Pasing Grades
  • Start Selling
  • Blog
  • Contact
  • 0

    Your cart is empty!

English

  • English
  • Spanish
  • Arabic
Create Account Sign In
  • Library
    • New Prep Guides
    • Featured Prep Guides
    • Free Exam Prep Guides
    • Best sellers
  • General
  • Nursing
    • Research Paper
    • Case Study
    • Discussion Post
    • Assignment
    • Exam
    • Practice Questions and Answers
    • Test Bank
    • solutions manual
    • study guide
  • Accounting
    • Case Study
    • Thesis
    • Study Guide
    • Summary
    • Research Paper
    • test bank
  • English
    • Creative Writing
    • Research Paper
    • Summary
    • Rhetorics
    • Literature
    • Journal
    • Exam
    • Grammar
    • Discussion Post
    • Essay
  • Psychology
    • Hesi
    • Presentation
    • Essay
    • Summary
    • Study Guide
    • Essay
    • Solution Manual
    • Final Exam Review
    • Class Notes
    • test bank
  • Business
    • Lecture Notes
    • Solution Manual
    • Presentation
    • Business Plan
    • Class Notes
    • Experiment
    • Summary
    • Practice Questions
    • Study Guide
    • Case Study
    • test bank
    • Exam
  • More
    • Computer Science
    • Economics
    • Statistics
    • Engineering
    • Biology
    • Religious Studies
    • Physics
    • Chemistry
    • Mathematics
    • History
    • Sociology
    • Science
    • Philosophy
    • Law
  • Pages
    • About Us
    • Selling Tips
    • Delivery Policy
    • Faq
    • Privacy Policy
  • Flash Sale
  • Home
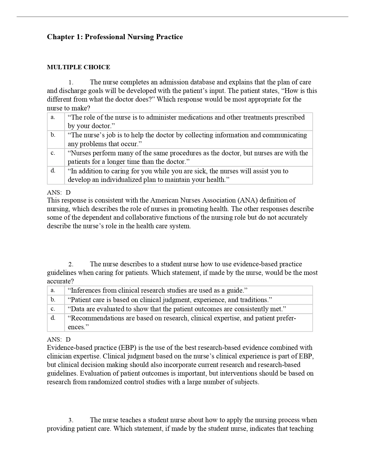
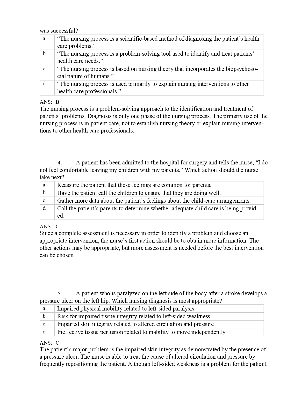
  • Test Bank Brunner & Suddarths Textbook of Medical-Surgical Nursing :15th Edition

Test Bank Brunner & Suddarths Textbook of Medical-Surgical Nursing :15th Edition

Preview page 1 Preview page 2 Preview page 3
Add To Favorites

Share this item Share this item

  • Item Details
  • Comments (0)
  • Reviews (0)
  • Contact Seller

Brunner & Suddarth’s Test Bank – 15th Edition

Your Complete Medical-Surgical Nursing Exam Prep Solution

If you’re preparing for medical-surgical nursing exams, the Brunner & Suddarth 15th Edition Test Bank is your ultimate study companion. Packed with NCLEX-style multiple-choice questions, detailed answers, and clear rationales, this resource is built for nursing students, educators, and healthcare professionals aiming to master core med-surg concepts.

Fully aligned with the latest nursing curriculum, this test bank supports evidence-based practice and reinforces what you’re already learning in class or clinicals.

Buy now and study smarter with the trusted Brunner & Suddarth Test Bank!

What’s Inside the Test Bank:

  • Hundreds of multiple-choice questions based on Brunner & Suddarth’s 15th Edition
  • Verified answers with detailed rationales
  • Full chapter coverage from the official textbook
  • Ideal for NCLEX, HESI, ATI, and course-based exams
  • Great for both self-assessment and instructor-led review

Why Choose the Brunner & Suddarth Test Bank?

Whether you’re brushing up on tricky topics or preparing for a high-stakes exam, this test bank is designed to boost your confidence and performance. It’s a practical, high-quality alternative to long hours of passive reading.

Looking for a free Brunner Test Bank PDF?

We offer a free sample of Chapter 1 so you can see the quality for yourself. While we don’t provide full versions for free, our test bank is expert-verified, 100% authentic, and designed to be well worth the investment.

Get ahead: Download the Brunner & Suddarth 15th Edition Test Bank now and start practicing smarter.

Sample Questions from the Test Bank for Brunner and Suddarth

1. A medical nurse is caring for a client who is receiving palliative care following cancer metastasis. The nurse is aware of the need to uphold the ethical principle of beneficence. How can the nurse best exemplify this principle in the care of this client?

A. The nurse tactfully regulates the number and timing of visitors as per the client's wishes.

B. The nurse stays with the client during their death.

C. The nurse ensures that all members of the care team are aware of the client's DNR order.

D. The nurse collaborates with members of the care team to ensure continuity of care.

ANS: A

Rationale: Beneficence is the duty to do good and the active promotion of benevolent acts. Enacting the client's wishes regarding visitors is an example of this. Each of the other nursing actions is consistent with ethical practice, but none directly exemplifies the principle of beneficence.

PTS:   1  REF: p. 25

NAT: Client Needs: Safe, Effective Care Environment: Management of Care

TOP: Chapter 1: Professional Nursing Practice     KEY: Integrated Process: Caring BLM: Cognitive Level: Apply        NOT: Multiple Choice

2. In the process of planning a client's care, the nurse has identified a nursing diagnosis of Ineffective Health Maintenance related to alcohol use. What must precede the determination of this nursing diagnosis?

A. Establishing of a plan to address the underlying problem

B. Assigning a positive value to each consequence of the diagnosis

C. Collecting and analyzing data that corroborate the diagnosis

D. Evaluating the client's chances of recovery

ANS: C

Rationale: In the diagnostic phase of the nursing process, the client's nursing problems are defined through analysis of client data. Establishing a plan comes after collecting and analyzing data; evaluating a plan is the last step of the nursing process; and assigning a positive value to each consequence is not done.

PTS:   1  REF: p. 16

NAT: Client Needs: Safe, Effective Care Environment: Management of Care TOP: Chapter 1: Professional Nursing Practice

KEY: Integrated Process: Nursing Process             BLM: Cognitive Level: Apply NOT: Multiple Choice

3. The provider has recommended an amniocentesis for an 18-year-old primiparous client. The client is at 34 weeks' gestation and does not want this procedure, but the health care provider arranges for the amniocentesis to be performed. The nurse should recognize that the provider is in violation of which ethical principle?

A. Veracity

B. Beneficence

C. Nonmaleficence

D. Autonomy

ANS: D

Rationale: The principle of autonomy specifies that individuals have the ability to make a choice free from external constraints. The provider's actions in this case violate this principle. This action may or may not violate the principle of beneficence. Veracity centers on truth-telling, and nonmaleficence is avoiding the infliction of harm.

PTS:   1  REF: p. 25

NAT: Client Needs: Safe, Effective Care Environment: Management of Care TOP: Chapter 1: Professional Nursing Practice

KEY: Integrated Process: Nursing Process             BLM: Cognitive Level: Analyze NOT: Multiple Choice

Want more sample questions? Download a free sample PDF of the med surg test bank with complete chapter 1 Brunner-style NCLEX questions

Ready to Level Up?

Don’t wait, get instant access and start prepping like a pro. Buy Now!

Contact the Seller

Please Sign In to contact this seller.


  • 👎  Report Copyright Violation

Frequently Asked Questions

What Do I Get When I Buy This Study Material?

+

When you buy a study material on Passing Grades, an instant download link will be sent directly to your email, giving you access to the file anytime after payment is completed.

Is Passing Grades a Trusted Platform?

+

Yes, Passing Grades is a reputable students’ marketplace with a secure payment system and reliable customer support. You can trust us to ensure a safe and seamless transaction experience.

Will I Be Stuck with a Subscription?

+

No, all purchases on Passing Grades are one-time transactions. You only pay for the notes you choose to buy, with no subscriptions or hidden fees attached.

Who Am I Buying These Study Materials From?

+

Passing Grades is a marketplace, which means you are purchasing the document from an individual vendor, not directly from us. We facilitate the payment and delivery process between you and the vendor.

Does Passing Grades Offer Free Study Materials?

+

Yes, sellers on Passing Grades have uploaded numerous free test banks, exams, practice questions, and class notes that can be downloaded at no cost.

Pasinggrades - Quality Study Materials

USD 15

    • Quality checked by Pasing Grades
    • 100% satisfaction guarantee
    • Seller: GradeA
Buy PDF $15

Seller Information

GradeA

Member since April 2021

  • icon
  • icon
  • icon
View Profile
  • total sales

    7
  • Favourites

    0
  • Comments

    0
    ( 0 Ratings )

Item Information

  • Uploaded

    14 August 2024

  • Updated

    17 October 2025

  • Category

    Nursing

  • Item Type

    test bank

  • Tags

    test Bank brunner & suddarth's textbook of medical surgical nursing

Related Exam Prep Guides by GradeA

Test Bank for Fundamentals of Corporate Finance 12th Edition By Stephen Ross and Randolph Westerfield and Bradford Jordan
View Document

Test Bank for Fundam...

  • GradeA

    GradeA

  • test bank

Test Bank for Fundamentals of Corporate Finance 12th Edition By Stephen Ross and Randolph Westerfiel...

15 USD

0

7

[SOLUTION MANUAL) Fundamentals of Corporate Finance 12th Edition By Stephen Ross and Randolph Westerfield and Bradford Jordan
View Document

[SOLUTION MANUAL) Fu...

  • GradeA

    GradeA

  • test bank

[SOLUTION MANUAL) Fundamentals of Corporate Finance 12th Edition By Stephen Ross and Randolph Wester...

15 USD

0

7

QMI1500 Assignment 02 2021 AS PER UPDATED TUTORIAL LETTER
View Document

QMI1500 Assignment 0...

  • GradeA

    GradeA

  • test bank

QMI1500 Assignment 02 2021 AS PER UPDATED TUTORIAL LETTER...

15 USD

0

7

Purchase

Download link will be sent to this email immediately after purchase.

IMPORTANT LINKS

  • How To Upload Class Notes
  • Selling Tips
  • Passing Grades's Study Materials
  • Scholarships for International Students 2026

POPULAR CATEGORIES

  • Law
  • Accounting
  • English
  • Psychology
  • Business
  • Nursing
  • Computer Science
  • General

View Document

  • Blog
  • Contact
  • Delivery Policy
  • Latest Scholarships Around the World
  • How to Pass Bar Exams: Passing Grades’ Strategies
  • How to Study and Pass the CPA Exam
  • All Test Banks
  • Faq
  • Copyright Claims
  • Privacy Policy
  • Terms of Use

KNOWLEDGE BASE

  • How to Write A+ Grade Good Research Paper
  • How to Manage Stress During Exam Period
  • Best Time to Study
  • How to Pass NCLEX-RN Exam
  • How To Effectively Utilize Test Banks
  • Popular Shadow Health Exam Assessments
  • Popular HESI Case Studies
  • How to Prepare for a Nursing Career
  • The Importance Of Summaries in Exam Revisvion

© 2026 Pasing Grades. All rights reserved.