Pasing Grades
  • Start Selling
  • Blog
  • Contact
  • 0

    Your cart is empty!

English

  • English
  • Spanish
  • Arabic
Create Account Sign In
  • Library
    • New Prep Guides
    • Featured Prep Guides
    • Free Exam Prep Guides
    • Best sellers
  • General
  • Nursing
    • Research Paper
    • Case Study
    • Discussion Post
    • Assignment
    • Exam
    • Practice Questions and Answers
    • Test Bank
    • solutions manual
    • study guide
  • Accounting
    • Case Study
    • Thesis
    • Study Guide
    • Summary
    • Research Paper
    • test bank
  • English
    • Creative Writing
    • Research Paper
    • Summary
    • Rhetorics
    • Literature
    • Journal
    • Exam
    • Grammar
    • Discussion Post
    • Essay
  • Psychology
    • Hesi
    • Presentation
    • Essay
    • Summary
    • Study Guide
    • Essay
    • Solution Manual
    • Final Exam Review
    • Class Notes
    • test bank
  • Business
    • Lecture Notes
    • Solution Manual
    • Presentation
    • Business Plan
    • Class Notes
    • Experiment
    • Summary
    • Practice Questions
    • Study Guide
    • Case Study
    • test bank
    • Exam
  • More
    • Computer Science
    • Economics
    • Statistics
    • Engineering
    • Biology
    • Religious Studies
    • Physics
    • Chemistry
    • Mathematics
    • History
    • Sociology
    • Science
    • Philosophy
    • Law
  • Pages
    • About Us
    • Selling Tips
    • Delivery Policy
    • Faq
    • Privacy Policy
  • Flash Sale
  • Home
  • Test Bank – Nursing Leadership, Management & Professional Practice for the LPN/LVN 6th Edition by Dahlkemper | Complete Q&A

Test Bank – Nursing Leadership, Management & Professional Practice for the LPN/LVN 6th Edition by Dahlkemper | Complete Q&A

Preview page 1 Preview page 2 Preview page 3
Add To Favorites

Share this item Share this item

  • Item Details
  • Comments (0)
  • Reviews (0)
  • Contact Seller

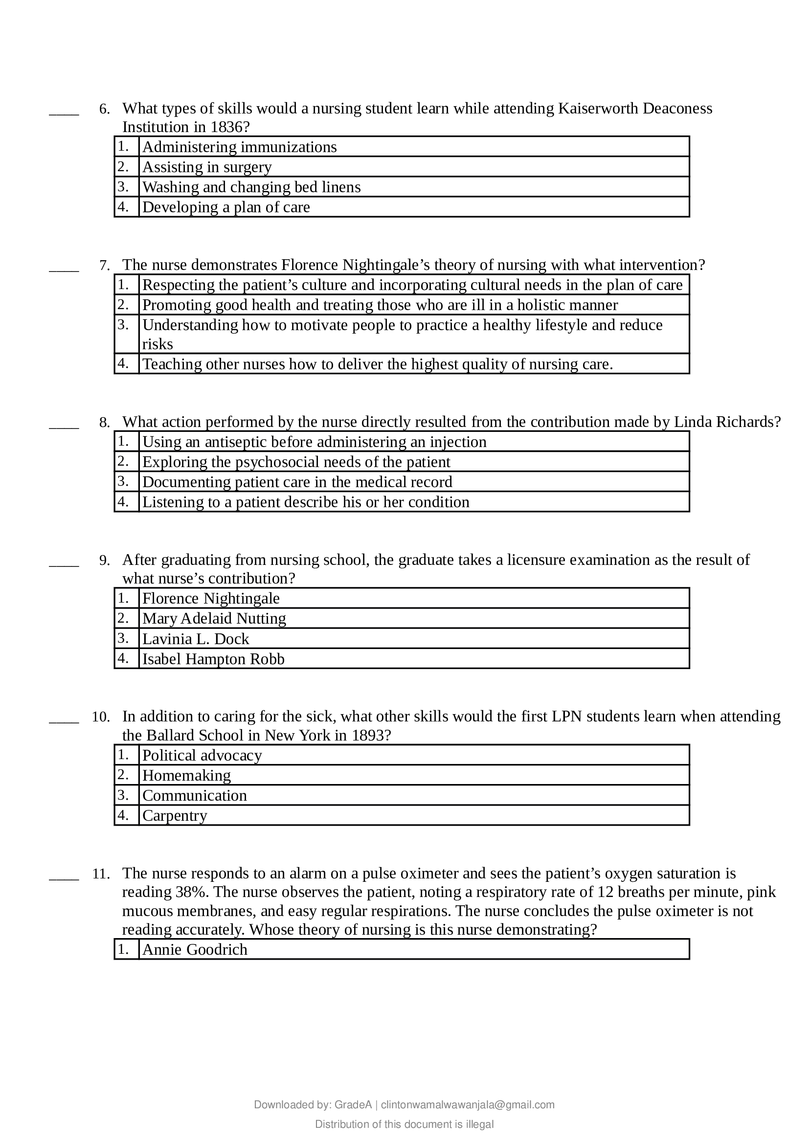
Chapter 1: Historical Perspective and Current Trends Multiple Choice Identify the choice that best completes the statement or answers the question. ____ 1. The nursing student predominantly uses knowledge about the history of nursing for what purpose? 1. To understand the professional choices open to the student 2. To prevent making medication errors in practice 3. To determine what geographical area is the best place to practice 4. To reduce the cost of delivering quality healthcare ____ 2. The nurse is working in an underdeveloped country and observes the natives lighting ritual fires and pounding on primitive drums around the sick person to promote recovery. The nurse interprets this behavior as indicating the natives believe illness results from what? 1. Pathogens and genetics 2. Evil spirits 3. Tides and planets 4. Plants and animals ____ 3. The person credited with making a written record of healthcare practices and removing the mythical aspect of healthcare is who? 1. Hammurabi 2. Florence Nightingale 3. Hippocrates 4. Apollo ____ 4. Who served as the first public health nurses, caring for the sick and the poor? 1. The Presbyterian Church 2. Salerno 3. Jewish scholars 4. Convent deaconesses ____ 5. What is a crucial issue the nurse working in the late industrialization era would need to address in order to promote health? 1. Reducing spread of infection 2. Reducing sedentary lifestyle 3. Teaching proper use of medications 4. Teaching use of car seats

Contact the Seller

Please Sign In to contact this seller.


  • 👎  Report Copyright Violation

Frequently Asked Questions

What Do I Get When I Buy This Study Material?

+

When you buy a study material on Passing Grades, an instant download link will be sent directly to your email, giving you access to the file anytime after payment is completed.

Is Passing Grades a Trusted Platform?

+

Yes, Passing Grades is a reputable students’ marketplace with a secure payment system and reliable customer support. You can trust us to ensure a safe and seamless transaction experience.

Will I Be Stuck with a Subscription?

+

No, all purchases on Passing Grades are one-time transactions. You only pay for the notes you choose to buy, with no subscriptions or hidden fees attached.

Who Am I Buying These Study Materials From?

+

Passing Grades is a marketplace, which means you are purchasing the document from an individual vendor, not directly from us. We facilitate the payment and delivery process between you and the vendor.

Does Passing Grades Offer Free Study Materials?

+

Yes, sellers on Passing Grades have uploaded numerous free test banks, exams, practice questions, and class notes that can be downloaded at no cost.

Pasinggrades - Quality Study Materials

USD 15

    • Quality checked by Pasing Grades
    • 100% satisfaction guarantee
    • Seller: Eddah-Nafula
Buy PDF $15

Seller Information

Eddah-Nafula

Member since June 2021

  • icon
  • icon
  • icon
View Profile
  • total sales

    0
  • Favourites

    0
  • Comments

    0
    ( 0 Ratings )

Item Information

  • Uploaded

    22 May 2022

  • Updated

    29 September 2025

  • Category

    Nursing

  • Item Type

    exam

  • Tags

    TEST BANK NURSING LEADERSHIP MANAGEMENT PROFESSIONAL PRACTICE LPN LVN 6TH EDITION DAHLKEMPER

Related Exam Prep Guides by Eddah-Nafula

HESI Pharmacology V2 – Practice Questions (120) Latest 2026
View Document

HESI Pharmacology V2...

  • Eddah-Nafula

    Eddah-Nafula

  • exam

HESI Pharmacology V2 – Practice Questions (120) Latest 2025...

15 USD

0

0

AIN2601 ASSIGNMENT 1 QUESTIONS AND ANSWERS 100 CORRECT (2021)
View Document

AIN2601 ASSIGNMENT 1...

  • Eddah-Nafula

    Eddah-Nafula

  • exam

AIN2601 ASSIGNMENT 1 QUESTIONS AND ANSWERS 100 CORRECT (2021)...

15 USD

0

0

Ashley Davis patho objectives 5,6,7,20
View Document

Ashley Davis patho o...

  • Eddah-Nafula

    Eddah-Nafula

  • exam

Ashley Davis patho objectives 5,6,7,20...

15 USD

0

0

Purchase

Download link will be sent to this email immediately after purchase.

IMPORTANT LINKS

  • How To Upload Class Notes
  • Selling Tips
  • Passing Grades's Study Materials
  • Scholarships for International Students 2026

POPULAR CATEGORIES

  • Law
  • Accounting
  • English
  • Psychology
  • Business
  • Nursing
  • Computer Science
  • General

View Document

  • Blog
  • Contact
  • Delivery Policy
  • Latest Scholarships Around the World
  • How to Pass Bar Exams: Passing Grades’ Strategies
  • How to Study and Pass the CPA Exam
  • All Test Banks
  • Faq
  • Copyright Claims
  • Privacy Policy
  • Terms of Use

KNOWLEDGE BASE

  • How to Write A+ Grade Good Research Paper
  • How to Manage Stress During Exam Period
  • Best Time to Study
  • How to Pass NCLEX-RN Exam
  • How To Effectively Utilize Test Banks
  • Popular Shadow Health Exam Assessments
  • Popular HESI Case Studies
  • How to Prepare for a Nursing Career
  • The Importance Of Summaries in Exam Revisvion

© 2026 Pasing Grades. All rights reserved.