Pasing Grades
  • Start Selling
  • Blog
  • Contact
  • 0

    Your cart is empty!

English

  • English
  • Spanish
  • Arabic
Create Account Sign In
  • Library
    • New Prep Guides
    • Featured Prep Guides
    • Free Exam Prep Guides
    • Best sellers
  • General
  • Nursing
    • Research Paper
    • Case Study
    • Discussion Post
    • Assignment
    • Exam
    • Practice Questions and Answers
    • Test Bank
    • solutions manual
    • study guide
  • Accounting
    • Case Study
    • Thesis
    • Study Guide
    • Summary
    • Research Paper
    • test bank
  • English
    • Creative Writing
    • Research Paper
    • Summary
    • Rhetorics
    • Literature
    • Journal
    • Exam
    • Grammar
    • Discussion Post
    • Essay
  • Psychology
    • Hesi
    • Presentation
    • Essay
    • Summary
    • Study Guide
    • Essay
    • Solution Manual
    • Final Exam Review
    • Class Notes
    • test bank
  • Business
    • Lecture Notes
    • Solution Manual
    • Presentation
    • Business Plan
    • Class Notes
    • Experiment
    • Summary
    • Practice Questions
    • Study Guide
    • Case Study
    • test bank
    • Exam
  • More
    • Computer Science
    • Economics
    • Statistics
    • Engineering
    • Biology
    • Religious Studies
    • Physics
    • Chemistry
    • Mathematics
    • History
    • Sociology
    • Science
    • Philosophy
    • Law
  • Pages
    • About Us
    • Selling Tips
    • Delivery Policy
    • Faq
    • Privacy Policy
  • Flash Sale
  • Home
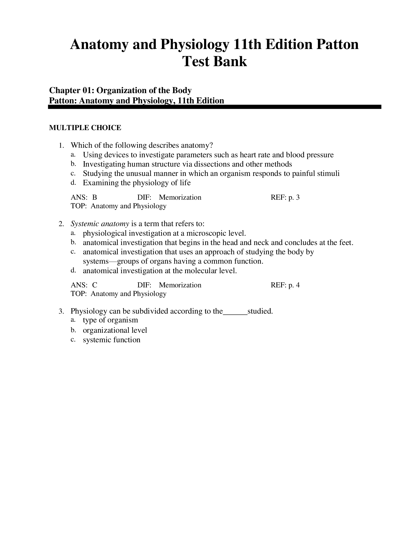
  • ​Test Bank for Anatomy & Physiology, 11th Edition by Kevin T. Patton et al. | Includes A&P Online Course

​Test Bank for Anatomy & Physiology, 11th Edition by Kevin T. Patton et al. | Includes A&P Online Course

Preview page 1 Preview page 2 Preview page 3
Add To Favorites

Share this item Share this item

  • Item Details
  • Comments (0)
  • Reviews (0)
  • Contact Seller

​Test Bank for Anatomy & Physiology 11th Ed Patton (Chapters 1-48)

If you're studying Anatomy & Physiology, this Test Bank for Anatomy & Physiology, 11th Edition by Kevin T. Patton et al. is your ultimate exam prep resource. Designed for students and educators, this A&P 11th Edition Test Bank includes a comprehensive set of multiple-choice questions, detailed answers, and explanations to help you master essential concepts.

This Anatomy and Physiology Test Bank is structured to align with the latest curriculum, ensuring you stay up to date with core A&P principles and applications.

Prepare with confidence: Buy now and excel in your A&P exams!

What’s Inside?

✔ Extensive collection of multiple-choice and exam-style questions
✔ Accurate answers with detailed explanations
✔ Covers all chapters of Anatomy & Physiology, 11th Edition
✔ Perfect for self-assessment, quizzes, and exam preparation

Don’t miss this essential study tool! Buy now for instant access to the complete Anatomy & Physiology Test Bank!

Why Choose This A&P Test Bank?

This Test Bank for Anatomy & Physiology, 11th Edition helps students strengthen their understanding of human body systems, physiology, and medical applications. Whether you're preparing for exams or reinforcing key concepts, this Anatomy & Physiology Test Bank is the perfect tool to boost your confidence and improve performance.

Looking for a Anatomy  & Physiology PDF Test Bank?

Need the Test Bank for Anatomy & Physiology 11th Edition PDF Free? While we don’t offer free versions, we provide authentic, high-quality content to help you succeed in your A&P coursework and exams.

Get ahead in your Anatomy & Physiology studies—Buy now and start practicing with the A&P 11th Edition Test Bank!

Table of Contents 

UNIT 1: The Body as a Whole
1. Organization of the Body
2. Homeostasis
3. Chemical Basis of Life
4. Biomolecules
5. Cell Structure
6. Cell Function
7. Cell Growth and Development
8. Introduction to Tissues
9. Tissue Types
UNIT 2: Support and Movement
10. Skin
11. Skeletal Tissues
12. Axial Skeleton
13. Appendicular Skeleton
14. Articulations
15. Axial Muscles
16. Appendicular Muscles
17. Muscle Contraction
UNIT 3: Communication, Control, and Integration
18. Nervous System Cells
19. Nerve Signaling
20. Central Nervous System
21. Peripheral Nervous System
22. Autonomic Nervous System
23. General Senses
24. Special Senses
25. Endocrine Regulation
26. Endocrine Glands
UNIT 4: Transportation and Defense
27. Blood
28. Heart
29. Blood Vessels
30. Circulation of Blood
31. Lymphatic System
32. Innate Immunity
33. Adaptive Immunity
34. Stress 
UNIT 5: Respiration, Nutrition and Excretion
35. Respiratory Tract
36. Ventilation
37. Gas Exchange and Transport
38. Upper Digestive Tract
39. Lower Digestive Tract
40. Digestion and Absorption
41. Nutrition and Metabolism
42. Urinary System
43. Fluid and Electrolyte Balance
44. Acid-Base Balance
UNIT 6: Reproduction and Development
45. Male Reproductive System
46. Female Reproductive System
47. Growth and Development
48. Genetics and Heredity

An Anatomy and Physiology Test Bank by Kevin T. Patton, PhD, Frank B. Bell, DC, MSHAPI, Terry Thompson, MS, MSHAPI and Peggie L. Williamson, PT, DPT, MS, MSHAPI

Contact the Seller

Please Sign In to contact this seller.


  • 👎  Report Copyright Violation

Frequently Asked Questions

What Do I Get When I Buy This Study Material?

+

When you buy a study material on Passing Grades, an instant download link will be sent directly to your email, giving you access to the file anytime after payment is completed.

Is Passing Grades a Trusted Platform?

+

Yes, Passing Grades is a reputable students’ marketplace with a secure payment system and reliable customer support. You can trust us to ensure a safe and seamless transaction experience.

Will I Be Stuck with a Subscription?

+

No, all purchases on Passing Grades are one-time transactions. You only pay for the notes you choose to buy, with no subscriptions or hidden fees attached.

Who Am I Buying These Study Materials From?

+

Passing Grades is a marketplace, which means you are purchasing the document from an individual vendor, not directly from us. We facilitate the payment and delivery process between you and the vendor.

Does Passing Grades Offer Free Study Materials?

+

Yes, sellers on Passing Grades have uploaded numerous free test banks, exams, practice questions, and class notes that can be downloaded at no cost.

Pasinggrades - Quality Study Materials

USD 15

    • Quality checked by Pasing Grades
    • 100% satisfaction guarantee
    • Seller: PHARMACIA
Buy PDF $15

Seller Information

PHARMACIA

Member since January 2024

  • icon
View Profile
  • total sales

    0
  • Favourites

    0
  • Comments

    0
    ( 0 Ratings )

Item Information

  • Uploaded

    18 January 2024

  • Updated

    08 July 2025

  • Category

    Nursing

  • Item Type

    test bank

  • Tags

    ​Test Bank for Anatomy & Physiology 11th Ed Patton Anatomy & Physiology Test Bank Patton Test Bank

Related Exam Prep Guides by PHARMACIA

ATI TEAS MATH - TEAS 6 2023-2024
View Document

ATI TEAS MATH - TEAS...

  • PHARMACIA

    PHARMACIA

  • test bank

ATI TEAS MATH - TEAS 6 2023-2024...

15 USD

0

0

Adult health hesi EXAM QUESTIONS & ANSWERS, LATEST UPDATE 2023-2024 RATED A+
View Document

Adult health hesi EX...

  • PHARMACIA

    PHARMACIA

  • test bank

Adult health hesi EXAM QUESTIONS & ANSWERS, LATEST UPDATE 2023-2024 RATED A+ – Download PDF...

15 USD

0

0

Adult health hesi test bank EXAM QUESTIONS & ANSWERS LATEST UPDATE 2023-2024 RATED A+
View Document

Adult health hesi te...

  • PHARMACIA

    PHARMACIA

  • test bank

Adult health hesi test bank EXAM QUESTIONS & ANSWERS LATEST UPDATE 2023-2024 RATED A+ – Download P...

15 USD

0

0

Purchase

Download link will be sent to this email immediately after purchase.

IMPORTANT LINKS

  • How To Upload Class Notes
  • Selling Tips
  • Passing Grades's Study Materials
  • Scholarships for International Students 2026

POPULAR CATEGORIES

  • Law
  • Accounting
  • English
  • Psychology
  • Business
  • Nursing
  • Computer Science
  • General

View Document

  • Blog
  • Contact
  • Delivery Policy
  • Latest Scholarships Around the World
  • How to Pass Bar Exams: Passing Grades’ Strategies
  • How to Study and Pass the CPA Exam
  • All Test Banks
  • Faq
  • Copyright Claims
  • Privacy Policy
  • Terms of Use

KNOWLEDGE BASE

  • How to Write A+ Grade Good Research Paper
  • How to Manage Stress During Exam Period
  • Best Time to Study
  • How to Pass NCLEX-RN Exam
  • How To Effectively Utilize Test Banks
  • Popular Shadow Health Exam Assessments
  • Popular HESI Case Studies
  • How to Prepare for a Nursing Career
  • The Importance Of Summaries in Exam Revisvion

© 2026 Pasing Grades. All rights reserved.