nonverbal are characteristics seen in Angelman syndrome. 3. The nurse is teaching parents about the effects of media on childhood obesity. The nurse realizes the parents understand the teaching if they make which statements? (Select all that apply.) a. Advertising of unhealthy food can increase snacking. b. Increased screen time may be related to unhealthy sleep. c. There is a link between the amount of screen time and obesity. d. Increased screen time can lead to better knowledge of nutrition. e. Physical activity increases when children increase the amount of screen time. www.testbanktank.com ANS: A, B, C A number of studies have demonstrated a link between the amount of screen time and obesity. Advertising of unhealthy food to children is a long-standing marketing practice, which may increase snacking in the face of decreased activity. In addition, both increased screen time and unhealthy eating may also be related to unhealthy sleep. Increased screen time does not lead to a better knowledge of nutrition or increased physical activity. 4. The nurse is teaching a class on obesity prevention to parents in the community. What is a contributing factor to childhood obesity? a. Birth weight

Contact the Seller

Please Sign In to contact this seller.


  • 👎  Report Copyright Violation

Frequently Asked Questions

What Do I Get When I Buy This Study Material?

+

When you buy a study material on Passing Grades, an instant download link will be sent directly to your email, giving you access to the file anytime after payment is completed.

Is Passing Grades a Trusted Platform?

+

Yes, Passing Grades is a reputable students’ marketplace with a secure payment system and reliable customer support. You can trust us to ensure a safe and seamless transaction experience.

Will I Be Stuck with a Subscription?

+

No, all purchases on Passing Grades are one-time transactions. You only pay for the notes you choose to buy, with no subscriptions or hidden fees attached.

Who Am I Buying These Study Materials From?

+

Passing Grades is a marketplace, which means you are purchasing the document from an individual vendor, not directly from us. We facilitate the payment and delivery process between you and the vendor.

Does Passing Grades Offer Free Study Materials?

+

Yes, sellers on Passing Grades have uploaded numerous free test banks, exams, practice questions, and class notes that can be downloaded at no cost.

Pasinggrades - Quality Study Materials

USD 10

    • Quality checked by Pasing Grades
    • 100% satisfaction guarantee
    • Seller: Yna
Buy PDF $10

Seller Information

Yna

Member since October 2021

  • icon
  • icon
View Profile
  • total sales

    0
  • Favourites

    0
  • Comments

    0
    ( 0 Ratings )

Item Information

  • Uploaded

    14 October 2021

  • Updated

    29 September 2025

  • Category

    Nursing

  • Item Type

    exam

  • Tags

    test bank nursing Pediatric

Related Exam Prep Guides by Yna

ANATOMY BSC2346 A&P Module 03 Case Study,latest 2020 complete solutions 100% correct
View Document

ANATOMY BSC2346 A&P ...

  • Yna

    Yna

  • exam

ANATOMY BSC2346 A&P Module 03 Case Study,latest 2020 complete solutions 100% correct...

10 USD

0

0

Experience Overview FOCUSED EXAM COUGH Patient Danny Rivera Digital Clinical Experience Score 100%
View Document

Experience Overview ...

  • Yna

    Yna

  • exam

Experience Overview FOCUSED EXAM COUGH Patient Danny Rivera Digital Clinical Experience Score 100%...

10 USD

0

0

Health Science 2250 final exam notes
View Document

Health Science 2250 ...

  • Yna

    Yna

  • exam

Health Science 2250 final exam notes...

10 USD

0

0

Purchase

Download link will be sent to this email immediately after purchase.

IMPORTANT LINKS

  • How To Upload Class Notes
  • Selling Tips
  • Passing Grades's Study Materials
  • Scholarships for International Students 2026

POPULAR CATEGORIES

  • Law
  • Accounting
  • English
  • Psychology
  • Business
  • Nursing
  • Computer Science
  • General

View Document

  • Blog
  • Contact
  • Delivery Policy
  • Latest Scholarships Around the World
  • How to Pass Bar Exams: Passing Grades’ Strategies
  • How to Study and Pass the CPA Exam
  • All Test Banks
  • Faq
  • Copyright Claims
  • Privacy Policy
  • Terms of Use

KNOWLEDGE BASE

  • How to Write A+ Grade Good Research Paper
  • How to Manage Stress During Exam Period
  • Best Time to Study
  • How to Pass NCLEX-RN Exam
  • How To Effectively Utilize Test Banks
  • Popular Shadow Health Exam Assessments
  • Popular HESI Case Studies
  • How to Prepare for a Nursing Career
  • The Importance Of Summaries in Exam Revisvion

© 2026 Pasing Grades. All rights reserved.