Pasing Grades
  • Start Selling
  • Blog
  • Contact
  • 0

    Your cart is empty!

English

  • English
  • Spanish
  • Arabic
Create Account Sign In
  • Library
    • New Prep Guides
    • Featured Prep Guides
    • Free Exam Prep Guides
    • Best sellers
  • General
  • Nursing
    • Research Paper
    • Case Study
    • Discussion Post
    • Assignment
    • Exam
    • Practice Questions and Answers
    • Test Bank
    • solutions manual
  • Accounting
    • Case Study
    • Thesis
    • Study Guide
    • Summary
    • Research Paper
    • test bank
  • English
    • Creative Writing
    • Research Paper
    • Summary
    • Rhetorics
    • Literature
    • Journal
    • Exam
    • Grammar
    • Discussion Post
    • Essay
  • Psychology
    • Hesi
    • Presentation
    • Essay
    • Summary
    • Study Guide
    • Essay
    • Solution Manual
    • Final Exam Review
    • Class Notes
    • test bank
  • Business
    • Lecture Notes
    • Solution Manual
    • Presentation
    • Business Plan
    • Class Notes
    • Experiment
    • Summary
    • Practice Questions
    • Study Guide
    • Case Study
    • test bank
    • Exam
  • More
    • Computer Science
    • Economics
    • Statistics
    • Engineering
    • Biology
    • Religious Studies
    • Physics
    • Chemistry
    • Mathematics
    • History
    • Sociology
    • Science
    • Philosophy
    • Law
  • Pages
    • About Us
    • Selling Tips
    • Delivery Policy
    • Faq
    • Privacy Policy
  • Flash Sale
  • Home
  • Tags

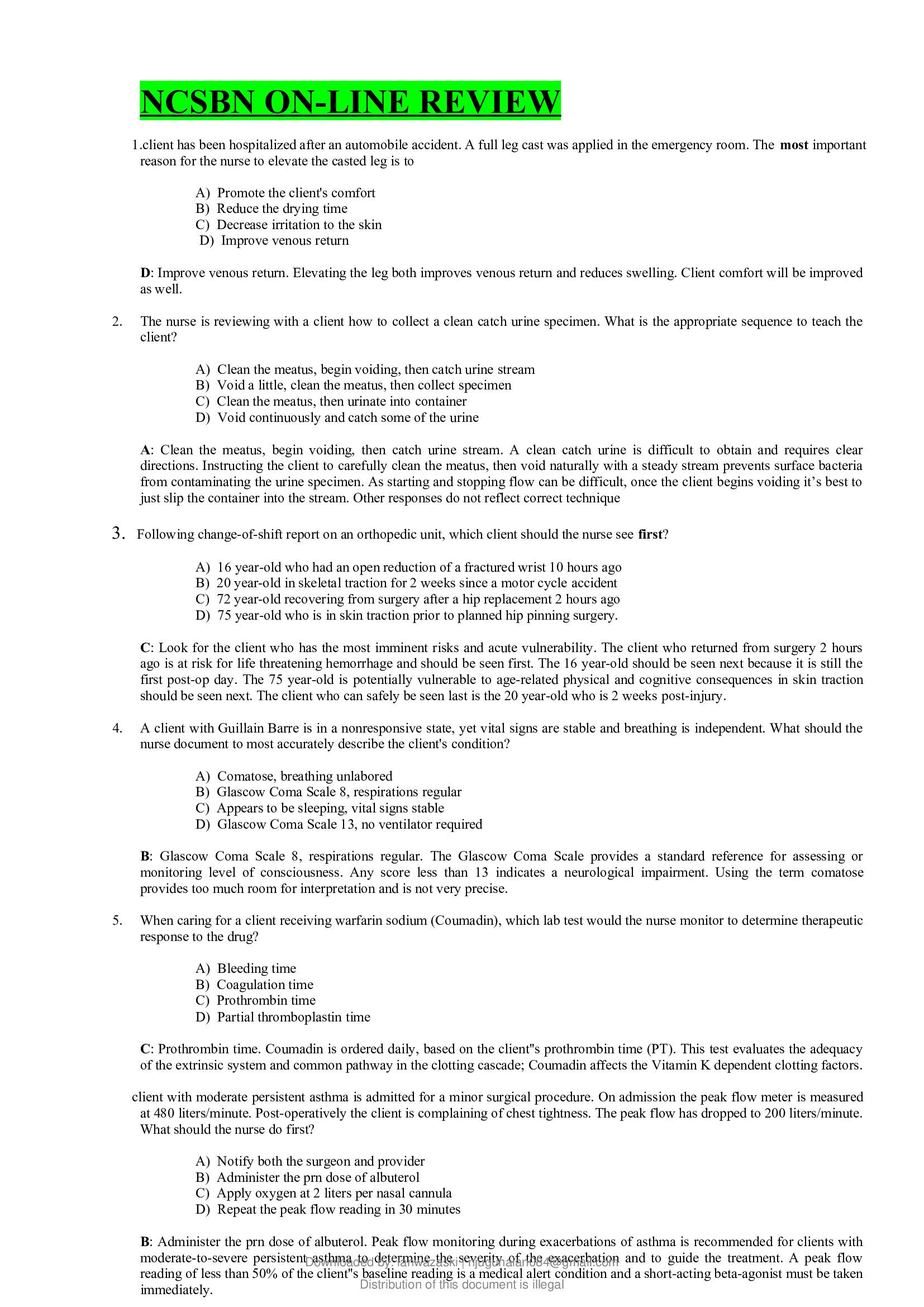
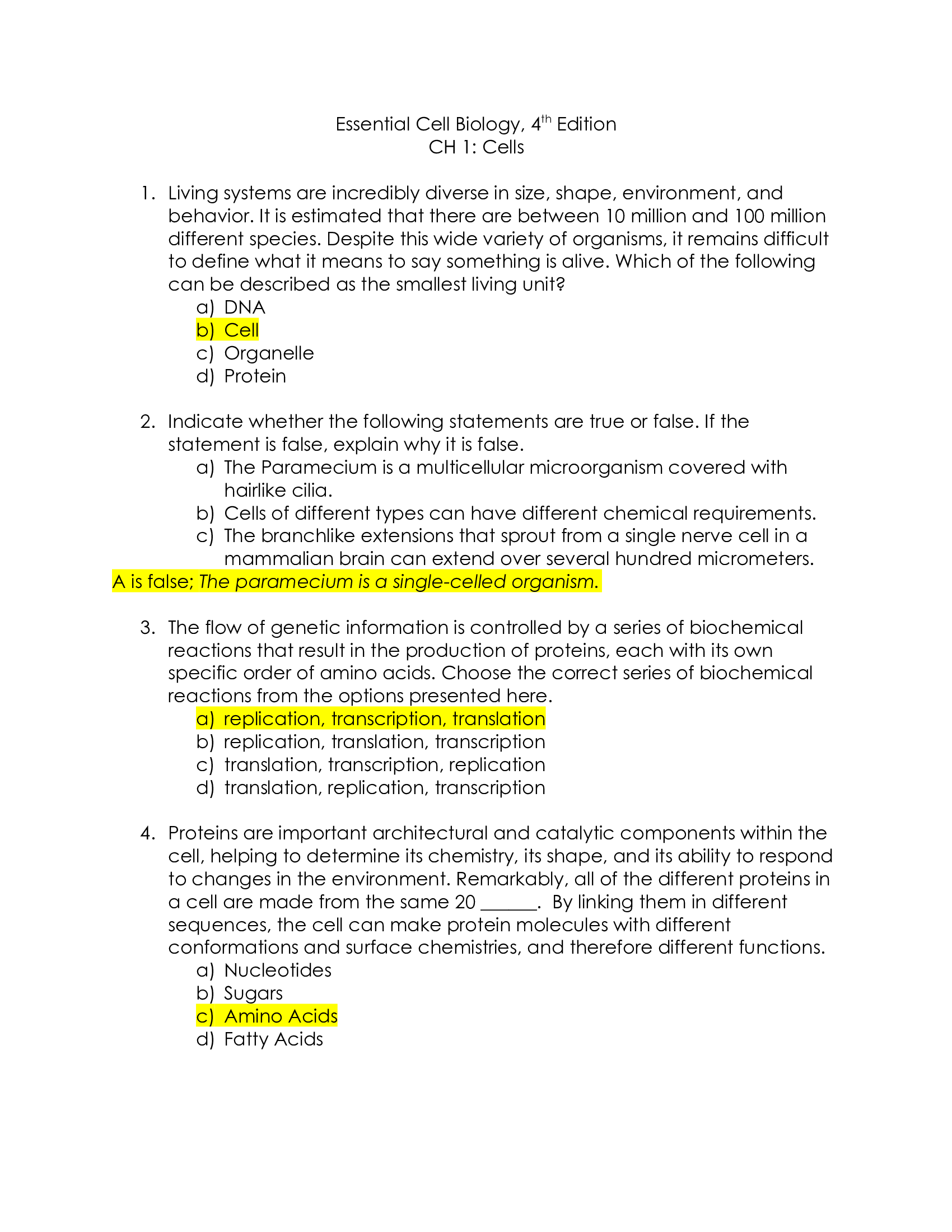
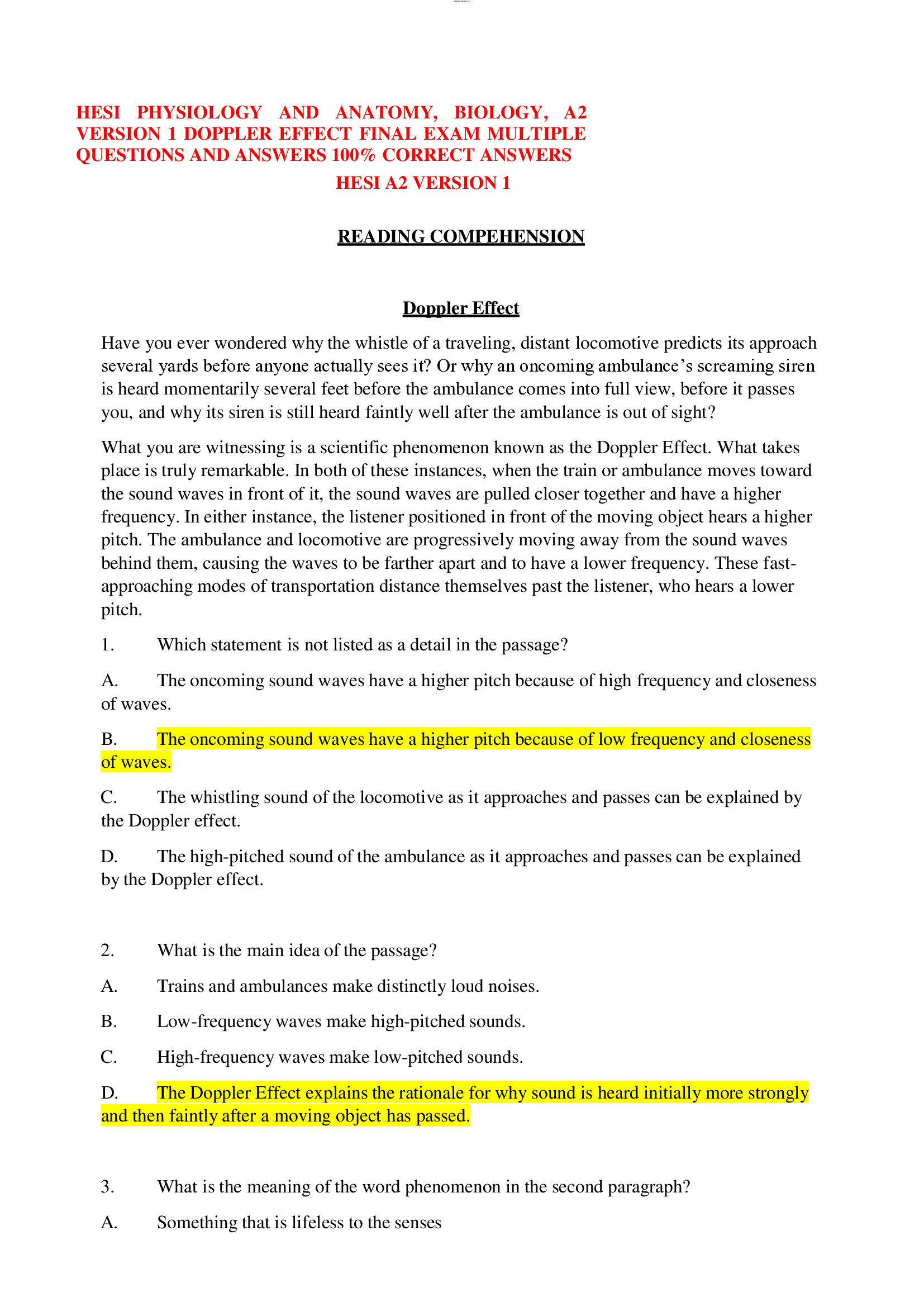
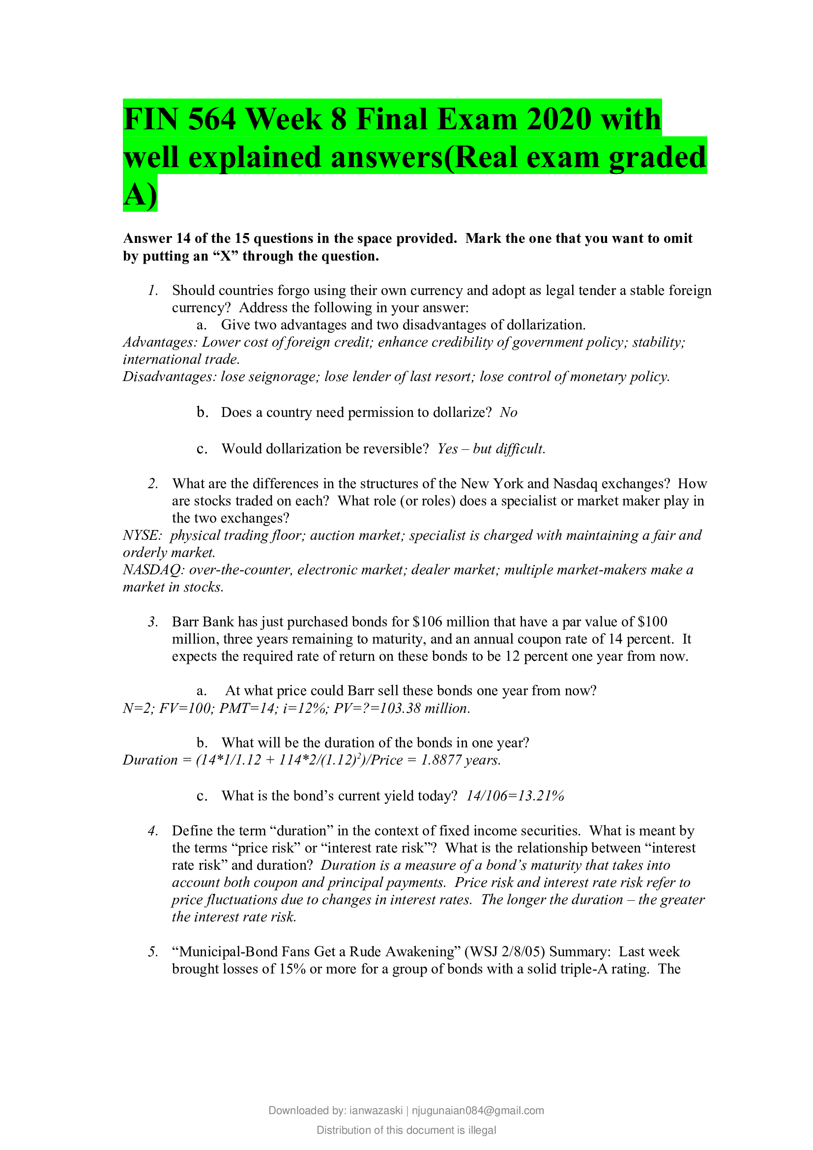
exam

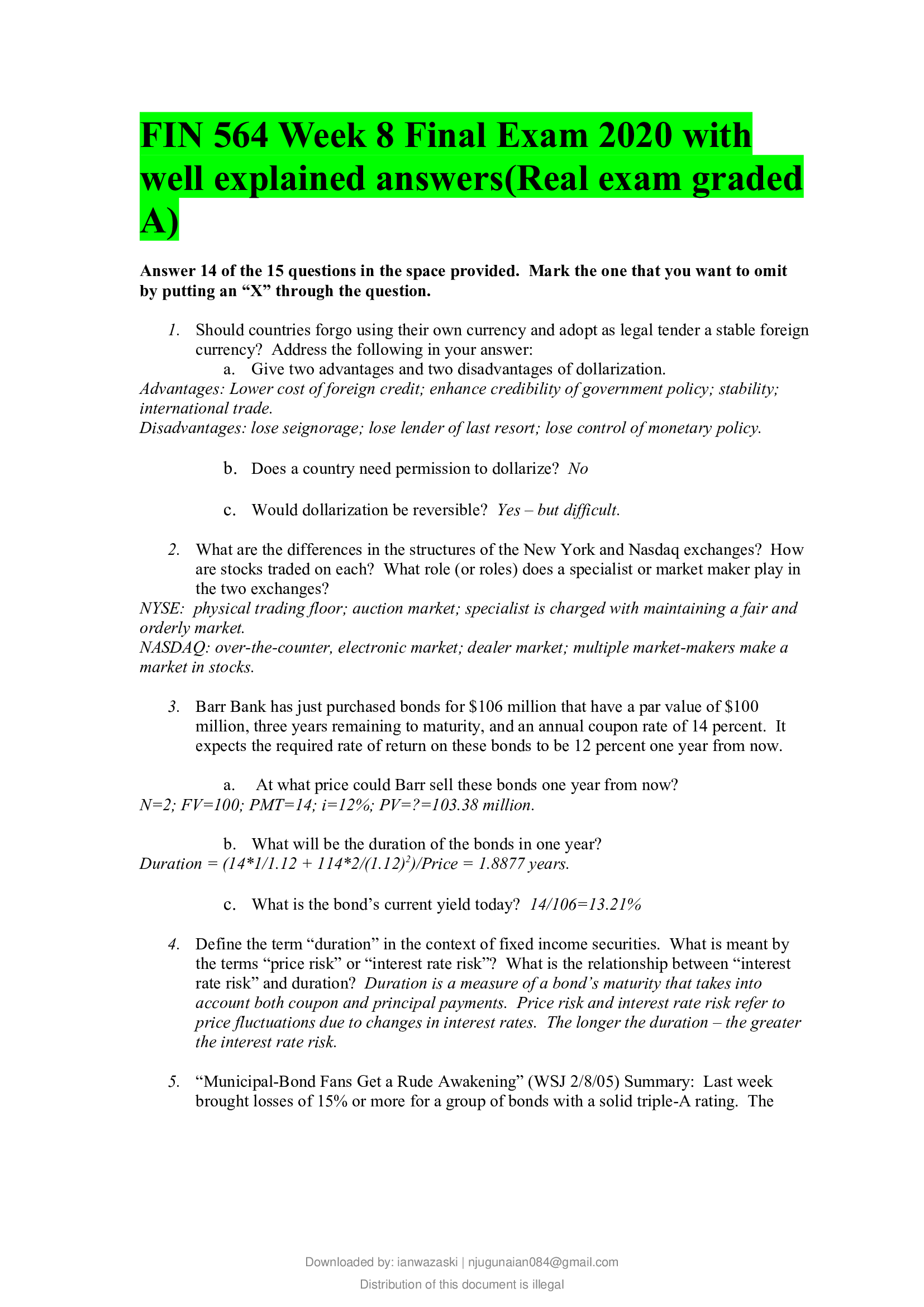
PEPP Final UPDATED ACTUAL Exam Questions And CORRECT Answers Verified 100% Correct
View Document

PEPP Final UPDATED ACTUAL Exam Questions And CORRECT Answers Verified 100% Correct

  • mentor2000

    mentor2000

  • exam

PEPP Final UPDATED ACTUAL Exam Questions And CORRECT Answers Verified 100% Correct...

7 USD

0

0

Actual HESI Health Assessment Exam | Latest Release | 2025/2026
View Document

Actual HESI Health Assessment Exam | Latest Release | 2025/2026

  • mentor2000

    mentor2000

  • hesi

Get the latest HESI Health Assessment Exam 2025/2026 with verified questions and answers. Perfect for MEPN, RN, and HESI...

15 USD

0

67

BOG Practice Exam - FACHE 2026 | 230 Questions and Answers | Verified Solutions
View Document

BOG Practice Exam - FACHE 2026 | 230 Questions and Answers | Verified Solutions

  • TutorOlivia

    TutorOlivia

  • exam

BOG Practice Exam - FACHE 2026 | 230 Questions and Answers/Verified....

12 USD

0

0

HFMA CRCR FINAL EXAM 2025/2026 VERIFIED QUESTIONS AND ANSWERS GRADED A+
View Document

HFMA CRCR FINAL EXAM 2025/2026 VERIFIED QUESTIONS AND ANSWERS GRADED A+

  • TutorOlivia

    TutorOlivia

  • exam

HFMA CRCR FINAL EXAM 2025/2026 VERIFIED QUESTIONS AND ANSWERS GRADED A+...

12 USD

0

0

APEA PREDICTOR EXAM 2026 TEST BANK 300+ QUESTIONS AND CORRECT ANSWERS WITH RATIONALES ALREADY GRADED A+ BRAND NEW!!
View Document

APEA PREDICTOR EXAM 2026 TEST BANK 300+ QUESTIONS AND CORRECT ANSWERS WITH RATIONALES ALREADY GRADED A+ BRAND NEW!!

  • TutorOlivia

    TutorOlivia

  • test bank

APEA PREDICTOR EXAM 2026 TEST BANK 300+ QUESTIONS AND CORRECT ANSWERS WITH RATIONALES ALREADY GRADED A+ BRAND NEW!!...

16 USD

0

0

I-HUMAN CASE WEEK # 8 | REASON FOR ENCOUNTER TIRED AND  PEEING AT NIGHT 65years old male “Tired and peeing at night.” |  Outpatient Clinic (with X-ray, ECG, and laboratory capabilities)  LATEST EXAM UPDATE
View Document

I-HUMAN CASE WEEK # 8 | REASON FOR ENCOUNTER TIRED AND PEEING AT NIGHT 65years old male “Tired and peeing at night.” | Outpatient Clinic (with X-ray, ECG, and laboratory capabilities) LATEST EXAM UPDATE

  • Pdfseller

    Pdfseller

  • case study

I-HUMAN CASE WEEK # 8 | REASON FOR ENCOUNTER TIRED AND PEEING AT NIGHT 65years old male “Tired and peeing at night.�...

23 USD

0

0

Pediatric ARDMS Exam Review Questions And Correct Answers 2026,2026
View Document

Pediatric ARDMS Exam Review Questions And Correct Answers 2026,2026

  • Angelicer

    Angelicer

  • test bank

Pediatric ARDMS Exam Review Questions And Correct Answers 2025,2026...

7 USD

0

0

Microbiology Exam 2 Practice Test Questions With Correct Answers Latest 2026
View Document

Microbiology Exam 2 Practice Test Questions With Correct Answers Latest 2026

  • Angelicer

    Angelicer

  • test bank

Microbiology Exam 2 Practice Test Questions With Correct Answers Latest 2025...

6 USD

0

0

ALF Core Training, ALF CORE EXAM Latest 2026
View Document

ALF Core Training, ALF CORE EXAM Latest 2026

  • Angelicer

    Angelicer

  • test bank

ALF Core Training, ALF CORE EXAM Latest 2025...

7 USD

0

0

NURS 1544 Final Exam With Complete Solution
View Document

NURS 1544 Final Exam With Complete Solution

  • brook

    brook

  • exam

NURS 1544 Final Exam With Complete Solution...

20 USD

0

0

NURS 525 Psych Exam 1 With Complete Solution
View Document

NURS 525 Psych Exam 1 With Complete Solution

  • brook

    brook

  • exam

NURS 525 Psych Exam 1 With Complete Solution...

20 USD

0

0

NURS 525 Exam 3 Guide With Complete Solution
View Document

NURS 525 Exam 3 Guide With Complete Solution

  • brook

    brook

  • exam

NURS 525 Exam 3 Guide With Complete Solution...

25 USD

0

0

NURS 525 Exam 2 Guide With Complete Solution
View Document

NURS 525 Exam 2 Guide With Complete Solution

  • brook

    brook

  • exam

NURS 525 Exam 2 Guide With Complete Solution...

20 USD

0

0

NURS 441 Final Exam With Complete Solution
View Document

NURS 441 Final Exam With Complete Solution

  • brook

    brook

  • exam

NURS 441 Final Exam With Complete Solution...

20 USD

0

0

NURS 441 Exam Study Guide
View Document

NURS 441 Exam Study Guide

  • brook

    brook

  • exam

NURS 441 Exam Study Guide...

20 USD

0

0

NURS 441 Disaster Exam Latest Update
View Document

NURS 441 Disaster Exam Latest Update

  • brook

    brook

  • exam

NURS 441 Disaster Exam Latest Update...

20 USD

0

0

NURS 142 MIDTERM UMICH EXAM LATEST UPDATE
View Document

NURS 142 MIDTERM UMICH EXAM LATEST UPDATE

  • brook

    brook

  • exam

NURS 142 MIDTERM UMICH EXAM LATEST UPDATE...

20 USD

0

0

NURS 136 - Chapter 24- Communication Exam Study Guide
View Document

NURS 136 - Chapter 24- Communication Exam Study Guide

  • brook

    brook

  • exam

NURS 136 - Chapter 24- Communication Exam Study Guide...

20 USD

0

0

NUR400 Nursing Research Exam Study Set
View Document

NUR400 Nursing Research Exam Study Set

  • brook

    brook

  • exam

NUR400 Nursing Research Exam Study Set...

20 USD

0

0

NUR270 Maternal Newborn Nursing Exam 1 Material Study Set
View Document

NUR270 Maternal Newborn Nursing Exam 1 Material Study Set

  • brook

    brook

  • exam

NUR270 Maternal Newborn Nursing Exam 1 Material Study Set...

20 USD

0

0

NU 432 Mental Health Nursing Exam #2 With Solution
View Document

NU 432 Mental Health Nursing Exam #2 With Solution

  • brook

    brook

  • exam

NU 432 Mental Health Nursing Exam #2 With Solution...

20 USD

0

0

NSG130 Nursing Informatics Exam With Correct Solution
View Document

NSG130 Nursing Informatics Exam With Correct Solution

  • brook

    brook

  • exam

NSG130 Nursing Informatics Exam With Correct Solution...

20 USD

0

0

NDSU Nursing 360 Final Exam Latest Update
View Document

NDSU Nursing 360 Final Exam Latest Update

  • brook

    brook

  • exam

NDSU Nursing 360 Final Exam Latest Update...

20 USD

0

0

NDSU Nursing 252- Exam 4 Study Guide
View Document

NDSU Nursing 252- Exam 4 Study Guide

  • brook

    brook

  • exam

NDSU Nursing 252- Exam 4 Study Guide...

20 USD

0

0

NDSU Nursing 251 Final Exam Latest Update
View Document

NDSU Nursing 251 Final Exam Latest Update

  • brook

    brook

  • exam

NDSU Nursing 251 Final Exam Latest Update...

20 USD

0

0

NDSU Nursing 251 Exam 2 - Communication Study Guide
View Document

NDSU Nursing 251 Exam 2 - Communication Study Guide

  • brook

    brook

  • exam

NDSU Nursing 251 Exam 2 - Communication Study Guide...

20 USD

0

0

NDSU Nursing 251 Exam 1 Study Set
View Document

NDSU Nursing 251 Exam 1 Study Set

  • brook

    brook

  • exam

NDSU Nursing 251 Exam 1 Study Set...

20 USD

0

0

Medication PRCC Nursing Exam Latest Update
View Document

Medication PRCC Nursing Exam Latest Update

  • brook

    brook

  • exam

Medication PRCC Nursing Exam Latest Update...

20 USD

0

0

MCC NURS1165 Vital Sign Questions Exam And 100_ Correct Answers
View Document

MCC NURS1165 Vital Sign Questions Exam And 100_ Correct Answers

  • brook

    brook

  • exam

MCC NURS1165 Vital Sign Questions Exam And 100_ Correct Answers...

20 USD

0

0

LCCC OB Nursing Final Exam With Complete Solution
View Document

LCCC OB Nursing Final Exam With Complete Solution

  • brook

    brook

  • exam

LCCC OB Nursing Final Exam With Complete Solution...

20 USD

0

0

BNUR1001 - Introduction To Nursing Exam Study Guide
View Document

BNUR1001 - Introduction To Nursing Exam Study Guide

  • brook

    brook

  • exam

BNUR1001 - Introduction To Nursing Exam Study Guide...

20 USD

0

0

BN711 8.2 Health Care Policy In Nursing Exam Study Set
View Document

BN711 8.2 Health Care Policy In Nursing Exam Study Set

  • brook

    brook

  • exam

BN711 8.2 Health Care Policy In Nursing Exam Study Set...

20 USD

0

0

LCCC Nurs 120 Exam 1 With Complete Solution
View Document

LCCC Nurs 120 Exam 1 With Complete Solution

  • brook

    brook

  • exam

LCCC Nurs 120 Exam 1 With Complete Solution...

20 USD

0

0

WEB110 INTERNET FUNDAMENTALS FINAL EXAM WITH COMPLETE SOLUTIONS!!
View Document

WEB110 INTERNET FUNDAMENTALS FINAL EXAM WITH COMPLETE SOLUTIONS!!

  • brook

    brook

  • exam

WEB110 INTERNET FUNDAMENTALS FINAL EXAM WITH COMPLETE SOLUTIONS!!...

20 USD

0

0

WEB DESIGN EXAM 4 QUESTIONS AND CORRECT ANSWERS!!
View Document

WEB DESIGN EXAM 4 QUESTIONS AND CORRECT ANSWERS!!

  • brook

    brook

  • exam

WEB DESIGN EXAM 4 QUESTIONS AND CORRECT ANSWERS!!...

20 USD

0

0

TURF 235 FINAL EXAM WITH 100% VERIFIED SOLUTIONS!!
View Document

TURF 235 FINAL EXAM WITH 100% VERIFIED SOLUTIONS!!

  • brook

    brook

  • exam

TURF 235 FINAL EXAM WITH 100% VERIFIED SOLUTIONS!!...

25 USD

0

0

SOC 275 EXAM 1 REVIEW WITH CORRECT ANSWERS!!
View Document

SOC 275 EXAM 1 REVIEW WITH CORRECT ANSWERS!!

  • brook

    brook

  • exam

SOC 275 EXAM 1 REVIEW WITH CORRECT ANSWERS!!...

25 USD

0

0

sg13 NEW EXAM WITH 100% VERIFIED SOLUTIONS 2026-2026!!
View Document

sg13 NEW EXAM WITH 100% VERIFIED SOLUTIONS 2026-2026!!

  • brook

    brook

  • exam

sg13 NEW EXAM WITH 100% VERIFIED SOLUTIONS 2025-2026!!...

20 USD

0

0

SFSU GEOG 160 DYNAMIC EARTH EXAM WITH COMPLETE SOLUTIONS 100% VERIFIED!!
View Document

SFSU GEOG 160 DYNAMIC EARTH EXAM WITH COMPLETE SOLUTIONS 100% VERIFIED!!

  • brook

    brook

  • exam

SFSU GEOG 160 DYNAMIC EARTH EXAM WITH COMPLETE SOLUTIONS 100% VERIFIED!!...

20 USD

0

0

SANS560 GPEN NEW EXAM WITH ALL QUESTIONS AND CORRECT ANSWERS 100% VERIFIED!!
View Document

SANS560 GPEN NEW EXAM WITH ALL QUESTIONS AND CORRECT ANSWERS 100% VERIFIED!!

  • brook

    brook

  • exam

SANS560 GPEN NEW EXAM WITH ALL QUESTIONS AND CORRECT ANSWERS 100% VERIFIED!!...

25 USD

0

0

RNSG 1413 EXAM 2 QUESTIONS AND CORRECT ANSWERS NEW!!
View Document

RNSG 1413 EXAM 2 QUESTIONS AND CORRECT ANSWERS NEW!!

  • brook

    brook

  • exam

RNSG 1413 EXAM 2 QUESTIONS AND CORRECT ANSWERS NEW!!...

20 USD

0

0

RN TARGETED MEDICAL SURGICAL NEUROSENSORY AND MUSCULOSKELETAL EXAM WITH CORRECT ANSWERS 100% VERIFIED!!
View Document

RN TARGETED MEDICAL SURGICAL NEUROSENSORY AND MUSCULOSKELETAL EXAM WITH CORRECT ANSWERS 100% VERIFIED!!

  • brook

    brook

  • exam

RN TARGETED MEDICAL SURGICAL NEUROSENSORY AND MUSCULOSKELETAL EXAM WITH CORRECT ANSWERS 100% VERIFIED!!...

30 USD

0

0

PT150 LYMPHADEMA EXAM WITH CORRECT ANSWERS 100% VERIFIED!!
View Document

PT150 LYMPHADEMA EXAM WITH CORRECT ANSWERS 100% VERIFIED!!

  • brook

    brook

  • exam

PT150 LYMPHADEMA EXAM WITH CORRECT ANSWERS 100% VERIFIED!!...

25 USD

0

0

PSYCH 4041 EXAM 2 (LECTURES 13-15) WITH COMPLETE SOLUTIONS!!
View Document

PSYCH 4041 EXAM 2 (LECTURES 13-15) WITH COMPLETE SOLUTIONS!!

  • brook

    brook

  • exam

PSYCH 4041 EXAM 2 (LECTURES 13-15) WITH COMPLETE SOLUTIONS!!...

25 USD

0

0

PSOM1610 NEW EXAM WITH COMPLETE SOLUTIONS 100% VERIFIED!!
View Document

PSOM1610 NEW EXAM WITH COMPLETE SOLUTIONS 100% VERIFIED!!

  • brook

    brook

  • exam

PSOM1610 NEW EXAM WITH COMPLETE SOLUTIONS 100% VERIFIED!!...

25 USD

0

0

PHARM II MIDTERM EXAM WITH CORRECT ANSWERS 100% VERIFIED!!
View Document

PHARM II MIDTERM EXAM WITH CORRECT ANSWERS 100% VERIFIED!!

  • brook

    brook

  • exam

PHARM II MIDTERM EXAM WITH CORRECT ANSWERS 100% VERIFIED!!...

25 USD

0

0

NURSING 1011  EXAM 1 WITH 100% VERIFIED SOLUTIONS!!
View Document

NURSING 1011 EXAM 1 WITH 100% VERIFIED SOLUTIONS!!

  • brook

    brook

  • exam

NURSING 1011 EXAM 1 WITH 100% VERIFIED SOLUTIONS!!...

20 USD

0

0

NURSING 201 EXAM 1 WITH CORRECT ANSWERS 100% VERIFIED!!
View Document

NURSING 201 EXAM 1 WITH CORRECT ANSWERS 100% VERIFIED!!

  • brook

    brook

  • exam

NURSING 201 EXAM 1 WITH CORRECT ANSWERS 100% VERIFIED!!...

25 USD

0

0

NURS 208 CH 29 VITAL SIGNS EAQ SHERPATH PRACTICE EXAM WITH 100% VERIFIED SOLUTIONS!!
View Document

NURS 208 CH 29 VITAL SIGNS EAQ SHERPATH PRACTICE EXAM WITH 100% VERIFIED SOLUTIONS!!

  • brook

    brook

  • exam

NURS 208 CH 29 VITAL SIGNS EAQ SHERPATH PRACTICE EXAM WITH 100% VERIFIED SOLUTIONS!!...

25 USD

0

0

NUR1020C - MODULE 1 EXAM WITH 100% CORRECT ANSWERS!!
View Document

NUR1020C - MODULE 1 EXAM WITH 100% CORRECT ANSWERS!!

  • brook

    brook

  • exam

NUR1020C - MODULE 1 EXAM WITH 100% CORRECT ANSWERS!!...

25 USD

0

0

NUR 3056 EXAM 1 PRACTICE WITH 100% VERIFIED SOLUTIONS!!
View Document

NUR 3056 EXAM 1 PRACTICE WITH 100% VERIFIED SOLUTIONS!!

  • brook

    brook

  • exam

NUR 3056 EXAM 1 PRACTICE WITH 100% VERIFIED SOLUTIONS!!...

25 USD

0

0

NSG 252 FINAL EXAM WITH 100% VERIFIED SOLUTIONS!!
View Document

NSG 252 FINAL EXAM WITH 100% VERIFIED SOLUTIONS!!

  • brook

    brook

  • exam

NSG 252 FINAL EXAM WITH 100% VERIFIED SOLUTIONS!!...

20 USD

0

0

NR-509 ADVANCED PHYSICAL ASSESSMENT NEW EXAM WITH CORRECT ANSWERS!!
View Document

NR-509 ADVANCED PHYSICAL ASSESSMENT NEW EXAM WITH CORRECT ANSWERS!!

  • brook

    brook

  • exam

NR-509 ADVANCED PHYSICAL ASSESSMENT NEW EXAM WITH CORRECT ANSWERS!!...

25 USD

0

0

NEURO DISORDERS EXAM III TBI WITH 100% VERIFIED SOLUTIONS!!
View Document

NEURO DISORDERS EXAM III TBI WITH 100% VERIFIED SOLUTIONS!!

  • brook

    brook

  • exam

NEURO DISORDERS EXAM III TBI WITH 100% VERIFIED SOLUTIONS!!...

25 USD

0

0

NA-C CHAPTER 6 NURSING ASSISTANT CBC EXAM WITH CORRECT ANSWERS!!
View Document

NA-C CHAPTER 6 NURSING ASSISTANT CBC EXAM WITH CORRECT ANSWERS!!

  • brook

    brook

  • exam

NA-C CHAPTER 6 NURSING ASSISTANT CBC EXAM WITH CORRECT ANSWERS!!...

50 USD

0

0

MNT EXAM 1 NCP EXAM WITH CORRECT SOLUTIONS NEWEST!!
View Document

MNT EXAM 1 NCP EXAM WITH CORRECT SOLUTIONS NEWEST!!

  • brook

    brook

  • exam

MNT EXAM 1 NCP EXAM WITH CORRECT SOLUTIONS NEWEST!!...

20 USD

0

0

LESSON 1 HTML5 ESSENTIALS EXAM WITH 100% VERIFIED SOLUTIONS!!
View Document

LESSON 1 HTML5 ESSENTIALS EXAM WITH 100% VERIFIED SOLUTIONS!!

  • brook

    brook

  • exam

LESSON 1 HTML5 ESSENTIALS EXAM WITH 100% VERIFIED SOLUTIONS!!...

20 USD

0

0

K201 EXAM 1 WITH 100% VERIFIED SOLUTIONS!!
View Document

K201 EXAM 1 WITH 100% VERIFIED SOLUTIONS!!

  • brook

    brook

  • exam

K201 EXAM 1 WITH 100% VERIFIED SOLUTIONS!!...

20 USD

0

0

ISMN TEST 1 EXAM  WITH COMPLETE SOLUTIONS 100% VERIFIED!!
View Document

ISMN TEST 1 EXAM WITH COMPLETE SOLUTIONS 100% VERIFIED!!

  • brook

    brook

  • exam

ISMN TEST 1 EXAM WITH COMPLETE SOLUTIONS 100% VERIFIED!!...

20 USD

0

0

ISBA 217 FUNDAMENTALS OF COMPUTER INFORMATION SYSTEMS EXAM WITH COMPLETE SOLUTIONS!!
View Document

ISBA 217 FUNDAMENTALS OF COMPUTER INFORMATION SYSTEMS EXAM WITH COMPLETE SOLUTIONS!!

  • brook

    brook

  • exam

ISBA 217 FUNDAMENTALS OF COMPUTER INFORMATION SYSTEMS EXAM WITH COMPLETE SOLUTIONS!!...

20 USD

0

0

ISAN EXAM STUDY SET WITH COMPLETE SOLUTIONS 100% VERIFIED!!
View Document

ISAN EXAM STUDY SET WITH COMPLETE SOLUTIONS 100% VERIFIED!!

  • brook

    brook

  • exam

ISAN EXAM STUDY SET WITH COMPLETE SOLUTIONS 100% VERIFIED!!...

20 USD

0

0

INTRO RESP EXAM 1 – TOTAL WITH 100% VERIFIED SOLUTIONS!!
View Document

INTRO RESP EXAM 1 – TOTAL WITH 100% VERIFIED SOLUTIONS!!

  • brook

    brook

  • exam

INTRO RESP EXAM 1 – TOTAL WITH 100% VERIFIED SOLUTIONS!!...

20 USD

0

0

INFS 394 CHAPTER 9 NEW EXAM WITH CORRECT ANSWERS!!
View Document

INFS 394 CHAPTER 9 NEW EXAM WITH CORRECT ANSWERS!!

  • brook

    brook

  • exam

INFS 394 CHAPTER 9 NEW EXAM WITH CORRECT ANSWERS!!...

20 USD

0

0

HUMAN RELATIONS & COMMUNICATIONS FINAL EXAM!!
View Document

HUMAN RELATIONS & COMMUNICATIONS FINAL EXAM!!

  • brook

    brook

  • exam

HUMAN RELATIONS & COMMUNICATIONS FINAL EXAM!!...

20 USD

0

0

HISTORY 137 NEW EXAM WITH CORRECT ANSWERS 100% ACCURATE!!
View Document

HISTORY 137 NEW EXAM WITH CORRECT ANSWERS 100% ACCURATE!!

  • brook

    brook

  • exam

HISTORY 137 NEW EXAM WITH CORRECT ANSWERS 100% ACCURATE!!...

20 USD

0

0

HCBS NEW EXAM WITH CORRECT ANSWERS 100% VERIFIED!!
View Document

HCBS NEW EXAM WITH CORRECT ANSWERS 100% VERIFIED!!

  • brook

    brook

  • exam

HCBS NEW EXAM WITH CORRECT ANSWERS 100% VERIFIED!!...

20 USD

0

0

HBSE CH 6 EXAM STUDY SET WITH CORRECT SOLUTIONS!!
View Document

HBSE CH 6 EXAM STUDY SET WITH CORRECT SOLUTIONS!!

  • brook

    brook

  • exam

HBSE CH 6 EXAM STUDY SET WITH CORRECT SOLUTIONS!!...

20 USD

0

0

GEORGIA WATER DISTRIBUTION STUDY GUIDE EXAM WITH COMPLETE SOLUTIONS 100% VERIFIED!!
View Document

GEORGIA WATER DISTRIBUTION STUDY GUIDE EXAM WITH COMPLETE SOLUTIONS 100% VERIFIED!!

  • brook

    brook

  • exam

GEORGIA WATER DISTRIBUTION STUDY GUIDE EXAM WITH COMPLETE SOLUTIONS 100% VERIFIED!!...

20 USD

0

0

ESCI 1005 EXAM 4 WITH 100% VERIFIED SOLUTIONS!!
View Document

ESCI 1005 EXAM 4 WITH 100% VERIFIED SOLUTIONS!!

  • brook

    brook

  • exam

ESCI 1005 EXAM 4 WITH 100% VERIFIED SOLUTIONS!!...

20 USD

0

0

CRJ 108 FINAL EXAM PART 3 QUESTIONS AND CORRECT ANSWERS!!
View Document

CRJ 108 FINAL EXAM PART 3 QUESTIONS AND CORRECT ANSWERS!!

  • brook

    brook

  • exam

CRJ 108 FINAL EXAM PART 3 QUESTIONS AND CORRECT ANSWERS!!...

20 USD

0

0

COURSERA SEO NEW EXAM WITH CORRECT SOLUTIONS 100% VERIFIED!!
View Document

COURSERA SEO NEW EXAM WITH CORRECT SOLUTIONS 100% VERIFIED!!

  • brook

    brook

  • exam

COURSERA SEO NEW EXAM WITH CORRECT SOLUTIONS 100% VERIFIED!!...

20 USD

0

0

COG AGING EXAM 2 QUESTIONS AND CORRECT ANSWERS 100% VERIFIED!!
View Document

COG AGING EXAM 2 QUESTIONS AND CORRECT ANSWERS 100% VERIFIED!!

  • brook

    brook

  • exam

COG AGING EXAM 2 QUESTIONS AND CORRECT ANSWERS 100% VERIFIED!!...

20 USD

0

0

COB 204 EXAM 1 WITH 100% VERIFIED SOLUTIONS 2026 UPDATE!!
View Document

COB 204 EXAM 1 WITH 100% VERIFIED SOLUTIONS 2026 UPDATE!!

  • brook

    brook

  • exam

COB 204 EXAM 1 WITH 100% VERIFIED SOLUTIONS 2026 UPDATE!!...

20 USD

0

0

CMSD 640 EXAM 1 WITH 100% VERIFIED SOLUTIONS!!
View Document

CMSD 640 EXAM 1 WITH 100% VERIFIED SOLUTIONS!!

  • brook

    brook

  • exam

CMSD 640 EXAM 1 WITH 100% VERIFIED SOLUTIONS!!...

20 USD

0

0

CLPS EXAM 1 QUESTIONS AND CORRECT ANSWERS 100% VERIFIED!!
View Document

CLPS EXAM 1 QUESTIONS AND CORRECT ANSWERS 100% VERIFIED!!

  • brook

    brook

  • exam

CLPS EXAM 1 QUESTIONS AND CORRECT ANSWERS 100% VERIFIED!!...

20 USD

0

0

CHAPTER 6 URI WRT 104 MULTIMODAL ASSETS AND SOURCES EXAM WITH 100% VERIFIED SOLUTIONS!!
View Document

CHAPTER 6 URI WRT 104 MULTIMODAL ASSETS AND SOURCES EXAM WITH 100% VERIFIED SOLUTIONS!!

  • brook

    brook

  • exam

CHAPTER 6 URI WRT 104 MULTIMODAL ASSETS AND SOURCES EXAM WITH 100% VERIFIED SOLUTIONS!!...

20 USD

0

0

CH. 48 ASSESSMENT & MANAGEMENT OF PATIENTS WITH OBESITY EXAM WITH CORRECT ANSWERS 100% VERIFIED!!
View Document

CH. 48 ASSESSMENT & MANAGEMENT OF PATIENTS WITH OBESITY EXAM WITH CORRECT ANSWERS 100% VERIFIED!!

  • brook

    brook

  • exam

CH. 48 ASSESSMENT & MANAGEMENT OF PATIENTS WITH OBESITY EXAM WITH CORRECT ANSWERS 100% VERIFIED!!...

20 USD

0

0

BIOPSYCHOSOCIAL MEDICINE NEW EXAM STUDY SET WITH 100% VERIFIED SOLUTIONS!!
View Document

BIOPSYCHOSOCIAL MEDICINE NEW EXAM STUDY SET WITH 100% VERIFIED SOLUTIONS!!

  • brook

    brook

  • exam

BIOPSYCHOSOCIAL MEDICINE NEW EXAM STUDY SET WITH 100% VERIFIED SOLUTIONS!!...

20 USD

0

0

APHASIA AND INFORMAL EVALUATION EXAM WITH CORRECT SOLUTIONS!!
View Document

APHASIA AND INFORMAL EVALUATION EXAM WITH CORRECT SOLUTIONS!!

  • brook

    brook

  • exam

APHASIA AND INFORMAL EVALUATION EXAM WITH CORRECT SOLUTIONS!!...

20 USD

0

0

AGSM EXAM 2 WITH 100% COMPLETE SOLUTIONS 100% VERIFIED!!
View Document

AGSM EXAM 2 WITH 100% COMPLETE SOLUTIONS 100% VERIFIED!!

  • brook

    brook

  • exam

AGSM EXAM 2 WITH 100% COMPLETE SOLUTIONS 100% VERIFIED!!...

20 USD

0

0

ACBIS STUDY GUIDE EXAM WITH 100% VERIFIED SOLUTIONS NEW!!
View Document

ACBIS STUDY GUIDE EXAM WITH 100% VERIFIED SOLUTIONS NEW!!

  • brook

    brook

  • exam

ACBIS STUDY GUIDE EXAM WITH 100% VERIFIED SOLUTIONS NEW!!...

20 USD

0

0

ACBIS NEW EXAM WITH 100% ACCURATE SOLUTIONS!!
View Document

ACBIS NEW EXAM WITH 100% ACCURATE SOLUTIONS!!

  • brook

    brook

  • exam

ACBIS NEW EXAM WITH 100% ACCURATE SOLUTIONS!!...

20 USD

0

0

ACBIS EXAM WITH COMPLETE SOLUTIONS 100% VERIFIED!!
View Document

ACBIS EXAM WITH COMPLETE SOLUTIONS 100% VERIFIED!!

  • brook

    brook

  • exam

ACBIS EXAM WITH COMPLETE SOLUTIONS 100% VERIFIED!!...

15 USD

0

0

ACBIS EXAM STUDY SET WITH 100% VERIFIED SOLUTIONS!!
View Document

ACBIS EXAM STUDY SET WITH 100% VERIFIED SOLUTIONS!!

  • brook

    brook

  • exam

ACBIS EXAM STUDY SET WITH 100% VERIFIED SOLUTIONS!!...

20 USD

0

0

444 CSS CH03 (CSS 444) EXAM WITH COMPLETE SOLUTIONS 100% VERIFIED!!
View Document

444 CSS CH03 (CSS 444) EXAM WITH COMPLETE SOLUTIONS 100% VERIFIED!!

  • brook

    brook

  • questions & answers

444 CSS CH03 (CSS 444) EXAM WITH COMPLETE SOLUTIONS 100% VERIFIED!!...

15 USD

0

0

TEST BANK | Human Anatomy, 6th Edition by McKinley, Brien | Chapters 1–28 (Complete Collection)
View Document

TEST BANK | Human Anatomy, 6th Edition by McKinley, Brien | Chapters 1–28 (Complete Collection)

  • LecHaven

    LecHaven

  • test bank

Ace your Anatomy exams with this comprehensive TEST BANK for Human Anatomy, 6th Edition by McKinley, O’Loughlin, and P...

11 USD

0

0

Human Sexuality in a World of Diversity (7th Canadian Edition) by Spencer – Complete Study Guide (Chapters 1–18)
View Document

Human Sexuality in a World of Diversity (7th Canadian Edition) by Spencer – Complete Study Guide (Chapters 1–18)

  • LecHaven

    LecHaven

  • test bank

Ace your Human Sexuality course with this comprehensive study guide covering Chapters 1–18 from Human Sexuality in a W...

11 USD

0

0

Comprehensive Final Examination — Introduction to Maternity & Pediatric Nursing (Chapters 1–34, 9th Ed.)
View Document

Comprehensive Final Examination — Introduction to Maternity & Pediatric Nursing (Chapters 1–34, 9th Ed.)

  • LecHaven

    LecHaven

  • test bank

This meticulously crafted exam assesses mastery across the full spectrum of maternal, newborn, and pediatric nursing as ...

11 USD

0

0

McCance & Huether’s Pathophysiology 9th Edition (Chapters 1–49) Complete Study Guide, Test Bank & Exam Prep
View Document

McCance & Huether’s Pathophysiology 9th Edition (Chapters 1–49) Complete Study Guide, Test Bank & Exam Prep

  • LecHaven

    LecHaven

  • test bank

Master every concept from McCance & Huether’s Pathophysiology, 9th Edition with this complete Study Guide + Test Bank ...

11 USD

0

0

Physics 12th Edition by Cutnell (Chapters 1–32) | Complete Study Guide, Test Bank & Exam Prep
View Document

Physics 12th Edition by Cutnell (Chapters 1–32) | Complete Study Guide, Test Bank & Exam Prep

  • LecHaven

    LecHaven

  • test bank

Master college-level physics with this comprehensive study guide and test bank covering all 32 chapters of Physics, 12th...

11 USD

0

1

Quick and Easy Medical Terminology 9th Edition by Leonard – Complete Chapter 1–15 Study Guide, Test Bank & Exam Prep
View Document

Quick and Easy Medical Terminology 9th Edition by Leonard – Complete Chapter 1–15 Study Guide, Test Bank & Exam Prep

  • LecHaven

    LecHaven

  • test bank

Master medical vocabulary effortlessly with this Quick and Easy Medical Terminology 9th Edition (Leonard) complete resou...

12 USD

0

0

Theory and Practice of Counseling and Psychotherapy (10th Edition by Gerald Corey) – Complete Chapter Summaries (Ch. 1–16) | Study Guide & Exam Prep
View Document

Theory and Practice of Counseling and Psychotherapy (10th Edition by Gerald Corey) – Complete Chapter Summaries (Ch. 1–16) | Study Guide & Exam Prep

  • LecHaven

    LecHaven

  • test bank

Ace your counseling and psychology exams with this comprehensive study guide based on Theory and Practice of Counseling ...

11 USD

0

0

KNES 213 Midterm Exam Questions and Answers 2026
View Document

KNES 213 Midterm Exam Questions and Answers 2026

  • Pasing-Grades

    Pasing-Grades

  • exam

KNES 213 Midterm Exam Questions and Answers 2025...

7 USD

0

0

Test Bank for Olds’ Maternal-Newborn Nursing & Women’s Health Across the Lifespan, 11th Edition by Michele Davidson: Complete Chapters 1–36 | Verified NCLEX-Style Questions & Answers (Updated 2026)
View Document

Test Bank for Olds’ Maternal-Newborn Nursing & Women’s Health Across the Lifespan, 11th Edition by Michele Davidson: Complete Chapters 1–36 | Verified NCLEX-Style Questions & Answers (Updated 2026)

  • mentor2000

    mentor2000

  • test bank

Prepare for exams with Olds’ Maternal-Newborn Nursing 11th Edition Test Bank. All 36 chapters, verified NCLEX-style qu...

15 USD

0

0

ATI PN FUNDAMENTALS PROCTORED  EXAM (11 LATEST VERSIONS LATEST UPDATED EXAMINATION VERSION RATED A+
View Document

ATI PN FUNDAMENTALS PROCTORED EXAM (11 LATEST VERSIONS LATEST UPDATED EXAMINATION VERSION RATED A+

  • Irfanrai530

    Irfanrai530

  • ati medical surgical

ATI PN FUNDAMENTALS PROCTORED EXAM (11 LATEST VERSIONS LATEST UPDATED EXAMINATION VERSION RATED A+...

10 USD

0

0

NUR 4450 – OB FINAL REVIEW EXAM QUESTIONS AND ALL ANSWERS VERIFIED
View Document

NUR 4450 – OB FINAL REVIEW EXAM QUESTIONS AND ALL ANSWERS VERIFIED

  • Brainbank

    Brainbank

  • exam

NUR 4450 – OB FINAL REVIEW EXAM QUESTIONS AND ALL ANSWERS VERIFIED...

16 USD

0

0

Business Analytics: Data Analysis & Decision Making (7th Edition by Albright) – Complete Study Guide & Test Bank (Chapters 1–19)
View Document

Business Analytics: Data Analysis & Decision Making (7th Edition by Albright) – Complete Study Guide & Test Bank (Chapters 1–19)

  • LecHaven

    LecHaven

  • test bank

Ace your Business Analytics course with this comprehensive study guide covering Chapters 1–19 from Data Analysis & Dec...

11 USD

0

0

Stanhope and Lancaster’s Community Health Nursing in Canada (4th Edition, Macdonald) – Complete Chapter Summaries (1–18)
View Document

Stanhope and Lancaster’s Community Health Nursing in Canada (4th Edition, Macdonald) – Complete Chapter Summaries (1–18)

  • LecHaven

    LecHaven

  • test bank

Comprehensive STUDY GUIDES for Stanhope and Lancaster’s Community Health Nursing in Canada, 4th Edition by Macdonald. ...

11 USD

0

0

Essentials of Oral Histology and Embryology 6th Edition by Chiego – Chapter 1 to 10 | Complete Study Guide & Test Bank
View Document

Essentials of Oral Histology and Embryology 6th Edition by Chiego – Chapter 1 to 10 | Complete Study Guide & Test Bank

  • LecHaven

    LecHaven

  • test bank

Master the fundamentals of oral histology and embryology with this comprehensive guide covering Chapters 1–10 from Ess...

11 USD

0

0

Lehne's Pharmacology for Nursing Care, 12th Edition by Rosenthal – Complete Study Guide & Test Bank (Chapters 1–113)
View Document

Lehne's Pharmacology for Nursing Care, 12th Edition by Rosenthal – Complete Study Guide & Test Bank (Chapters 1–113)

  • LecHaven

    LecHaven

  • test bank

Master your nursing pharmacology exams with this comprehensive study guide and test bank covering all 113 chapters from ...

11 USD

0

0

Managerial Accounting: Creating Value in a Dynamic Business Environment (13th Edition, Hilton) – Complete Study Guide & Exam Solutions (Ch. 1–17)
View Document

Managerial Accounting: Creating Value in a Dynamic Business Environment (13th Edition, Hilton) – Complete Study Guide & Exam Solutions (Ch. 1–17)

  • LecHaven

    LecHaven

  • test bank

Ace your Managerial Accounting exams with this comprehensive study guide covering Chapters 1 to 17 from Hilton’s Manag...

11 USD

0

0

Pharmacotherapy Principles and Practice 5th Edition (Chisholm-Burns) | Complete Study Guide & Test Bank (Chapters 1–102)
View Document

Pharmacotherapy Principles and Practice 5th Edition (Chisholm-Burns) | Complete Study Guide & Test Bank (Chapters 1–102)

  • LecHaven

    LecHaven

  • test bank

Master your pharmacotherapy exams with this comprehensive study guide and test bank covering all 102 chapters of Pharmac...

11 USD

0

0

CESSWI Certification Part I Exam Questions with Verified Answers
View Document

CESSWI Certification Part I Exam Questions with Verified Answers

  • Angelicer

    Angelicer

  • exam

CESSWI Certification Part I Exam Questions with Verified Answers...

7 USD

0

0

NRCME DOT ACTUAL Exam 120 Questions 2025/2026
View Document

NRCME DOT ACTUAL Exam 120 Questions 2025/2026

  • mentor2000

    mentor2000

  • exam

Prepare for success with the 120 NRCME DOT Actual Exam Questions 2025–2026. Includes real test content, answers, and e...

20 USD

0

1

Test Bank for NRCME (DOT) Exam 2025/2026 Complete Question Bank with Verified Answers & Detailed Rationales
View Document

Test Bank for NRCME (DOT) Exam 2025/2026 Complete Question Bank with Verified Answers & Detailed Rationales

  • mentor2000

    mentor2000

  • exam

Test bank for NRCME DOT exam 2025-2026 complete questions and detailed verified answers...

15 USD

0

0

TEST BANK  Experience Sociology 5th Edition   By Croteau, Chapter 1 to 17 Covered
View Document

TEST BANK Experience Sociology 5th Edition By Croteau, Chapter 1 to 17 Covered

  • LecHaven

    LecHaven

  • test bank

Comprehensive Test Bank for Experience Sociology 5th Edition by David Croteau. Covers all 17 chapters, including multipl...

12 USD

0

0

TEST BANK  Environmental Science 16th Edition  by Enger, Chapter 1 to 20 Covered
View Document

TEST BANK Environmental Science 16th Edition by Enger, Chapter 1 to 20 Covered

  • LecHaven

    LecHaven

  • test bank

Comprehensive Test Bank for Environmental Science, 16th Edition by Eldon D. Enger. Covers Chapters 1–20 with verified ...

12 USD

0

0

TEST BANK  Economic Development 13th Edition   by Todaro, Chapter 1 to 15 Covered
View Document

TEST BANK Economic Development 13th Edition by Todaro, Chapter 1 to 15 Covered

  • LecHaven

    LecHaven

  • test bank

Complete Test Bank for Economic Development, 13th Edition by Michael Todaro, covering Chapters 1 through 15. Includes ve...

12 USD

0

0

TEST BANK  Death, Society and Human Experience  13th Edition by Kastenbaum & Moreman  Chapter 1 to 15 Covered
View Document

TEST BANK Death, Society and Human Experience 13th Edition by Kastenbaum & Moreman Chapter 1 to 15 Covered

  • LecHaven

    LecHaven

  • test bank

Comprehensive test bank for Death, Society and Human Experience (13th Edition) by Kastenbaum & Moreman. Includes all cha...

12 USD

0

0

TEST BANK  Animal Behavior 12th Edition   by Dustin Rubenstein, Chapter 1 to 14 Covered
View Document

TEST BANK Animal Behavior 12th Edition by Dustin Rubenstein, Chapter 1 to 14 Covered

  • LecHaven

    LecHaven

  • test bank

Comprehensive test bank for Animal Behavior, 12th Edition by Dustin Rubenstein, covering Chapters 1 through 14. Includes...

12 USD

0

0

TEST BANK  Anatomy and Physiology 11th Edition  by Patton, Chapter 1 to 48 Covered
View Document

TEST BANK Anatomy and Physiology 11th Edition by Patton, Chapter 1 to 48 Covered

  • LecHaven

    LecHaven

  • test bank

Complete Test Bank for Anatomy and Physiology 11th Edition by Patton, covering all chapters (1–48). Includes verified ...

12 USD

0

0

TEST BANK  An Invitation to Health 20th Edition   by Tunks, Chapter 1 to 20 Covered
View Document

TEST BANK An Invitation to Health 20th Edition by Tunks, Chapter 1 to 20 Covered

  • LecHaven

    LecHaven

  • test bank

Comprehensive TEST BANK for An Invitation to Health, 20th Edition by Tunks, covering Chapters 1 through 20. Includes ver...

12 USD

0

0

SOLUTION MANUAL  Advanced Accounting, 5th Edition   by Hopkins and Halsey, Chapter 1 to 19
View Document

SOLUTION MANUAL Advanced Accounting, 5th Edition by Hopkins and Halsey, Chapter 1 to 19

  • LecHaven

    LecHaven

  • test bank

Complete Solution Manual for Advanced Accounting, 5th Edition by Hopkins and Halsey, covering Chapters 1 to 19. This res...

12 USD

0

0

Applied Pathophysiology For The Advanced  Practice Nurse, 2nd Edition  By Dlugasch ( Ch 1 To 14 )
View Document

Applied Pathophysiology For The Advanced Practice Nurse, 2nd Edition By Dlugasch ( Ch 1 To 14 )

  • LecHaven

    LecHaven

  • test bank

Comprehensive study material covering Chapters 1 to 14 from Applied Pathophysiology for the Advanced Practice Nurse, 2nd...

12 USD

0

0

SOLUTION MANUAL  Criminal Justice An Introduction 14th Edition   by Schmalleger, Chapter 1 to 14 Covered
View Document

SOLUTION MANUAL Criminal Justice An Introduction 14th Edition by Schmalleger, Chapter 1 to 14 Covered

  • LecHaven

    LecHaven

  • test bank

Comprehensive solution manual for Criminal Justice: An Introduction, 14th Edition by Schmalleger. Covers Chapters 1 to 1...

12 USD

0

0

Essentials of Organizational Behaviour | 3rd Canadian Edition by Robbins & Judge | Chapters 1–14 Complete Coverage
View Document

Essentials of Organizational Behaviour | 3rd Canadian Edition by Robbins & Judge | Chapters 1–14 Complete Coverage

  • LecHaven

    LecHaven

  • test bank

Comprehensive study resource covering all 14 chapters of Essentials of Organizational Behaviour, 3rd Canadian Edition by...

12 USD

0

0

Pharmacology and the Nursing Process, 10th Edition by Lilley, Collins & Snyder – Complete Study Resource (Chapters 1–58 Covered
View Document

Pharmacology and the Nursing Process, 10th Edition by Lilley, Collins & Snyder – Complete Study Resource (Chapters 1–58 Covered

  • LecHaven

    LecHaven

  • test bank

Detailed study guide and exam preparation resource for Pharmacology and the Nursing Process, 10th Edition by Lilley, Col...

12 USD

0

0

CAL REGIONAL CMA program Final Exam 2026–2026 (Clinical Medical Assistant)
View Document

CAL REGIONAL CMA program Final Exam 2026–2026 (Clinical Medical Assistant)

  • wangeci

    wangeci

  • exam

Calregional CMA program Final Exam 2025–2026 (Clinical Medical Assistant) Accurate Real Exam Questions and Verified Co...

7 USD

0

0

A+ Certified Transcultural Nursing TRANSCULTURAL NURSING FINAL
View Document

A+ Certified Transcultural Nursing TRANSCULTURAL NURSING FINAL

  • Oscar

    Oscar

  • ati medical surgical

NURS 136 Test 1 | 2025 Verified Exam: 200 Questions with Expert Answers & Rationales (A+ Graded)...

7 USD

0

0

Test Bank Bates Guide To Physical Examination and History taking 14th Edition Bickley’s Latest Questions and Answers 2025/2026 Updated.
View Document

Test Bank Bates Guide To Physical Examination and History taking 14th Edition Bickley’s Latest Questions and Answers 2025/2026 Updated.

  • ALLSTUDYGUIDE

    ALLSTUDYGUIDE

  • test bank

Test Bank Bates Guide To Physical Examination and History taking 14th Edition Bickley’s Latest Questions and Answers 2...

15 USD

0

0

Test Bank - Bates Nursing Guide to Physical Examination and History Taking, 3rd Edition (Hogan-Quigley, 2026), Chapter 1-24 | All Chapters
View Document

Test Bank - Bates Nursing Guide to Physical Examination and History Taking, 3rd Edition (Hogan-Quigley, 2026), Chapter 1-24 | All Chapters

  • ALLSTUDYGUIDE

    ALLSTUDYGUIDE

  • test bank

Test Bank - Bates Nursing Guide to Physical Examination and History Taking, 3rd Edition (Hogan-Quigley, 2025), Chapter 1...

28 USD

0

0

ATI Medical Surgical Respiratory Detailed Answer Key LATEST VERSION
View Document

ATI Medical Surgical Respiratory Detailed Answer Key LATEST VERSION

  • ALLSTUDYGUIDE

    ALLSTUDYGUIDE

  • ati medical surgical

ATI Medical Surgical Respiratory Detailed Answer Key LATEST VERSION...

20 USD

0

0

ATI Medical Surgical Respiratory Detailed Answer Key LATEST VERSION
View Document

ATI Medical Surgical Respiratory Detailed Answer Key LATEST VERSION

  • ALLSTUDYGUIDE

    ALLSTUDYGUIDE

  • ati medical surgical

ATI Medical Surgical Respiratory Detailed Answer Key LATEST VERSION...

20 USD

0

0

NYS Funeral Law Exam 2026 [Latest Actual Exam] – Verified Questions & Answers + Detailed Practice Test | 100% Pass Guarantee | Already Graded A+
View Document

NYS Funeral Law Exam 2026 [Latest Actual Exam] – Verified Questions & Answers + Detailed Practice Test | 100% Pass Guarantee | Already Graded A+

  • yunis

    yunis

  • exam

NYS Funeral Law Exam 2025 [Latest Actual Exam] – Verified Questions & Answers + Detailed Practice Test | 100% Pass Gua...

10 USD

0

0

PN ADULT MEDICAL SURGICAL ONLINE  PRACTICE 2023 A LATEST FINAL EXAM UPDATED FOR 2026-2026  ACTUAL QUESTIONS WITH 100% CERTIFIED, ELABORATED & VERIFIED  SOLUTIONS TOP SCORE, ACE YOUR EXAMS
View Document

PN ADULT MEDICAL SURGICAL ONLINE PRACTICE 2023 A LATEST FINAL EXAM UPDATED FOR 2026-2026 ACTUAL QUESTIONS WITH 100% CERTIFIED, ELABORATED & VERIFIED SOLUTIONS TOP SCORE, ACE YOUR EXAMS

  • ALLGENIUS

    ALLGENIUS

  • ati medical surgical

PN ADULT MEDICAL SURGICAL ONLINE PRACTICE 2023 A LATEST FINAL EXAM UPDATED FOR 2025-2026 ACTUAL QUESTIONS WITH 100% ...

15 USD

0

0

MED SURG POST-STUDY QUIZ LATEST FINAL EXAM UPDATED FOR 2026 TOP  SCORE COMPREHENSIVE QUESTIONS WITH 100% CERTIFIED, DETAILED &  VERIFIED SOLUTIONS, ACE YOUR EXAMS- DEFINITE SUCCESS!!!
View Document

MED SURG POST-STUDY QUIZ LATEST FINAL EXAM UPDATED FOR 2026 TOP SCORE COMPREHENSIVE QUESTIONS WITH 100% CERTIFIED, DETAILED & VERIFIED SOLUTIONS, ACE YOUR EXAMS- DEFINITE SUCCESS!!!

  • ALLGENIUS

    ALLGENIUS

  • ati medical surgical

MED SURG POST-STUDY QUIZ LATEST FINAL EXAM UPDATED FOR 2025 TOP SCORE COMPREHENSIVE QUESTIONS WITH 100% CERTIFIED, DET...

10 USD

0

0

MED SURG 2 LATEST FINAL EXAM 2026-2026 ACTUAL QUESTIONS  WITH 100% CERTIFIED, ELABORATED & VERIFIED SOLUTIONS TOP  SCORE✓✓ ✓ACE YOUR EXAMS
View Document

MED SURG 2 LATEST FINAL EXAM 2026-2026 ACTUAL QUESTIONS WITH 100% CERTIFIED, ELABORATED & VERIFIED SOLUTIONS TOP SCORE✓✓ ✓ACE YOUR EXAMS

  • ALLGENIUS

    ALLGENIUS

  • ati medical surgical

MED SURG 2 LATEST FINAL EXAM 2025-2026 ACTUAL QUESTIONS WITH 100% CERTIFIED, ELABORATED & VERIFIED SOLUTIONS TOP SCO...

12 USD

0

0

LEWIS MEDICAL-SURGICAL NURSING LATEST FINAL EXAM 2026  ACTUAL QUESTIONS WITH 100% CERTIFIED, ELABORATED & VERIFIED  SOLUTIONS TOP SCORE✓✓ ✓ACE YOUR EXAMS
View Document

LEWIS MEDICAL-SURGICAL NURSING LATEST FINAL EXAM 2026 ACTUAL QUESTIONS WITH 100% CERTIFIED, ELABORATED & VERIFIED SOLUTIONS TOP SCORE✓✓ ✓ACE YOUR EXAMS

  • ALLGENIUS

    ALLGENIUS

  • ati medical surgical

LEWIS MEDICAL-SURGICAL NURSING LATEST FINAL EXAM 2026 ACTUAL QUESTIONS WITH 100% CERTIFIED, ELABORATED & VERIFIED SO...

15 USD

0

0

ATI RN ADULT MEDICAL SURGICAL PROCTORED 2019  RETAKE  LATEST FINAL EXAM 2026-2026 ACTUAL QUESTIONS WITH 100%  CERTIFIED, ELABO
View Document

ATI RN ADULT MEDICAL SURGICAL PROCTORED 2019 RETAKE LATEST FINAL EXAM 2026-2026 ACTUAL QUESTIONS WITH 100% CERTIFIED, ELABO

  • ALLGENIUS

    ALLGENIUS

  • ati medical surgical

ATI RN ADULT MEDICAL SURGICAL PROCTORED 2019 RETAKE LATEST FINAL EXAM 2025-2026 ACTUAL QUESTIONS WITH 100% CERTIFI...

15 USD

0

0

ATI NURSING CARE OF CHILDREN PROCTORED 2019  LATEST STUDY GUIDE 2026-2026 ACTUAL QUESTIONS  WITH 100% CERTIFIED, ELABORATED & VERIFIED  SOLUTIONS TOP SCORE✓✓ ✓ACE YOUR EXAMS
View Document

ATI NURSING CARE OF CHILDREN PROCTORED 2019 LATEST STUDY GUIDE 2026-2026 ACTUAL QUESTIONS WITH 100% CERTIFIED, ELABORATED & VERIFIED SOLUTIONS TOP SCORE✓✓ ✓ACE YOUR EXAMS

  • ALLGENIUS

    ALLGENIUS

  • ati medical surgical

ATI NURSING CARE OF CHILDREN PROCTORED 2019 LATEST STUDY GUIDE 2025-2026 ACTUAL QUESTIONS WITH 100% CERTIFIED, ELABO...

18 USD

0

0

ATI MENTAL HEALTH PROCTORED LATEST FINAL EXAM 2026-2026  ACTUAL QUESTIONS WITH 100% CERTIFIED, ELABORATED & VERIFIED  SOLUTIONS TOP SCORE✓✓ ✓ACE YOUR EXAMS
View Document

ATI MENTAL HEALTH PROCTORED LATEST FINAL EXAM 2026-2026 ACTUAL QUESTIONS WITH 100% CERTIFIED, ELABORATED & VERIFIED SOLUTIONS TOP SCORE✓✓ ✓ACE YOUR EXAMS

  • ALLGENIUS

    ALLGENIUS

  • ati medical surgical

ATI MENTAL HEALTH PROCTORED LATEST FINAL EXAM 2025-2026 ACTUAL QUESTIONS WITH 100% CERTIFIED, ELABORATED & VERIFIED ...

15 USD

0

0

ATI MED-SURG PROCTORED LATEST  FINAL EXAM 2026-2026 ACTUAL  QUESTIONS WITH 100% CERTIFIED,  ELABORATED & VERIFIED SOLUTIONS  TOP SCORE✓✓ ✓ACE YOUR EXAMS
View Document

ATI MED-SURG PROCTORED LATEST FINAL EXAM 2026-2026 ACTUAL QUESTIONS WITH 100% CERTIFIED, ELABORATED & VERIFIED SOLUTIONS TOP SCORE✓✓ ✓ACE YOUR EXAMS

  • ALLGENIUS

    ALLGENIUS

  • ati medical surgical

ATI MED-SURG PROCTORED LATEST FINAL EXAM 2025-2026 ACTUAL QUESTIONS WITH 100% CERTIFIED, ELABORATED & VERIFIED SOL...

18 USD

0

0

ATI MEDSURG PROCTORED LATEST FINAL EXAM 2026-2026 ACTUAL  QUESTIONS WITH 100% CERTIFIED, ELABORATED & VERIFIED  SOLUTIONS TOP SCORE✓✓ ✓ACE YOUR EXAMS
View Document

ATI MEDSURG PROCTORED LATEST FINAL EXAM 2026-2026 ACTUAL QUESTIONS WITH 100% CERTIFIED, ELABORATED & VERIFIED SOLUTIONS TOP SCORE✓✓ ✓ACE YOUR EXAMS

  • ALLGENIUS

    ALLGENIUS

  • ati medical surgical

ATI MEDSURG PROCTORED LATEST FINAL EXAM 2025-2026 ACTUAL QUESTIONS WITH 100% CERTIFIED, ELABORATED & VERIFIED SOLUTI...

24 USD

0

0

ATI MED SURG RN EXIT LATEST FINAL EXAM 2026-2026 ACTUAL  QUESTIONS WITH 100% CERTIFIED, ELABORATED & VERIFIED SOLUTIONS TOP  SCORE✓✓ ✓ACE YOUR EXAMS
View Document

ATI MED SURG RN EXIT LATEST FINAL EXAM 2026-2026 ACTUAL QUESTIONS WITH 100% CERTIFIED, ELABORATED & VERIFIED SOLUTIONS TOP SCORE✓✓ ✓ACE YOUR EXAMS

  • ALLGENIUS

    ALLGENIUS

  • ati medical surgical

ATI MED SURG RN EXIT LATEST FINAL EXAM 2025-2026 ACTUAL QUESTIONS WITH 100% CERTIFIED, ELABORATED & VERIFIED SOLUTIONS...

14 USD

0

0

ATI MED SURG PRACTICE B LATEST EXAM UPDATED FOR 2026-2026  ACTUAL QUESTIONS WITH 100% CERTIFIED, ELABORATED &  VERIFIED SOLUTIONS TOP SCORE, ACE YOUR EXAMS
View Document

ATI MED SURG PRACTICE B LATEST EXAM UPDATED FOR 2026-2026 ACTUAL QUESTIONS WITH 100% CERTIFIED, ELABORATED & VERIFIED SOLUTIONS TOP SCORE, ACE YOUR EXAMS

  • ALLGENIUS

    ALLGENIUS

  • ati medical surgical

ATI MED SURG PRACTICE B LATEST EXAM UPDATED FOR 2025-2026 ACTUAL QUESTIONS WITH 100% CERTIFIED, ELABORATED & VERIFIE...

19 USD

0

0

ATI MED SURG CMS LATEST FINAL EXAM UPDATED FOR 2026 ACTUAL  QUESTIONS WITH 100% CERTIFIED, ELABORATED & VERIFIED  SOLUTIONS TOP SCORE✓✓✓ ACE YOUR EXAMS
View Document

ATI MED SURG CMS LATEST FINAL EXAM UPDATED FOR 2026 ACTUAL QUESTIONS WITH 100% CERTIFIED, ELABORATED & VERIFIED SOLUTIONS TOP SCORE✓✓✓ ACE YOUR EXAMS

  • ALLGENIUS

    ALLGENIUS

  • ati medical surgical

ATI MED SURG CMS LATEST FINAL EXAM UPDATED FOR 2026 ACTUAL QUESTIONS WITH 100% CERTIFIED, ELABORATED & VERIFIED SOLU...

14 USD

0

0

ATI MED SURG 3 PROCTORED LATEST FINAL EXAM 2026-2026  ACTUAL QUESTIONS WITH 100% CERTIFIED, ELABORATED &  VERIFIED SOLUTIONS TOP SCORE✓✓ ✓ACE YOUR EXAMS
View Document

ATI MED SURG 3 PROCTORED LATEST FINAL EXAM 2026-2026 ACTUAL QUESTIONS WITH 100% CERTIFIED, ELABORATED & VERIFIED SOLUTIONS TOP SCORE✓✓ ✓ACE YOUR EXAMS

  • ALLGENIUS

    ALLGENIUS

  • ati medical surgical

ATI MED SURG 3 PROCTORED LATEST FINAL EXAM 2025-2026 ACTUAL QUESTIONS WITH 100% CERTIFIED, ELABORATED & VERIFIED SOL...

18 USD

0

0

ATI ADVANCED MED SURG PROCTORED 2019 LATEST FINAL  EXAM 2026-2026 ACTUAL QUESTIONS WITH 100% CERTIFIED,  ELABORATED & VERIFIED SOLUTIONS TOP SCORE✓✓ ✓ACE  YOUR EXAMS
View Document

ATI ADVANCED MED SURG PROCTORED 2019 LATEST FINAL EXAM 2026-2026 ACTUAL QUESTIONS WITH 100% CERTIFIED, ELABORATED & VERIFIED SOLUTIONS TOP SCORE✓✓ ✓ACE YOUR EXAMS

  • ALLGENIUS

    ALLGENIUS

  • ati medical surgical

ATI ADVANCED MED SURG PROCTORED 2019 LATEST FINAL EXAM 2025-2026 ACTUAL QUESTIONS WITH 100% CERTIFIED, ELABORATED & ...

14 USD

0

0

PHARM NCLEX REMEDIATION LATEST FINAL EXAM UPDATED FOR 2026 TOP  SCORE COMPREHENSIVE QUESTIONS WITH 100% CERTIFIED, DETAILED &  VERIFIED SOLUTIONS, ACE YOUR EXAMS- DEFINITE SUCCESS!!!
View Document

PHARM NCLEX REMEDIATION LATEST FINAL EXAM UPDATED FOR 2026 TOP SCORE COMPREHENSIVE QUESTIONS WITH 100% CERTIFIED, DETAILED & VERIFIED SOLUTIONS, ACE YOUR EXAMS- DEFINITE SUCCESS!!!

  • ALLGENIUS

    ALLGENIUS

  • nclex

PHARM NCLEX REMEDIATION LATEST FINAL EXAM UPDATED FOR 2025 TOP SCORE COMPREHENSIVE QUESTIONS WITH 100% CERTIFIED, DETA...

10 USD

0

0

CAPSTONE ATI NCLEX MEDICAL SURGICAL ASSESSMENT 1 LATEST FINAL EXAM   UPDATED FOR 2026-2026 TOP SCORE COMPREHENSIVE QUESTIONS WITH 100%  CERTIFIED, DETAILED & VERIFIED SOLUTIONS, ACE YOUR EXAMS- DEFINITE  SUCCESS!!!
View Document

CAPSTONE ATI NCLEX MEDICAL SURGICAL ASSESSMENT 1 LATEST FINAL EXAM UPDATED FOR 2026-2026 TOP SCORE COMPREHENSIVE QUESTIONS WITH 100% CERTIFIED, DETAILED & VERIFIED SOLUTIONS, ACE YOUR EXAMS- DEFINITE SUCCESS!!!

  • ALLGENIUS

    ALLGENIUS

  • nclex

CAPSTONE ATI NCLEX MEDICAL SURGICAL ASSESSMENT 1 LATEST FINAL EXAM UPDATED FOR 2025-2026 TOP SCORE COMPREHENSIVE QUES...

14 USD

0

0

ACID BASE NCLEX LATEST FINAL EXAM UPDATED FOR 2026  ACTUAL QUESTIONS WITH 100% CERTIFIED, ELABORATED & VERIFIED  SOLUTIONS TOP SCORE✓✓ ✓ACE YOUR EXAMS
View Document

ACID BASE NCLEX LATEST FINAL EXAM UPDATED FOR 2026 ACTUAL QUESTIONS WITH 100% CERTIFIED, ELABORATED & VERIFIED SOLUTIONS TOP SCORE✓✓ ✓ACE YOUR EXAMS

  • ALLGENIUS

    ALLGENIUS

  • nclex

ACID BASE NCLEX LATEST FINAL EXAM UPDATED FOR 2026 ACTUAL QUESTIONS WITH 100% CERTIFIED, ELABORATED & VERIFIED SOLUT...

18 USD

0

0

ACID BASE NCLEX LATEST FINAL EXAM 2026 ACTUAL   QUESTIONS WITH 100% CERTIFIED, ELABORATED & VERIFIED   SOLUTIONS TOP SCORE✓✓ ✓ACE YOUR EXAMS
View Document

ACID BASE NCLEX LATEST FINAL EXAM 2026 ACTUAL QUESTIONS WITH 100% CERTIFIED, ELABORATED & VERIFIED SOLUTIONS TOP SCORE✓✓ ✓ACE YOUR EXAMS

  • ALLGENIUS

    ALLGENIUS

  • nclex

ACID BASE NCLEX LATEST FINAL EXAM 2026 ACTUAL QUESTIONS WITH 100% CERTIFIED, ELABORATED & VERIFIED SOLUTIONS TOP S...

18 USD

0

0

PN HESI PHARM LATEST FINAL EXAM UPDATED FOR 2026-2026  ACTUAL QUESTIONS WITH 100% CERTIFIED, ELABORATED & VERIFIED  SOLUTIONS TOP SCORE, ACE YOUR EXAMS
View Document

PN HESI PHARM LATEST FINAL EXAM UPDATED FOR 2026-2026 ACTUAL QUESTIONS WITH 100% CERTIFIED, ELABORATED & VERIFIED SOLUTIONS TOP SCORE, ACE YOUR EXAMS

  • ALLGENIUS

    ALLGENIUS

  • hesi

PN HESI PHARM LATEST FINAL EXAM UPDATED FOR 2025-2026 ACTUAL QUESTIONS WITH 100% CERTIFIED, ELABORATED & VERIFIED SO...

14 USD

0

0

PN HESI PEDS LATEST FINAL EXAM UPDATED FOR 2026-2026 ACTUAL  QUESTIONS WITH 100% CERTIFIED, ELABORATED & VERIFIED  SOLUTIONS TOP SCORE, ACE YOUR EXAMS
View Document

PN HESI PEDS LATEST FINAL EXAM UPDATED FOR 2026-2026 ACTUAL QUESTIONS WITH 100% CERTIFIED, ELABORATED & VERIFIED SOLUTIONS TOP SCORE, ACE YOUR EXAMS

  • ALLGENIUS

    ALLGENIUS

  • hesi

PN HESI PEDS LATEST FINAL EXAM UPDATED FOR 2025-2026 ACTUAL QUESTIONS WITH 100% CERTIFIED, ELABORATED & VERIFIED SOL...

12 USD

0

0

MEDSURG_HESI 2 LATEST EXAM UPDATED FOR 2026-2026 ACTUAL  QUESTIONS WITH 100% CERTIFIED, ELABORATED & VERIFIED SOLUTIONS  TOP SCORE, ACE YOUR EXAMS
View Document

MEDSURG_HESI 2 LATEST EXAM UPDATED FOR 2026-2026 ACTUAL QUESTIONS WITH 100% CERTIFIED, ELABORATED & VERIFIED SOLUTIONS TOP SCORE, ACE YOUR EXAMS

  • ALLGENIUS

    ALLGENIUS

  • hesi

MEDSURG_HESI 2 LATEST EXAM UPDATED FOR 2025-2026 ACTUAL QUESTIONS WITH 100% CERTIFIED, ELABORATED & VERIFIED SOLUTIONS...

11 USD

0

0

MED-SURG HESI PN LATEST EXAM UPDATED FOR 2026-2026 ACTUAL  QUESTIONS WITH 100% CERTIFIED, ELABORATED & VERIFIED  SOLUTIONS TOP SCORE, ACE YOUR EXAMS
View Document

MED-SURG HESI PN LATEST EXAM UPDATED FOR 2026-2026 ACTUAL QUESTIONS WITH 100% CERTIFIED, ELABORATED & VERIFIED SOLUTIONS TOP SCORE, ACE YOUR EXAMS

  • ALLGENIUS

    ALLGENIUS

  • hesi

MED-SURG HESI PN LATEST EXAM UPDATED FOR 2025-2026 ACTUAL QUESTIONS WITH 100% CERTIFIED, ELABORATED & VERIFIED SOLUT...

16 USD

0

0

MED SURG 1 HESI FINAL T2 LATEST EXAM UPDATED FOR 2026-2026  ACTUAL QUESTIONS WITH 100% CERTIFIED, ELABORATED & VERIFIED  SOLUTIONS TOP SCORE, ACE YOUR EXAMS
View Document

MED SURG 1 HESI FINAL T2 LATEST EXAM UPDATED FOR 2026-2026 ACTUAL QUESTIONS WITH 100% CERTIFIED, ELABORATED & VERIFIED SOLUTIONS TOP SCORE, ACE YOUR EXAMS

  • ALLGENIUS

    ALLGENIUS

  • hesi

MED SURG 1 HESI FINAL T2 LATEST EXAM UPDATED FOR 2025-2026 ACTUAL QUESTIONS WITH 100% CERTIFIED, ELABORATED & VERIFIED...

15 USD

0

0

MATERNITY - HESI PN LATEST EXAM UPDATED FOR 2026-2026  ACTUAL QUESTIONS WITH 100% CERTIFIED, ELABORATED & VERIFIED  SOLUTIONS TOP SCORE, ACE YOUR EXAMS
View Document

MATERNITY - HESI PN LATEST EXAM UPDATED FOR 2026-2026 ACTUAL QUESTIONS WITH 100% CERTIFIED, ELABORATED & VERIFIED SOLUTIONS TOP SCORE, ACE YOUR EXAMS

  • ALLGENIUS

    ALLGENIUS

  • hesi

MATERNITY - HESI PN LATEST EXAM UPDATED FOR 2025-2026 ACTUAL QUESTIONS WITH 100% CERTIFIED, ELABORATED & VERIFIED SO...

19 USD

0

0

LEADERSHIP HESI ADAPTIVE LATEST FINAL EXAM 2026 ACTUAL  QUESTIONS -WITH 100% CERTIFIED, ELABORATED & VERIFIED  SOLUTIONS TOP SCORE✓✓ ✓ACE YOUR EXAMS
View Document

LEADERSHIP HESI ADAPTIVE LATEST FINAL EXAM 2026 ACTUAL QUESTIONS -WITH 100% CERTIFIED, ELABORATED & VERIFIED SOLUTIONS TOP SCORE✓✓ ✓ACE YOUR EXAMS

  • ALLGENIUS

    ALLGENIUS

  • hesi

LEADERSHIP HESI ADAPTIVE LATEST FINAL EXAM 2026 ACTUAL QUESTIONS -WITH 100% CERTIFIED, ELABORATED & VERIFIED SOLUTIO...

15 USD

0

0

LEADERSHIP HESI 2 LATEST FINAL EXAM 2026 ACTUAL QUESTIONS  WITH 100% CERTIFIED, ELABORATED & VERIFIED SOLUTIONS TOP  SCORE✓✓ ✓ACE YOUR EXAMS
View Document

LEADERSHIP HESI 2 LATEST FINAL EXAM 2026 ACTUAL QUESTIONS WITH 100% CERTIFIED, ELABORATED & VERIFIED SOLUTIONS TOP SCORE✓✓ ✓ACE YOUR EXAMS

  • ALLGENIUS

    ALLGENIUS

  • hesi

LEADERSHIP HESI 2 LATEST FINAL EXAM 2026 ACTUAL QUESTIONS WITH 100% CERTIFIED, ELABORATED & VERIFIED SOLUTIONS TOP S...

12 USD

0

0

HESI SKIN INTEGRITY LATEST FINAL EXAM UPDATED FOR 2026-2026 TOP SCORE   COMPREHENSIVE QUESTIONS WITH 100% CERTIFIED, DETAILED & VERIFIED  SOLUTIONS, ACE YOUR EXAMS- DEFINITE SUCCESS!!!
View Document

HESI SKIN INTEGRITY LATEST FINAL EXAM UPDATED FOR 2026-2026 TOP SCORE COMPREHENSIVE QUESTIONS WITH 100% CERTIFIED, DETAILED & VERIFIED SOLUTIONS, ACE YOUR EXAMS- DEFINITE SUCCESS!!!

  • ALLGENIUS

    ALLGENIUS

  • hesi

HESI SKIN INTEGRITY LATEST FINAL EXAM UPDATED FOR 2025-2026 TOP SCORE COMPREHENSIVE QUESTIONS WITH 100% CERTIFIED, DE...

12 USD

0

0

HESI SKIN INTEGRITY AND RATIONALE LATEST FINAL EXAM UPDATED FOR 2026 2026 TOP SCORE COMPREHENSIVE QUESTIONS WITH 100% CERTIFIED, DETAILED  & VERIFIED SOLUTIONS, ACE YOUR EXAMS- DEFINITE SUCCESS!!!
View Document

HESI SKIN INTEGRITY AND RATIONALE LATEST FINAL EXAM UPDATED FOR 2026 2026 TOP SCORE COMPREHENSIVE QUESTIONS WITH 100% CERTIFIED, DETAILED & VERIFIED SOLUTIONS, ACE YOUR EXAMS- DEFINITE SUCCESS!!!

  • ALLGENIUS

    ALLGENIUS

  • hesi

HESI SKIN INTEGRITY AND RATIONALE LATEST FINAL EXAM UPDATED FOR 2025 2026 TOP SCORE COMPREHENSIVE QUESTIONS WITH 100% C...

13 USD

0

0

HESI RN FUNDAMENTALS LATEST FINAL EXAM UPDATED FOR 2026  ACTUAL QUESTIONS WITH 100% CERTIFIED, ELABORATED & VERIFIED  SOLUTIONS TOP SCORE✓✓✓ ACE YOUR EXAMS
View Document

HESI RN FUNDAMENTALS LATEST FINAL EXAM UPDATED FOR 2026 ACTUAL QUESTIONS WITH 100% CERTIFIED, ELABORATED & VERIFIED SOLUTIONS TOP SCORE✓✓✓ ACE YOUR EXAMS

  • ALLGENIUS

    ALLGENIUS

  • hesi

HESI RN FUNDAMENTALS LATEST FINAL EXAM UPDATED FOR 2026 ACTUAL QUESTIONS WITH 100% CERTIFIED, ELABORATED & VERIFIED ...

15 USD

0

0

HESI RN EXIT LATEST FINAL EXAM UPDATED FOR 2026 ACTUAL  QUESTIONS WITH 100% CERTIFIED, ELABORATED & VERIFIED  SOLUTIONS TOP SCORE✓✓✓ ACE YOUR EXAMS
View Document

HESI RN EXIT LATEST FINAL EXAM UPDATED FOR 2026 ACTUAL QUESTIONS WITH 100% CERTIFIED, ELABORATED & VERIFIED SOLUTIONS TOP SCORE✓✓✓ ACE YOUR EXAMS

  • ALLGENIUS

    ALLGENIUS

  • hesi

HESI RN EXIT LATEST FINAL EXAM UPDATED FOR 2026 ACTUAL QUESTIONS WITH 100% CERTIFIED, ELABORATED & VERIFIED SOLUTION...

18 USD

0

0

HESI RN EXIT EXAM TEST BANK LATEST FINAL EXAM UPDATED FOR 2026  ACTUAL QUESTIONS WITH 100% CERTIFIED, ELABORATED & VERIFIED  SOLUTIONS TOP SCORE✓✓✓ ACE YOUR EXAMS
View Document

HESI RN EXIT EXAM TEST BANK LATEST FINAL EXAM UPDATED FOR 2026 ACTUAL QUESTIONS WITH 100% CERTIFIED, ELABORATED & VERIFIED SOLUTIONS TOP SCORE✓✓✓ ACE YOUR EXAMS

  • ALLGENIUS

    ALLGENIUS

  • hesi

HESI RN EXIT EXAM TEST BANK LATEST FINAL EXAM UPDATED FOR 2026 ACTUAL QUESTIONS WITH 100% CERTIFIED, ELABORATED & VERI...

25 USD

0

0

HESI RN EXIT EXAM LATEST FINAL EXAM UPDATED FOR 2026  ACTUAL QUESTIONS WITH 100% CERTIFIED, ELABORATED & VERIFIED  SOLUTIONS TOP SCORE✓✓ ✓ACE YOUR EXAMS
View Document

HESI RN EXIT EXAM LATEST FINAL EXAM UPDATED FOR 2026 ACTUAL QUESTIONS WITH 100% CERTIFIED, ELABORATED & VERIFIED SOLUTIONS TOP SCORE✓✓ ✓ACE YOUR EXAMS

  • ALLGENIUS

    ALLGENIUS

  • hesi

HESI RN EXIT EXAM LATEST FINAL EXAM UPDATED FOR 2026 ACTUAL QUESTIONS WITH 100% CERTIFIED, ELABORATED & VERIFIED SOL...

19 USD

0

0

HESI REVIEW 1 BSN 266 LATEST EXAM UPDATED FOR 2026-2026  ACTUAL QUESTIONS WITH 100% CERTIFIED, ELABORATED & VERIFIED  SOLUTIONS TOP SCORE, ACE YOUR EXAMS
View Document

HESI REVIEW 1 BSN 266 LATEST EXAM UPDATED FOR 2026-2026 ACTUAL QUESTIONS WITH 100% CERTIFIED, ELABORATED & VERIFIED SOLUTIONS TOP SCORE, ACE YOUR EXAMS

  • ALLGENIUS

    ALLGENIUS

  • hesi

HESI REVIEW 1 BSN 266 LATEST EXAM UPDATED FOR 2025-2026 ACTUAL QUESTIONS WITH 100% CERTIFIED, ELABORATED & VERIFIED ...

19 USD

0

0

HESI PSYCH MENTAL HEALTH EXIT EXAM-V1 TO V3-LATEST FINAL EXAM  UPDATED FOR 2026-2026 ACTUAL QUESTIONS WITH 100% CERTIFIED,  ELABORATED & VERIFIED SOLUTIONS TOP SCORE✓✓✓ ACE YOUR EXAMS
View Document

HESI PSYCH MENTAL HEALTH EXIT EXAM-V1 TO V3-LATEST FINAL EXAM UPDATED FOR 2026-2026 ACTUAL QUESTIONS WITH 100% CERTIFIED, ELABORATED & VERIFIED SOLUTIONS TOP SCORE✓✓✓ ACE YOUR EXAMS

  • ALLGENIUS

    ALLGENIUS

  • hesi

HESI PSYCH MENTAL HEALTH EXIT EXAM-V1 TO V3-LATEST FINAL EXAM UPDATED FOR 2025-2026 ACTUAL QUESTIONS WITH 100% CERTIFI...

16 USD

0

0

HESI PN WITH NGN LATEST FINAL EXAM UPDATED FOR 2026  ACTUAL QUESTIONS WITH 100% CERTIFIED, ELABORATED &  VERIFIED SOLUTIONS TOP SCORE✓✓✓ ACE YOUR EXAMS
View Document

HESI PN WITH NGN LATEST FINAL EXAM UPDATED FOR 2026 ACTUAL QUESTIONS WITH 100% CERTIFIED, ELABORATED & VERIFIED SOLUTIONS TOP SCORE✓✓✓ ACE YOUR EXAMS

  • ALLGENIUS

    ALLGENIUS

  • hesi

HESI PN WITH NGN LATEST FINAL EXAM UPDATED FOR 2026 ACTUAL QUESTIONS WITH 100% CERTIFIED, ELABORATED & VERIFIED SOLU...

21 USD

0

0

HESI PN SLEEP PATTERNS CASE  STUDY_2015 LATEST EXAM UPDATED FOR 2026-2026 ACTUAL  QUESTIONS WITH 100% CERTIFIED, ELABORATED & VERIFIED  SOLUTIONS TOP SCORE, ACE YOUR EXAMS
View Document

HESI PN SLEEP PATTERNS CASE STUDY_2015 LATEST EXAM UPDATED FOR 2026-2026 ACTUAL QUESTIONS WITH 100% CERTIFIED, ELABORATED & VERIFIED SOLUTIONS TOP SCORE, ACE YOUR EXAMS

  • ALLGENIUS

    ALLGENIUS

  • hesi

HESI PN SLEEP PATTERNS CASE STUDY_2015 LATEST EXAM UPDATED FOR 2025-2026 ACTUAL QUESTIONS WITH 100% CERTIFIED, ELABO...

16 USD

0

0

HESI PN PRACTICE LATEST EXAM UPDATED FOR 2026-2026  ACTUAL QUESTIONS WITH 100% CERTIFIED, ELABORATED &  VERIFIED SOLUTIONS TOP SCORE✓✓✓ ACE YOUR EXAMS
View Document

HESI PN PRACTICE LATEST EXAM UPDATED FOR 2026-2026 ACTUAL QUESTIONS WITH 100% CERTIFIED, ELABORATED & VERIFIED SOLUTIONS TOP SCORE✓✓✓ ACE YOUR EXAMS

  • ALLGENIUS

    ALLGENIUS

  • hesi

HESI PN PRACTICE LATEST EXAM UPDATED FOR 2025-2026 ACTUAL QUESTIONS WITH 100% CERTIFIED, ELABORATED & VERIFIED SOLUT...

18 USD

0

0

HESI PN MATERNITY LATEST FINAL EXAM UPDATED FOR 2026-2026  ACTUAL QUESTIONS WITH 100% CERTIFIED, ELABORATED & VERIFIED  SOLUTIONS TOP SCORE✓✓✓ ACE YOUR EXAMS
View Document

HESI PN MATERNITY LATEST FINAL EXAM UPDATED FOR 2026-2026 ACTUAL QUESTIONS WITH 100% CERTIFIED, ELABORATED & VERIFIED SOLUTIONS TOP SCORE✓✓✓ ACE YOUR EXAMS

  • ALLGENIUS

    ALLGENIUS

  • hesi

HESI PN MATERNITY LATEST FINAL EXAM UPDATED FOR 2025-2026 ACTUAL QUESTIONS WITH 100% CERTIFIED, ELABORATED & VERIFIED ...

12 USD

0

0

HESI PN LATEST FINAL EXAM UPDATED FOR- 2026 ACTUAL  QUESTIONS WITH 100% CERTIFIED, ELABORATED & VERIFIED  SOLUTIONS TOP SCORE✓✓✓ ACE YOUR EXAMS
View Document

HESI PN LATEST FINAL EXAM UPDATED FOR- 2026 ACTUAL QUESTIONS WITH 100% CERTIFIED, ELABORATED & VERIFIED SOLUTIONS TOP SCORE✓✓✓ ACE YOUR EXAMS

  • ALLGENIUS

    ALLGENIUS

  • hesi

HESI PN LATEST FINAL EXAM UPDATED FOR- 2026 ACTUAL QUESTIONS WITH 100% CERTIFIED, ELABORATED & VERIFIED SOLUTIONS TO...

11 USD

0

0

HESI PN LATEST FINAL EXAM UPDATED FOR 2026 ACTUAL QUESTIONS  WITH 100% CERTIFIED, ELABORATED & VERIFIED SOLUTIONS TOP  SCORE✓✓✓ ACE YOUR EXAMS
View Document

HESI PN LATEST FINAL EXAM UPDATED FOR 2026 ACTUAL QUESTIONS WITH 100% CERTIFIED, ELABORATED & VERIFIED SOLUTIONS TOP SCORE✓✓✓ ACE YOUR EXAMS

  • ALLGENIUS

    ALLGENIUS

  • hesi

HESI PN LATEST FINAL EXAM UPDATED FOR 2026 ACTUAL QUESTIONS WITH 100% CERTIFIED, ELABORATED & VERIFIED SOLUTIONS TOP ...

15 USD

0

0

HESI PN LATEST EXAM UPDATED FOR 2026-2026 ACTUAL QUESTIONS  WITH 100% CERTIFIED, ELABORATED & VERIFIED SOLUTIONS TOP  SCORE, ACE YOUR EXAMS
View Document

HESI PN LATEST EXAM UPDATED FOR 2026-2026 ACTUAL QUESTIONS WITH 100% CERTIFIED, ELABORATED & VERIFIED SOLUTIONS TOP SCORE, ACE YOUR EXAMS

  • ALLGENIUS

    ALLGENIUS

  • hesi

HESI PN LATEST EXAM UPDATED FOR 2025-2026 ACTUAL QUESTIONS WITH 100% CERTIFIED, ELABORATED & VERIFIED SOLUTIONS TOP ...

11 USD

0

0

HESI PN FUNDAMENTALS LATEST FINAL EXAM UPDATED FOR- 2026  ACTUAL QUESTIONS WITH 100% CERTIFIED, ELABORATED & VERIFIED  SOLUTIONS TOP SCORE✓✓✓ ACE YOUR EXAMS
View Document

HESI PN FUNDAMENTALS LATEST FINAL EXAM UPDATED FOR- 2026 ACTUAL QUESTIONS WITH 100% CERTIFIED, ELABORATED & VERIFIED SOLUTIONS TOP SCORE✓✓✓ ACE YOUR EXAMS

  • ALLGENIUS

    ALLGENIUS

  • hesi

HESI PN FUNDAMENTALS LATEST FINAL EXAM UPDATED FOR- 2026 ACTUAL QUESTIONS WITH 100% CERTIFIED, ELABORATED & VERIFIED ...

19 USD

0

0

HESI PN EXIT LATEST FINAL EXAM UPDATED FOR- 2026 ACTUAL  QUESTIONS WITH 100% CERTIFIED, ELABORATED & VERIFIED  SOLUTIONS TOP SCORE✓✓✓ ACE YOUR EXAMS
View Document

HESI PN EXIT LATEST FINAL EXAM UPDATED FOR- 2026 ACTUAL QUESTIONS WITH 100% CERTIFIED, ELABORATED & VERIFIED SOLUTIONS TOP SCORE✓✓✓ ACE YOUR EXAMS

  • ALLGENIUS

    ALLGENIUS

  • hesi

HESI PN EXIT LATEST FINAL EXAM UPDATED FOR- 2026 ACTUAL QUESTIONS WITH 100% CERTIFIED, ELABORATED & VERIFIED SOLUTIO...

19 USD

0

0

HESI PN EXIT LATEST FINAL EXAM UPDATED FOR 2026 ACTUAL  QUESTIONS WITH 100% CERTIFIED, ELABORATED & VERIFIED  SOLUTIONS TOP SCORE✓✓✓ ACE YOUR EXAMS
View Document

HESI PN EXIT LATEST FINAL EXAM UPDATED FOR 2026 ACTUAL QUESTIONS WITH 100% CERTIFIED, ELABORATED & VERIFIED SOLUTIONS TOP SCORE✓✓✓ ACE YOUR EXAMS

  • ALLGENIUS

    ALLGENIUS

  • hesi

HESI PN EXIT LATEST FINAL EXAM UPDATED FOR 2026 ACTUAL QUESTIONS WITH 100% CERTIFIED, ELABORATED & VERIFIED SOLUTION...

19 USD

0

0

HESI PN EXIT EXAM UPDATED FOR 2026 COMPREHENSIVE  QUESTIONS WITH 100% CERTIFIED, DETAILED & VERIFIED  SOLUTIONS ALL SCREENSHOTS  2026 GUARANTEED PASS,  EXAMS OF NURSING
View Document

HESI PN EXIT EXAM UPDATED FOR 2026 COMPREHENSIVE QUESTIONS WITH 100% CERTIFIED, DETAILED & VERIFIED SOLUTIONS ALL SCREENSHOTS 2026 GUARANTEED PASS, EXAMS OF NURSING

  • ALLGENIUS

    ALLGENIUS

  • hesi

HESI PN EXIT EXAM UPDATED FOR 2025 COMPREHENSIVE QUESTIONS WITH 100% CERTIFIED, DETAILED & VERIFIED SOLUTIONS ALL SC...

20 USD

0

0

HESI PN COMPREHENSIVE EXAM 3 LATEST FINAL EXAM UPDATED  FOR 2026 ACTUAL QUESTIONS WITH 100% CERTIFIED, ELABORATED  & VERIFIED SOLUTIONS TOP SCORE✓✓✓ ACE YOUR EXAMS
View Document

HESI PN COMPREHENSIVE EXAM 3 LATEST FINAL EXAM UPDATED FOR 2026 ACTUAL QUESTIONS WITH 100% CERTIFIED, ELABORATED & VERIFIED SOLUTIONS TOP SCORE✓✓✓ ACE YOUR EXAMS

  • ALLGENIUS

    ALLGENIUS

  • hesi

HESI PN COMPREHENSIVE EXAM 3 LATEST FINAL EXAM UPDATED FOR 2026 ACTUAL QUESTIONS WITH 100% CERTIFIED, ELABORATED & V...

18 USD

0

0

HESI PN  1 LATEST EXAM UPDATED FOR 2026-2026 ACTUAL  QUESTIONS WITH 100% CERTIFIED, ELABORATED & VERIFIED  SOLUTIONS TOP SCORE, ACE YOUR EXAMS
View Document

HESI PN 1 LATEST EXAM UPDATED FOR 2026-2026 ACTUAL QUESTIONS WITH 100% CERTIFIED, ELABORATED & VERIFIED SOLUTIONS TOP SCORE, ACE YOUR EXAMS

  • ALLGENIUS

    ALLGENIUS

  • hesi

HESI PN 1 LATEST EXAM UPDATED FOR 2025-2026 ACTUAL QUESTIONS WITH 100% CERTIFIED, ELABORATED & VERIFIED SOLUTIONS T...

15 USD

0

0

HESI PHARMACOLOGY VERSION 1 (V1)  EXIT EXAM 2022- C  LEAR SCREENSHOT FOR  ALL QUESTIONS  LATEST AND COMPLETE UPDATE WITH  100% CERTIFIED SOLUTIONS TOP SCORE  2026-2026 ||ASSURED PASS!!!
View Document

HESI PHARMACOLOGY VERSION 1 (V1) EXIT EXAM 2022- C LEAR SCREENSHOT FOR ALL QUESTIONS LATEST AND COMPLETE UPDATE WITH 100% CERTIFIED SOLUTIONS TOP SCORE 2026-2026 ||ASSURED PASS!!!

  • ALLGENIUS

    ALLGENIUS

  • hesi

HESI PHARMACOLOGY VERSION 1 (V1) EXIT EXAM 2022- C LEAR SCREENSHOT FOR ALL QUESTIONS LATEST AND COMPLETE UPDATE ...

18 USD

0

0

HESI PHARMACOLOGY TEST BANK LATEST FINAL EXAM  UPDATED FOR 2026-2026 ACTUAL QUESTIONS WITH 100%  CERTIFIED, ELABORATED & VERIFIED SOLUTIONS TOP  SCORE✓✓✓ ACE YOUR EXAMS
View Document

HESI PHARMACOLOGY TEST BANK LATEST FINAL EXAM UPDATED FOR 2026-2026 ACTUAL QUESTIONS WITH 100% CERTIFIED, ELABORATED & VERIFIED SOLUTIONS TOP SCORE✓✓✓ ACE YOUR EXAMS

  • ALLGENIUS

    ALLGENIUS

  • hesi

HESI PHARMACOLOGY TEST BANK LATEST FINAL EXAM UPDATED FOR 2025-2026 ACTUAL QUESTIONS WITH 100% CERTIFIED, ELABORATED...

19 USD

0

0

HESI PHARMACOLOGY LATEST FINAL EXAM UPDATED FOR 2026-2026 ACTUAL  QUESTIONS WITH 100% CERTIFIED, ELABORATED & VERIFIED SOLUTIONS TOP  SCORE✓✓✓ ACE YOUR EXAMS
View Document

HESI PHARMACOLOGY LATEST FINAL EXAM UPDATED FOR 2026-2026 ACTUAL QUESTIONS WITH 100% CERTIFIED, ELABORATED & VERIFIED SOLUTIONS TOP SCORE✓✓✓ ACE YOUR EXAMS

  • ALLGENIUS

    ALLGENIUS

  • hesi

HESI PHARMACOLOGY LATEST FINAL EXAM UPDATED FOR 2025-2026 ACTUAL QUESTIONS WITH 100% CERTIFIED, ELABORATED & VERIFIED ...

18 USD

0

0

HESI PHARMACOLOGY LATEST EXAM UPDATED FOR 2026-2026 ACTUAL QUESTIONS  WITH 100% CERTIFIED, ELABORATED & VERIFIED SOLUTIONS TOP SCORE, ACE YOUR  EXAMS
View Document

HESI PHARMACOLOGY LATEST EXAM UPDATED FOR 2026-2026 ACTUAL QUESTIONS WITH 100% CERTIFIED, ELABORATED & VERIFIED SOLUTIONS TOP SCORE, ACE YOUR EXAMS

  • ALLGENIUS

    ALLGENIUS

  • hesi

HESI PHARMACOLOGY LATEST EXAM UPDATED FOR 2025-2026 ACTUAL QUESTIONS WITH 100% CERTIFIED, ELABORATED & VERIFIED SOLUTI...

14 USD

0

0

HESI PHARMACOLOGY EXIT EXAM V2 LATEST FINAL EXAM UPDATED   FOR -2026 ACTUAL QUESTIONS WITH 100% CERTIFIED,   ELABORATED & VERIFIED SOLUTIONS TOP SCORE✓✓✓ ACE YOUR  EXAMS
View Document

HESI PHARMACOLOGY EXIT EXAM V2 LATEST FINAL EXAM UPDATED FOR -2026 ACTUAL QUESTIONS WITH 100% CERTIFIED, ELABORATED & VERIFIED SOLUTIONS TOP SCORE✓✓✓ ACE YOUR EXAMS

  • ALLGENIUS

    ALLGENIUS

  • hesi

HESI PHARMACOLOGY EXIT EXAM V2 LATEST FINAL EXAM UPDATED FOR -2026 ACTUAL QUESTIONS WITH 100% CERTIFIED, ELABORATE...

16 USD

0

0

HESI PHARMACLOGY EXIT LATEST FINAL EXAM UPDATED FOR 2026  ACTUAL QUESTIONS WITH 100% CERTIFIED, ELABORATED &  VERIFIED SOLUTIONS TOP SCORE✓✓✓ ACE YOUR EXAMS
View Document

HESI PHARMACLOGY EXIT LATEST FINAL EXAM UPDATED FOR 2026 ACTUAL QUESTIONS WITH 100% CERTIFIED, ELABORATED & VERIFIED SOLUTIONS TOP SCORE✓✓✓ ACE YOUR EXAMS

  • ALLGENIUS

    ALLGENIUS

  • hesi

HESI PHARMACLOGY EXIT LATEST FINAL EXAM UPDATED FOR 2026 ACTUAL QUESTIONS WITH 100% CERTIFIED, ELABORATED & VERIFIED...

15 USD

0

0

HESI PATIENT REVIEW - INTIMATE PARTNER VIOLENCE WITH PTSD LATEST FINAL   EXAM UPDATED FOR 2026 TOP SCORE COMPREHENSIVE QUESTIONS WITH 100%  CERTIFIED, DETAILED & VERIFIED SOLUTIONS, ACE YOUR EXAMS- DEFINITE  SUCCESS!!!
View Document

HESI PATIENT REVIEW - INTIMATE PARTNER VIOLENCE WITH PTSD LATEST FINAL EXAM UPDATED FOR 2026 TOP SCORE COMPREHENSIVE QUESTIONS WITH 100% CERTIFIED, DETAILED & VERIFIED SOLUTIONS, ACE YOUR EXAMS- DEFINITE SUCCESS!!!

  • ALLGENIUS

    ALLGENIUS

  • hesi

HESI PATIENT REVIEW - INTIMATE PARTNER VIOLENCE WITH PTSD LATEST FINAL EXAM UPDATED FOR 2026 TOP SCORE COMPREHENSIVE ...

11 USD

0

0

HESI OB PEDS TEST BANK LATEST FINAL EXAM UPDATED FOR   2026 ACTUAL QUESTIONS WITH 100% CERTIFIED,   ELABORATED & VERIFIED SOLUTIONS TOP SCORE✓✓✓ ACE YOUR  EXAMS
View Document

HESI OB PEDS TEST BANK LATEST FINAL EXAM UPDATED FOR 2026 ACTUAL QUESTIONS WITH 100% CERTIFIED, ELABORATED & VERIFIED SOLUTIONS TOP SCORE✓✓✓ ACE YOUR EXAMS

  • ALLGENIUS

    ALLGENIUS

  • hesi

HESI OB PEDS TEST BANK LATEST FINAL EXAM UPDATED FOR 2026 ACTUAL QUESTIONS WITH 100% CERTIFIED, ELABORATED & VERIF...

15 USD

0

0

HESI OB MATERNITY LATEST FINAL EXAM UPDATED FOR 2026  ACTUAL QUESTIONS WITH 100% CERTIFIED, ELABORATED & VERIFIED  SOLUTIONS TOP SCORE✓✓✓ ACE YOUR EXAMS
View Document

HESI OB MATERNITY LATEST FINAL EXAM UPDATED FOR 2026 ACTUAL QUESTIONS WITH 100% CERTIFIED, ELABORATED & VERIFIED SOLUTIONS TOP SCORE✓✓✓ ACE YOUR EXAMS

  • ALLGENIUS

    ALLGENIUS

  • hesi

HESI OB MATERNITY LATEST FINAL EXAM UPDATED FOR 2026 ACTUAL QUESTIONS WITH 100% CERTIFIED, ELABORATED & VERIFIED SOL...

15 USD

0

0

HESI NCLEX - MOD 4 - PSYCHOSOCIAL ALTERATIONS LATEST FINAL   EXAM UPDATED FOR -2026 ACTUAL QUESTIONS WITH 100%   CERTIFIED, ELABORATED & VERIFIED SOLUTIONS TOP SCORE✓✓ ✓ACE  YOUR EXAMS
View Document

HESI NCLEX - MOD 4 - PSYCHOSOCIAL ALTERATIONS LATEST FINAL EXAM UPDATED FOR -2026 ACTUAL QUESTIONS WITH 100% CERTIFIED, ELABORATED & VERIFIED SOLUTIONS TOP SCORE✓✓ ✓ACE YOUR EXAMS

  • ALLGENIUS

    ALLGENIUS

  • hesi

HESI NCLEX - MOD 4 - PSYCHOSOCIAL ALTERATIONS LATEST FINAL EXAM UPDATED FOR -2026 ACTUAL QUESTIONS WITH 100% CERTI...

18 USD

0

0

HESI MOBILITY LPN LATEST FINAL EXAM UPDATED FOR 2026  ACTUAL QUESTIONS WITH 100% CERTIFIED, ELABORATED &  VERIFIED SOLUTIONS TOP SCORE✓✓✓ ACE YOUR EXAMS
View Document

HESI MOBILITY LPN LATEST FINAL EXAM UPDATED FOR 2026 ACTUAL QUESTIONS WITH 100% CERTIFIED, ELABORATED & VERIFIED SOLUTIONS TOP SCORE✓✓✓ ACE YOUR EXAMS

  • ALLGENIUS

    ALLGENIUS

  • hesi

HESI MOBILITY LPN LATEST FINAL EXAM UPDATED FOR 2026 ACTUAL QUESTIONS WITH 100% CERTIFIED, ELABORATED & VERIFIED SOL...

8 USD

0

0

HESI MILESTONE EXIT EXAM V2 LATEST EXAM UPDATED FOR 2026 2026 ACTUAL QUESTIONS WITH 100% CERTIFIED, ELABORATED &  VERIFIED SOLUTIONS TOP SCORE, ACE YOUR EXAMS
View Document

HESI MILESTONE EXIT EXAM V2 LATEST EXAM UPDATED FOR 2026 2026 ACTUAL QUESTIONS WITH 100% CERTIFIED, ELABORATED & VERIFIED SOLUTIONS TOP SCORE, ACE YOUR EXAMS

  • ALLGENIUS

    ALLGENIUS

  • hesi

HESI MILESTONE EXIT EXAM V2 LATEST EXAM UPDATED FOR 2025 2026 ACTUAL QUESTIONS WITH 100% CERTIFIED, ELABORATED & VERI...

19 USD

0

0

HESI MILESTONE EXAM 1-LATEST FINAL EXAM 2026-2026 WITH  CERTIFIED SOLUTIONS TOP SCORE
View Document

HESI MILESTONE EXAM 1-LATEST FINAL EXAM 2026-2026 WITH CERTIFIED SOLUTIONS TOP SCORE

  • ALLGENIUS

    ALLGENIUS

  • hesi

HESI MILESTONE EXAM 1-LATEST FINAL EXAM 2025-2026 WITH CERTIFIED SOLUTIONS TOP SCORE...

10 USD

0

0

HESI MILESTONE 2 LATEST FINAL EXAM UPDATED FOR 2026  ACTUAL QUESTIONS WITH 100% CERTIFIED, ELABORATED &  VERIFIED SOLUTIONS TOP SCORE✓✓✓ ACE YOUR EXAMS
View Document

HESI MILESTONE 2 LATEST FINAL EXAM UPDATED FOR 2026 ACTUAL QUESTIONS WITH 100% CERTIFIED, ELABORATED & VERIFIED SOLUTIONS TOP SCORE✓✓✓ ACE YOUR EXAMS

  • ALLGENIUS

    ALLGENIUS

  • hesi

HESI MILESTONE 2 LATEST FINAL EXAM UPDATED FOR 2026 ACTUAL QUESTIONS WITH 100% CERTIFIED, ELABORATED & VERIFIED SOLU...

15 USD

0

0

HESI MEDICAL SURGICAL EXIT EXAM V3 LATEST FINAL EXAM UPDATED FOR  2026-2026 ACTUAL QUESTIONS WITH 100% CERTIFIED, ELABORATED &  VERIFIED SOLUTIONS TOP SCORE✓✓✓ ACE YOUR EXAMS
View Document

HESI MEDICAL SURGICAL EXIT EXAM V3 LATEST FINAL EXAM UPDATED FOR 2026-2026 ACTUAL QUESTIONS WITH 100% CERTIFIED, ELABORATED & VERIFIED SOLUTIONS TOP SCORE✓✓✓ ACE YOUR EXAMS

  • ALLGENIUS

    ALLGENIUS

  • hesi

HESI MEDICAL SURGICAL EXIT EXAM V3 LATEST FINAL EXAM UPDATED FOR 2025-2026 ACTUAL QUESTIONS WITH 100% CERTIFIED, ELABO...

27 USD

0

0

HESI MEDICAL SURGICAL EXIT EXAM LATEST FINAL EXAM UPDATED FOR 2026  ACTUAL QUESTIONS WITH 100% CERTIFIED, ELABORATED & VERIFIED SOLUTIONS  TOP SCORE✓✓✓ ACE YOUR EXAMS
View Document

HESI MEDICAL SURGICAL EXIT EXAM LATEST FINAL EXAM UPDATED FOR 2026 ACTUAL QUESTIONS WITH 100% CERTIFIED, ELABORATED & VERIFIED SOLUTIONS TOP SCORE✓✓✓ ACE YOUR EXAMS

  • ALLGENIUS

    ALLGENIUS

  • hesi

HESI MEDICAL SURGICAL EXIT EXAM LATEST FINAL EXAM UPDATED FOR 2026 ACTUAL QUESTIONS WITH 100% CERTIFIED, ELABORATED & ...

24 USD

0

0

HESI LPN COMPREHENSIVE EXIT LATEST FINAL EXAM UPDATED FOR  2026 ACTUAL QUESTIONS WITH 100% CERTIFIED, ELABORATED &  VERIFIED SOLUTIONS TOP SCORE✓✓✓ ACE YOUR EXAMS
View Document

HESI LPN COMPREHENSIVE EXIT LATEST FINAL EXAM UPDATED FOR 2026 ACTUAL QUESTIONS WITH 100% CERTIFIED, ELABORATED & VERIFIED SOLUTIONS TOP SCORE✓✓✓ ACE YOUR EXAMS

  • ALLGENIUS

    ALLGENIUS

  • hesi

HESI LPN COMPREHENSIVE EXIT LATEST FINAL EXAM UPDATED FOR 2026 ACTUAL QUESTIONS WITH 100% CERTIFIED, ELABORATED & VE...

18 USD

0

0

HESI LEADERSHIP LATEST FINAL EXAM 2026 ACTUAL   QUESTIONS -WITH 100% CERTIFIED, ELABORATED & VERIFIED   SOLUTIONS TOP SCORE✓✓ ✓ACE YOUR EXAMS
View Document

HESI LEADERSHIP LATEST FINAL EXAM 2026 ACTUAL QUESTIONS -WITH 100% CERTIFIED, ELABORATED & VERIFIED SOLUTIONS TOP SCORE✓✓ ✓ACE YOUR EXAMS

  • ALLGENIUS

    ALLGENIUS

  • hesi

HESI LEADERSHIP LATEST FINAL EXAM 2026 ACTUAL QUESTIONS -WITH 100% CERTIFIED, ELABORATED & VERIFIED SOLUTIONS TOP ...

15 USD

0

0

HESI LEADERSHIP AND MANAGEMENT LATEST FINAL EXAM UPDATED  FOR 2026-2026 ACTUAL QUESTIONS WITH 100% CERTIFIED,  ELABORATED & VERIFIED SOLUTIONS TOP SCORE✓✓✓ ACE YOUR  EXAMS
View Document

HESI LEADERSHIP AND MANAGEMENT LATEST FINAL EXAM UPDATED FOR 2026-2026 ACTUAL QUESTIONS WITH 100% CERTIFIED, ELABORATED & VERIFIED SOLUTIONS TOP SCORE✓✓✓ ACE YOUR EXAMS

  • ALLGENIUS

    ALLGENIUS

  • hesi

HESI LEADERSHIP AND MANAGEMENT LATEST FINAL EXAM UPDATED FOR 2025-2026 ACTUAL QUESTIONS WITH 100% CERTIFIED, ELABORA...

15 USD

0

0

HESI HEALTH ASSESSMENT LATEST FINAL EXAM 2026 ACTUAL  QUESTIONS WITH 100% CERTIFIED, ELABORATED & VERIFIED  SOLUTIONS TOP SCORE✓✓ ✓ACE YOUR EXAMS
View Document

HESI HEALTH ASSESSMENT LATEST FINAL EXAM 2026 ACTUAL QUESTIONS WITH 100% CERTIFIED, ELABORATED & VERIFIED SOLUTIONS TOP SCORE✓✓ ✓ACE YOUR EXAMS

  • ALLGENIUS

    ALLGENIUS

  • hesi

HESI HEALTH ASSESSMENT LATEST FINAL EXAM 2026 ACTUAL QUESTIONS WITH 100% CERTIFIED, ELABORATED & VERIFIED SOLUTIONS ...

18 USD

0

0

HESI GERONTOLOGY FINAL EXAM 2021 (3 VERSIONS) LATEST FINAL  EXAM UPDATED FOR 2026-2026 ACTUAL QUESTIONS WITH 100%  CERTIFIED, ELABORATED & VERIFIED SOLUTIONS TOP SCORE✓✓✓  ACE YOUR EXAMS
View Document

HESI GERONTOLOGY FINAL EXAM 2021 (3 VERSIONS) LATEST FINAL EXAM UPDATED FOR 2026-2026 ACTUAL QUESTIONS WITH 100% CERTIFIED, ELABORATED & VERIFIED SOLUTIONS TOP SCORE✓✓✓ ACE YOUR EXAMS

  • ALLGENIUS

    ALLGENIUS

  • hesi

HESI GERONTOLOGY FINAL EXAM 2021 (3 VERSIONS) LATEST FINAL EXAM UPDATED FOR 2025-2026 ACTUAL QUESTIONS WITH 100% CER...

18 USD

0

0

HESI FUNDAMENTAL LATEST FINAL EXAM UPDATED FOR 2026-2026 ACTUAL  QUESTIONS WITH 100% CERTIFIED, ELABORATED & VERIFIED SOLUTIONS TOP  SCORE✓✓✓ ACE YOUR EXAMS
View Document

HESI FUNDAMENTAL LATEST FINAL EXAM UPDATED FOR 2026-2026 ACTUAL QUESTIONS WITH 100% CERTIFIED, ELABORATED & VERIFIED SOLUTIONS TOP SCORE✓✓✓ ACE YOUR EXAMS

  • ALLGENIUS

    ALLGENIUS

  • hesi

HESI FUNDAMENTAL LATEST FINAL EXAM UPDATED FOR 2025-2026 ACTUAL QUESTIONS WITH 100% CERTIFIED, ELABORATED & VERIFIED S...

19 USD

0

0

HESI EXIT RN V1 EXAM LATELY UPDATE  QUESTIONS AND CORRECT ANSWERS (CLEAR  SCREENSHOT FOR ALL QUESTIONS 160) ||  LATEST AND COMPLETE UPDATE 2026 WITH  CERTIFIED SOLUTIONS|| ASSURED PASS!!!
View Document

HESI EXIT RN V1 EXAM LATELY UPDATE QUESTIONS AND CORRECT ANSWERS (CLEAR SCREENSHOT FOR ALL QUESTIONS 160) || LATEST AND COMPLETE UPDATE 2026 WITH CERTIFIED SOLUTIONS|| ASSURED PASS!!!

  • ALLGENIUS

    ALLGENIUS

  • hesi

HESI EXIT RN V1 EXAM LATELY UPDATE QUESTIONS AND CORRECT ANSWERS (CLEAR SCREENSHOT FOR ALL QUESTIONS 160) || LATES...

19 USD

0

0

HESI EXIT FAMILY NURSE PRACTITIONER & ADVANCED  PRACTICE REGISTERED NURSE (APRN)  EXAM 2 LATEST FINAL EXAM UPDATED FOR 2026 ACTUAL  QUESTIONS WITH 100% CERTIFIED, ELABORATED & VERIFIED  SOLUTIONS TOP SCORE✓✓✓ ACE YOUR EXAMS
View Document

HESI EXIT FAMILY NURSE PRACTITIONER & ADVANCED PRACTICE REGISTERED NURSE (APRN) EXAM 2 LATEST FINAL EXAM UPDATED FOR 2026 ACTUAL QUESTIONS WITH 100% CERTIFIED, ELABORATED & VERIFIED SOLUTIONS TOP SCORE✓✓✓ ACE YOUR EXAMS

  • ALLGENIUS

    ALLGENIUS

  • hesi

HESI EXIT FAMILY NURSE PRACTITIONER & ADVANCED PRACTICE REGISTERED NURSE (APRN) EXAM 2 LATEST FINAL EXAM UPDATED FOR...

18 USD

0

0

HESI EXIT EXAM V4 LATEST FINAL EXAM UPDATED FOR 2026-2026  ACTUAL QUESTIONS WITH 100% CERTIFIED, ELABORATED &  VERIFIED SOLUTIONS TOP SCORE✓✓✓ ACE YOUR EXAMS
View Document

HESI EXIT EXAM V4 LATEST FINAL EXAM UPDATED FOR 2026-2026 ACTUAL QUESTIONS WITH 100% CERTIFIED, ELABORATED & VERIFIED SOLUTIONS TOP SCORE✓✓✓ ACE YOUR EXAMS

  • ALLGENIUS

    ALLGENIUS

  • hesi

HESI EXIT EXAM V4 LATEST FINAL EXAM UPDATED FOR 2025-2026 ACTUAL QUESTIONS WITH 100% CERTIFIED, ELABORATED & VERIFIE...

18 USD

0

0

HESI ENTRANCE EXAM MATH LATEST FINAL EXAM 2026  ACTUAL QUESTIONS WITH 100% CERTIFIED, ELABORATED &  VERIFIED SOLUTIONS TOP SCORE✓✓ ✓ACE YOUR EXAMS
View Document

HESI ENTRANCE EXAM MATH LATEST FINAL EXAM 2026 ACTUAL QUESTIONS WITH 100% CERTIFIED, ELABORATED & VERIFIED SOLUTIONS TOP SCORE✓✓ ✓ACE YOUR EXAMS

  • ALLGENIUS

    ALLGENIUS

  • hesi

HESI ENTRANCE EXAM MATH LATEST FINAL EXAM 2026 ACTUAL QUESTIONS WITH 100% CERTIFIED, ELABORATED & VERIFIED SOLUTIONS...

10 USD

0

0

HESI ENTRANCE EXAM LATEST FINAL EXAM 2026 ACTUAL  QUESTIONS WITH 100% CERTIFIED, ELABORATED & VERIFIED  SOLUTIONS TOP SCORE✓✓ ✓ACE YOUR EXAMS
View Document

HESI ENTRANCE EXAM LATEST FINAL EXAM 2026 ACTUAL QUESTIONS WITH 100% CERTIFIED, ELABORATED & VERIFIED SOLUTIONS TOP SCORE✓✓ ✓ACE YOUR EXAMS

  • ALLGENIUS

    ALLGENIUS

  • hesi

HESI ENTRANCE EXAM LATEST FINAL EXAM 2026 ACTUAL QUESTIONS WITH 100% CERTIFIED, ELABORATED & VERIFIED SOLUTIONS TOP ...

18 USD

0

0

HESI ENTRANCE EXAM LATEST FINAL EXAM 2026 ACTUAL   QUESTIONS WITH 100% CERTIFIED, ELABORATED & VERIFIED   SOLUTIONS TOP SCORE✓✓ ✓ACE YOUR EXAMS
View Document

HESI ENTRANCE EXAM LATEST FINAL EXAM 2026 ACTUAL QUESTIONS WITH 100% CERTIFIED, ELABORATED & VERIFIED SOLUTIONS TOP SCORE✓✓ ✓ACE YOUR EXAMS

  • ALLGENIUS

    ALLGENIUS

  • hesi

HESI ENTRANCE EXAM LATEST FINAL EXAM 2026 ACTUAL QUESTIONS WITH 100% CERTIFIED, ELABORATED & VERIFIED SOLUTIONS TO...

14 USD

0

0

HESI ENTRANCE EXAM GRAMMAR LATEST FINAL EXAM 2026  ACTUAL QUESTIONS WITH 100% CERTIFIED, ELABORATED & VERIFIED  SOLUTIONS TOP SCORE✓✓ ✓ACE YOUR EXAMS
View Document

HESI ENTRANCE EXAM GRAMMAR LATEST FINAL EXAM 2026 ACTUAL QUESTIONS WITH 100% CERTIFIED, ELABORATED & VERIFIED SOLUTIONS TOP SCORE✓✓ ✓ACE YOUR EXAMS

  • ALLGENIUS

    ALLGENIUS

  • hesi

HESI ENTRANCE EXAM GRAMMAR LATEST FINAL EXAM 2026 ACTUAL QUESTIONS WITH 100% CERTIFIED, ELABORATED & VERIFIED SOLUTI...

10 USD

0

0

HESI ENTRANCE EXAM FOR CHAMBERLAIN LATEST FINAL EXAM  2026 ACTUAL QUESTIONS WITH 100% CERTIFIED, ELABORATED  & VERIFIED SOLUTIONS TOP SCORE✓✓ ✓ACE YOUR EXAMS
View Document

HESI ENTRANCE EXAM FOR CHAMBERLAIN LATEST FINAL EXAM 2026 ACTUAL QUESTIONS WITH 100% CERTIFIED, ELABORATED & VERIFIED SOLUTIONS TOP SCORE✓✓ ✓ACE YOUR EXAMS

  • ALLGENIUS

    ALLGENIUS

  • hesi

HESI ENTRANCE EXAM FOR CHAMBERLAIN LATEST FINAL EXAM 2026 ACTUAL QUESTIONS WITH 100% CERTIFIED, ELABORATED & VERIFIE...

10 USD

0

0

HESI EAQ LEADERSHIP MGMT LATEST FINAL EXAM 2026-   ACTUAL QUESTIONS -WITH 100% CERTIFIED, ELABORATED &   VERIFIED SOLUTIONS TOP SCORE✓✓ ✓ACE YOUR EXAMS
View Document

HESI EAQ LEADERSHIP MGMT LATEST FINAL EXAM 2026- ACTUAL QUESTIONS -WITH 100% CERTIFIED, ELABORATED & VERIFIED SOLUTIONS TOP SCORE✓✓ ✓ACE YOUR EXAMS

  • ALLGENIUS

    ALLGENIUS

  • hesi

HESI EAQ LEADERSHIP MGMT LATEST FINAL EXAM 2026- ACTUAL QUESTIONS -WITH 100% CERTIFIED, ELABORATED & VERIFIED SOLU...

15 USD

0

0

HESI COMPREHENSIVE LATEST FINAL EXAM UPDATED FOR 2026-2026  ACTUAL QUESTIONS WITH 100% CERTIFIED, ELABORATED & VERIFIED  SOLUTIONS TOP SCORE✓✓✓ ACE YOUR EXAMS
View Document

HESI COMPREHENSIVE LATEST FINAL EXAM UPDATED FOR 2026-2026 ACTUAL QUESTIONS WITH 100% CERTIFIED, ELABORATED & VERIFIED SOLUTIONS TOP SCORE✓✓✓ ACE YOUR EXAMS

  • ALLGENIUS

    ALLGENIUS

  • hesi

HESI COMPREHENSIVE LATEST FINAL EXAM UPDATED FOR 2025-2026 ACTUAL QUESTIONS WITH 100% CERTIFIED, ELABORATED & VERIFIED...

20 USD

0

0

HESI ANATOMY AND PHYSIOLOGY LATEST FINAL EXAM UPDATED  FOR 2026-2026 ACTUAL QUESTIONS WITH 100% CERTIFIED,  ELABORATED & VERIFIED SOLUTIONS TOP SCORE✓✓✓ ACE YOUR  EXAMS
View Document

HESI ANATOMY AND PHYSIOLOGY LATEST FINAL EXAM UPDATED FOR 2026-2026 ACTUAL QUESTIONS WITH 100% CERTIFIED, ELABORATED & VERIFIED SOLUTIONS TOP SCORE✓✓✓ ACE YOUR EXAMS

  • ALLGENIUS

    ALLGENIUS

  • hesi

HESI ANATOMY AND PHYSIOLOGY LATEST FINAL EXAM UPDATED FOR 2025-2026 ACTUAL QUESTIONS WITH 100% CERTIFIED, ELABORATED...

13 USD

0

0

HESI A2/BIOLOGY LATEST EXAM UPDATED FOR 2026-2026 ACTUAL  QUESTIONS WITH 100% CERTIFIED, ELABORATED & VERIFIED  SOLUTIONS TOP SCORE, ACE YOUR EXAMS
View Document

HESI A2/BIOLOGY LATEST EXAM UPDATED FOR 2026-2026 ACTUAL QUESTIONS WITH 100% CERTIFIED, ELABORATED & VERIFIED SOLUTIONS TOP SCORE, ACE YOUR EXAMS

  • ALLGENIUS

    ALLGENIUS

  • hesi

HESI A2/BIOLOGY LATEST EXAM UPDATED FOR 2025-2026 ACTUAL QUESTIONS WITH 100% CERTIFIED, ELABORATED & VERIFIED SOLUTI...

16 USD

0

0

HESI A2 V2 GRAMMAR, VOCAB, READING LATEST FINAL EXAM  UPDATED FOR 2026-2026 ACTUAL QUESTIONS WITH 100%  CERTIFIED, ELABORATED & VERIFIED SOLUTIONS TOP SCORE✓✓✓  ACE YOUR EXAMS
View Document

HESI A2 V2 GRAMMAR, VOCAB, READING LATEST FINAL EXAM UPDATED FOR 2026-2026 ACTUAL QUESTIONS WITH 100% CERTIFIED, ELABORATED & VERIFIED SOLUTIONS TOP SCORE✓✓✓ ACE YOUR EXAMS

  • ALLGENIUS

    ALLGENIUS

  • hesi

HESI A2 V2 GRAMMAR, VOCAB, READING LATEST FINAL EXAM UPDATED FOR 2025-2026 ACTUAL QUESTIONS WITH 100% CERTIFIED, ELA...

12 USD

0

0

HESI A2 V2 BIOLOGY LATEST FINAL EXAM UPDATED FOR 2026-2026  ACTUAL QUESTIONS WITH 100% CERTIFIED, ELABORATED & VERIFIED  SOLUTIONS TOP SCORE✓✓✓ ACE YOUR EXAMS
View Document

HESI A2 V2 BIOLOGY LATEST FINAL EXAM UPDATED FOR 2026-2026 ACTUAL QUESTIONS WITH 100% CERTIFIED, ELABORATED & VERIFIED SOLUTIONS TOP SCORE✓✓✓ ACE YOUR EXAMS

  • ALLGENIUS

    ALLGENIUS

  • hesi

HESI A2 V2 BIOLOGY LATEST FINAL EXAM UPDATED FOR 2025-2026 ACTUAL QUESTIONS WITH 100% CERTIFIED, ELABORATED & VERIFIED...

15 USD

0

0

HESI A2 LATEST VERSION VOCABULARY LATEST FINAL EXAM UPDATED   FOR 2026 ACTUAL QUESTIONS WITH 100% CERTIFIED, ELABORATED   & VERIFIED SOLUTIONS TOP SCORE✓✓✓ ACE YOUR EXAMS
View Document

HESI A2 LATEST VERSION VOCABULARY LATEST FINAL EXAM UPDATED FOR 2026 ACTUAL QUESTIONS WITH 100% CERTIFIED, ELABORATED & VERIFIED SOLUTIONS TOP SCORE✓✓✓ ACE YOUR EXAMS

  • ALLGENIUS

    ALLGENIUS

  • hesi

HESI A2 LATEST VERSION VOCABULARY LATEST FINAL EXAM UPDATED FOR 2026 ACTUAL QUESTIONS WITH 100% CERTIFIED, ELABORATED...

17 USD

0

0

HESI A2 GRAMMAR LATEST EXAM UPDATED FOR 2026-2026  ACTUAL QUESTIONS WITH 100% CERTIFIED, ELABORATED &  VERIFIED SOLUTIONS TOP SCORE, ACE YOUR EXAMS
View Document

HESI A2 GRAMMAR LATEST EXAM UPDATED FOR 2026-2026 ACTUAL QUESTIONS WITH 100% CERTIFIED, ELABORATED & VERIFIED SOLUTIONS TOP SCORE, ACE YOUR EXAMS

  • ALLGENIUS

    ALLGENIUS

  • hesi

HESI A2 GRAMMAR LATEST EXAM UPDATED FOR 2025-2026 ACTUAL QUESTIONS WITH 100% CERTIFIED, ELABORATED & VERIFIED SOLUTI...

14 USD

0

0

HESI A2 GRAMMAR LATEST EXAM UPDATED FOR 2026-2026 ACTUAL  QUESTIONS WITH 100% CERTIFIED, ELABORATED & VERIFIED  SOLUTIONS TOP SCORE, ACE YOUR EXAMS
View Document

HESI A2 GRAMMAR LATEST EXAM UPDATED FOR 2026-2026 ACTUAL QUESTIONS WITH 100% CERTIFIED, ELABORATED & VERIFIED SOLUTIONS TOP SCORE, ACE YOUR EXAMS

  • ALLGENIUS

    ALLGENIUS

  • hesi

HESI A2 GRAMMAR LATEST EXAM UPDATED FOR 2025-2026 ACTUAL QUESTIONS WITH 100% CERTIFIED, ELABORATED & VERIFIED SOLUTI...

13 USD

0

0

HESI A2 BIOLOGY LATEST FINAL EXAM UPDATED FOR 2026-2026  ACTUAL QUESTIONS WITH 100% CERTIFIED, ELABORATED VERIFIED  SOLUTIONS TOP SCORE✓✓✓ ACE YOUR EXAMS
View Document

HESI A2 BIOLOGY LATEST FINAL EXAM UPDATED FOR 2026-2026 ACTUAL QUESTIONS WITH 100% CERTIFIED, ELABORATED VERIFIED SOLUTIONS TOP SCORE✓✓✓ ACE YOUR EXAMS

  • ALLGENIUS

    ALLGENIUS

  • hesi

HESI A2 BIOLOGY LATEST FINAL EXAM UPDATED FOR 2025-2026 ACTUAL QUESTIONS WITH 100% CERTIFIED, ELABORATED VERIFIED SO...

17 USD

0

0

HESI A2 BIOLOGY LATEST EXAM UPDATED FOR 2026-2026 ACTUAL  QUESTIONS WITH 100% CERTIFIED, ELABORATED & VERIFIED  SOLUTIONS TOP SCORE, ACE YOUR EXAMS
View Document

HESI A2 BIOLOGY LATEST EXAM UPDATED FOR 2026-2026 ACTUAL QUESTIONS WITH 100% CERTIFIED, ELABORATED & VERIFIED SOLUTIONS TOP SCORE, ACE YOUR EXAMS

  • ALLGENIUS

    ALLGENIUS

  • hesi

HESI A2 BIOLOGY LATEST EXAM UPDATED FOR 2025-2026 ACTUAL QUESTIONS WITH 100% CERTIFIED, ELABORATED & VERIFIED SOLUTI...

13 USD

0

0

HESI A2 ANATOMY & PHYSIOLOGY LATEST FINAL EXAM UPDATED FOR  2026-2026 ACTUAL QUESTIONS WITH 100% CERTIFIED, ELABORATED  VERIFIED SOLUTIONS TOP SCORE✓✓✓ ACE YOUR EXAMS
View Document

HESI A2 ANATOMY & PHYSIOLOGY LATEST FINAL EXAM UPDATED FOR 2026-2026 ACTUAL QUESTIONS WITH 100% CERTIFIED, ELABORATED VERIFIED SOLUTIONS TOP SCORE✓✓✓ ACE YOUR EXAMS

  • ALLGENIUS

    ALLGENIUS

  • hesi

HESI A2 ANATOMY & PHYSIOLOGY LATEST FINAL EXAM UPDATED FOR 2025-2026 ACTUAL QUESTIONS WITH 100% CERTIFIED, ELABORATED ...

16 USD

0

0

HESI A2 ANATOMY AND PHYSIOLOGY LATEST EXAM UPDATED FOR  2026-2026 ACTUAL QUESTIONS WITH 100% CERTIFIED, ELABORATED  & VERIFIED SOLUTIONS TOP SCORE, ACE YOUR EXAMS
View Document

HESI A2 ANATOMY AND PHYSIOLOGY LATEST EXAM UPDATED FOR 2026-2026 ACTUAL QUESTIONS WITH 100% CERTIFIED, ELABORATED & VERIFIED SOLUTIONS TOP SCORE, ACE YOUR EXAMS

  • ALLGENIUS

    ALLGENIUS

  • hesi

HESI A2 ANATOMY AND PHYSIOLOGY LATEST EXAM UPDATED FOR 2025-2026 ACTUAL QUESTIONS WITH 100% CERTIFIED, ELABORATED & ...

13 USD

0

0

HESI A2 ANATOMY AND PHYSIOLOGY 2021 LATEST EXAM UPDATED  FOR 2026-2026 ACTUAL QUESTIONS WITH 100% CERTIFIED,  ELABORATED & VERIFIED SOLUTIONS TOP SCORE, ACE YOUR EXAMS
View Document

HESI A2 ANATOMY AND PHYSIOLOGY 2021 LATEST EXAM UPDATED FOR 2026-2026 ACTUAL QUESTIONS WITH 100% CERTIFIED, ELABORATED & VERIFIED SOLUTIONS TOP SCORE, ACE YOUR EXAMS

  • ALLGENIUS

    ALLGENIUS

  • hesi

HESI A2 ANATOMY AND PHYSIOLOGY 2021 LATEST EXAM UPDATED FOR 2025-2026 ACTUAL QUESTIONS WITH 100% CERTIFIED, ELABORAT...

15 USD

0

0

HESI A2 A&P LATEST FINAL EXAM 2026 ACTUAL QUESTIONS  WITH 100% CERTIFIED, ELABORATED & VERIFIED SOLUTIONS TOP  SCORE✓✓✓ACE YOUR EXAMS
View Document

HESI A2 A&P LATEST FINAL EXAM 2026 ACTUAL QUESTIONS WITH 100% CERTIFIED, ELABORATED & VERIFIED SOLUTIONS TOP SCORE✓✓✓ACE YOUR EXAMS

  • ALLGENIUS

    ALLGENIUS

  • hesi

HESI A2 A&P LATEST FINAL EXAM 2026 ACTUAL QUESTIONS WITH 100% CERTIFIED, ELABORATED & VERIFIED SOLUTIONS TOP SCOREďż˝...

16 USD

0

0

HESI A2 - GRAMMAR LATEST EXAM UPDATED FOR 2026-2026 ACTUAL  QUESTIONS WITH 100% CERTIFIED, ELABORATED & VERIFIED  SOLUTIONS TOP SCORE, ACE YOUR EXAMS
View Document

HESI A2 - GRAMMAR LATEST EXAM UPDATED FOR 2026-2026 ACTUAL QUESTIONS WITH 100% CERTIFIED, ELABORATED & VERIFIED SOLUTIONS TOP SCORE, ACE YOUR EXAMS

  • ALLGENIUS

    ALLGENIUS

  • hesi

HESI A2 - GRAMMAR LATEST EXAM UPDATED FOR 2025-2026 ACTUAL QUESTIONS WITH 100% CERTIFIED, ELABORATED & VERIFIED SOLU...

14 USD

0

0

HESI 799 RN EXIT LATEST FINAL EXAM UPDATED FOR 2026   ACTUAL QUESTIONS WITH 100% CERTIFIED, ELABORATED & VERIFIED   SOLUTIONS TOP SCORE✓✓✓ ACE YOUR EXAMS
View Document

HESI 799 RN EXIT LATEST FINAL EXAM UPDATED FOR 2026 ACTUAL QUESTIONS WITH 100% CERTIFIED, ELABORATED & VERIFIED SOLUTIONS TOP SCORE✓✓✓ ACE YOUR EXAMS

  • ALLGENIUS

    ALLGENIUS

  • hesi

HESI 799 RN EXIT LATEST FINAL EXAM UPDATED FOR 2026 ACTUAL QUESTIONS WITH 100% CERTIFIED, ELABORATED & VERIFIED SO...

25 USD

0

0

HESI 101-RN LEADERSHIP NURSING LEADERSHIP LATEST FINAL EXAM  UPDATED FOR 2026-2026 ACTUAL QUESTIONS WITH 100% CERTIFIED,  ELABORATED & VERIFIED SOLUTIONS TOP SCORE✓✓✓ ACE YOUR  EXAMS
View Document

HESI 101-RN LEADERSHIP NURSING LEADERSHIP LATEST FINAL EXAM UPDATED FOR 2026-2026 ACTUAL QUESTIONS WITH 100% CERTIFIED, ELABORATED & VERIFIED SOLUTIONS TOP SCORE✓✓✓ ACE YOUR EXAMS

  • ALLGENIUS

    ALLGENIUS

  • hesi

HESI 101-RN LEADERSHIP NURSING LEADERSHIP LATEST FINAL EXAM UPDATED FOR 2025-2026 ACTUAL QUESTIONS WITH 100% CERTIFIED...

15 USD

0

0

EVOLVE HESI LEADERSHIP-MANAGEMENT LATEST FINAL EXAM  2026- ACTUAL QUESTIONS -WITH 100% CERTIFIED, ELABORATED &  VERIFIED SOLUTIONS TOP SCORE✓✓ ✓ACE YOUR EXAMS
View Document

EVOLVE HESI LEADERSHIP-MANAGEMENT LATEST FINAL EXAM 2026- ACTUAL QUESTIONS -WITH 100% CERTIFIED, ELABORATED & VERIFIED SOLUTIONS TOP SCORE✓✓ ✓ACE YOUR EXAMS

  • ALLGENIUS

    ALLGENIUS

  • hesi

EVOLVE HESI LEADERSHIP-MANAGEMENT LATEST FINAL EXAM 2026- ACTUAL QUESTIONS -WITH 100% CERTIFIED, ELABORATED & VERIFI...

16 USD

0

0

ADULT HEALTH HESI TEST-BANK LATEST FINAL EXAM UPDATED FOR 2026  ACTUAL QUESTIONS WITH 100% CERTIFIED, ELABORATED & VERIFIED  SOLUTIONS TOP SCORE✓✓✓ ACE YOUR EXAMS
View Document

ADULT HEALTH HESI TEST-BANK LATEST FINAL EXAM UPDATED FOR 2026 ACTUAL QUESTIONS WITH 100% CERTIFIED, ELABORATED & VERIFIED SOLUTIONS TOP SCORE✓✓✓ ACE YOUR EXAMS

  • ALLGENIUS

    ALLGENIUS

  • hesi

ADULT HEALTH HESI TEST-BANK LATEST FINAL EXAM UPDATED FOR 2026 ACTUAL QUESTIONS WITH 100% CERTIFIED, ELABORATED & VERI...

20 USD

0

0

ADULT HEALTH 2 HESI ADULT LATEST FINAL EXAM UPDATED FOR  2026-2026 ACTUAL QUESTIONS WITH 100% CERTIFIED, ELABORATED  & VERIFIED SOLUTIONS TOP SCORE✓✓✓ ACE YOUR EXAMS
View Document

ADULT HEALTH 2 HESI ADULT LATEST FINAL EXAM UPDATED FOR 2026-2026 ACTUAL QUESTIONS WITH 100% CERTIFIED, ELABORATED & VERIFIED SOLUTIONS TOP SCORE✓✓✓ ACE YOUR EXAMS

  • ALLGENIUS

    ALLGENIUS

  • hesi

ADULT HEALTH 2 HESI ADULT LATEST FINAL EXAM UPDATED FOR 2025-2026 ACTUAL QUESTIONS WITH 100% CERTIFIED, ELABORATED &...

13 USD

0

0

ATI TEAS 7 || 4 Sections (2026|2026) – Complete Exam Questions & Correct Answers for Reading, Math, Science, English, and Language Use || Ultimate Study Guide and Test Practice
View Document

ATI TEAS 7 || 4 Sections (2026|2026) – Complete Exam Questions & Correct Answers for Reading, Math, Science, English, and Language Use || Ultimate Study Guide and Test Practice

  • Legitnursingpapers

    Legitnursingpapers

  • ati

ATI TEAS 7 || 4 Sections (2025|2026) – Complete Exam Questions & Correct Answers for Reading, Math, Science, English, ...

70 USD

0

0

2019 ATI Fundamentals Practice A, B & Final Review – Real Questions with 100% Correct Detailed Answers, Revised 2026, A+ Grade
View Document

2019 ATI Fundamentals Practice A, B & Final Review – Real Questions with 100% Correct Detailed Answers, Revised 2026, A+ Grade

  • Testbank-Guru

    Testbank-Guru

  • ati

This comprehensive 2019 ATI Fundamentals review, revised in 2025, includes Practice A, B, and the Final Review. It featu...

17 USD

0

0

(NGN) ATI Pharmacology Proctored Exam – Pharmacology ATI Proctored Final Exam 2026, Actual Exam with Verified Answers and Rationales, Already Graded A+
View Document

(NGN) ATI Pharmacology Proctored Exam – Pharmacology ATI Proctored Final Exam 2026, Actual Exam with Verified Answers and Rationales, Already Graded A+

  • Testbank-Guru

    Testbank-Guru

  • ati

This 2025 ATI Pharmacology Proctored Exam for nursing students includes the full set of actual exam questions with verif...

17 USD

0

0

NGN ATI Pediatric Proctored Exam 2026 – 70 Questions with Verified Answers & Rationales, A+ Grade
View Document

NGN ATI Pediatric Proctored Exam 2026 – 70 Questions with Verified Answers & Rationales, A+ Grade

  • Testbank-Guru

    Testbank-Guru

  • ati

This is the latest 2024–2025 NGN ATI Pediatric Proctored Exam, featuring 70 verified questions with detailed rationale...

16 USD

0

0

Testbank for Sole’s Introduction to Critical Care Nursing, 9th Edition by MaryBeth & Lauren
View Document

Testbank for Sole’s Introduction to Critical Care Nursing, 9th Edition by MaryBeth & Lauren

  • Testbank-Guru

    Testbank-Guru

  • test bank

This comprehensive test bank for Sole’s Introduction to Critical Care Nursing, 9th Edition by MaryBeth & Lauren covers...

18 USD

0

0

Testbank for McCance and Huether’s Pathophysiology: The Biological Basis for Diseases in Adults and Children, 9th Edition – All Chapters, Complete Guide 2024–2026
View Document

Testbank for McCance and Huether’s Pathophysiology: The Biological Basis for Diseases in Adults and Children, 9th Edition – All Chapters, Complete Guide 2024–2026

  • Testbank-Guru

    Testbank-Guru

  • test bank

This complete test bank covers all chapters of McCance and Huether’s Pathophysiology, 9th Edition, providing verified ...

18 USD

0

0

Abram’s Clinical Drug Therapy – Rationales for Nursing Practice, 13th Edition by Geralyn Frandsen, Test Bank Complete Guide 2024–2026, Chapters 1–61
View Document

Abram’s Clinical Drug Therapy – Rationales for Nursing Practice, 13th Edition by Geralyn Frandsen, Test Bank Complete Guide 2024–2026, Chapters 1–61

  • Testbank-Guru

    Testbank-Guru

  • test bank

This comprehensive 2024–2025 test bank for Abram’s Clinical Drug Therapy: Rationales for Nursing Practice, 13th Edit...

19 USD

0

0

Full Test Bank – Advanced Practice Nursing: Essentials for Role Development, 5th Edition Joel
View Document

Full Test Bank – Advanced Practice Nursing: Essentials for Role Development, 5th Edition Joel

  • Testbank-Guru

    Testbank-Guru

  • test bank

This comprehensive test bank for Advanced Practice Nursing: Essentials for Role Development, 5th Edition by Joel, covers...

18 USD

0

0

Anatomy & Physiology for Emergency Care, 3rd Edition – Bledsoe’s Test Bank Guide 2024–2026
View Document

Anatomy & Physiology for Emergency Care, 3rd Edition – Bledsoe’s Test Bank Guide 2024–2026

  • Testbank-Guru

    Testbank-Guru

  • test bank

This comprehensive test bank for Anatomy & Physiology for Emergency Care, 3rd Edition by Bledsoe, covers essential topic...

18 USD

0

0

Test Bank – Lehne’s Pharmacotherapeutics for Advanced Practice Nursing Attendants and Physician Assistants, 3rd Edition Rosenthal Guide 2024–2026
View Document

Test Bank – Lehne’s Pharmacotherapeutics for Advanced Practice Nursing Attendants and Physician Assistants, 3rd Edition Rosenthal Guide 2024–2026

  • Testbank-Guru

    Testbank-Guru

  • test bank

This comprehensive test bank accompanies Lehne’s Pharmacotherapeutics for Advanced Practice Nursing Attendants and Phy...

18 USD

0

0

Essentials of Maternity, Newborn, and Women’s Health Nursing, 5th Edition Ricci – Test Bank/Complete Guide 2024–2026
View Document

Essentials of Maternity, Newborn, and Women’s Health Nursing, 5th Edition Ricci – Test Bank/Complete Guide 2024–2026

  • Testbank-Guru

    Testbank-Guru

  • test bank

This comprehensive 2024–2025 test bank for Essentials of Maternity, Newborn, and Women’s Health Nursing, 5th Edition...

18 USD

0

0

Test Bank – Seidel’s Guide to Physical Examination, 10th Edition
View Document

Test Bank – Seidel’s Guide to Physical Examination, 10th Edition

  • Testbank-Guru

    Testbank-Guru

  • test bank

This test bank for Seidel’s Guide to Physical Examination, 10th Edition, includes multiple-choice, true/false, and sho...

19 USD

0

0

Test Bank for Evidence-Based Nursing: The Research-Practice Connection, 5th Edition
View Document

Test Bank for Evidence-Based Nursing: The Research-Practice Connection, 5th Edition

  • Testbank-Guru

    Testbank-Guru

  • test bank

This comprehensive test bank for Evidence-Based Nursing: The Research-Practice Connection, 5th Edition, includes multipl...

17 USD

0

0

Introductory Mental Health Nursing, 5th Edition Womble/Kincheloe Test Bank 2026
View Document

Introductory Mental Health Nursing, 5th Edition Womble/Kincheloe Test Bank 2026

  • Testbank-Guru

    Testbank-Guru

  • test bank

This 2025 test bank for Introductory Mental Health Nursing, 5th Edition by Womble and Kincheloe, includes comprehensive ...

18 USD

0

0

Leddy and Pepper’s Professional Nursing, 10th Edition – Test Bank by Lucy J. Hood, Latest 2026, Complete Guide, Chapters 1–22
View Document

Leddy and Pepper’s Professional Nursing, 10th Edition – Test Bank by Lucy J. Hood, Latest 2026, Complete Guide, Chapters 1–22

  • Testbank-Guru

    Testbank-Guru

  • test bank

This complete test bank for Leddy and Pepper’s Professional Nursing, 10th Edition by Lucy J. Hood covers all 22 chapte...

18 USD

0

0

Nursing Leadership, Management, and Professional Practice for the LPN/LVN, 7th Edition by Tamara R. Dahlkemper, Chapters 1–20 – Complete Guide, Latest 2023–2026
View Document

Nursing Leadership, Management, and Professional Practice for the LPN/LVN, 7th Edition by Tamara R. Dahlkemper, Chapters 1–20 – Complete Guide, Latest 2023–2026

  • Testbank-Guru

    Testbank-Guru

  • test bank

This comprehensive guide covers Nursing Leadership, Management, and Professional Practice for the LPN/LVN, 7th Edition b...

18 USD

0

0

Pharmacology for Canadian Health Care Practice, 4th Edition Lilley’s Test Bank – All Chapters 1–58
View Document

Pharmacology for Canadian Health Care Practice, 4th Edition Lilley’s Test Bank – All Chapters 1–58

  • Testbank-Guru

    Testbank-Guru

  • test bank

This comprehensive test bank for Pharmacology for Canadian Health Care Practice, 4th Edition by Lilley, covers all 58 ch...

18 USD

0

0

Pharmacotherapeutics for Advanced Practice Nurse Prescribers, 6th Edition Woo & Robinson – Test Bank
View Document

Pharmacotherapeutics for Advanced Practice Nurse Prescribers, 6th Edition Woo & Robinson – Test Bank

  • Testbank-Guru

    Testbank-Guru

  • test bank

This comprehensive test bank for Pharmacotherapeutics for Advanced Practice Nurse Prescribers, 6th Edition by Woo & Robi...

18 USD

0

0

Philosophies and Theories for Advanced Nursing Practice, 4th Edition – Complete Test Bank, Chapters 1–26
View Document

Philosophies and Theories for Advanced Nursing Practice, 4th Edition – Complete Test Bank, Chapters 1–26

  • Testbank-Guru

    Testbank-Guru

  • test bank

This comprehensive test bank for Philosophies and Theories for Advanced Nursing Practice, 4th Edition, covers all 26 cha...

18 USD

0

0

Porth’s Pathophysiology: Concepts of Altered Health States, 11th Edition Tommie L. Norris – Test Bank
View Document

Porth’s Pathophysiology: Concepts of Altered Health States, 11th Edition Tommie L. Norris – Test Bank

  • Testbank-Guru

    Testbank-Guru

  • test bank

This test bank for Porth’s Pathophysiology: Concepts of Altered Health States, 11th Edition by Tommie L. Norris, provi...

15 USD

0

0

RN ATI MED SURG PROCTORED FINAL EXAM 2025/2026.
View Document

RN ATI MED SURG PROCTORED FINAL EXAM 2025/2026.

  • ALLSTUDYGUIDE

    ALLSTUDYGUIDE

  • ati medical surgical

RN ATI MED SURG PROCTORED FINAL EXAM 2024/2025....

20 USD

0

0

ATI RN MEDSURG 2025/2026 PROCTORED EXAM- LATEST 100% CORRECT STUDY  GUIDE.Q$A WITH RATIONALES.
View Document

ATI RN MEDSURG 2025/2026 PROCTORED EXAM- LATEST 100% CORRECT STUDY GUIDE.Q$A WITH RATIONALES.

  • ALLSTUDYGUIDE

    ALLSTUDYGUIDE

  • ati medical surgical

ATI RN MEDSURG 2024/2025 PROCTORED EXAM- LATEST 100% CORRECT STUDY GUIDE.Q$A WITH RATIONALES....

17 USD

0

0

CDW 110v Caboodle Data Model Fundamentals – 2026 Edition     170 Real Exam Questions & Verified Answers    A+ Graded | Fully Updated | Authentic Practice Material
View Document

CDW 110v Caboodle Data Model Fundamentals – 2026 Edition 170 Real Exam Questions & Verified Answers A+ Graded | Fully Updated | Authentic Practice Material

  • Oscar

    Oscar

  • questions & answers

CDW 110v Caboodle Data Model Fundamentals – 2025 Edition 170 Real Exam Questions & Verified Answers A+ Graded ...

12 USD

0

0

4. 🎓 Master the HESI A2 Grammar Exam 2026 – Complete Guide with  Verified MCQs
View Document

4. 🎓 Master the HESI A2 Grammar Exam 2026 – Complete Guide with Verified MCQs

  • Oscar

    Oscar

  • questions & answers

4. 🎓 Master the HESI A2 Grammar Exam 2025 – Complete Guide with Verified MCQs...

11 USD

0

0

Nursing Pharmacology
View Document

Nursing Pharmacology

  • Oscar

    Oscar

  • ati medical surgical

C425: Healthcare Delivery Systems – Midterm Exam 2025 Comprehensive Review with Correct Answers | Regulation & Compli...

10 USD

0

0

Nursing Pharmacology
View Document

Nursing Pharmacology

  • Oscar

    Oscar

  • ati medical surgical

Brainstorming for the Brain Exam – ANP1105 M2...

7 USD

0

0

2025/2026 ATI RN Mental Health Final & Study Exam – Actual Final-Exam Questions & Verified Solutions (Graded A+)
View Document

2025/2026 ATI RN Mental Health Final & Study Exam – Actual Final-Exam Questions & Verified Solutions (Graded A+)

  • mentor2000

    mentor2000

  • ati

ATI RN Mental Health Final Exam, Practice Exam And Study Exam 2025-2026 With Actual Correct Questions And Verified Detai...

10 USD

0

0

Nursing Pharmacology
View Document

Nursing Pharmacology

  • Oscar

    Oscar

  • ati medical surgical

Your Ultimate 2025 USPA C-License Exam Resource – Fully Solved & Verified...

10 USD

0

0

Nursing Pharmacology
View Document

Nursing Pharmacology

  • Oscar

    Oscar

  • ati medical surgical

🚨 Lifeguard Exam Mastery 2025: American Red Cross Final Written Test – Verified & Guaranteed...

4 USD

0

0

Nursing Pharmacology
View Document

Nursing Pharmacology

  • Oscar

    Oscar

  • ati medical surgical

🚨 Lifeguard Exam Mastery 2025: American Red Cross Final Written Test – Verified & Guaranteed...

4 USD

0

0

Nursing Pharmacology
View Document

Nursing Pharmacology

  • Oscar

    Oscar

  • ati medical surgical

ABYC Systems Examination Prep 2025: Comprehensive MCQ Guide with Verified Answers & Solutions...

8 USD

0

0

Psychotherapy for the Advanced Practice Psychiatric Nurse 3rd Edition Test Bank – Comprehensive Exam Questions and Answers
View Document

Psychotherapy for the Advanced Practice Psychiatric Nurse 3rd Edition Test Bank – Comprehensive Exam Questions and Answers

  • Testbank-Guru

    Testbank-Guru

  • test bank

This test bank contains comprehensive exam questions and answers from the 3rd edition of Psychotherapy for the Advanced ...

12 USD

0

0

Test Bank | Focus on Personal Finance: 2026 Release, 8th Edition by Jack Kapoor (Ch 1–14)
View Document

Test Bank | Focus on Personal Finance: 2026 Release, 8th Edition by Jack Kapoor (Ch 1–14)

  • LecHaven

    LecHaven

  • test bank

Complete Test Bank for Focus on Personal Finance: 2025 Release, 8th Edition by Jack Kapoor covering chapters 1 through 1...

12 USD

0

0

Public Health Nursing Testbank – Population-Centered Primary Care in the Community, 11th Edition (Chapters 1–46, Complete Guide 2024–2026)
View Document

Public Health Nursing Testbank – Population-Centered Primary Care in the Community, 11th Edition (Chapters 1–46, Complete Guide 2024–2026)

  • Testbank-Guru

    Testbank-Guru

  • test bank

This comprehensive testbank covers all 46 chapters of Public Health Nursing: Population-Centered Primary Care in the Com...

12 USD

0

0

Campbell Biology: Concepts & Connections, 10th Edition by Taylor | Chapters 1–38
View Document

Campbell Biology: Concepts & Connections, 10th Edition by Taylor | Chapters 1–38

  • LecHaven

    LecHaven

  • test bank

Comprehensive study resource for Campbell Biology, 10th Edition by Taylor, covering chapters 1 through 38. Includes deta...

12 USD

0

0

Brock Biology of Microorganisms, 16th Edition by Madigan | Chapters 1–9
View Document

Brock Biology of Microorganisms, 16th Edition by Madigan | Chapters 1–9

  • LecHaven

    LecHaven

  • test bank

Comprehensive study notes and review material for Brock Biology of Microorganisms, 16th Edition by Madigan, covering Cha...

12 USD

0

0

COMPLETE Test Bank – Gynecologic Health Care with Introduction to Prenatal and Postpartum Care, 4th Edition by Kerri Durnell Schuiling
View Document

COMPLETE Test Bank – Gynecologic Health Care with Introduction to Prenatal and Postpartum Care, 4th Edition by Kerri Durnell Schuiling

  • Testbank-Guru

    Testbank-Guru

  • test bank

This complete test bank accompanies Gynecologic Health Care with an Introduction to Prenatal and Postpartum Care, 4th Ed...

12 USD

0

0

Full Test Bank – Davis Advantage for Pediatric Nursing: Critical Components of Nursing Care, 3rd Edition by Kathryn Rudd
View Document

Full Test Bank – Davis Advantage for Pediatric Nursing: Critical Components of Nursing Care, 3rd Edition by Kathryn Rudd

  • Testbank-Guru

    Testbank-Guru

  • test bank

This full test bank accompanies Davis Advantage for Pediatric Nursing: Critical Components of Nursing Care, 3rd Edition ...

12 USD

0

0

Anatomy & Physiology: The Unity of Form and Function, 9th Edition by Saladin | All 29 Chapters Covered
View Document

Anatomy & Physiology: The Unity of Form and Function, 9th Edition by Saladin | All 29 Chapters Covered

  • LecHaven

    LecHaven

  • test bank

Comprehensive study resource for Anatomy & Physiology, 9th Edition by Saladin covering all 29 chapters. Includes detaile...

11 USD

0

0

Full Test Bank – Leading and Managing in Nursing, 8th Edition by Patricia S. Yoder-Wise & Susan Sportsman
View Document

Full Test Bank – Leading and Managing in Nursing, 8th Edition by Patricia S. Yoder-Wise & Susan Sportsman

  • Testbank-Guru

    Testbank-Guru

  • test bank

This full test bank for Leading and Managing in Nursing, 8th Edition, provides comprehensive exam questions with verifie...

12 USD

0

0

Full Test Bank – Leading and Managing in Nursing, 8th Edition by Patricia S. Yoder-Wise & Susan Sportsman
View Document

Full Test Bank – Leading and Managing in Nursing, 8th Edition by Patricia S. Yoder-Wise & Susan Sportsman

  • Testbank-Guru

    Testbank-Guru

  • test bank

This full test bank for Leading and Managing in Nursing, 8th Edition, provides comprehensive exam questions with verifie...

12 USD

0

0

A History of Modern Psychology, 6th Edition by Goodwin | Chapters 1–15
View Document

A History of Modern Psychology, 6th Edition by Goodwin | Chapters 1–15

  • LecHaven

    LecHaven

  • test bank

Comprehensive study resource for "A History of Modern Psychology" (6th Edition) by Goodwin, covering Chapters 1 to 15. I...

12 USD

0

0

Test Bank for Bontrager’s Radiographic Positioning and Related Anatomy 10th Edition & Approach 7th Edition – Complete Guide
View Document

Test Bank for Bontrager’s Radiographic Positioning and Related Anatomy 10th Edition & Approach 7th Edition – Complete Guide

  • Testbank-Guru

    Testbank-Guru

  • test bank

This comprehensive test bank provides questions and answers for Bontrager’s Textbook of Radiographic Positioning and R...

12 USD

0

0

Test Bank for Ham's Primary Care Geriatrics – A Case-Based Approach, 7th Edition Complete Guide
View Document

Test Bank for Ham's Primary Care Geriatrics – A Case-Based Approach, 7th Edition Complete Guide

  • Testbank-Guru

    Testbank-Guru

  • test bank

This comprehensive test bank accompanies Ham's Primary Care Geriatrics, 7th Edition, providing a complete set of case-ba...

12 USD

0

0

Test Bank for Introductory Clinical Pharmacology 12th Edition by Susan Ford – Complete Guide Chapters 1–54
View Document

Test Bank for Introductory Clinical Pharmacology 12th Edition by Susan Ford – Complete Guide Chapters 1–54

  • Testbank-Guru

    Testbank-Guru

  • test bank

This comprehensive test bank covers all 54 chapters of Introductory Clinical Pharmacology, 12th Edition by Susan Ford. I...

12 USD

0

0

Test Bank for Introductory Clinical Pharmacology 12th Edition by Susan Ford – Complete Guide Chapters 1–54
View Document

Test Bank for Introductory Clinical Pharmacology 12th Edition by Susan Ford – Complete Guide Chapters 1–54

  • Testbank-Guru

    Testbank-Guru

  • test bank

This comprehensive test bank covers all 54 chapters of Introductory Clinical Pharmacology, 12th Edition by Susan Ford. I...

12 USD

0

0

Earth: Portrait of a Planet, 7th Edition by Marshak – Complete Chapters 1 to 23 Study Resource
View Document

Earth: Portrait of a Planet, 7th Edition by Marshak – Complete Chapters 1 to 23 Study Resource

  • LecHaven

    LecHaven

  • test bank

Comprehensive study resource for Earth: Portrait of a Planet, 7th Edition by Stephen Marshak, covering Chapters 1 throug...

12 USD

0

0

Test Bank for Nursing Delegation and Management of Patient Care, 3rd Edition – Motacki RN MSN & Burke RN PhD
View Document

Test Bank for Nursing Delegation and Management of Patient Care, 3rd Edition – Motacki RN MSN & Burke RN PhD

  • Testbank-Guru

    Testbank-Guru

  • test bank

This test bank provides comprehensive practice questions and answers for Nursing Delegation and Management of Patient Ca...

15 USD

0

0

Fundamentals of Investments: Valuation and Management, 10th Edition by Jordan | Chapters 1–21
View Document

Fundamentals of Investments: Valuation and Management, 10th Edition by Jordan | Chapters 1–21

  • LecHaven

    LecHaven

  • test bank

Comprehensive study resource for Fundamentals of Investments: Valuation and Management, 10th Edition by Jordan. Covers C...

12 USD

0

0

TEST BANK INTERPERSONAL RELATIONSHIPS PROFESSIONAL  COMMUNICATION SKILLS FOR NURSES 9TH EDITION
View Document

TEST BANK INTERPERSONAL RELATIONSHIPS PROFESSIONAL COMMUNICATION SKILLS FOR NURSES 9TH EDITION

  • Testbank-Guru

    Testbank-Guru

  • test bank

This test bank provides a complete set of exam questions with answers and rationales for Foundations for Population Heal...

12 USD

0

0

Focus on Personal Finance, 8th Edition by Hart & Kapoor | Chapters 1–14 | Latest 2026
View Document

Focus on Personal Finance, 8th Edition by Hart & Kapoor | Chapters 1–14 | Latest 2026

  • LecHaven

    LecHaven

  • test bank

Comprehensive study resource for Focus on Personal Finance, 8th Edition (2024) by Hart and Kapoor. Covers Chapters 1–1...

12 USD

0

0

Test Bank for Foundations for Population Health in Community/Public Health Nursing, 6th Edition by Marcia Stanhope – Comprehensive Exam Preparation
View Document

Test Bank for Foundations for Population Health in Community/Public Health Nursing, 6th Edition by Marcia Stanhope – Comprehensive Exam Preparation

  • Testbank-Guru

    Testbank-Guru

  • test bank

This test bank provides a complete set of exam questions with answers and rationales for Foundations for Population Heal...

12 USD

0

0

Test Bank for Introduction to Critical Care Nursing, 9th Edition by Sole – Comprehensive Questions and Answers
View Document

Test Bank for Introduction to Critical Care Nursing, 9th Edition by Sole – Comprehensive Questions and Answers

  • Testbank-Guru

    Testbank-Guru

  • test bank

This test bank provides a complete set of questions and answers for Introduction to Critical Care Nursing, 9th Edition b...

12 USD

0

0

Test Bank for Human Physiology: An Integrated Approach (8th Edition) by Silverthorn – Chapters 1 to 26 with Verified Solutions
View Document

Test Bank for Human Physiology: An Integrated Approach (8th Edition) by Silverthorn – Chapters 1 to 26 with Verified Solutions

  • LecHaven

    LecHaven

  • test bank

Comprehensive study resource for Human Physiology: An Integrated Approach (8th Edition by Silverthorn) Test Bank coverin...

15 USD

0

0

Test Bank for Community & Public Health Nursing: Promoting the Health of Populations, 8th Edition – Comprehensive Exam Questions with Verified Answers
View Document

Test Bank for Community & Public Health Nursing: Promoting the Health of Populations, 8th Edition – Comprehensive Exam Questions with Verified Answers

  • Testbank-Guru

    Testbank-Guru

  • test bank

This test bank provides a complete set of exam questions with verified answers for Community & Public Health Nursing: Pr...

12 USD

0

0

Test Bank for Financial Accounting for MBAs, 8th Edition by Easton – Complete Questions and Answers for Exam Preparation
View Document

Test Bank for Financial Accounting for MBAs, 8th Edition by Easton – Complete Questions and Answers for Exam Preparation

  • Testbank-Guru

    Testbank-Guru

  • test bank

This test bank provides comprehensive questions and answers for Financial Accounting for MBAs, 8th Edition by Easton. De...

12 USD

0

0

Test Bank for Financial Accounting for MBAs, 8th Edition by Easton – Complete Questions and Answers for Exam Preparation
View Document

Test Bank for Financial Accounting for MBAs, 8th Edition by Easton – Complete Questions and Answers for Exam Preparation

  • Testbank-Guru

    Testbank-Guru

  • test bank

This test bank provides comprehensive questions and answers for Financial Accounting for MBAs, 8th Edition by Easton. De...

12 USD

0

0

Advanced Pharmacology for Prescribers 1st Edition – Luu Kayingo’s Test Bank with Verified Questions and Answers
View Document

Advanced Pharmacology for Prescribers 1st Edition – Luu Kayingo’s Test Bank with Verified Questions and Answers

  • Testbank-Guru

    Testbank-Guru

  • test bank

This test bank accompanies Advanced Pharmacology for Prescribers, 1st Edition by Luu Kayingo. It contains verified quest...

12 USD

0

0

Test Bank for Lewis Medical-Surgical Nursing in Canada – 5th Edition with Verified Questions and Answers
View Document

Test Bank for Lewis Medical-Surgical Nursing in Canada – 5th Edition with Verified Questions and Answers

  • Testbank-Guru

    Testbank-Guru

  • test bank

This comprehensive test bank accompanies Lewis Medical-Surgical Nursing in Canada, 5th Edition. It contains verified que...

16 USD

0

0

Testbank for Davies’ Advantage for Understanding Medical-Surgical Nursing, 7th Edition – Williams & Hopper
View Document

Testbank for Davies’ Advantage for Understanding Medical-Surgical Nursing, 7th Edition – Williams & Hopper

  • Testbank-Guru

    Testbank-Guru

  • test bank

This testbank provides a comprehensive set of practice questions and answers for Davies’ Advantage for Understanding M...

12 USD

0

0

Test Bank for RAUS Respiratory Care Pharmacology, 11th Edition by Gardenhire – All Chapters 1–23
View Document

Test Bank for RAUS Respiratory Care Pharmacology, 11th Edition by Gardenhire – All Chapters 1–23

  • Testbank-Guru

    Testbank-Guru

  • test bank

This test bank provides comprehensive questions and answers for RAUS Respiratory Care Pharmacology, 11th Edition by Gard...

12 USD

0

0

Test Bank for Lemone & Burke’s Medical-Surgical Nursing: Clinical Reasoning in Hospital Client Care, 7th Edition – Complete Chapters 1–52
View Document

Test Bank for Lemone & Burke’s Medical-Surgical Nursing: Clinical Reasoning in Hospital Client Care, 7th Edition – Complete Chapters 1–52

  • Testbank-Guru

    Testbank-Guru

  • test bank

This official test bank for Lemone & Burke’s Medical-Surgical Nursing: Clinical Reasoning in Hospital Client Care, 7th...

12 USD

0

0

Test Bank – Essential Health Assessment, 2nd Edition by Thompson | Complete Guide with Answers (2026)
View Document

Test Bank – Essential Health Assessment, 2nd Edition by Thompson | Complete Guide with Answers (2026)

  • Testbank-Guru

    Testbank-Guru

  • test bank

Download complete test bank for Essential Health Assessment, 2nd Edition PDF by Thompson. A reliable resource for nursin...

15 USD

0

0

Test Bank – Potter Perry Fundamentals of Nursing, 11th Edition, Complete Guide (Chapters 1–50)
View Document

Test Bank – Potter Perry Fundamentals of Nursing, 11th Edition, Complete Guide (Chapters 1–50)

  • Testbank-Guru

    Testbank-Guru

  • test bank

This complete test bank for Potter & Perry Fundamentals of Nursing, 11th Edition covers all chapters (1–50) with verif...

12 USD

0

0

NEEBS Mental Health Nursing 6th Edition – Complete Study Guide for Chapters 1–22
View Document

NEEBS Mental Health Nursing 6th Edition – Complete Study Guide for Chapters 1–22

  • Testbank-Guru

    Testbank-Guru

  • test bank

This comprehensive study guide covers all 22 chapters of the NEEBS Mental Health Nursing 6th Edition. It provides detail...

12 USD

0

0

Nursing Pharmacology
View Document

Nursing Pharmacology

  • Oscar

    Oscar

  • ati medical surgical

2025 California Motorcycle License Exam Prep – Multiple Choice Questions & Full Solutions...

10 USD

0

0

Nursing Questions
View Document

Nursing Questions

  • Oscar

    Oscar

  • ati medical surgical

2025 California Motorcycle License Exam Prep – Multiple Choice Questions & Full Solutions...

10 USD

0

0

Nursing Pharmacology
View Document

Nursing Pharmacology

  • Oscar

    Oscar

  • ati medical surgical

Latest ACH-E Exam Questions & Solutions – Verified for 2025 Success...

7 USD

0

0

All The COMSAE Exam Test Bank 700+ Questions and Answers
View Document

All The COMSAE Exam Test Bank 700+ Questions and Answers

  • claratutor1

    claratutor1

  • test bank

All The COMSAE Exam Test Bank 700+ Questions and Answers...

10 USD

0

0

âś… NC 301 POST LICENSING FINAL EXAM | 2026 EDITION | VERIFIED QUESTIONS + GUARANTEED PASS
View Document

âś… NC 301 POST LICENSING FINAL EXAM | 2026 EDITION | VERIFIED QUESTIONS + GUARANTEED PASS

  • Oscar

    Oscar

  • ati medical surgical

âś… NC 301 POST LICENSING FINAL EXAM | 2025 EDITION | VERIFIED QUESTIONS + GUARANTEED PASS...

9 USD

0

0

2026 3PS FINAL PRACTICE EXAMINATION MASTER QUESTION BANK | FULLY UPDATED MULTIPLE CHOICE QUESTIONS WITH VERIFIED, EXPERT-REVIEWED ANSWERS FOR COMPREHENSIVE PREPARATION
View Document

2026 3PS FINAL PRACTICE EXAMINATION MASTER QUESTION BANK | FULLY UPDATED MULTIPLE CHOICE QUESTIONS WITH VERIFIED, EXPERT-REVIEWED ANSWERS FOR COMPREHENSIVE PREPARATION

  • Oscar

    Oscar

  • ati medical surgical

2025 3PS FINAL PRACTICE EXAMINATION MASTER QUESTION BANK | FULLY UPDATED MULTIPLE CHOICE QUESTIONS WITH VERIFIED, EXPERT...

6 USD

0

0

WGU D223 Red Flag Mania Exam 2026, 2026 Verified with Correct Questions & Answers
View Document

WGU D223 Red Flag Mania Exam 2026, 2026 Verified with Correct Questions & Answers

  • Pasing-Grades

    Pasing-Grades

  • exam elaborations

WGU D223 Red Flag Mania Exam 2025, 2026 Verified with Correct Questions & Answers...

6 USD

0

0

CPSI: Certified Playground Safety Inspector Exam Questions and Answers 2026
View Document

CPSI: Certified Playground Safety Inspector Exam Questions and Answers 2026

  • Pasing-Grades

    Pasing-Grades

  • exam elaborations

CPSI, Certified Playground Safety Inspector Exam Questions and Answers 2025...

6 USD

0

0

CPSI Exam Prep Practice Questions and Answers (Best Verified Question Sets)
View Document

CPSI Exam Prep Practice Questions and Answers (Best Verified Question Sets)

  • Pasing-Grades

    Pasing-Grades

  • exam elaborations

CPSI Exam Prep Practice Questions and Answers...

5 USD

0

0

NUR 504 APEA FINAL EXAM STUDY GUIDE
View Document

NUR 504 APEA FINAL EXAM STUDY GUIDE

  • Brainbank

    Brainbank

  • questions & answers

NUR 504 APEA FINAL EXAM STUDY GUIDE...

17 USD

0

0

(LATEST) NSG 3160 EXAM 1 COMPLETE QUESTIONS AND VERIFIED ANSWERS
View Document

(LATEST) NSG 3160 EXAM 1 COMPLETE QUESTIONS AND VERIFIED ANSWERS

  • Brainbank

    Brainbank

  • exam elaborations

(LATEST) NSG 3160 EXAM 1 COMPLETE QUESTIONS AND VERIFIED ANSWERS...

15 USD

0

0

NSG 3160 FINAL EXAM REVIEW QUESTIONS AND CORRECT ANSWERS (NEWEST 2026-2027)
View Document

NSG 3160 FINAL EXAM REVIEW QUESTIONS AND CORRECT ANSWERS (NEWEST 2026-2027)

  • Brainbank

    Brainbank

  • exam elaborations

NSG 3160 FINAL EXAM REVIEW QUESTIONS AND CORRECT ANSWERS (NEWEST 2026-2027)...

15 USD

0

0

NSG 3160 EXAM QUESTIONS AND ALL ANSWERS CORRECT (NEWEST)
View Document

NSG 3160 EXAM QUESTIONS AND ALL ANSWERS CORRECT (NEWEST)

  • Brainbank

    Brainbank

  • exam elaborations

NSG 3160 EXAM QUESTIONS AND ALL ANSWERS CORRECT (NEWEST)...

15 USD

0

0

NSG 3160 EXAM QUESTIONS AND ALL ANSWERS CORRECT (NEWEST)
View Document

NSG 3160 EXAM QUESTIONS AND ALL ANSWERS CORRECT (NEWEST)

  • Brainbank

    Brainbank

  • exam elaborations

NSG 3160 EXAM QUESTIONS AND ALL ANSWERS CORRECT (NEWEST)...

17 USD

0

0

NSG 3160 UNIT 1 AND 2 COMPLETE EXAM QUESTIONS AND CORRECT ANSWERS
View Document

NSG 3160 UNIT 1 AND 2 COMPLETE EXAM QUESTIONS AND CORRECT ANSWERS

  • Brainbank

    Brainbank

  • exam elaborations

NSG 3160 UNIT 1 AND 2 COMPLETE EXAM QUESTIONS AND CORRECT ANSWERS...

15 USD

0

0

NSG 3160 EXAM 4 REVIEW QUESTIONS AND ALL ANSWRS CORRECT
View Document

NSG 3160 EXAM 4 REVIEW QUESTIONS AND ALL ANSWRS CORRECT

  • Brainbank

    Brainbank

  • exam elaborations

NSG 3160 EXAM 4 REVIEW QUESTIONS AND ALL ANSWRS CORRECT...

15 USD

0

0

NSG 3160 EXAM 2 QUESTIONS AND ALL ANSWERS VERIFIED (NEWEST UPDATED)
View Document

NSG 3160 EXAM 2 QUESTIONS AND ALL ANSWERS VERIFIED (NEWEST UPDATED)

  • Brainbank

    Brainbank

  • exam elaborations

NSG 3160 EXAM 2 QUESTIONS AND ALL ANSWERS VERIFIED (NEWEST UPDATED)...

15 USD

0

0

NSG 3160 EXAM 4 ALL QUESTIONS AND CORRECT ANSWERS LATEST UPDATED
View Document

NSG 3160 EXAM 4 ALL QUESTIONS AND CORRECT ANSWERS LATEST UPDATED

  • Brainbank

    Brainbank

  • exam elaborations

NSG 3160 EXAM 4 ALL QUESTIONS AND CORRECT ANSWERS LATEST UPDATED...

17 USD

0

0

NSG 3160 EXAM 3 COMPLETE QUESTIONS AND CORRECT ANSWERS (PASS GUARANTEE)
View Document

NSG 3160 EXAM 3 COMPLETE QUESTIONS AND CORRECT ANSWERS (PASS GUARANTEE)

  • Brainbank

    Brainbank

  • exam elaborations

NSG 3160 EXAM 3 COMPLETE QUESTIONS AND CORRECT ANSWERS (PASS GUARANTEE)...

18 USD

0

0

NSG 3160 EXAM 3 STUDY SET
View Document

NSG 3160 EXAM 3 STUDY SET

  • Brainbank

    Brainbank

  • exam elaborations

NSG 3160 EXAM 3 STUDY SET...

15 USD

0

0

NEWEST) CLC 059 EXAM QUESTIONS AND VERIFIED ANSWERS
View Document

NEWEST) CLC 059 EXAM QUESTIONS AND VERIFIED ANSWERS

  • Brainbank

    Brainbank

  • exam elaborations

NEWEST) CLC 059 EXAM QUESTIONS AND VERIFIED ANSWERS...

15 USD

0

0

BCOR 2201 COMPLETE EXAM QUESTIONS AND CORRECT ANSWERS LATEST UPDATED
View Document

BCOR 2201 COMPLETE EXAM QUESTIONS AND CORRECT ANSWERS LATEST UPDATED

  • Brainbank

    Brainbank

  • exam elaborations

BCOR 2201 COMPLETE EXAM QUESTIONS AND CORRECT ANSWERS LATEST UPDATED...

15 USD

0

0

BCOR 2201 MARKETING MIDTERM 1 EXAM QUESTIONS AND CORRECT ANSWERS (LATEST)
View Document

BCOR 2201 MARKETING MIDTERM 1 EXAM QUESTIONS AND CORRECT ANSWERS (LATEST)

  • Brainbank

    Brainbank

  • exam elaborations

BCOR 2201 MARKETING MIDTERM 1 EXAM QUESTIONS AND CORRECT ANSWERS (LATEST)...

15 USD

0

0

BCOR 2201 MARKETING FINAL EXAM QUESTIONS AND CORRECT ANSWERS LATEST UPDATED
View Document

BCOR 2201 MARKETING FINAL EXAM QUESTIONS AND CORRECT ANSWERS LATEST UPDATED

  • Brainbank

    Brainbank

  • exam elaborations

BCOR 2201 MARKETING FINAL EXAM QUESTIONS AND CORRECT ANSWERS LATEST UPDATED...

15 USD

0

0

BCOR 2201 MARKETING EXAM REVIEW QUESTIONS AND CORRECT ANSWERS
View Document

BCOR 2201 MARKETING EXAM REVIEW QUESTIONS AND CORRECT ANSWERS

  • Brainbank

    Brainbank

  • exam elaborations

BCOR 2201 MARKETING EXAM REVIEW QUESTIONS AND CORRECT ANSWERS...

15 USD

0

0

POSTAL AUTOMOTIVE TECHNICIAN EXAM 944 QUESTIONS AND ANSWERS LATEST UPDATED
View Document

POSTAL AUTOMOTIVE TECHNICIAN EXAM 944 QUESTIONS AND ANSWERS LATEST UPDATED

  • Brainbank

    Brainbank

  • exam elaborations

POSTAL AUTOMOTIVE TECHNICIAN EXAM 944 QUESTIONS AND ANSWERS LATEST UPDATED...

15 USD

0

0

AUTO MECHANICS EXAM COMPLETE QUESTIONS AND CORRECT RECENTLY UPDATED
View Document

AUTO MECHANICS EXAM COMPLETE QUESTIONS AND CORRECT RECENTLY UPDATED

  • Brainbank

    Brainbank

  • exam elaborations

AUTO MECHANICS EXAM COMPLETE QUESTIONS AND CORRECT RECENTLY UPDATED...

15 USD

0

0

AUTOMOTIVE SERVICE EXAM COMPLETE QUESTIONS AND CORRECT ANSWERS (LATEST UPDATED)
View Document

AUTOMOTIVE SERVICE EXAM COMPLETE QUESTIONS AND CORRECT ANSWERS (LATEST UPDATED)

  • Brainbank

    Brainbank

  • exam elaborations

AUTOMOTIVE SERVICE EXAM COMPLETE QUESTIONS AND CORRECT ANSWERS (LATEST UPDATED)...

15 USD

0

0

LEADERSHIP NUR 4590 EXAM COMPLETE QUESTIONS AND ALL ANSWERS CORRECT
View Document

LEADERSHIP NUR 4590 EXAM COMPLETE QUESTIONS AND ALL ANSWERS CORRECT

  • Brainbank

    Brainbank

  • exam elaborations

LEADERSHIP NUR 4590 EXAM COMPLETE QUESTIONS AND ALL ANSWERS CORRECT...

15 USD

0

0

NUR 4590 EXAM 1 QUESTIONS AND ALL ANSWERS CORRECT
View Document

NUR 4590 EXAM 1 QUESTIONS AND ALL ANSWERS CORRECT

  • Brainbank

    Brainbank

  • exam elaborations

NUR 4590 EXAM 1 QUESTIONS AND ALL ANSWERS CORRECT...

15 USD

0

0

WGU D115 MASTER SET-ADVANCED PATHOPHYSIOLOGY FOR THE ADVANCED NURSE EXAM QUESTIONS AND CORRECT ANSWERS
View Document

WGU D115 MASTER SET-ADVANCED PATHOPHYSIOLOGY FOR THE ADVANCED NURSE EXAM QUESTIONS AND CORRECT ANSWERS

  • Brainbank

    Brainbank

  • exam elaborations

WGU D115 MASTER SET-ADVANCED PATHOPHYSIOLOGY FOR THE ADVANCED NURSE EXAM QUESTIONS AND CORRECT ANSWERS...

15 USD

0

0

WGU D115 COMPREHENSIVE EXAM COMPLETE QUESTIONS AND CORRECT ANSWERS
View Document

WGU D115 COMPREHENSIVE EXAM COMPLETE QUESTIONS AND CORRECT ANSWERS

  • Brainbank

    Brainbank

  • exam elaborations

WGU D115 COMPREHENSIVE EXAM COMPLETE QUESTIONS AND CORRECT ANSWERS...

15 USD

0

0

WGU D115 EXAM COMPLETE QUESTIONS AND ALL ANSWERS CORRECT
View Document

WGU D115 EXAM COMPLETE QUESTIONS AND ALL ANSWERS CORRECT

  • Brainbank

    Brainbank

  • exam elaborations

WGU D115 EXAM COMPLETE QUESTIONS AND ALL ANSWERS CORRECT...

15 USD

0

0

WGU D115 ADVANCED PATHOPHYSIOLOGY EXAM QUESTIONS AND CORRECT ANSWERS RECENTLY UPDATED
View Document

WGU D115 ADVANCED PATHOPHYSIOLOGY EXAM QUESTIONS AND CORRECT ANSWERS RECENTLY UPDATED

  • Brainbank

    Brainbank

  • exam elaborations

WGU D115 ADVANCED PATHOPHYSIOLOGY EXAM QUESTIONS AND CORRECT ANSWERS RECENTLY UPDATED...

15 USD

0

0

WGU D115 FINAL EXAM QUESTIONS AND CORRECT ANSWERS LATEST UPDATED
View Document

WGU D115 FINAL EXAM QUESTIONS AND CORRECT ANSWERS LATEST UPDATED

  • Brainbank

    Brainbank

  • exam elaborations

WGU D115 FINAL EXAM QUESTIONS AND CORRECT ANSWERS LATEST UPDATED...

15 USD

0

0

WGU D115 COMPREHENSIVE EXAM QUESTIONS AND CORRECT ANSWERS (NEWEST)
View Document

WGU D115 COMPREHENSIVE EXAM QUESTIONS AND CORRECT ANSWERS (NEWEST)

  • Brainbank

    Brainbank

  • exam elaborations

WGU D115 COMPREHENSIVE EXAM QUESTIONS AND CORRECT ANSWERS (NEWEST)...

14 USD

0

0

WGU D115 OA AND PRE-OA EXAM ACTUAL EXAM QUESTIONS AND CORRECT ANSWERS (NEWEST)
View Document

WGU D115 OA AND PRE-OA EXAM ACTUAL EXAM QUESTIONS AND CORRECT ANSWERS (NEWEST)

  • Brainbank

    Brainbank

  • exam elaborations

WGU D115 OA AND PRE-OA EXAM ACTUAL EXAM QUESTIONS AND CORRECT ANSWERS (NEWEST)...

14 USD

0

0

WGU D115 ALL UNITS EXAM QUESTIONS AND CORRECT ANSWERS RECENTLY UPDATED
View Document

WGU D115 ALL UNITS EXAM QUESTIONS AND CORRECT ANSWERS RECENTLY UPDATED

  • Brainbank

    Brainbank

  • exam elaborations

WGU D115 ALL UNITS EXAM QUESTIONS AND CORRECT ANSWERS RECENTLY UPDATED...

14 USD

0

0

Maine Journeyman Plumbing Exam – Complete Practice Questions with Answers
View Document

Maine Journeyman Plumbing Exam – Complete Practice Questions with Answers

  • claratutor1

    claratutor1

  • exam

Get PDF copy of Maine Journeyman Plumbing Exam – Complete Practice Questions with Answers...

7 USD

0

0

Philosophies and Theories for Advanced Nursing Practice, 4th Edition | All Chapters 1-26
View Document

Philosophies and Theories for Advanced Nursing Practice, 4th Edition | All Chapters 1-26

  • LecHaven

    LecHaven

  • test bank

Complete Philosophies and Theories for Advanced Nursing Practice (4th Edition) study resource covering all 26 chapters. ...

12 USD

0

0

Pharmacotherapeutics for Advanced Practice Nurse Prescribers, 6th Edition – Woo & Robinson | Test Bank
View Document

Pharmacotherapeutics for Advanced Practice Nurse Prescribers, 6th Edition – Woo & Robinson | Test Bank

  • LecHaven

    LecHaven

  • test bank

Comprehensive Test Bank for Pharmacotherapeutics for Advanced Practice Nurse Prescribers, 6th Edition by Woo & Robinson....

11 USD

0

0

Pharmacology for Canadian Health Care Practice, 4th Edition – Lilley’s Test Bank | All Chapters 1-58
View Document

Pharmacology for Canadian Health Care Practice, 4th Edition – Lilley’s Test Bank | All Chapters 1-58

  • LecHaven

    LecHaven

  • test bank

Complete test bank for Lilley’s Pharmacology for Canadian Health Care Practice, 4th Edition. Covers all 58 chapters wi...

11 USD

0

0

Nursing Leadership, Management, and Professional Practice for the LPN/LVN, 7th Edition by Tamara R. Dahlkemper | Chapters 1-20 Complete Guide (2023-2024)
View Document

Nursing Leadership, Management, and Professional Practice for the LPN/LVN, 7th Edition by Tamara R. Dahlkemper | Chapters 1-20 Complete Guide (2023-2024)

  • LecHaven

    LecHaven

  • test bank

Comprehensive study guide for Nursing Leadership, Management, and Professional Practice for the LPN/LVN, 7th Edition by ...

11 USD

0

0

Maternity, Newborn, and Women’s Health Nursing – A Case-Based Approach, 2nd Edition | O’Meara’s Test Bank
View Document

Maternity, Newborn, and Women’s Health Nursing – A Case-Based Approach, 2nd Edition | O’Meara’s Test Bank

  • LecHaven

    LecHaven

  • test bank

Comprehensive Test Bank for Maternity, Newborn, and Women’s Health Nursing: A Case-Based Approach, 2nd Edition by O’...

12 USD

0

0

Leddy and Pepper’s Professional Nursing 10th Edition – Test Bank | Complete 2024 Guide | Chapters 1-22
View Document

Leddy and Pepper’s Professional Nursing 10th Edition – Test Bank | Complete 2024 Guide | Chapters 1-22

  • LecHaven

    LecHaven

  • test bank

Comprehensive Test Bank for Leddy and Pepper’s Professional Nursing 10th Edition (Lucy J. Hood, 2024). Includes questi...

12 USD

0

0

Introductory Mental Health Nursing, 5th Edition | Womble/Kincheloe Test Bank 2024
View Document

Introductory Mental Health Nursing, 5th Edition | Womble/Kincheloe Test Bank 2024

  • LecHaven

    LecHaven

  • test bank

Comprehensive Test Bank for Introductory Mental Health Nursing, 5th Edition by Womble and Kincheloe (2024). Includes ver...

12 USD

0

0

Testbank for Evidence-Based Nursing: The Research-Practice Connection, 5th Edition
View Document

Testbank for Evidence-Based Nursing: The Research-Practice Connection, 5th Edition

  • LecHaven

    LecHaven

  • test bank

Comprehensive testbank for Evidence-Based Nursing: The Research-Practice Connection, 5th Edition. Includes multiple-choi...

12 USD

0

0

Essentials of Maternity, Newborn, and Women’s Health Nursing 5th Edition – Ricci | Testbank/Complete Guide 2024-2026
View Document

Essentials of Maternity, Newborn, and Women’s Health Nursing 5th Edition – Ricci | Testbank/Complete Guide 2024-2026

  • LecHaven

    LecHaven

  • test bank

Comprehensive Testbank and Complete Guide for Essentials of Maternity, Newborn, and Women’s Health Nursing, 5th Editio...

11 USD

0

0

Test Bank for Lehne’s Pharmacotherapeutics for Advanced Practice Nursing Attendants and Physician Assistants | 3rd Edition – Rosenthal
View Document

Test Bank for Lehne’s Pharmacotherapeutics for Advanced Practice Nursing Attendants and Physician Assistants | 3rd Edition – Rosenthal

  • LecHaven

    LecHaven

  • test bank

Comprehensive Test Bank for Lehne’s Pharmacotherapeutics 3rd Edition by Rosenthal. Includes multiple-choice questions ...

12 USD

0

0

Anatomy & Physiology for Emergency Care, 3rd Edition | Bledsoe’s Testbank
View Document

Anatomy & Physiology for Emergency Care, 3rd Edition | Bledsoe’s Testbank

  • LecHaven

    LecHaven

  • test bank

Comprehensive test bank for Anatomy & Physiology for Emergency Care, 3rd Edition by Bledsoe. Includes verified multiple-...

12 USD

0

0

Full Test Bank | Advanced Practice Nursing: Essentials for Role Development, 5th Edition – Joel
View Document

Full Test Bank | Advanced Practice Nursing: Essentials for Role Development, 5th Edition – Joel

  • LecHaven

    LecHaven

  • test bank

Comprehensive Full Test Bank for Advanced Practice Nursing: Essentials for Role Development, 5th Edition by Joel. Includ...

11 USD

0

0

Abram’s Clinical Drug Therapy: Rationales for Nursing Practice, 13th Edition | Test Bank/Complete Guide 2024-2026 | All Chapters 1-61
View Document

Abram’s Clinical Drug Therapy: Rationales for Nursing Practice, 13th Edition | Test Bank/Complete Guide 2024-2026 | All Chapters 1-61

  • LecHaven

    LecHaven

  • test bank

Comprehensive Test Bank and Complete Guide for Abram’s Clinical Drug Therapy: Rationales for Nursing Practice, 13th Ed...

12 USD

0

0

Test Bank for McCance and Huether’s Pathophysiology: The Biological Basis for Diseases in Adults and Children, 9th Edition | All Chapters Complete Guide 2024-2026
View Document

Test Bank for McCance and Huether’s Pathophysiology: The Biological Basis for Diseases in Adults and Children, 9th Edition | All Chapters Complete Guide 2024-2026

  • LecHaven

    LecHaven

  • test bank

Comprehensive test bank for McCance and Huether’s Pathophysiology, 9th Edition covering all chapters. Includes multipl...

11 USD

0

0

Test Bank for Sole’s Introduction to Critical Care Nursing, 9th Edition by Mary Beth & Lauren
View Document

Test Bank for Sole’s Introduction to Critical Care Nursing, 9th Edition by Mary Beth & Lauren

  • LecHaven

    LecHaven

  • test bank

Comprehensive Test Bank for Sole’s Introduction to Critical Care Nursing, 9th Edition. Includes verified multiple-choi...

12 USD

0

0

COMPTIA CYSA+ WGU D483 EXAM QUESTIONS AND ANSWERS RECENTLY UPDATED
View Document

COMPTIA CYSA+ WGU D483 EXAM QUESTIONS AND ANSWERS RECENTLY UPDATED

  • Brainbank

    Brainbank

  • questions & answers

COMPTIA CYSA+ WGU D483 EXAM QUESTIONS AND ANSWERS RECENTLY UPDATED...

14 USD

0

0

WGU D483 VIRTUAL LAB SUPPLEMENTARY INSTRUCTION EXAM QUESTIONS AND CORRECT ANSWERS
View Document

WGU D483 VIRTUAL LAB SUPPLEMENTARY INSTRUCTION EXAM QUESTIONS AND CORRECT ANSWERS

  • Brainbank

    Brainbank

  • questions & answers

WGU D483 VIRTUAL LAB SUPPLEMENTARY INSTRUCTION EXAM QUESTIONS AND CORRECT ANSWERS...

14 USD

0

0

NEWEST) NURS 5462 MSK EXAM COMPLETE QUESTIONS AND CORRECT ANSWERS
View Document

NEWEST) NURS 5462 MSK EXAM COMPLETE QUESTIONS AND CORRECT ANSWERS

  • Brainbank

    Brainbank

  • questions & answers

NEWEST) NURS 5462 MSK EXAM COMPLETE QUESTIONS AND CORRECT ANSWERS...

12 USD

0

0

NURS 5462 METABOLIC BONE DZ EXAM RECENTLY UPDATED
View Document

NURS 5462 METABOLIC BONE DZ EXAM RECENTLY UPDATED

  • Brainbank

    Brainbank

  • questions & answers

NURS 5462 METABOLIC BONE DZ EXAM RECENTLY UPDATED...

11 USD

0

0

NURS 5462 EXAM NEW UPDATED QUESTIONS AND 100% VERIFIED ANSWERS
View Document

NURS 5462 EXAM NEW UPDATED QUESTIONS AND 100% VERIFIED ANSWERS

  • Brainbank

    Brainbank

  • exam

NURS 5462 EXAM NEW UPDATED QUESTIONS AND 100% VERIFIED ANSWERS...

12 USD

0

0

Test Bank for Diseases of the Human Body (7th Edition) by Carol D. Tamparo & Jennifer T. Davis
View Document

Test Bank for Diseases of the Human Body (7th Edition) by Carol D. Tamparo & Jennifer T. Davis

  • LecHaven

    LecHaven

  • test bank

Comprehensive Test Bank for Diseases of the Human Body, 7th Edition by Carol D. Tamparo and Jennifer T. Davis. Contains ...

11 USD

0

0

[NR 312 – Pharmacology Nursing] Full Test Bank – Pharmacology and the Nursing Process, 10th Edition: Linda Lilley, Rainforth Collins, Julie Snyder | Complete Guide A+
View Document

[NR 312 – Pharmacology Nursing] Full Test Bank – Pharmacology and the Nursing Process, 10th Edition: Linda Lilley, Rainforth Collins, Julie Snyder | Complete Guide A+

  • Testbank-Guru

    Testbank-Guru

  • test bank

This comprehensive test bank for Pharmacology and the Nursing Process, 10th Edition, provides verified multiple-choice, ...

12 USD

0

0

[NR 221 – Professional Nursing Concepts] Full Test Bank – Professional Nursing: Concepts and Challenges, 10th Edition by Beth Black – Complete Guide
View Document

[NR 221 – Professional Nursing Concepts] Full Test Bank – Professional Nursing: Concepts and Challenges, 10th Edition by Beth Black – Complete Guide

  • Testbank-Guru

    Testbank-Guru

  • test bank

This comprehensive test bank for Professional Nursing: Concepts and Challenges, 10th Edition by Beth Black, provides a c...

12 USD

0

0

[NR 412 – Advanced Practice Nursing: Geriatrics] Test Bank – Advanced Practice Nursing in the Care of Older Adults, 3rd Edition Kennedy-Malone
View Document

[NR 412 – Advanced Practice Nursing: Geriatrics] Test Bank – Advanced Practice Nursing in the Care of Older Adults, 3rd Edition Kennedy-Malone

  • Testbank-Guru

    Testbank-Guru

  • test bank

This comprehensive test bank for Advanced Practice Nursing in the Care of Older Adults, 3rd Edition by Kennedy-Malone, i...

11 USD

0

0

[NR 324 – Respiratory Nursing] Test Bank – Clinical Manifestations and Assessment of Respiratory Disease, 9th Edition by Des Jardins & Goolsby, Chapters 1–22 | Complete
View Document

[NR 324 – Respiratory Nursing] Test Bank – Clinical Manifestations and Assessment of Respiratory Disease, 9th Edition by Des Jardins & Goolsby, Chapters 1–22 | Complete

  • Testbank-Guru

    Testbank-Guru

  • test bank

This comprehensive test bank for Clinical Manifestations and Assessment of Respiratory Disease, 9th Edition by Des Jardi...

12 USD

0

0

[NR 314 – Advanced Health Assessment] Test Bank for Advanced Assessment: Interpreting Findings and Formulating Differential Diagnoses, 5th Edition Goolsby, Chapters 1–22 | Complete
View Document

[NR 314 – Advanced Health Assessment] Test Bank for Advanced Assessment: Interpreting Findings and Formulating Differential Diagnoses, 5th Edition Goolsby, Chapters 1–22 | Complete

  • Testbank-Guru

    Testbank-Guru

  • test bank

This comprehensive test bank covers Advanced Assessment: Interpreting Findings and Formulating Differential Diagnoses, 5...

12 USD

0

0

Solution Manual for Marketing Management by Greg W. Marshall & Mark Johnston | Verified Answers
View Document

Solution Manual for Marketing Management by Greg W. Marshall & Mark Johnston | Verified Answers

  • LecHaven

    LecHaven

  • test bank

Comprehensive Solution Manual for Marketing Management by Greg W. Marshall and Mark Johnston. Includes complete and veri...

11 USD

0

0

[PHAR 301 – Pharmacology] Test Bank for Basic and Clinical Pharmacology, 16th Edition Katzung – All Chapters 1–66, Complete Guide 2024–2026
View Document

[PHAR 301 – Pharmacology] Test Bank for Basic and Clinical Pharmacology, 16th Edition Katzung – All Chapters 1–66, Complete Guide 2024–2026

  • Testbank-Guru

    Testbank-Guru

  • test bank

This comprehensive test bank for Basic and Clinical Pharmacology, 16th Edition by Katzung covers all 66 chapters. It inc...

12 USD

0

0

[CMA 201 – Clinical Procedures for Medical Assistants] Test Bank for Clinical Procedures for Medical Assistants, 11th Edition – Complete Guide, Chapters 1–23, 2024–2026
View Document

[CMA 201 – Clinical Procedures for Medical Assistants] Test Bank for Clinical Procedures for Medical Assistants, 11th Edition – Complete Guide, Chapters 1–23, 2024–2026

  • Testbank-Guru

    Testbank-Guru

  • test bank

This comprehensive test bank covers Clinical Procedures for Medical Assistants, 11th Edition, including all 23 chapters....

12 USD

0

0

[NR 325 – Community and Public Health Nursing]Test Bank for Community and Public Health Nursing: Evidence for Practice, 4th Edition by DeMarco and Walsh – Complete Guide
View Document

[NR 325 – Community and Public Health Nursing]Test Bank for Community and Public Health Nursing: Evidence for Practice, 4th Edition by DeMarco and Walsh – Complete Guide

  • Testbank-Guru

    Testbank-Guru

  • test bank

This comprehensive test bank accompanies Community and Public Health Nursing: Evidence for Practice, 4th Edition by DeMa...

12 USD

0

0

[NR 325 – Gerontologic Nursing] Test Bank for Gerontologic Nursing, 6th Edition by Meiner – Complete Guide 2024–2026
View Document

[NR 325 – Gerontologic Nursing] Test Bank for Gerontologic Nursing, 6th Edition by Meiner – Complete Guide 2024–2026

  • Testbank-Guru

    Testbank-Guru

  • test bank

This comprehensive test bank for Gerontologic Nursing, 6th Edition by Meiner, covers all key concepts for 2024–2025. I...

12 USD

0

0

[NR 323 – Nursing Pharmacology] Test Bank for Karch's Focus on Nursing Pharmacology, 9th Edition by Rebecca Tucker – All Chapters 1–59, Complete Guide 2024–2026
View Document

[NR 323 – Nursing Pharmacology] Test Bank for Karch's Focus on Nursing Pharmacology, 9th Edition by Rebecca Tucker – All Chapters 1–59, Complete Guide 2024–2026

  • Testbank-Guru

    Testbank-Guru

  • test bank

This comprehensive test bank for Karch's Focus on Nursing Pharmacology, 9th Edition by Rebecca Tucker, covers all 59 cha...

12 USD

0

0

Test Bank for Davis Advantage for Wilkinson’s Fundamentals of Nursing 5th Edition | Verified Questions & Answers
View Document

Test Bank for Davis Advantage for Wilkinson’s Fundamentals of Nursing 5th Edition | Verified Questions & Answers

  • LecHaven

    LecHaven

  • test bank

Comprehensive test bank for Wilkinson’s Fundamentals of Nursing, 5th Edition (Davis Advantage). Contains verified ques...

12 USD

0

0

[NR 321 – Nursing Leadership & Management] NR 321 – Nursing Leadership & Management
View Document

[NR 321 – Nursing Leadership & Management] NR 321 – Nursing Leadership & Management

  • Testbank-Guru

    Testbank-Guru

  • test bank

This comprehensive test bank covers all chapters (1–25) of Leadership Roles and Management Functions in Nursing, 11th ...

10 USD

0

0

Test Bank for Business Communication and Character 11th Edition by Amy Newman | Verified Questions & Answers
View Document

Test Bank for Business Communication and Character 11th Edition by Amy Newman | Verified Questions & Answers

  • LecHaven

    LecHaven

  • test bank

Comprehensive test bank for Business Communication and Character, 11th Edition by Amy Newman. Contains verified question...

12 USD

0

0

[NUR 210 – LPN to RN Transition] Test Bank for Lora Claywell – LPN to RN Transitions, 6th Edition, Complete Guide 2024–2026
View Document

[NUR 210 – LPN to RN Transition] Test Bank for Lora Claywell – LPN to RN Transitions, 6th Edition, Complete Guide 2024–2026

  • Testbank-Guru

    Testbank-Guru

  • test bank

This verified test bank for LPN to RN Transitions: Achieving Success in Your New Role, 6th Edition by Lora Claywell, pro...

11 USD

0

0

Test Bank for Essentials of Anatomy & Physiology (8th Edition) by Martini & Bartholomew | Verified Questions and Answers
View Document

Test Bank for Essentials of Anatomy & Physiology (8th Edition) by Martini & Bartholomew | Verified Questions and Answers

  • LecHaven

    LecHaven

  • test bank

Comprehensive test bank for Essentials of Anatomy & Physiology, 8th Edition by Martini & Bartholomew. Contains verified ...

11 USD

0

0

[MEDT 101 – Medical Terminology] Test Bank – Quick and Easy Medical Terminology, 10th Edition by Leonard, All Chapters
View Document

[MEDT 101 – Medical Terminology] Test Bank – Quick and Easy Medical Terminology, 10th Edition by Leonard, All Chapters

  • Testbank-Guru

    Testbank-Guru

  • test bank

This complete test bank for Quick and Easy Medical Terminology, 10th Edition by Leonard includes all chapters with verif...

11 USD

0

0

[RADT 221 – Radiographic Imaging and Exposure] RADT 221 – Radiographic Imaging and Exposure
View Document

[RADT 221 – Radiographic Imaging and Exposure] RADT 221 – Radiographic Imaging and Exposure

  • Testbank-Guru

    Testbank-Guru

  • test bank

This complete test bank for Radiographic Imaging and Exposure, 7th Edition by Fauber covers Chapters 1–10. It includes...

12 USD

0

0

Test Bank for Davis Advantage for Townsend’s Psychiatric Mental Health Nursing, 11th Edition by Morgan
View Document

Test Bank for Davis Advantage for Townsend’s Psychiatric Mental Health Nursing, 11th Edition by Morgan

  • LecHaven

    LecHaven

  • test bank

Comprehensive test bank for Davis Advantage for Townsend’s Psychiatric Mental Health Nursing, 11th Edition by Morgan. ...

11 USD

0

0

[MEDT 101 – Medical Terminology] Test Bank for The Language of Medicine 13th Edition by Chabner – All Chapters 1–21 Complete Guide 2024–2026
View Document

[MEDT 101 – Medical Terminology] Test Bank for The Language of Medicine 13th Edition by Chabner – All Chapters 1–21 Complete Guide 2024–2026

  • Testbank-Guru

    Testbank-Guru

  • test bank

This complete 2024–2025 test bank for The Language of Medicine, 13th Edition by Chabner, includes verified questions a...

12 USD

0

0

[NR 324 – Nursing Research] Test Bank for Understanding Nursing Research, 8th Edition by Susan Grove & Jennifer Gray – All Chapters, Latest 2026
View Document

[NR 324 – Nursing Research] Test Bank for Understanding Nursing Research, 8th Edition by Susan Grove & Jennifer Gray – All Chapters, Latest 2026

  • Testbank-Guru

    Testbank-Guru

  • test bank

This is the complete 2025 test bank for Understanding Nursing Research, 8th Edition by Susan Grove and Jennifer Gray. It...

12 USD

0

0

Test Bank for Chemistry, Seventh Edition by Julia Burdge | Verified Questions & Answers
View Document

Test Bank for Chemistry, Seventh Edition by Julia Burdge | Verified Questions & Answers

  • LecHaven

    LecHaven

  • test bank

Comprehensive test bank for Chemistry, Seventh Edition by Julia Burdge, including chapter-by-chapter questions with veri...

12 USD

0

0

Test Bank for Cellular and Molecular Immunology – 11th Edition by Abul Abbas | Verified Questions and Answers
View Document

Test Bank for Cellular and Molecular Immunology – 11th Edition by Abul Abbas | Verified Questions and Answers

  • LecHaven

    LecHaven

  • test bank

Comprehensive test bank for Cellular and Molecular Immunology (11th Edition, Abul K. Abbas). Includes verified questions...

11 USD

0

0

[NUR 215 – Pharmacology for Nursing] Test Bank for Understanding Pharmacology: Essentials for Medication Safety, 3rd Edition
View Document

[NUR 215 – Pharmacology for Nursing] Test Bank for Understanding Pharmacology: Essentials for Medication Safety, 3rd Edition

  • Testbank-Guru

    Testbank-Guru

  • test bank

This verified test bank for Understanding Pharmacology: Essentials for Medication Safety, 3rd Edition, provides comprehe...

12 USD

0

0

Test Bank for Calculation of Drug Dosages: A Work Text by Sheila J. Ogden – All Chapters Included
View Document

Test Bank for Calculation of Drug Dosages: A Work Text by Sheila J. Ogden – All Chapters Included

  • LecHaven

    LecHaven

  • test bank

Comprehensive test bank for Calculation of Drug Dosages: A Work Text by Sheila J. Ogden. Covers all chapters with verifi...

11 USD

0

0

[NUR 220 – Pharmacology for Nursing] Test Bank – Lehne’s Pharmacology for Nursing Care, 12th Edition by Jacqueline Burchum & Laura Rosenthal, All Chapters 1–112 Complete Guide 2024–2026
View Document

[NUR 220 – Pharmacology for Nursing] Test Bank – Lehne’s Pharmacology for Nursing Care, 12th Edition by Jacqueline Burchum & Laura Rosenthal, All Chapters 1–112 Complete Guide 2024–2026

  • Testbank-Guru

    Testbank-Guru

  • test bank

This complete test bank for Lehne’s Pharmacology for Nursing Care, 12th Edition by Jacqueline Burchum and Laura Rosent...

12 USD

0

0

Test Bank for Business Analytics, 3rd Edition by James R. Evans | Verified Questions & Answers
View Document

Test Bank for Business Analytics, 3rd Edition by James R. Evans | Verified Questions & Answers

  • LecHaven

    LecHaven

  • test bank

Comprehensive Test Bank for Business Analytics (3rd Edition) by James R. Evans. Includes verified multiple-choice and ap...

10 USD

0

0

Test Bank for Auditing & Assurance Services, 9th Edition by Jerry Strawser & Timothy Louwers
View Document

Test Bank for Auditing & Assurance Services, 9th Edition by Jerry Strawser & Timothy Louwers

  • LecHaven

    LecHaven

  • test bank

Comprehensive test bank for Auditing & Assurance Services (9th Edition) by Jerry Strawser and Timothy Louwers. Contains ...

11 USD

0

0

Test Bank – American Democracy Now 8th Edition by Brigid Callahan, Jean Wahl Harris, Michelle D. Deardorff
View Document

Test Bank – American Democracy Now 8th Edition by Brigid Callahan, Jean Wahl Harris, Michelle D. Deardorff

  • LecHaven

    LecHaven

  • test bank

Comprehensive test bank for American Democracy Now (8th Edition). Includes multiple-choice, true/false, short-answer, an...

11 USD

0

0

Test Bank for Genetics Essentials: Concepts and Connections (5th Edition) by Benjamin Pierce
View Document

Test Bank for Genetics Essentials: Concepts and Connections (5th Edition) by Benjamin Pierce

  • LecHaven

    LecHaven

  • test bank

Comprehensive test bank for Genetics Essentials: Concepts and Connections, 5th Edition by Benjamin A. Pierce. Contains v...

11 USD

0

0

ATLS 10th Edition Post Test Exam 1 (2026-2026) – Questions and Verified Answers, 100% Correct, Graded A+
View Document

ATLS 10th Edition Post Test Exam 1 (2026-2026) – Questions and Verified Answers, 100% Correct, Graded A+

  • mentor2000

    mentor2000

  • exam

Download the complete ATLS 10th Edition Post Test Exam 1 (2025-2026) with 100% verified correct answers. Covers trauma m...

10 USD

0

0

ATLS 10th Edition Post Exam 2026 – Complete Actual Exam with Verified Answers (Graded A+)
View Document

ATLS 10th Edition Post Exam 2026 – Complete Actual Exam with Verified Answers (Graded A+)

  • mentor2000

    mentor2000

  • exam

ATLS 10th Edition Post Exam 2025 – Complete Actual Exam with Verified Answers (Graded A+)...

10 USD

0

0

Latest NREMT Exam Prep – Real Questions & Well-Explained Answers (Graded A+) 2025/2026
View Document

Latest NREMT Exam Prep – Real Questions & Well-Explained Answers (Graded A+) 2025/2026

  • superdoctor

    superdoctor

  • exam elaborations

Latest NREMT Exam Prep – Real Questions & Well-Explained Answers (Graded A+) 2025/2026...

15 USD

0

0

AHIP Final Exam 160 Questions and Detailed Answers 2026-2026 Latest Graded A+ Covering Most Recent Tested Questions
View Document

AHIP Final Exam 160 Questions and Detailed Answers 2026-2026 Latest Graded A+ Covering Most Recent Tested Questions

  • DRDMG

    DRDMG

  • study guide

Download PDF AHIP Final Exam 160 Questions and Detailed Answers 2025-2026 Latest Graded A+ Covering Most Recent Tested Q...

20 USD

0

0

[NUR 220 – Nutrition in Nursing] Test Bank for Nutritional Foundations and Clinical Applications, 8th Edition by Grodner – Complete Guide Chapters 1–20 (2024–2026)
View Document

[NUR 220 – Nutrition in Nursing] Test Bank for Nutritional Foundations and Clinical Applications, 8th Edition by Grodner – Complete Guide Chapters 1–20 (2024–2026)

  • Testbank-Guru

    Testbank-Guru

  • test bank

This is the complete 2024–2025 test bank for Nutritional Foundations and Clinical Applications, 8th Edition by Grodner...

10 USD

0

0

[HLT 143 – Medical Terminology] Test Bank – Quick and Easy Medical Terminology, 10th Edition by Leonard, All Chapters
View Document

[HLT 143 – Medical Terminology] Test Bank – Quick and Easy Medical Terminology, 10th Edition by Leonard, All Chapters

  • Testbank-Guru

    Testbank-Guru

  • test bank

This complete test bank for Quick and Easy Medical Terminology, 10th Edition by Leonard, covers all chapters. It include...

10 USD

0

0

[RAD 210 – Radiographic Imaging and Exposure] Complete Test Bank – Radiographic Imaging and Exposure, 7th Edition Fauber, Questions & Answers with Rationales (Chapters 1–10)
View Document

[RAD 210 – Radiographic Imaging and Exposure] Complete Test Bank – Radiographic Imaging and Exposure, 7th Edition Fauber, Questions & Answers with Rationales (Chapters 1–10)

  • Testbank-Guru

    Testbank-Guru

  • test bank

This verified test bank for Radiographic Imaging and Exposure, 7th Edition by Fauber covers Chapters 1–10. It includes...

10 USD

0

0

[NURS 305 – Medical-Surgical Nursing] Test Bank for Lewis Medical-Surgical Nursing in Canada, 5th Edition – Complete Verified Questions and Answers
View Document

[NURS 305 – Medical-Surgical Nursing] Test Bank for Lewis Medical-Surgical Nursing in Canada, 5th Edition – Complete Verified Questions and Answers

  • Testbank-Guru

    Testbank-Guru

  • test bank

This comprehensive test bank for Lewis Medical-Surgical Nursing in Canada, 5th Edition includes multiple-choice, true/fa...

15 USD

0

1

NURS 129 CCBC Exam 1 2026 – Complete Questions and Verified Answers
View Document

NURS 129 CCBC Exam 1 2026 – Complete Questions and Verified Answers

  • Pasing-Grades

    Pasing-Grades

  • exam elaborations

NURS 129 CCBC Exam 1 2025 – Complete Questions and Verified Answers...

7 USD

0

0

AP Chemistry Unit 1 Progress Check, MCQ Exam Questions and Answers with Rationales 2026
View Document

AP Chemistry Unit 1 Progress Check, MCQ Exam Questions and Answers with Rationales 2026

  • Pasing-Grades

    Pasing-Grades

  • exam elaborations

AP Chemistry Unit 1 Progress Check, MCQ Exam Questions and Answers with Rationales 2025...

7 USD

0

0

Workday Pro HCM Core Certification Exam 2026 – Verified Questions & Answers for Exam Prep
View Document

Workday Pro HCM Core Certification Exam 2026 – Verified Questions & Answers for Exam Prep

  • Pasing-Grades

    Pasing-Grades

  • exam elaborations

Workday Pro HCM Core Certification Exam 2025 – Verified Questions & Answers for Exam Prep...

7 USD

0

0

2026 AQA A-level Design and Technology, Product Design (7552/2) Paper 2 – Complete Question Paper, Mark Scheme & Insert
View Document

2026 AQA A-level Design and Technology, Product Design (7552/2) Paper 2 – Complete Question Paper, Mark Scheme & Insert

  • yunis

    yunis

  • exam elaborations

Actual 2025 AQA A-level Design and Technology, Product Design 7552,2 Paper 2 Merged Question Paper + Mark Scheme + Inser...

10 USD

0

0

Actual 2026 AQA A-level Design and Technology: Product Design 7552/1 Paper 1 Merged Question Paper + Mark Scheme + Insert
View Document

Actual 2026 AQA A-level Design and Technology: Product Design 7552/1 Paper 1 Merged Question Paper + Mark Scheme + Insert

  • yunis

    yunis

  • exam elaborations

Actual 2025 AQA A-level Design and Technology, Product Design 7552,1 Paper 1 Merged Question Paper + Mark Scheme + Inser...

10 USD

0

0

Medical Surgical Nursing Final Exam Practice Questions Test Bank
View Document

Medical Surgical Nursing Final Exam Practice Questions Test Bank

  • mentor2000

    mentor2000

  • questions & answers

Find 100s of free Medical Surgical Nursing practice questions and answers in this PasingGrades free test bank....

Free

0

0

ARRT Test Bank 2026 | Complete Radiography Exam Prep | 350+ Verified Questions & Answers
View Document

ARRT Test Bank 2026 | Complete Radiography Exam Prep | 350+ Verified Questions & Answers

  • Kaponga

    Kaponga

  • test bank

Prepare for the ARRT Radiography Exam 2025 with this complete test bank. 350+ verified questions & answers for registry ...

12 USD

0

0

Test Bank for Toward Healthy Aging, 11th Edition by Theris A. Touhy and Kathleen F. Jett | All Chapters | 1-35
View Document

Test Bank for Toward Healthy Aging, 11th Edition by Theris A. Touhy and Kathleen F. Jett | All Chapters | 1-35

  • claratutor1

    claratutor1

  • test bank

Test Bank for Toward Healthy Aging, 11th Edition by Theris A. Touhy and Kathleen F. Jett | All Chapters | 1-35...

15 USD

0

1

NYSTCE Educating All Students (EAS) Practice Test – Study Guide Test Prep 2026
View Document

NYSTCE Educating All Students (EAS) Practice Test – Study Guide Test Prep 2026

  • mentor2000

    mentor2000

  • exam

Prepare for the NYSTCE Educating All Students (EAS) exam 2025 with this complete study guide and practice test. Pass wit...

7 USD

0

0

Elite Bartending – Final Exam Study Set – Complete Drink Recipes and Measurements
View Document

Elite Bartending – Final Exam Study Set – Complete Drink Recipes and Measurements

  • Kaponga

    Kaponga

  • exam elaborations

Elite Bartending – Final Exam Study Set – Complete Drink Recipes and Measurements...

6 USD

0

0

WGU D118 OA Study Guide 2026 – Complete Practice Exam Q&A & Verified Rationales
View Document

WGU D118 OA Study Guide 2026 – Complete Practice Exam Q&A & Verified Rationales

  • Pasing-Grades

    Pasing-Grades

  • exam elaborations

Prepare for the WGU D118 OA (Adult Primary Care) Final Exam with this complete 2025 study guide. Includes multiple-versi...

6 USD

0

0

PALS Post Test Exam Questions with verified correct detailed Answers latest update Graded A+
View Document

PALS Post Test Exam Questions with verified correct detailed Answers latest update Graded A+

  • Passingmaster

    Passingmaster

  • questions & answers

PALS Post Test Exam Questions with verified correct detailed Answers latest update Graded A+ A 6 month old infant is ...

11 USD

0

0

Econ 201 Final Exam Questions and Answers 2026
View Document

Econ 201 Final Exam Questions and Answers 2026

  • Angelicer

    Angelicer

  • exam elaborations

Principles of Microeconomics (ECON 201) – Final Exam with Answers – University Level – 2025 – Complete Practice ...

10 USD

0

0

Saunders Comprehensive Review for the NCLEX-RN® Examination
View Document

Saunders Comprehensive Review for the NCLEX-RN® Examination

  • claratutor1

    claratutor1

  • nclex

Prepare for NCLEX-RN® success with Saunders Comprehensive Review. Featuring 5,700+ practice questions, NGN case studies...

15 USD

0

0

Part 107 UAG Exam (FAA) – Full Question Bank and Topic Breakdown (USA, 2026)
View Document

Part 107 UAG Exam (FAA) – Full Question Bank and Topic Breakdown (USA, 2026)

  • Pasing-Grades

    Pasing-Grades

  • exam elaborations

Part 107 UAG Exam (FAA) – Full Question Bank and Topic Breakdown (USA, 2025)...

5 USD

0

0

FAA Part 107 sUAS Drone Certification | Study Guide Summary (USA, 2024) | Exam Prep Cheatsheet
View Document

FAA Part 107 sUAS Drone Certification | Study Guide Summary (USA, 2024) | Exam Prep Cheatsheet

  • Pasing-Grades

    Pasing-Grades

  • exam elaborations

FAA Part 107 sUAS Drone Certification – Study Guide Summary (USA, 2024) – Key Facts & Exam Prep Cheatsheet...

8 USD

0

0

FAA Part 107 Regulations Exam – Complete Question and Answer Guide for Remote Pilot Certification USA, 2026
View Document

FAA Part 107 Regulations Exam – Complete Question and Answer Guide for Remote Pilot Certification USA, 2026

  • Pasing-Grades

    Pasing-Grades

  • exam elaborations

FAA Part 107 Regulations Exam – Complete Question and Answer Guide for Remote Pilot Certification USA, 2025...

7 USD

0

0

FAA Part 107 Real Exam (USA,2026)
View Document

FAA Part 107 Real Exam (USA,2026)

  • Pasing-Grades

    Pasing-Grades

  • exam elaborations

FAA Part 107 Real Exam (USA,2025)...

6 USD

0

0

FAA Part 107 Drone Test Practice Questions with Answers (2026 Edition)  Comprehensive Exam Prep Material
View Document

FAA Part 107 Drone Test Practice Questions with Answers (2026 Edition) Comprehensive Exam Prep Material

  • Pasing-Grades

    Pasing-Grades

  • exam elaborations

FAA Part 107 Drone Test – Practice Questions with Answers (2025 Edition) Comprehensive Exam Prep Material...

8 USD

0

0

FAA 107 Commercial Drone Pilot Exam – Complete Study Material and Practice Scenarios – 2026
View Document

FAA 107 Commercial Drone Pilot Exam – Complete Study Material and Practice Scenarios – 2026

  • Pasing-Grades

    Pasing-Grades

  • exam elaborations

FAA 107 Commercial Drone Pilot Exam – Complete Study Material and Practice Scenarios – 2025...

7 USD

0

0

USA Weightlifting Level 2 – Practice Questions with Answers – Complete USAW Exam Preparation Guide
View Document

USA Weightlifting Level 2 – Practice Questions with Answers – Complete USAW Exam Preparation Guide

  • Angelicer

    Angelicer

  • exam elaborations

USA Weightlifting Level 2 – Practice Questions with Answers – Complete USAW Exam Preparation Guide...

6 USD

0

0

USA Weightlifting Referee Exam – Local Certification Answer Key (USAW, 2026) for Squad Preparation
View Document

USA Weightlifting Referee Exam – Local Certification Answer Key (USAW, 2026) for Squad Preparation

  • Angelicer

    Angelicer

  • exam elaborations

USA Weightlifting Referee Exam – Local Certification Answer Key (USAW, 2025) for Squad Preparation...

5 USD

0

0

Navigation Rules of the Road – Complete First Sailing Exam Answer Key (USA, Inland & International, 2026)
View Document

Navigation Rules of the Road – Complete First Sailing Exam Answer Key (USA, Inland & International, 2026)

  • Angelicer

    Angelicer

  • exam elaborations

Navigation Rules of the Road – Complete First Sailing Exam Answer Key (USA, Inland & International, 2025)...

5 USD

0

0

Lacrosse Rules Knowledge Exam – Comprehensive Answer Key for Officials and Coaches (USA, 2026)
View Document

Lacrosse Rules Knowledge Exam – Comprehensive Answer Key for Officials and Coaches (USA, 2026)

  • Angelicer

    Angelicer

  • exam elaborations

Lacrosse Rules Knowledge Exam – Comprehensive Answer Key for Officials and Coaches (USA, 2025)...

5 USD

0

0

ASVAB Real Exam 2026 – Complete Official Question and Answer Set (U.S. Armed Forces Entrance Test)
View Document

ASVAB Real Exam 2026 – Complete Official Question and Answer Set (U.S. Armed Forces Entrance Test)

  • mentor2000

    mentor2000

  • exam

Get access to the real ASVAB 2025 exam questions and answers. Includes official content from all test sections: General ...

7 USD

0

0

Lindsey Jones TMC Exam A – Full Practice Questions and Answers for Respiratory Therapy (NBRC TMC Prep, 2026)
View Document

Lindsey Jones TMC Exam A – Full Practice Questions and Answers for Respiratory Therapy (NBRC TMC Prep, 2026)

  • mentor2000

    mentor2000

  • questions & answers

Lindsey Jones TMC Exam A – Full Practice Questions and Answers for Respiratory Therapy (NBRC TMC Prep, 2025)...

7 USD

0

0

Pennsylvania Life Insurance – PSI Practice Exam Questions and Answers (2026)
View Document

Pennsylvania Life Insurance – PSI Practice Exam Questions and Answers (2026)

  • mentor2000

    mentor2000

  • questions & answers

Pennsylvania Life Insurance – PSI Practice Exam Questions and Answers (2025)...

7 USD

0

0

PA Life Insurance License Exam 2026 – Complete Multiple Choice Question Set with Answers
View Document

PA Life Insurance License Exam 2026 – Complete Multiple Choice Question Set with Answers

  • mentor2000

    mentor2000

  • questions & answers

PA Life Insurance License Exam 2025 – Complete Multiple Choice Question Set with Answers...

5 USD

0

0

Operative Dentistry – Actual Exam Questions and Answers | Complete MCQ Study Guide
View Document

Operative Dentistry – Actual Exam Questions and Answers | Complete MCQ Study Guide

  • claratutor1

    claratutor1

  • questions & answers

50 operative dentistry exam questions and answers on bonding, cavity prep, restorations, and clinical techniques for tho...

5 USD

0

0

Louisiana State Board of Dentistry – Exam Review 2026 | Complete Multiple-Choice Q&A Preparation
View Document

Louisiana State Board of Dentistry – Exam Review 2026 | Complete Multiple-Choice Q&A Preparation

  • claratutor1

    claratutor1

  • questions & answers

Comprehensive 2025 Louisiana State Board of Dentistry exam review with 131 Q&A on laws, supervision, CEU, anesthesia, li...

5 USD

0

0

Louisiana State Board of Dentistry – Jurisprudence Exam Review 2026 | Complete Q&A Prep Guide
View Document

Louisiana State Board of Dentistry – Jurisprudence Exam Review 2026 | Complete Q&A Prep Guide

  • claratutor1

    claratutor1

  • questions & answers

Complete 2025 Louisiana Jurisprudence Exam prep with 74 Q&A covering dental hygiene laws, licensing, supervision rules, ...

5 USD

0

0

Louisiana Dental Practice Act Exam with Answers 2026 – Full Q&A for State Board and Jurisprudence
View Document

Louisiana Dental Practice Act Exam with Answers 2026 – Full Q&A for State Board and Jurisprudence

  • claratutor1

    claratutor1

  • questions & answers

2025 Louisiana Dental Practice Act Exam prep guide with answers. Covers licensure types, CE rules, RDH and EDDA duties, ...

6 USD

0

0

Louisiana Dental Practice Act Exam PD1 – Detailed Q&A for Licensure and Legal Knowledge (LSU, 2026)
View Document

Louisiana Dental Practice Act Exam PD1 – Detailed Q&A for Licensure and Legal Knowledge (LSU, 2026)

  • claratutor1

    claratutor1

  • questions & answers

Full Q&A guide for the Louisiana Dental Practice Act Exam including licensure types, CE requirements, and supervision ru...

5 USD

0

0

Florida Dental Law and Rules Exam – 2026-2026 Questions with Verified Answers | Complete Study Guide for Licensure
View Document

Florida Dental Law and Rules Exam – 2026-2026 Questions with Verified Answers | Complete Study Guide for Licensure

  • claratutor1

    claratutor1

  • questions & answers

Complete 2025-2026 Florida Dental Law and Rules Exam study guide with over 200 verified Q&As. Includes licensure, CE, sc...

5 USD

0

0

COMPS Dysphagia 2026 – Questions and Answers | Complete Exam Preparation for SLPs
View Document

COMPS Dysphagia 2026 – Questions and Answers | Complete Exam Preparation for SLPs

  • claratutor1

    claratutor1

  • questions & answers

All-in-one 2025 COMPS Dysphagia Q&A guide for SLP students. Covers assessments, compensatory strategies, swallowing phas...

6 USD

0

0

CDCA OSCE – Complete Exam Questions and Answers with Clinical Images | 2026 Dental Board Preparation
View Document

CDCA OSCE – Complete Exam Questions and Answers with Clinical Images | 2026 Dental Board Preparation

  • claratutor1

    claratutor1

  • questions & answers

Extensive 2025 CDCA OSCE exam prep guide with questions, answers, and annotated clinical images. Covers diagnosis, treat...

6 USD

0

0

Nursing 246 HESI Practice Questions – Comprehensive Exam Review for Clinical Scenarios and Nursing Interventions
View Document

Nursing 246 HESI Practice Questions – Comprehensive Exam Review for Clinical Scenarios and Nursing Interventions

  • mentor2000

    mentor2000

  • exam elaborations

Nursing 246 HESI Practice Questions – Comprehensive Exam Review for Clinical Scenarios and Nursing Interventions...

6 USD

0

0

Health Assessment HESI Preparation – Key Strategies and Clinical Exam Techniques
View Document

Health Assessment HESI Preparation – Key Strategies and Clinical Exam Techniques

  • mentor2000

    mentor2000

  • exam elaborations

Health Assessment HESI Preparation – Key Strategies and Clinical Exam Techniques...

7 USD

0

0

FNP Test Bank – Comprehensive Exam Preparation for Family Nurse Practitioner Students
View Document

FNP Test Bank – Comprehensive Exam Preparation for Family Nurse Practitioner Students

  • mentor2000

    mentor2000

  • exam elaborations

FNP Test Bank – Comprehensive Exam Preparation for Family Nurse Practitioner Students...

10 USD

0

0

CWB Level II Exam Preparation – Welding Process & Safety Standards – Full Question Set and Answers
View Document

CWB Level II Exam Preparation – Welding Process & Safety Standards – Full Question Set and Answers

  • mentor2000

    mentor2000

  • exam elaborations

CWB Level II Exam Preparation – Welding Process & Safety Standards – Full Question Set and Answers...

5 USD

0

0

CWB 2 All Module Exams – Welding Certification – Complete Exam Questions and Answers
View Document

CWB 2 All Module Exams – Welding Certification – Complete Exam Questions and Answers

  • mentor2000

    mentor2000

  • exam elaborations

CWB 2 All Module Exams – Welding Certification – Complete Exam Questions and Answers...

5 USD

0

0

BSN 246 HESI Health Assessment  Version 1– Key Concepts and Clinical Practice Questions
View Document

BSN 246 HESI Health Assessment Version 1– Key Concepts and Clinical Practice Questions

  • mentor2000

    mentor2000

  • exam elaborations

BSN 246 HESI Health Assessment Version 1– Key Concepts and Clinical Practice Questions...

6 USD

0

0

BSN 246 HESI Health Assessment – 128 Questions and Answers – Nursing Program – Comprehensive Study Guide
View Document

BSN 246 HESI Health Assessment – 128 Questions and Answers – Nursing Program – Comprehensive Study Guide

  • mentor2000

    mentor2000

  • exam elaborations

BSN 246 HESI Health Assessment – 128 Questions and Answers – Nursing Program – Comprehensive Study Guide...

7 USD

0

0

N212 GERO ATI 2.0 Gerontology Final Quiz | Practice Questions with Answers and Rationales
View Document

N212 GERO ATI 2.0 Gerontology Final Quiz | Practice Questions with Answers and Rationales

  • mentor2000

    mentor2000

  • ati

Instant pdf download for N212 GERO ATI 2.0 Gerontology Final Quiz with solutions...

7 USD

0

0

Test Bank for Fraud Examination 6th Edition Albrecht
View Document

Test Bank for Fraud Examination 6th Edition Albrecht

  • tutor_gesco

    tutor_gesco

  • test bank

Test Bank for Fraud Examination 6th Edition Albrecht...

15 USD

0

0

Test Bank for Core Concepts in Health, 4th Canadian Edition, Jennifer Irwin, Shauna Burke, Claire Insel, Walton T. Roth, Paul M. Insel
View Document

Test Bank for Core Concepts in Health, 4th Canadian Edition, Jennifer Irwin, Shauna Burke, Claire Insel, Walton T. Roth, Paul M. Insel

  • mentor2000

    mentor2000

  • test bank

Boost your exam preparation with the comprehensive Test Bank for "Core Concepts in Health, 4th Canadian Edition." Packed...

15 USD

0

0

WGU D335 Intro to Python, OA, Objective Assessment Real Exam Questions and Answers
View Document

WGU D335 Intro to Python, OA, Objective Assessment Real Exam Questions and Answers

  • Kaponga

    Kaponga

  • questions & answers

WGU D335 Intro to Python, OA, Objective Assessment Real Exam Questions and Answers...

7 USD

0

0

Wall Street Prep Accounting Exam 4 (2026 Version) – Complete Questions & Verified Answers
View Document

Wall Street Prep Accounting Exam 4 (2026 Version) – Complete Questions & Verified Answers

  • Kaponga

    Kaponga

  • questions & answers

Wall Street Prep Accounting Exam 4 (2025 Version) – Complete Questions & Verified Answers...

8 USD

0

0

Taser Training Exam Test Bank (TASER 1-26)
View Document

Taser Training Exam Test Bank (TASER 1-26)

  • Kaponga

    Kaponga

  • questions & answers

Taser Training Exam Test Bank (TASER 1-26)...

8 USD

0

0

Taser Training Exam Comprehensive Exam Pack (Axon Enterprise)
View Document

Taser Training Exam Comprehensive Exam Pack (Axon Enterprise)

  • Kaponga

    Kaponga

  • questions & answers

Taser Training Exam Comprehensive Exam Pack (Axon Enterprise)...

8 USD

0

0

TASER 7 Training provided Actual Exam by Axon Enterprise
View Document

TASER 7 Training provided Actual Exam by Axon Enterprise

  • Kaponga

    Kaponga

  • questions & answers

TASER 7 Training provided Actual Exam by Axon Enterprise...

5 USD

0

0

Georgia Real Estate Exam Prep 2026 – Full Practice Questions, Q&A & Study Guide
View Document

Georgia Real Estate Exam Prep 2026 – Full Practice Questions, Q&A & Study Guide

  • Kaponga

    Kaponga

  • questions & answers

Georgia Real Estate Exam Prep 2025 – Full Practice Questions, Q&A & Study Guide...

7 USD

0

0

FINANCIAL ACCT EXAM 2 Questions with 100% Correct Answers 2026
View Document

FINANCIAL ACCT EXAM 2 Questions with 100% Correct Answers 2026

  • Kaponga

    Kaponga

  • questions & answers

FINANCIAL ACCT EXAM 2 Questions with 100% Correct Answers 2025...

8 USD

0

0

Financial Accounting Exam 4 Questions with 100% Correct Answers
View Document

Financial Accounting Exam 4 Questions with 100% Correct Answers

  • Kaponga

    Kaponga

  • questions & answers

Financial Accounting Exam 4 Questions with 100% Correct Answers...

9 USD

0

0

FIN 421 Final Exam Questions with 100% Correct Answers 2026
View Document

FIN 421 Final Exam Questions with 100% Correct Answers 2026

  • Kaponga

    Kaponga

  • questions & answers

FIN 421 Final Exam Questions with 100% Correct Answers 2025...

8 USD

0

0

Columbus State ACCT 1211 Exam 4 (2026 Edition) – Full Q&A Crash Prep
View Document

Columbus State ACCT 1211 Exam 4 (2026 Edition) – Full Q&A Crash Prep

  • Kaponga

    Kaponga

  • questions & answers

Columbus State ACCT 1211 Exam 4 (2025 Edition) – Full Q&A Crash Prep...

7 USD

0

0

2026 Georgia 75‑Hour Real Estate Exam Prep – Complete Questions & Verified Answers
View Document

2026 Georgia 75‑Hour Real Estate Exam Prep – Complete Questions & Verified Answers

  • Kaponga

    Kaponga

  • questions & answers

2025 Georgia 75‑Hour Real Estate Exam Prep – Complete Questions & Verified Answers...

5 USD

0

0

2026 CRM J 420 Midterm Exam – Complete Questions & Answers
View Document

2026 CRM J 420 Midterm Exam – Complete Questions & Answers

  • Kaponga

    Kaponga

  • questions & answers

2025 CRM J 420 Midterm Exam – Complete Questions & Answers...

7 USD

0

0

2026 Accounting Crash Course Retake Exam v4 – Comprehensive Questions & Answers
View Document

2026 Accounting Crash Course Retake Exam v4 – Comprehensive Questions & Answers

  • Kaponga

    Kaponga

  • questions & answers

2025 Accounting Crash Course Retake Exam v4 – Comprehensive Questions & Answers...

8 USD

0

0

NAMS MENOPAUSE EXAM 2026 ACCURATE REAL EXAM  QUESTIONS WITH VERIFIED ANSWERS AND RATIONALES  CURRENTLY TESTING AND FREQUENTLY TESTED  QUESTIONS AND ANSWERS  EXPERT VERIFIED FOR  GUARANTEED PASS  LATEST UPDATE  STUDY GUIDE  INCLUSIVE
View Document

NAMS MENOPAUSE EXAM 2026 ACCURATE REAL EXAM QUESTIONS WITH VERIFIED ANSWERS AND RATIONALES CURRENTLY TESTING AND FREQUENTLY TESTED QUESTIONS AND ANSWERS EXPERT VERIFIED FOR GUARANTEED PASS LATEST UPDATE STUDY GUIDE INCLUSIVE

  • Hp24

    Hp24

  • exam elaborations

Nams menopause exam 2025/2026 accurate real exam questions with verified answers and rationales currently testing and fr...

14 USD

0

0

Test Bank for Voet, Fundamentals of Biochemistry, 6th Edition by Destin Heilman, Stephen Woski
View Document

Test Bank for Voet, Fundamentals of Biochemistry, 6th Edition by Destin Heilman, Stephen Woski

  • Pasing-Grades

    Pasing-Grades

  • test bank

Comprehensive test bank for Voet's Fundamentals of Biochemistry, 6th Edition by Heilman & Woski. Includes chapter-based ...

15 USD

0

0

Developing Leaders, Leading Marines Exam Questions and Answers 2026
View Document

Developing Leaders, Leading Marines Exam Questions and Answers 2026

  • Pasing-Grades

    Pasing-Grades

  • questions & answers

Developing Leaders, Leading Marines Exam Questions and Answers 2025...

5 USD

0

0

SAT Prep Vocabulary List - Vocabulary Practice, 2026
View Document

SAT Prep Vocabulary List - Vocabulary Practice, 2026

  • claratutor1

    claratutor1

  • study guide

Prepare for the SAT with this comprehensive vocabulary list. Featuring 100 essential words, definitions, and related ter...

3 USD

0

0

TSBPE Inspector Plumbing Exam 2026 – Texas State Board of Plumbing Examiners
View Document

TSBPE Inspector Plumbing Exam 2026 – Texas State Board of Plumbing Examiners

  • wangeci

    wangeci

  • questions & answers

TSBPE Inspector Plumbing Exam 2025 – Texas State Board of Plumbing Examiners...

6 USD

0

0

Texas State Plumbing Inspectors Exam Questions with Answers 2026
View Document

Texas State Plumbing Inspectors Exam Questions with Answers 2026

  • wangeci

    wangeci

  • questions & answers

Texas State Plumbing Inspectors Exam Questions with Answers 2025...

5 USD

0

0

Texas State Plumbing Inspector Test, Master Exam 2026
View Document

Texas State Plumbing Inspector Test, Master Exam 2026

  • wangeci

    wangeci

  • questions & answers

Texas State Plumbing Inspector Test, Master Exam 2025...

6 USD

0

0

BIOS 1108 Final Exam  Questions and Answers 2026
View Document

BIOS 1108 Final Exam Questions and Answers 2026

  • wangeci

    wangeci

  • questions & answers

BIOS 1108 Final Exam Questions and Answers 2025...

6 USD

0

0

Supervision of Air Compressors A-35, 2026 Exam Questions and Answers
View Document

Supervision of Air Compressors A-35, 2026 Exam Questions and Answers

  • Angelicer

    Angelicer

  • questions & answers

Supervision of Air Compressors A-35, 2025 Exam Questions and Answers (Citywide)...

6 USD

0

0

ILTS Literacy Content Exam Practice Questions
View Document

ILTS Literacy Content Exam Practice Questions

  • Angelicer

    Angelicer

  • questions & answers

ILTS Literacy Content Exam Practice Questions...

6 USD

0

0

ILTS content exam 305 literacy Questions and Answers 2026
View Document

ILTS content exam 305 literacy Questions and Answers 2026

  • Angelicer

    Angelicer

  • questions & answers

ILTS content exam 305 literacy Questions and Answers 2025...

5 USD

0

0

FDNY A-35, Exam Questions and Answers 2026
View Document

FDNY A-35, Exam Questions and Answers 2026

  • Angelicer

    Angelicer

  • questions & answers

FDNY A-35, Exam Questions and Answers 2025...

6 USD

0

0

FDNY A-35 Final Exam
View Document

FDNY A-35 Final Exam

  • Angelicer

    Angelicer

  • questions & answers

FDNY A-35 Final Exam...

6 USD

0

0

FDNY A-35 Exam, Fire Department of New York, Comprehensive Study Guide and Exam Questions
View Document

FDNY A-35 Exam, Fire Department of New York, Comprehensive Study Guide and Exam Questions

  • Angelicer

    Angelicer

  • questions & answers

FDNY A-35 Exam, Fire Department of New York, Comprehensive Study Guide and Exam Questions...

5 USD

0

0

A-35 Certificate of Fitness, 2026 Exam Questions and Answers
View Document

A-35 Certificate of Fitness, 2026 Exam Questions and Answers

  • Angelicer

    Angelicer

  • questions & answers

A-35 Certificate of Fitness, 2025 Exam Questions and Answers...

5 USD

0

0

A-35 Air Compressor, Exam Questions and Answers 2026
View Document

A-35 Air Compressor, Exam Questions and Answers 2026

  • Angelicer

    Angelicer

  • questions & answers

A-35 Air Compressor, Exam Questions and Answers 2025...

5 USD

0

0

747 Study Cards - Boeing 747-400 Exam Questions and Answers
View Document

747 Study Cards - Boeing 747-400 Exam Questions and Answers

  • Angelicer

    Angelicer

  • questions & answers

747 Study Cards - Boeing 747-400 Exam Questions and Answers...

5 USD

0

0

PHAR 542 Bone & Joint Infections Pharmacotherapy and Clinical Management, 2026 Exam
View Document

PHAR 542 Bone & Joint Infections Pharmacotherapy and Clinical Management, 2026 Exam

  • mentor2000

    mentor2000

  • exam

PHAR 542 Bone & Joint Infections — Pharmacotherapy and Clinical Management, 2025 Exam...

6 USD

0

0

Language & Literacy (305 Content Exam) 2026 Final Exam
View Document

Language & Literacy (305 Content Exam) 2026 Final Exam

  • mentor2000

    mentor2000

  • exam

Language & Literacy (305 Content Exam) Language Development, Literacy Components, and Assessment Strategies, 2025 Exam S...

5 USD

0

0

ILTS Reading Specialist Exam Literacy Development, Assessment, and Instructional Strategies, 2026 Exam
View Document

ILTS Reading Specialist Exam Literacy Development, Assessment, and Instructional Strategies, 2026 Exam

  • mentor2000

    mentor2000

  • exam

ILTS Reading Specialist Exam Literacy Development, Assessment, and Instructional Strategies, 2025 Exam...

5 USD

0

0

ILTS ELA Content Exam 207 English Language Arts Content and Pedagogy, 2026 Final Exam Questions and Answers
View Document

ILTS ELA Content Exam 207 English Language Arts Content and Pedagogy, 2026 Final Exam Questions and Answers

  • mentor2000

    mentor2000

  • exam

ILTS ELA Content Exam 207 — English Language Arts Content and Pedagogy, 2025 Final Exam Questions and Answers...

5 USD

0

0

ILTS Content Exam 305 Literacy – Illinois Licensure Testing System
View Document

ILTS Content Exam 305 Literacy – Illinois Licensure Testing System

  • mentor2000

    mentor2000

  • exam

ILTS Content Test Objective Practice Questions Comprehensive Review for Illinois Licensure Testing System, 2025 Multiple...

5 USD

0

0

ILTS 222 Exam Literacy Instruction and Assessment, 2026 Final Exam Solutions
View Document

ILTS 222 Exam Literacy Instruction and Assessment, 2026 Final Exam Solutions

  • mentor2000

    mentor2000

  • exam

ILTS 222 Exam — Literacy Instruction and Assessment, 2024 — Exam Preparation and Key Concept Review...

5 USD

0

0

ILTS 201 Literacy  Comprehensive Set, 2026 Exam Questions and Answers
View Document

ILTS 201 Literacy Comprehensive Set, 2026 Exam Questions and Answers

  • mentor2000

    mentor2000

  • exam

ILTS 201 Literacy Comprehensive Set, 2024 In-Depth Literacy Concepts and Instructional Strategies...

5 USD

0

0

COMSAE 108b Medical Exam Preparation, 2026
View Document

COMSAE 108b Medical Exam Preparation, 2026

  • mentor2000

    mentor2000

  • exam

COMSAE 108b Medical Exam Preparation, 2025 Key Facts and Clinical Pearls Summary...

5 USD

0

0

MSK  UWorld Exam Musculoskeletal Medicine Questions and Answers, 2026
View Document

MSK UWorld Exam Musculoskeletal Medicine Questions and Answers, 2026

  • Pasing-Grades

    Pasing-Grades

  • exam elaborations

MSK UWorld Exam Musculoskeletal Medicine Questions and Answers, 2025, Medical School, 2025. Comprehensive Q&A study guid...

5 USD

0

0

LRA 217 Week 2 – Clinical Indications, 2026 – Radiographic and Clinical Features Study Guide
View Document

LRA 217 Week 2 – Clinical Indications, 2026 – Radiographic and Clinical Features Study Guide

  • Pasing-Grades

    Pasing-Grades

  • exam elaborations

LRA 217 Week 2 – Clinical Indications, 2025 – Radiographic and Clinical Features Study Guide, Radiology Course, 2025...

5 USD

0

0

COMS 108 Final Exam Questions and Answers 2026
View Document

COMS 108 Final Exam Questions and Answers 2026

  • Pasing-Grades

    Pasing-Grades

  • exam elaborations

COMS 108 Final Exam Questions and Answers 2025, Communication Studies, 2025. Concise question and answer guide for final...

5 USD

0

0

COMLEX Level 2 Complete Exam 2026 – Comprehensive Medical Study Guide for Osteopathic Licensing Exam
View Document

COMLEX Level 2 Complete Exam 2026 – Comprehensive Medical Study Guide for Osteopathic Licensing Exam

  • Pasing-Grades

    Pasing-Grades

  • exam elaborations

Title: COMLEX Level 2 Complete Exam 2025 – Comprehensive Medical Study Guide for Osteopathic Licensing Exam, 2025. Ext...

7 USD

0

0

WGU D078 Exam Business Environment Applications,  Business Structures and Legal Environment
View Document

WGU D078 Exam Business Environment Applications, Business Structures and Legal Environment

  • mentor2000

    mentor2000

  • exam elaborations

WGU D078 Exam Business Environment Applications, Business Structures and Legal Environment...

5 USD

0

0

NIMS IS-700.b Final Exam Questions and Answers
View Document

NIMS IS-700.b Final Exam Questions and Answers

  • mentor2000

    mentor2000

  • exam elaborations

NIMS IS-700.b Final Exam Questions and Answers...

5 USD

0

0

Mock CG(ASCP) Certification exam 1 Complete
View Document

Mock CG(ASCP) Certification exam 1 Complete

  • mentor2000

    mentor2000

  • exam elaborations

Mock CG(ASCP) Certification exam 1 Complete...

5 USD

0

0

IS 700b Final Exam Questions and Answers
View Document

IS 700b Final Exam Questions and Answers

  • mentor2000

    mentor2000

  • exam elaborations

IS 700b Final Exam Questions and Answers...

5 USD

0

0

ICS 800D FEMA Exam Questions and Answers 2026
View Document

ICS 800D FEMA Exam Questions and Answers 2026

  • mentor2000

    mentor2000

  • exam elaborations

ICS 800D FEMA Exam Questions and Answers 2025...

5 USD

0

0

ASCP Molecular Biology Certification Final Exam
View Document

ASCP Molecular Biology Certification Final Exam

  • mentor2000

    mentor2000

  • exam elaborations

ASCP Molecular Biology Certification Final Exam...

5 USD

0

0

ASCP CG Exam (Molecular CG Testing) 2026
View Document

ASCP CG Exam (Molecular CG Testing) 2026

  • mentor2000

    mentor2000

  • exam elaborations

ASCP CG Exam (Molecular CG Testing) 2025...

5 USD

0

0

ASCP CG Exam (Classic Cytogenetics) Solutions
View Document

ASCP CG Exam (Classic Cytogenetics) Solutions

  • mentor2000

    mentor2000

  • exam elaborations

ASCP CG Exam (Classic Cytogenetics) Solutions...

5 USD

0

0

ASCP CG Certification Exam Questions and Answers 2026
View Document

ASCP CG Certification Exam Questions and Answers 2026

  • mentor2000

    mentor2000

  • exam elaborations

ASCP CG Certification Exam Questions and Answers 2025...

5 USD

0

0

MANA 3318 Exam 3  Power, Leadership, and Culture
View Document

MANA 3318 Exam 3 Power, Leadership, and Culture

  • mentor2000

    mentor2000

  • exam elaborations

MANA 3318 Exam 3 Power, Leadership, and Culture...

5 USD

0

0

IS-700.B Exam Questions with Answers, An Introduction to the National Incident Management System
View Document

IS-700.B Exam Questions with Answers, An Introduction to the National Incident Management System

  • mentor2000

    mentor2000

  • exam elaborations

IS-700.B Exam Questions with Answers, An Introduction to the National Incident Management System...

5 USD

0

0

Alpha Phi Alpha Risk Management Exam
View Document

Alpha Phi Alpha Risk Management Exam

  • mentor2000

    mentor2000

  • exam elaborations

Alpha Phi Alpha Risk Management Exam...

4 USD

0

0

Alpha Phi Alpha Fraternity Inc, IMDP Process - Week 2. Exam
View Document

Alpha Phi Alpha Fraternity Inc, IMDP Process - Week 2. Exam

  • mentor2000

    mentor2000

  • exam elaborations

Alpha Phi Alpha Fraternity Inc, IMDP Process - Week 2. Exam...

5 USD

0

0

Alpha Phi Alpha Fraternity IMDP Week 1 Exam
View Document

Alpha Phi Alpha Fraternity IMDP Week 1 Exam

  • mentor2000

    mentor2000

  • exam elaborations

Alpha Phi Alpha Fraternity IMDP Week 1 Exam...

5 USD

0

0

NOCTI - CTE ENGINEERING AND ARCHITECTURE FINAL EXAM 2026(Questions and Answers)
View Document

NOCTI - CTE ENGINEERING AND ARCHITECTURE FINAL EXAM 2026(Questions and Answers)

  • studypal

    studypal

  • questions & answers

NOCTI - CTE ENGINEERING AND ARCHITECTURE FINAL EXAM 2025(Questions and Answers)...

14 USD

0

0

NOCTI Computer Programming Final Exam Questions with Answers 2026 - 100% Correct Answers
View Document

NOCTI Computer Programming Final Exam Questions with Answers 2026 - 100% Correct Answers

  • studypal

    studypal

  • questions & answers

NOCTI Computer Programming Final Exam Questions with Answers 2025 - 100% Correct Answers...

14 USD

0

0

USOC Module 5 Exam Questions and Answers 2026
View Document

USOC Module 5 Exam Questions and Answers 2026

  • Kaponga

    Kaponga

  • exam elaborations

USOC Module 5 Exam Questions and Answers 2025...

5 USD

0

0

USOC Module 4 - Occupational Health Exam with Answers
View Document

USOC Module 4 - Occupational Health Exam with Answers

  • Kaponga

    Kaponga

  • exam elaborations

USOC Module 4 - Occupational Health Exam with Answers...

5 USD

0

0

USOC Module 4 - Exam Questions and Answers 2026 (Unit Safety Officer Course)
View Document

USOC Module 4 - Exam Questions and Answers 2026 (Unit Safety Officer Course)

  • Kaponga

    Kaponga

  • exam elaborations

USOC Module 4 - Exam Questions and Answers 2025 (Unit Safety Officer Course)...

5 USD

0

0

USOC Module 3 PE Exam Questions and Answers 2026
View Document

USOC Module 3 PE Exam Questions and Answers 2026

  • Kaponga

    Kaponga

  • exam elaborations

USOC Module 3 PE Exam Questions and Answers 2025...

5 USD

0

0

USOC Module 2 Exam Questions and Answers 2026 (Program Management Test)
View Document

USOC Module 2 Exam Questions and Answers 2026 (Program Management Test)

  • Kaponga

    Kaponga

  • exam elaborations

USOC Module 2 Exam Questions and Answers 2025 (Program Management Test)...

5 USD

0

0

Regina Walker End of Life Shadow Health Transcript
View Document

Regina Walker End of Life Shadow Health Transcript

  • wangeci

    wangeci

  • shadow health

Regina Walker End of Life Shadow Health Transcript...

6 USD

0

0

NURS 6013 Tanner Bailey Focused Exam, Pain Management Results, Turned In Advanced Clinical Pharmacology Fall
View Document

NURS 6013 Tanner Bailey Focused Exam, Pain Management Results, Turned In Advanced Clinical Pharmacology Fall

  • wangeci

    wangeci

  • shadow health

NURS 6013 Tanner Bailey Focused Exam, Pain Management Results, Turned In Advanced Clinical Pharmacology Fall...

7 USD

0

0

NFPA 99 EXAM TEST QUESTIONS AND ANSWERS 2026 WITH 100% CORRECT ANSWERS
View Document

NFPA 99 EXAM TEST QUESTIONS AND ANSWERS 2026 WITH 100% CORRECT ANSWERS

  • studypal

    studypal

  • questions & answers

NFPA 99 EXAM TEST QUESTIONS AND ANSWERS 2026 WITH 100% CORRECT ANSWERS...

11 USD

0

0

National Fire Protection Association's (NFPA) 472 HazMat Awareness Examination I-2 (New Update) 100% Correct Answers
View Document

National Fire Protection Association's (NFPA) 472 HazMat Awareness Examination I-2 (New Update) 100% Correct Answers

  • studypal

    studypal

  • questions & answers

National Fire Protection Association's (NFPA) 472 HazMat Awareness Examination I-2 (New Update) 100% Correct Answers...

14 USD

0

0

Pre-Service Firefighter NFPA . Ropes/Ladders Final Exam (90 - Questions and Answers)
View Document

Pre-Service Firefighter NFPA . Ropes/Ladders Final Exam (90 - Questions and Answers)

  • studypal

    studypal

  • questions & answers

Pre-Service Firefighter NFPA . Ropes/Ladders Final Exam (90 - Questions and Answers)...

12 USD

0

0

Pre-Service Firefighter NFPA Review Exam (Answers provided)
View Document

Pre-Service Firefighter NFPA Review Exam (Answers provided)

  • studypal

    studypal

  • questions & answers

Pre-Service Firefighter NFPA Review Exam (Answers provided)...

15 USD

0

0

NFPA 10 | The National Fire Protection Association EXAM 110 TEST QUESTIONS AND ANSWERS 2024
View Document

NFPA 10 | The National Fire Protection Association EXAM 110 TEST QUESTIONS AND ANSWERS 2024

  • studypal

    studypal

  • questions & answers

NFPA 10 | The National Fire Protection Association EXAM 110 TEST QUESTIONS AND ANSWERS 2024...

11 USD

0

0

NFPA 1035 Exam Prep Actual Questions and Answers 2025/2026
View Document

NFPA 1035 Exam Prep Actual Questions and Answers 2025/2026

  • studypal

    studypal

  • questions & answers

NFPA 1035 | The National Fire Protection Association Exam Prep Actual Questions and Answers 2024/2025...

15 USD

0

0

NFPA | The National Fire Protection Association Exam with Answers.
View Document

NFPA | The National Fire Protection Association Exam with Answers.

  • studypal

    studypal

  • questions & answers

NFPA | The National Fire Protection Association Exam with Answers....

8 USD

0

0

NFPA 72/National Fire Alarm and Signaling Code Exam 2026 Questions and Answers - complete solution.
View Document

NFPA 72/National Fire Alarm and Signaling Code Exam 2026 Questions and Answers - complete solution.

  • studypal

    studypal

  • questions & answers

NFPA 72/National Fire Alarm and Signaling Code Exam 2025 Questions and Answers - complete solution....

10 USD

0

0

Respiratory Pharmacology Exam Real Questions and Answers 2026
View Document

Respiratory Pharmacology Exam Real Questions and Answers 2026

  • mentor2000

    mentor2000

  • exam

Respiratory Pharmacology Exam Real Questions and Answers 2025...

5 USD

0

0

Pharmacology Test 3 Exam Questions and Answers
View Document

Pharmacology Test 3 Exam Questions and Answers

  • mentor2000

    mentor2000

  • exam

Pharmacology Test 3 Exam Questions and Answers...

6 USD

0

0

Pharmacology Nursing Exam Pack 800+ Q & As, The Only Exam Bank You Need to Pass PHARM in 2026
View Document

Pharmacology Nursing Exam Pack 800+ Q & As, The Only Exam Bank You Need to Pass PHARM in 2026

  • mentor2000

    mentor2000

  • exam

Pharmacology Nursing Exam Pack 800+ Q & As, The Only Exam Bank You Need to Pass PHARM in 2025...

7 USD

0

0

Paramedic Pharmacology Exam Review 2026
View Document

Paramedic Pharmacology Exam Review 2026

  • mentor2000

    mentor2000

  • exam

Paramedic Pharmacology Exam Review 2025...

6 USD

0

0

Hesi Pharmacology Exam 2026 Questions and Answers
View Document

Hesi Pharmacology Exam 2026 Questions and Answers

  • mentor2000

    mentor2000

  • exam

Hesi Pharmacology Exam 2025 Questions and Answers...

5 USD

0

0

2026 UTA Advanced Pharmacology Exam 3
View Document

2026 UTA Advanced Pharmacology Exam 3

  • mentor2000

    mentor2000

  • exam

2025 UTA Advanced Pharmacology Exam 3...

5 USD

0

0

2026 Pharm Test 2 (Ch 18, 19, 22, 23, 24 26 ), Pharmacology UTA Exam 2
View Document

2026 Pharm Test 2 (Ch 18, 19, 22, 23, 24 26 ), Pharmacology UTA Exam 2

  • mentor2000

    mentor2000

  • exam

2025 Pharm Test 2 (Ch 18, 19, 22, 23, 24 26 ), Pharmacology UTA Exam 2...

6 USD

0

0

NURS 5334 Pharmacology Final Exam 2026 – Latest Real Exam Questions with Guaranteed A+ Answers
View Document

NURS 5334 Pharmacology Final Exam 2026 – Latest Real Exam Questions with Guaranteed A+ Answers

  • mentor2000

    mentor2000

  • exam

NURS 5334 Pharmacology Final Exam 2025 – Latest Real Exam Questions with Guaranteed A+ Answers...

5 USD

0

0

NURS 5334 Pharmacology Final Exam 2026 – Latest Real Exam Questions with Guaranteed A+ Answers
View Document

NURS 5334 Pharmacology Final Exam 2026 – Latest Real Exam Questions with Guaranteed A+ Answers

  • mentor2000

    mentor2000

  • exam

NURS 5334 Pharmacology Final Exam 2025 – Latest Real Exam Questions with Guaranteed A+ Answers...

5 USD

0

0

NURS 5334 Final Exam 2026 – Real Exam Questions with Verified Answers (Complete & Accurate)
View Document

NURS 5334 Final Exam 2026 – Real Exam Questions with Verified Answers (Complete & Accurate)

  • mentor2000

    mentor2000

  • exam

NURS 5334 Final Exam 2025 – Real Exam Questions with Verified Answers (Complete & Accurate)...

7 USD

0

0

NURS 5334 Advanced Pharmacology Exam Study Guide for 2026
View Document

NURS 5334 Advanced Pharmacology Exam Study Guide for 2026

  • mentor2000

    mentor2000

  • exam

NURS 5334 Advanced Pharmacology Exam Study Guide for 2025...

5 USD

0

0

Cambridge IGCSE French 0520|21 Paper 2 Reading May,June 2026
View Document

Cambridge IGCSE French 0520|21 Paper 2 Reading May,June 2026

  • mentor2000

    mentor2000

  • exam

Cambridge IGCSE French 0520/21 Paper 2 Reading May,June 2025...

5 USD

0

0

All-in-One Resource for the 2026 BC Optometry Jurisprudence Exam
View Document

All-in-One Resource for the 2026 BC Optometry Jurisprudence Exam

  • Angelicer

    Angelicer

  • exam elaborations

All-in-One Resource for the 2025 BC Optometry Jurisprudence Exam...

4 USD

0

0

Cardiology Nursing 1: Humber Final Exam Questions with Correct Answers & Illustrated Diagrams
View Document

Cardiology Nursing 1: Humber Final Exam Questions with Correct Answers & Illustrated Diagrams

  • Angelicer

    Angelicer

  • exam elaborations

Cardiology Nursing 1 – Humber Final Exam Questions with Correct Answers & Illustrated Diagrams...

4 USD

0

0

ENG2611 Assignment 2  Semester 1 Exam 2026
View Document

ENG2611 Assignment 2 Semester 1 Exam 2026

  • Angelicer

    Angelicer

  • exam elaborations

ENG2611 Assignment 2 Semester 1 Exam 2025...

2 USD

0

0

PVL3701 Assignment 1 Exam Semester 1 2026
View Document

PVL3701 Assignment 1 Exam Semester 1 2026

  • Angelicer

    Angelicer

  • exam elaborations

PVL3701 Assignment 1 Exam Semester 1 2025...

2 USD

0

0

PVL3701 Assignment 1 Semester 2 Exam  2026
View Document

PVL3701 Assignment 1 Semester 2 Exam 2026

  • Angelicer

    Angelicer

  • exam elaborations

PVL3701 Assignment 1 Semester 2 Exam 2025...

2 USD

0

0

BC Optometry Jurisprudence Exam 2026 Questions and Answers
View Document

BC Optometry Jurisprudence Exam 2026 Questions and Answers

  • Angelicer

    Angelicer

  • exam elaborations

BC Optometry Jurisprudence Exam 2025 Questions and Answers...

5 USD

0

0

BC Psychologist Jurisprudence exam 2026
View Document

BC Psychologist Jurisprudence exam 2026

  • Angelicer

    Angelicer

  • exam elaborations

BC Psychologist Jurisprudence exam 2025...

5 USD

0

0

Appendicitis NCLEX, Postoperative Care, NCLEX Pre op and Post op Exam 2026
View Document

Appendicitis NCLEX, Postoperative Care, NCLEX Pre op and Post op Exam 2026

  • Opati-Kaka

    Opati-Kaka

  • exam

Appendicitis NCLEX, Postoperative Care, NCLEX Pre op and Post op Exam 2025...

5 USD

0

0

ACLS Final Exam 2026 Real Test Questions and Answers
View Document

ACLS Final Exam 2026 Real Test Questions and Answers

  • Opati-Kaka

    Opati-Kaka

  • exam

ACLS Final Exam 2025 Real Test Questions and Answers...

5 USD

0

0

Test Bank for Polit & Beck Canadian Essentials of Nursing Research | 4th Edition | Kevin Woo
View Document

Test Bank for Polit & Beck Canadian Essentials of Nursing Research | 4th Edition | Kevin Woo

  • claratutor1

    claratutor1

  • test bank

Download the test bank for Polit & Beck’s Canadian Essentials of Nursing Research, 4th Edition. Verified answers and A...

15 USD

0

0

HESI A2 Anatomy & Physiology V1 & V2 Study Guide | 2026 Updated | Verified Questions & Answers | Exam-Ready Prep
View Document

HESI A2 Anatomy & Physiology V1 & V2 Study Guide | 2026 Updated | Verified Questions & Answers | Exam-Ready Prep

  • claratutor1

    claratutor1

  • hesi

Ace your HESI A2 with this 2025 updated A&P V1 & V2 study guide. Includes verified questions, accurate answers, and ever...

6 USD

0

0

Best A&P II Digestive System Exam Review 2026
View Document

Best A&P II Digestive System Exam Review 2026

  • claratutor1

    claratutor1

  • hesi

Master the Digestive System Part 2 for A&P II! 2025 exam-ready review inclusive of Crash Course #34. Clear, concise, and...

7 USD

0

0

2026 HESI A2 Anatomy & Physiology V1/V2 | Latest 2026-2026 Version | 100% Verified Questions & Answers | A+ Graded Study Guide
View Document

2026 HESI A2 Anatomy & Physiology V1/V2 | Latest 2026-2026 Version | 100% Verified Questions & Answers | A+ Graded Study Guide

  • claratutor1

    claratutor1

  • hesi

Get the 2025 HESI A2 Anatomy & Physiology V1/V2 test bank with verified answers. Updated for 2024-2025. 100% accurate, A...

7 USD

0

0

MAC AMCA Exam 2026
View Document

MAC AMCA Exam 2026

  • mentor2000

    mentor2000

  • exam elaborations

MAC AMCA Exam 2025...

5 USD

0

0

DaVita PCT Final Exam 2026 Questions and Answers
View Document

DaVita PCT Final Exam 2026 Questions and Answers

  • mentor2000

    mentor2000

  • exam elaborations

DaVita PCT Final Exam 2025 Questions and Answers...

5 USD

0

0

DaVita Modules(1-4) Exam Questions and Answers 2026
View Document

DaVita Modules(1-4) Exam Questions and Answers 2026

  • mentor2000

    mentor2000

  • exam elaborations

DaVita Modules(1-4) Exam Questions and Answers 2025...

5 USD

0

0

Davita Final Exam Module 1 & 2 Questions and Answers 2026
View Document

Davita Final Exam Module 1 & 2 Questions and Answers 2026

  • mentor2000

    mentor2000

  • exam elaborations

Davita Final Exam Module 1 & 2 Questions and Answers 2025...

5 USD

0

0

CTS Practice Exam Questions and Answers 2026
View Document

CTS Practice Exam Questions and Answers 2026

  • mentor2000

    mentor2000

  • exam elaborations

CTS Practice Exam Questions and Answers 2025...

6 USD

0

0

CTS Exam Prep 2026
View Document

CTS Exam Prep 2026

  • mentor2000

    mentor2000

  • exam elaborations

CTS Exam Prep 2025...

5 USD

0

0

AVIXA CTS Exam Questions 2026
View Document

AVIXA CTS Exam Questions 2026

  • mentor2000

    mentor2000

  • exam elaborations

AVIXA CTS Exam Questions 2025...

5 USD

0

0

AMCA Practice Exam Questions with Solutions 2026
View Document

AMCA Practice Exam Questions with Solutions 2026

  • mentor2000

    mentor2000

  • exam elaborations

AMCA Practice Exam Questions with Solutions 2025...

5 USD

0

0

AMCA Certification Test Medical Assisting Exam Questions and Answers 2026
View Document

AMCA Certification Test Medical Assisting Exam Questions and Answers 2026

  • mentor2000

    mentor2000

  • exam elaborations

AMCA Certification Test Medical Assisting Exam Questions and Answers 2025...

6 USD

0

0

AMCA Certification Exam 2026
View Document

AMCA Certification Exam 2026

  • mentor2000

    mentor2000

  • exam elaborations

Get the AMCA Certification Exam 2025...

5 USD

0

0

NURS 6531 Week 11 Final Exam (Spring 2026) – Walden University | Practice Care of Adults | Real Questions & Detailed Answers | Graded A+ | Guaranteed Pass
View Document

NURS 6531 Week 11 Final Exam (Spring 2026) – Walden University | Practice Care of Adults | Real Questions & Detailed Answers | Graded A+ | Guaranteed Pass

  • Tax

    Tax

  • exam elaborations

nurs 6531 final exam week 11 spring qtr bank walden university / nurs 6531 practice care of adults | 2025 complete ac...

20 USD

0

0

NURS 6531 Final Exam – Week 11 Summer Quarter 2026 | Walden University (Mousa Class Version 3) | Practice Care of Adults | Real Exam Questions with Detailed Answers | Graded A+ | Guaranteed Pass
View Document

NURS 6531 Final Exam – Week 11 Summer Quarter 2026 | Walden University (Mousa Class Version 3) | Practice Care of Adults | Real Exam Questions with Detailed Answers | Graded A+ | Guaranteed Pass

  • Tax

    Tax

  • exam elaborations

nurs 6531 final exam summer qtr week 11 walden university version 3 question bank (mousa class summer) | 2025 complete...

20 USD

0

0

NCLEX-RN Next Generation 2026 Question Bank | Real Exam Questions with Accurate Answers | Comprehensive Prep for RN Licensure
View Document

NCLEX-RN Next Generation 2026 Question Bank | Real Exam Questions with Accurate Answers | Comprehensive Prep for RN Licensure

  • Tax

    Tax

  • nclex

nclex rn next generation exam question bank | 2025 rn nclex next generation accurate real exam...

20 USD

0

0

NDEB Final Exam 2026 (Questions and Answers)
View Document

NDEB Final Exam 2026 (Questions and Answers)

  • Kaponga

    Kaponga

  • exam elaborations

NDEB Final Exam 2025 (Questions and Answers)...

5 USD

0

0

2019-2026 NDEB Exam Pack with Solutions
View Document

2019-2026 NDEB Exam Pack with Solutions

  • Kaponga

    Kaponga

  • exam elaborations

2019-2025 NDEB Exam Pack with Solutions...

6 USD

0

0

NDEB Exam Questions and Answers 2026 (Canadian)
View Document

NDEB Exam Questions and Answers 2026 (Canadian)

  • Kaponga

    Kaponga

  • exam elaborations

NDEB Exam Questions and Answers 2025 (Canadian)...

5 USD

0

0

Arizona Life and Health Final Exam 2026
View Document

Arizona Life and Health Final Exam 2026

  • Kaponga

    Kaponga

  • exam elaborations

Arizona Life and Health Final Exam 2025...

5 USD

0

0

Arizona Life and Health Insurance Exam Practice Questions and Answers 2026
View Document

Arizona Life and Health Insurance Exam Practice Questions and Answers 2026

  • Kaponga

    Kaponga

  • exam elaborations

Arizona Life and Health Insurance Exam Practice Questions and Answers 2025...

5 USD

0

0

CLG 0010 DoD Commercial Purchase Card Exam Questions & Answers
View Document

CLG 0010 DoD Commercial Purchase Card Exam Questions & Answers

  • wangeci

    wangeci

  • exam elaborations

CLG 0010 DoD Commercial Purchase Card Exam Questions & Answers...

5 USD

0

0

Verified!! CNA Chapter 9 Exam Questions and Answers 2026 (Real Exam)
View Document

Verified!! CNA Chapter 9 Exam Questions and Answers 2026 (Real Exam)

  • wangeci

    wangeci

  • exam elaborations

Verified!! CNA Chapter 9 Exam Questions and Answers 2025 (Real Exam)...

6 USD

0

0

New Jersey CALA Exam Study Guide and Practice Test
View Document

New Jersey CALA Exam Study Guide and Practice Test

  • wangeci

    wangeci

  • exam elaborations

New Jersey CALA Exam Study Guide and Practice Test...

6 USD

0

0

Hartman's Chapter 8 Exam Questions and Answers 2026
View Document

Hartman's Chapter 8 Exam Questions and Answers 2026

  • wangeci

    wangeci

  • exam elaborations

Hartman's Chapter 8 Exam Questions and Answers 2025...

5 USD

0

0

CNA Chapter 10 Exam Questions and Answers 2026 Real Exam
View Document

CNA Chapter 10 Exam Questions and Answers 2026 Real Exam

  • wangeci

    wangeci

  • exam elaborations

CNA Chapter 10 Exam Questions and Answers 2025 Real Exam...

5 USD

0

0

CNA Chapter 8 Exam Questions and Answers 2026 (Real Exam)
View Document

CNA Chapter 8 Exam Questions and Answers 2026 (Real Exam)

  • wangeci

    wangeci

  • exam elaborations

CNA Chapter 8 Exam Questions and Answers 2025 (Real Exam)...

5 USD

0

0

CNA Chapter 7 Exam Questions and Answers 2026 (Real Exam)
View Document

CNA Chapter 7 Exam Questions and Answers 2026 (Real Exam)

  • wangeci

    wangeci

  • exam elaborations

CNA Chapter 7 Exam Questions and Answers 2025 (Real Exam)...

5 USD

0

0

Wisconsin Real Estate Sales Exam Prep Kit - Updated for 2026
View Document

Wisconsin Real Estate Sales Exam Prep Kit - Updated for 2026

  • claratutor1

    claratutor1

  • exam elaborations

Wisconsin Real Estate Sales Exam Prep Kit - Updated for 2025...

6 USD

0

0

Wisconsin Real Estate Exam Study Guide Comprehensive Review
View Document

Wisconsin Real Estate Exam Study Guide Comprehensive Review

  • claratutor1

    claratutor1

  • exam elaborations

Wisconsin Real Estate Exam Study Guide Comprehensive Review...

5 USD

0

0

WI Real Estate Practice Exam - 2026 Edition
View Document

WI Real Estate Practice Exam - 2026 Edition

  • claratutor1

    claratutor1

  • exam elaborations

WI Real Estate Practice Exam - 2025 Edition...

6 USD

0

0

PSI NJ Real Estate Exam Complete Practice Test 2026
View Document

PSI NJ Real Estate Exam Complete Practice Test 2026

  • claratutor1

    claratutor1

  • exam elaborations

PSI NJ Real Estate Exam Complete Practice Test...

5 USD

0

0

NJ Real Estate Practice Exam 2026 Preparation
View Document

NJ Real Estate Practice Exam 2026 Preparation

  • claratutor1

    claratutor1

  • exam elaborations

NJ Real Estate Practice Exam 2025 Preparation...

5 USD

0

0

NJ Real Estate Exam Practice Questions & Test Prep
View Document

NJ Real Estate Exam Practice Questions & Test Prep

  • claratutor1

    claratutor1

  • exam elaborations

NJ Real Estate Exam Practice Questions & Test Prep...

6 USD

0

0

NJ CALA Exam Study Guide & Practice Questions for 2026
View Document

NJ CALA Exam Study Guide & Practice Questions for 2026

  • claratutor1

    claratutor1

  • exam elaborations

NJ CALA Exam Study Guide & Practice Questions for 2025...

6 USD

0

0

New Jersey Real Estate Exam Prep & Practice Test - 2026
View Document

New Jersey Real Estate Exam Prep & Practice Test - 2026

  • claratutor1

    claratutor1

  • exam elaborations

New Jersey Real Estate Exam Prep & Practice Test - 2025...

5 USD

0

0

Comprehensive Guide to the WI Real Estate Exam 2026
View Document

Comprehensive Guide to the WI Real Estate Exam 2026

  • claratutor1

    claratutor1

  • exam elaborations

Comprehensive Guide to the WI Real Estate Exam...

5 USD

0

0

License Instructor & Examiner Course 2026 Exam Prep
View Document

License Instructor & Examiner Course 2026 Exam Prep

  • claratutor1

    claratutor1

  • exam elaborations

License Instructor & Examiner Course 2025 Exam Prep...

5 USD

0

0

LILE License Instructor License Examiner Course - Full Solution Guide
View Document

LILE License Instructor License Examiner Course - Full Solution Guide

  • claratutor1

    claratutor1

  • exam elaborations

LILE License Instructor License Examiner Course - Full Solution Guide...

5 USD

0

0

Army License Instructors & Examiners Q1 Exam Prep - FY25
View Document

Army License Instructors & Examiners Q1 Exam Prep - FY25

  • claratutor1

    claratutor1

  • exam elaborations

Army License Instructors & Examiners Q1 Exam Prep - FY25...

5 USD

0

0

Florida Dental Laws & Rules Exam Prep for Dental Assisting & Hygiene 2026
View Document

Florida Dental Laws & Rules Exam Prep for Dental Assisting & Hygiene 2026

  • claratutor1

    claratutor1

  • exam elaborations

Florida Dental Laws & Rules Exam Prep for Dental Assisting & Hygiene...

5 USD

0

0

OSCE Dental Hygiene Practice Exam & Review
View Document

OSCE Dental Hygiene Practice Exam & Review

  • claratutor1

    claratutor1

  • exam elaborations

OSCE Dental Hygiene Practice Exam & Review...

5 USD

0

0

Florida Dental Hygiene Laws & Rules Exam Questions 2026
View Document

Florida Dental Hygiene Laws & Rules Exam Questions 2026

  • claratutor1

    claratutor1

  • exam elaborations

Florida Dental Hygiene Laws & Rules Exam Questions...

5 USD

0

0

Florida Dental Laws & Rules Practice Exam for 2026
View Document

Florida Dental Laws & Rules Practice Exam for 2026

  • claratutor1

    claratutor1

  • exam elaborations

Florida Dental Laws & Rules Practice Exam for 2025...

5 USD

0

0

Florida Laws & Rules (Dental Exam ADEX CDCA) - Study Guide 2026
View Document

Florida Laws & Rules (Dental Exam ADEX CDCA) - Study Guide 2026

  • claratutor1

    claratutor1

  • exam elaborations

Florida Laws & Rules (Dental Exam ADEX CDCA) - Study Guide...

5 USD

0

0

2026 Army License Instructors and Examiners Exam Prep | Real Exam Q&A
View Document

2026 Army License Instructors and Examiners Exam Prep | Real Exam Q&A

  • claratutor1

    claratutor1

  • exam elaborations

Download the Army License Instructors & Examiners Exam Questions and Answers 2025. Reliable study resource for exam read...

5 USD

0

0

Arkansas State School Jurisprudence Counseling Comprehensive Exam with Answers 2026
View Document

Arkansas State School Jurisprudence Counseling Comprehensive Exam with Answers 2026

  • mentor2000

    mentor2000

  • exam

Arkansas State School Jurisprudence Counseling Comprehensive Exam with Answers 2025...

6 USD

0

0

NAEMT Instructor Preparation Course, Second Edition Final Exam 2026
View Document

NAEMT Instructor Preparation Course, Second Edition Final Exam 2026

  • mentor2000

    mentor2000

  • exam elaborations

NAEMT Instructor Preparation Course, Second Edition Final Exam 2025...

7 USD

0

0

Texas Life and Health Insurance Exam Questions and Answers 2026
View Document

Texas Life and Health Insurance Exam Questions and Answers 2026

  • mentor2000

    mentor2000

  • exam elaborations

Texas Life and Health Insurance Exam Questions and Answers 2025...

5 USD

0

0

Texas State Exam Simulator - Life and Health Insurance (200 Questions Practice Exam Answers) 2026
View Document

Texas State Exam Simulator - Life and Health Insurance (200 Questions Practice Exam Answers) 2026

  • mentor2000

    mentor2000

  • exam elaborations

Texas State Exam Simulator - Life and Health Insurance (200 Questions Practice Exam Answers) 2025...

6 USD

0

0

AR 600-55 Army Regulations Exam Study Guide
View Document

AR 600-55 Army Regulations Exam Study Guide

  • claratutor1

    claratutor1

  • questions & answers

Master the AR 600-55 Army Regulations Exam with this study guide! Get sample questions on driver licensing, Master Drive...

5 USD

0

0

Test Bank for Advanced Practice Nursing in the Care of Older Adults 3rd Edition Laurie Kennedy-Malone, Evelyn G. Duffy
View Document

Test Bank for Advanced Practice Nursing in the Care of Older Adults 3rd Edition Laurie Kennedy-Malone, Evelyn G. Duffy

  • tutor_gesco

    tutor_gesco

  • test bank

Boost your exam prep with the Test Bank for Advanced Practice Nursing in the Care of Older Adults, 3rd Edition by Kenned...

15 USD

0

0

5 Guys Manager Full Exam Questions and Answers 2026 Real Exam
View Document

5 Guys Manager Full Exam Questions and Answers 2026 Real Exam

  • claratutor1

    claratutor1

  • exam elaborations

Get the 5 Guys Manager Full Exam Questions and Answers 2025 Real Exam in PDF format. The document can be downloaded inst...

5 USD

0

0

NR 328 Exam 1 (Real Exam 2026)
View Document

NR 328 Exam 1 (Real Exam 2026)

  • mentor2000

    mentor2000

  • exam

NR 328 Exam 1 (Real Exam 2025)...

8 USD

0

0

NR328 Final Exam 1 Questions and Answers 2026
View Document

NR328 Final Exam 1 Questions and Answers 2026

  • mentor2000

    mentor2000

  • exam

NR328 Final Exam 1 Questions and Answers 2025...

7 USD

0

0

NR328 Final Exam Review Pediatrics 2026
View Document

NR328 Final Exam Review Pediatrics 2026

  • mentor2000

    mentor2000

  • exam

NR328 Final Exam Review Pediatrics 2025...

7 USD

0

0

FES Actual Exam for 2026 Questions and Answers
View Document

FES Actual Exam for 2026 Questions and Answers

  • Namwaki

    Namwaki

  • exam

FES Actual Exam for 2025 Questions and Answers...

6 USD

0

0

West Coast EMT - Block 4 Actual Exam 2026
View Document

West Coast EMT - Block 4 Actual Exam 2026

  • Namwaki

    Namwaki

  • exam

West Coast EMT - Block 4 Actual Exam 2025...

7 USD

0

0

FES written exam 2026 Actual Questions and Answers with complete solutions
View Document

FES written exam 2026 Actual Questions and Answers with complete solutions

  • Namwaki

    Namwaki

  • exam

FES written exam 2025 Actual Questions and Answers with complete solutions...

5 USD

0

0

G202 EXAM 2 Study Guide for 2026
View Document

G202 EXAM 2 Study Guide for 2026

  • mentor2000

    mentor2000

  • exam elaborations

Ace Your G202 Exam 2 with This 2025 Study Guide!, Master Market Power, Profit Maximization, Game Theory & More. Boost Y...

5 USD

0

0

G202 Exam 1 Study Guide for 2026
View Document

G202 Exam 1 Study Guide for 2026

  • mentor2000

    mentor2000

  • exam elaborations

G202 Exam 1 Study Guide for 2025...

6 USD

0

0

G202 Exam 1 Questions and Answers (Real 2026 Exam)
View Document

G202 Exam 1 Questions and Answers (Real 2026 Exam)

  • mentor2000

    mentor2000

  • exam elaborations

G202 Exam 1 Questions and Answers (Real 2025 Exam)...

5 USD

0

0

CDW110v Caboodle Data Model Fundamentals Actual Exam Questions and Answers 2026
View Document

CDW110v Caboodle Data Model Fundamentals Actual Exam Questions and Answers 2026

  • mentor2000

    mentor2000

  • exam elaborations

CDW110v Caboodle Data Model Fundamentals Actual Exam Questions and Answers 2025...

6 USD

0

0

CDW 110v Caboodle Data Model Fundamentals Exam Practice Questions and Answers
View Document

CDW 110v Caboodle Data Model Fundamentals Exam Practice Questions and Answers

  • mentor2000

    mentor2000

  • exam elaborations

CDW 110v Caboodle Data Model Fundamentals Exam Practice Questions and Answers...

6 USD

0

0

AAPC CPC Final Exam Real Exam 3 Questions and Answers 2026
View Document

AAPC CPC Final Exam Real Exam 3 Questions and Answers 2026

  • mentor2000

    mentor2000

  • exam elaborations

AAPC CPC Final Exam Real Exam 3 Questions and Answers 2025...

6 USD

0

0

(Real) G202 Exam 2 Questions with Solutions 2026
View Document

(Real) G202 Exam 2 Questions with Solutions 2026

  • mentor2000

    mentor2000

  • exam elaborations

(Real) G202 Exam 2 Questions with Solutions 2025...

6 USD

0

0

Braze Practitioner Level 1 Exam Questions and Answers 2026
View Document

Braze Practitioner Level 1 Exam Questions and Answers 2026

  • mentor2000

    mentor2000

  • exam elaborations

Braze Practitioner Level 1 Exam Questions and Answers 2025...

7 USD

0

0

AAPC Official CPC Certification (Real Exam 2026)
View Document

AAPC Official CPC Certification (Real Exam 2026)

  • mentor2000

    mentor2000

  • exam elaborations

AAPC Official CPC Certification (Real Exam 2025)...

6 USD

0

0

ATI RN COMPREHENSIVE Proctored Exam With NGN
View Document

ATI RN COMPREHENSIVE Proctored Exam With NGN

  • Gbbnnn

    Gbbnnn

  • ati

ATI RN COMPREHENSIVE Proctored Exam With NGN...

30 USD

0

0

Real CEA Practice Questions (Answered 2026)
View Document

Real CEA Practice Questions (Answered 2026)

  • mentor2000

    mentor2000

  • exam elaborations

This document contains the Real CEA Practice Questions with answers for 2025 students...

5 USD

0

0

CEA Prep Complete Exam Practice Questions with Answers 2026
View Document

CEA Prep Complete Exam Practice Questions with Answers 2026

  • mentor2000

    mentor2000

  • exam elaborations

Get now! CEA Prep Complete Exam Practice Questions with Answers 2025 in PDF format...

5 USD

0

0

CEA Exam Best Revision Practice Material 2026
View Document

CEA Exam Best Revision Practice Material 2026

  • mentor2000

    mentor2000

  • exam elaborations

CEA Exam Best Revision Practice Material 2025...

5 USD

0

0

2026 CEA FNP Exam Questions and Answers (NR667)
View Document

2026 CEA FNP Exam Questions and Answers (NR667)

  • mentor2000

    mentor2000

  • exam elaborations

2025 CEA FNP Exam Questions and Answers (NR667)...

5 USD

0

0

RES Exam 1 Questions and Answers 2026
View Document

RES Exam 1 Questions and Answers 2026

  • mentor2000

    mentor2000

  • exam elaborations

Ace your 2025 RES Exam 1 with these top questions & answers! Covering real estate management, fiduciary roles, market pr...

5 USD

0

0

PLTW CEA Final Exam Questions and Answers 2026
View Document

PLTW CEA Final Exam Questions and Answers 2026

  • mentor2000

    mentor2000

  • exam elaborations

PLTW CEA Final Exam Questions and Answers 2025...

5 USD

0

0

CU.3 RES Exam 2026
View Document

CU.3 RES Exam 2026

  • mentor2000

    mentor2000

  • exam elaborations

CU.3 RES Exam 2025...

5 USD

0

0

CEA Final Exam 2026
View Document

CEA Final Exam 2026

  • mentor2000

    mentor2000

  • exam elaborations

CEA Final Exam 2025...

5 USD

0

0

CEA 2026 Exam Review
View Document

CEA 2026 Exam Review

  • mentor2000

    mentor2000

  • exam elaborations

CEA 2025 Exam Review...

5 USD

0

0

HESI Med Surg Final Exam Practice Questions Evolve Actual Elsevier Questions and Answers 2026 (58 Pages)
View Document

HESI Med Surg Final Exam Practice Questions Evolve Actual Elsevier Questions and Answers 2026 (58 Pages)

  • Pasing-Grades

    Pasing-Grades

  • hesi

HESI Med Surg Final Exam Practice Questions Evolve Actual Elsevier Questions and Answers 2025 (58 Pages)...

10 USD

0

0

ATI Comprehensive Med-Surg Final Exam Questions with Answers (Revised Edition)
View Document

ATI Comprehensive Med-Surg Final Exam Questions with Answers (Revised Edition)

  • studypal

    studypal

  • test bank

ATI Comprehensive Med-Surg Final Exam Questions with Answers (Revised Edition)...

19 USD

0

0

FAC-C Proctored Exam Bank 800 Real Exam Questions With Verified Answers  And A Study Guide  All 150 Questions  Versions Are Taken From This Test Bank  Guaranteed Pass Latest Update 2026
View Document

FAC-C Proctored Exam Bank 800 Real Exam Questions With Verified Answers And A Study Guide All 150 Questions Versions Are Taken From This Test Bank Guaranteed Pass Latest Update 2026

  • Hp24

    Hp24

  • exam elaborations

Fac-c proctored exam fac-c proctored exam bank 800 real exam questions with verified answers and a study guide all 15...

14 USD

0

0

NEW YORK ESTHETICS STATE BOARD EXAM ACTUAL  EXAM QUESTIONS WITH DETAILED ANSWERS FOR  GUARANTEED PASS | ALREADY GRADED A+
View Document

NEW YORK ESTHETICS STATE BOARD EXAM ACTUAL EXAM QUESTIONS WITH DETAILED ANSWERS FOR GUARANTEED PASS | ALREADY GRADED A+

  • Hp24

    Hp24

  • exam

NEW YORK ESTHETICS STATE BOARD EXAM ACTUAL EXAM QUESTIONS WITH DETAILED ANSWERS FOR GUARANTEED PASS | ALREADY GRADED...

12 USD

0

0

NREMT EMT Cognitive Final Exam 100% VERIFIED FOR A GUARANTEED PASS
View Document

NREMT EMT Cognitive Final Exam 100% VERIFIED FOR A GUARANTEED PASS

  • studypal

    studypal

  • questions & answers

NREMT EMT Cognitive Final Exam 100% VERIFIED FOR A GUARANTEED PASS...

15 USD

0

0

NRNP 6645 Final Exam (Latest, 100 Q & A)NRNP 6645N Final Exam | NRNP6645 Final Exam | NRNP-6645N Final Exam: Walden University | 100% Verified Q & A
View Document

NRNP 6645 Final Exam (Latest, 100 Q & A)NRNP 6645N Final Exam | NRNP6645 Final Exam | NRNP-6645N Final Exam: Walden University | 100% Verified Q & A

  • studypal

    studypal

  • questions & answers

NRNP 6645 Final Exam (Latest-2022/2023, 100 Q & A) / NRNP 6645N Final Exam / NRNP6645 Final Exam / NRNP-6645N Final Exam...

15 USD

0

0

FLORIDA CIVIC LITERACY EXAM 2023 ACTUAL EXAM 200 QUESTIONS AND CORRECT ANSWERS
View Document

FLORIDA CIVIC LITERACY EXAM 2023 ACTUAL EXAM 200 QUESTIONS AND CORRECT ANSWERS

  • studypal

    studypal

  • questions & answers

FLORIDA CIVIC LITERACY EXAM 2023 ACTUAL EXAM 200 QUESTIONS AND CORRECT ANSWERS(VERIFIED ANSWERS)|AGRADE...

16 USD

0

0

Tanner Bailey Focused Exam Pain Mangement
View Document

Tanner Bailey Focused Exam Pain Mangement

  • Pasing-Grades

    Pasing-Grades

  • shadow health

Tanner Bailey Focused Exam Pain Mangement...

5 USD

0

0

Tanner Bailey Focused Exam Pain Management Patient Teaching
View Document

Tanner Bailey Focused Exam Pain Management Patient Teaching

  • Pasing-Grades

    Pasing-Grades

  • shadow health

Tanner Bailey Focused Exam Pain Management Patient Teaching...

5 USD

0

0

C-54 EXAM AND PRACTICE EXAM NEWEST 2026  ACTUAL EXAM COMPLETE 270 QUESTIONS AND  CORRECT DETAILED ANSWERS (VERIFIED  ANSWERS) |ALREADY GRADED A+
View Document

C-54 EXAM AND PRACTICE EXAM NEWEST 2026 ACTUAL EXAM COMPLETE 270 QUESTIONS AND CORRECT DETAILED ANSWERS (VERIFIED ANSWERS) |ALREADY GRADED A+

  • Hp24

    Hp24

  • business plan

C-54 EXAM AND PRACTICE EXAM NEWEST 2025 ACTUAL EXAM COMPLETE 270 QUESTIONS AND CORRECT DETAILED ANSWERS (VERIFIED ...

10 USD

0

0

OET Medicine Exam Questions and Verified   Answers Latest Update
View Document

OET Medicine Exam Questions and Verified Answers Latest Update

  • Hp24

    Hp24

  • exam elaborations

OET Medicine Exam Questions and Verified Answers Latest Update...

12 USD

0

0

NCLEX PN Exam Test Bank and Study Guide With NGN Real Exam Questions and Verified Answers with Rationales For Guaranteed
View Document

NCLEX PN Exam Test Bank and Study Guide With NGN Real Exam Questions and Verified Answers with Rationales For Guaranteed

  • Hp24

    Hp24

  • exam elaborations

NCLEX PN Exam Test Bank and Study Guide With NGN Real Exam Questions and Verified Answers with Rationales For Guaranteed...

14 USD

0

0

Naplex Exam 2025 with 1000+ Questions and Correct Answers Latest Upload 2025/2026 for a Guaranteed Pass
View Document

Naplex Exam 2025 with 1000+ Questions and Correct Answers Latest Upload 2025/2026 for a Guaranteed Pass

  • Hp24

    Hp24

  • exam elaborations

Naplex Exam 2025 with 1000+ Questions and Correct Answers Latest Upload 2024/2025 for a Guaranteed Pass...

15 USD

0

0

Suffolk County Food Manager's Course Exam Questions & Answers
View Document

Suffolk County Food Manager's Course Exam Questions & Answers

  • Kaponga

    Kaponga

  • exam elaborations

Suffolk County Food Manager's Course Exam Questions & Answers...

10 USD

0

0

Exam Preparation Guide for Postpartum Case Study (HESI + NGN Questions and Answers) 2026
View Document

Exam Preparation Guide for Postpartum Case Study (HESI + NGN Questions and Answers) 2026

  • tutor_gesco

    tutor_gesco

  • hesi

Prepare for your 2025 postpartum case study exam with our comprehensive guide! Includes HESI, HESI RN + NGN questions, a...

10 USD

0

0

Sophia Communication In Workplace Milestone 1 Exam 2026 Solutions
View Document

Sophia Communication In Workplace Milestone 1 Exam 2026 Solutions

  • Laila

    Laila

  • test bank

Sophia Communication In Workplace Milestone 1 Exam 2025 Solutions...

5 USD

0

0

Membership of the Faculty of Dental Surgery (MFDS/MJDF) Exam - 247 questions and answers..
View Document

Membership of the Faculty of Dental Surgery (MFDS/MJDF) Exam - 247 questions and answers..

  • studypal

    studypal

  • questions & answers

Membership of the Faculty of Dental Surgery (MFDS/MJDF) Exam - 247 questions and answers.....

14 USD

0

0

McKissock Basic Appraisal Principles I Final Exam 2026
View Document

McKissock Basic Appraisal Principles I Final Exam 2026

  • Opati-Kaka

    Opati-Kaka

  • exam elaborations

McKissock Basic Appraisal Principles I Final Exam...

5 USD

0

0

USA Weightlifting Level 1 Exam Questions and Answers 2026
View Document

USA Weightlifting Level 1 Exam Questions and Answers 2026

  • Opati-Kaka

    Opati-Kaka

  • exam elaborations

Get fully prepared for the USA Weightlifting Level 1 Coach exam 2025 with complete practice questions and answers. Maste...

5 USD

0

0

CPA Ethics Exam Questions and Answers 2026
View Document

CPA Ethics Exam Questions and Answers 2026

  • Opati-Kaka

    Opati-Kaka

  • exam elaborations

CPA Ethics Exam Questions and Answers 2025...

5 USD

0

0

AICPA Ethics Exam Questions and Answers 2026
View Document

AICPA Ethics Exam Questions and Answers 2026

  • Opati-Kaka

    Opati-Kaka

  • exam elaborations

AICPA Ethics Exam Questions and Answers 2025...

5 USD

0

0

AICPA Ethics Code Exam Questions and Answers 2026
View Document

AICPA Ethics Code Exam Questions and Answers 2026

  • Opati-Kaka

    Opati-Kaka

  • exam elaborations

AICPA Ethics Code Exam Questions and Answers 2025...

5 USD

0

0

HRM/498T: Strategic Human Resource Management and Emerging Issues Week 5 Final Exam With Answers
View Document

HRM/498T: Strategic Human Resource Management and Emerging Issues Week 5 Final Exam With Answers

  • studypal

    studypal

  • questions & answers

HRM/498T: Strategic Human Resource Management and Emerging Issues Week 5 Final Exam With Answers...

10 USD

0

0

HRM498T Strategic Human Resource Management and Emerging Issues Week 1 Human Resource Planning Exam with Answers.
View Document

HRM498T Strategic Human Resource Management and Emerging Issues Week 1 Human Resource Planning Exam with Answers.

  • studypal

    studypal

  • questions & answers

HRM498T Strategic Human Resource Management and Emerging Issues Week 1 Human Resource Planning Exam with Answers....

14 USD

0

0

HRM498T Strategic Human Resource Management and Emerging Issues Week 3 Exam with ANSWERS
View Document

HRM498T Strategic Human Resource Management and Emerging Issues Week 3 Exam with ANSWERS

  • studypal

    studypal

  • questions & answers

HRM498T Strategic Human Resource Management and Emerging Issues Week 3 Exam with ANSWERS...

10 USD

0

0

WGU D322 OA Retake Exam 2026 Answered
View Document

WGU D322 OA Retake Exam 2026 Answered

  • Gradepush

    Gradepush

  • exam elaborations

WGU D322 OA Retake Exam 2025 Answered...

7 USD

0

0

WGU D306 Azure Developer Associate OA Exam Questions and Answers
View Document

WGU D306 Azure Developer Associate OA Exam Questions and Answers

  • Gradepush

    Gradepush

  • exam elaborations

WGU D306 Azure Developer Associate OA Exam Questions and Answers...

6 USD

0

0

Wellcare Mastery Exam Questions and Answers 2026
View Document

Wellcare Mastery Exam Questions and Answers 2026

  • Gradepush

    Gradepush

  • exam elaborations

Wellcare Mastery Exam Questions and Answers 2025...

5 USD

0

0

Top Driver Ohio Final Exam Questions and Answers 2026
View Document

Top Driver Ohio Final Exam Questions and Answers 2026

  • Gradepush

    Gradepush

  • exam elaborations

Top Driver Ohio Final Exam Questions and Answers 2025...

5 USD

0

0

Texas Nursing Home Administrator Actual Exam Questions and Answers 2026
View Document

Texas Nursing Home Administrator Actual Exam Questions and Answers 2026

  • Gradepush

    Gradepush

  • exam elaborations

2025 Texas Nursing Home Administrator Actual Exam Questions and Answers...

5 USD

0

0

Texas NHA Practice Exam 3 Questions and Answers 2026
View Document

Texas NHA Practice Exam 3 Questions and Answers 2026

  • Gradepush

    Gradepush

  • exam elaborations

Texas NHA Practice Exam 3 Questions and Answers 2025...

5 USD

0

0

TEXAS NHA Practice Actual Exam 2 Questions and Answers 2026
View Document

TEXAS NHA Practice Actual Exam 2 Questions and Answers 2026

  • Gradepush

    Gradepush

  • exam elaborations

TEXAS NHA Practice Actual Exam 2 Questions and Answers 2025...

5 USD

0

0

Texas NHA Practice Actual Exam 1 Questions and Answers
View Document

Texas NHA Practice Actual Exam 1 Questions and Answers

  • Gradepush

    Gradepush

  • exam elaborations

Texas NHA Practice Actual Exam 1 Questions and Answers...

5 USD

0

0

Ohio Real Estate Licensing Exam Questions 2026
View Document

Ohio Real Estate Licensing Exam Questions 2026

  • Gradepush

    Gradepush

  • exam elaborations

Ohio Real Estate Licensing Exam Questions 2025...

5 USD

0

0

Ohio Real Estate Exam Practice Questions and Answers 2026
View Document

Ohio Real Estate Exam Practice Questions and Answers 2026

  • Gradepush

    Gradepush

  • exam elaborations

Ohio Real Estate Exam Practice Questions and Answers 2025...

5 USD

0

0

Ohio Driving School Final Exam Study Guide
View Document

Ohio Driving School Final Exam Study Guide

  • Gradepush

    Gradepush

  • exam elaborations

Ohio Driving School Final Exam Study Guide...

5 USD

0

0

Ohio Drivers Ed Final Exam Questions and Answers 2026
View Document

Ohio Drivers Ed Final Exam Questions and Answers 2026

  • Gradepush

    Gradepush

  • exam elaborations

Ohio Drivers Ed Final Exam Questions and Answers 2025...

5 USD

0

0

NHA Texas Exam (Crystal's review) Health Facility Administrator Licensure Exam Questions and Answers
View Document

NHA Texas Exam (Crystal's review) Health Facility Administrator Licensure Exam Questions and Answers

  • Gradepush

    Gradepush

  • exam elaborations

NHA Texas Exam (Crystal's review) Health Facility Administrator Licensure Exam Questions and Answers...

5 USD

0

0

Healthcare Marketplace Exam Questions and Answers 2026
View Document

Healthcare Marketplace Exam Questions and Answers 2026

  • Gradepush

    Gradepush

  • exam elaborations

Healthcare Marketplace Exam Questions and Answers 2025...

5 USD

0

0

Final Exam Answers Ohio School Of Phlebotomy 2026
View Document

Final Exam Answers Ohio School Of Phlebotomy 2026

  • Gradepush

    Gradepush

  • exam elaborations

Final Exam Answers Ohio School Of Phlebotomy 2025...

5 USD

0

0

Azure Developer Associate Real Exam Questions and Answers 2026
View Document

Azure Developer Associate Real Exam Questions and Answers 2026

  • Gradepush

    Gradepush

  • exam elaborations

Azure Developer Associate Real Exam Questions and Answers 2025...

5 USD

0

0

HRM498T Strategic Human Resource Management and Emerging Issues Week 1 EXAM ANSWERS
View Document

HRM498T Strategic Human Resource Management and Emerging Issues Week 1 EXAM ANSWERS

  • studypal

    studypal

  • questions & answers

HRM498T Strategic Human Resource Management and Emerging Issues Week 1 EXAM ANSWERS...

12 USD

0

0

HRM498T Strategic Human Resource Management and Emerging Issues Week 2 CAT EXAM ANSWERS
View Document

HRM498T Strategic Human Resource Management and Emerging Issues Week 2 CAT EXAM ANSWERS

  • studypal

    studypal

  • questions & answers

HRM498T Strategic Human Resource Management and Emerging Issues Week 2 CAT EXAM ANSWERS...

7 USD

0

0

Pearson Edexcel GCE in Geography Paper 2 Summer 2026 Actual Exam with Mark Scheme
View Document

Pearson Edexcel GCE in Geography Paper 2 Summer 2026 Actual Exam with Mark Scheme

  • Namwaki

    Namwaki

  • exam elaborations

Pearson Edexcel GCE in Geography Paper 2 Summer 2025 Actual Exam with Mark Scheme...

5 USD

0

0

Pearson Edexcel A Level 3 GCE (9GE0,02) Geography Advanced PAPER 2 Dynamic Places + mark scheme May 2026 (Actual Exam)
View Document

Pearson Edexcel A Level 3 GCE (9GE0,02) Geography Advanced PAPER 2 Dynamic Places + mark scheme May 2026 (Actual Exam)

  • Namwaki

    Namwaki

  • exam elaborations

Pearson Edexcel A Level 3 GCE (9GE0,02) Geography Advanced PAPER 2 Dynamic Places + mark scheme May 2025 (Actual Exam)...

5 USD

0

0

AQA A-level PHYSICS 7408,2 Paper 2 Merged Question Paper + Mark Scheme + Insert (2026 Actual Exam)
View Document

AQA A-level PHYSICS 7408,2 Paper 2 Merged Question Paper + Mark Scheme + Insert (2026 Actual Exam)

  • Namwaki

    Namwaki

  • exam elaborations

AQA A-level PHYSICS 7408,2 Paper 2 Merged Question Paper + Mark Scheme + Insert (2025 Actual Exam)...

6 USD

0

0

HOSA Medical Assisting Exam Study Guide
View Document

HOSA Medical Assisting Exam Study Guide

  • Kaponga

    Kaponga

  • exam

HOSA Medical Assisting Exam Study Guide...

5 USD

0

0

HOSA EMT Exam Questions and Answers 2026
View Document

HOSA EMT Exam Questions and Answers 2026

  • Kaponga

    Kaponga

  • exam

HOSA EMT Exam Questions and Answers 2025...

5 USD

0

0

HOSA Medical Assisting Exam Study Guide
View Document

HOSA Medical Assisting Exam Study Guide

  • Namwaki

    Namwaki

  • study guide

Prepare for success with the HOSA Medical Assisting Exam Study Guide. This comprehensive resource offers essential pract...

5 USD

0

0

Real Estate Practice Exam NEW JERSEY (NJ) with Answers 2026
View Document

Real Estate Practice Exam NEW JERSEY (NJ) with Answers 2026

  • Gradepush

    Gradepush

  • exam

NEW JERSEY (NJ) Real Estate Practice Exam with Answers 2025...

5 USD

0

0

American Red Cross Final Exam Questions and Answers 2026
View Document

American Red Cross Final Exam Questions and Answers 2026

  • Gradepush

    Gradepush

  • exam

Prepare for success with the American Red Cross Final Exam Questions and Answers 2025. Comprehensive BLS study guide wit...

5 USD

0

0

NR 566/ NR566 Final Exam Qs & Ans (Latest 2026): Advanced Pharmacology for Care of the Family (Verified Answers)
View Document

NR 566/ NR566 Final Exam Qs & Ans (Latest 2026): Advanced Pharmacology for Care of the Family (Verified Answers)

  • sergeant

    sergeant

  • exam elaborations

NR 566/ NR566 Final Exam Qs & Ans (Latest 2026): Advanced Pharmacology for Care of the Family (Verified Answers)...

12 USD

0

0

Unit 6 The Fachetti Group Distinction Example Part B MOCK January 2026 (Report)
View Document

Unit 6 The Fachetti Group Distinction Example Part B MOCK January 2026 (Report)

  • Pasing-Grades

    Pasing-Grades

  • exam

Unit 6 The Fachetti Group Distinction Example Part B MOCK January 2025 (Report)...

6 USD

0

0

NR 507 NR507 PATH Final Exam Study Guide with complete solution (2026)
View Document

NR 507 NR507 PATH Final Exam Study Guide with complete solution (2026)

  • Pasing-Grades

    Pasing-Grades

  • exam

NR 507 NR507 PATH Final Exam Study Guide with complete solution (2025)...

6 USD

0

0

Coll 148 Week 5 Quiz Collection Exam Pack Best for Revision
View Document

Coll 148 Week 5 Quiz Collection Exam Pack Best for Revision

  • Pasing-Grades

    Pasing-Grades

  • exam

Coll 148 Week 5 Quiz Collection Exam Pack Best for Revision...

6 USD

0

0

(Presentation) Distinction Example of Unit 6 The Fachetti Group PART B MOCK January 2026
View Document

(Presentation) Distinction Example of Unit 6 The Fachetti Group PART B MOCK January 2026

  • Pasing-Grades

    Pasing-Grades

  • exam

(Presentation) Distinction Example of Unit 6 The Fachetti Group PART B MOCK January 2025...

5 USD

0

0

Summary Unit 6 The Fachetti Group Challenges and Proposals (Principles of Management January 2026 exam)
View Document

Summary Unit 6 The Fachetti Group Challenges and Proposals (Principles of Management January 2026 exam)

  • Pasing-Grades

    Pasing-Grades

  • exam

Summary Unit 6 The Fachetti Group Challenges and Proposals (Principles of Management January 2025 exam)...

5 USD

0

0

Summary Unit 6 Principles of Management January 2026 Exam Structure (The Fachetti Group)
View Document

Summary Unit 6 Principles of Management January 2026 Exam Structure (The Fachetti Group)

  • Pasing-Grades

    Pasing-Grades

  • exam

Summary Unit 6 Principles of Management January 2025 Exam Structure (The Fachetti Group)...

5 USD

0

0

Focused Exam: Chest Pain, Brian Foster Shadow health transcript
View Document

Focused Exam: Chest Pain, Brian Foster Shadow health transcript

  • Eddah-Nafula

    Eddah-Nafula

  • shadow health

Focused Exam Chest Pain, Brian Foster Shadow health transcript...

6 USD

0

0

Brian Foster | Objective | Focused Exam: Chest Pain Results / Shadow Health Exam Assessment
View Document

Brian Foster | Objective | Focused Exam: Chest Pain Results / Shadow Health Exam Assessment

  • Eddah-Nafula

    Eddah-Nafula

  • shadow health

Access the complete Objective Data for Brian Foster's Focused Exam on Chest Pain from Shadow Health. This detailed asses...

7 USD

0

0

CLC 058 Contract Pricing Exam Questions and Answers 2026
View Document

CLC 058 Contract Pricing Exam Questions and Answers 2026

  • Gradepush

    Gradepush

  • exam elaborations

Prepare for success with CLC 058 Contract Pricing Exam Questions and Answers 2025. Ensure you understand key concepts, b...

5 USD

0

0

Study Guide, PSI National Exam for Real Estate Practice Questions and Answers
View Document

Study Guide, PSI National Exam for Real Estate Practice Questions and Answers

  • Opati-Kaka

    Opati-Kaka

  • exam

Study Guide, PSI National Exam for Real Estate Practice Questions and Answers...

5 USD

0

0

PSI National Exam Practice Test Questions and Answers
View Document

PSI National Exam Practice Test Questions and Answers

  • Opati-Kaka

    Opati-Kaka

  • exam

PSI National Exam Practice Test Questions and Answers...

5 USD

0

0

National Real Estate Exam Practice Questions and Answers
View Document

National Real Estate Exam Practice Questions and Answers

  • Opati-Kaka

    Opati-Kaka

  • exam

National Real Estate Exam Practice Questions and Answers...

5 USD

0

0

Arkansas Real Estate State Exam Practice Questions and Answers
View Document

Arkansas Real Estate State Exam Practice Questions and Answers

  • Opati-Kaka

    Opati-Kaka

  • exam

Arkansas Real Estate State Exam Practice Questions and Answers...

5 USD

0

0

Arkansas Real Estate Practice Exam Questions and Answers
View Document

Arkansas Real Estate Practice Exam Questions and Answers

  • Opati-Kaka

    Opati-Kaka

  • exam

Arkansas Real Estate Practice Exam Questions and Answers...

5 USD

0

0

Arkansas Real Estate Exam Study Guide with Questions and Answers
View Document

Arkansas Real Estate Exam Study Guide with Questions and Answers

  • Opati-Kaka

    Opati-Kaka

  • exam

Arkansas Real Estate Exam Study Guide with Questions and Answers...

5 USD

0

0

Arizona Real Estate State Exam Questions and Answers
View Document

Arizona Real Estate State Exam Questions and Answers

  • Opati-Kaka

    Opati-Kaka

  • exam

Arizona Real Estate State Exam Questions and Answers...

5 USD

0

0

Alaska State Real Estate Exam Questions and Answers
View Document

Alaska State Real Estate Exam Questions and Answers

  • Opati-Kaka

    Opati-Kaka

  • exam

Alaska State Real Estate Exam Questions and Answers...

5 USD

0

0

Alaska Real Estate Exam Practice Questions and Answers
View Document

Alaska Real Estate Exam Practice Questions and Answers

  • Opati-Kaka

    Opati-Kaka

  • exam

Alaska Real Estate Exam Practice Questions and Answers...

5 USD

0

0

Alabama Real Estate Exam Practice Questions and Answers
View Document

Alabama Real Estate Exam Practice Questions and Answers

  • Opati-Kaka

    Opati-Kaka

  • exam

Alabama Real Estate Exam Practice Questions and Answers...

5 USD

0

0

Alabama Real Estate License Exam Updated Questions and Answers
View Document

Alabama Real Estate License Exam Updated Questions and Answers

  • Opati-Kaka

    Opati-Kaka

  • exam

Alabama Real Estate License Exam Updated Questions and Answers...

5 USD

0

0

Alabama Real Estate Final Exam Study Guide - 60 Hour Course
View Document

Alabama Real Estate Final Exam Study Guide - 60 Hour Course

  • Opati-Kaka

    Opati-Kaka

  • exam

Alabama Real Estate Final Exam Study Guide - 60 Hour Course...

6 USD

0

0

WGU C215 Study Guide for Final Exam
View Document

WGU C215 Study Guide for Final Exam

  • tutor_gesco

    tutor_gesco

  • exam

WGU C215 Study Guide for Final Exam...

5 USD

0

0

Wallstreet Prep Valuation Exam Questions and Answers
View Document

Wallstreet Prep Valuation Exam Questions and Answers

  • tutor_gesco

    tutor_gesco

  • exam

Wallstreet Prep Valuation Exam Questions and Answers...

6 USD

0

0

Wall Street Prep Premium Exam with Answers (Actual Exam Questions)
View Document

Wall Street Prep Premium Exam with Answers (Actual Exam Questions)

  • tutor_gesco

    tutor_gesco

  • exam

Wall Street Prep Premium Exam with Answers...

5 USD

0

0

CAIB 3 Practice Exam Questions and Answers
View Document

CAIB 3 Practice Exam Questions and Answers

  • tutor_gesco

    tutor_gesco

  • exam

CAIB 3 Practice Exam Questions and Answers...

5 USD

0

0

BIOL 252L Lab Final Exam Practice Questions Study Guide (Updated)
View Document

BIOL 252L Lab Final Exam Practice Questions Study Guide (Updated)

  • tutor_gesco

    tutor_gesco

  • exam

BIOL 252L Lab Final Exam Practice Questions Study Guide...

5 USD

0

0

BIO 121 Final Exam 2026 with Answers
View Document

BIO 121 Final Exam 2026 with Answers

  • Kaponga

    Kaponga

  • exam

Get PDF copy of BIO 121 Final Exam covering Chapters 5,6,14, 16 and 17 Chapter 5 - structure & function of large Biomol...

10 USD

0

0

Biology 121 Final Exam 2026 Questions and Answers (BIO 121)
View Document

Biology 121 Final Exam 2026 Questions and Answers (BIO 121)

  • Angelicer

    Angelicer

  • exam

Biology 121 Final Exam 2025 Questions and Answers (BIO 121) (PDF)...

10 USD

0

0

Ohio Physical Therapy Jurisprudence Exam Study Guide
View Document

Ohio Physical Therapy Jurisprudence Exam Study Guide

  • Angelicer

    Angelicer

  • exam

Ohio Physical Therapy Jurisprudence Exam Study Guide...

5 USD

0

0

OHIO Physical Therapy Jurisprudence Exam Questions and Answers 2024
View Document

OHIO Physical Therapy Jurisprudence Exam Questions and Answers 2024

  • Angelicer

    Angelicer

  • exam

OHIO Physical Therapy Jurisprudence Exam Questions and Answers 2024...

5 USD

0

0

Ohio Physical Therapy Jurisprudence Exam Prep Guide
View Document

Ohio Physical Therapy Jurisprudence Exam Prep Guide

  • Angelicer

    Angelicer

  • exam

Ohio Physical Therapy Jurisprudence Exam Prep Guide...

5 USD

0

0

Xcel solutions final exam practice questions and answers
View Document

Xcel solutions final exam practice questions and answers

  • Gorski

    Gorski

  • exam

Xcel solutions final exam...

5 USD

0

0

XCEL Solutions Final Exam with Answers 2026
View Document

XCEL Solutions Final Exam with Answers 2026

  • Gorski

    Gorski

  • exam

XCEL SOLUTIONS - FINAL EXAM...

5 USD

0

0

Texas Ext Type B TFM02 Final Exam with Answers 2024
View Document

Texas Ext Type B TFM02 Final Exam with Answers 2024

  • Gorski

    Gorski

  • exam

Texas Ext Type B TFM02 Final Exam...

5 USD

0

0

Lean Portfolio Management (LPM) Actual Exam with Answers 2024
View Document

Lean Portfolio Management (LPM) Actual Exam with Answers 2024

  • Gorski

    Gorski

  • exam

Lean Portfolio Management (LPM) Actual Exam...

5 USD

0

0

Illinois Life Producer General Exam Questions and Answers
View Document

Illinois Life Producer General Exam Questions and Answers

  • Gorski

    Gorski

  • exam

Illinois Life Producer General Exam Questions and Answers...

5 USD

0

0

Illinois Life Insurance Practice Exam Questions and Answers
View Document

Illinois Life Insurance Practice Exam Questions and Answers

  • Gorski

    Gorski

  • exam

Illinois Life Insurance Practice Exam Questions and Answers...

5 USD

0

0

Divemaster Final Exam Questions and Answers 2026
View Document

Divemaster Final Exam Questions and Answers 2026

  • Gorski

    Gorski

  • exam

Divemaster Final Exam Questions and Answers 2026...

6 USD

0

0

Divemaster Final Exam A with Answers
View Document

Divemaster Final Exam A with Answers

  • Gorski

    Gorski

  • exam

Get the Divemaster Final Exam A PDF instantly downloadable. Revise to to pass your exam....

5 USD

0

0

Divemaster Final Exam A questions and answers 2026 Solutions | Passing Grades
View Document

Divemaster Final Exam A questions and answers 2026 Solutions | Passing Grades

  • Gorski

    Gorski

  • exam

Divemaster Final Exam A questions and answers...

5 USD

0

0

Divemaster Final Exam A part 2 Answers 2026
View Document

Divemaster Final Exam A part 2 Answers 2026

  • Gorski

    Gorski

  • exam

Divemaster Final Exam A part 2...

5 USD

0

0

NSC Defensive Driving Course Exam Questions and Answers
View Document

NSC Defensive Driving Course Exam Questions and Answers

  • Eddah-Nafula

    Eddah-Nafula

  • exam

NSC Defensive Driving Course Exam Questions and Answers...

5 USD

0

0

NJ Defensive Driving Course (American Safety Council) - All 4 Modules & Final Exam
View Document

NJ Defensive Driving Course (American Safety Council) - All 4 Modules & Final Exam

  • Eddah-Nafula

    Eddah-Nafula

  • exam

NJ Defensive Driving Course (American Safety Council) - All 4 Modules & Final Exam...

5 USD

0

0

Idaho Drivers Exam Questions and Answers
View Document

Idaho Drivers Exam Questions and Answers

  • Eddah-Nafula

    Eddah-Nafula

  • exam

Idaho Drivers Exam Questions and Answers...

5 USD

0

0

Defensive Driving Course Final Exam Questions with Answers
View Document

Defensive Driving Course Final Exam Questions with Answers

  • Eddah-Nafula

    Eddah-Nafula

  • exam

Defensive Driving Course Final Exam Questions with Answers...

5 USD

0

0

Biology 121 Lab 1-4 (Final Exam)
View Document

Biology 121 Lab 1-4 (Final Exam)

  • Angelicer

    Angelicer

  • case study

Lab 1: Scientific Methods and Metric System: 1. A scientist testing the effects of a chemical on apple yield spray...

10 USD

0

0

API 653 Final Exam Questions and Answers 2026
View Document

API 653 Final Exam Questions and Answers 2026

  • Opati-Kaka

    Opati-Kaka

  • questions & answers

API 653 Final Exam Questions and Answers 2026...

6 USD

0

0

API 653 exam prep Closed book Actual Questions and Answers 2024
View Document

API 653 exam prep Closed book Actual Questions and Answers 2024

  • Opati-Kaka

    Opati-Kaka

  • questions & answers

API 653 exam prep Closed book Actual Questions and Answers 2024...

5 USD

0

0

API 653 exam prep - Open Book Actual Questions and Answers
View Document

API 653 exam prep - Open Book Actual Questions and Answers

  • Opati-Kaka

    Opati-Kaka

  • questions & answers

API 653 exam prep - Open Book Actual Questions and Answers...

5 USD

0

0

API 653 Closed Book Questions 2026 Exam Prep Terms, Questions and Answers
View Document

API 653 Closed Book Questions 2026 Exam Prep Terms, Questions and Answers

  • Opati-Kaka

    Opati-Kaka

  • questions & answers

API 653 Closed Book Questions 2026 Exam Prep Terms, Questions and Answers...

5 USD

0

0

API 653 Certification Open Book Practice Exam Questions and Answers
View Document

API 653 Certification Open Book Practice Exam Questions and Answers

  • Opati-Kaka

    Opati-Kaka

  • questions & answers

API 653 Certification Open Book Practice Exam Questions and Answers...

6 USD

0

0

TNCC final exam test 2022 open book Questions and Answers
View Document

TNCC final exam test 2022 open book Questions and Answers

  • tutor_gesco

    tutor_gesco

  • study guide

TNCC final exam test 2022 open book Questions and Answers...

6 USD

0

0

TNCC Final Exam Actual Test Open Book with 100% Correct Answers 2025/2026
View Document

TNCC Final Exam Actual Test Open Book with 100% Correct Answers 2025/2026

  • tutor_gesco

    tutor_gesco

  • study guide

TNCC Final Exam Actual Test Open Book with 100% Correct Answers 2025...

8 USD

0

0

Primerica Final Exam Questions and Answers 2026
View Document

Primerica Final Exam Questions and Answers 2026

  • tutor_gesco

    tutor_gesco

  • study guide

Primerica Final Exam Questions and Answers 2026...

6 USD

0

0

Mosby's CT Registry Review 3rd Edition Practice Exam with Images & Diagrams
View Document

Mosby's CT Registry Review 3rd Edition Practice Exam with Images & Diagrams

  • tutor_gesco

    tutor_gesco

  • study guide

Mosby's CT Registry Review 3rd Edition Practice Exam with Images & Diagrams...

6 USD

0

0

Mosby's CT Registry Review 3rd Edition Practice Exam 3 Questions and Answers 2024
View Document

Mosby's CT Registry Review 3rd Edition Practice Exam 3 Questions and Answers 2024

  • tutor_gesco

    tutor_gesco

  • study guide

Mosby's CT Registry Review 3rd Edition Practice Exam 3 Questions and Answers 2024...

6 USD

0

0

X-ray Fundamentals and Imaging, Positioning Exam 1 Radiologic Physics RADT 100 Questions and Answers 2024
View Document

X-ray Fundamentals and Imaging, Positioning Exam 1 Radiologic Physics RADT 100 Questions and Answers 2024

  • tutor_gesco

    tutor_gesco

  • study guide

X-ray Fundamentals and Imaging, Positioning Exam 1 Radiologic Physics RADT 100 Questions and Answers 2024...

6 USD

0

0

TNCC 9th Edition Written Exam with Verified Answers 2024
View Document

TNCC 9th Edition Written Exam with Verified Answers 2024

  • tutor_gesco

    tutor_gesco

  • study guide

TNCC 9th Edition Written Exam with Verified Answers 2024...

5 USD

0

0

RADT 100 Study Guide Exam 2 Questions and Answers 2024
View Document

RADT 100 Study Guide Exam 2 Questions and Answers 2024

  • tutor_gesco

    tutor_gesco

  • study guide

RADT 100 Study Guide Exam 2 Questions and Answers 2024...

5 USD

0

0

Comprehensive RADT 100 Questions and Answers: Ace Your Radiologic Technology Exams
View Document

Comprehensive RADT 100 Questions and Answers: Ace Your Radiologic Technology Exams

  • tutor_gesco

    tutor_gesco

  • study guide

Comprehensive RADT 100 Questions and Answers: Ace Your Radiologic Technology Exams...

6 USD

0

0

RADT 100 FINAL EXAM Questions and Answers 2026
View Document

RADT 100 FINAL EXAM Questions and Answers 2026

  • tutor_gesco

    tutor_gesco

  • study guide

RADT 100 FINAL EXAM Questions and Answers 2026...

5 USD

0

0

RADT 100 Exam 2 Questions and Answers 2026
View Document

RADT 100 Exam 2 Questions and Answers 2026

  • tutor_gesco

    tutor_gesco

  • study guide

RADT 100 Exam 2 Questions and Answers 2026...

6 USD

0

0

RADT 100 Exam 1 Questions and Answers 2026
View Document

RADT 100 Exam 1 Questions and Answers 2026

  • tutor_gesco

    tutor_gesco

  • study guide

RADT 100 Exam 1 Questions and Answers 2026...

5 USD

0

0

Rad Physics Exam 3 Questions and Answers 2026
View Document

Rad Physics Exam 3 Questions and Answers 2026

  • tutor_gesco

    tutor_gesco

  • study guide

Rad Physics Exam 3 Questions and Answers 2026...

5 USD

0

0

RAD 100 Exam 4 Review Questions and Answers 2026
View Document

RAD 100 Exam 4 Review Questions and Answers 2026

  • tutor_gesco

    tutor_gesco

  • study guide

RAD 100 Exam 4 Review Questions and Answers 2026...

7 USD

0

0

RAD 100 - Exam 3 Questions and Answers 2026
View Document

RAD 100 - Exam 3 Questions and Answers 2026

  • tutor_gesco

    tutor_gesco

  • study guide

RAD 100 - Exam 3 Questions and Answers 2026...

6 USD

0

0

PRIMERICA Life Insurance Real Exam Questions and Answers 2024
View Document

PRIMERICA Life Insurance Real Exam Questions and Answers 2024

  • Eddah-Nafula

    Eddah-Nafula

  • exam

PRIMERICA Life Insurance Real Exam Questions and Answers 2024...

6 USD

0

0

Patient Care Comprehensive Practice Exam Questions and Answers 2024
View Document

Patient Care Comprehensive Practice Exam Questions and Answers 2024

  • Eddah-Nafula

    Eddah-Nafula

  • exam

Patient Care Comprehensive Practice Exam Questions and Answers 2024...

6 USD

0

0

Patient Care Comprehensive Practice Exam Latest Test Questions & Answers 2024
View Document

Patient Care Comprehensive Practice Exam Latest Test Questions & Answers 2024

  • Eddah-Nafula

    Eddah-Nafula

  • exam

Patient Care Comprehensive Practice Exam Latest Test Questions & Answers 2024...

6 USD

0

0

Mosby's CT Registry Review 3rd Edition Practice Exam 1 Questions and Answers 2024
View Document

Mosby's CT Registry Review 3rd Edition Practice Exam 1 Questions and Answers 2024

  • Eddah-Nafula

    Eddah-Nafula

  • exam

Mosby's CT Registry Review 3rd Edition Practice Exam 1 Questions and Answers 2024...

5 USD

0

0

Mosby's CT Exam Review Practice Test 1 Questions and Answers 2024
View Document

Mosby's CT Exam Review Practice Test 1 Questions and Answers 2024

  • Eddah-Nafula

    Eddah-Nafula

  • exam

Mosby's CT Exam Review Practice Test 1 Questions and Answers 2024...

5 USD

0

0

FRESENIUS PCT Real Exam Questions and Answers 2026
View Document

FRESENIUS PCT Real Exam Questions and Answers 2026

  • Gradepush

    Gradepush

  • questions & answers

FRESENIUS PCT Real Exam Questions and Answers 2026...

5 USD

0

0

CGS1060C Mid-Term Exam Questions and Answers
View Document

CGS1060C Mid-Term Exam Questions and Answers

  • Gradepush

    Gradepush

  • questions & answers

CGS1060C Mid-Term Exam Questions and Answers...

5 USD

0

0

CGS1060C Final Exam Questions and Answers
View Document

CGS1060C Final Exam Questions and Answers

  • Gradepush

    Gradepush

  • questions & answers

CGS1060C Final Exam Questions and Answers...

5 USD

0

0

CGS1060C Exam 2 Questions and Answers 2026
View Document

CGS1060C Exam 2 Questions and Answers 2026

  • Gradepush

    Gradepush

  • questions & answers

CGS1060C Exam 2 Questions and Answers 2026...

5 USD

0

0

CGS1060C Exam 1 Questions and Answers
View Document

CGS1060C Exam 1 Questions and Answers

  • Gradepush

    Gradepush

  • questions & answers

CGS1060C Exam 1 Questions and Answers...

5 USD

0

0

CGS 1060C Access Practice Exam Questions and Answers 2026
View Document

CGS 1060C Access Practice Exam Questions and Answers 2026

  • Gradepush

    Gradepush

  • questions & answers

CGS 1060C Access Practice Exam Questions and Answers...

5 USD

0

0

CGS 1060 Final Exam Study Guide
View Document

CGS 1060 Final Exam Study Guide

  • Gradepush

    Gradepush

  • questions & answers

CGS 1060 Final Exam Study Guide...

5 USD

0

0

ME! Real Estate Express - Colorado Closings Final Exam 2026
View Document

ME! Real Estate Express - Colorado Closings Final Exam 2026

  • Kaponga

    Kaponga

  • questions & answers

Real Estate Express - Colorado Closings Final Exam ME!...

5 USD

0

0

Colibri Real Estate Final Exam (Real Exam) 2026
View Document

Colibri Real Estate Final Exam (Real Exam) 2026

  • Kaponga

    Kaponga

  • questions & answers

Colibri Real Estate Final Exam (Real Exam) 2025...

5 USD

0

0

Colibri Real Estate (Real Estate Express) Final Exam Review 2025/2026
View Document

Colibri Real Estate (Real Estate Express) Final Exam Review 2025/2026

  • Kaponga

    Kaponga

  • questions & answers

Colibri Real Estate (Real Estate Express) Final Exam Review...

6 USD

0

0

Colibri  Real Estate Principles Final Exam Questions and Answers
View Document

Colibri Real Estate Principles Final Exam Questions and Answers

  • Kaponga

    Kaponga

  • questions & answers

Colibri Real Estate Principles Final Exam...

6 USD

0

0

US RAC Exam Prep 2026 Study Guide
View Document

US RAC Exam Prep 2026 Study Guide

  • Pasing-Grades

    Pasing-Grades

  • exam

US RAC Exam Prep 2026 Study Guide...

5 USD

0

0

NUR 210 Principles of Pharmacology Exam 1
View Document

NUR 210 Principles of Pharmacology Exam 1

  • Pasing-Grades

    Pasing-Grades

  • exam

NUR 210 Principles of Pharmacology Exam 1...

5 USD

0

0

FDA Time Frames (Device) RAC Exam 2026
View Document

FDA Time Frames (Device) RAC Exam 2026

  • Pasing-Grades

    Pasing-Grades

  • exam

FDA Time Frames (Device) RAC Exam 2026...

5 USD

0

0

DEVICE RAC Exam Questions and Answers  2025/2026
View Document

DEVICE RAC Exam Questions and Answers 2025/2026

  • Pasing-Grades

    Pasing-Grades

  • exam

Download DEVICE RAC Exam Questions and Answers (PDF)...

6 USD

0

0

CHICK-FIL-A Certified Trainer Knowledge Exam Questions and Answers
View Document

CHICK-FIL-A Certified Trainer Knowledge Exam Questions and Answers

  • Pasing-Grades

    Pasing-Grades

  • exam

CHICK-FIL-A Certified Trainer Knowledge Exam Questions and Answers...

5 USD

0

0

CBCS EXAM 2026 Questions with Correct Answers
View Document

CBCS EXAM 2026 Questions with Correct Answers

  • Pasing-Grades

    Pasing-Grades

  • exam

CBCS EXAM 2026 Questions with Correct Answers...

8 USD

0

0

ATI pharmacology Proctored Exam version 2 with NGN
View Document

ATI pharmacology Proctored Exam version 2 with NGN

  • Pasing-Grades

    Pasing-Grades

  • exam

Download ATI pharmacology Proctored Exam version 2 with NGN. Has questions and answers to help pass pharmacology exam....

7 USD

0

0

ATI pharmacology Proctored Exam version 1 With NGN
View Document

ATI pharmacology Proctored Exam version 1 With NGN

  • Pasing-Grades

    Pasing-Grades

  • exam

ATI pharmacology Proctored Exam version 1 With NGN...

7 USD

0

0

AlcoholEdu Final Exam Questions and Answers 2026
View Document

AlcoholEdu Final Exam Questions and Answers 2026

  • Pasing-Grades

    Pasing-Grades

  • exam

AlcoholEdu Final Exam Questions and Answers 2026...

6 USD

0

0

APEA Pre-Predictor Exam Questions and Answers 2026
View Document

APEA Pre-Predictor Exam Questions and Answers 2026

  • tutor_gesco

    tutor_gesco

  • exam

This is the best APEA Pre-Predictor Exam Questions and Answers 2026. It is the idea study material for nurse practitione...

10 USD

0

0

APEA Predictor Exam (2026 Final Exam)
View Document

APEA Predictor Exam (2026 Final Exam)

  • tutor_gesco

    tutor_gesco

  • exam

Get the APEA Predictor Exam (2026 Final Exam) and pass your exams without struggling. Ideal study material for students....

8 USD

0

0

2025/2026: RN ATI Pediatric Nursing Proctored Exam With NGN Correct Questions and Answers
View Document

2025/2026: RN ATI Pediatric Nursing Proctored Exam With NGN Correct Questions and Answers

  • tutor_gesco

    tutor_gesco

  • exam

2024/2025: RN ATI Pediatric Nursing Proctored Exam With NGN Correct Questions and Answers RN ATI Pediatric Nursing P...

12 USD

0

0

Test Bank for Introduction to Critical Care Nursing, 8th Edition by Mary Lou Sole, Deborah Goldenberg Klein, and Marthe J. Moseley  Comprehensive Exam Questions & Answers
View Document

Test Bank for Introduction to Critical Care Nursing, 8th Edition by Mary Lou Sole, Deborah Goldenberg Klein, and Marthe J. Moseley Comprehensive Exam Questions & Answers

  • Opati-Kaka

    Opati-Kaka

  • test bank

Test Bank for Introduction to Critical Care Nursing, 8th Edition by Mary Lou Sole, Deborah Goldenberg Klein, and Marthe ...

15 USD

0

0

NJ CALA Exam Study Guide
View Document

NJ CALA Exam Study Guide

  • Eddah-Nafula

    Eddah-Nafula

  • questions & answers

NJ CALA Exam Study Guide...

5 USD

0

0

NJ Certified Assisted Living Administrator (CALA) Exam Questions and Answers
View Document

NJ Certified Assisted Living Administrator (CALA) Exam Questions and Answers

  • Eddah-Nafula

    Eddah-Nafula

  • questions & answers

NJ Certified Assisted Living Administrator (CALA) Exam Questions and Answers...

5 USD

0

0

NJ CALA Final Exam Questions and Answers 2026
View Document

NJ CALA Final Exam Questions and Answers 2026

  • Eddah-Nafula

    Eddah-Nafula

  • questions & answers

NJ CALA Final Exam Questions and Answers 2026...

5 USD

0

0

NGR 6172 Case 02: Focused Exam: Hypertension and Type 2 Diabetes Results , Completed Pharmacotherapeutics for Advanced Nursing Practice
View Document

NGR 6172 Case 02: Focused Exam: Hypertension and Type 2 Diabetes Results , Completed Pharmacotherapeutics for Advanced Nursing Practice

  • Pasing-Grades

    Pasing-Grades

  • questions & answers

NGR 6172 Case 02, Focused Exam; Hypertension and Type 2 Diabetes Results , Completed Pharmacotherapeutics for Advanced N...

5 USD

0

0

NGR 6172 Case 01, Focused Exam Pain Management Pharmacotherapeutics for Advanced Nursing Practice
View Document

NGR 6172 Case 01, Focused Exam Pain Management Pharmacotherapeutics for Advanced Nursing Practice

  • Pasing-Grades

    Pasing-Grades

  • questions & answers

NGR 6172 Case 01, Focused Exam Pain Management Pharmacotherapeutics for Advanced Nursing Practice...

6 USD

0

0

NURS 612 Shadow Health All Modules Cases Instructor Keys (Ultimate Exam Pack)
View Document

NURS 612 Shadow Health All Modules Cases Instructor Keys (Ultimate Exam Pack)

  • Pasing-Grades

    Pasing-Grades

  • questions & answers

NURS 612 Shadow Health All Modules Cases Instructor Keys (Ultimate Exam Pack)...

6 USD

0

0

BIO 121 Exam 1 Practice Questions and Answers | Latest 2026
View Document

BIO 121 Exam 1 Practice Questions and Answers | Latest 2026

  • Pasing-Grades

    Pasing-Grades

  • questions & answers

BIO 121 Exam 1 Practice Questions 2026...

6 USD

0

0

BIO 121 Exam 1 Review 2026 Questions and Answers
View Document

BIO 121 Exam 1 Review 2026 Questions and Answers

  • Pasing-Grades

    Pasing-Grades

  • questions & answers

BIO 121 Exam 1 Review 2026...

6 USD

0

0

Best Summarized Study Guide for Biology 121 Exam 1
View Document

Best Summarized Study Guide for Biology 121 Exam 1

  • Pasing-Grades

    Pasing-Grades

  • questions & answers

Best Summarized Study Guide for Biology 121 Exam 1...

6 USD

0

0

Texas Mold Remediation Contractor State Exam Questions & Answers 2024
View Document

Texas Mold Remediation Contractor State Exam Questions & Answers 2024

  • Kaponga

    Kaponga

  • exam

Texas Mold Remediation Contractor State Exam Questions & Answers 2024...

6 USD

0

0

Mold Remediation Contractor TX State exam Review Best for Revision
View Document

Mold Remediation Contractor TX State exam Review Best for Revision

  • Kaponga

    Kaponga

  • exam

Mold Remediation Contractor TX State exam Review Best for Revision...

6 USD

0

0

Exam FX Insurance Exam Questions and Answers 2026
View Document

Exam FX Insurance Exam Questions and Answers 2026

  • Kaponga

    Kaponga

  • exam

Exam FX Insurance Exam Questions and Answers 2026...

6 USD

0

0

BIO 121 Exam 1: Chapters 2-5 | 60 Real Exam Questions & Answers- Campbell Biology
View Document

BIO 121 Exam 1: Chapters 2-5 | 60 Real Exam Questions & Answers- Campbell Biology

  • tutor_gesco

    tutor_gesco

  • exam

Prepare for your BIO 121 Exam 1 with confidence! This real exam covers Chapters 2, 3, 4, and 5 from Campbell Biology, 12...

10 USD

0

0

BIO 121 Exam 1
View Document

BIO 121 Exam 1

  • Pasing-Grades

    Pasing-Grades

  • exam

BIO 121 Exam 1 Chapter 2,3,4 & 5 Fall 2024 Real Exam 60 Questions with Answers Campbell Biology 12th Edition Prepa...

15 USD

0

0

Biology 121 Exam 1 Commonly Tested Questions
View Document

Biology 121 Exam 1 Commonly Tested Questions

  • mentor2000

    mentor2000

  • test bank

Biology 121 Exam 1 Commonly Tested Questions...

10 USD

0

0

The Best NASM CNC Final Exam Study Guide for 2026
View Document

The Best NASM CNC Final Exam Study Guide for 2026

  • Pasing-Grades

    Pasing-Grades

  • exam

The Best NASM CNC Final Exam Study Guide for 2026...

7 USD

0

0

NASM Final Exam Questions and Answers (Real Test)
View Document

NASM Final Exam Questions and Answers (Real Test)

  • Pasing-Grades

    Pasing-Grades

  • exam

NASM Final Exam Questions and Answers (Real Test)...

6 USD

0

0

NASM Weight Loss Specialization Final Exam Study Guide Questions and Answers 2024
View Document

NASM Weight Loss Specialization Final Exam Study Guide Questions and Answers 2024

  • Pasing-Grades

    Pasing-Grades

  • exam

NASM Weight Loss Specialization Final Exam Study Guide Questions and Answers 2024...

5 USD

0

0

NASM Weight Loss Specialist Exam Questions and Answers 2024
View Document

NASM Weight Loss Specialist Exam Questions and Answers 2024

  • Pasing-Grades

    Pasing-Grades

  • exam

NASM Weight Loss Specialist Exam Questions and Answers 2024...

5 USD

0

0

NASM Nutrition Final Exam Questions and Answers 2024
View Document

NASM Nutrition Final Exam Questions and Answers 2024

  • Pasing-Grades

    Pasing-Grades

  • exam

NASM Nutrition Final Exam Questions and Answers 2024...

5 USD

0

0

NASM Nutrition Final Certification Exam 2026 Questions and Answers
View Document

NASM Nutrition Final Certification Exam 2026 Questions and Answers

  • Pasing-Grades

    Pasing-Grades

  • exam

NASM Nutrition Final Certification Exam 2026...

5 USD

0

0

NASM Nutrition Exam Questions and Answers 2026 PDF
View Document

NASM Nutrition Exam Questions and Answers 2026 PDF

  • Pasing-Grades

    Pasing-Grades

  • exam

NASM Nutrition Exam Questions and Answers 2026 PDF...

5 USD

0

0

NASM Nutrition Exam Practice Test Questions and Answers 2024 (PDF)
View Document

NASM Nutrition Exam Practice Test Questions and Answers 2024 (PDF)

  • Pasing-Grades

    Pasing-Grades

  • exam

NASM Nutrition Exam Practice Test Questions and Answers 2024 (PDF)...

6 USD

0

0

NASM CPT FINAL Exam Questions and Answers in PDF
View Document

NASM CPT FINAL Exam Questions and Answers in PDF

  • Pasing-Grades

    Pasing-Grades

  • exam

NASM CPT FINAL Exam Questions and Answers in PDF...

5 USD

0

0

Nasm CPT Final Exam Comprehensive Study Guide 2026
View Document

Nasm CPT Final Exam Comprehensive Study Guide 2026

  • Pasing-Grades

    Pasing-Grades

  • exam

Nasm CPT Final Exam Comprehensive Study Guide 2026...

5 USD

0

0

Five Guys Manager Test Questions and Answers 2026 Real Exam
View Document

Five Guys Manager Test Questions and Answers 2026 Real Exam

  • Pasing-Grades

    Pasing-Grades

  • exam

Five Guys Manager Test Questions and Answers 2026 Real Exam...

5 USD

0

0

CPT NASM Exam 2026 Questions and Answers
View Document

CPT NASM Exam 2026 Questions and Answers

  • Pasing-Grades

    Pasing-Grades

  • exam

CPT NASM Exam 2026 Questions and Answers...

5 USD

0

0

Bloomberg Fixed Income Exam Questions and Answers 2024
View Document

Bloomberg Fixed Income Exam Questions and Answers 2024

  • Pasing-Grades

    Pasing-Grades

  • exam

Bloomberg Fixed Income Exam Questions and Answers 2024...

5 USD

0

0

PRN 1409 Exam 2 Client-Centered Care III Questions and Answers 2024
View Document

PRN 1409 Exam 2 Client-Centered Care III Questions and Answers 2024

  • Opati-Kaka

    Opati-Kaka

  • questions & answers

PRN 1409 Exam 2 Client-Centered Care III Questions and Answers 2024...

5 USD

0

0

Focused Exam, Community-Acquired Pneumonia Results, Completed Advanced Pharmacology
View Document

Focused Exam, Community-Acquired Pneumonia Results, Completed Advanced Pharmacology

  • mentor2000

    mentor2000

  • test bank

Focused Exam, Community-Acquired Pneumonia Results, Completed Advanced Pharmacology...

5 USD

0

0

Assignment 10.2, Arun Patel Shadow Health-Focused Exam, Hypertension and Type 2 Diabetes
View Document

Assignment 10.2, Arun Patel Shadow Health-Focused Exam, Hypertension and Type 2 Diabetes

  • mentor2000

    mentor2000

  • test bank

Assignment 10.2, Arun Patel Shadow Health-Focused Exam, Hypertension and Type 2 Diabetes...

6 USD

0

0

NURS 6521 Final Exam 2026 , Walden University
View Document

NURS 6521 Final Exam 2026 , Walden University

  • mentor2000

    mentor2000

  • test bank

NURS 6521 Final Exam 2026 , Walden University...

5 USD

0

0

Focused Exam UTI with Antibiotic Sensitivity - Completed Advanced Pharmacology (NURS 5304)  Shadow Health
View Document

Focused Exam UTI with Antibiotic Sensitivity - Completed Advanced Pharmacology (NURS 5304) Shadow Health

  • mentor2000

    mentor2000

  • test bank

Focused Exam UTI with Antibiotic Sensitivity - Completed Advanced Pharmacology (NURS 5304) Shadow Health...

6 USD

0

0

Micro 250  Straighterline Final Exam Practice Questions and Answers
View Document

Micro 250 Straighterline Final Exam Practice Questions and Answers

  • Pasing-Grades

    Pasing-Grades

  • exam

Study Micro 250 Straighterline Final Exam Practice Questions and Answers...

6 USD

0

0

StraighterLine Microbiology Final Exam 2026: Real Exam Questions and Answers
View Document

StraighterLine Microbiology Final Exam 2026: Real Exam Questions and Answers

  • Pasing-Grades

    Pasing-Grades

  • exam

Get ready for the StraighterLine Microbiology Final Exam 2026 with real exam questions and answers. Prepare effectively ...

6 USD

0

0

USPS Postal Exam 421 2026: Official Questions and Answers
View Document

USPS Postal Exam 421 2026: Official Questions and Answers

  • Pasing-Grades

    Pasing-Grades

  • exam

Access USPS Exam 421 Postal Exam 2026 questions and answers. Practice with real exam questions and get prepared for the ...

5 USD

0

0

NURS-6521F-9, NURS-6521N-9, NURS-6521C-9 Advanced Pharmacology Exam (Solved!)
View Document

NURS-6521F-9, NURS-6521N-9, NURS-6521C-9 Advanced Pharmacology Exam (Solved!)

  • mentor2000

    mentor2000

  • exam

NURS-6521F-9, NURS-6521N-9, NURS-6521C-9 Advanced Pharmacology Exam (Solved!)...

7 USD

0

0

Milady Cima Final Exam Questions and Answers 2026
View Document

Milady Cima Final Exam Questions and Answers 2026

  • Pasing-Grades

    Pasing-Grades

  • exam

Milady Cima Final Exam Questions and Answers 2026...

5 USD

0

0

WEB WOC Ostomy Care Exam Questions and Answers 2024
View Document

WEB WOC Ostomy Care Exam Questions and Answers 2024

  • Kaponga

    Kaponga

  • exam

WEB WOC Ostomy Care Exam Questions and Answers 2024...

5 USD

0

0

VA Contractors General (Class A or B) Exam Questions & Answers 2024
View Document

VA Contractors General (Class A or B) Exam Questions & Answers 2024

  • Kaponga

    Kaponga

  • exam

VA Contractors General (Class A or B) Exam Questions & Answers 2024...

5 USD

0

0

CSLB Contractor's Law & Business Exam Questions and Answers 2024
View Document

CSLB Contractor's Law & Business Exam Questions and Answers 2024

  • Kaponga

    Kaponga

  • exam

CSLB Contractor's Law & Business Exam...

5 USD

0

0

ATI Mental Health Proctored Exam
View Document

ATI Mental Health Proctored Exam

  • Oscar

    Oscar

  • ati medical surgical

ATI Mental Health Proctored Exam...

15 USD

0

0

Cardiovascular Diseases- Practice Questions with Answers  Harrison’s Internal Medicine 21st Edition
View Document

Cardiovascular Diseases- Practice Questions with Answers Harrison’s Internal Medicine 21st Edition

  • xt_notes

    xt_notes

  • exam

High Yield 50 multiple choice questions from Disorders of the Cardiovascular Diseases, Harrison's Internal Medicine 21st...

10 USD

0

0

Test Bank for Seidel's Guide To Physical Examination an Interprofessional Approach 10th Edition by Jane W. Ball, Joyce E. Dains Chapter 1-26
View Document

Test Bank for Seidel's Guide To Physical Examination an Interprofessional Approach 10th Edition by Jane W. Ball, Joyce E. Dains Chapter 1-26

  • Pasing-Grades

    Pasing-Grades

  • test bank

Download the comprehensive test bank for Seidel's Guide to Physical Examination: Interprofessional Approach, 10th Editio...

15 USD

0

0

Final Exam Advanced Pharmacology NSG 533
View Document

Final Exam Advanced Pharmacology NSG 533

  • Opati-Kaka

    Opati-Kaka

  • questions & answers

Prepare for success in the NSG 533 Advanced Pharmacology Final Exam with comprehensive questions and answers. Enhance yo...

7 USD

0

0

NGR 5149 Advanced Pathophysiology Final Exam
View Document

NGR 5149 Advanced Pathophysiology Final Exam

  • Opati-Kaka

    Opati-Kaka

  • questions & answers

Study NGR 5149 Advanced Pathophysiology Final Exam with in-depth questions and answers designed to reinforce your unders...

7 USD

0

0

IICRC FSRT Exam Questions and Answers | Latest 2026
View Document

IICRC FSRT Exam Questions and Answers | Latest 2026

  • Opati-Kaka

    Opati-Kaka

  • questions & answers

Revise IICRC FSRT Exam with our 2026 practice questions and answers. Get up-to-date, expert-reviewed materials to ensure...

7 USD

0

0

IICRC FSRT Exam Study Guide
View Document

IICRC FSRT Exam Study Guide

  • Opati-Kaka

    Opati-Kaka

  • questions & answers

Pass the IICRC FSRT Exam with our comprehensive study guide. Access detailed explanations, key concepts, and practical t...

6 USD

0

0

NU 664 FINAL EXAM study guide
View Document

NU 664 FINAL EXAM study guide

  • Opati-Kaka

    Opati-Kaka

  • questions & answers

Simplify your exam preparation on NU 664 Final Exam with our detailed study guide. Get essential review material, key to...

7 USD

0

0

COMD 5070 Final Exam Acoustics of Speech and Hearing questions and answers
View Document

COMD 5070 Final Exam Acoustics of Speech and Hearing questions and answers

  • Opati-Kaka

    Opati-Kaka

  • questions & answers

Prepare for the COMD 5070 Final Exam with our comprehensive questions and answers on the acoustics of speech and hearing...

7 USD

0

0

COMD 5070 Final Exam Practice Questions Review
View Document

COMD 5070 Final Exam Practice Questions Review

  • Opati-Kaka

    Opati-Kaka

  • questions & answers

Boost your COMD 5070 Final Exam grades with pasinggrades practice questions and answers. Access key concepts, detailed e...

7 USD

0

0

SPLUNK Core Certified User New Exam Overview Questions and Answers Solution
View Document

SPLUNK Core Certified User New Exam Overview Questions and Answers Solution

  • mentor2000

    mentor2000

  • exam

Get the latest insights with our comprehensive overview of the SPLUNK Core Certified User exam, featuring new questions ...

9 USD

0

0

SPLUNK Core Certified User Exam Questions Over 100 Trial Questions And Answers
View Document

SPLUNK Core Certified User Exam Questions Over 100 Trial Questions And Answers

  • mentor2000

    mentor2000

  • exam

Prepare for the Splunk Core Certified User Exam with over 100 trial questions and answers, designed to help you ace the ...

7 USD

0

0

2019 RN Nursing Care of Children Proctored Exam
View Document

2019 RN Nursing Care of Children Proctored Exam

  • mentor2000

    mentor2000

  • exam

2019 RN Nursing Care of Children Proctored Exam...

6 USD

0

0

Prophecy Core Mandatory Part 1 Exam Graded A+ (latest update)
View Document

Prophecy Core Mandatory Part 1 Exam Graded A+ (latest update)

  • mentor2000

    mentor2000

  • exam

Prophecy Core Mandatory Part 1 Exam Graded A+ (latest update)...

6 USD

0

0

PN Maternal Newborn Final Exam  Maternal Newborn Final Exam Questions & Answers Well Elaborated
View Document

PN Maternal Newborn Final Exam Maternal Newborn Final Exam Questions & Answers Well Elaborated

  • mentor2000

    mentor2000

  • exam

PN Maternal Newborn Final Exam Maternal Newborn Final Exam Questions & Answers Well Elaborated...

8 USD

0

0

Pharmacology Drugs for ATI test, ATI LPN Pharmacology Proctored Exam Review 2024
View Document

Pharmacology Drugs for ATI test, ATI LPN Pharmacology Proctored Exam Review 2024

  • mentor2000

    mentor2000

  • exam

Pharmacology Drugs for ATI test, ATI LPN Pharmacology Proctored Exam Review 2024...

6 USD

0

0

PALS Final Exam 50 Questions & Answers Latest 100% Verified PALS Final Exam (Actual Exam)
View Document

PALS Final Exam 50 Questions & Answers Latest 100% Verified PALS Final Exam (Actual Exam)

  • mentor2000

    mentor2000

  • exam

PALS Final Exam 50 Questions & Answers Latest 100% Verified PALS Final Exam (Actual Exam)...

7 USD

0

0

Oklahoma Board of Dentistry Jurisprudence Exam 2024 Newest Actual Exam
View Document

Oklahoma Board of Dentistry Jurisprudence Exam 2024 Newest Actual Exam

  • mentor2000

    mentor2000

  • exam

Oklahoma Board of Dentistry Jurisprudence Exam 2024 Newest Actual Exam...

8 USD

0

0

NURSING 326  Psychiatric Mental Health Nursing Exam 1
View Document

NURSING 326 Psychiatric Mental Health Nursing Exam 1

  • mentor2000

    mentor2000

  • exam

Review for the Nursing 326 Psychiatric Mental Health Nursing Exam 1 with our comprehensive guide, including key question...

4 USD

0

0

NURS 356 Moc Exam  NCLEX Study Review
View Document

NURS 356 Moc Exam NCLEX Study Review

  • mentor2000

    mentor2000

  • exam

Prepare for the NCLEX with our NURS 356 Mock Exam study review, featuring practice questions and detailed answers to enh...

6 USD

0

0

NUR2092 Health Assessment Final Exam
View Document

NUR2092 Health Assessment Final Exam

  • mentor2000

    mentor2000

  • exam

Master your Health Assessment skills with our comprehensive NUR2092 Final Exam study guide, featuring detailed questions...

7 USD

0

0

NUR245RN ATI Pediatric Proctored Exam Book & Assessments A & B
View Document

NUR245RN ATI Pediatric Proctored Exam Book & Assessments A & B

  • mentor2000

    mentor2000

  • exam

NUR245RN ATI Pediatric Proctored Exam Book & Assessments A & B 2023-2024 300 Questions with Elaborated Answers...

7 USD

0

0

NSG374  Maternal Newborn Final Exam Study Guide
View Document

NSG374 Maternal Newborn Final Exam Study Guide

  • mentor2000

    mentor2000

  • exam

Prepare for success with the NSG374 Maternal Newborn Final Exam Study Guide, covering essential topics for your final ex...

7 USD

0

0

NRNP 6675 Week 11 Fall Final Exam
View Document

NRNP 6675 Week 11 Fall Final Exam

  • mentor2000

    mentor2000

  • exam

Review key concepts and questions with the NRNP 6675 Week 11 Fall Final Exam guide to ace your final assessment....

7 USD

0

0

NUR 242 Exam 3 Latest Actual Exam 180 Questions and Correct Detailed Answers
View Document

NUR 242 Exam 3 Latest Actual Exam 180 Questions and Correct Detailed Answers

  • mentor2000

    mentor2000

  • exam

NUR 242 Exam 3 Latest Actual Exam 180 Questions and Correct Detailed Answers with Rationales Already Graded A+ Galen Col...

6 USD

0

0

NRNP 6645 Psychotherapy  Final Exam 2023  Review Test Submission Exam - Week 11
View Document

NRNP 6645 Psychotherapy Final Exam 2023 Review Test Submission Exam - Week 11

  • mentor2000

    mentor2000

  • exam

Review and ace your NRNP 6645 Psychotherapy final exam with our Week 11 test submission. Access comprehensive questions ...

6 USD

0

0

NRNP 6531 Final Exam Questions & Answers  Updated Solution Exam
View Document

NRNP 6531 Final Exam Questions & Answers Updated Solution Exam

  • mentor2000

    mentor2000

  • exam

Prepare for the NRNP 6531 final exam with updated questions and answers. Access essential solutions and boost your exam ...

7 USD

0

0

NR601 Final Exam Study Guide-HAS-STIs-and-menopause-1 2024
View Document

NR601 Final Exam Study Guide-HAS-STIs-and-menopause-1 2024

  • mentor2000

    mentor2000

  • exam

Prepare for your NR601 final exam with our comprehensive study guide covering STIs and menopause. Get key insights on di...

7 USD

0

0

NR 602 Final Exam Week 8 with Answers 2026
View Document

NR 602 Final Exam Week 8 with Answers 2026

  • mentor2000

    mentor2000

  • exam

NR 602 Final Exam Week 8 with Answers Learn about Turner’s syndrome, including key indicators like primary amenorrhea,...

6 USD

0

0

New RPSGT Exam Study Guide and Practice Test
View Document

New RPSGT Exam Study Guide and Practice Test

  • mentor2000

    mentor2000

  • exam

Enhance your RPSGT exam preparation with our comprehensive study guide and practice test. Get updated answers on mask le...

8 USD

0

0

Most Repeated Study Questions from Past State Exams Summarized 2026
View Document

Most Repeated Study Questions from Past State Exams Summarized 2026

  • mentor2000

    mentor2000

  • exam

Review the most frequently repeated study questions from past state exams with our 2025 updated summary. Focus on key to...

6 USD

0

0

Maternal Newborn OB Final Exam Questions
View Document

Maternal Newborn OB Final Exam Questions

  • Daniel-Onyapidi

    Daniel-Onyapidi

  • test bank

Prepare for your Maternal Newborn OB Final Exam with our curated questions. Review key topics with practice questions an...

7 USD

0

0

HOSA Medical Math Practice Test for NLC
View Document

HOSA Medical Math Practice Test for NLC

  • Daniel-Onyapidi

    Daniel-Onyapidi

  • test bank

Excel in the HOSA Medical Math exam with our comprehensive practice test. Practice with realistic questions and gain a t...

5 USD

0

0

HIT 205 Final Exam Review Questions
View Document

HIT 205 Final Exam Review Questions

  • Daniel-Onyapidi

    Daniel-Onyapidi

  • test bank

Ace your HIT 205 Final Exam with our review questions. Get focused practice on key topics and detailed explanations to b...

6 USD

0

0

Google Professional Data Engineer Exam Actual Questions
View Document

Google Professional Data Engineer Exam Actual Questions

  • Daniel-Onyapidi

    Daniel-Onyapidi

  • test bank

Prepare for the Google Professional Data Engineer Exam with actual tested questions. Get the latest exam-focused content...

6 USD

0

0

FISDAP OBGYN  Pediatrics & Obstetrics Gynecology Exam
View Document

FISDAP OBGYN Pediatrics & Obstetrics Gynecology Exam

  • Daniel-Onyapidi

    Daniel-Onyapidi

  • test bank

Ace the FISDAP OBGYN Pediatrics & Obstetrics Gynecology Exam with our practice questions and answers. Access essential t...

6 USD

0

0

CompTIA Network+ Exam N10-007 Command-Line Utilities Quiz 2024
View Document

CompTIA Network+ Exam N10-007 Command-Line Utilities Quiz 2024

  • Daniel-Onyapidi

    Daniel-Onyapidi

  • test bank

Ace the CompTIA Network+ Exam N10-007 with our 2024 command-line utilities quiz. Test your knowledge with up-to-date que...

7 USD

0

0

Community Health Nursing NCLEX Exam
View Document

Community Health Nursing NCLEX Exam

  • Daniel-Onyapidi

    Daniel-Onyapidi

  • test bank

Prepare for the NCLEX with the latest Community Health Nursing exam questions covering Primary, Secondary, Tertiary Prev...

6 USD

0

0

Cardiology Fisdap Exam Questions and Answers Study Guide
View Document

Cardiology Fisdap Exam Questions and Answers Study Guide

  • Daniel-Onyapidi

    Daniel-Onyapidi

  • test bank

Prepare for the Cardiology Fisdap Exam with our study guide. Access detailed questions and answers, covering key concept...

7 USD

0

0

CANS Exam New Questions and Answers Latest Solution
View Document

CANS Exam New Questions and Answers Latest Solution

  • Daniel-Onyapidi

    Daniel-Onyapidi

  • test bank

Stay ahead with the latest CANS Exam questions and answers. Access updated solutions to help you master key concepts and...

9 USD

0

0

BISC101 Mock Final Exam
View Document

BISC101 Mock Final Exam

  • Daniel-Onyapidi

    Daniel-Onyapidi

  • test bank

Prepare for success with our BISC101 Mock Final Exam. Test your knowledge and review key concepts to ace your biology fi...

8 USD

0

0

BA 331 Actual Exam Questions for Tests 1-3
View Document

BA 331 Actual Exam Questions for Tests 1-3

  • Daniel-Onyapidi

    Daniel-Onyapidi

  • test bank

Get ready for your BA 331 exams with our comprehensive guide featuring actual test questions for Tests 1-3. Study with c...

8 USD

0

0

ATI Proctored Exam Maternal Newborn CMS Latest Exam
View Document

ATI Proctored Exam Maternal Newborn CMS Latest Exam

  • Daniel-Onyapidi

    Daniel-Onyapidi

  • test bank

Prepare for the ATI Proctored Maternal Newborn CMS exam with our latest updated guide. Includes key questions and answer...

7 USD

0

0

ATI PN Comprehensive Exit Exam Retake with NGN
View Document

ATI PN Comprehensive Exit Exam Retake with NGN

  • Daniel-Onyapidi

    Daniel-Onyapidi

  • test bank

Maximize your chances of passing the ATI PN Comprehensive Exit Exam Retake with NGN-focused resources. Get ready with re...

7 USD

0

0

ATI Maternal Newborn Proctored Exam latest updated 100% Verified  A+ Score Solution
View Document

ATI Maternal Newborn Proctored Exam latest updated 100% Verified A+ Score Solution

  • Daniel-Onyapidi

    Daniel-Onyapidi

  • test bank

Get an A+ on your ATI Maternal Newborn Proctored Exam with our latest, verified study guide. Includes 100% updated quest...

7 USD

0

0

ATI Maternal Health Exam Latest Version
View Document

ATI Maternal Health Exam Latest Version

  • Daniel-Onyapidi

    Daniel-Onyapidi

  • test bank

Prepare for your ATI Maternal Health Exam with our latest version guide, featuring updated questions and comprehensive a...

7 USD

0

0

AHLEI Exam Review with Complete Solution -checked- Graded A+ Latest
View Document

AHLEI Exam Review with Complete Solution -checked- Graded A+ Latest

  • Daniel-Onyapidi

    Daniel-Onyapidi

  • test bank

Prepare effectively for the AHLEI Exam with our comprehensive review and complete solutions. Updated for 2023-2024, ensu...

7 USD

0

0

AHIMA RHIA Exam Prep (7th Edition)Questions And Answers 2024
View Document

AHIMA RHIA Exam Prep (7th Edition)Questions And Answers 2024

  • Daniel-Onyapidi

    Daniel-Onyapidi

  • test bank

Master the AHIMA RHIA Exam with our updated prep guide featuring questions and answers for the 7th Edition. Perfect for ...

7 USD

0

0

ACLS Study Guide
View Document

ACLS Study Guide

  • Daniel-Onyapidi

    Daniel-Onyapidi

  • test bank

Prepare for your ACLS certification with our comprehensive final exam study guide. Access questions and answers for ACLS...

7 USD

0

0

ACHE FACHE BOG Finance. Finance 66 Final Exam 2024 Questions and Answers
View Document

ACHE FACHE BOG Finance. Finance 66 Final Exam 2024 Questions and Answers

  • Daniel-Onyapidi

    Daniel-Onyapidi

  • test bank

Master the ACHE FACHE BOG Finance exam with our 2024 guide. Access 66 final exam questions and answers to ensure thoroug...

8 USD

0

0

Aetna Individual Core Certification Mastery Exam 2024 Questions and Answers
View Document

Aetna Individual Core Certification Mastery Exam 2024 Questions and Answers

  • Daniel-Onyapidi

    Daniel-Onyapidi

  • test bank

Achieve mastery in the Aetna Individual Core Certification with our 2024 exam guide. Complete with up-to-date questions ...

7 USD

0

0

NGRK 520 Beginner Greek 1 Exam 3 Questions and Answers- Already graded A, 2024.
View Document

NGRK 520 Beginner Greek 1 Exam 3 Questions and Answers- Already graded A, 2024.

  • studypal

    studypal

  • questions & answers

Master Beginner Greek with our NGRK 520 Exam 3 study guide. Graded A for 2024, this guide includes accurate questions an...

13 USD

0

0

NGRK 520 Beginner Greek 1 Exam 1 Questions and Answers – Graded A, 2024 Study Guide
View Document

NGRK 520 Beginner Greek 1 Exam 1 Questions and Answers – Graded A, 2024 Study Guide

  • studypal

    studypal

  • questions & answers

Boost your grades with our NGRK 520 Beginner Greek 1 Exam 1 study guide. Includes all questions and answers, graded A, f...

13 USD

0

0

NGRK 520 Beginner Greek 1 Exam 1 Questions and Answers- Already graded A.
View Document

NGRK 520 Beginner Greek 1 Exam 1 Questions and Answers- Already graded A.

  • studypal

    studypal

  • questions & answers

Excel in Greek with our NGRK 520 Beginner Greek 1 Exam 1 review. Access graded questions and answers on key topics like ...

7 USD

0

0

NGRK 520 Beginner Greek 1 Exam 3 Questions and Answers- Already graded A.
View Document

NGRK 520 Beginner Greek 1 Exam 3 Questions and Answers- Already graded A.

  • studypal

    studypal

  • questions & answers

Exams around the corner? Here is NGRK 520 Beginner Greek 1 with Exam 3 Questions and Answers, pre-graded with an A. Acce...

14 USD

0

0

ATI TEAS 7 Science Test Bank Questions Answers 2024
View Document

ATI TEAS 7 Science Test Bank Questions Answers 2024

  • Gradepush

    Gradepush

  • exam

Enhance your ATI TEAS 7 Science exam preparation with our comprehensive test bank for 2024. Featuring detailed questions...

10 USD

0

0

Teas 7 Exam Questions and Answers 2024
View Document

Teas 7 Exam Questions and Answers 2024

  • Gradepush

    Gradepush

  • exam

Prepare for the TEAS 7 Exam with our 2024 comprehensive guide. Includes a complete set of practice questions and answers...

6 USD

0

0

Module 7 Exam  BioChem 210 Portage Learning Questions and Answers 2026
View Document

Module 7 Exam BioChem 210 Portage Learning Questions and Answers 2026

  • Gradepush

    Gradepush

  • exam

Essential study guide for the BioChem 210 Module 7 Exam from Portage Learning. Includes key questions and detailed answe...

6 USD

0

0

Module 5 Exam Portage Learning BioChem 210 Questions and Answers 2026
View Document

Module 5 Exam Portage Learning BioChem 210 Questions and Answers 2026

  • Gradepush

    Gradepush

  • exam

Complete study resource for the BioChem 210 Module 5 Exam by Portage Learning. Get comprehensive questions and answers t...

6 USD

0

0

Module 4 Exam - Portage Learning BioChem 210 Questions and Answers 2026
View Document

Module 4 Exam - Portage Learning BioChem 210 Questions and Answers 2026

  • Gradepush

    Gradepush

  • exam

Essential guide for the BioChem 210 Module 4 Exam by Portage Learning. Access detailed questions and answers to optimize...

6 USD

0

0

Module 3 Exam Portage Learning BioChem 210 Questions and Answers 2026
View Document

Module 3 Exam Portage Learning BioChem 210 Questions and Answers 2026

  • Gradepush

    Gradepush

  • exam

Comprehensive resource for the BioChem 210 Module 3 Exam from Portage Learning. Get detailed questions and answers to en...

6 USD

0

0

Module 2 BioChem 210 Exam - Portage Learning Questions and Answers 2026
View Document

Module 2 BioChem 210 Exam - Portage Learning Questions and Answers 2026

  • Gradepush

    Gradepush

  • exam

Essential guide for the BioChem 210 Module 2 Exam from Portage Learning. This resource offers a complete set of question...

5 USD

0

0

BioChem 210 Module 1 Exam - Portage Learning Questions and Answers 2026
View Document

BioChem 210 Module 1 Exam - Portage Learning Questions and Answers 2026

  • Gradepush

    Gradepush

  • exam

Comprehensive guide for the BioChem 210 Module 1 Exam from Portage Learning. Includes a detailed set of questions and an...

5 USD

0

0

BioChem 210 Final Exam - Portage Learning Questions and Answers 2026
View Document

BioChem 210 Final Exam - Portage Learning Questions and Answers 2026

  • Gradepush

    Gradepush

  • exam

Detailed study material for the BioChem 210 Final Exam from Portage Learning. Contains a thorough collection of question...

5 USD

0

0

BioChem 210 Module 6 Exam - Portage Learning Questions and Answers 2026
View Document

BioChem 210 Module 6 Exam - Portage Learning Questions and Answers 2026

  • Gradepush

    Gradepush

  • exam

Prepare for your BioChem 210 Module 6 exam with Portage Learning's 2025 questions and answers. Get essential practice to...

6 USD

0

0

Exam11.02 Final Exam Questions and Answers 2024
View Document

Exam11.02 Final Exam Questions and Answers 2024

  • Pasing-Grades

    Pasing-Grades

  • exam

Exam11.02 Final Exam Questions and Answers 2024...

5 USD

0

0

Comprehensive APEA 3P Exam Key Concepts and Clinical Guidelines 2024
View Document

Comprehensive APEA 3P Exam Key Concepts and Clinical Guidelines 2024

  • TopAcademik

    TopAcademik

  • exam

Master key concepts and clinical guidelines for the APEA 3P exam with our comprehensive 2024 study guide. Essential for ...

15 USD

0

0

HESI LPN Fundamentals Latest Exam Pack
View Document

HESI LPN Fundamentals Latest Exam Pack

  • Pasing-Grades

    Pasing-Grades

  • exam

HESI LPN Fundamentals Latest Exam Pack – Download PDF...

10 USD

0

0

WGU D447 Final Exam 2024
View Document

WGU D447 Final Exam 2024

  • Pasing-Grades

    Pasing-Grades

  • exam

WGU D447 Final Exam 2024 – Download PDF...

7 USD

0

0

HESI Pharmacology Evolve Exam
View Document

HESI Pharmacology Evolve Exam

  • Pasing-Grades

    Pasing-Grades

  • exam

HESI Pharmacology Evolve Exam – Download PDF...

10 USD

0

0

GSEC 401 Exam Questions and Answers 2024
View Document

GSEC 401 Exam Questions and Answers 2024

  • Pasing-Grades

    Pasing-Grades

  • exam

GSEC 401 Exam Questions and Answers 2024 – Download PDF...

5 USD

0

0

SANS 401 GSEC Exam Practice Questions
View Document

SANS 401 GSEC Exam Practice Questions

  • Pasing-Grades

    Pasing-Grades

  • exam

SANS 401 GSEC Exam Practice Questions – Download PDF...

6 USD

0

0

NSG 530 Advanced Pathophysiology 530 - Exam 3Advanced Pathophysiology 530 - Exam 3
View Document

NSG 530 Advanced Pathophysiology 530 - Exam 3Advanced Pathophysiology 530 - Exam 3

  • Daniel-Onyapidi

    Daniel-Onyapidi

  • exam

NSG 530 Advanced Pathophysiology 530 - Exam 3Advanced Pathophysiology 530 - Exam 3...

7 USD

0

0

NRNP 6665 Week 6 Midterm Exam Questions and Answers 2026
View Document

NRNP 6665 Week 6 Midterm Exam Questions and Answers 2026

  • mentor2000

    mentor2000

  • test bank

NRNP 6665 Week 6 Midterm Exam Questions and Answers 2025...

6 USD

0

0

Cyber Awareness Challenge Latest 2024 Exam Questions and Answers
View Document

Cyber Awareness Challenge Latest 2024 Exam Questions and Answers

  • Gradepush

    Gradepush

  • exam

Cyber Awareness Challenge Latest 2024 Exam Questions and Answers – Download PDF...

6 USD

0

0

HIPAA and Privacy Act Training (DHA-US001) (CHALLENGE EXAM) 2024
View Document

HIPAA and Privacy Act Training (DHA-US001) (CHALLENGE EXAM) 2024

  • Gradepush

    Gradepush

  • exam

HIPAA and Privacy Act Training (DHA-US001) (CHALLENGE EXAM) 2024 – Download PDF...

6 USD

0

0

Annual DoD Cyber Awareness Challenge Exam 2024 Questions and Answers
View Document

Annual DoD Cyber Awareness Challenge Exam 2024 Questions and Answers

  • Gradepush

    Gradepush

  • exam

Annual DoD Cyber Awareness Challenge Exam 2024 Questions and Answers – Download PDF...

6 USD

0

0

Ontario Private Investigator Exam Questions and Answers 2024
View Document

Ontario Private Investigator Exam Questions and Answers 2024

  • Gradepush

    Gradepush

  • exam

Ontario Private Investigator Exam Questions and Answers 2024...

6 USD

0

0

PI Exam Questions and Answers 2024
View Document

PI Exam Questions and Answers 2024

  • Gradepush

    Gradepush

  • exam

PI Exam Questions and Answers 2024...

6 USD

0

0

WGU Data Management - Foundations - D426 Real Exam
View Document

WGU Data Management - Foundations - D426 Real Exam

  • Gradepush

    Gradepush

  • exam

Master your WGU Data Management - Foundations - D426 exam with real questions and answers!...

6 USD

0

0

WGU D426 Final Exam Review
View Document

WGU D426 Final Exam Review

  • Gradepush

    Gradepush

  • exam

WGU D426 Final Exam Review – Download PDF...

6 USD

0

0

Train Operator Exam Questions and Answers 2024
View Document

Train Operator Exam Questions and Answers 2024

  • Gradepush

    Gradepush

  • exam

Train Operator Exam Questions and Answers 2024 – Download PDF...

5 USD

0

0

The Mini Mental Status Exam (MMSE) Cheat Sheet
View Document

The Mini Mental Status Exam (MMSE) Cheat Sheet

  • Gradepush

    Gradepush

  • exam

The Mini Mental Status Exam (MMSE) Cheat Sheet – Download PDF...

6 USD

0

0

The Mini Mental State Examination and The MoCA 2024
View Document

The Mini Mental State Examination and The MoCA 2024

  • Gradepush

    Gradepush

  • exam

The Mini Mental State Examination and The MoCA 2024 – Download PDF...

6 USD

0

0

RPL PPL CASA  Actual Examination Questions and Answers 2024
View Document

RPL PPL CASA Actual Examination Questions and Answers 2024

  • Gradepush

    Gradepush

  • exam

RPL PPL CASA Actual Examination Questions and Answers 2024 – Download PDF...

6 USD

0

0

REPL EXAM Final Exam Questions and Answers 2024
View Document

REPL EXAM Final Exam Questions and Answers 2024

  • Gradepush

    Gradepush

  • exam

REPL EXAM Final Exam Questions and Answers 2024 – Download PDF...

5 USD

0

0

RePL Exam CASA Questions with Complete Solutions 2024
View Document

RePL Exam CASA Questions with Complete Solutions 2024

  • Gradepush

    Gradepush

  • exam

RePL Exam CASA Questions with Complete Solutions 2024 – Download PDF...

6 USD

0

0

Oilers, Plant Tenders (HHC) Civil Service Exam Questions and Answers 2024
View Document

Oilers, Plant Tenders (HHC) Civil Service Exam Questions and Answers 2024

  • Gradepush

    Gradepush

  • exam

Oilers, Plant Tenders (HHC) Civil Service Exam Questions and Answers 2024 – Download PDF...

6 USD

0

0

MTA 98 366 Networking fundamentals Exam 1 Questions and Answers 2024
View Document

MTA 98 366 Networking fundamentals Exam 1 Questions and Answers 2024

  • Gradepush

    Gradepush

  • exam

MTA 98 366 Networking fundamentals Exam 1 Questions and Answers 2024 – Download PDF...

6 USD

0

0

MTA Real Exam
View Document

MTA Real Exam

  • Gradepush

    Gradepush

  • exam

MTA Real Exam – Download PDF...

6 USD

0

0

MTA Practice Exam Questions and Answers
View Document

MTA Practice Exam Questions and Answers

  • Gradepush

    Gradepush

  • exam

MTA Practice Exam Questions and Answers – Download PDF...

6 USD

0

0

MTA Networking 98-366 Final Exam Questions and Answers 2024
View Document

MTA Networking 98-366 Final Exam Questions and Answers 2024

  • Gradepush

    Gradepush

  • exam

MTA Networking 98-366 Final Exam Questions and Answers 2024 – Download PDF...

6 USD

0

0

MTA Final Exam Questions and Answers 2024
View Document

MTA Final Exam Questions and Answers 2024

  • Gradepush

    Gradepush

  • exam

MTA Final Exam Questions and Answers 2024 – Download PDF...

6 USD

0

0

MTA Exam Study Guide
View Document

MTA Exam Study Guide

  • Gradepush

    Gradepush

  • exam

MTA Exam Study Guide – Download PDF...

5 USD

0

0

MTA Certification Exam Questions and Answers
View Document

MTA Certification Exam Questions and Answers

  • Gradepush

    Gradepush

  • exam

MTA Certification Exam Questions and Answers – Download PDF...

6 USD

0

0

Mississippi Class D Commercial License Exam Questions and Answers 2024
View Document

Mississippi Class D Commercial License Exam Questions and Answers 2024

  • Gradepush

    Gradepush

  • exam

Mississippi Class D Commercial License Exam Questions and Answers 2024 – Download PDF...

6 USD

0

0

Mississippi Class D Commercial driver's test 2024 Real Exam
View Document

Mississippi Class D Commercial driver's test 2024 Real Exam

  • Gradepush

    Gradepush

  • exam

Mississippi Class D Commercial driver's test 2024 Real Exam – Download PDF...

6 USD

0

0

Mini-Mental State Exam (MMSE) Final Exam
View Document

Mini-Mental State Exam (MMSE) Final Exam

  • Gradepush

    Gradepush

  • exam

Mini-Mental State Exam (MMSE) Final Exam – Download PDF...

6 USD

0

0

Mini Mental Exam 1 Questions and Answers 2024
View Document

Mini Mental Exam 1 Questions and Answers 2024

  • Gradepush

    Gradepush

  • exam

Mini Mental Exam 1 Questions and Answers 2024 – Download PDF...

5 USD

0

0

McDonalds Crew Trainer Test 2024 Questions and Answers Real Exam
View Document

McDonalds Crew Trainer Test 2024 Questions and Answers Real Exam

  • Gradepush

    Gradepush

  • exam

McDonalds Crew Trainer Test 2024 Questions and Answers Real Exam – Download PDF...

6 USD

0

0

ICU BKAT Final Exam Study Guide
View Document

ICU BKAT Final Exam Study Guide

  • Gradepush

    Gradepush

  • exam

ICU BKAT Final Exam Study Guide – Download PDF...

6 USD

0

0

HLTH 4605 Final Exam Questions and Answers 2024
View Document

HLTH 4605 Final Exam Questions and Answers 2024

  • Gradepush

    Gradepush

  • exam

HLTH 4605 Final Exam Questions and Answers 2024 – Download PDF...

6 USD

0

0

Folstein Mini Mental Status Examination Practice Questions and Answers
View Document

Folstein Mini Mental Status Examination Practice Questions and Answers

  • Gradepush

    Gradepush

  • exam

Folstein Mini Mental Status Examination Practice Questions and Answers – Download PDF...

5 USD

0

0

DCASE Real Exam with Answers 2024
View Document

DCASE Real Exam with Answers 2024

  • Gradepush

    Gradepush

  • exam

DCASE Real Exam with Answers 2024 – Download PDF...

6 USD

0

0

DCASE Final Exam Questions and Answers 2024
View Document

DCASE Final Exam Questions and Answers 2024

  • Gradepush

    Gradepush

  • exam

DCASE Final Exam Questions and Answers 2024 – Download PDF...

6 USD

0

0

DCA Final Exam Questions and Answers
View Document

DCA Final Exam Questions and Answers

  • Gradepush

    Gradepush

  • exam

DCA Final Exam Questions and Answers – Download PDF...

5 USD

0

0

D426 Final Exam Study Guide 2024
View Document

D426 Final Exam Study Guide 2024

  • Gradepush

    Gradepush

  • exam

D426 Final Exam Study Guide 2024 – Download PDF...

6 USD

0

0

CTE 4605 Exam Study Guide
View Document

CTE 4605 Exam Study Guide

  • Opati-Kaka

    Opati-Kaka

  • questions & answers

CTE 4605 Exam Study Guide – Download PDF...

6 USD

0

0

CT All-Lines Adjuster Licensing Exam Study Guide
View Document

CT All-Lines Adjuster Licensing Exam Study Guide

  • Opati-Kaka

    Opati-Kaka

  • questions & answers

CT All-Lines Adjuster Licensing Exam Study Guide – Download PDF...

5 USD

0

0

Connecticut Casualty Adjuster Test for All Lines Exam Questions and Answers 2024
View Document

Connecticut Casualty Adjuster Test for All Lines Exam Questions and Answers 2024

  • Opati-Kaka

    Opati-Kaka

  • questions & answers

Connecticut Casualty Adjuster Test for All Lines Exam Questions and Answers 2024 – Download PDF...

5 USD

0

0

Connecticut Casualty Adjuster for All Lines Series 18-09 Exam Simulator 2 Best For Exam Review
View Document

Connecticut Casualty Adjuster for All Lines Series 18-09 Exam Simulator 2 Best For Exam Review

  • Opati-Kaka

    Opati-Kaka

  • questions & answers

Connecticut Casualty Adjuster for All Lines Series 18-09 Exam Simulator 2 Best For Exam Review – Download PDF...

6 USD

0

0

BUL4310 Final Exam Questions and Answers 2024
View Document

BUL4310 Final Exam Questions and Answers 2024

  • Opati-Kaka

    Opati-Kaka

  • questions & answers

BUL4310 Final Exam Questions and Answers 2024 – Download PDF...

5 USD

0

0

BUA 235 Matt Graham UMaine Exam Study Guide 2024-2026
View Document

BUA 235 Matt Graham UMaine Exam Study Guide 2024-2026

  • Opati-Kaka

    Opati-Kaka

  • questions & answers

BUA 235 Matt Graham UMaine Exam Study Guide 2024-2025 – Download PDF...

5 USD

0

0

BKAT ICU Final Exam Questions and Answers
View Document

BKAT ICU Final Exam Questions and Answers

  • Opati-Kaka

    Opati-Kaka

  • questions & answers

BKAT ICU Final Exam Questions and Answers – Download PDF...

5 USD

0

0

BKAT 9R Real Exam 2024
View Document

BKAT 9R Real Exam 2024

  • Opati-Kaka

    Opati-Kaka

  • questions & answers

BKAT 9R Real Exam 2024 – Download PDF...

5 USD

0

0

BKAT 9R Final Exam Study Guide
View Document

BKAT 9R Final Exam Study Guide

  • Opati-Kaka

    Opati-Kaka

  • questions & answers

BKAT 9R Final Exam Study Guide – Download PDF...

5 USD

0

0

BKAT 9R Final Exam Questions and Answers 2024 Real Test
View Document

BKAT 9R Final Exam Questions and Answers 2024 Real Test

  • Opati-Kaka

    Opati-Kaka

  • questions & answers

BKAT 9R Final Exam Questions and Answers 2024 Real Test – Download PDF...

6 USD

0

0

HFMA CHFP MODULE 1 Business of Healthcare Exam Questions and Answers
View Document

HFMA CHFP MODULE 1 Business of Healthcare Exam Questions and Answers

  • Eddah-Nafula

    Eddah-Nafula

  • exam

HFMA CHFP MODULE 1 Business of Healthcare Exam Questions and Answers – Download PDF...

6 USD

0

0

NIMS ICS-300 Final Exam Questions and Answers 2024
View Document

NIMS ICS-300 Final Exam Questions and Answers 2024

  • Eddah-Nafula

    Eddah-Nafula

  • exam

NIMS ICS-300 Final Exam Questions and Answers 2024 – Download PDF...

6 USD

0

0

ICS-300 Intermediate ICS for Expanding Incidents Exam Questions and Answers 2024
View Document

ICS-300 Intermediate ICS for Expanding Incidents Exam Questions and Answers 2024

  • Eddah-Nafula

    Eddah-Nafula

  • exam

ICS-300 Intermediate ICS for Expanding Incidents Exam Questions and Answers 2024 – Download PDF...

6 USD

0

0

CTE 4605 Exam 1
View Document

CTE 4605 Exam 1

  • Eddah-Nafula

    Eddah-Nafula

  • exam

CTE 4605 Exam 1 – Download PDF...

6 USD

0

0

TEFL Final Exam Questions and Answers 2024
View Document

TEFL Final Exam Questions and Answers 2024

  • Eddah-Nafula

    Eddah-Nafula

  • exam

TEFL Final Exam Questions and Answers 2024 – Download PDF...

6 USD

0

0

RePL Exam CASA Practice Questions with Solutions
View Document

RePL Exam CASA Practice Questions with Solutions

  • Eddah-Nafula

    Eddah-Nafula

  • exam

RePL Exam CASA Practice Questions with Solutions – Download PDF...

6 USD

0

0

Train Operator Complete Exam Pack with Questions and Answers Commonly Tested
View Document

Train Operator Complete Exam Pack with Questions and Answers Commonly Tested

  • Kaponga

    Kaponga

  • exam

Train Operator Complete Exam Pack with Questions and Answers Commonly Tested...

10 USD

0

0

Mendix Certification Exam Questions and Answers
View Document

Mendix Certification Exam Questions and Answers

  • mentor2000

    mentor2000

  • exam

Mendix Certification Exam Questions and Answers...

6 USD

0

0

Mendix Advanced Certificate Exam Questions and Answers
View Document

Mendix Advanced Certificate Exam Questions and Answers

  • mentor2000

    mentor2000

  • exam

Mendix Advanced Certificate Exam Questions and Answers...

5 USD

0

0

ECSA 102 BCA Epic Exam Questions and Answers
View Document

ECSA 102 BCA Epic Exam Questions and Answers

  • mentor2000

    mentor2000

  • exam

ECSA 102 BCA Epic Exam Questions and Answers...

5 USD

0

0

Mendix Intermediate Final Exam 2024 Questions and Answers
View Document

Mendix Intermediate Final Exam 2024 Questions and Answers

  • mentor2000

    mentor2000

  • exam

Mendix Intermediate Final Exam 2024 Questions and Answers...

6 USD

0

0

RADT 1001 Final Exam Questions and Answers 2024
View Document

RADT 1001 Final Exam Questions and Answers 2024

  • mentor2000

    mentor2000

  • exam

RADT 1001 Final Exam Questions and Answers 2024...

6 USD

0

0

RADT 1001 Exam Questions and Answers
View Document

RADT 1001 Exam Questions and Answers

  • mentor2000

    mentor2000

  • exam

RADT 1001 Exam Questions and Answers...

6 USD

0

0

Mendix Intermediate Real Exam Questions And Answers 2026
View Document

Mendix Intermediate Real Exam Questions And Answers 2026

  • mentor2000

    mentor2000

  • exam

Mendix Intermediate Real Exam Questions And Answers 2025...

6 USD

0

0

Bio 235 Athabasca Exam 3 Questions And Answers 2024
View Document

Bio 235 Athabasca Exam 3 Questions And Answers 2024

  • Gradepush

    Gradepush

  • questions & answers

Bio 235 Athabasca Exam 3 Questions And Answers 2024 – Download PDF...

7 USD

0

0

Bio 235 Final Exam Questions and Answers 2024
View Document

Bio 235 Final Exam Questions and Answers 2024

  • Gradepush

    Gradepush

  • questions & answers

Bio 235 Final Exam Questions and Answers 2024 – Download PDF...

6 USD

0

0

USA Firefighter Real Exam 2024 Questions and Answers
View Document

USA Firefighter Real Exam 2024 Questions and Answers

  • Emily

    Emily

  • exam

USA Firefighter Real Exam 2024 Questions and Answers – Download PDF...

5 USD

0

0

SOA PA Exam Final Exam Questions and Answers 2024
View Document

SOA PA Exam Final Exam Questions and Answers 2024

  • Emily

    Emily

  • exam

SOA PA Exam Final Exam Questions and Answers 2024 – Download PDF...

5 USD

0

0

SOA Exam PA Exam Review
View Document

SOA Exam PA Exam Review

  • Emily

    Emily

  • exam

SOA Exam PA Exam Review – Download PDF...

5 USD

0

0

SOA Exam FM Practice Questions and Answers 2024
View Document

SOA Exam FM Practice Questions and Answers 2024

  • Emily

    Emily

  • exam

SOA Exam FM Practice Questions and Answers 2024 – Download PDF...

5 USD

0

0

SOA Exam FAM Questions and Answers 2024
View Document

SOA Exam FAM Questions and Answers 2024

  • Emily

    Emily

  • exam

SOA Exam FAM Questions and Answers 2024 – Download PDF...

5 USD

0

0

NYS EMT-B State Exam Questions and Answers 2024
View Document

NYS EMT-B State Exam Questions and Answers 2024

  • Emily

    Emily

  • exam

NYS EMT-B State Exam Questions and Answers 2024 – Download PDF...

5 USD

0

0

FDNY Proby School Exam Questions and Answers 2024
View Document

FDNY Proby School Exam Questions and Answers 2024

  • Emily

    Emily

  • exam

FDNY Proby School Exam Questions and Answers 2024 – Download PDF...

5 USD

0

0

FDNY Midterm Exam 2024 Real Test
View Document

FDNY Midterm Exam 2024 Real Test

  • Emily

    Emily

  • exam

FDNY Midterm Exam 2024 Real Test – Download PDF...

5 USD

0

0

FDNY Final Exam 2024
View Document

FDNY Final Exam 2024

  • Emily

    Emily

  • exam

FDNY Final Exam 2024 – Download PDF...

5 USD

0

0

FDNY Exam Review 2024
View Document

FDNY Exam Review 2024

  • Emily

    Emily

  • exam

FDNY Exam Review 2024 – Download PDF...

5 USD

0

0

FDNY EMS Final Exam Study Guide 2024
View Document

FDNY EMS Final Exam Study Guide 2024

  • Emily

    Emily

  • exam

FDNY EMS Final Exam Study Guide 2024 – Download PDF...

5 USD

0

0

Exam FAM Final Exam 2024
View Document

Exam FAM Final Exam 2024

  • Emily

    Emily

  • exam

Exam FAM Final Exam 2024 – Download PDF...

5 USD

0

0

DC-AC Midterm Exam Questions and Answers 2024
View Document

DC-AC Midterm Exam Questions and Answers 2024

  • Emily

    Emily

  • exam

DC-AC Midterm Exam Questions and Answers 2024 – Download PDF...

5 USD

0

0

DC_AC Drives Exam study Guide 2024
View Document

DC_AC Drives Exam study Guide 2024

  • Emily

    Emily

  • exam

DC_AC Drives Exam study Guide 2024 – Download PDF...

5 USD

0

0

Micro Exam 2 Practice Exam Questions and Answers 2024
View Document

Micro Exam 2 Practice Exam Questions and Answers 2024

  • mentor2000

    mentor2000

  • exam

Micro Exam 2 Practice Exam Questions and Answers 2024...

9 USD

0

0

NURS 6521 Final Exam, Advanced Pharmacology – Walden University (Latest 2024)
View Document

NURS 6521 Final Exam, Advanced Pharmacology – Walden University (Latest 2024)

  • Kaponga

    Kaponga

  • exam

NURS 6521 Final Exam, Advanced Pharmacology – Walden University (Latest 2024)...

10 USD

0

0

IVY TECH APHY 101 Final Exam 2024 Questions with Solutions
View Document

IVY TECH APHY 101 Final Exam 2024 Questions with Solutions

  • mentor2000

    mentor2000

  • exam

IVY TECH APHY 101 Final Exam 2024 Questions with Solutions...

5 USD

0

0

Anatomy and Physiology 101 Final Exam Ivy Tech 2026
View Document

Anatomy and Physiology 101 Final Exam Ivy Tech 2026

  • mentor2000

    mentor2000

  • exam

Anatomy and Physiology 101 Final Exam Ivy Tech 2025...

6 USD

0

0

Ivy Tech Chemistry 101 Final Exam
View Document

Ivy Tech Chemistry 101 Final Exam

  • mentor2000

    mentor2000

  • exam

Ivy Tech Chemistry 101 Final Exam...

6 USD

0

0

Ivy Tech Final Exam Practice Questions and Answers
View Document

Ivy Tech Final Exam Practice Questions and Answers

  • mentor2000

    mentor2000

  • exam

Ivy Tech Final Exam Practice Questions and Answers...

5 USD

0

0

Ivy Tech Anatomy and Physiology 101 Final Exam 2026 Questions and Answers
View Document

Ivy Tech Anatomy and Physiology 101 Final Exam 2026 Questions and Answers

  • mentor2000

    mentor2000

  • exam

Pass the Ivy Tech 101 Anatomy and Physiology Final Exam questions and answers. Boost your confidence with great study ma...

5 USD

0

0

Final Exam Aphy Ivy Tech 101 2024
View Document

Final Exam Aphy Ivy Tech 101 2024

  • mentor2000

    mentor2000

  • exam

Final Exam Aphy Ivy Tech 101 2024...

6 USD

0

0

ATI PEDIATRIC NURSING PROCTORED EXAM QUESTIONS WITH VERIFIED ANSWERS
View Document

ATI PEDIATRIC NURSING PROCTORED EXAM QUESTIONS WITH VERIFIED ANSWERS

  • TopAcademik

    TopAcademik

  • ati proctored

ATI PEDIATRIC NURSING PROCTORED EXAM QUESTIONS WITH VERIFIED ANSWERS – Download PDF...

36 USD

0

0

Test Bank Essential Cell Biology 5th Edition Alberts Hopkin Questions & Answers with rationales (Chapter 1-20)
View Document

Test Bank Essential Cell Biology 5th Edition Alberts Hopkin Questions & Answers with rationales (Chapter 1-20)

  • mentor2000

    mentor2000

  • test bank

Test Bank Essential Cell Biology 5th Edition Alberts Hopkin Questions & Answers with rationales (Chapter 1-20)...

17 USD

0

0

(Best Answers) Pharmacology NURS 251 Module 10 Exam Questions and Answers 100% Verified
View Document

(Best Answers) Pharmacology NURS 251 Module 10 Exam Questions and Answers 100% Verified

  • Highergrades

    Highergrades

  • questions & answers

(Best Answers) Pharmacology NURS 251 Module 10 Exam Questions and Answers 100% Verified...

12 USD

0

0

NURS 251 EXAM 2 QUESTIONS AND ANSWERS with 100% VERIFIED SOLUTIONS
View Document

NURS 251 EXAM 2 QUESTIONS AND ANSWERS with 100% VERIFIED SOLUTIONS

  • Highergrades

    Highergrades

  • questions & answers

NURS 251 EXAM 2 QUESTIONS AND ANSWERS with 100% VERIFIED SOLUTIONS...

11 USD

0

0

BIOD 152 Final Exam Essential Human Anatomy & Physiology II: Portage Learning (Verified Questions & Answers 100% Verified)
View Document

BIOD 152 Final Exam Essential Human Anatomy & Physiology II: Portage Learning (Verified Questions & Answers 100% Verified)

  • Highergrades

    Highergrades

  • questions & answers

BIOD 152 Final Exam Essential Human Anatomy & Physiology II: Portage Learning (Verified Questions & Answers 100% Verifie...

9 USD

0

0

STAT 1100Q UConn Exam 1 Actual Study Guide
View Document

STAT 1100Q UConn Exam 1 Actual Study Guide

  • Emily

    Emily

  • study guide

STAT 1100Q UConn Exam 1 Actual Study Guide...

10 USD

0

0

Physics1201Q Final Exam Questions
View Document

Physics1201Q Final Exam Questions

  • Emily

    Emily

  • study guide

Physics1201Q Final Exam Questions...

8 USD

0

0

UConn Biology 1107 Final Exam
View Document

UConn Biology 1107 Final Exam

  • mentor2000

    mentor2000

  • exam

UConn Biology 1107 Final Exam...

7 USD

0

1

UConn ECE physics 1 Final Examination with Answers
View Document

UConn ECE physics 1 Final Examination with Answers

  • mentor2000

    mentor2000

  • exam

UConn ECE physics 1 Final Examination with Answers...

10 USD

0

0

NUR 410 Burns Exam Practice Questions and Answers
View Document

NUR 410 Burns Exam Practice Questions and Answers

  • Kaponga

    Kaponga

  • exam

NUR 410 Burns Exam Practice Questions and Answers...

6 USD

0

0

Nur 410 Final Exam 2024 Questions with Solutions
View Document

Nur 410 Final Exam 2024 Questions with Solutions

  • Kaponga

    Kaponga

  • exam

Nur 410 Final Exam 2024 Questions with Solutions...

6 USD

0

0

NUR 410 exam 2 questions (solved)
View Document

NUR 410 exam 2 questions (solved)

  • Kaponga

    Kaponga

  • exam

NUR 410 exam 2 questions (solved)...

6 USD

0

0

NUR 410 Final NCLEX Comprehensive Exam Questions with Answers 2024
View Document

NUR 410 Final NCLEX Comprehensive Exam Questions with Answers 2024

  • Kaponga

    Kaponga

  • exam

NUR 410 Final NCLEX Comprehensive Exam Questions with Answers 2024...

7 USD

0

0

HIEU 201 LU Exam Questions and Answers 2024
View Document

HIEU 201 LU Exam Questions and Answers 2024

  • Kaponga

    Kaponga

  • exam

HIEU 201 LU Exam Questions and Answers 2024...

5 USD

0

0

IC3- Computer Fundamentals Practice Exam
View Document

IC3- Computer Fundamentals Practice Exam

  • Kaponga

    Kaponga

  • exam

IC3- Computer Fundamentals Practice Exam...

6 USD

0

0

Level 3 RNSG 2213 Exam 2 Questions and Answers 2024
View Document

Level 3 RNSG 2213 Exam 2 Questions and Answers 2024

  • Kaponga

    Kaponga

  • exam

Level 3 RNSG 2213 Exam 2 Questions and Answers 2024...

6 USD

0

0

Level 3 RNSG 2213 Exam 1 Questions and Answers
View Document

Level 3 RNSG 2213 Exam 1 Questions and Answers

  • Kaponga

    Kaponga

  • exam

Level 3 RNSG 2213 Exam 1 Questions and Answers...

5 USD

0

0

Relias ED RN A Exam Review Questions and Answers
View Document

Relias ED RN A Exam Review Questions and Answers

  • Kaponga

    Kaponga

  • exam

Relias ED RN A Exam Review Questions and Answers...

6 USD

0

0

Relias ED RN A Exam Questions and Answers 2024
View Document

Relias ED RN A Exam Questions and Answers 2024

  • Kaponga

    Kaponga

  • exam

Relias ED RN A Exam Questions and Answers 2024...

7 USD

0

0

Level 3 RNSG 2213 Exam 3 Questions and Answers 2024
View Document

Level 3 RNSG 2213 Exam 3 Questions and Answers 2024

  • Kaponga

    Kaponga

  • exam

Level 3 RNSG 2213 Exam 3 Questions and Answers 2024...

6 USD

0

0

HIEU 201 Final Exam 2024
View Document

HIEU 201 Final Exam 2024

  • Kaponga

    Kaponga

  • exam

HIEU 201 Final Exam 2024...

5 USD

0

0

HIEU 201 LU Exam 2026
View Document

HIEU 201 LU Exam 2026

  • Kaponga

    Kaponga

  • exam

HIEU 201 LU Exam 2025...

5 USD

0

0

ATI CAPSTONE B QUESTIONS WITH VERIFIED SOLUTIONS 100% COMPLETE MAY 2024
View Document

ATI CAPSTONE B QUESTIONS WITH VERIFIED SOLUTIONS 100% COMPLETE MAY 2024

  • Highergrades

    Highergrades

  • ati proctored

ATI CAPSTONE B QUESTIONS WITH VERIFIED SOLUTIONS 100% COMPLETE MAY 2024...

12 USD

0

0

ATI RN COMPREHENSIVE EXIT EXAM STUDY GUIDE FOR EXAM PREPARATION
View Document

ATI RN COMPREHENSIVE EXIT EXAM STUDY GUIDE FOR EXAM PREPARATION

  • studypal

    studypal

  • questions & answers

ATI RN COMPREHENSIVE EXIT EXAM STUDY GUIDE FOR EXAM PREPARATION – Download PDF...

14 USD

0

0

HESI RN MED SURG EXAM TEST BANK - COMPILATION OF 20 DIFFERENT VERSIONS
View Document

HESI RN MED SURG EXAM TEST BANK - COMPILATION OF 20 DIFFERENT VERSIONS

  • TopAcademik

    TopAcademik

  • ati proctored

HESI RN MED SURG EXAM TEST BANK - COMPILATION OF 20 DIFFERENT VERSIONS – Download PDF...

30 USD

0

0

ATI MENTAL HEALTH PROCTORED EXAMS WITH NGN MULTIPLE VERSIONS
View Document

ATI MENTAL HEALTH PROCTORED EXAMS WITH NGN MULTIPLE VERSIONS

  • TopAcademik

    TopAcademik

  • ati

ATI MENTAL HEALTH PROCTORED EXAMS WITH NGN MULTIPLE VERSIONS – Download PDF...

29 USD

0

0

ATI RN COMPREHENSIVE PREDICTOR EXAMS WITH NGN MULTIPLE VERSIONS
View Document

ATI RN COMPREHENSIVE PREDICTOR EXAMS WITH NGN MULTIPLE VERSIONS

  • TopAcademik

    TopAcademik

  • ati

ATI RN COMPREHENSIVE PREDICTOR EXAMS WITH NGN MULTIPLE VERSIONS – Download PDF...

29 USD

0

0

ATI PN COMPREHENSIVE EXIT EXAM 14 VERSIONS ALL GRADED A
View Document

ATI PN COMPREHENSIVE EXIT EXAM 14 VERSIONS ALL GRADED A

  • TopAcademik

    TopAcademik

  • test bank

ATI PN COMPREHENSIVE EXIT EXAM 14 VERSIONS ALL GRADED A...

29 USD

0

0

ATI MED SURG PROCTORED EXAM WITH 13 VERSIONS ALL GRADED A
View Document

ATI MED SURG PROCTORED EXAM WITH 13 VERSIONS ALL GRADED A

  • TopAcademik

    TopAcademik

  • test bank

Excel in your ATI Med-Surg Proctored Exam with our complete guide featuring 13 versions, all graded A. Perfect for compr...

20 USD

0

0

ATI RN FUNDAMENTALS PROCTORED EXAM(9 LATEST VERSIONS)
View Document

ATI RN FUNDAMENTALS PROCTORED EXAM(9 LATEST VERSIONS)

  • TopAcademik

    TopAcademik

  • test bank

ATI RN FUNDAMENTALS PROCTORED EXAM(9 LATEST VERSIONS)...

29 USD

0

0

ATI RN MATERNITY PROCTORED EXAM WITH 39 SETS
View Document

ATI RN MATERNITY PROCTORED EXAM WITH 39 SETS

  • TopAcademik

    TopAcademik

  • test bank

ATI RN MATERNITY PROCTORED EXAM WITH 39 SETS...

29 USD

0

0

ATI MATERNITY PROCTORED EXAM WITH 5 VERSIONS
View Document

ATI MATERNITY PROCTORED EXAM WITH 5 VERSIONS

  • TopAcademik

    TopAcademik

  • test bank

ATI MATERNITY PROCTORED EXAM WITH 5 VERSIONS...

29 USD

0

0

ATI RN LEADERSHIP PROCTORED EXAM(11 VERSIONS)
View Document

ATI RN LEADERSHIP PROCTORED EXAM(11 VERSIONS)

  • TopAcademik

    TopAcademik

  • test bank

ATI RN LEADERSHIP PROCTORED EXAM(11 VERSIONS)...

29 USD

0

0

ATI NURSING CARE OF CHILDREN PROCTORED EXAM(11 VERSIONS)
View Document

ATI NURSING CARE OF CHILDREN PROCTORED EXAM(11 VERSIONS)

  • TopAcademik

    TopAcademik

  • test bank

ATI NURSING CARE OF CHILDREN PROCTORED EXAM(11 VERSIONS)...

29 USD

0

0

ATI RN NURSING CARE OF CHILDREN PROCTORED EXAM MULTIPLE VERSIONS
View Document

ATI RN NURSING CARE OF CHILDREN PROCTORED EXAM MULTIPLE VERSIONS

  • TopAcademik

    TopAcademik

  • test bank

ATI RN NURSING CARE OF CHILDREN PROCTORED EXAM MULTIPLE VERSIONS...

29 USD

0

0

ATI PN COMMUNITY HEALTH PROCTORED EXAM (14 VERSIONS)
View Document

ATI PN COMMUNITY HEALTH PROCTORED EXAM (14 VERSIONS)

  • TopAcademik

    TopAcademik

  • test bank

ATI PN COMMUNITY HEALTH PROCTORED EXAM (14 VERSIONS)...

29 USD

0

0

ATI PEDIATRICS PROCTORED EXAM (10 VERSIONS)
View Document

ATI PEDIATRICS PROCTORED EXAM (10 VERSIONS)

  • TopAcademik

    TopAcademik

  • test bank

ATI PEDIATRICS PROCTORED EXAM (10 VERSIONS)...

29 USD

0

0

ATI PHARMACOLOGY PROCTORED EXAM (7 VERSIONS)
View Document

ATI PHARMACOLOGY PROCTORED EXAM (7 VERSIONS)

  • TopAcademik

    TopAcademik

  • test bank

ATI PHARMACOLOGY PROCTORED EXAM (7 VERSIONS)...

29 USD

0

0

ATI RN MATERNAL NEWBORN OB EXAM ( 4 VERSIONS)
View Document

ATI RN MATERNAL NEWBORN OB EXAM ( 4 VERSIONS)

  • TopAcademik

    TopAcademik

  • test bank

ATI RN MATERNAL NEWBORN OB EXAM ( 4 VERSIONS)...

29 USD

0

0

ATI RN MATERNITY PROCTORED EXAM (5 VERSIONS)
View Document

ATI RN MATERNITY PROCTORED EXAM (5 VERSIONS)

  • TopAcademik

    TopAcademik

  • test bank

ATI RN MATERNITY PROCTORED EXAM (5 VERSIONS)...

29 USD

0

0

RN MENTAL HEALTH ONLINE PRACTICE 2019 B WITH NGN
View Document

RN MENTAL HEALTH ONLINE PRACTICE 2019 B WITH NGN

  • TopAcademik

    TopAcademik

  • ati proctored

RN MENTAL HEALTH ONLINE PRACTICE 2019 B WITH NGN...

25 USD

0

0

RN ATI PHARMACOLOGY PROCTORED EXAM 2023/2024 WITH NGN
View Document

RN ATI PHARMACOLOGY PROCTORED EXAM 2023/2024 WITH NGN

  • TopAcademik

    TopAcademik

  • ati proctored

RN ATI PHARMACOLOGY PROCTORED EXAM 2023/2024 WITH NGN...

25 USD

0

0

RN ATI Pediatric Proctored Exam 2023|2024 With NGN
View Document

RN ATI Pediatric Proctored Exam 2023|2024 With NGN

  • TopAcademik

    TopAcademik

  • ati proctored

Get the RN ATI Pediatric Proctored Exam 2023/2024 with NGN. Access real exam questions, instant download, and trusted st...

20 USD

0

0

RN ATI NUTRITION PROCTORED EXAM 2023/2024 WITH NGN
View Document

RN ATI NUTRITION PROCTORED EXAM 2023/2024 WITH NGN

  • TopAcademik

    TopAcademik

  • ati proctored

RN ATI NUTRITION PROCTORED EXAM 2023/2024 WITH NGN...

25 USD

0

0

RN ATI MENTAL HEALTH EXAM WITH NGN 2023/2024
View Document

RN ATI MENTAL HEALTH EXAM WITH NGN 2023/2024

  • TopAcademik

    TopAcademik

  • ati proctored

RN ATI MENTAL HEALTH EXAM WITH NGN 2023/2024...

25 USD

0

0

RN ATI MATERNAL PROCTORED EXAM WITH NGN 2023/2024
View Document

RN ATI MATERNAL PROCTORED EXAM WITH NGN 2023/2024

  • TopAcademik

    TopAcademik

  • ati proctored

RN ATI MATERNAL PROCTORED EXAM WITH NGN 2023/2024...

25 USD

0

0

RN ATI LEADERSHIP PROCTORED EXAM 2025/2026 WITH NGN
View Document

RN ATI LEADERSHIP PROCTORED EXAM 2025/2026 WITH NGN

  • TopAcademik

    TopAcademik

  • ati proctored

RN ATI LEADERSHIP PROCTORED EXAM 2025/2026 WITH NGN...

11 USD

0

0

RN ATI FUNDAMENTALS OF NURSING PROCTORED EXAM 2026 WITH NGN
View Document

RN ATI FUNDAMENTALS OF NURSING PROCTORED EXAM 2026 WITH NGN

  • TopAcademik

    TopAcademik

  • ati proctored

RN ATI FUNDAMENTALS OF NURSING PROCTORED EXAM 2025 WITH NGN...

12 USD

0

0

RN ATI COMMUNITY HEALTH PROCTORED EXAM 2023/2024 WITH NGN
View Document

RN ATI COMMUNITY HEALTH PROCTORED EXAM 2023/2024 WITH NGN

  • TopAcademik

    TopAcademik

  • ati proctored

RN ATI COMMUNITY HEALTH PROCTORED EXAM 2023/2024 WITH NGN...

25 USD

0

0

RN ATI ADULT MED SURG PROCTORED WITH NGN EXAM 2023/2024
View Document

RN ATI ADULT MED SURG PROCTORED WITH NGN EXAM 2023/2024

  • TopAcademik

    TopAcademik

  • ati proctored

RN ATI ADULT MED SURG PROCTORED WITH NGN EXAM 2023/2024...

25 USD

0

0

Full HESI A2 Exam 2026: Vocabulary, Math, Grammar, Reading, Biology, Chemistry & A&P with Correct Answers
View Document

Full HESI A2 Exam 2026: Vocabulary, Math, Grammar, Reading, Biology, Chemistry & A&P with Correct Answers

  • TopAcademik

    TopAcademik

  • ati

Get the complete HESI A2 2025 exam guide with all sections: Vocabulary, Math, Grammar, Reading, Biology, Chemistry & A&P...

14 USD

0

0

Wall Street Prep Premium Real Exam 2026
View Document

Wall Street Prep Premium Real Exam 2026

  • mentor2000

    mentor2000

  • questions & answers

Wall Street Prep Premium Real Exam 2025...

7 USD

0

0

Financial Modeling Exam Wall Street Prep Questions and Answers 2026
View Document

Financial Modeling Exam Wall Street Prep Questions and Answers 2026

  • mentor2000

    mentor2000

  • questions & answers

Financial Modeling Exam Wall Street Prep Questions and Answers 2025...

8 USD

0

0

SOPHOS ENGINEER exam questions with verified correct answers
View Document

SOPHOS ENGINEER exam questions with verified correct answers

  • Passingmaster

    Passingmaster

  • exam

SOPHOS ENGINEER exam questions with verified correct answers...

10 USD

0

0

NCTRC: National Council For Therapeutic Recreation Certification Exam Study Guide (answers) 2024
View Document

NCTRC: National Council For Therapeutic Recreation Certification Exam Study Guide (answers) 2024

  • studypal

    studypal

  • questions & answers

NCTRC: National Council For Therapeutic Recreation Certification Exam Study Guide (answers) 2024...

14 USD

0

0

SOPHOS CERTIFIED ENGINEER EXAM QUESTIONS WITH CORRECT ANSWERS
View Document

SOPHOS CERTIFIED ENGINEER EXAM QUESTIONS WITH CORRECT ANSWERS

  • Passingmaster

    Passingmaster

  • exam

SOPHOS CERTIFIED ENGINEER EXAM QUESTIONS WITH CORRECT ANSWERS...

10 USD

0

0

Property and Casualty PA Final Exam Questions and Answers 2024
View Document

Property and Casualty PA Final Exam Questions and Answers 2024

  • Gradepush

    Gradepush

  • questions & answers

Property and Casualty PA Final Exam Questions and Answers 2024 – Download PDF...

6 USD

0

0

PA Property & Casualty License Practice Exam Questions and Answers 2024
View Document

PA Property & Casualty License Practice Exam Questions and Answers 2024

  • Gradepush

    Gradepush

  • questions & answers

PA Property & Casualty License Practice Exam Questions and Answers 2024 – Download PDF...

6 USD

0

0

AP Calculus AB Final Exam Questions and Answers 2026
View Document

AP Calculus AB Final Exam Questions and Answers 2026

  • mentor2000

    mentor2000

  • exam

AP Calculus AB Final Exam Questions and Answers 2025...

8 USD

0

0

NCTRC: National Council For Therapeutic Recreation Certification Exam 2 (answers) 2024
View Document

NCTRC: National Council For Therapeutic Recreation Certification Exam 2 (answers) 2024

  • studypal

    studypal

  • questions & answers

NCTRC: National Council For Therapeutic Recreation Certification Exam 2 (answers) 2024...

9 USD

0

0

NCTRC: National Council For Therapeutic Recreation Certification Practice Exam 3 (answers) 2024
View Document

NCTRC: National Council For Therapeutic Recreation Certification Practice Exam 3 (answers) 2024

  • studypal

    studypal

  • questions & answers

NCTRC: National Council For Therapeutic Recreation Certification Practice Exam 3 (answers) 2024...

12 USD

0

0

NCTRC: National Council For Therapeutic Recreation Certification Exam 1 (answers) 2024
View Document

NCTRC: National Council For Therapeutic Recreation Certification Exam 1 (answers) 2024

  • studypal

    studypal

  • questions & answers

NCTRC: National Council For Therapeutic Recreation Certification Exam 1 (answers) 2024...

15 USD

0

0

NCTRC: National Council For Therapeutic Recreation Certification Exam - ANSWERS PROVIDED(2024)
View Document

NCTRC: National Council For Therapeutic Recreation Certification Exam - ANSWERS PROVIDED(2024)

  • studypal

    studypal

  • questions & answers

NCTRC: National Council For Therapeutic Recreation Certification Exam - ANSWERS PROVIDED(2024)...

11 USD

0

0

NCTRC: National Council For Therapeutic Recreation Certification Exam - ANSWERS PROVIDED(2024)
View Document

NCTRC: National Council For Therapeutic Recreation Certification Exam - ANSWERS PROVIDED(2024)

  • studypal

    studypal

  • questions & answers

NCTRC: National Council For Therapeutic Recreation Certification Exam - ANSWERS PROVIDED(2024)...

14 USD

0

0

NCTRC: National Council For Therapeutic Recreation Certification Exam - Advancement Of The Profession ; Questions With Answers.
View Document

NCTRC: National Council For Therapeutic Recreation Certification Exam - Advancement Of The Profession ; Questions With Answers.

  • studypal

    studypal

  • questions & answers

NCTRC: National Council For Therapeutic Recreation Certification Exam - Advancement Of The Profession ; Questions With A...

12 USD

0

0

NCTRC: National Council for Therapeutic Recreation Certification Exam Study Guide - Questions with Answers
View Document

NCTRC: National Council for Therapeutic Recreation Certification Exam Study Guide - Questions with Answers

  • studypal

    studypal

  • questions & answers

NCTRC: National Council for Therapeutic Recreation Certification Exam Study Guide - Questions with Answers...

13 USD

0

0

NCTRC: National Council for Therapeutic Recreation Certification Exam(Questions and Answers)100% Correct.
View Document

NCTRC: National Council for Therapeutic Recreation Certification Exam(Questions and Answers)100% Correct.

  • studypal

    studypal

  • questions & answers

NCTRC: National Council for Therapeutic Recreation Certification Exam(Questions and Answers)100% Correct....

8 USD

0

0

Research in Public Elementary and Secondary Schools Exam Questions and Answers
View Document

Research in Public Elementary and Secondary Schools Exam Questions and Answers

  • Opati-Kaka

    Opati-Kaka

  • ati proctored

Research in Public Elementary and Secondary Schools Exam Questions and Answers – Download PDF...

6 USD

0

0

ATI RN Fundamentals Proctored Exam Verified 2023 Update
View Document

ATI RN Fundamentals Proctored Exam Verified 2023 Update

  • Opati-Kaka

    Opati-Kaka

  • ati proctored

ATI RN Fundamentals Proctored Exam Verified 2023 Update – Download PDF...

12 USD

0

0

ATI RN MENTAL HEALTH ONLINE PRACTICE 2019 A LATEST EXAM NGN
View Document

ATI RN MENTAL HEALTH ONLINE PRACTICE 2019 A LATEST EXAM NGN

  • TutorJulie

    TutorJulie

  • ati medical surgical

ATI RN MENTAL HEALTH ONLINE PRACTICE 2019 A LATEST EXAM NGN...

20 USD

0

0

ATI RN MED SURG INFECTION COMPLICATIONS OF UROSEPSIS CASE STUDY TEST COMPLETE EXAM 2024
View Document

ATI RN MED SURG INFECTION COMPLICATIONS OF UROSEPSIS CASE STUDY TEST COMPLETE EXAM 2024

  • TutorJulie

    TutorJulie

  • ati medical surgical

ATI RN MED SURG INFECTION COMPLICATIONS OF UROSEPSIS CASE STUDY TEST COMPLETE EXAM 2024...

20 USD

0

0

ATI RN MED SURG ALTERATIONS IN SPINAL CORD FUNCTION ASSESSMENT TEST EXAM NGN 2024
View Document

ATI RN MED SURG ALTERATIONS IN SPINAL CORD FUNCTION ASSESSMENT TEST EXAM NGN 2024

  • TutorJulie

    TutorJulie

  • ati medical surgical

ATI RN MED SURG ALTERATIONS IN SPINAL CORD FUNCTION ASSESSMENT TEST EXAM NGN 2024...

20 USD

0

0

ATI RN MED SURG ALTERATIONS IN KIDNEY FUNCTION AND ELIMINATION EXAM NGN
View Document

ATI RN MED SURG ALTERATIONS IN KIDNEY FUNCTION AND ELIMINATION EXAM NGN

  • TutorJulie

    TutorJulie

  • ati medical surgical

ATI RN MED SURG ALTERATIONS IN KIDNEY FUNCTION AND ELIMINATION EXAM NGN...

20 USD

0

0

ATI RN MATERNAL NEWBORN TEACHING PRENATAL AND NEWBORN CARE EXAM NGN
View Document

ATI RN MATERNAL NEWBORN TEACHING PRENATAL AND NEWBORN CARE EXAM NGN

  • TutorJulie

    TutorJulie

  • ati medical surgical

ATI RN MATERNAL NEWBORN TEACHING PRENATAL AND NEWBORN CARE EXAM NGN...

20 USD

0

0

ATI RN MATERNAL NEWBORN PRETERM LABOR LATEST EXAM NGN
View Document

ATI RN MATERNAL NEWBORN PRETERM LABOR LATEST EXAM NGN

  • TutorJulie

    TutorJulie

  • ati medical surgical

ATI RN MATERNAL NEWBORN PRETERM LABOR LATEST EXAM NGN...

20 USD

0

0

ATI RN MATERNAL NEWBORN PREECLAMPSIA TEST LATEST EXAM WITH NGN
View Document

ATI RN MATERNAL NEWBORN PREECLAMPSIA TEST LATEST EXAM WITH NGN

  • TutorJulie

    TutorJulie

  • ati medical surgical

ATI RN MATERNAL NEWBORN PREECLAMPSIA TEST LATEST EXAM WITH NGN...

20 USD

0

0

ATI RN MATERNAL NEWBORN GESTATIONAL DIABETES LATEST EXAM WITH NGN
View Document

ATI RN MATERNAL NEWBORN GESTATIONAL DIABETES LATEST EXAM WITH NGN

  • TutorJulie

    TutorJulie

  • ati medical surgical

ATI RN MATERNAL NEWBORN GESTATIONAL DIABETES LATEST EXAM WITH NGN...

20 USD

0

0

ATI RN HEALTH POLICY TEST REAL EXAMS LATEST WITH NGN COMPLETE EXPERT VERIFIED
View Document

ATI RN HEALTH POLICY TEST REAL EXAMS LATEST WITH NGN COMPLETE EXPERT VERIFIED

  • TutorJulie

    TutorJulie

  • ati medical surgical

ATI RN HEALTH POLICY TEST REAL EXAMS LATEST WITH NGN COMPLETE EXPERT VERIFIED...

20 USD

0

0

ATI RN CLINICAL JUDGEMENT PROCESS LATEST TEST EXAM WITH NGN
View Document

ATI RN CLINICAL JUDGEMENT PROCESS LATEST TEST EXAM WITH NGN

  • TutorJulie

    TutorJulie

  • ati medical surgical

ATI RN CLINICAL JUDGEMENT PROCESS LATEST TEST EXAM WITH NGN...

20 USD

0

0

ATI RN ADULT MEDICAL SURGICAL DOSAGE CALCULATION ASSESSMENT REAL EXAMS SCREENSHOTS WITH NGN
View Document

ATI RN ADULT MEDICAL SURGICAL DOSAGE CALCULATION ASSESSMENT REAL EXAMS SCREENSHOTS WITH NGN

  • TutorJulie

    TutorJulie

  • ati medical surgical

ATI RN ADULT MEDICAL SURGICAL DOSAGE CALCULATION ASSESSMENT REAL EXAMS SCREENSHOTS WITH NGN...

20 USD

0

0

ATI RN ADULT MED SURG URINARY TRACT INFECTION LATEST TEST EXAM
View Document

ATI RN ADULT MED SURG URINARY TRACT INFECTION LATEST TEST EXAM

  • TutorJulie

    TutorJulie

  • ati medical surgical

ATI RN ADULT MED SURG URINARY TRACT INFECTION LATEST TEST EXAM...

20 USD

0

0

ATI RN ADULT MED SURG KIDNEY DISEASE LATEST TEST EXAM WITH NGN
View Document

ATI RN ADULT MED SURG KIDNEY DISEASE LATEST TEST EXAM WITH NGN

  • TutorJulie

    TutorJulie

  • ati medical surgical

ATI RN ADULT MED SURG KIDNEY DISEASE LATEST TEST EXAM WITH NGN...

20 USD

0

0

ATI RN ADULT MED SURG KIDNEY DISEASE LATEST TEST EXAM WITH NGN
View Document

ATI RN ADULT MED SURG KIDNEY DISEASE LATEST TEST EXAM WITH NGN

  • TutorJulie

    TutorJulie

  • ati medical surgical

ATI RN ADULT MED SURG KIDNEY DISEASE LATEST TEST EXAM WITH NGN...

20 USD

0

0

ATI RN ADULT MED SURG KIDNEY DISEASE LATEST TEST EXAM WITH NGN
View Document

ATI RN ADULT MED SURG KIDNEY DISEASE LATEST TEST EXAM WITH NGN

  • TutorJulie

    TutorJulie

  • ati medical surgical

ATI RN ADULT MED SURG KIDNEY DISEASE LATEST TEST EXAM WITH NGN...

20 USD

0

0

ATI MED SURG SKILLS MODULE DIABETES MELLITUS MANAGEMENT POSTTEST ASSESSMENT EXAM NGN
View Document

ATI MED SURG SKILLS MODULE DIABETES MELLITUS MANAGEMENT POSTTEST ASSESSMENT EXAM NGN

  • TutorJulie

    TutorJulie

  • ati medical surgical

ATI MED SURG SKILLS MODULE DIABETES MELLITUS MANAGEMENT POSTTEST ASSESSMENT EXAM NGN...

20 USD

0

0

ATI MED SURG RN INFECTION COMPLICATIONS OF UROSEPSIS CASE STUDY TEST PART 2 EXAM 2024 NGN
View Document

ATI MED SURG RN INFECTION COMPLICATIONS OF UROSEPSIS CASE STUDY TEST PART 2 EXAM 2024 NGN

  • TutorJulie

    TutorJulie

  • ati medical surgical

ATI MED SURG RN INFECTION COMPLICATIONS OF UROSEPSIS CASE STUDY TEST PART 2 EXAM 2024 NGN...

20 USD

0

0

ATI MED SURG RN ALTERATIONS IN SEXUAL FUNCTION ASSESSMENT TEST EXAM WITH NGN 2024
View Document

ATI MED SURG RN ALTERATIONS IN SEXUAL FUNCTION ASSESSMENT TEST EXAM WITH NGN 2024

  • TutorJulie

    TutorJulie

  • ati medical surgical

ATI MED SURG RN ALTERATIONS IN SEXUAL FUNCTION ASSESSMENT TEST EXAM WITH NGN 2024...

20 USD

0

0

ATI MED SURG RN ALTERATIONS IN SENSORY PERCEPTION ASSESSMENT EXAM 2024 NGN
View Document

ATI MED SURG RN ALTERATIONS IN SENSORY PERCEPTION ASSESSMENT EXAM 2024 NGN

  • TutorJulie

    TutorJulie

  • ati medical surgical

ATI MED SURG RN ALTERATIONS IN SENSORY PERCEPTION ASSESSMENT EXAM 2024 NGN...

20 USD

0

0

ATI MED SURG RN ALTERATIONS IN DIGESTION AND BOWEL ELIMINATION EXAM 2024
View Document

ATI MED SURG RN ALTERATIONS IN DIGESTION AND BOWEL ELIMINATION EXAM 2024

  • TutorJulie

    TutorJulie

  • ati medical surgical

ATI MED SURG RN ALTERATIONS IN DIGESTION AND BOWEL ELIMINATION EXAM 2024...

20 USD

0

0

ATI MED SURG FINAL EXAMS WITH NGN 2024 WITH SCREENSHOTS VERIFIED ANSWERS
View Document

ATI MED SURG FINAL EXAMS WITH NGN 2024 WITH SCREENSHOTS VERIFIED ANSWERS

  • TutorJulie

    TutorJulie

  • ati medical surgical

ATI MED SURG FINAL EXAMS WITH NGN 2024 WITH SCREENSHOTS VERIFIED ANSWERS...

20 USD

0

0

ATI MED SURG CMS REAL EXIT EXAMS WITH NGN
View Document

ATI MED SURG CMS REAL EXIT EXAMS WITH NGN

  • TutorJulie

    TutorJulie

  • ati medical surgical

ATI MED SURG CMS REAL EXIT EXAMS WITH NGN...

20 USD

0

0

Pharmacology HESI Practice Exam / HESI Pharmacology  Exam | Questions and Answers with Rationales
View Document

Pharmacology HESI Practice Exam / HESI Pharmacology Exam | Questions and Answers with Rationales

  • beatricemwash

    beatricemwash

  • hesi

Pharmacology HESI Practice Exam / HESI Pharmacology Exam | Questions and Answers with Rationales...

15 USD

0

0

ATI ENGAGE ADULT MEDICAL SURGICAL RN ALTERATION IN HEALTHCARE IN NEUROLOGIC FUNCTION EXAM NGN
View Document

ATI ENGAGE ADULT MEDICAL SURGICAL RN ALTERATION IN HEALTHCARE IN NEUROLOGIC FUNCTION EXAM NGN

  • TutorJulie

    TutorJulie

  • ati

ATI ENGAGE ADULT MEDICAL SURGICAL RN ALTERATION IN HEALTHCARE IN NEUROLOGIC FUNCTION EXAM NGN...

20 USD

0

0

USMC CFT Exam Questions and Answers 2024
View Document

USMC CFT Exam Questions and Answers 2024

  • Emily

    Emily

  • questions & answers

USMC CFT Exam Questions and Answers 2024 – Download PDF...

6 USD

0

0

UNT ECON 1100 Exam 3 Questions and Answers
View Document

UNT ECON 1100 Exam 3 Questions and Answers

  • Emily

    Emily

  • questions & answers

UNT ECON 1100 Exam 3 Questions and Answers – Download PDF...

8 USD

0

0

The Screwtape Letters by C.S. LEWIS Exam Questions and Answers
View Document

The Screwtape Letters by C.S. LEWIS Exam Questions and Answers

  • Emily

    Emily

  • questions & answers

The Screwtape Letters by C.S. LEWIS Exam Questions and Answers – Download PDF...

8 USD

0

0

Stott pilates written exam Study Guide 2024
View Document

Stott pilates written exam Study Guide 2024

  • Emily

    Emily

  • questions & answers

Stott pilates written exam Study Guide 2024 – Download PDF...

7 USD

0

0

Stott Pilates Written Exam Questions and Answers 2024
View Document

Stott Pilates Written Exam Questions and Answers 2024

  • Emily

    Emily

  • questions & answers

Stott Pilates Written Exam Questions and Answers 2024 – Download PDF...

7 USD

0

0

Stott Pilates Exam Preparation Study Material muscle balance, postures, anatomy and physiology topics in preparation for taking the STOTT pilates exam.
View Document

Stott Pilates Exam Preparation Study Material muscle balance, postures, anatomy and physiology topics in preparation for taking the STOTT pilates exam.

  • Emily

    Emily

  • questions & answers

Stott Pilates Exam Preparation Study Material muscle balance, postures, anatomy and physiology topics in preparation for...

6 USD

0

0

Stott Pilates Exam Practice Questions and Answers 2024
View Document

Stott Pilates Exam Practice Questions and Answers 2024

  • Emily

    Emily

  • questions & answers

Stott Pilates Exam Practice Questions and Answers 2024 – Download PDF...

7 USD

0

0

Salesforce User Experience Designer Exam Questions and Answers
View Document

Salesforce User Experience Designer Exam Questions and Answers

  • Emily

    Emily

  • questions & answers

Salesforce User Experience Designer Exam Questions and Answers – Download PDF...

8 USD

0

0

Salesforce User Experience Designer Exam Best Study Guide for Revision
View Document

Salesforce User Experience Designer Exam Best Study Guide for Revision

  • Emily

    Emily

  • questions & answers

Salesforce User Experience Designer Exam Best Study Guide for Revision – Download PDF...

7 USD

0

0

PTCB Practice Exam Questions and Answers
View Document

PTCB Practice Exam Questions and Answers

  • Emily

    Emily

  • questions & answers

PTCB Practice Exam Questions and Answers – Download PDF...

8 USD

0

0

PTCB Midterm Exam Questions and Answers
View Document

PTCB Midterm Exam Questions and Answers

  • Emily

    Emily

  • questions & answers

PTCB Midterm Exam Questions and Answers – Download PDF...

7 USD

0

0

PTCB Final Exam Questions and Answers 2024
View Document

PTCB Final Exam Questions and Answers 2024

  • Emily

    Emily

  • questions & answers

PTCB Final Exam Questions and Answers 2024 – Download PDF...

8 USD

0

0

PTCB Exam Revision Study Guide
View Document

PTCB Exam Revision Study Guide

  • Emily

    Emily

  • questions & answers

PTCB Exam Revision Study Guide – Download PDF...

8 USD

0

0

PTCB Comprehensive Practice Exam Study Guide
View Document

PTCB Comprehensive Practice Exam Study Guide

  • Emily

    Emily

  • questions & answers

PTCB Comprehensive Practice Exam Study Guide – Download PDF...

7 USD

0

0

Organic Chemistry ACS Final Exam
View Document

Organic Chemistry ACS Final Exam

  • Emily

    Emily

  • questions & answers

Organic Chemistry ACS Final Exam – Download PDF...

7 USD

0

0

Organic Chemistry ACS Final Exam Review Guide
View Document

Organic Chemistry ACS Final Exam Review Guide

  • Emily

    Emily

  • questions & answers

Organic Chemistry ACS Final Exam Review Guide – Download PDF...

9 USD

0

0

LSAT Final Exam Study Guide 2024
View Document

LSAT Final Exam Study Guide 2024

  • Emily

    Emily

  • questions & answers

LSAT Final Exam Study Guide 2024 – Download PDF...

9 USD

0

0

LSAT Final Exam Questions and Answers
View Document

LSAT Final Exam Questions and Answers

  • Emily

    Emily

  • questions & answers

LSAT Final Exam Questions and Answers – Download PDF...

7 USD

0

0

Hondros Bio 253 Practical 1 Exam Questions and answers
View Document

Hondros Bio 253 Practical 1 Exam Questions and answers

  • mentor2000

    mentor2000

  • exam

Hondros Bio 253 Practical 1 Exam Questions and answers...

8 USD

0

0

Firearm Safety Certificate ( FSC and HSC ) Real Exam Questions and Answers
View Document

Firearm Safety Certificate ( FSC and HSC ) Real Exam Questions and Answers

  • mentor2000

    mentor2000

  • exam

Firearm Safety Certificate ( FSC and HSC ) Real Exam Questions and Answers...

8 USD

0

0

FAA 107 Commercial Drone Pilot Exam Study Material
View Document

FAA 107 Commercial Drone Pilot Exam Study Material

  • mentor2000

    mentor2000

  • exam

FAA 107 Commercial Drone Pilot Exam Study Material...

7 USD

0

0

Econ 1100 Exam Study Guide
View Document

Econ 1100 Exam Study Guide

  • mentor2000

    mentor2000

  • exam

Econ 1100 Exam Study Guide...

7 USD

0

0

Cumulative AP Exam Study Guide (Statistics)
View Document

Cumulative AP Exam Study Guide (Statistics)

  • mentor2000

    mentor2000

  • exam

Cumulative AP Exam Study Guide (Statistics)...

7 USD

0

0

CFT Exam Practice Questions and Answers
View Document

CFT Exam Practice Questions and Answers

  • mentor2000

    mentor2000

  • exam

CFT Exam Practice Questions and Answers...

5 USD

0

0

ASVAB Real Exam Questions and Answers
View Document

ASVAB Real Exam Questions and Answers

  • mentor2000

    mentor2000

  • exam

ASVAB Real Exam Questions and Answers...

7 USD

0

0

ASVAB Exam Practice Questions and Answers
View Document

ASVAB Exam Practice Questions and Answers

  • mentor2000

    mentor2000

  • exam

ASVAB Exam Practice Questions and Answers...

8 USD

0

0

APES Exam Study guide
View Document

APES Exam Study guide

  • mentor2000

    mentor2000

  • exam

APES Exam Study guide...

6 USD

0

0

AP Psychology Exam Review
View Document

AP Psychology Exam Review

  • mentor2000

    mentor2000

  • exam

AP Psychology Exam Review...

7 USD

0

0

AP Psychology Exam 1 Study Guide
View Document

AP Psychology Exam 1 Study Guide

  • mentor2000

    mentor2000

  • exam

AP Psychology Exam 1 Study Guide...

7 USD

0

0

AP Psychology Commonly Examined Terms Study Guide
View Document

AP Psychology Commonly Examined Terms Study Guide

  • mentor2000

    mentor2000

  • exam

AP Psychology Commonly Examined Terms Study Guide...

6 USD

0

0

AP Psych Exam The Ultimate AP Study Review
View Document

AP Psych Exam The Ultimate AP Study Review

  • mentor2000

    mentor2000

  • exam

AP Psych Exam The Ultimate AP Study Review...

6 USD

0

0

AP Macroeconomics Final Exam Revision Material
View Document

AP Macroeconomics Final Exam Revision Material

  • mentor2000

    mentor2000

  • exam

AP Macroeconomics Final Exam Revision Material...

8 USD

0

0

AP Lang exam 1 MCQ with Answers
View Document

AP Lang exam 1 MCQ with Answers

  • mentor2000

    mentor2000

  • exam

AP Lang exam 1 MCQ with Answers...

5 USD

0

0

AP Human Geography Practice Exam Questions and Answers
View Document

AP Human Geography Practice Exam Questions and Answers

  • mentor2000

    mentor2000

  • exam

Boost your AP Human Geography prep with Practice Exam Questions and Answers. Cover key topics and concepts to help you c...

5 USD

0

0

AP Human Geography Final Exam Review
View Document

AP Human Geography Final Exam Review

  • mentor2000

    mentor2000

  • exam

AP Human Geography Final Exam Review...

6 USD

0

0

AP Human Geography Final Exam Questions and Answers
View Document

AP Human Geography Final Exam Questions and Answers

  • mentor2000

    mentor2000

  • exam

AP Human Geography Final Exam Questions and Answers...

9 USD

0

0

AP Human Geography (APHG) Exam (Real Exam Questions with Answers)
View Document

AP Human Geography (APHG) Exam (Real Exam Questions with Answers)

  • mentor2000

    mentor2000

  • exam

AP Human Geography (APHG) Exam (Real Exam Questions with Answers)...

6 USD

0

0

AP Final Exam MCQ
View Document

AP Final Exam MCQ

  • mentor2000

    mentor2000

  • exam

AP Final Exam MCQ...

5 USD

0

0

AP Environmental Science Exam Practice Questions and Answers
View Document

AP Environmental Science Exam Practice Questions and Answers

  • mentor2000

    mentor2000

  • exam

AP Environmental Science Exam Practice Questions and Answers...

6 USD

0

0

AP Art History Final Exam Study Guide
View Document

AP Art History Final Exam Study Guide

  • mentor2000

    mentor2000

  • exam

AP Art History Final Exam Study Guide...

6 USD

0

0

AP Art History Final Exam Questions and Answers
View Document

AP Art History Final Exam Questions and Answers

  • mentor2000

    mentor2000

  • exam

AP Art History Final Exam Questions and Answers...

6 USD

0

0

ACS Organic Chemistry II Final Exam Questions and Answers
View Document

ACS Organic Chemistry II Final Exam Questions and Answers

  • mentor2000

    mentor2000

  • exam

ACS Organic Chemistry II Final Exam Questions and Answers...

6 USD

0

0

ACS Organic Chemistry Best Final Exam Study Guide
View Document

ACS Organic Chemistry Best Final Exam Study Guide

  • mentor2000

    mentor2000

  • exam

ACS Organic Chemistry Best Final Exam Study Guide...

6 USD

0

0

AP Lang Practice Exam Questions and Answers
View Document

AP Lang Practice Exam Questions and Answers

  • mentor2000

    mentor2000

  • exam

AP Lang Practice Exam Questions and Answers...

7 USD

0

0

ATI CUSTOM MENTAL HEALTH EXAM QUESTIONS AND ANSWERS WITH NGN
View Document

ATI CUSTOM MENTAL HEALTH EXAM QUESTIONS AND ANSWERS WITH NGN

  • SallyTheNurse

    SallyTheNurse

  • ati

ATI CUSTOM MENTAL HEALTH EXAM QUESTIONS AND ANSWERS WITH NGN...

25 USD

0

0

ATI COMPREHENSIVE EXIT EXAM WITH NGN FINAL EXAM
View Document

ATI COMPREHENSIVE EXIT EXAM WITH NGN FINAL EXAM

  • SallyTheNurse

    SallyTheNurse

  • ati

ATI COMPREHENSIVE EXIT EXAM WITH NGN FINAL EXAM...

20 USD

0

0

CALT Exam Study Set with Researchers Questions and Answers
View Document

CALT Exam Study Set with Researchers Questions and Answers

  • mentor2000

    mentor2000

  • questions & answers

CALT Exam Study Set with Researchers Questions and Answers...

8 USD

0

0

CALT Exam Revision Study Guide
View Document

CALT Exam Revision Study Guide

  • mentor2000

    mentor2000

  • questions & answers

CALT Exam Revision Study Guide...

7 USD

0

0

CALT Exam Prep Exam Questions Review
View Document

CALT Exam Prep Exam Questions Review

  • mentor2000

    mentor2000

  • questions & answers

CALT Exam Prep Exam Questions Review...

6 USD

0

0

CALT Exam Prep Best Revision Study Material
View Document

CALT Exam Prep Best Revision Study Material

  • mentor2000

    mentor2000

  • questions & answers

CALT Exam Prep Best Revision Study Material...

6 USD

0

0

CALT Exam Practice Questions and Answers
View Document

CALT Exam Practice Questions and Answers

  • mentor2000

    mentor2000

  • questions & answers

CALT Exam Practice Questions and Answers...

5 USD

0

0

CALT Exam Best Study Guide
View Document

CALT Exam Best Study Guide

  • mentor2000

    mentor2000

  • questions & answers

CALT Exam Best Study Guide...

6 USD

0

0

CALT ALTA 2024 Exam Study Guide
View Document

CALT ALTA 2024 Exam Study Guide

  • mentor2000

    mentor2000

  • questions & answers

CALT ALTA 2024 Exam Study Guide...

7 USD

0

0

C.A.L.T Exam Study Guide 2026
View Document

C.A.L.T Exam Study Guide 2026

  • mentor2000

    mentor2000

  • questions & answers

C.A.L.T Exam Study Guide 2025...

6 USD

0

0

ALTA Test Review for CALT Exam
View Document

ALTA Test Review for CALT Exam

  • mentor2000

    mentor2000

  • questions & answers

ALTA Test Review for CALT Exam...

6 USD

0

0

AP English Language and Composition 2024 Real Exam Questions and Answers
View Document

AP English Language and Composition 2024 Real Exam Questions and Answers

  • mentor2000

    mentor2000

  • questions & answers

AP English Language and Composition 2024 Real Exam Questions and Answers...

10 USD

0

0

Best AP Government Exam Review Study Guide 2024
View Document

Best AP Government Exam Review Study Guide 2024

  • Eddah-Nafula

    Eddah-Nafula

  • exam

Best AP Government Exam Review Study Guide 2024 – Download PDF...

8 USD

0

0

AP US Government and Politics Final Exam Review 2024
View Document

AP US Government and Politics Final Exam Review 2024

  • Eddah-Nafula

    Eddah-Nafula

  • exam

AP US Government and Politics Final Exam Review 2024 – Download PDF...

8 USD

0

0

AP US Government and Politics Common Examined Terms
View Document

AP US Government and Politics Common Examined Terms

  • Eddah-Nafula

    Eddah-Nafula

  • exam

AP US Government and Politics Common Examined Terms – Download PDF...

7 USD

0

0

ATI Comprehensive Exit Exam Retake Greenlight with NGN Latest Version 2024
View Document

ATI Comprehensive Exit Exam Retake Greenlight with NGN Latest Version 2024

  • Ahenda

    Ahenda

  • ati

ATI Comprehensive Exit Exam Retake Greenlight with NGN Latest Version 2024 – Download PDF...

17 USD

0

0

AP US Government & Politics Student Exam Guide for 2024 Test
View Document

AP US Government & Politics Student Exam Guide for 2024 Test

  • Eddah-Nafula

    Eddah-Nafula

  • exam

AP US Government & Politics Student Exam Guide for 2024 Test – Download PDF...

7 USD

0

0

AP U.S.A Government & Politics Final Exam Questions and Answers 2024
View Document

AP U.S.A Government & Politics Final Exam Questions and Answers 2024

  • Eddah-Nafula

    Eddah-Nafula

  • exam

AP U.S.A Government & Politics Final Exam Questions and Answers 2024 – Download PDF...

7 USD

0

0

WGU C706 Secure Software Design Exam Guide Questions & Verified Answers 2024
View Document

WGU C706 Secure Software Design Exam Guide Questions & Verified Answers 2024

  • Kaponga

    Kaponga

  • questions & answers

WGU C706 Secure Software Design Exam Guide Questions & Verified Answers 2024...

9 USD

0

0

NUR 2513 Maternal-Child Nursing Exam 1 Latest 2025/2026 Form Rasmussen College
View Document

NUR 2513 Maternal-Child Nursing Exam 1 Latest 2025/2026 Form Rasmussen College

  • Kaponga

    Kaponga

  • questions & answers

NUR 2513 Maternal-Child Nursing Exam 1 Latest 2025/2026 Form Rasmussen College...

10 USD

0

0

ATI RN Medical-Surgical Proctored Exam 2023-2026 Questions & Answers with Rationales, Guaranteed A+ Score, Latest Update
View Document

ATI RN Medical-Surgical Proctored Exam 2023-2026 Questions & Answers with Rationales, Guaranteed A+ Score, Latest Update

  • Kaponga

    Kaponga

  • questions & answers

ATI RN Medical-Surgical Proctored Exam 2023-2025 Questions & Answers with Rationales, Guaranteed A+ Score, Latest Update...

10 USD

0

0

FLORIDA(FL) Drivers License Exam Questions With Correct Answers (Graded A+)
View Document

FLORIDA(FL) Drivers License Exam Questions With Correct Answers (Graded A+)

  • studypal

    studypal

  • questions & answers

FLORIDA(FL) Drivers License Exam Questions With Correct Answers (Graded A+) – Download PDF...

9 USD

0

0

Test Bank  for Prescott's Microbiology Chapter 1-43 With Verified Solutions 12th Edition by Joanne Willey
View Document

Test Bank for Prescott's Microbiology Chapter 1-43 With Verified Solutions 12th Edition by Joanne Willey

  • emmanuel

    emmanuel

  • test bank

Test Bank for Prescott's Microbiology Chapter 1-43 With Verified Solutions 12th Edition by Joanne Willey...

37 USD

0

0

NY UBE BAR Exam Best Contracts 2024 Study Material Questions and Answers
View Document

NY UBE BAR Exam Best Contracts 2024 Study Material Questions and Answers

  • mentor2000

    mentor2000

  • study guide

NY UBE BAR Exam Best Contracts 2024 Study Material Questions and Answers...

6 USD

0

0

NY Bar Exam Review Prep Course Questions and Answers
View Document

NY Bar Exam Review Prep Course Questions and Answers

  • mentor2000

    mentor2000

  • study guide

NY Bar Exam Review Prep Course Questions and Answers...

5 USD

0

0

NY Bar Exam Real Property Practice Questions and Answers
View Document

NY Bar Exam Real Property Practice Questions and Answers

  • mentor2000

    mentor2000

  • study guide

NY Bar Exam Real Property Practice Questions and Answers...

5 USD

0

0

NY Bar Exam Family Law Questions and Answers
View Document

NY Bar Exam Family Law Questions and Answers

  • mentor2000

    mentor2000

  • study guide

NY Bar Exam Family Law Questions and Answers...

5 USD

0

0

NY Bar Exam Evidence Questions and Answers
View Document

NY Bar Exam Evidence Questions and Answers

  • mentor2000

    mentor2000

  • study guide

NY Bar Exam Evidence Questions and Answers...

5 USD

0

0

New York State BAR Contracts Exam Questions and Answers
View Document

New York State BAR Contracts Exam Questions and Answers

  • mentor2000

    mentor2000

  • study guide

New York State BAR Contracts Exam Questions and Answers...

6 USD

0

0

New York Law Exam Questions and Answers
View Document

New York Law Exam Questions and Answers

  • mentor2000

    mentor2000

  • study guide

New York Law Exam Questions and Answers...

5 USD

0

0

New York Jurisdiction Bar Exam Questions and Answers 2024
View Document

New York Jurisdiction Bar Exam Questions and Answers 2024

  • mentor2000

    mentor2000

  • study guide

New York Jurisdiction Bar Exam Questions and Answers 2024...

5 USD

0

0

MPRE Final Exam Questions and Answers
View Document

MPRE Final Exam Questions and Answers

  • mentor2000

    mentor2000

  • study guide

MPRE Final Exam Questions and Answers...

5 USD

0

0

MPRE Exam Study Guide Practice Questions and Answers 2024
View Document

MPRE Exam Study Guide Practice Questions and Answers 2024

  • mentor2000

    mentor2000

  • study guide

MPRE Exam Study Guide Practice Questions and Answers 2024...

5 USD

0

0

MPRE Exam Review for the Multistate Professional Responsibility Examination 2026
View Document

MPRE Exam Review for the Multistate Professional Responsibility Examination 2026

  • mentor2000

    mentor2000

  • study guide

MPRE Exam Review for the Multistate Professional Responsibility Examination 2025...

7 USD

0

0

MPRE Exam Practice Questions (New!!)
View Document

MPRE Exam Practice Questions (New!!)

  • mentor2000

    mentor2000

  • study guide

MPRE Exam Practice Questions (New!!)...

5 USD

0

0

MPRE 2024 Exam Questions and Verified Answers
View Document

MPRE 2024 Exam Questions and Verified Answers

  • mentor2000

    mentor2000

  • study guide

MPRE 2024 Exam Questions and Verified Answers...

5 USD

0

0

MPRE Exam Study Review (BarBri)
View Document

MPRE Exam Study Review (BarBri)

  • mentor2000

    mentor2000

  • study guide

MPRE Exam Study Review (BarBri)...

5 USD

0

0

Bar Exam UBE (New York) Questions and Answers
View Document

Bar Exam UBE (New York) Questions and Answers

  • mentor2000

    mentor2000

  • study guide

Bar Exam UBE (New York) Questions and Answers...

6 USD

0

0

MPRE Final Exam Questions with Solutions (Real Exam 2024)
View Document

MPRE Final Exam Questions with Solutions (Real Exam 2024)

  • mentor2000

    mentor2000

  • exam

MPRE Final Exam Questions with Solutions (Real Exam 2024)...

10 USD

0

0

MPRE Test Practice Questions & Review for the Multistate Professional Responsibility Examination
View Document

MPRE Test Practice Questions & Review for the Multistate Professional Responsibility Examination

  • mentor2000

    mentor2000

  • exam

Prepare for the Multistate Professional Responsibility Examination (MPRE) with our comprehensive practice questions and ...

10 USD

0

0

NY BAR Comprehensive Exam Review Study Material
View Document

NY BAR Comprehensive Exam Review Study Material

  • mentor2000

    mentor2000

  • ati medical surgical

NY BAR Comprehensive Exam Review Study Material...

7 USD

0

0

NY Bar Exam, The Only Study Material you Need
View Document

NY Bar Exam, The Only Study Material you Need

  • mentor2000

    mentor2000

  • exam

NY Bar Exam, The Only Study Material you Need...

10 USD

0

0

MPRE Exam Pack (New)
View Document

MPRE Exam Pack (New)

  • mentor2000

    mentor2000

  • exam

MPRE Exam Pack (New)...

7 USD

0

0

ATI Fundamentals Proctored Exam Questions  with Verified Solutions
View Document

ATI Fundamentals Proctored Exam Questions with Verified Solutions

  • Joealvin

    Joealvin

  • questions & answers

ATI Fundamentals Proctored Exam Questions with Verified Solutions A nurse is planning care for a group of clients. W...

20 USD

0

0

RN Concept-Based Assessment Level 1 Practice B Questions  with Accurate Solutions 2024 Update
View Document

RN Concept-Based Assessment Level 1 Practice B Questions with Accurate Solutions 2024 Update

  • Joealvin

    Joealvin

  • questions & answers

RN Concept-Based Assessment Level 1 Practice B Questions with Accurate Solutions 2024 Update – Download PDF...

10 USD

0

0

CERTIFIED MEETING PROFESSIONAL EXAM WITH 100% CORRECT QUESTIONS AND ANSWERS
View Document

CERTIFIED MEETING PROFESSIONAL EXAM WITH 100% CORRECT QUESTIONS AND ANSWERS

  • ExamsGuide

    ExamsGuide

  • questions & answers

CERTIFIED MEETING PROFESSIONAL EXAM WITH 100% CORRECT QUESTIONS AND ANSWERS – Download PDF...

36 USD

0

0

ATI COMMUNITY HEALTH PROCTORED 2019 EXAM WITH  VERIFIED SOLUTIONS FROM EXPERT
View Document

ATI COMMUNITY HEALTH PROCTORED 2019 EXAM WITH VERIFIED SOLUTIONS FROM EXPERT

  • ExamsGuide

    ExamsGuide

  • questions & answers

ATI COMMUNITY HEALTH PROCTORED 2019 EXAM WITH VERIFIED SOLUTIONS FROM EXPERT...

36 USD

0

0

CERTIFIED MEETING PROFESSIONAL EXAM WITH COMPLETE SOLUTIONS
View Document

CERTIFIED MEETING PROFESSIONAL EXAM WITH COMPLETE SOLUTIONS

  • ExamsGuide

    ExamsGuide

  • questions & answers

CERTIFIED MEETING PROFESSIONAL EXAM WITH COMPLETE SOLUTIONS...

39 USD

0

0

Test Bank for Gerontological Nursing Competencies for Care 4th Edition Kristen L. Mauk
View Document

Test Bank for Gerontological Nursing Competencies for Care 4th Edition Kristen L. Mauk

  • mentor2000

    mentor2000

  • test bank

Download the Test Bank for Gerontological Nursing: Competencies for Care, 4th Edition by Mauk. Get NCLEX-style questions...

15 USD

0

0

ATI PHARMACOLOGY PROCTORED EXAM WITH RATIONALE
View Document

ATI PHARMACOLOGY PROCTORED EXAM WITH RATIONALE

  • Blessed

    Blessed

  • ati

ATI PHARMACOLOGY PROCTORED EXAM WITH RATIONALE...

35 USD

0

0

ATI PHARMACOLOGY PROCTORED EXAM WITH RATIONALE
View Document

ATI PHARMACOLOGY PROCTORED EXAM WITH RATIONALE

  • emmanuel

    emmanuel

  • ati

ATI PHARMACOLOGY PROCTORED EXAM WITH RATIONALE...

37 USD

0

0

ATI PHARMACOLOGY PROCTORED EXAM WITH RATIONALE
View Document

ATI PHARMACOLOGY PROCTORED EXAM WITH RATIONALE

  • ExamsGuide

    ExamsGuide

  • ati

ATI PHARMACOLOGY PROCTORED EXAM WITH RATIONALE...

35 USD

0

0

RN ATI PHARMACOLOGY PROCTORED 2019 FINAL EXAM WITH NGN
View Document

RN ATI PHARMACOLOGY PROCTORED 2019 FINAL EXAM WITH NGN

  • Blessed

    Blessed

  • ati

RN ATI PHARMACOLOGY PROCTORED 2019 FINAL EXAM WITH NGN...

35 USD

0

0

RN ATI PHARMACOLOGY PROCTORED 2019 FINAL EXAM WITH NGN
View Document

RN ATI PHARMACOLOGY PROCTORED 2019 FINAL EXAM WITH NGN

  • emmanuel

    emmanuel

  • ati

RN ATI PHARMACOLOGY PROCTORED 2019 FINAL EXAM WITH NGN...

33 USD

0

0

RN ATI PHARMACOLOGY PROCTORED 2019 FINAL EXAM WITH NGN
View Document

RN ATI PHARMACOLOGY PROCTORED 2019 FINAL EXAM WITH NGN

  • ExamsGuide

    ExamsGuide

  • ati

RN ATI PHARMACOLOGY PROCTORED 2019 FINAL EXAM WITH NGN...

37 USD

0

0

RN ATI PHARMACOLOGY PROCTORED 2019 FINAL EXAM WITH NGN
View Document

RN ATI PHARMACOLOGY PROCTORED 2019 FINAL EXAM WITH NGN

  • ExamsGuide

    ExamsGuide

  • ati

RN ATI PHARMACOLOGY PROCTORED 2019 FINAL EXAM WITH NGN...

36 USD

0

0

RN ATI PHARMACOLOGY 2019 EXAM WITH NGN
View Document

RN ATI PHARMACOLOGY 2019 EXAM WITH NGN

  • Blessed

    Blessed

  • ati

RN ATI PHARMACOLOGY 2019 EXAM WITH NGN...

38 USD

0

0

RN ATI PHARMACOLOGY 2019 EXAM WITH NGN
View Document

RN ATI PHARMACOLOGY 2019 EXAM WITH NGN

  • emmanuel

    emmanuel

  • ati

RN ATI PHARMACOLOGY 2019 EXAM WITH NGN...

36 USD

0

0

RN ATI PHARMACOLOGY 2019 EXAM WITH NGN
View Document

RN ATI PHARMACOLOGY 2019 EXAM WITH NGN

  • ExamsGuide

    ExamsGuide

  • ati

RN ATI PHARMACOLOGY 2019 EXAM WITH NGN...

37 USD

0

0

ATI NUTRITION PRACTICE 2019 EXAM NGN WITH WELL ELABORATED DETAILED  ANSWERS (4 VERSIONS) GRADED A+
View Document

ATI NUTRITION PRACTICE 2019 EXAM NGN WITH WELL ELABORATED DETAILED ANSWERS (4 VERSIONS) GRADED A+

  • BESTEXAMS

    BESTEXAMS

  • ati

ATI NUTRITION PRACTICE 2019 EXAM NGN WITH WELL ELABORATED DETAILED ANSWERS (4 VERSIONS) GRADED A+...

30 USD

0

0

ATI NUTRITION PRACTICE 2019 EXAM NGN WITH WELL ELABORATED DETAILED  ANSWERS (4 VERSIONS) GRADED A+
View Document

ATI NUTRITION PRACTICE 2019 EXAM NGN WITH WELL ELABORATED DETAILED ANSWERS (4 VERSIONS) GRADED A+

  • BESTS

    BESTS

  • ati

ATI NUTRITION PRACTICE 2019 EXAM NGN WITH WELL ELABORATED DETAILED ANSWERS (4 VERSIONS) GRADED A+...

28 USD

0

0

ATI NUTRITION PRACTICE 2019 EXAM NGN WITH WELL ELABORATED DETAILED  ANSWERS (4 VERSIONS) GRADED A+
View Document

ATI NUTRITION PRACTICE 2019 EXAM NGN WITH WELL ELABORATED DETAILED ANSWERS (4 VERSIONS) GRADED A+

  • BESTPDF

    BESTPDF

  • ati

ATI NUTRITION PRACTICE 2019 EXAM NGN WITH WELL ELABORATED DETAILED ANSWERS (4 VERSIONS) GRADED A+...

46 USD

0

0

NR 509 - Final Exam Bate's Interactive Question Bank with Verified Correct Answers 100%
View Document

NR 509 - Final Exam Bate's Interactive Question Bank with Verified Correct Answers 100%

  • Highergrades

    Highergrades

  • study guide

NR 509 - Final Exam Bate's Interactive Question Bank with Verified Correct Answers 100%...

15 USD

0

0

ATI Med Surg / Reproductive System Proctored Exam Questions and Answers Latest Update 2024
View Document

ATI Med Surg / Reproductive System Proctored Exam Questions and Answers Latest Update 2024

  • Highergrades

    Highergrades

  • ati medical surgical

ATI Med Surg / Reproductive System Proctored Exam Questions and Answers Latest Update 2024...

18 USD

0

0

ATI PHARMACOLOGY RETAKE GUIDE PROCTORED EXAM VERSION 1&2 WITH  COMPLETE SOLUTIONS
View Document

ATI PHARMACOLOGY RETAKE GUIDE PROCTORED EXAM VERSION 1&2 WITH COMPLETE SOLUTIONS

  • ExamsGuide

    ExamsGuide

  • ati

ATI PHARMACOLOGY RETAKE GUIDE PROCTORED EXAM VERSION 1&2 WITH COMPLETE SOLUTIONS...

37 USD

0

0

ATI COMPREHENSIVE PREDICTOR EXAM NEWLY UPDATED 2024
View Document

ATI COMPREHENSIVE PREDICTOR EXAM NEWLY UPDATED 2024

  • Blessed

    Blessed

  • ati

ATI COMPREHENSIVE PREDICTOR EXAM NEWLY UPDATED 2024...

33 USD

0

0

ATI COMPREHENSIVE PREDICTOR EXAM NEWLY UPDATED 2024
View Document

ATI COMPREHENSIVE PREDICTOR EXAM NEWLY UPDATED 2024

  • ExamsGuide

    ExamsGuide

  • ati

ATI COMPREHENSIVE PREDICTOR EXAM NEWLY UPDATED 2024...

35 USD

0

0

ATI COMPREHENSIVE PREDICTOR EXAM WITH 100% CORRECT  QUESTIONS AND ANSWER
View Document

ATI COMPREHENSIVE PREDICTOR EXAM WITH 100% CORRECT QUESTIONS AND ANSWER

  • Blessed

    Blessed

  • ati

ATI COMPREHENSIVE PREDICTOR EXAM WITH 100% CORRECT QUESTIONS AND ANSWER...

35 USD

0

0

ATI COMPREHENSIVE PREDICTOR EXAM WITH 100% CORRECT  QUESTIONS AND ANSWER
View Document

ATI COMPREHENSIVE PREDICTOR EXAM WITH 100% CORRECT QUESTIONS AND ANSWER

  • ExamsGuide

    ExamsGuide

  • ati

ATI COMPREHENSIVE PREDICTOR EXAM WITH 100% CORRECT QUESTIONS AND ANSWER...

36 USD

0

0

ATI COMPREHENSIVE PREDICTOR GUIDE WITH BEST SOLUTIONS
View Document

ATI COMPREHENSIVE PREDICTOR GUIDE WITH BEST SOLUTIONS

  • Blessed

    Blessed

  • ati

ATI COMPREHENSIVE PREDICTOR GUIDE WITH BEST SOLUTIONS...

39 USD

0

0

ATI COMPREHENSIVE PREDICTOR GUIDE WITH BEST SOLUTIONS
View Document

ATI COMPREHENSIVE PREDICTOR GUIDE WITH BEST SOLUTIONS

  • ExamsGuide

    ExamsGuide

  • ati

ATI COMPREHENSIVE PREDICTOR GUIDE WITH BEST SOLUTIONS...

35 USD

0

0

NFHS Basketball Rules Exam ...
View Document

NFHS Basketball Rules Exam ...

  • tutor123

    tutor123

  • questions & answers

NFHS Basketball Rules Exam ......

14 USD

0

0

NFHS BASKETBALL EXAM PART I..
View Document

NFHS BASKETBALL EXAM PART I..

  • tutor123

    tutor123

  • questions & answers

NFHS BASKETBALL EXAM PART I.....

15 USD

0

0

TEST BANK AND SOLUTIONS FOR  CANADIAN HUMAN RESOURCE  MANAGEMENT 12th Edition 12ce by  Schwind Exam Questions and Answers  2024
View Document

TEST BANK AND SOLUTIONS FOR CANADIAN HUMAN RESOURCE MANAGEMENT 12th Edition 12ce by Schwind Exam Questions and Answers 2024

  • tutor123

    tutor123

  • questions & answers

TEST BANK AND SOLUTIONS FOR CANADIAN HUMAN RESOURCE MANAGEMENT 12th Edition 12ce by Schwind Exam Questions and Answer...

15 USD

0

0

RN VATI MATERNAL NEWBORN 2019 EXAM WITH RATIONALE
View Document

RN VATI MATERNAL NEWBORN 2019 EXAM WITH RATIONALE

  • Blessed

    Blessed

  • questions & answers

RN VATI MATERNAL NEWBORN 2019 EXAM WITH RATIONALE...

34 USD

0

0

RN VATI MATERNAL NEWBORN 2019 EXAM WITH RATIONALE
View Document

RN VATI MATERNAL NEWBORN 2019 EXAM WITH RATIONALE

  • ExamsGuide

    ExamsGuide

  • ati

RN VATI MATERNAL NEWBORN 2019 EXAM WITH RATIONALE...

35 USD

0

0

RN RELIAS ED EXAM NEWEST VERSION  (ALREADY GRADED A+)
View Document

RN RELIAS ED EXAM NEWEST VERSION (ALREADY GRADED A+)

  • QUIZSOLUTIONS

    QUIZSOLUTIONS

  • questions & answers

RN RELIAS ED EXAM NEWEST VERSION (ALREADY GRADED A+)...

29 USD

0

0

RN RELIAS ED EXAM NEWEST VERSION  (ALREADY GRADED A+)
View Document

RN RELIAS ED EXAM NEWEST VERSION (ALREADY GRADED A+)

  • BESTEXAMS

    BESTEXAMS

  • questions & answers

RN RELIAS ED EXAM NEWEST VERSION (ALREADY GRADED A+)...

32 USD

0

0

RN RELIAS ED EXAM NEWEST VERSION  (ALREADY GRADED A+)
View Document

RN RELIAS ED EXAM NEWEST VERSION (ALREADY GRADED A+)

  • BESTS

    BESTS

  • questions & answers

RN RELIAS ED EXAM NEWEST VERSION (ALREADY GRADED A+)...

35 USD

0

0

RN RELIAS ED EXAM NEWEST VERSION  (ALREADY GRADED A+)
View Document

RN RELIAS ED EXAM NEWEST VERSION (ALREADY GRADED A+)

  • BESTPDF

    BESTPDF

  • questions & answers

RN RELIAS ED EXAM NEWEST VERSION (ALREADY GRADED A+)...

30 USD

0

0

PROPHECY RN PHARMACOLOGY A NEWEST  VERSION EXAM ALREADY|GRADED A+
View Document

PROPHECY RN PHARMACOLOGY A NEWEST VERSION EXAM ALREADY|GRADED A+

  • QUIZSOLUTIONS

    QUIZSOLUTIONS

  • questions & answers

PROPHECY RN PHARMACOLOGY A NEWEST VERSION EXAM ALREADY|GRADED A+...

28 USD

0

0

PROPHECY RN PHARMACOLOGY A NEWEST  VERSION EXAM ALREADY|GRADED A+
View Document

PROPHECY RN PHARMACOLOGY A NEWEST VERSION EXAM ALREADY|GRADED A+

  • BESTEXAMS

    BESTEXAMS

  • questions & answers

PROPHECY RN PHARMACOLOGY A NEWEST VERSION EXAM ALREADY|GRADED A+...

31 USD

0

0

PROPHECY RN PHARMACOLOGY A NEWEST  VERSION EXAM ALREADY|GRADED A+
View Document

PROPHECY RN PHARMACOLOGY A NEWEST VERSION EXAM ALREADY|GRADED A+

  • BESTS

    BESTS

  • questions & answers

PROPHECY RN PHARMACOLOGY A NEWEST VERSION EXAM ALREADY|GRADED A+...

28 USD

0

0

A LEVEL CHEMISTRY WITH VERIFIED QUESTIONS AND ANSWERS
View Document

A LEVEL CHEMISTRY WITH VERIFIED QUESTIONS AND ANSWERS

  • Blessed

    Blessed

  • questions & answers

A LEVEL CHEMISTRY WITH VERIFIED QUESTIONS AND ANSWERS – Download PDF...

34 USD

0

0

PROPHECY RN PHARMACOLOGY A NEWEST  VERSION EXAM ALREADY|GRADED A+
View Document

PROPHECY RN PHARMACOLOGY A NEWEST VERSION EXAM ALREADY|GRADED A+

  • BESTPDF

    BESTPDF

  • questions & answers

PROPHECY RN PHARMACOLOGY A NEWEST VERSION EXAM ALREADY|GRADED A+...

28 USD

0

0

RN PHARMACOLOGY A RELIAS EXAM  WITH 100% CORRECT VERIFIED  QUESTIONS AND ANSWERS
View Document

RN PHARMACOLOGY A RELIAS EXAM WITH 100% CORRECT VERIFIED QUESTIONS AND ANSWERS

  • QUIZSOLUTIONS

    QUIZSOLUTIONS

  • questions & answers

RN PHARMACOLOGY A RELIAS EXAM WITH 100% CORRECT VERIFIED QUESTIONS AND ANSWERS...

36 USD

0

0

RN PHARMACOLOGY A RELIAS EXAM  WITH 100% CORRECT VERIFIED  QUESTIONS AND ANSWERS
View Document

RN PHARMACOLOGY A RELIAS EXAM WITH 100% CORRECT VERIFIED QUESTIONS AND ANSWERS

  • BESTEXAMS

    BESTEXAMS

  • questions & answers

RN PHARMACOLOGY A RELIAS EXAM WITH 100% CORRECT VERIFIED QUESTIONS AND ANSWERS...

29 USD

0

0

RN PHARMACOLOGY A RELIAS EXAM  WITH 100% CORRECT VERIFIED  QUESTIONS AND ANSWERS
View Document

RN PHARMACOLOGY A RELIAS EXAM WITH 100% CORRECT VERIFIED QUESTIONS AND ANSWERS

  • BESTS

    BESTS

  • questions & answers

RN PHARMACOLOGY A RELIAS EXAM WITH 100% CORRECT VERIFIED QUESTIONS AND ANSWERS...

30 USD

0

0

A LEVEL CHEMISTRY EXAM WITH COMPLETE SOLUTIONS
View Document

A LEVEL CHEMISTRY EXAM WITH COMPLETE SOLUTIONS

  • ExamsGuide

    ExamsGuide

  • questions & answers

A LEVEL CHEMISTRY EXAM WITH COMPLETE SOLUTIONS...

37 USD

0

0

PROPHECY RN PHARMACOLOGY A NEWEST  VERSION EXAM ALREADY|GRADED A+
View Document

PROPHECY RN PHARMACOLOGY A NEWEST VERSION EXAM ALREADY|GRADED A+

  • BESTS

    BESTS

  • questions & answers

PROPHECY RN PHARMACOLOGY A NEWEST VERSION EXAM ALREADY|GRADED A+...

27 USD

0

0

PROPHECY RN PHARMACOLOGY A NEWEST  VERSION EXAM ALREADY|GRADED A+
View Document

PROPHECY RN PHARMACOLOGY A NEWEST VERSION EXAM ALREADY|GRADED A+

  • BESTPDF

    BESTPDF

  • questions & answers

PROPHECY RN PHARMACOLOGY A NEWEST VERSION EXAM ALREADY|GRADED A+...

32 USD

0

0

PROPHECY ASSESSEMENTE CORE MADATORY  PART I EXAM (ANSWERS GRADED A+)
View Document

PROPHECY ASSESSEMENTE CORE MADATORY PART I EXAM (ANSWERS GRADED A+)

  • QUIZSOLUTIONS

    QUIZSOLUTIONS

  • questions & answers

PROPHECY ASSESSEMENTE CORE MADATORY PART I EXAM (ANSWERS GRADED A+)...

35 USD

0

0

PROPHECY ASSESSEMENTE CORE MADATORY  PART I EXAM (ANSWERS GRADED A+)
View Document

PROPHECY ASSESSEMENTE CORE MADATORY PART I EXAM (ANSWERS GRADED A+)

  • BESTEXAMS

    BESTEXAMS

  • questions & answers

PROPHECY ASSESSEMENTE CORE MADATORY PART I EXAM (ANSWERS GRADED A+)...

28 USD

0

0

PROPHECY ASSESSEMENTE CORE MADATORY  PART I EXAM (ANSWERS GRADED A+)
View Document

PROPHECY ASSESSEMENTE CORE MADATORY PART I EXAM (ANSWERS GRADED A+)

  • BESTS

    BESTS

  • questions & answers

PROPHECY ASSESSEMENTE CORE MADATORY PART I EXAM (ANSWERS GRADED A+)...

26 USD

0

0

PROPHECY ASSESSEMENTE CORE MADATORY  PART I EXAM (ANSWERS GRADED A+)
View Document

PROPHECY ASSESSEMENTE CORE MADATORY PART I EXAM (ANSWERS GRADED A+)

  • BESTPDF

    BESTPDF

  • questions & answers

PROPHECY ASSESSEMENTE CORE MADATORY PART I EXAM (ANSWERS GRADED A+)...

32 USD

0

0

RN PHARMACOLOGY A RELIAS EXAM  WITH 100% CORRECT VERIFIED  QUESTIONS AND ANSWERS
View Document

RN PHARMACOLOGY A RELIAS EXAM WITH 100% CORRECT VERIFIED QUESTIONS AND ANSWERS

  • QUIZSOLUTIONS

    QUIZSOLUTIONS

  • questions & answers

RN PHARMACOLOGY A RELIAS EXAM WITH 100% CORRECT VERIFIED QUESTIONS AND ANSWERS...

31 USD

0

0

RN PHARMACOLOGY A RELIAS EXAM  WITH 100% CORRECT VERIFIED  QUESTIONS AND ANSWERS
View Document

RN PHARMACOLOGY A RELIAS EXAM WITH 100% CORRECT VERIFIED QUESTIONS AND ANSWERS

  • BESTEXAMS

    BESTEXAMS

  • questions & answers

RN PHARMACOLOGY A RELIAS EXAM WITH 100% CORRECT VERIFIED QUESTIONS AND ANSWERS...

28 USD

0

0

RN PHARMACOLOGY A RELIAS EXAM  WITH 100% CORRECT VERIFIED  QUESTIONS AND ANSWERS
View Document

RN PHARMACOLOGY A RELIAS EXAM WITH 100% CORRECT VERIFIED QUESTIONS AND ANSWERS

  • BESTS

    BESTS

  • questions & answers

RN PHARMACOLOGY A RELIAS EXAM WITH 100% CORRECT VERIFIED QUESTIONS AND ANSWERS...

32 USD

0

0

RN PHARMACOLOGY A RELIAS EXAM  WITH 100% CORRECT VERIFIED  QUESTIONS AND ANSWERS
View Document

RN PHARMACOLOGY A RELIAS EXAM WITH 100% CORRECT VERIFIED QUESTIONS AND ANSWERS

  • BESTPDF

    BESTPDF

  • questions & answers

RN PHARMACOLOGY A RELIAS EXAM WITH 100% CORRECT VERIFIED QUESTIONS AND ANSWERS...

35 USD

0

0

MEDICAL SURGICAL RN A PROPHECY RELIAS  NEWEST VERSION EXAM WITH SOLUTIONS
View Document

MEDICAL SURGICAL RN A PROPHECY RELIAS NEWEST VERSION EXAM WITH SOLUTIONS

  • BESTEXAMS

    BESTEXAMS

  • questions & answers

MEDICAL SURGICAL RN A PROPHECY RELIAS NEWEST VERSION EXAM WITH SOLUTIONS...

28 USD

0

0

MEDICAL SURGICAL RN A PROPHECY RELIAS  NEWEST VERSION EXAM WITH SOLUTIONS
View Document

MEDICAL SURGICAL RN A PROPHECY RELIAS NEWEST VERSION EXAM WITH SOLUTIONS

  • BESTS

    BESTS

  • questions & answers

MEDICAL SURGICAL RN A PROPHECY RELIAS NEWEST VERSION EXAM WITH SOLUTIONS...

31 USD

0

0

MEDICAL SURGICAL RN A PROPHECY RELIAS  NEWEST VERSION EXAM WITH SOLUTIONS
View Document

MEDICAL SURGICAL RN A PROPHECY RELIAS NEWEST VERSION EXAM WITH SOLUTIONS

  • BESTPDF

    BESTPDF

  • questions & answers

MEDICAL SURGICAL RN A PROPHECY RELIAS NEWEST VERSION EXAM WITH SOLUTIONS...

34 USD

0

0

ATI NUTRITION QUIZ BANK EXAM  WITH WELL ELABORATED DETAILED  ANSWERS/RATIONALED (A+ GRADED)
View Document

ATI NUTRITION QUIZ BANK EXAM WITH WELL ELABORATED DETAILED ANSWERS/RATIONALED (A+ GRADED)

  • QUIZSOLUTIONS

    QUIZSOLUTIONS

  • questions & answers

ATI NUTRITION QUIZ BANK EXAM WITH WELL ELABORATED DETAILED ANSWERS/RATIONALED (A+ GRADED)...

32 USD

0

0

ATI NUTRITION QUIZ BANK EXAM  WITH WELL ELABORATED DETAILED  ANSWERS/RATIONALED (A+ GRADED)
View Document

ATI NUTRITION QUIZ BANK EXAM WITH WELL ELABORATED DETAILED ANSWERS/RATIONALED (A+ GRADED)

  • BESTEXAMS

    BESTEXAMS

  • questions & answers

ATI NUTRITION QUIZ BANK EXAM WITH WELL ELABORATED DETAILED ANSWERS/RATIONALED (A+ GRADED)...

28 USD

0

0

ATI NUTRITION QUIZ BANK EXAM  WITH WELL ELABORATED DETAILED  ANSWERS/RATIONALED (A+ GRADED)
View Document

ATI NUTRITION QUIZ BANK EXAM WITH WELL ELABORATED DETAILED ANSWERS/RATIONALED (A+ GRADED)

  • BESTS

    BESTS

  • questions & answers

ATI NUTRITION QUIZ BANK EXAM WITH WELL ELABORATED DETAILED ANSWERS/RATIONALED (A+ GRADED)...

32 USD

0

0

ATI NUTRITION QUIZ BANK EXAM  WITH WELL ELABORATED DETAILED  ANSWERS/RATIONALED (A+ GRADED)
View Document

ATI NUTRITION QUIZ BANK EXAM WITH WELL ELABORATED DETAILED ANSWERS/RATIONALED (A+ GRADED)

  • BESTPDF

    BESTPDF

  • questions & answers

ATI NUTRITION QUIZ BANK EXAM WITH WELL ELABORATED DETAILED ANSWERS/RATIONALED (A+ GRADED)...

34 USD

0

0

ATI NUTRITION PROCTORED STUDY GUIDE LATEST VERSION (ALREADY GRADED A+)
View Document

ATI NUTRITION PROCTORED STUDY GUIDE LATEST VERSION (ALREADY GRADED A+)

  • QUIZSOLUTIONS

    QUIZSOLUTIONS

  • questions & answers

ATI NUTRITION PROCTORED STUDY GUIDE LATEST VERSION (ALREADY GRADED A+)...

32 USD

0

0

ATI NUTRITION PROCTORED STUDY GUIDE LATEST VERSION (ALREADY GRADED A+)
View Document

ATI NUTRITION PROCTORED STUDY GUIDE LATEST VERSION (ALREADY GRADED A+)

  • BESTEXAMS

    BESTEXAMS

  • questions & answers

ATI NUTRITION PROCTORED STUDY GUIDE LATEST VERSION (ALREADY GRADED A+)...

26 USD

0

0

ATI NUTRITION PROCTORED STUDY GUIDE LATEST VERSION (ALREADY GRADED A+)
View Document

ATI NUTRITION PROCTORED STUDY GUIDE LATEST VERSION (ALREADY GRADED A+)

  • BESTS

    BESTS

  • questions & answers

ATI NUTRITION PROCTORED STUDY GUIDE LATEST VERSION (ALREADY GRADED A+)...

28 USD

0

0

ATI NUTRITION PROCTORED STUDY GUIDE LATEST VERSION (ALREADY GRADED A+)
View Document

ATI NUTRITION PROCTORED STUDY GUIDE LATEST VERSION (ALREADY GRADED A+)

  • BESTPDF

    BESTPDF

  • questions & answers

ATI NUTRITION PROCTORED STUDY GUIDE LATEST VERSION (ALREADY GRADED A+)...

32 USD

0

0

ATI NUTRITION PROCTORED FINAL EXAM  NEWEST VERSION WITH SOLUTIONS AND  VERIFIED ANSWERS (GRADED A+)
View Document

ATI NUTRITION PROCTORED FINAL EXAM NEWEST VERSION WITH SOLUTIONS AND VERIFIED ANSWERS (GRADED A+)

  • QUIZSOLUTIONS

    QUIZSOLUTIONS

  • questions & answers

ATI NUTRITION PROCTORED FINAL EXAM NEWEST VERSION WITH SOLUTIONS AND VERIFIED ANSWERS (GRADED A+)...

29 USD

0

0

ATI NUTRITION PROCTORED FINAL EXAM  NEWEST VERSION WITH SOLUTIONS AND  VERIFIED ANSWERS (GRADED A+)
View Document

ATI NUTRITION PROCTORED FINAL EXAM NEWEST VERSION WITH SOLUTIONS AND VERIFIED ANSWERS (GRADED A+)

  • BESTEXAMS

    BESTEXAMS

  • questions & answers

ATI NUTRITION PROCTORED FINAL EXAM NEWEST VERSION WITH SOLUTIONS AND VERIFIED ANSWERS (GRADED A+)...

28 USD

0

0

ATI NUTRITION PROCTORED FINAL EXAM  NEWEST VERSION WITH SOLUTIONS AND  VERIFIED ANSWERS (GRADED A+)
View Document

ATI NUTRITION PROCTORED FINAL EXAM NEWEST VERSION WITH SOLUTIONS AND VERIFIED ANSWERS (GRADED A+)

  • BESTS

    BESTS

  • questions & answers

ATI NUTRITION PROCTORED FINAL EXAM NEWEST VERSION WITH SOLUTIONS AND VERIFIED ANSWERS (GRADED A+)...

32 USD

0

0

ATI NUTRITION PROCTORED FINAL EXAM  NEWEST VERSION WITH SOLUTIONS AND  VERIFIED ANSWERS (GRADED A+)
View Document

ATI NUTRITION PROCTORED FINAL EXAM NEWEST VERSION WITH SOLUTIONS AND VERIFIED ANSWERS (GRADED A+)

  • BESTPDF

    BESTPDF

  • questions & answers

ATI NUTRITION PROCTORED FINAL EXAM NEWEST VERSION WITH SOLUTIONS AND VERIFIED ANSWERS (GRADED A+)...

28 USD

0

0

ATI NUTRITION PRACTICE TEST B 2019 EXAM WELL DETAILED ANSWERS (A+ GRADED)
View Document

ATI NUTRITION PRACTICE TEST B 2019 EXAM WELL DETAILED ANSWERS (A+ GRADED)

  • QUIZSOLUTIONS

    QUIZSOLUTIONS

  • questions & answers

ATI NUTRITION PRACTICE TEST B 2019 EXAM WELL DETAILED ANSWERS (A+ GRADED)...

26 USD

0

0

ATI NUTRITION PRACTICE TEST B 2019 EXAM WELL DETAILED ANSWERS (A+ GRADED)
View Document

ATI NUTRITION PRACTICE TEST B 2019 EXAM WELL DETAILED ANSWERS (A+ GRADED)

  • BESTEXAMS

    BESTEXAMS

  • questions & answers

ATI NUTRITION PRACTICE TEST B 2019 EXAM WELL DETAILED ANSWERS (A+ GRADED)...

32 USD

0

0

ATI NUTRITION PRACTICE TEST B 2019 EXAM WELL DETAILED ANSWERS (A+ GRADED)
View Document

ATI NUTRITION PRACTICE TEST B 2019 EXAM WELL DETAILED ANSWERS (A+ GRADED)

  • BESTS

    BESTS

  • questions & answers

ATI NUTRITION PRACTICE TEST B 2019 EXAM WELL DETAILED ANSWERS (A+ GRADED)...

28 USD

0

0

NJ PSI PROPERTY AND CASUALITY EXAM  WITH 100% CORRECT VERIFIED  QUESTIONS AND ANSWERS
View Document

NJ PSI PROPERTY AND CASUALITY EXAM WITH 100% CORRECT VERIFIED QUESTIONS AND ANSWERS

  • BESTEXAMS

    BESTEXAMS

  • questions & answers

NJ PSI PROPERTY AND CASUALITY EXAM WITH 100% CORRECT VERIFIED QUESTIONS AND ANSWERS...

24 USD

0

0

RN ATI MATERNAL NEWBORN PROCTORED EXAM (36 EXAM SETS), ATI RN EXAMS 2024, LATEST MULTIPLE VERSIONS
View Document

RN ATI MATERNAL NEWBORN PROCTORED EXAM (36 EXAM SETS), ATI RN EXAMS 2024, LATEST MULTIPLE VERSIONS

  • PERFECTSOLUTIONS101

    PERFECTSOLUTIONS101

  • test bank

RN ATI MATERNAL NEWBORN PROCTORED EXAM (36 EXAM SETS), ATI RN EXAMS 2024, LATEST MULTIPLE VERSIONS...

20 USD

0

0

RN ATI MATERNAL NEWBORN PROCTORED EXAM (36 EXAM SETS), ATI RN EXAMS 2024, LATEST MULTIPLE VERSIONS
View Document

RN ATI MATERNAL NEWBORN PROCTORED EXAM (36 EXAM SETS), ATI RN EXAMS 2024, LATEST MULTIPLE VERSIONS

  • tutorwizard

    tutorwizard

  • test bank

RN ATI MATERNAL NEWBORN PROCTORED EXAM (36 EXAM SETS), ATI RN EXAMS 2024, LATEST MULTIPLE VERSIONS...

20 USD

0

0

RN ATI MATERNAL NEWBORN PROCTORED EXAM (36 EXAM SETS), ATI RN EXAMS 2024, LATEST MULTIPLE VERSIONS
View Document

RN ATI MATERNAL NEWBORN PROCTORED EXAM (36 EXAM SETS), ATI RN EXAMS 2024, LATEST MULTIPLE VERSIONS

  • SOLUTIONS101

    SOLUTIONS101

  • test bank

RN ATI MATERNAL NEWBORN PROCTORED EXAM (36 EXAM SETS), ATI RN EXAMS 2024, LATEST MULTIPLE VERSIONS...

20 USD

0

0

RN ATI MATERNAL NEWBORN PROCTORED EXAM (36 EXAM SETS), ATI RN EXAMS 2024, LATEST MULTIPLE VERSIONS
View Document

RN ATI MATERNAL NEWBORN PROCTORED EXAM (36 EXAM SETS), ATI RN EXAMS 2024, LATEST MULTIPLE VERSIONS

  • Solutions

    Solutions

  • test bank

RN ATI MATERNAL NEWBORN PROCTORED EXAM (36 EXAM SETS), ATI RN EXAMS 2024, LATEST MULTIPLE VERSIONS...

20 USD

0

0

MATHNASIUM TRAINING EXAM WITH COMPLETE SOLUTIONS
View Document

MATHNASIUM TRAINING EXAM WITH COMPLETE SOLUTIONS

  • ExamsGuide

    ExamsGuide

  • questions & answers

MATHNASIUM TRAINING EXAM WITH COMPLETE SOLUTIONS...

35 USD

0

0

PSI CA PROPERTY AND CASUALTY PRACTICE EXAMINATION WITH DETAILED ANSWERS
View Document

PSI CA PROPERTY AND CASUALTY PRACTICE EXAMINATION WITH DETAILED ANSWERS

  • BESTS

    BESTS

  • questions & answers

PSI CA PROPERTY AND CASUALTY PRACTICE EXAMINATION WITH DETAILED ANSWERS...

32 USD

0

0

WGU D265 CRITICAL THINKING EXAM WITH BEST SOLUTIONS
View Document

WGU D265 CRITICAL THINKING EXAM WITH BEST SOLUTIONS

  • Blessed

    Blessed

  • questions & answers

WGU D265 CRITICAL THINKING EXAM WITH BEST SOLUTIONS...

34 USD

0

0

WGU D265 CRITICAL THINKING EXAM WITH BEST SOLUTIONS
View Document

WGU D265 CRITICAL THINKING EXAM WITH BEST SOLUTIONS

  • ExamsGuide

    ExamsGuide

  • questions & answers

WGU D265 CRITICAL THINKING EXAM WITH BEST SOLUTIONS...

35 USD

0

0

RN ATI MATERNAL NEWBORN PROCTORED EXAM (36 EXAM SETS), ATI RN EXAMS 2026, LATEST MULTIPLE VERSIONS
View Document

RN ATI MATERNAL NEWBORN PROCTORED EXAM (36 EXAM SETS), ATI RN EXAMS 2026, LATEST MULTIPLE VERSIONS

  • GoldenStar

    GoldenStar

  • test bank

RN ATI MATERNAL NEWBORN PROCTORED EXAM (36 EXAM SETS), ATI RN EXAMS 2025, LATEST MULTIPLE VERSIONS...

15 USD

0

0

NURS611 Exam 4 Advanced Pathophysiology Questions and Answers
View Document

NURS611 Exam 4 Advanced Pathophysiology Questions and Answers

  • mentor2000

    mentor2000

  • exam

NURS611 Exam 4 Advanced Pathophysiology Questions and Answers...

5 USD

0

0

Midterm Exam NUR611 Questions and Answers (2026 Solutions)
View Document

Midterm Exam NUR611 Questions and Answers (2026 Solutions)

  • mentor2000

    mentor2000

  • exam

Midterm Exam NUR611 Questions and Answers (2025 Solutions)...

5 USD

0

0

NURS 611 Advanced Pathophysiology Final Exam 2024 Test Solutions
View Document

NURS 611 Advanced Pathophysiology Final Exam 2024 Test Solutions

  • mentor2000

    mentor2000

  • exam

NURS 611 Advanced Pathophysiology Final Exam 2024 Test Solutions...

5 USD

0

0

Nurs 611 Final Exam Study Guide
View Document

Nurs 611 Final Exam Study Guide

  • mentor2000

    mentor2000

  • exam

Nurs 611 Final Exam Study Guide...

5 USD

0

0

NUR 611 Exam 2 Questions and Answers
View Document

NUR 611 Exam 2 Questions and Answers

  • mentor2000

    mentor2000

  • exam

NUR 611 Exam 2 Questions and Answers...

5 USD

0

0

NURS 611 Patho Maryville Common Exam Questions and Answers
View Document

NURS 611 Patho Maryville Common Exam Questions and Answers

  • mentor2000

    mentor2000

  • exam

NURS 611 Patho Maryville Common Exam Questions and Answers...

7 USD

0

0

CompTIA Network (Exam N10-007)
View Document

CompTIA Network (Exam N10-007)

  • studypal

    studypal

  • exam

CompTIA Network (Exam N10-007)...

14 USD

0

0

NURSING INFORMATICS SAS 1-30 EXAM QUESTIONS AND ANSWERS(100% Correct)
View Document

NURSING INFORMATICS SAS 1-30 EXAM QUESTIONS AND ANSWERS(100% Correct)

  • studypal

    studypal

  • questions & answers

NURSING INFORMATICS SAS 1-30 EXAM QUESTIONS AND ANSWERS(100% Correct)...

14 USD

0

0

ATI COMPREHENSIVE EXIT EXAM RETAKE WITH NGN LATEST VERSION | Safety
View Document

ATI COMPREHENSIVE EXIT EXAM RETAKE WITH NGN LATEST VERSION | Safety

  • steve-muriuki

    steve-muriuki

  • ati

ATI COMPREHENSIVE EXIT EXAM RETAKE WITH NGN LATEST VERSION | Safety – Download PDF...

5 USD

0

0

ATI COMPREHENSIVE EXIT EXAM RETAKE  WITH NGN LATEST VERSION|ATI RN  Comprehensive Predictor 2024 A NGN Urinary 37
View Document

ATI COMPREHENSIVE EXIT EXAM RETAKE WITH NGN LATEST VERSION|ATI RN Comprehensive Predictor 2024 A NGN Urinary 37

  • steve-muriuki

    steve-muriuki

  • ati

ATI COMPREHENSIVE EXIT EXAM RETAKE WITH NGN LATEST VERSION|ATI RN Comprehensive Predictor 2024 A NGN Urinary 37 – Do...

15 USD

0

0

National Consortium for Health Science Education 100 Questions With Answers - HEALTH SCIENCE Final Exam
View Document

National Consortium for Health Science Education 100 Questions With Answers - HEALTH SCIENCE Final Exam

  • studypal

    studypal

  • questions & answers

National Consortium for Health Science Education 100 Questions With Answers - HEALTH SCIENCE Final Exam – Download PDF...

10 USD

0

0

National Consortium for Health Science Education NCHSE EXAM SOLVED QUESTIONS AND ANSWERS
View Document

National Consortium for Health Science Education NCHSE EXAM SOLVED QUESTIONS AND ANSWERS

  • studypal

    studypal

  • questions & answers

National Consortium for Health Science Education NCHSE EXAM SOLVED QUESTIONS AND ANSWERS – Download PDF...

10 USD

0

0

National Consortium for Health Science Education (NCHSE) CERTIFICATION EXAM REVIEW RATED 100% CORRECT
View Document

National Consortium for Health Science Education (NCHSE) CERTIFICATION EXAM REVIEW RATED 100% CORRECT

  • studypal

    studypal

  • questions & answers

National Consortium for Health Science Education (NCHSE) CERTIFICATION EXAM REVIEW RATED 100% CORRECT – Download PDF...

10 USD

0

0

NOCTI Computer Programming Final Exam Questions with Answers 2024 - 100% Correct Answers
View Document

NOCTI Computer Programming Final Exam Questions with Answers 2024 - 100% Correct Answers

  • studypal

    studypal

  • questions & answers

NOCTI Computer Programming Final Exam Questions with Answers 2024 - 100% Correct Answers – Download PDF...

14 USD

0

0

Dosage Calculations FINAL Exam 100 Questions With Updated 100% Correct Answers A+ GRADE
View Document

Dosage Calculations FINAL Exam 100 Questions With Updated 100% Correct Answers A+ GRADE

  • studypal

    studypal

  • questions & answers

Dosage Calculations FINAL Exam 100 Questions With Updated 100% Correct Answers A+ GRADE – Download PDF...

10 USD

0

0

NR 599: Nursing Informatics for Advanced Practice:  Midterm Exam Questions and Answers 2024
View Document

NR 599: Nursing Informatics for Advanced Practice: Midterm Exam Questions and Answers 2024

  • studypal

    studypal

  • questions & answers

NR 599: Nursing Informatics for Advanced Practice: Midterm Exam Questions and Answers 2024 – Download PDF...

9 USD

0

0

NR 599 NURSING INFORMATICS FINAL EXAM 2022/2023.
View Document

NR 599 NURSING INFORMATICS FINAL EXAM 2022/2023.

  • studypal

    studypal

  • questions & answers

NR 599 NURSING INFORMATICS FINAL EXAM 2022/2023. – Download PDF...

14 USD

0

0

Peregrine Final Exam Solutions
View Document

Peregrine Final Exam Solutions

  • castro

    castro

  • exam

Peregrine Final Exam Solutions – Download PDF...

8 USD

0

0

Peregrine Exam Study Guide
View Document

Peregrine Exam Study Guide

  • castro

    castro

  • exam

Peregrine Exam Study Guide – Download PDF...

7 USD

0

0

Peregrine Exam Practice Questions and Answers 2024
View Document

Peregrine Exam Practice Questions and Answers 2024

  • castro

    castro

  • exam

Peregrine Exam Practice Questions and Answers 2024 – Download PDF...

6 USD

0

0

Peregrine Exam Questions and Answers 2024
View Document

Peregrine Exam Questions and Answers 2024

  • castro

    castro

  • exam

Peregrine Exam Questions and Answers 2024...

7 USD

0

0

The CE Shop Real estate Finance Exam Questions and Answers 2026
View Document

The CE Shop Real estate Finance Exam Questions and Answers 2026

  • castro

    castro

  • exam

The CE Shop Real estate Finance Exam Questions and Answers 2026 – Download Instant PDF...

7 USD

0

0

FINC 3250 Exam 3 (Final) Questions And Answers 2024
View Document

FINC 3250 Exam 3 (Final) Questions And Answers 2024

  • castro

    castro

  • exam

FINC 3250 Exam 3 (Final) Questions And Answers 2024 – Download PDF...

8 USD

0

0

FINC 3250 Final Exam Tomlinson Questions and Answers 2024
View Document

FINC 3250 Final Exam Tomlinson Questions and Answers 2024

  • castro

    castro

  • exam

FINC 3250 Final Exam Tomlinson Questions and Answers 2024 – Download PDF...

8 USD

0

0

FINC 3250 Exam 4  Test Review
View Document

FINC 3250 Exam 4 Test Review

  • castro

    castro

  • exam

FINC 3250 Exam 4 Test Review – Download PDF...

5 USD

0

0

FINC 3250 Exam 2 Questions and Answers 2024 Solutions
View Document

FINC 3250 Exam 2 Questions and Answers 2024 Solutions

  • castro

    castro

  • exam

FINC 3250 Exam 2 Questions and Answers 2024 Solutions – Download PDF...

8 USD

0

0

FINC 3250 Exam 2 Practice Questions and Answers
View Document

FINC 3250 Exam 2 Practice Questions and Answers

  • castro

    castro

  • exam

FINC 3250 Exam 2 Practice Questions and Answers – Download PDF...

6 USD

0

0

Exam 4 - FINC 3250 - Principles of Real Estate Exam 4 - Chris Tomlinson questions and answers
View Document

Exam 4 - FINC 3250 - Principles of Real Estate Exam 4 - Chris Tomlinson questions and answers

  • castro

    castro

  • exam

Exam 4 - FINC 3250 - Principles of Real Estate Exam 4 - Chris Tomlinson questions and answers – Download PDF...

7 USD

0

0

Chris Tomlinson Exam 2 - FINC 3250 - Principles of Real Estate Exam 2 questions and answers
View Document

Chris Tomlinson Exam 2 - FINC 3250 - Principles of Real Estate Exam 2 questions and answers

  • castro

    castro

  • exam

Chris Tomlinson Exam 2 - FINC 3250 - Principles of Real Estate Exam 2 questions and answers – Download PDF...

7 USD

0

0

Principles of Real Estate Exam 3 FINC 3250 Chris Tomlinson
View Document

Principles of Real Estate Exam 3 FINC 3250 Chris Tomlinson

  • castro

    castro

  • exam

Principles of Real Estate Exam 3 FINC 3250 Chris Tomlinson – Download PDF...

7 USD

0

0

NURS 231 PATHOPHYSIOLOGY ALL MODULE EXAM (PORTAGE LEARNING)  WITH GRADED A+ SOLUTIONS
View Document

NURS 231 PATHOPHYSIOLOGY ALL MODULE EXAM (PORTAGE LEARNING) WITH GRADED A+ SOLUTIONS

  • BESTS

    BESTS

  • questions & answers

NURS 231 PATHOPHYSIOLOGY ALL MODULE EXAM (PORTAGE LEARNING) WITH GRADED A+ SOLUTIONS...

29 USD

0

0

ACTUAL PORTAGE LEARNING BIO 152  MODULE 2 EXAM STUDY GUIDE 2024
View Document

ACTUAL PORTAGE LEARNING BIO 152 MODULE 2 EXAM STUDY GUIDE 2024

  • BESTEXAMS

    BESTEXAMS

  • questions & answers

ACTUAL PORTAGE LEARNING BIO 152 MODULE 2 EXAM STUDY GUIDE 2024 – Download PDF...

28 USD

0

0

NGR 6172 PHARMACOLOGY MIDTERM EXAM  WITH WELL ELABORATED DETAILED ANSWERS  (GUARANTEED DISTINCTION)
View Document

NGR 6172 PHARMACOLOGY MIDTERM EXAM WITH WELL ELABORATED DETAILED ANSWERS (GUARANTEED DISTINCTION)

  • BESTS

    BESTS

  • ati

NGR 6172 PHARMACOLOGY MIDTERM EXAM WITH WELL ELABORATED DETAILED ANSWERS (GUARANTEED DISTINCTION)...

26 USD

0

0

NetSuite ERP Consultant Exam Latest Update 2024 Questions with Verified Correct Answers Guaranteed A
View Document

NetSuite ERP Consultant Exam Latest Update 2024 Questions with Verified Correct Answers Guaranteed A

  • Passingmaster

    Passingmaster

  • questions & answers

NetSuite ERP Consultant Exam Latest Update 2024 Questions with Verified Correct Answers Guaranteed A...

16 USD

0

0

NEW GENERATION ATI COMPREHENSIVE EXIT EXAM  2023 WITH NGN|180 QUESTIONS AND ANSWERS  (REVISED VERSION) A+ GRADED
View Document

NEW GENERATION ATI COMPREHENSIVE EXIT EXAM 2023 WITH NGN|180 QUESTIONS AND ANSWERS (REVISED VERSION) A+ GRADED

  • BESTEXAMS

    BESTEXAMS

  • ati

NEW GENERATION ATI COMPREHENSIVE EXIT EXAM 2023 WITH NGN|180 QUESTIONS AND ANSWERS (REVISED VERSION) A+ GRADED...

36 USD

0

0

NEW GENERATION ATI COMPREHENSIVE EXIT EXAM  2023 WITH NGN|180 QUESTIONS AND ANSWERS  (REVISED VERSION) A+ GRADED
View Document

NEW GENERATION ATI COMPREHENSIVE EXIT EXAM 2023 WITH NGN|180 QUESTIONS AND ANSWERS (REVISED VERSION) A+ GRADED

  • BESTS

    BESTS

  • ati

NEW GENERATION ATI COMPREHENSIVE EXIT EXAM 2023 WITH NGN|180 QUESTIONS AND ANSWERS (REVISED VERSION) A+ GRADED...

42 USD

0

0

NEW GENERATION ATI COMPREHENSIVE EXIT EXAM RETAKE 2023/2024 WITH NGN|180 QUESTIONS AND ANSWERS (REVISED VERSION) A+ GRADED
View Document

NEW GENERATION ATI COMPREHENSIVE EXIT EXAM RETAKE 2023/2024 WITH NGN|180 QUESTIONS AND ANSWERS (REVISED VERSION) A+ GRADED

  • QUIZSOLUTIONS

    QUIZSOLUTIONS

  • ati

NEW GENERATION ATI COMPREHENSIVE EXIT EXAM RETAKE 2023/2024 WITH NGN|180 QUESTIONS AND ANSWERS (REVISED VERSION) A+ GRAD...

42 USD

0

0

NEW GENERATION ATI COMPREHENSIVE EXIT EXAM RETAKE 2023/2024 WITH NGN|180 QUESTIONS AND ANSWERS (REVISED VERSION) A+ GRADED
View Document

NEW GENERATION ATI COMPREHENSIVE EXIT EXAM RETAKE 2023/2024 WITH NGN|180 QUESTIONS AND ANSWERS (REVISED VERSION) A+ GRADED

  • BESTEXAMS

    BESTEXAMS

  • ati

NEW GENERATION ATI COMPREHENSIVE EXIT EXAM RETAKE 2023/2024 WITH NGN|180 QUESTIONS AND ANSWERS (REVISED VERSION) A+ GRAD...

44 USD

0

0

NEW GENERATION ATI COMPREHENSIVE EXIT EXAM RETAKE 2023/2024 WITH NGN|180 QUESTIONS AND ANSWERS (REVISED VERSION) A+ GRADED
View Document

NEW GENERATION ATI COMPREHENSIVE EXIT EXAM RETAKE 2023/2024 WITH NGN|180 QUESTIONS AND ANSWERS (REVISED VERSION) A+ GRADED

  • BESTS

    BESTS

  • questions & answers

NEW GENERATION ATI COMPREHENSIVE EXIT EXAM RETAKE 2023/2024 WITH NGN|180 QUESTIONS AND ANSWERS (REVISED VERSION) A+ GRAD...

36 USD

0

0

NEW GENERATION ATI COMPREHENSIVE EXIT EXAM RETAKE 2023/2024 WITH NGN|180 QUESTIONS AND ANSWERS (REVISED VERSION) A+ GRADED
View Document

NEW GENERATION ATI COMPREHENSIVE EXIT EXAM RETAKE 2023/2024 WITH NGN|180 QUESTIONS AND ANSWERS (REVISED VERSION) A+ GRADED

  • BESTPDF

    BESTPDF

  • ati

NEW GENERATION ATI COMPREHENSIVE EXIT EXAM RETAKE 2023/2024 WITH NGN|180 QUESTIONS AND ANSWERS (REVISED VERSION) A+ GRAD...

48 USD

0

0

ATI NUTRITION PROCTORED QUIZ B 2019 EXAM WITH RATIONALE
View Document

ATI NUTRITION PROCTORED QUIZ B 2019 EXAM WITH RATIONALE

  • Blessed

    Blessed

  • ati

ATI NUTRITION PROCTORED QUIZ B 2019 EXAM WITH RATIONALE...

38 USD

0

0

ATI NUTRITION PROCTORED RETAKE 2019 EXAM WITH NGN (A GRADED)
View Document

ATI NUTRITION PROCTORED RETAKE 2019 EXAM WITH NGN (A GRADED)

  • BESTS

    BESTS

  • ati

ATI NUTRITION PROCTORED RETAKE 2019 EXAM WITH NGN (A GRADED)...

32 USD

0

0

FCLE/FLORIDA CIVIC LITERACY EXAM, PRACTICE AND STUDY GUIDE (TEST BANK)  WITH A GRADED SOLUTIONS
View Document

FCLE/FLORIDA CIVIC LITERACY EXAM, PRACTICE AND STUDY GUIDE (TEST BANK) WITH A GRADED SOLUTIONS

  • QUIZSOLUTIONS

    QUIZSOLUTIONS

  • questions & answers

FCLE/FLORIDA CIVIC LITERACY EXAM, PRACTICE AND STUDY GUIDE (TEST BANK) WITH A GRADED SOLUTIONS...

12 USD

0

0

NUR 631 FINAL, PRACTICE EXAM AND  STUDY GUIDE 350 WELL ELABORATEED  DETAILED ANSWERS|RATED A+
View Document

NUR 631 FINAL, PRACTICE EXAM AND STUDY GUIDE 350 WELL ELABORATEED DETAILED ANSWERS|RATED A+

  • QUIZSOLUTIONS

    QUIZSOLUTIONS

  • questions & answers

NUR 631 FINAL, PRACTICE EXAM AND STUDY GUIDE 350 WELL ELABORATEED DETAILED ANSWERS|RATED A+...

34 USD

0

0

NUR 631 FINAL, PRACTICE EXAM AND  STUDY GUIDE 350 WELL ELABORATEED  DETAILED ANSWERS|RATED A+
View Document

NUR 631 FINAL, PRACTICE EXAM AND STUDY GUIDE 350 WELL ELABORATEED DETAILED ANSWERS|RATED A+

  • BESTEXAMS

    BESTEXAMS

  • questions & answers

NUR 631 FINAL, PRACTICE EXAM AND STUDY GUIDE 350 WELL ELABORATEED DETAILED ANSWERS|RATED A+...

32 USD

0

0

NUR 631 FINAL, PRACTICE EXAM AND  STUDY GUIDE 350 WELL ELABORATEED  DETAILED ANSWERS|RATED A+
View Document

NUR 631 FINAL, PRACTICE EXAM AND STUDY GUIDE 350 WELL ELABORATEED DETAILED ANSWERS|RATED A+

  • BESTS

    BESTS

  • questions & answers

NUR 631 FINAL, PRACTICE EXAM AND STUDY GUIDE 350 WELL ELABORATEED DETAILED ANSWERS|RATED A+...

30 USD

0

0

NUR 631 MIDTERM EXAM WITH 100%  CORRECT VERIFIED QUESTIONS AND  ANSWERS (GUARANTEED A+)
View Document

NUR 631 MIDTERM EXAM WITH 100% CORRECT VERIFIED QUESTIONS AND ANSWERS (GUARANTEED A+)

  • QUIZSOLUTIONS

    QUIZSOLUTIONS

  • test bank

NUR 631 MIDTERM EXAM WITH 100% CORRECT VERIFIED QUESTIONS AND ANSWERS (GUARANTEED A+)...

32 USD

0

0

NUR 631 MIDTERM EXAM WITH 100%  CORRECT VERIFIED QUESTIONS AND  ANSWERS (GUARANTEED A+)
View Document

NUR 631 MIDTERM EXAM WITH 100% CORRECT VERIFIED QUESTIONS AND ANSWERS (GUARANTEED A+)

  • BESTEXAMS

    BESTEXAMS

  • questions & answers

NUR 631 MIDTERM EXAM WITH 100% CORRECT VERIFIED QUESTIONS AND ANSWERS (GUARANTEED A+)...

26 USD

0

0

NUR 631 MIDTERM EXAM WITH 100%  CORRECT VERIFIED QUESTIONS AND  ANSWERS (GUARANTEED A+)
View Document

NUR 631 MIDTERM EXAM WITH 100% CORRECT VERIFIED QUESTIONS AND ANSWERS (GUARANTEED A+)

  • BESTS

    BESTS

  • questions & answers

NUR 631 MIDTERM EXAM WITH 100% CORRECT VERIFIED QUESTIONS AND ANSWERS (GUARANTEED A+)...

28 USD

0

0

NUR 631 MIDTERM EXAM WITH 100%  CORRECT VERIFIED QUESTIONS AND  ANSWERS (GUARANTEED A+)
View Document

NUR 631 MIDTERM EXAM WITH 100% CORRECT VERIFIED QUESTIONS AND ANSWERS (GUARANTEED A+)

  • BESTPDF

    BESTPDF

  • questions & answers

NUR 631 MIDTERM EXAM WITH 100% CORRECT VERIFIED QUESTIONS AND ANSWERS (GUARANTEED A+)...

24 USD

0

0

IMPROVED NYC TOUR GUIDE EXAM WITH  200 WELL ELABORATED QUESTIONS AND  ANSWERS (REVISED AND GRADED A+)
View Document

IMPROVED NYC TOUR GUIDE EXAM WITH 200 WELL ELABORATED QUESTIONS AND ANSWERS (REVISED AND GRADED A+)

  • BESTEXAMS

    BESTEXAMS

  • questions & answers

IMPROVED NYC TOUR GUIDE EXAM WITH 200 WELL ELABORATED QUESTIONS AND ANSWERS (REVISED AND GRADED A+)...

28 USD

0

0

IMPROVED NYC TOUR GUIDE EXAM WITH  200 WELL ELABORATED QUESTIONS AND  ANSWERS (REVISED AND GRADED A+)
View Document

IMPROVED NYC TOUR GUIDE EXAM WITH 200 WELL ELABORATED QUESTIONS AND ANSWERS (REVISED AND GRADED A+)

  • BESTS

    BESTS

  • questions & answers

IMPROVED NYC TOUR GUIDE EXAM WITH 200 WELL ELABORATED QUESTIONS AND ANSWERS (REVISED AND GRADED A+)...

22 USD

0

0

CMIT ACTUAL EXAM WITH 200  CORRECT VERIFIED AND REVISED QUESTIONS ANDANSWERS (GUARANTEED A+)
View Document

CMIT ACTUAL EXAM WITH 200 CORRECT VERIFIED AND REVISED QUESTIONS ANDANSWERS (GUARANTEED A+)

  • BESTEXAMS

    BESTEXAMS

  • questions & answers

CMIT ACTUAL EXAM WITH 200 CORRECT VERIFIED AND REVISED QUESTIONS ANDANSWERS (GUARANTEED A+)...

28 USD

0

0

CMIT ACTUAL EXAM WITH 200  CORRECT VERIFIED AND REVISED QUESTIONS ANDANSWERS (GUARANTEED A+)
View Document

CMIT ACTUAL EXAM WITH 200 CORRECT VERIFIED AND REVISED QUESTIONS ANDANSWERS (GUARANTEED A+)

  • BESTS

    BESTS

  • questions & answers

CMIT ACTUAL EXAM WITH 200 CORRECT VERIFIED AND REVISED QUESTIONS ANDANSWERS (GUARANTEED A+)...

28 USD

0

0

NR 565/NR565 ADVANCED  PHARMACOLOGY EXAM REVIEW
View Document

NR 565/NR565 ADVANCED PHARMACOLOGY EXAM REVIEW

  • BESTEXAMS

    BESTEXAMS

  • questions & answers

NR 565/NR565 ADVANCED PHARMACOLOGY EXAM REVIEW...

30 USD

0

0

NR 565/NR565 ADVANCED  PHARMACOLOGY EXAM REVIEW FINAL EXAM REVIEW
View Document

NR 565/NR565 ADVANCED PHARMACOLOGY EXAM REVIEW FINAL EXAM REVIEW

  • BESTS

    BESTS

  • questions & answers

NR 565/NR565 ADVANCED PHARMACOLOGY EXAM REVIEW FINAL EXAM REVIEW...

28 USD

0

0

NR565/NR 565 ADVANCED PHARMACOLOGY  FUNDAMENTALS MIDTERM/FINAL EXAM WITH  VERIFIED SOLUTIONS RATED A+
View Document

NR565/NR 565 ADVANCED PHARMACOLOGY FUNDAMENTALS MIDTERM/FINAL EXAM WITH VERIFIED SOLUTIONS RATED A+

  • BESTEXAMS

    BESTEXAMS

  • questions & answers

NR565/NR 565 ADVANCED PHARMACOLOGY FUNDAMENTALS MIDTERM/FINAL EXAM WITH VERIFIED SOLUTIONS RATED A+...

34 USD

0

0

NR565/NR 565 ADVANCED PHARMACOLOGY  FUNDAMENTALS MIDTERM/FINAL EXAM WITH  VERIFIED SOLUTIONS RATED A+
View Document

NR565/NR 565 ADVANCED PHARMACOLOGY FUNDAMENTALS MIDTERM/FINAL EXAM WITH VERIFIED SOLUTIONS RATED A+

  • BESTS

    BESTS

  • questions & answers

NR565/NR 565 ADVANCED PHARMACOLOGY FUNDAMENTALS MIDTERM/FINAL EXAM WITH VERIFIED SOLUTIONS RATED A+...

32 USD

0

0

Health Assessment Exam 2 Questions and Answers 2024
View Document

Health Assessment Exam 2 Questions and Answers 2024

  • Kaponga

    Kaponga

  • questions & answers

Health Assessment Exam 2 Questions and Answers 2024...

9 USD

0

0

Health Assessment Exam 3 Practice Questions and Answers 2024
View Document

Health Assessment Exam 3 Practice Questions and Answers 2024

  • Kaponga

    Kaponga

  • questions & answers

Health Assessment Exam 3 Practice Questions and Answers 2024...

8 USD

0

0

Health Assessment Exam 3 Questions and Answers 2024 (Real Exam)
View Document

Health Assessment Exam 3 Questions and Answers 2024 (Real Exam)

  • Kaponga

    Kaponga

  • questions & answers

Health Assessment Exam 3 Questions and Answers 2024 (Real Exam)...

12 USD

0

0

ATI MED SURG VERSION 8 EXAM
View Document

ATI MED SURG VERSION 8 EXAM

  • QUIZSOLUTIONS

    QUIZSOLUTIONS

  • ati medical surgical

ATI MED SURG VERSION 8 EXAM...

31 USD

0

0

ATI MED SURG VERSION 8 EXAM
View Document

ATI MED SURG VERSION 8 EXAM

  • BESTEXAMS

    BESTEXAMS

  • ati medical surgical

ATI MED SURG VERSION 8 EXAM...

28 USD

0

0

ATI MED SURG VERSION 8 EXAM
View Document

ATI MED SURG VERSION 8 EXAM

  • BESTS

    BESTS

  • ati medical surgical

ATI MED SURG VERSION 8 EXAM...

31 USD

0

0

ATI MED SURG VERSION 8 EXAM
View Document

ATI MED SURG VERSION 8 EXAM

  • BESTPDF

    BESTPDF

  • ati medical surgical

ATI MED SURG VERSION 8 EXAM...

31 USD

0

0

ATI MED SURG VERSION 6 EXAM  QUESTIONS AND ANSWERS
View Document

ATI MED SURG VERSION 6 EXAM QUESTIONS AND ANSWERS

  • BESTS

    BESTS

  • ati medical surgical

ATI MED SURG VERSION 6 EXAM QUESTIONS AND ANSWERS...

28 USD

0

0

ATI MED SURG VERSION 7 ACTUAL EXAM
View Document

ATI MED SURG VERSION 7 ACTUAL EXAM

  • BESTPDF

    BESTPDF

  • ati medical surgical

ATI MED SURG VERSION 7 ACTUAL EXAM...

31 USD

0

0

ATI MED SURG VERSION 6 EXAM  QUESTIONS AND ANSWERS
View Document

ATI MED SURG VERSION 6 EXAM  QUESTIONS AND ANSWERS

  • QUIZSOLUTIONS

    QUIZSOLUTIONS

  • ati medical surgical

ATI MED SURG VERSION 6 EXAM  QUESTIONS AND ANSWERS...

26 USD

0

0

ATI MED SURG VERSION 6 EXAM  QUESTIONS AND ANSWERS
View Document

ATI MED SURG VERSION 6 EXAM  QUESTIONS AND ANSWERS

  • BESTEXAMS

    BESTEXAMS

  • ati medical surgical

ATI MED SURG VERSION 6 EXAM  QUESTIONS AND ANSWERS...

36 USD

0

0

ATI MED SURG VERSION 6 EXAM  QUESTIONS AND ANSWERS
View Document

ATI MED SURG VERSION 6 EXAM  QUESTIONS AND ANSWERS

  • BESTS

    BESTS

  • ati medical surgical

ATI MED SURG VERSION 6 EXAM  QUESTIONS AND ANSWERS...

28 USD

0

0

ATI MED SURG VERSION 6 EXAM  QUESTIONS AND ANSWERS
View Document

ATI MED SURG VERSION 6 EXAM QUESTIONS AND ANSWERS

  • BESTPDF

    BESTPDF

  • ati medical surgical

ATI MED SURG VERSION 6 EXAM QUESTIONS AND ANSWERS...

32 USD

0

0

COUN6232/MFT6233 Internship 3 Practicum II 200 Question Exam All Questions Solved
View Document

COUN6232/MFT6233 Internship 3 Practicum II 200 Question Exam All Questions Solved

  • SteveMari

    SteveMari

  • exam

COUN6232/MFT6233 Internship 3 Practicum II 200 Question Exam All Questions Solved...

16 USD

0

0

ATI MED SURG VERSION 3 EXAM WITH  VERIFIED QUESTIONS AND ANSWERS
View Document

ATI MED SURG VERSION 3 EXAM WITH VERIFIED QUESTIONS AND ANSWERS

  • ExamsGuide

    ExamsGuide

  • ati medical surgical

ATI MED SURG VERSION 3 EXAM WITH VERIFIED QUESTIONS AND ANSWERS...

26 USD

0

0

HESI HEALTH ASSESSMENT (11 VERSIONS)  EXAM SOLUTIONS WITH EXPLANATIONS
View Document

HESI HEALTH ASSESSMENT (11 VERSIONS) EXAM SOLUTIONS WITH EXPLANATIONS

  • QUIZSOLUTIONS

    QUIZSOLUTIONS

  • hesi

Download HESI health assessment with all the11 versions exam solutions with explanations. This HESI compilation is best ...

20 USD

0

0

Michigan Jurisprudence Exam Questions And Answers
View Document

Michigan Jurisprudence Exam Questions And Answers

  • mentor2000

    mentor2000

  • questions & answers

Michigan Jurisprudence Exam Questions And Answers...

10 USD

0

0

AGEC 3413 Exam 2 - Agricultural Economics Questions and Answers
View Document

AGEC 3413 Exam 2 - Agricultural Economics Questions and Answers

  • mentor2000

    mentor2000

  • questions & answers

AGEC 3413 Exam 2 - Agricultural Economics Questions and Answers...

8 USD

0

0

Traffic Supervisor Exam Questions and Answers 2026
View Document

Traffic Supervisor Exam Questions and Answers 2026

  • mentor2000

    mentor2000

  • questions & answers

Traffic Supervisor Exam Questions and Answers 2025...

5 USD

0

0

MIS 4340 Final Exam Questions and Answers
View Document

MIS 4340 Final Exam Questions and Answers

  • mentor2000

    mentor2000

  • questions & answers

MIS 4340 Final Exam Questions and Answers...

10 USD

0

0

LSU ECON Final Exam Questions and Answers
View Document

LSU ECON Final Exam Questions and Answers

  • mentor2000

    mentor2000

  • questions & answers

LSU ECON Final Exam Questions and Answers...

9 USD

0

0

LSU Bio 1201 Exam 2 Test Solutions
View Document

LSU Bio 1201 Exam 2 Test Solutions

  • mentor2000

    mentor2000

  • questions & answers

LSU Bio 1201 Exam 2 Test Solutions...

8 USD

0

0

ISDS 4111 LSU Midterm Exam Questions and Answers
View Document

ISDS 4111 LSU Midterm Exam Questions and Answers

  • mentor2000

    mentor2000

  • questions & answers

ISDS 4111 LSU Midterm Exam Questions and Answers...

10 USD

0

0

ISDS 4111 Final Exam Questions and Answers
View Document

ISDS 4111 Final Exam Questions and Answers

  • mentor2000

    mentor2000

  • questions & answers

ISDS 4111 Final Exam Questions and Answers...

9 USD

0

0

ISDS 4111 Final Exam Practice Questions and Answers
View Document

ISDS 4111 Final Exam Practice Questions and Answers

  • mentor2000

    mentor2000

  • questions & answers

ISDS 4111 Final Exam Practice Questions and Answers...

9 USD

0

0

ERP Exam 1 Questions and Answers
View Document

ERP Exam 1 Questions and Answers

  • mentor2000

    mentor2000

  • questions & answers

ERP Exam 1 Questions and Answers...

8 USD

0

0

CET exam VERIFIED  ANSWERS 20242026  ACCURATE
View Document

CET exam VERIFIED ANSWERS 20242026 ACCURATE

  • DYNAMICSCORES254

    DYNAMICSCORES254

  • exam

CET exam VERIFIED ANSWERS 20242025 ACCURATE...

13 USD

0

0

RESEARCH METHODS EXAM QUESTIONS, ANSWERS & MARKS VERIFIED CORRECT
View Document

RESEARCH METHODS EXAM QUESTIONS, ANSWERS & MARKS VERIFIED CORRECT

  • DYNAMICSCORES254

    DYNAMICSCORES254

  • exam

RESEARCH METHODS EXAM QUESTIONS, ANSWERS & MARKS VERIFIED CORRECT...

13 USD

0

0

CAADC PRACTICE EXAMVERIFIED ANSWERS  20242026 ACCURATE
View Document

CAADC PRACTICE EXAMVERIFIED ANSWERS 20242026 ACCURATE

  • DYNAMICSCORES254

    DYNAMICSCORES254

  • exam

CAADC PRACTICE EXAMVERIFIED ANSWERS 20242025 ACCURATE...

13 USD

0

0

PPR Exam VERIFIED  20242026 EXAM  ANSWERS
View Document

PPR Exam VERIFIED 20242026 EXAM ANSWERS

  • DYNAMICSCORES254

    DYNAMICSCORES254

  • exam

PPR Exam VERIFIED 20242025 EXAM ANSWERS...

11 USD

0

0

TEXES 160 PPR Exam VERIFIED ANSWERS  20242026
View Document

TEXES 160 PPR Exam VERIFIED ANSWERS 20242026

  • DYNAMICSCORES254

    DYNAMICSCORES254

  • exam

TEXES 160 PPR Exam VERIFIED ANSWERS 20242025...

13 USD

0

0

PPR Exam VERIFIED  ANSWERS 20242026  GUARANTEED PASS
View Document

PPR Exam VERIFIED ANSWERS 20242026 GUARANTEED PASS

  • DYNAMICSCORES254

    DYNAMICSCORES254

  • exam

PPR Exam VERIFIED ANSWERS 20242025 GUARANTEED PASS...

13 USD

0

0

PPR Exam VERIFIED  ANSWERS 20242026  GUARANTEED PASS
View Document

PPR Exam VERIFIED ANSWERS 20242026 GUARANTEED PASS

  • DYNAMICSCORES254

    DYNAMICSCORES254

  • exam

PPR Exam VERIFIED ANSWERS 20242025 GUARANTEED PASS...

13 USD

0

0

CAMRT Exam Questions And Answers  VERIFIED COMPLETE  20242026
View Document

CAMRT Exam Questions And Answers VERIFIED COMPLETE 20242026

  • DYNAMICSCORES254

    DYNAMICSCORES254

  • exam

CAMRT Exam Questions And Answers VERIFIED COMPLETE 20242025...

13 USD

0

0

COP4600 Exam 1  VERIFIED ANSWERS  20242026 GUARANTEED  PASS
View Document

COP4600 Exam 1 VERIFIED ANSWERS 20242026 GUARANTEED PASS

  • DYNAMICSCORES254

    DYNAMICSCORES254

  • exam

COP4600 Exam 1 VERIFIED ANSWERS 20242025 GUARANTEED PASS...

13 USD

0

0

ESB EXAM Study Guide GUARANTEED PASS  20242026
View Document

ESB EXAM Study Guide GUARANTEED PASS 20242026

  • DYNAMICSCORES254

    DYNAMICSCORES254

  • exam

ESB EXAM Study Guide GUARANTEED PASS 20242025...

13 USD

0

0

Chem 103 Module 1 to 6 Exam answers Portage learning LATEST UPDATED 20242026  ACCURATE
View Document

Chem 103 Module 1 to 6 Exam answers Portage learning LATEST UPDATED 20242026 ACCURATE

  • DYNAMICSCORES254

    DYNAMICSCORES254

  • exam

Chem 103 Module 1 to 6 Exam answers Portage learning LATEST UPDATED 20242025 ACCURATE...

16 USD

0

0

Career Examination Series, Traffic Supervisor (C-2627), Passbooks Study Guide
View Document

Career Examination Series, Traffic Supervisor (C-2627), Passbooks Study Guide

  • Gorski

    Gorski

  • questions & answers

Career Examination Series, Traffic Supervisor (C-2627), Passbooks Study Guide...

16 USD

0

0

Biology 1201 Final Exam LSU Questions and Answers Gregg
View Document

Biology 1201 Final Exam LSU Questions and Answers Gregg

  • Gorski

    Gorski

  • questions & answers

Biology 1201 Final Exam LSU Questions and Answers Gregg – Download PDF...

12 USD

0

0

Bio 1201 Exam 3 Questions and Answers Gregg
View Document

Bio 1201 Exam 3 Questions and Answers Gregg

  • Gorski

    Gorski

  • questions & answers

Bio 1201 Exam 3 Questions and Answers Gregg – Download PDF...

12 USD

0

0

Bio 1201 Exam 2 Questions And Answers Gregg
View Document

Bio 1201 Exam 2 Questions And Answers Gregg

  • Gorski

    Gorski

  • questions & answers

Bio 1201 Exam 2 Questions And Answers Gregg...

13 USD

0

0

HESI A2 Math Questions VERIFIED ANSWERS  2024 | 2026
View Document

HESI A2 Math Questions VERIFIED ANSWERS 2024 | 2026

  • DYNAMICSCORES254

    DYNAMICSCORES254

  • exam

HESI A2 Math Questions VERIFIED ANSWERS 2024 | 2025...

8 USD

0

0

HESI A2 - Grammar Questions VERIFIED ANSWERS  20242026 EXAM
View Document

HESI A2 - Grammar Questions VERIFIED ANSWERS 20242026 EXAM

  • DYNAMICSCORES254

    DYNAMICSCORES254

  • exam

HESI A2 - Grammar Questions VERIFIED ANSWERS 20242025 EXAM...

13 USD

0

0

HESI A2 Entrance Exam Biology VERIFIED  ANSWERS 20242026
View Document

HESI A2 Entrance Exam Biology VERIFIED ANSWERS 20242026

  • DYNAMICSCORES254

    DYNAMICSCORES254

  • exam

HESI A2 Entrance Exam Biology VERIFIED ANSWERS 20242025 – Download PDF...

13 USD

0

1

AGEC 3413 Final Exam Questions and Answers
View Document

AGEC 3413 Final Exam Questions and Answers

  • Gorski

    Gorski

  • questions & answers

AGEC 3413 Final Exam Questions and Answers – Download PDF...

9 USD

0

0

AGEC 3413 Final Exam Practice Questions and Answers 2024
View Document

AGEC 3413 Final Exam Practice Questions and Answers 2024

  • Gorski

    Gorski

  • questions & answers

AGEC 3413 Final Exam Practice Questions and Answers 2024 – Download PDF...

8 USD

0

0

AGEC 3413 Exam 3 Questions and Answers 2024
View Document

AGEC 3413 Exam 3 Questions and Answers 2024

  • Gorski

    Gorski

  • questions & answers

AGEC 3413 Exam 3 Questions and Answers 2024 – Download PDF...

9 USD

0

0

HESI A2 Entrance Exam VERIFIED ANSWERS  20242026 EXAM
View Document

HESI A2 Entrance Exam VERIFIED ANSWERS 20242026 EXAM

  • DYNAMICSCORES254

    DYNAMICSCORES254

  • exam

HESI A2 Entrance Exam VERIFIED ANSWERS 20242025 EXAM...

12 USD

0

0

Hesi Entrance Exam A&P Practice Test GUARANTEED PASS
View Document

Hesi Entrance Exam A&P Practice Test GUARANTEED PASS

  • DYNAMICSCORES254

    DYNAMICSCORES254

  • exam

Hesi Entrance Exam A&P Practice Test GUARANTEED PASS...

12 USD

0

0

Physical Examination  and Health  Assessment CANADIAN 3rd Edition Jarvis Test  Bank Chapters 1-31 20242026
View Document

Physical Examination and Health Assessment CANADIAN 3rd Edition Jarvis Test Bank Chapters 1-31 20242026

  • DYNAMICSCORES254

    DYNAMICSCORES254

  • exam

Physical Examination and Health Assessment CANADIAN 3rd Edition Jarvis Test Bank Chapters 1-31 20242025...

32 USD

0

0

NRNP 6568 WEEK 11 FINAL EXAM LATEST 2024-2026 WALDEN UNIVERSITY QUESTIONS BANK WITH  VERIFIED SOLUTIONS MULTIPLE VERSIONS
View Document

NRNP 6568 WEEK 11 FINAL EXAM LATEST 2024-2026 WALDEN UNIVERSITY QUESTIONS BANK WITH VERIFIED SOLUTIONS MULTIPLE VERSIONS

  • DYNAMICSCORES254

    DYNAMICSCORES254

  • exam

NRNP 6568 WEEK 11 FINAL EXAM LATEST 2024-2025 WALDEN UNIVERSITY QUESTIONS BANK WITH VERIFIED SOLUTIONS MULTIPLE VERSION...

43 USD

0

0

NRNP 6568 WEEK 11 FINAL EXAM LATEST 2024-2026 WALDEN UNIVERSITY QUESTIONS BANK WITH  VERIFIED SOLUTIONS MULTIPLE VERSIONS
View Document

NRNP 6568 WEEK 11 FINAL EXAM LATEST 2024-2026 WALDEN UNIVERSITY QUESTIONS BANK WITH VERIFIED SOLUTIONS MULTIPLE VERSIONS

  • DYNAMICSCORES254

    DYNAMICSCORES254

  • exam

NRNP 6568 WEEK 11 FINAL EXAM LATEST 2024-2025 WALDEN UNIVERSITY QUESTIONS BANK WITH VERIFIED SOLUTIONS MULTIPLE VERSION...

43 USD

0

0

NCLEX Endocrine VERIFIED ANSWERS  20242026 EXAM
View Document

NCLEX Endocrine VERIFIED ANSWERS 20242026 EXAM

  • DYNAMICSCORES254

    DYNAMICSCORES254

  • exam

NCLEX Endocrine VERIFIED ANSWERS 20242025 EXAM...

11 USD

0

0

SOC 200 Final Exam VERIFIED ANSWERS  20242026
View Document

SOC 200 Final Exam VERIFIED ANSWERS 20242026

  • DYNAMICSCORES254

    DYNAMICSCORES254

  • exam

SOC 200 Final Exam VERIFIED ANSWERS 20242025...

12 USD

0

0

West Coast University - NURS 190 PA FINAL Exam 20242026 VERIFIED  ACCURATE ANSWERS
View Document

West Coast University - NURS 190 PA FINAL Exam 20242026 VERIFIED ACCURATE ANSWERS

  • DYNAMICSCORES254

    DYNAMICSCORES254

  • exam

West Coast University - NURS 190 PA FINAL Exam 20242025 VERIFIED ACCURATE ANSWERS...

11 USD

0

0

MN 576 EXAM 20242026  VERIFIED ANSWERS  ACCURATE
View Document

MN 576 EXAM 20242026 VERIFIED ANSWERS ACCURATE

  • DYNAMICSCORES254

    DYNAMICSCORES254

  • exam

MN 576 EXAM 20242025 VERIFIED ANSWERS ACCURATE...

12 USD

0

0

MN566 MIDTERM EXAM VERIFIED ANSWERS 20242026
View Document

MN566 MIDTERM EXAM VERIFIED ANSWERS 20242026

  • DYNAMICSCORES254

    DYNAMICSCORES254

  • exam

MN566 MIDTERM EXAM VERIFIED ANSWERS 20242025...

12 USD

0

0

CourseCareers Final Exam Study Guide 20242026 ACCURATE ANSWERS
View Document

CourseCareers Final Exam Study Guide 20242026 ACCURATE ANSWERS

  • DYNAMICSCORES254

    DYNAMICSCORES254

  • exam

CourseCareers Final Exam Study Guide 20242025 ACCURATE ANSWERS...

13 USD

0

0

NR 503 MIDTERM EXAM REVIEWQUESTIONS WITH ANSWERS VERIFIED  ANSWERS 20242026
View Document

NR 503 MIDTERM EXAM REVIEWQUESTIONS WITH ANSWERS VERIFIED ANSWERS 20242026

  • DYNAMICSCORES254

    DYNAMICSCORES254

  • exam

NR 503 MIDTERM EXAM REVIEWQUESTIONS WITH ANSWERS VERIFIED ANSWERS 20242025...

13 USD

0

0

NUR 2459 Rasmussen Mental Health Exam 1 Modules 1-3 VERIFIED ANSWERS  20242026 ACCURATE
View Document

NUR 2459 Rasmussen Mental Health Exam 1 Modules 1-3 VERIFIED ANSWERS 20242026 ACCURATE

  • DYNAMICSCORES254

    DYNAMICSCORES254

  • exam

NUR 2459 Rasmussen Mental Health Exam 1 Modules 1-3 VERIFIED ANSWERS 20242025 ACCURATE...

11 USD

0

0

Army Explosive Safety Familiarization VERIFIED ANSWERS  20242026 ACCURATE
View Document

Army Explosive Safety Familiarization VERIFIED ANSWERS 20242026 ACCURATE

  • DYNAMICSCORES254

    DYNAMICSCORES254

  • exam

Army Explosive Safety Familiarization VERIFIED ANSWERS 20242025 ACCURATE...

11 USD

0

0

Ammo 63 U.S. ARMY EXPL SAFETY FAMILIARIZATION Defense Ammunition Center_Ammo-63-DL: U.S. Army Explosives Safety  VERIFIED ANSWERS  20242026
View Document

Ammo 63 U.S. ARMY EXPL SAFETY FAMILIARIZATION Defense Ammunition Center_Ammo-63-DL: U.S. Army Explosives Safety VERIFIED ANSWERS 20242026

  • DYNAMICSCORES254

    DYNAMICSCORES254

  • exam

Ammo 63 U.S. ARMY EXPL SAFETY FAMILIARIZATION Defense Ammunition Center_Ammo-63-DL: U.S. Army Explosives Safety VERIFIE...

11 USD

0

0

ATI Mental Health Proctored Exam VERIFIED ANSWERS  20242026  ELABORATIONS STUDY  GUIDE
View Document

ATI Mental Health Proctored Exam VERIFIED ANSWERS 20242026 ELABORATIONS STUDY GUIDE

  • DYNAMICSCORES254

    DYNAMICSCORES254

  • exam

ATI Mental Health Proctored Exam VERIFIED ANSWERS 20242025 ELABORATIONS STUDY GUIDE...

14 USD

0

0

Traffic School Traffic Test 1 VERIFIED  ANSWERS 20242026 EXAM  ELABORATONS4
View Document

Traffic School Traffic Test 1 VERIFIED ANSWERS 20242026 EXAM ELABORATONS4

  • DYNAMICSCORES254

    DYNAMICSCORES254

  • exam

Traffic School Traffic Test 1 VERIFIED ANSWERS 20242025 EXAM ELABORATONS4...

11 USD

0

0

Traffic School VERIFIED ANSWERS  20242026 EXAM  ELABORATIONS
View Document

Traffic School VERIFIED ANSWERS 20242026 EXAM ELABORATIONS

  • DYNAMICSCORES254

    DYNAMICSCORES254

  • exam

Traffic School VERIFIED ANSWERS 20242025 EXAM ELABORATIONS...

12 USD

0

0

ATI Targeted medical surgical 2016: Renal and Urinary VERIFIED  ANSWERS 20242026  ELABORATIONS
View Document

ATI Targeted medical surgical 2016: Renal and Urinary VERIFIED ANSWERS 20242026 ELABORATIONS

  • DYNAMICSCORES254

    DYNAMICSCORES254

  • exam

Get PDF copy of the ATI Targeted medical surgical 2016: Renal and Urinary Exam for 2025....

12 USD

0

0

ATI PHARM 2 PRACTICE  QUESTIONS AND  ANSWERS 20242026 EXAM  ELABORATIONS
View Document

ATI PHARM 2 PRACTICE QUESTIONS AND ANSWERS 20242026 EXAM ELABORATIONS

  • DYNAMICSCORES254

    DYNAMICSCORES254

  • exam

ATI PHARM 2 PRACTICE QUESTIONS AND ANSWERS 20242025 EXAM ELABORATIONS...

12 USD

0

0

20232024 HESI EXIT RN EXAM V1.V2,V3,V4,V5,V6,V7 Latest Volumes VERIFIED ANSWERS
View Document

20232024 HESI EXIT RN EXAM V1.V2,V3,V4,V5,V6,V7 Latest Volumes VERIFIED ANSWERS

  • DYNAMICSCORES254

    DYNAMICSCORES254

  • exam

20232024 HESI EXIT RN EXAM V1.V2,V3,V4,V5,V6,V7 Latest Volumes VERIFIED ANSWERS...

56 USD

0

0

ATI Comprehensive Exit Exam 20232024 With NGN Complete accurate  solutions VERIFIED
View Document

ATI Comprehensive Exit Exam 20232024 With NGN Complete accurate solutions VERIFIED

  • DYNAMICSCORES254

    DYNAMICSCORES254

  • exam

ATI Comprehensive Exit Exam 20232024 With NGN Complete accurate solutions VERIFIED...

47 USD

0

0

ATI NURSING CARE OF CHILDREN PROCTORED EXAM 20242026 VERIFIED ANSWERS
View Document

ATI NURSING CARE OF CHILDREN PROCTORED EXAM 20242026 VERIFIED ANSWERS

  • DYNAMICSCORES254

    DYNAMICSCORES254

  • exam

ATI NURSING CARE OF CHILDREN PROCTORED EXAM 20242025 VERIFIED ANSWERS...

13 USD

0

0

UNIVERSITY OF TEXAS NURS 5336 FNP 3  FINAL EXAM REVIEW NEW UPDATE 20242026  ACCUARATE ANSWERS STUDY GUIDE
View Document

UNIVERSITY OF TEXAS NURS 5336 FNP 3 FINAL EXAM REVIEW NEW UPDATE 20242026 ACCUARATE ANSWERS STUDY GUIDE

  • DYNAMICSCORES254

    DYNAMICSCORES254

  • exam

UNIVERSITY OF TEXAS NURS 5336 FNP 3 FINAL EXAM REVIEW NEW UPDATE 20242025 ACCUARATE ANSWERS STUDY GUIDE...

12 USD

0

0

American Red Cross Lifeguarding Final Written Exam VERIFIED  ANSWERS 20242026
View Document

American Red Cross Lifeguarding Final Written Exam VERIFIED ANSWERS 20242026

  • DYNAMICSCORES254

    DYNAMICSCORES254

  • exam

American Red Cross Lifeguarding Final Written Exam VERIFIED ANSWERS 20242025...

12 USD

0

0

WGU C777 EXAM 2024 | TESTING EXAM WITH ALL 70 QUIZZES OBJECTIVE ASSESSMENT AND PRE ASSESMENT TEST LATEST UPDATE
View Document

WGU C777 EXAM 2024 | TESTING EXAM WITH ALL 70 QUIZZES OBJECTIVE ASSESSMENT AND PRE ASSESMENT TEST LATEST UPDATE

  • Hp24

    Hp24

  • case study

WGU C777 EXAM 2024 | TESTING EXAM WITH ALL 70 QUIZZES OBJECTIVE ASSESSMENT AND PRE ASSESMENT TEST LATEST UPDATE...

10 USD

0

0

IAAI CFI CERTIFICATION EXAM 2 WITH 250 QUESTIONS | CURRENTLY TESTING VERSIONS AND A STUDY GUIDE WITH SUMMARIZED INSTRUCTOR NOTES | ACCURATE AND EXPERT VERIFIED | LATEST UPDATEIAAI CFI CERTIFICATION EXAM 2 WITH 250 QUESTIONS | CURRENTLY TESTING VERSIONS AND A STUDY GUIDE WITH SUMMARIZED INSTRUCTOR NOTES | ACCURATE AND EXPERT VERIFIED | LATEST UPDATE
View Document

IAAI CFI CERTIFICATION EXAM 2 WITH 250 QUESTIONS | CURRENTLY TESTING VERSIONS AND A STUDY GUIDE WITH SUMMARIZED INSTRUCTOR NOTES | ACCURATE AND EXPERT VERIFIED | LATEST UPDATEIAAI CFI CERTIFICATION EXAM 2 WITH 250 QUESTIONS | CURRENTLY TESTING VERSIONS AND A STUDY GUIDE WITH SUMMARIZED INSTRUCTOR NOTES | ACCURATE AND EXPERT VERIFIED | LATEST UPDATE

  • Hp24

    Hp24

  • case study

IAAI CFI CERTIFICATION EXAM 2 WITH 250 QUESTIONS | CURRENTLY TESTING VERSIONS AND A STUDY GUIDE WITH SUMMARIZED INSTRUCT...

10 USD

0

0

NAB NHA Exam Compiled Cards COMPLETE A+ GRADED
View Document

NAB NHA Exam Compiled Cards COMPLETE A+ GRADED

  • Academicexcellence

    Academicexcellence

  • ati

NAB NHA Exam Compiled Cards COMPLETE A+ GRADED...

19 USD

0

0

NAB CORE Practice Exam with complete  solution GRADED A+.
View Document

NAB CORE Practice Exam with complete solution GRADED A+.

  • Academicexcellence

    Academicexcellence

  • ati

NAB CORE Practice Exam with complete solution GRADED A+....

11 USD

0

0

NAB EXAM (NAB NHA Examination) 100%  CORRECT RATED A.
View Document

NAB EXAM (NAB NHA Examination) 100% CORRECT RATED A.

  • Academicexcellence

    Academicexcellence

  • ati

NAB EXAM (NAB NHA Examination) 100% CORRECT RATED A....

13 USD

0

0

OSHA 10 Hour Final Exam 20 questions and  Answers|RATED A.
View Document

OSHA 10 Hour Final Exam 20 questions and Answers|RATED A.

  • Academicexcellence

    Academicexcellence

  • ati

OSHA 10 Hour Final Exam 20 questions and Answers|RATED A. – Download PDF...

8 USD

0

0

OSHA FINAL EXAM/Certification Test 100%  CORRECT LATEST GUIDE.
View Document

OSHA FINAL EXAM/Certification Test 100% CORRECT LATEST GUIDE.

  • Academicexcellence

    Academicexcellence

  • ati

OSHA FINAL EXAM/Certification Test 100% CORRECT LATEST GUIDE. – Download PDF...

11 USD

0

0

OSHA 10 Final Exam Q&A GRADED A | Revise Before Exam
View Document

OSHA 10 Final Exam Q&A GRADED A | Revise Before Exam

  • Academicexcellence

    Academicexcellence

  • ati

OSHA 10 Final Exam Q&A GRADED A | Revise Before Exam – Download PDF...

9 USD

0

0

OSHA Final Exam Rated A | Verified by Passing Grades
View Document

OSHA Final Exam Rated A | Verified by Passing Grades

  • Academicexcellence

    Academicexcellence

  • ati

OSHA Final Exam Rated A | Verified by Passing Grades – Download PDF...

11 USD

0

0

ATI Proctored Exam Practice Questions Correctly Answered 100 Percent Verified by Passing Grades
View Document

ATI Proctored Exam Practice Questions Correctly Answered 100 Percent Verified by Passing Grades

  • Academicexcellence

    Academicexcellence

  • ati

ATI Proctored Exam Practice Questions Correctly Answered 100 Percent Verified by Passing Grades – Download PDF...

16 USD

0

0

Adult 1: Exam 1 ATI Practice Questions COMPLETE RATED A GUIDE.
View Document

Adult 1: Exam 1 ATI Practice Questions COMPLETE RATED A GUIDE.

  • Academicexcellence

    Academicexcellence

  • ati

Adult 1: Exam 1 ATI Practice Questions COMPLETE RATED A GUIDE....

9 USD

0

0

ATI Health Assessment ATI EXAM 1 Q&A  with RATIONALE|A+ GRADED.
View Document

ATI Health Assessment ATI EXAM 1 Q&A with RATIONALE|A+ GRADED.

  • Academicexcellence

    Academicexcellence

  • ati

ATI Health Assessment ATI EXAM 1 Q&A with RATIONALE|A+ GRADED....

10 USD

0

0

ATI Exam 3 Practice questions and answers RATED A.
View Document

ATI Exam 3 Practice questions and answers RATED A.

  • Academicexcellence

    Academicexcellence

  • ati

ATI Exam 3 Practice questions and answers RATED A....

8 USD

0

0

ATI Exam 3 Practice questions and answers RATED A.
View Document

ATI Exam 3 Practice questions and answers RATED A.

  • Academicexcellence

    Academicexcellence

  • ati

ATI Exam 3 Practice questions and answers RATED A....

8 USD

0

0

ATI EXAM 1 PRACTICE QUESTIONS  AND CORRECT ANSWERS
View Document

ATI EXAM 1 PRACTICE QUESTIONS AND CORRECT ANSWERS

  • Academicexcellence

    Academicexcellence

  • ati

ATI EXAM 1 PRACTICE QUESTIONS AND CORRECT ANSWERS...

10 USD

0

0

IV Therapy Training Course: IV Therapy Final Exam: Questions and Answers (2024 Real Exam)
View Document

IV Therapy Training Course: IV Therapy Final Exam: Questions and Answers (2024 Real Exam)

  • mentor2000

    mentor2000

  • questions & answers

IV Therapy Training Course: IV Therapy Final Exam: Questions and Answers (2024 Real Exam)...

13 USD

0

0

ATI Fundamentals Proctored Exam Questions and Answers with Rationales (2024 Update)
View Document

ATI Fundamentals Proctored Exam Questions and Answers with Rationales (2024 Update)

  • tutor123

    tutor123

  • questions & answers

ATI Fundamentals Proctored Exam Questions and Answers with Rationales (2024 Update) – Download PDF...

15 USD

0

0

HESI Fundamentals Practice 2024 Exam Questions  And 100% Correct Answers
View Document

HESI Fundamentals Practice 2024 Exam Questions And 100% Correct Answers

  • tutor123

    tutor123

  • questions & answers

HESI Fundamentals Practice 2024 Exam Questions And 100% Correct Answers – Download PDF...

10 USD

0

0

CLFP EXAM - Financial and Tax Accounting for Leases VERIFIED ANSWERS  20242026
View Document

CLFP EXAM - Financial and Tax Accounting for Leases VERIFIED ANSWERS 20242026

  • DYNAMICSCORES254

    DYNAMICSCORES254

  • exam

Get ahead with the CLFP Exam for Financial and Tax Accounting for Leases. Access verified answers for 2024-2025 to ensur...

11 USD

0

0

Exam (elaborations) NURS  5366 QUIZ DB Assignment 2: Identifying Research Study Designs ALREADY  PASSED
View Document

Exam (elaborations) NURS 5366 QUIZ DB Assignment 2: Identifying Research Study Designs ALREADY PASSED

  • DYNAMICSCORES254

    DYNAMICSCORES254

  • exam

Exam (elaborations) NURS 5366 QUIZ DB Assignment 2: Identifying Research Study Designs ALREADY PASSED...

10 USD

0

0

Biochem Exam 2 VERIFIED ANSWERS  20242026 ALREADY  PASSED
View Document

Biochem Exam 2 VERIFIED ANSWERS 20242026 ALREADY PASSED

  • DYNAMICSCORES254

    DYNAMICSCORES254

  • exam

Biochem Exam 2 VERIFIED ANSWERS 20242025 ALREADY PASSED...

9 USD

0

0

Content Mastery Series Review VERIFIED  ANSWERS 20242026
View Document

Content Mastery Series Review VERIFIED ANSWERS 20242026

  • DYNAMICSCORES254

    DYNAMICSCORES254

  • exam

Content Mastery Series Review VERIFIED ANSWERS 20242025...

8 USD

0

0

NR 342: Fundamentals Mastery Exam VERIFIED ANSWERS  20242026
View Document

NR 342: Fundamentals Mastery Exam VERIFIED ANSWERS 20242026

  • DYNAMICSCORES254

    DYNAMICSCORES254

  • exam

NR 342: Fundamentals Mastery Exam VERIFIED ANSWERS 20242025...

9 USD

0

0

Bio 101 Final Straighterline-with verified solutions GUARANTEED PASS
View Document

Bio 101 Final Straighterline-with verified solutions GUARANTEED PASS

  • DYNAMICSCORES254

    DYNAMICSCORES254

  • exam

Achieve a guaranteed pass in your Bio 101 Straighterline final with our verified solutions. Comprehensive and reliable h...

9 USD

0

0

Mental Health Exam 2 Psychotic Disorders Positive & Negative Symptoms,Typical & Atypical Antipsychotics,Grief,Depres sion,Suicide,Antidepressant s,Mania,Mood Stabilizers,Lithium, Therapeutic Communication (responses) ALREADY  PASSED CHAMBERLAIN
View Document

Mental Health Exam 2 Psychotic Disorders Positive & Negative Symptoms,Typical & Atypical Antipsychotics,Grief,Depres sion,Suicide,Antidepressant s,Mania,Mood Stabilizers,Lithium, Therapeutic Communication (responses) ALREADY PASSED CHAMBERLAIN

  • DYNAMICSCORES254

    DYNAMICSCORES254

  • exam

Mental Health Exam 2 Psychotic Disorders Positive & Negative Symptoms,Typical & Atypical Antipsychotics,Grief,Depres sio...

9 USD

0

0

Unit 5 Midterm MN576  VERIFIED ANSWERS  ALREADY PASSED
View Document

Unit 5 Midterm MN576 VERIFIED ANSWERS ALREADY PASSED

  • DYNAMICSCORES254

    DYNAMICSCORES254

  • exam

Unit 5 Midterm MN576 VERIFIED ANSWERS ALREADY PASSED...

9 USD

0

0

DIT 121 - Final Exam  VERIFIED ANSWERS  20242026 ALREADY  PASSED
View Document

DIT 121 - Final Exam VERIFIED ANSWERS 20242026 ALREADY PASSED

  • DYNAMICSCORES254

    DYNAMICSCORES254

  • exam

DIT 121 - Final Exam VERIFIED ANSWERS 20242025 ALREADY PASSED...

10 USD

0

0

TEXAS IRRIGATION LICENSE EXAM LATEST 2023-2024 REAL EXAM 100 QUESTIONS AND CORRECT ANSWERS|AGRADE ALREADY  PASSED
View Document

TEXAS IRRIGATION LICENSE EXAM LATEST 2023-2024 REAL EXAM 100 QUESTIONS AND CORRECT ANSWERS|AGRADE ALREADY PASSED

  • DYNAMICSCORES254

    DYNAMICSCORES254

  • exam

TEXAS IRRIGATION LICENSE EXAM LATEST 2023-2024 REAL EXAM 100 QUESTIONS AND CORRECT ANSWERS|AGRADE ALREADY PASSED...

13 USD

0

0

WEST COAST EMT FINAL REAL EXAM CHAPTER 1-29 QUESTIONS AND ALREADY PASSED CORRECT ANSWERS
View Document

WEST COAST EMT FINAL REAL EXAM CHAPTER 1-29 QUESTIONS AND ALREADY PASSED CORRECT ANSWERS

  • DYNAMICSCORES254

    DYNAMICSCORES254

  • exam

WEST COAST EMT FINAL REAL EXAM CHAPTER 1-29 QUESTIONS AND ALREADY PASSED CORRECT ANSWERS...

13 USD

0

0

WEST COAST EMT FINAL REAL EXAM CHAPTER 1-29 QUESTIONS AND ALREADY PASSED CORRECT ANSWERS
View Document

WEST COAST EMT FINAL REAL EXAM CHAPTER 1-29 QUESTIONS AND ALREADY PASSED CORRECT ANSWERS

  • DYNAMICSCORES254

    DYNAMICSCORES254

  • exam

WEST COAST EMT FINAL REAL EXAM CHAPTER 1-29 QUESTIONS AND ALREADY PASSED CORRECT ANSWERS...

13 USD

0

0

Texas Irrigator License Exam Practice  Test Questions and Answers 20242026  ALREADY PASSED
View Document

Texas Irrigator License Exam Practice Test Questions and Answers 20242026 ALREADY PASSED

  • DYNAMICSCORES254

    DYNAMICSCORES254

  • exam

Texas Irrigator License Exam Practice Test Questions and Answers 20242025 ALREADY PASSED...

14 USD

0

0

MEDICAL SURGICAL EXAM 2 20242026 VERIFIED ANSWERS ACCURATE STUDY GUIDE
View Document

MEDICAL SURGICAL EXAM 2 20242026 VERIFIED ANSWERS ACCURATE STUDY GUIDE

  • DYNAMICSCORES254

    DYNAMICSCORES254

  • exam

MEDICAL SURGICAL EXAM 2 20242025 VERIFIED ANSWERS ACCURATE STUDY GUIDE...

13 USD

0

0

NY Life, Accident, and Health Insurance Agent/Broker Exam Series 17-55 VERIFIED  ANSWERS 20242026
View Document

NY Life, Accident, and Health Insurance Agent/Broker Exam Series 17-55 VERIFIED ANSWERS 20242026

  • DYNAMICSCORES254

    DYNAMICSCORES254

  • exam

NY Life, Accident, and Health Insurance Agent/Broker Exam Series 17-55 VERIFIED ANSWERS 20242025...

13 USD

0

0

Hawaii Massage Exam Study Guide  VERIFIED  ANSWERS
View Document

Hawaii Massage Exam Study Guide VERIFIED ANSWERS

  • DYNAMICSCORES254

    DYNAMICSCORES254

  • exam

Hawaii Massage Exam Study Guide VERIFIED ANSWERS...

13 USD

0

0

NGN NURSING HESI EXIT EXAM  LATEST UPDATE  RATED A ALREADY  PASSED
View Document

NGN NURSING HESI EXIT EXAM LATEST UPDATE RATED A ALREADY PASSED

  • DYNAMICSCORES254

    DYNAMICSCORES254

  • exam

NGN NURSING HESI EXIT EXAM LATEST UPDATE RATED A ALREADY PASSED...

14 USD

0

0

CCRN Exam Cram Review 2024 Update ALREADY PASSED
View Document

CCRN Exam Cram Review 2024 Update ALREADY PASSED

  • DYNAMICSCORES254

    DYNAMICSCORES254

  • exam

CCRN Exam Cram Review 2024 Update ALREADY PASSED...

13 USD

0

0

HESI HEALTH  ASSESSMENT EXAM VERIFIED ANSWERS  GUARANTEED PASS
View Document

HESI HEALTH ASSESSMENT EXAM VERIFIED ANSWERS GUARANTEED PASS

  • DYNAMICSCORES254

    DYNAMICSCORES254

  • exam

HESI HEALTH ASSESSMENT EXAM VERIFIED ANSWERS GUARANTEED PASS...

13 USD

0

0

NUR 631 Midterm Exam VERIFIED ANSWERS  20242026
View Document

NUR 631 Midterm Exam VERIFIED ANSWERS 20242026

  • DYNAMICSCORES254

    DYNAMICSCORES254

  • exam

NUR 631 Midterm Exam VERIFIED ANSWERS 20242025...

13 USD

0

0

ISSA Final Exam Answers 2023\2024 - Already Graded A+
View Document

ISSA Final Exam Answers 2023\2024 - Already Graded A+

  • studypal

    studypal

  • questions & answers

ISSA Final Exam Answers 2023\2024 - Already Graded A+...

12 USD

0

0

ISSA’s Certified Fitness Trainer Examination With Answers 2024 (GRADED A+)
View Document

ISSA’s Certified Fitness Trainer Examination With Answers 2024 (GRADED A+)

  • studypal

    studypal

  • questions & answers

ISSA’s Certified Fitness Trainer Examination With Answers 2024 (GRADED A+)...

14 USD

0

0

ISSA’s Certified Fitness Trainer Examination With Answers 2024 (GRADED A+)
View Document

ISSA’s Certified Fitness Trainer Examination With Answers 2024 (GRADED A+)

  • studypal

    studypal

  • questions & answers

ISSA’s Certified Fitness Trainer Examination With Answers 2024 (GRADED A+)...

14 USD

0

0

ISSA Personal Trainer Certification Exam With Answers 100% Correct 2024
View Document

ISSA Personal Trainer Certification Exam With Answers 100% Correct 2024

  • studypal

    studypal

  • questions & answers

ISSA Personal Trainer Certification Exam With Answers 100% Correct 2024...

14 USD

0

0

NCLEX RN TEST BANK EXAM WITH OVER 1000 QUESTIONS AND ANSWERS WITH RATIONALE 2023-2024 SERIES
View Document

NCLEX RN TEST BANK EXAM WITH OVER 1000 QUESTIONS AND ANSWERS WITH RATIONALE 2023-2024 SERIES

  • TITUS

    TITUS

  • nclex

NCLEX RN TEST BANK EXAM WITH OVER 1000 QUESTIONS AND ANSWERS WITH RATIONALE 2023-2024 SERIES...

35 USD

0

0

WCU ATI DOSAGE CALCULATIONS REAL EXAM WITH EXPLANATIONS FIVE STAR RATED
View Document

WCU ATI DOSAGE CALCULATIONS REAL EXAM WITH EXPLANATIONS FIVE STAR RATED

  • TITUS

    TITUS

  • test bank

WCU ATI DOSAGE CALCULATIONS REAL EXAM WITH EXPLANATIONS FIVE STAR RATED...

20 USD

0

0

WCU ATI DOSAGE MATH CALCULATIONS EXAM WITH QUESTIONS AND CORRECT ANSWERS DIMENSIONAL ANALYSIS
View Document

WCU ATI DOSAGE MATH CALCULATIONS EXAM WITH QUESTIONS AND CORRECT ANSWERS DIMENSIONAL ANALYSIS

  • TITUS

    TITUS

  • test bank

WCU ATI DOSAGE MATH CALCULATIONS EXAM WITH QUESTIONS AND CORRECT ANSWERS DIMENSIONAL ANALYSIS...

10 USD

0

0

G3701 EXAM QUESTIONS AND ANSWERS STRATEGIC PLANNING 2024 REAL EXAM ASSESSMENT
View Document

G3701 EXAM QUESTIONS AND ANSWERS STRATEGIC PLANNING 2024 REAL EXAM ASSESSMENT

  • TITUS

    TITUS

  • test bank

G3701 EXAM QUESTIONS AND ANSWERS STRATEGIC PLANNING 2024 REAL EXAM ASSESSMENT – Download PDF...

20 USD

0

0

MNB 3701  FINAL EXAM GLOBALISATION- GLOBAL BUSINESS DYNAMICS  EXAM REVIEW AND SUMMARY POSSIBLE STRUCTURE  QUESTIONS AND ANSWERS EXAM
View Document

MNB 3701 FINAL EXAM GLOBALISATION- GLOBAL BUSINESS DYNAMICS EXAM REVIEW AND SUMMARY POSSIBLE STRUCTURE QUESTIONS AND ANSWERS EXAM

  • TITUS

    TITUS

  • test bank

MNB 3701 FINAL EXAM GLOBALISATION- GLOBAL BUSINESS DYNAMICS EXAM REVIEW AND SUMMARY POSSIBLE STRUCTURE QUESTIONS AND ...

20 USD

0

0

HESI PHYSIOLOGY AND ANATOMY, BIOLOGY, A2 VERSION 1 DOPPLER EFFECT FINAL EXAM MULTIPLE QUESTIONS AND ANSWERS 100% CORRECT ANSWERS HESI A2 VERSION 1
View Document

HESI PHYSIOLOGY AND ANATOMY, BIOLOGY, A2 VERSION 1 DOPPLER EFFECT FINAL EXAM MULTIPLE QUESTIONS AND ANSWERS 100% CORRECT ANSWERS HESI A2 VERSION 1

  • TITUS

    TITUS

  • study guide

HESI PHYSIOLOGY AND ANATOMY, BIOLOGY, A2 VERSION 1 DOPPLER EFFECT FINAL EXAM MULTIPLE QUESTIONS AND ANSWERS 100% CORRECT...

24 USD

0

0

PHARMACEUTICAL PHARM FINAL EXAM REVIEW FOR EXAM QUESTIONS AND ANSWERS 100% A+PHARMACEUTICAL PHARM FINAL EXAM REVIEW FOR EXAM QUESTIONS AND ANSWERS 100% A+PHARMACEUTICAL PHARM FINAL EXAM REVIEW FOR EXAM QUESTIONS AND ANSWERS 100% A+PHARMACEUTICAL PHARM FINAL EXAM REVIEW FOR EXAM QUESTIONS AND ANSWERS 100% A+
View Document

PHARMACEUTICAL PHARM FINAL EXAM REVIEW FOR EXAM QUESTIONS AND ANSWERS 100% A+PHARMACEUTICAL PHARM FINAL EXAM REVIEW FOR EXAM QUESTIONS AND ANSWERS 100% A+PHARMACEUTICAL PHARM FINAL EXAM REVIEW FOR EXAM QUESTIONS AND ANSWERS 100% A+PHARMACEUTICAL PHARM FINAL EXAM REVIEW FOR EXAM QUESTIONS AND ANSWERS 100% A+

  • TITUS

    TITUS

  • study guide

PHARMACEUTICAL PHARM FINAL EXAM REVIEW FOR EXAM QUESTIONS AND ANSWERS 100% A+PHARMACEUTICAL PHARM FINAL EXAM REVIEW FOR ...

30 USD

0

0

NR 293 EDAPT INFECTION STUDY GUIDE FOR FINAL EXAMS ANSWERS FOR ALL QUESTIONS FOR EXAMS GUARANTEED A+ WEEK 7
View Document

NR 293 EDAPT INFECTION STUDY GUIDE FOR FINAL EXAMS ANSWERS FOR ALL QUESTIONS FOR EXAMS GUARANTEED A+ WEEK 7

  • TITUS

    TITUS

  • study guide

NR 293 EDAPT INFECTION STUDY GUIDE FOR FINAL EXAMS ANSWERS FOR ALL QUESTIONS FOR EXAMS GUARANTEED A+ WEEK 7...

25 USD

0

0

NR 293 PHARMACOLOGY FOR EXAM Week 6 Concepts: Intracranial Regulation
View Document

NR 293 PHARMACOLOGY FOR EXAM Week 6 Concepts: Intracranial Regulation

  • TITUS

    TITUS

  • study guide

NR 293 PHARMACOLOGY FOR EXAM Week 6 Concepts: Intracranial Regulation...

25 USD

0

0

ECON 104: Statistical Foundations of Econometrics and Data Science MID-TERM EXAM	**SOLUTIONS** IwsTRUCTOR:  PROFESSOR AwdREW PiTTOw Duke University 12:05pm-1:15pm, Thursday March 4, 2021.
View Document

ECON 104: Statistical Foundations of Econometrics and Data Science MID-TERM EXAM **SOLUTIONS** IwsTRUCTOR: PROFESSOR AwdREW PiTTOw Duke University 12:05pm-1:15pm, Thursday March 4, 2021.

  • TITUS

    TITUS

  • study guide

ECON 104: Statistical Foundations of Econometrics and Data Science MID-TERM EXAM **SOLUTIONS** IwsTRUCTOR: PROFESSOR Aw...

20 USD

0

0

ECON 104: Statistical Foundations of Econometrics and Data Science MID-TERM EXAM - version B  IwsTRUCTOR:  PROFESSOR AwdREW PiTTOw Duke University  12:05pm-1:05pm, Monday March 6, 2023.
View Document

ECON 104: Statistical Foundations of Econometrics and Data Science MID-TERM EXAM - version B IwsTRUCTOR: PROFESSOR AwdREW PiTTOw Duke University 12:05pm-1:05pm, Monday March 6, 2023.

  • TITUS

    TITUS

  • study guide

ECON 104: Statistical Foundations of Econometrics and Data Science MID-TERM EXAM - version B IwsTRUCTOR: PROFESSOR Awd...

20 USD

0

0

ECON 104 FIRST TERM SEMESTER NOTES FOR YOUR FINAL EXAMS GUARANTEED A+
View Document

ECON 104 FIRST TERM SEMESTER NOTES FOR YOUR FINAL EXAMS GUARANTEED A+

  • TITUS

    TITUS

  • study guide

ECON 104 FIRST TERM SEMESTER NOTES FOR YOUR FINAL EXAMS GUARANTEED A+...

20 USD

0

0

Leading SAFe Certification Exam With Complete Solutions 2024
View Document

Leading SAFe Certification Exam With Complete Solutions 2024

  • Opati-Kaka

    Opati-Kaka

  • test bank

Leading SAFe Certification Exam With Complete Solutions 2024...

5 USD

0

0

NUR2513-EXAM 1 MATERNAL VERSION
View Document

NUR2513-EXAM 1 MATERNAL VERSION

  • DRDMG

    DRDMG

  • hesi

NUR2513-EXAM 1 MATERNALVERSION A LATEST VERSIONS 2024-2025(350 QUESTIONS AND CORRECT ASWERS ANSWERS) |AGRADE RASMUSSEN C...

10 USD

0

0

HESI RN EXIT // HESI RN EXIT EXAM LEGACY V2 (2026)
View Document

HESI RN EXIT // HESI RN EXIT EXAM LEGACY V2 (2026)

  • DRDMG

    DRDMG

  • hesi

HESI RN EXIT // HESI RN EXIT EXAM LEGACY V2...

10 USD

0

0

HESI RN EXIT // HESI RN EXIT EXAM LEGACY V2
View Document

HESI RN EXIT // HESI RN EXIT EXAM LEGACY V2

  • DRDMG

    DRDMG

  • hesi

HESI RN EXIT // HESI RN EXIT EXAM LEGACY V2...

10 USD

0

0

HESI EXIT EXAM 2019
View Document

HESI EXIT EXAM 2019

  • DRDMG

    DRDMG

  • ati medical surgical

HESI EXIT EXAM 2019...

10 USD

0

0

NSG 6435 FINAL EXAM STUDY GUIDE
View Document

NSG 6435 FINAL EXAM STUDY GUIDE

  • DRDMG

    DRDMG

  • ati medical surgical

NSG 6435 FINAL EXAM STUDY GUIDE...

10 USD

0

0

Test Bank RN Comprehensive Predictor Exam Questions and Answers
View Document

Test Bank RN Comprehensive Predictor Exam Questions and Answers

  • Opati-Kaka

    Opati-Kaka

  • test bank

Test Bank RN Comprehensive Predictor Exam Questions and Answers...

15 USD

0

0

Test Bank RN Comprehensive Predictor Exam Questions and Answers
View Document

Test Bank RN Comprehensive Predictor Exam Questions and Answers

  • Opati-Kaka

    Opati-Kaka

  • test bank

Test Bank RN Comprehensive Predictor Exam Questions and Answers...

15 USD

0

0

HCB TEST 1 AND 2 EXAM QUESTIONS AND ANSWERS RETAKE 100% A+
View Document

HCB TEST 1 AND 2 EXAM QUESTIONS AND ANSWERS RETAKE 100% A+

  • TITUS

    TITUS

  • questions & answers

HCB TEST 1 AND 2 EXAM QUESTIONS AND ANSWERS RETAKE 100% A+ – Download PDF...

15 USD

0

0

ATI MED SURG
View Document

ATI MED SURG

  • DRDMG

    DRDMG

  • ati proctored

ATI MED SURG...

10 USD

0

0

ATI NURSING CARE OF CHILDREN
View Document

ATI NURSING CARE OF CHILDREN

  • DRDMG

    DRDMG

  • ati proctored

ATI NURSING CARE OF CHILDREN...

38 USD

0

0

ATI LEADERSHIP PROCTORED
View Document

ATI LEADERSHIP PROCTORED

  • DRDMG

    DRDMG

  • ati proctored

ATI LEADERSHIP PROCTORED...

38 USD

0

0

PADI OPEN WATER DIVER FINAL REAL EXAM QUESTIONS AND ANSWERS GRADE A+
View Document

PADI OPEN WATER DIVER FINAL REAL EXAM QUESTIONS AND ANSWERS GRADE A+

  • TITUS

    TITUS

  • exam

PADI OPEN WATER DIVER FINAL REAL EXAM QUESTIONS AND ANSWERS GRADE A+...

20 USD

0

0

SSI Open Water Diver Final Exam 2022 Graded A+(Actual  test 100% verified)
View Document

SSI Open Water Diver Final Exam 2022 Graded A+(Actual test 100% verified)

  • TITUS

    TITUS

  • questions & answers

SSI Open Water Diver Final Exam 2022 Graded A+(Actual test 100% verified)...

20 USD

0

0

SSI Open Water Diver Final Exam 2022 Graded A+(Actual  test 100% verified)
View Document

SSI Open Water Diver Final Exam 2022 Graded A+(Actual test 100% verified)

  • TITUS

    TITUS

  • questions & answers

SSI Open Water Diver Final Exam 2022 Graded A+(Actual test 100% verified)...

20 USD

0

0

ATI PHARMACOLOGY PROCTORED LATEST EXAM QUESTIONS AND VERIFIED ANSWERS 2024-2026 LATEST UPDATE// ALREADY GRADED A+ 1.) A nurse is assessing a client who is receiving intravenous therapy. The nurse should identify which of the following findings as a manifestation of fluid volume excess?
View Document

ATI PHARMACOLOGY PROCTORED LATEST EXAM QUESTIONS AND VERIFIED ANSWERS 2024-2026 LATEST UPDATE// ALREADY GRADED A+ 1.) A nurse is assessing a client who is receiving intravenous therapy. The nurse should identify which of the following findings as a manifestation of fluid volume excess?

  • DRDMG

    DRDMG

  • test bank

ATI PHARMACOLOGY PROCTORED LATEST EXAM QUESTIONS AND VERIFIED ANSWERS 2024-2025 LATEST UPDATE// ALREADY GRADED A+ 1.) A ...

36 USD

0

0

ATI PHARMACOLGY 2019 REAL EXAM
View Document

ATI PHARMACOLGY 2019 REAL EXAM

  • DRDMG

    DRDMG

  • ati medical surgical

ATI PHARMACOLGY 2019 REAL EXAM...

36 USD

0

0

ATI NURSING CARE OF CHILDREN PROCTORED EXAM LATEST 2022-2024  /  NURSING CARE OF  CHILDREN ATI PROCTORED 300+ EXAMQUESTIONS AND CORRECT ANSWERS | VERIFIED ANSWERS  *1. A nurse is assessing a school-age child who has heart failure and is taking furosemide. Which of the following findings should the nurse identify as an indication that the medication is effective?
View Document

ATI NURSING CARE OF CHILDREN PROCTORED EXAM LATEST 2022-2024 / NURSING CARE OF CHILDREN ATI PROCTORED 300+ EXAMQUESTIONS AND CORRECT ANSWERS | VERIFIED ANSWERS *1. A nurse is assessing a school-age child who has heart failure and is taking furosemide. Which of the following findings should the nurse identify as an indication that the medication is effective?

  • DRDMG

    DRDMG

  • ati medical surgical

ATI NURSING CARE OF CHILDREN PROCTORED EXAM LATEST 2022-2024 / NURSING CARE OF CHILDREN ATI PROCTORED 300+ EXAMQUESTI...

48 USD

0

0

ATI NURSING CARE OF CHILDREN PROCTORED EXAM  2024-2026/  NURSING CARE OF CHILDREN  ATI PROCTORED EXAM QUESTIONS AND  CORRECT ANSWERS | VERIFIED ANSWERS  1. A nurse is assessing a school-age child who has heart failure and is taking furosemide. Which of the following findings should the nurse identify as an indication thatthe medication is effective?
View Document

ATI NURSING CARE OF CHILDREN PROCTORED EXAM 2024-2026/ NURSING CARE OF CHILDREN ATI PROCTORED EXAM QUESTIONS AND CORRECT ANSWERS | VERIFIED ANSWERS 1. A nurse is assessing a school-age child who has heart failure and is taking furosemide. Which of the following findings should the nurse identify as an indication thatthe medication is effective?

  • DRDMG

    DRDMG

  • ati medical surgical

ATI NURSING CARE OF CHILDREN PROCTORED EXAM 2024-2025/ NURSING CARE OF CHILDREN ATI PROCTORED EXAM QUESTIONS AND COR...

36 USD

0

0

ATI RN MENTAL HEALTH REAL EXAM 2019// QUESTIONS AND VERIFIED ANSWERS 2024-2026 LATEST UPDATE// ALREADY GRADED A+  1. A nurse is teaching about deep-breathing exercises with a client who reports experiencing intense stress at work. Which of the following statements by the client indicates an understanding of the teaching?
View Document

ATI RN MENTAL HEALTH REAL EXAM 2019// QUESTIONS AND VERIFIED ANSWERS 2024-2026 LATEST UPDATE// ALREADY GRADED A+ 1. A nurse is teaching about deep-breathing exercises with a client who reports experiencing intense stress at work. Which of the following statements by the client indicates an understanding of the teaching?

  • DRDMG

    DRDMG

  • ati medical surgical

ATI RN MENTAL HEALTH REAL EXAM 2019// QUESTIONS AND VERIFIED ANSWERS 2024-2025 LATEST UPDATE// ALREADY GRADED A+ 1. A n...

34 USD

0

0

COMPLETE ATI PN Pharmacology Proctored Exam 100% Updated NEWEST 2023/2024 GRADED A+70 QUESTIONS WITH  DETAILED VERIFIED ANSWERS
View Document

COMPLETE ATI PN Pharmacology Proctored Exam 100% Updated NEWEST 2023/2024 GRADED A+70 QUESTIONS WITH DETAILED VERIFIED ANSWERS

  • beatricemwash

    beatricemwash

  • ati

COMPLETE ATI PN Pharmacology Proctored Exam 100% Updated NEWEST 2023/2024 GRADED A+70 QUESTIONS WITH DETAILED VERIFIED ...

6 USD

0

0

ATI RN LEADERSHIP LATEST 2023-2024 FORM B REAL EXAM QUESTIONS AND CORRECT  ANSWERS(ALL ANSWERS ARE CORRECT)|ALREADY GRADED A+   A nurse is assessing a client who had a recent stroke. Which of the following findings should indicate to the nurse the need for referral to an occupational therapist?
View Document

ATI RN LEADERSHIP LATEST 2023-2024 FORM B REAL EXAM QUESTIONS AND CORRECT ANSWERS(ALL ANSWERS ARE CORRECT)|ALREADY GRADED A+ A nurse is assessing a client who had a recent stroke. Which of the following findings should indicate to the nurse the need for referral to an occupational therapist?

  • DRDMG

    DRDMG

  • ati

ATI RN LEADERSHIP LATEST 2023-2024 FORM B REAL EXAM QUESTIONS AND CORRECT ANSWERS(ALL ANSWERS ARE CORRECT)|ALREADY GRAD...

36 USD

0

0

ATI RN LEADERSHIP LATEST 2023-2024 FORM A REAL EXAM QUESTIONS AND CORRECT  ANSWERS
View Document

ATI RN LEADERSHIP LATEST 2023-2024 FORM A REAL EXAM QUESTIONS AND CORRECT ANSWERS

  • DRDMG

    DRDMG

  • ati

ATI RN LEADERSHIP LATEST 2023-2024 FORM A REAL EXAM QUESTIONS AND CORRECT ANSWERS...

38 USD

0

0

ATI RN FUNDAMENTALS EXAM TESTBANK 400+ QS & ANS ALL EXAMS DONE 2024-2026QUESTIONS AND CORRECT ANSWERS /RN FUNDAMENTALS EXAM TESTBANK |AGRADE (WITH RATIONALES)
View Document

ATI RN FUNDAMENTALS EXAM TESTBANK 400+ QS & ANS ALL EXAMS DONE 2024-2026QUESTIONS AND CORRECT ANSWERS /RN FUNDAMENTALS EXAM TESTBANK |AGRADE (WITH RATIONALES)

  • DRDMG

    DRDMG

  • ati

ATI RN FUNDAMENTALS EXAM TESTBANK 400+ QS & ANS ALL EXAMS DONE 2024-2025QUESTIONS AND CORRECT ANSWERS /RN FUNDAMENTALS E...

80 USD

0

0

BIO 256 (BIO256) EXAMS; ATI ANATOMY & PHYSIOLOGY LATEST UPDATE  2022-2024  ALL 150 QUESTIONS AND CORRECT ANSWERS | CHAMBERLAIN COLLEGE OF NURSING  A+ blood is characterized by the absence of
View Document

BIO 256 (BIO256) EXAMS; ATI ANATOMY & PHYSIOLOGY LATEST UPDATE 2022-2024 ALL 150 QUESTIONS AND CORRECT ANSWERS | CHAMBERLAIN COLLEGE OF NURSING A+ blood is characterized by the absence of

  • DRDMG

    DRDMG

  • ati

BIO 256 (BIO256) EXAMS; ATI ANATOMY & PHYSIOLOGY LATEST UPDATE 2022-2024 ALL 150 QUESTIONS AND CORRECT ANSWERS | CHAMB...

32 USD

0

0

ATI RN MEDICAL SURGICAL EXAM QUESTIONS AND ANSWERS 2023-2024/MEDICAL SURGICAL RN ATI  EXAM 2023-2024|LATEST VERSION ALREADY  GRADED A+   A nurse is teaching a client how to perform a breast self-exam (BSE). The nurse should identify which of the following findings as an indication of breast cancer
View Document

ATI RN MEDICAL SURGICAL EXAM QUESTIONS AND ANSWERS 2023-2024/MEDICAL SURGICAL RN ATI EXAM 2023-2024|LATEST VERSION ALREADY GRADED A+ A nurse is teaching a client how to perform a breast self-exam (BSE). The nurse should identify which of the following findings as an indication of breast cancer

  • DRDMG

    DRDMG

  • ati

ATI RN MEDICAL SURGICAL EXAM QUESTIONS AND ANSWERS 2023-2024/MEDICAL SURGICAL RN ATI EXAM 2023-2024|LATEST VERSION ALRE...

32 USD

0

0

NUTRITION ATI PROCTORED EXAM STUDY GUIDE GETTING AN A+ IN NUTRITION
View Document

NUTRITION ATI PROCTORED EXAM STUDY GUIDE GETTING AN A+ IN NUTRITION

  • TITUS

    TITUS

  • study guide

NUTRITION ATI PROCTORED EXAM STUDY GUIDE GETTING AN A+ IN NUTRITION...

24 USD

0

0

BSG COMPREHENSIVE EXAM FINAL EXAM FALL 2024 QUESTIONS AND ANSWERS RATED A+
View Document

BSG COMPREHENSIVE EXAM FINAL EXAM FALL 2024 QUESTIONS AND ANSWERS RATED A+

  • TITUS

    TITUS

  • exam

BSG COMPREHENSIVE EXAM FINAL EXAM FALL 2024 QUESTIONS AND ANSWERS RATED A+...

24 USD

0

0

ATI PHARMACOLOGY PROCTOR
View Document

ATI PHARMACOLOGY PROCTOR

  • DRDMG

    DRDMG

  • ati proctored

ATI PHARMACOLOGY PROCTOR – Download PDF...

36 USD

0

0

BSG FINAL EXAM GLOBAL STRATEGIC MANAGEMENT 2024
View Document

BSG FINAL EXAM GLOBAL STRATEGIC MANAGEMENT 2024

  • TITUS

    TITUS

  • nclex

BSG FINAL EXAM GLOBAL STRATEGIC MANAGEMENT 2024...

20 USD

0

0

NR293 PHARMACOLOGY FOR NURSING REAL EXAM AND ANSWERS STUDY GUIDE WEEK 6 CONCEPTS REAL EXAM PASS
View Document

NR293 PHARMACOLOGY FOR NURSING REAL EXAM AND ANSWERS STUDY GUIDE WEEK 6 CONCEPTS REAL EXAM PASS

  • TITUS

    TITUS

  • nclex

NR293 PHARMACOLOGY FOR NURSING REAL EXAM AND ANSWERS STUDY GUIDE WEEK 6 CONCEPTS REAL EXAM PASS...

20 USD

0

0

ATI FUNDAMENTALS PROCTOREDREAL EXAM TEST BANK 400 QUESTIONS AND VERIFIED ANSWERS FOR THE LATEST UPDATES | ALREADY GRADEDA A+ A client who is unstable and requires frequent vital signs has an electronic blood pressure machine automatically measuring his blood pressure every 15 min. However, the machine is reading the client’s blood pressure at more frequent intervals, and the readings are not similar. The nurse checks the machin
View Document

ATI FUNDAMENTALS PROCTOREDREAL EXAM TEST BANK 400 QUESTIONS AND VERIFIED ANSWERS FOR THE LATEST UPDATES | ALREADY GRADEDA A+ A client who is unstable and requires frequent vital signs has an electronic blood pressure machine automatically measuring his blood pressure every 15 min. However, the machine is reading the client’s blood pressure at more frequent intervals, and the readings are not similar. The nurse checks the machin

  • DRDMG

    DRDMG

  • ati

ATI FUNDAMENTALS PROCTOREDREAL EXAM TEST BANK 400 QUESTIONS AND VERIFIED ANSWERS FOR THE LATEST UPDATES | ALREADY GRADED...

80 USD

0

0

2023 SEPTEMBER 21ST CJSIM UNIT CENSUS NEXT GEN NCLEX RN PN, QSEN,  NCJMM REAL EXAM GRADE A+
View Document

2023 SEPTEMBER 21ST CJSIM UNIT CENSUS NEXT GEN NCLEX RN PN, QSEN, NCJMM REAL EXAM GRADE A+

  • TITUS

    TITUS

  • nclex

2023 SEPTEMBER 21ST CJSIM UNIT CENSUS NEXT GEN NCLEX RN PN, QSEN, NCJMM REAL EXAM GRADE A+...

20 USD

0

0

ATI FUNDAMENTALS PROCTOR EXAM FORM C QUESTIONS AND VERIFIED ANSWERS 2024-2026 LATEST UPDATE| ALREADY GRADED A+ A nurse is delegating the ambulation of a client who had knee arthroplasty 5 days ago to an AP. Which of the following information should the nurse share with the AP
View Document

ATI FUNDAMENTALS PROCTOR EXAM FORM C QUESTIONS AND VERIFIED ANSWERS 2024-2026 LATEST UPDATE| ALREADY GRADED A+ A nurse is delegating the ambulation of a client who had knee arthroplasty 5 days ago to an AP. Which of the following information should the nurse share with the AP

  • DRDMG

    DRDMG

  • ati

ATI FUNDAMENTALS PROCTOR EXAM FORM C QUESTIONS AND VERIFIED ANSWERS 2024-2025 LATEST UPDATE| ALREADY GRADED A+ A nurse i...

34 USD

0

0

ATI FUNDAMENTALS PROCTOR EXAM FORM C QUESTIONS AND VERIFIED ANSWERS 2024-2026 LATEST UPDATE | ALREADY GRADED A+
View Document

ATI FUNDAMENTALS PROCTOR EXAM FORM C QUESTIONS AND VERIFIED ANSWERS 2024-2026 LATEST UPDATE | ALREADY GRADED A+

  • DRDMG

    DRDMG

  • ati

ATI FUNDAMENTALS PROCTOR EXAM FORM C QUESTIONS AND VERIFIED ANSWERS 2024-2025 LATEST UPDATE | ALREADY GRADED A+ – Down...

34 USD

0

0

ATI FUNDAMENTALS PROCTOR EXAM FORM C QUESTIONS AND VERIFIED ANSWERS 2024-2026 LATEST UPDATE
View Document

ATI FUNDAMENTALS PROCTOR EXAM FORM C QUESTIONS AND VERIFIED ANSWERS 2024-2026 LATEST UPDATE

  • DRDMG

    DRDMG

  • ati

ATI FUNDAMENTALS PROCTOR EXAM FORM C QUESTIONS AND VERIFIED ANSWERS 2024-2025 LATEST UPDATE – Download PDF...

34 USD

0

0

ATI COMPREHENSIVE PREDICTOR EXAM 2019 FORM B| ATI NCLEX PREDICTOR 180  QUESTIONS AND CORRECT ANSWERS | LATEST UPDATE 100 Percent GUARANTEED PASS A nurse is providing teaching about the gastrostomy tube feedings to the parents of ATI COMPREHENSIVE PREDICTOR EXAM 2019 FORM B| ATI NCLEX PREDICTOR 180  QUESTIONS AND CORRECT ANSWERS// LATEST UPDATE 100% GUARANTEED PASS    1. A nurse is providing teaching about the gastrostomy tube feedings to the parents of a school age child. Which of the following instructions should the nurse take? a school age child. Which of the following instructions should the nurse take
View Document

ATI COMPREHENSIVE PREDICTOR EXAM 2019 FORM B| ATI NCLEX PREDICTOR 180 QUESTIONS AND CORRECT ANSWERS | LATEST UPDATE 100 Percent GUARANTEED PASS A nurse is providing teaching about the gastrostomy tube feedings to the parents of ATI COMPREHENSIVE PREDICTOR EXAM 2019 FORM B| ATI NCLEX PREDICTOR 180 QUESTIONS AND CORRECT ANSWERS// LATEST UPDATE 100% GUARANTEED PASS 1. A nurse is providing teaching about the gastrostomy tube feedings to the parents of a school age child. Which of the following instructions should the nurse take? a school age child. Which of the following instructions should the nurse take

  • DRDMG

    DRDMG

  • ati

ATI COMPREHENSIVE PREDICTOR EXAM 2019 FORM B| ATI NCLEX PREDICTOR 180 QUESTIONS AND CORRECT ANSWERS | LATEST UPDATE 100...

34 USD

0

0

ATI COMPREHENSIVE PREDICTOR EXAM 2023 FORM A| ATI NCLEX PREDICTOR 180  QUESTIONS AND CORRECT ANSWERS LATEST UPDATES   A nurse is conducting group therapy with clients who have breast cancer. The nurse should recognize which of the following statements by a client as an example of altruism
View Document

ATI COMPREHENSIVE PREDICTOR EXAM 2023 FORM A| ATI NCLEX PREDICTOR 180 QUESTIONS AND CORRECT ANSWERS LATEST UPDATES A nurse is conducting group therapy with clients who have breast cancer. The nurse should recognize which of the following statements by a client as an example of altruism

  • DRDMG

    DRDMG

  • ati

ATI COMPREHENSIVE PREDICTOR EXAM 2023 FORM A| ATI NCLEX PREDICTOR 180 QUESTIONS AND CORRECT ANSWERS LATEST UPDATES A ...

34 USD

0

0

ATI COMPREHENSIVE PREDICTOR EXAM  2019 EXAM| ATI NCLEX PREDICTOR 180 QUESTIONS AND a nurse working in an emergency department is triaging four clients. which of the following clients should the nurse recommend for treatment first
View Document

ATI COMPREHENSIVE PREDICTOR EXAM 2019 EXAM| ATI NCLEX PREDICTOR 180 QUESTIONS AND a nurse working in an emergency department is triaging four clients. which of the following clients should the nurse recommend for treatment first

  • DRDMG

    DRDMG

  • ati

ATI COMPREHENSIVE PREDICTOR EXAM 2019 EXAM| ATI NCLEX PREDICTOR 180 QUESTIONS AND a nurse working in an emergency depar...

34 USD

0

0

water treatment exam QUESTIONS AND CORRECT DETAILED ANSWERS WITH RATIONALES VERIFIED ANSWERS ALREADY GRADED A+
View Document

water treatment exam QUESTIONS AND CORRECT DETAILED ANSWERS WITH RATIONALES VERIFIED ANSWERS ALREADY GRADED A+

  • DALTON01

    DALTON01

  • exam

water treatment exam QUESTIONS AND CORRECT DETAILED ANSWERS WITH RATIONALES VERIFIED ANSWERS ALREADY GRADED A+...

20 USD

0

0

N352 Sleep & Sensory Cognition Exam Questions and Answers
View Document

N352 Sleep & Sensory Cognition Exam Questions and Answers

  • Kaponga

    Kaponga

  • exam

N352 Sleep & Sensory Cognition Exam Questions and Answers...

10 USD

0

0

N352 Practice Exam Questions and Answers 2024
View Document

N352 Practice Exam Questions and Answers 2024

  • Kaponga

    Kaponga

  • exam

N352 Practice Exam Questions and Answers 2024...

10 USD

0

0

N352 Final Exam Study Guide 2024
View Document

N352 Final Exam Study Guide 2024

  • Kaponga

    Kaponga

  • exam

N352 Final Exam Study Guide 2024...

10 USD

0

0

N352 Exam 4 Questions and Answers 2024 Actual Test
View Document

N352 Exam 4 Questions and Answers 2024 Actual Test

  • Kaponga

    Kaponga

  • exam

N352 Exam 4 Questions and Answers 2024 Actual Test...

10 USD

0

0

N352 Exam 2 Questions and Answers 2024 Actual Exam
View Document

N352 Exam 2 Questions and Answers 2024 Actual Exam

  • Kaponga

    Kaponga

  • exam

N352 Exam 2 Questions and Answers 2024 Actual Exam...

10 USD

0

0

KAPLAN Nursing Entrance Exam Questions and Answers 2024
View Document

KAPLAN Nursing Entrance Exam Questions and Answers 2024

  • Kaponga

    Kaponga

  • exam

KAPLAN Nursing Entrance Exam Questions and Answers 2024...

10 USD

0

0

HESI RN Exit Real 2024 Exam Questions and Answers
View Document

HESI RN Exit Real 2024 Exam Questions and Answers

  • Kaponga

    Kaponga

  • exam

HESI RN Exit Real 2024 Exam Questions and Answers...

10 USD

0

0

HESI anatomy and physiology 2024 Exam Questions and Answers
View Document

HESI anatomy and physiology 2024 Exam Questions and Answers

  • Kaponga

    Kaponga

  • exam

HESI anatomy and physiology 2024 Exam Questions and Answers...

10 USD

0

0

HESI A2 Anatomy and Physiology Actual 2024 Exam
View Document

HESI A2 Anatomy and Physiology Actual 2024 Exam

  • Kaponga

    Kaponga

  • exam

HESI A2 Anatomy and Physiology Actual 2024 Exam...

10 USD

0

0

HESI A2 Anatomy & Physiology Version 1 and 2 Real 2024 Exam
View Document

HESI A2 Anatomy & Physiology Version 1 and 2 Real 2024 Exam

  • Kaponga

    Kaponga

  • exam

HESI A2 Anatomy & Physiology Version 1 and 2 Real 2024 Exam...

7 USD

0

0

WEEK 8 FINAL EXAM (TIMED AND SINGLE ACCESS) RETURN TO ASSESSMENT LIST 100%COMPLETE  EXAM QUESTIONS WITH DETAILED VERIFIED  ANSWERS LATEST 2026
View Document

WEEK 8 FINAL EXAM (TIMED AND SINGLE ACCESS) RETURN TO ASSESSMENT LIST 100%COMPLETE EXAM QUESTIONS WITH DETAILED VERIFIED ANSWERS LATEST 2026

  • beatricemwash

    beatricemwash

  • questions & answers

WEEK 8 FINAL EXAM (TIMED AND SINGLE ACCESS) RETURN TO ASSESSMENT LIST 100%COMPLETE EXAM QUESTIONS WITH DETAILED VERIFIE...

12 USD

0

0

WEEK 8 FINAL EXAM (TIMED AND SINGLE ACCESS)
View Document

WEEK 8 FINAL EXAM (TIMED AND SINGLE ACCESS)

  • beatricemwash

    beatricemwash

  • questions & answers

WEEK 8 FINAL EXAM (TIMED AND SINGLE ACCESS) RETURN TO ASSESSMENT LIST 100%COMPLETE EXAM QUESTIONS WITH DETAILED VERIFIE...

12 USD

0

0

NR 341| NR341 COMPLEX ADULT HEALTH EXAM 1 LATEST 2023-2024  REAL EXAM  QUESTIONS AND CORRECT  ANSWERS|AGRADE
View Document

NR 341| NR341 COMPLEX ADULT HEALTH EXAM 1 LATEST 2023-2024 REAL EXAM QUESTIONS AND CORRECT ANSWERS|AGRADE

  • DRDMG

    DRDMG

  • study guide

NR 341| NR341 COMPLEX ADULT HEALTH EXAM 1 LATEST 2023-2024 REAL EXAM QUESTIONS AND CORRECT ANSWERS|AGRADE – Downloa...

32 USD

0

0

COMMUNITY HEALTH EXIT HESI UPDATED 2022, 2023 & COMMUNITY PROCTORED EXAM QUESTIONS AND ANSWERS (100% CORRECT ANSWERS TWO  DIFFERENT VERSIONS )ALREADY GRADED A+
View Document

COMMUNITY HEALTH EXIT HESI UPDATED 2022, 2023 & COMMUNITY PROCTORED EXAM QUESTIONS AND ANSWERS (100% CORRECT ANSWERS TWO DIFFERENT VERSIONS )ALREADY GRADED A+

  • DRDMG

    DRDMG

  • study guide

COMMUNITY HEALTH EXIT HESI UPDATED 2022, 2023 & COMMUNITY PROCTORED EXAM QUESTIONS AND ANSWERS (100% CORRECT ANSWERS TWO...

34 USD

0

0

COMMUNITY HEALTH PRCTORED REAL EXAM QUESTIONS AND VERIFIED ANSWERS 2024-2026 LATEST UPDATE// ALREADY GRADED A+
View Document

COMMUNITY HEALTH PRCTORED REAL EXAM QUESTIONS AND VERIFIED ANSWERS 2024-2026 LATEST UPDATE// ALREADY GRADED A+

  • DRDMG

    DRDMG

  • study guide

COMMUNITY HEALTH PRCTORED REAL EXAM QUESTIONS AND VERIFIED ANSWERS 2024-2025 LATEST UPDATE// ALREADY GRADED A+...

32 USD

0

0

NURSE AIDE WRITTEN EXAM (CNA) REAL EXAM 2 LATEST  VERSIONS 2023-2024 EACH VERSION WITH 60 QUESTIONS AND CORRECT ANSWERS WITH RATIONALES|AGRADE
View Document

NURSE AIDE WRITTEN EXAM (CNA) REAL EXAM 2 LATEST VERSIONS 2023-2024 EACH VERSION WITH 60 QUESTIONS AND CORRECT ANSWERS WITH RATIONALES|AGRADE

  • DRDMG

    DRDMG

  • study guide

NURSE AIDE WRITTEN EXAM (CNA) REAL EXAM 2 LATEST VERSIONS 2023-2024 EACH VERSION WITH 60 QUESTIONS AND CORRECT ANSWERS ...

30 USD

0

0

CNA WRITTEN EXAM (PROMETRIC PRACTICE TEST) LATEST 2022-2023 EXAM WITH  300+ QUESTIONS  AND ANSWERS  (VERIFIED ANSWERS)
View Document

CNA WRITTEN EXAM (PROMETRIC PRACTICE TEST) LATEST 2022-2023 EXAM WITH 300+ QUESTIONS AND ANSWERS (VERIFIED ANSWERS)

  • DRDMG

    DRDMG

  • study guide

CNA WRITTEN EXAM (PROMETRIC PRACTICE TEST) LATEST 2022-2023 EXAM WITH 300+ QUESTIONS AND ANSWERS (VERIFIED ANSWERS)...

28 USD

0

0

CNA Final Exam Latest (3 Different Versions) Certified Nursing Assistant (CNA) Exam Each Version Contains 100 Real Exam Questions and Answers
View Document

CNA Final Exam Latest (3 Different Versions) Certified Nursing Assistant (CNA) Exam Each Version Contains 100 Real Exam Questions and Answers

  • DRDMG

    DRDMG

  • study guide

CNA Final Exam Latest (3 Different Versions) Certified Nursing Assistant (CNA) Exam Each Version Contains 100 Real Exam ...

10 USD

0

0

CMS FUNDAMENTALS  PROCTORED EXAM 2022-2023 QUESTIONS AND  CORRECT ANSWERS (100% COMPLETE)AGRADE
View Document

CMS FUNDAMENTALS PROCTORED EXAM 2022-2023 QUESTIONS AND CORRECT ANSWERS (100% COMPLETE)AGRADE

  • DRDMG

    DRDMG

  • study guide

CMS FUNDAMENTALS PROCTORED EXAM 2022-2023 QUESTIONS AND CORRECT ANSWERS (100% COMPLETE)AGRADE...

30 USD

0

0

CLG 0010 EXAM LATEST 2023-2024 WITH COMPLETE SOLUTION 150 QUESTIONS AND  CORRECT ANSWERS(VERIFIED ANSWERS)
View Document

CLG 0010 EXAM LATEST 2023-2024 WITH COMPLETE SOLUTION 150 QUESTIONS AND CORRECT ANSWERS(VERIFIED ANSWERS)

  • DRDMG

    DRDMG

  • study guide

CLG 0010 EXAM LATEST 2023-2024 WITH COMPLETE SOLUTION 150 QUESTIONS AND CORRECT ANSWERS(VERIFIED ANSWERS)...

30 USD

0

0

CIDESCO FINAL EXAM LATEST 2023-2024 REAL  EXAM 200 QUESTIONS AND C ORRECT ANSWERS (VERIFIED ANSWERS) |AGR
View Document

CIDESCO FINAL EXAM LATEST 2023-2024 REAL EXAM 200 QUESTIONS AND C ORRECT ANSWERS (VERIFIED ANSWERS) |AGR

  • DRDMG

    DRDMG

  • study guide

CIDESCO FINAL EXAM LATEST 2023-2024 REAL EXAM 200 QUESTIONS AND C ORRECT ANSWERS (VERIFIED ANSWERS) |AGR...

30 USD

0

0

RPN Integrated Actual Exam 195 Questions and Answers. Graded A+
View Document

RPN Integrated Actual Exam 195 Questions and Answers. Graded A+

  • studypal

    studypal

  • questions & answers

RPN Integrated Actual Exam 195 Questions and Answers. Graded A+...

14 USD

0

0

Barkley Acute Care Nurse Practitioner Certification Exam Review 2023: Liberty University (172QBank)|Barkley Acute Care Nurse Practitioner Certification Exam 172 Q & A Review 2023 Question Bank
View Document

Barkley Acute Care Nurse Practitioner Certification Exam Review 2023: Liberty University (172QBank)|Barkley Acute Care Nurse Practitioner Certification Exam 172 Q & A Review 2023 Question Bank

  • studypal

    studypal

  • questions & answers

Barkley Acute Care Nurse Practitioner Certification Exam Review 2023: Liberty University (172QBank)|Barkley Acute Care N...

14 USD

0

0

CBSPD FINAL EXAM LATEST 2023-2024 REAL EXAM 100+ QUESTIONS AND CORRECT  ANSWERS|AGRADE(BRAND NEW!!)   The main role of the Sterile Processing area is to..
View Document

CBSPD FINAL EXAM LATEST 2023-2024 REAL EXAM 100+ QUESTIONS AND CORRECT ANSWERS|AGRADE(BRAND NEW!!) The main role of the Sterile Processing area is to..

  • DRDMG

    DRDMG

  • study guide

CBSPD FINAL EXAM LATEST 2023-2024 REAL EXAM 100+ QUESTIONS AND CORRECT ANSWERS|AGRADE(BRAND NEW!!) The main role of t...

10 USD

0

0

New Jersey Real Estate Practice Test for Final Exam 2026 Exams of Real Estate Management
View Document

New Jersey Real Estate Practice Test for Final Exam 2026 Exams of Real Estate Management

  • Namwaki

    Namwaki

  • exam

New Jersey Real Estate Practice Test for Final Exam 2025 Exams of Real Estate Management...

7 USD

0

0

NAPSRx® Final Exam Solutions 2026
View Document

NAPSRx® Final Exam Solutions 2026

  • Namwaki

    Namwaki

  • exam

NAPSRx® Final Exam Solutions 2025...

7 USD

0

0

Medical-Surgical RN A Prophecy Test, Relias Learning Answered 2026, Latest Exams of Nursing
View Document

Medical-Surgical RN A Prophecy Test, Relias Learning Answered 2026, Latest Exams of Nursing

  • Namwaki

    Namwaki

  • exam

Medical-Surgical RN A Prophecy Test, Relias Learning Answered 2025, Latest Exams of Nursing...

7 USD

0

0

Florida Laws & Rules (Dental Exam ADEX CDCA) Complete Study Review Guide 2026, Exams of Dental surgery
View Document

Florida Laws & Rules (Dental Exam ADEX CDCA) Complete Study Review Guide 2026, Exams of Dental surgery

  • Namwaki

    Namwaki

  • exam

Florida Laws & Rules (Dental Exam ADEX CDCA) Complete Study Review Guide 2025, Exams of Dental surgery...

7 USD

0

0

EMT FISDAP Final Exam, Exams of Nursing with Questions and Answers New!!!
View Document

EMT FISDAP Final Exam, Exams of Nursing with Questions and Answers New!!!

  • Namwaki

    Namwaki

  • exam

EMT FISDAP Final Exam, Exams of Nursing with Questions and Answers New!!!...

7 USD

0

0

EMT Final Exam Latest (Questions and Answers), Exams of Nursing 2026
View Document

EMT Final Exam Latest (Questions and Answers), Exams of Nursing 2026

  • Namwaki

    Namwaki

  • exam

EMT Final Exam Latest (Questions and Answers), Exams of Nursing 2025...

7 USD

0

0

EPPP ETHICS REAL EXAM QUESTIONS AND ANSWERS 100% ACCURATE
View Document

EPPP ETHICS REAL EXAM QUESTIONS AND ANSWERS 100% ACCURATE

  • studypal

    studypal

  • questions & answers

EPPP ETHICS REAL EXAM QUESTIONS AND ANSWERS 100% ACCURATE...

10 USD

0

0

FUNDAMENTALS PROCTORED EXAM 2023-2024 RETAKE 100 Percent COMPLETE GRADED A+ QUESTIONS WITH DETAILED VERIFIED ANSWERS
View Document

FUNDAMENTALS PROCTORED EXAM 2023-2024 RETAKE 100 Percent COMPLETE GRADED A+ QUESTIONS WITH DETAILED VERIFIED ANSWERS

  • beatricemwash

    beatricemwash

  • questions & answers

FUNDAMENTALS PROCTORED EXAM 2023-2024 RETAKE 100 Percent COMPLETE GRADED A+ QUESTIONS WITH DETAILED VERIFIED ANSWERS –...

14 USD

0

0

ALREADY GRADED TNCC FINAL EXAM TEST 2025/2026 OPEN BOOK Complete With Verified Answers
View Document

ALREADY GRADED TNCC FINAL EXAM TEST 2025/2026 OPEN BOOK Complete With Verified Answers

  • beatricemwash

    beatricemwash

  • questions & answers

ALREADY GRADED TNCC FINAL EXAM TEST 2025/2026 OPEN BOOK Complete With Verified Answers – Download PDF...

12 USD

0

0

COMPLETE NURS 6521 Final Exam ( 2023, 2024) (70+Q & A )100 Percent GRADED A+ WITH DETAILED Ex VERIFIED ANSWERS
View Document

COMPLETE NURS 6521 Final Exam ( 2023, 2024) (70+Q & A )100 Percent GRADED A+ WITH DETAILED Ex VERIFIED ANSWERS

  • beatricemwash

    beatricemwash

  • questions & answers

COMPLETE NURS 6521 Final Exam ( 2023, 2024) (70+Q & A )100 Percent GRADED A+ WITH DETAILED Ex VERIFIED ANSWERS – Downl...

13 USD

0

0

NRNP 6675 FINAL EXAM SPRING
View Document

NRNP 6675 FINAL EXAM SPRING

  • Tax

    Tax

  • exam

NRNP 6675 FINAL EXAM SPRING...

10 USD

0

0

HESI A2 EXIT EXAM 2024 | 2026 CHAMBERLIN UNIVERSITY LATEST EXAM {A+ GRADED GUARANTEED} ACTUAL SCREEN SHOTS
View Document

HESI A2 EXIT EXAM 2024 | 2026 CHAMBERLIN UNIVERSITY LATEST EXAM {A+ GRADED GUARANTEED} ACTUAL SCREEN SHOTS

  • Tax

    Tax

  • hesi

HESI A2 EXIT EXAM 2024 | 2025 CHAMBERLIN UNIVERSITY LATEST EXAM {A+ GRADED GUARANTEED} ACTUAL SCREEN SHOTS...

10 USD

0

0

NREMT Practice Questions and Answers
View Document

NREMT Practice Questions and Answers

  • Tax

    Tax

  • exam

NREMT Practice Questions and Answers...

10 USD

0

0

CAMRT Exam Questions and Answers 2024 (A+ GRADED)
View Document

CAMRT Exam Questions and Answers 2024 (A+ GRADED)

  • Tax

    Tax

  • exam

CAMRT Exam Questions and Answers 2024 (A+ GRADED)...

10 USD

0

0

ATI PEDIATRIC EXAM | 2024 PEDIATRIC ATI PROCTORED QUESTIONS AND CORRECT ANSWERS WITH EXPLANATIONS (DETAILED ANSWERS) COMPLETE EXAM | A GRADE
View Document

ATI PEDIATRIC EXAM | 2024 PEDIATRIC ATI PROCTORED QUESTIONS AND CORRECT ANSWERS WITH EXPLANATIONS (DETAILED ANSWERS) COMPLETE EXAM | A GRADE

  • Tax

    Tax

  • ati

ATI PEDIATRIC EXAM | 2024 PEDIATRIC ATI PROCTORED QUESTIONS AND CORRECT ANSWERS WITH EXPLANATIONS (DETAILED ANSWERS) COM...

12 USD

0

0

ATI STUDY GUIDE 6,7,8 EXAM | 2024 | ATI STUDY GUIDE QUESTIONS AND CORRECT ANSWERS (DETAILED ANSWERS)
View Document

ATI STUDY GUIDE 6,7,8 EXAM | 2024 | ATI STUDY GUIDE QUESTIONS AND CORRECT ANSWERS (DETAILED ANSWERS)

  • Tax

    Tax

  • ati

ATI STUDY GUIDE 6,7,8 EXAM | 2024 | ATI STUDY GUIDE QUESTIONS AND CORRECT ANSWERS (DETAILED ANSWERS)...

12 USD

0

0

PUBH 302 Exam 3 Study Guide DOWNLOAD
View Document

PUBH 302 Exam 3 Study Guide DOWNLOAD

  • studypal

    studypal

  • study guide

PUBH 302 Exam 3 Study Guide DOWNLOAD – Download PDF...

12 USD

0

0

NR 503-MIDTERM EXAM QUESTIONS WITH VERIFIED  RATIONALES LATEST 2024 ALREADY GRADED A+NR 503-MIDTERM EXAM QUESTIONS WITH VERIFIED  RATIONALES LATEST 2024 ALREADY GRADED A+
View Document

NR 503-MIDTERM EXAM QUESTIONS WITH VERIFIED RATIONALES LATEST 2024 ALREADY GRADED A+NR 503-MIDTERM EXAM QUESTIONS WITH VERIFIED RATIONALES LATEST 2024 ALREADY GRADED A+

  • beatricemwash

    beatricemwash

  • questions & answers

NR 503-MIDTERM EXAM QUESTIONS WITH VERIFIED RATIONALES LATEST 2024 ALREADY GRADED A+NR 503-MIDTERM EXAM QUESTIONS WITH ...

9 USD

0

0

CERTIFIED PARAOPTOMETRIC CODER EXAM  QUESTIONS AND ANSWERS LATEST GUIDE  2024 | 2026 (ALREADY GRADED A+)
View Document

CERTIFIED PARAOPTOMETRIC CODER EXAM QUESTIONS AND ANSWERS LATEST GUIDE 2024 | 2026 (ALREADY GRADED A+)

  • Hp24

    Hp24

  • questions & answers

CERTIFIED PARAOPTOMETRIC CODER EXAM QUESTIONS AND ANSWERS LATEST GUIDE 2024 | 2025 (ALREADY GRADED A+) – Download PD...

15 USD

0

0

HCCA - CHC EXAM STUDY PACK 2024 –ACTUAL  EXAM QUESTIONS WITH 100 Percent VERIFIED  SOLUTIONS-LATEST UPDATE | A+ GRADE
View Document

HCCA - CHC EXAM STUDY PACK 2024 –ACTUAL EXAM QUESTIONS WITH 100 Percent VERIFIED SOLUTIONS-LATEST UPDATE | A+ GRADE

  • Hp24

    Hp24

  • questions & answers

HCCA - CHC EXAM STUDY PACK 2024 –ACTUAL EXAM QUESTIONS WITH 100 Percent VERIFIED SOLUTIONS-LATEST UPDATE | A+ GRADE ...

15 USD

0

0

ISSA Trainer Certification Exam Questions and Answers 2024
View Document

ISSA Trainer Certification Exam Questions and Answers 2024

  • Opati-Kaka

    Opati-Kaka

  • exam

ISSA Trainer Certification Exam Questions and Answers 2024...

5 USD

0

0

ISSA Personal Trainer Certification Commonly Asked Questions During Exams
View Document

ISSA Personal Trainer Certification Commonly Asked Questions During Exams

  • Opati-Kaka

    Opati-Kaka

  • exam

ISSA Personal Trainer Certification Commonly Asked Questions During Exams...

5 USD

0

0

ISSA Final Exam Questions and Answers 2024
View Document

ISSA Final Exam Questions and Answers 2024

  • Opati-Kaka

    Opati-Kaka

  • exam

ISSA Final Exam Questions and Answers 2024...

5 USD

0

0

ISSA Final Exam Practice Questions and Answers Latest 2024
View Document

ISSA Final Exam Practice Questions and Answers Latest 2024

  • Opati-Kaka

    Opati-Kaka

  • exam

ISSA Final Exam Practice Questions and Answers Latest 2024...

6 USD

0

0

ISSA Final Exam Latest Version 1 & 2 with Answers 2024
View Document

ISSA Final Exam Latest Version 1 & 2 with Answers 2024

  • Opati-Kaka

    Opati-Kaka

  • exam

ISSA Final Exam Latest Version 1 & 2 with Answers 2024...

5 USD

0

0

ISSA Final Exam Cheat Sheet 2024
View Document

ISSA Final Exam Cheat Sheet 2024

  • Opati-Kaka

    Opati-Kaka

  • exam

ISSA Final Exam Cheat Sheet 2024...

6 USD

0

0

HIPPA Final Exam Questions and Answers 2026
View Document

HIPPA Final Exam Questions and Answers 2026

  • Namwaki

    Namwaki

  • questions & answers

HIPPA Final Exam Questions and Answers 2025...

6 USD

0

0

HIPAA Exam Questions and Answers
View Document

HIPAA Exam Questions and Answers

  • Namwaki

    Namwaki

  • questions & answers

HIPAA Exam Questions and Answers...

6 USD

0

0

NFPT Exam Review Questions and Answers Present
View Document

NFPT Exam Review Questions and Answers Present

  • Namwaki

    Namwaki

  • questions & answers

NFPT Exam Review Questions and Answers Present...

7 USD

0

0

NFPT Exam Practice Test 2 Questions and Answers 2026
View Document

NFPT Exam Practice Test 2 Questions and Answers 2026

  • Namwaki

    Namwaki

  • questions & answers

NFPT Exam Practice Test 2 Questions and Answers 2025...

6 USD

0

0

NFPT Commonly Tested Exam Questions with Answers
View Document

NFPT Commonly Tested Exam Questions with Answers

  • Namwaki

    Namwaki

  • questions & answers

NFPT Commonly Tested Exam Questions with Answers...

8 USD

0

0

Best NFPT Exam Review for 2024 Test
View Document

Best NFPT Exam Review for 2024 Test

  • Namwaki

    Namwaki

  • questions & answers

Best NFPT Exam Review for 2024 Test...

8 USD

0

0

2024 NFPT Real Exam with Answers
View Document

2024 NFPT Real Exam with Answers

  • Namwaki

    Namwaki

  • questions & answers

2024 NFPT Real Exam with Answers...

7 USD

0

0

Biology 105 – Human Biology Practice Midterm Exam 1 Questions and Answers 2024
View Document

Biology 105 – Human Biology Practice Midterm Exam 1 Questions and Answers 2024

  • Eddah-Nafula

    Eddah-Nafula

  • test bank

Biology 105 – Human Biology Practice Midterm Exam 1 Questions and Answers 2024...

12 USD

0

0

Important Examined terms in AIC 300 Exam Explained
View Document

Important Examined terms in AIC 300 Exam Explained

  • Kaponga

    Kaponga

  • exam

Important Examined terms in AIC 300 Exam Explained...

7 USD

0

0

AIC 300 Final Exam Solutions 2024
View Document

AIC 300 Final Exam Solutions 2024

  • Kaponga

    Kaponga

  • exam

AIC 300 Final Exam Solutions 2024...

6 USD

0

0

AIC 300 Exam Questions and Answers 2024
View Document

AIC 300 Exam Questions and Answers 2024

  • Kaponga

    Kaponga

  • exam

AIC 300 Exam Questions and Answers 2024...

5 USD

0

0

AIC 300 Best Exam Review Guide
View Document

AIC 300 Best Exam Review Guide

  • Kaponga

    Kaponga

  • exam

AIC 300 Best Exam Review Guide...

7 USD

0

0

NRNP 6531 Week 11 Final Exam 2024 3 LATEST VERSIONS
View Document

NRNP 6531 Week 11 Final Exam 2024 3 LATEST VERSIONS

  • Highergrades

    Highergrades

  • study guide

NRNP 6531 Week 11 Final Exam 2024 3 LATEST VERSIONS...

18 USD

0

0

AANP FNP CERTIFICATION EXAM QUESTIONS AND CORRECT ANSWERS LATEST  2024
View Document

AANP FNP CERTIFICATION EXAM QUESTIONS AND CORRECT ANSWERS LATEST 2024

  • Highergrades

    Highergrades

  • study guide

AANP FNP CERTIFICATION EXAM QUESTIONS AND CORRECT ANSWERS LATEST 2024...

16 USD

0

0

AANP FNP Certification Exam 2024 with Verified Solutions
View Document

AANP FNP Certification Exam 2024 with Verified Solutions

  • Highergrades

    Highergrades

  • study guide

AANP FNP Certification Exam 2024 with Verified Solutions...

18 USD

0

0

PSY 368 ABNORMAL PSYCHOLOGY EXAM  2 2024
View Document

PSY 368 ABNORMAL PSYCHOLOGY EXAM 2 2024

  • Highergrades

    Highergrades

  • study guide

PSY 368 ABNORMAL PSYCHOLOGY EXAM 2 2024...

17 USD

0

0

NCLEX-RN EXAM REVIEW QUESTIONS AND VERIFIED ANSWERS 100% 2024
View Document

NCLEX-RN EXAM REVIEW QUESTIONS AND VERIFIED ANSWERS 100% 2024

  • Highergrades

    Highergrades

  • study guide

NCLEX-RN EXAM REVIEW QUESTIONS AND VERIFIED ANSWERS 100% 2024...

18 USD

0

0

PMHNP ANCC EXAM REVIEW QUESTIONS AND VERIFIED ANSWERS
View Document

PMHNP ANCC EXAM REVIEW QUESTIONS AND VERIFIED ANSWERS

  • Highergrades

    Highergrades

  • study guide

PMHNP ANCC EXAM REVIEW QUESTIONS AND VERIFIED ANSWERS...

14 USD

0

0

hesi-exit-v2-exam-160-c0-rrectly-answered-questions-latest-2022
View Document

hesi-exit-v2-exam-160-c0-rrectly-answered-questions-latest-2022

  • TITUS

    TITUS

  • exam

hesi-exit-v2-exam-160-c0-rrectly-answered-questions-latest-2022...

20 USD

0

0

Hawaii Notary Exam-with 100% verified solutions-2023- 2024
View Document

Hawaii Notary Exam-with 100% verified solutions-2023- 2024

  • Marietutor

    Marietutor

  • ati

Hawaii Notary Exam-with 100% verified solutions-2023- 2024...

12 USD

0

0

CHAPTER 1. THE ROLE OF THE NURSE PRACTITIONER EXAM QUESTIONS WITH VERIFIED DETAILED ANSWERS  ALREADY A+ LATEST 2025/2026
View Document

CHAPTER 1. THE ROLE OF THE NURSE PRACTITIONER EXAM QUESTIONS WITH VERIFIED DETAILED ANSWERS ALREADY A+ LATEST 2025/2026

  • beatricemwash

    beatricemwash

  • questions & answers

CHAPTER 1. THE ROLE OF THE NURSE PRACTITIONER EXAM QUESTIONS WITH VERIFIED DETAILED ANSWERS ALREADY A+ LATEST 2025/2026...

10 USD

0

0

HESI 1 | HESI EXIT 2024 COMPREHENSIVE EXAM QUESTIONS AND ANSWERS ALL 160 QUESTIONS AND ANSWERS
View Document

HESI 1 | HESI EXIT 2024 COMPREHENSIVE EXAM QUESTIONS AND ANSWERS ALL 160 QUESTIONS AND ANSWERS

  • Tax

    Tax

  • hesi

HESI 1 | HESI EXIT 2024 COMPREHENSIVE EXAM QUESTIONS AND ANSWERS ALL 160 QUESTIONS AND ANSWERS...

10 USD

0

0

EDF 6221 Exam 1and 2 with 100% Verified Solutions 2024
View Document

EDF 6221 Exam 1and 2 with 100% Verified Solutions 2024

  • Highergrades

    Highergrades

  • study guide

EDF 6221 Exam 1and 2 with 100% Verified Solutions 2024...

15 USD

0

0

CPCS Exam With 100% Verified Questions and Answers 2024
View Document

CPCS Exam With 100% Verified Questions and Answers 2024

  • Highergrades

    Highergrades

  • study guide

CPCS Exam With 100% Verified Questions and Answers 2024...

21 USD

0

0

RN ATI MATERNAL NEWBORN PROCTORED EXAM LATEST MULTIPLE VERSIONS 100% CORRECT ANSWERS
View Document

RN ATI MATERNAL NEWBORN PROCTORED EXAM LATEST MULTIPLE VERSIONS 100% CORRECT ANSWERS

  • Highergrades

    Highergrades

  • study guide

RN ATI MATERNAL NEWBORN PROCTORED EXAM LATEST MULTIPLE VERSIONS 100% CORRECT ANSWERS...

27 USD

0

0

Esthetics State Board Exam: Texas 2024 (Real Exam)
View Document

Esthetics State Board Exam: Texas 2024 (Real Exam)

  • mentor2000

    mentor2000

  • exam

Download the Esthetics State Board Exam real exam solved copy with actual past questions and verified answers. Pass your...

8 USD

0

0

Texas Esthetician Written State Board Exam Practice Questions and Answers
View Document

Texas Esthetician Written State Board Exam Practice Questions and Answers

  • mentor2000

    mentor2000

  • exam

Texas Esthetician Written State Board Exam Practice Questions and Answers...

10 USD

0

0

NHA phlebotomy technician exam 2024
View Document

NHA phlebotomy technician exam 2024

  • Tax

    Tax

  • exam

NHA phlebotomy technician exam 2024...

10 USD

0

0

214 Florida Insurance Exam Questions And Answers (Solved)
View Document

214 Florida Insurance Exam Questions And Answers (Solved)

  • studypal

    studypal

  • questions & answers

214 Florida Insurance Exam Questions And Answers (Solved)...

10 USD

0

0

Test Bank for Physical Examination and Health Assessment 9th Edition
View Document

Test Bank for Physical Examination and Health Assessment 9th Edition

  • Highergrades

    Highergrades

  • study guide

Test Bank for Physical Examination and Health Assessment 9th Edition by Carolyn Jarvis, Ann Eckhardt ISBN: 9780323510806...

16 USD

0

0

NRNP 6675 Week 11 Final Exam  LATEST 2022 } 2023 GRADED A+  (Q&A)
View Document

NRNP 6675 Week 11 Final Exam LATEST 2022 } 2023 GRADED A+ (Q&A)

  • Alkseltzer

    Alkseltzer

  • exam

NRNP 6675 Week 11 Final Exam LATEST 2022 } 2023 GRADED A+ (Q&A) – Download PDF...

12 USD

0

0

ATI PN LEADERSHIP PROCTORED EXAM VERSION 1
View Document

ATI PN LEADERSHIP PROCTORED EXAM VERSION 1

  • Alkseltzer

    Alkseltzer

  • exam

ATI PN LEADERSHIP PROCTORED EXAM VERSION 1...

12 USD

0

0

ACA Final Exam questions and answers well elaborated 2023-2024 graded A  LATEST UPDATE
View Document

ACA Final Exam questions and answers well elaborated 2023-2024 graded A LATEST UPDATE

  • Alkseltzer

    Alkseltzer

  • exam

ACA Final Exam questions and answers well elaborated 2023-2024 graded A LATEST UPDATE...

12 USD

0

0

NGN ATI RN NURSING CARE OF CHILDREN  PROCTORED EXAM 2019latest update 2023-2024 QUESTIONS WITH  CORRECT ANSWERS AGRADED
View Document

NGN ATI RN NURSING CARE OF CHILDREN PROCTORED EXAM 2019latest update 2023-2024 QUESTIONS WITH CORRECT ANSWERS AGRADED

  • Alkseltzer

    Alkseltzer

  • exam

NGN ATI RN NURSING CARE OF CHILDREN PROCTORED EXAM 2019latest update 2023-2024 QUESTIONS WITH CORRECT ANSWERS AGRADED...

14 USD

0

0

NY Life, Accident, and Health Insurance  Agent Broker Exam Series 17-55| 200  QUESTIONS| GRADED A
View Document

NY Life, Accident, and Health Insurance Agent Broker Exam Series 17-55| 200 QUESTIONS| GRADED A

  • Alkseltzer

    Alkseltzer

  • exam

NY Life, Accident, and Health Insurance Agent Broker Exam Series 17-55| 200 QUESTIONS| GRADED A – Download PDF...

16 USD

0

0

ATI PHARMACOLOGY PROCTORED EXAM NUR 1023  QUESTIONS AND ANSWERS LATEST UPDATE 2023- 2024 RATED A+.
View Document

ATI PHARMACOLOGY PROCTORED EXAM NUR 1023 QUESTIONS AND ANSWERS LATEST UPDATE 2023- 2024 RATED A+.

  • Alkseltzer

    Alkseltzer

  • exam

ATI PHARMACOLOGY PROCTORED EXAM NUR 1023 QUESTIONS AND ANSWERS LATEST UPDATE 2023- 2024 RATED A+....

14 USD

0

0

NRNP 6675 WEEK 11 FINAL EXAM –ALL 100 QUESTIONS WITH  CORRECT ANSWERS GRADED A.
View Document

NRNP 6675 WEEK 11 FINAL EXAM –ALL 100 QUESTIONS WITH CORRECT ANSWERS GRADED A.

  • Alkseltzer

    Alkseltzer

  • exam

NRNP 6675 WEEK 11 FINAL EXAM –ALL 100 QUESTIONS WITH CORRECT ANSWERS GRADED A....

16 USD

0

0

NRNP 6675 WEEK 11 FINAL EXAM –ALL 100 QUESTIONS WITH  CORRECT ANSWERS GRADED A.
View Document

NRNP 6675 WEEK 11 FINAL EXAM –ALL 100 QUESTIONS WITH CORRECT ANSWERS GRADED A.

  • Alkseltzer

    Alkseltzer

  • exam

NRNP 6675 WEEK 11 FINAL EXAM –ALL 100 QUESTIONS WITH CORRECT ANSWERS GRADED A....

16 USD

0

0

2023 AAPC CPB Final Exam Questions and  Answers (2022, 2023) (Verified Answers)  AGRADE
View Document

2023 AAPC CPB Final Exam Questions and Answers (2022, 2023) (Verified Answers) AGRADE

  • Alkseltzer

    Alkseltzer

  • exam

2023 AAPC CPB Final Exam Questions and Answers (2022, 2023) (Verified Answers) AGRADE – Download PDF...

16 USD

0

0

OCR AS LEVEL JUNE 2022 BIOLOGY A PAPER 1 QUESTION PAPER  Real exam 2023, 2024 update
View Document

OCR AS LEVEL JUNE 2022 BIOLOGY A PAPER 1 QUESTION PAPER Real exam 2023, 2024 update

  • Alkseltzer

    Alkseltzer

  • exam

OCR AS LEVEL JUNE 2022 BIOLOGY A PAPER 1 QUESTION PAPER Real exam 2023, 2024 update – Download PDF...

13 USD

0

0

NR 341 NR341 COMPLEX ADULT HEALTH  EXAM 1 LATEST 2023-2024 REAL EXAM  QUESTIONS AND CORRECT  ANSWERS|AGRADE .
View Document

NR 341 NR341 COMPLEX ADULT HEALTH EXAM 1 LATEST 2023-2024 REAL EXAM QUESTIONS AND CORRECT ANSWERS|AGRADE .

  • Alkseltzer

    Alkseltzer

  • exam

NR 341 NR341 COMPLEX ADULT HEALTH EXAM 1 LATEST 2023-2024 REAL EXAM QUESTIONS AND CORRECT ANSWERS|AGRADE . – Downlo...

15 USD

0

0

NRNP 6675-15 WEEK 6 MIDTERM EXAM WITH 100 PERCENT VERIFIED ANSWERS.
View Document

NRNP 6675-15 WEEK 6 MIDTERM EXAM WITH 100 PERCENT VERIFIED ANSWERS.

  • Alkseltzer

    Alkseltzer

  • exam

NRNP 6675-15 WEEK 6 MIDTERM EXAM WITH 100 PERCENT VERIFIED ANSWERS....

11 USD

0

0

Maryville NURS 620 Exam 3 Maryville NURS 620  Exam 3 with complete solution latest 2022, 2023  graded A
View Document

Maryville NURS 620 Exam 3 Maryville NURS 620 Exam 3 with complete solution latest 2022, 2023 graded A

  • Alkseltzer

    Alkseltzer

  • exam

Maryville NURS 620 Exam 3 Maryville NURS 620 Exam 3 with complete solution latest 2022, 2023 graded A – Download PDF...

9 USD

0

0

ATI MED –SURGE PROCTORED 2023-2024 EXAM QUESTIONS AND CORRECT ANSWERS TESTBANK GRADED A+
View Document

ATI MED –SURGE PROCTORED 2023-2024 EXAM QUESTIONS AND CORRECT ANSWERS TESTBANK GRADED A+

  • Alkseltzer

    Alkseltzer

  • exam

ATI MED –SURGE PROCTORED 2023-2024 EXAM QUESTIONS AND CORRECT ANSWERS TESTBANK GRADED A+...

81 USD

0

0

NRNP 6675-15; NRNP 6675 Week 6  Midterm Exam 2022, 23  solved - Graded A+.
View Document

NRNP 6675-15; NRNP 6675 Week 6 Midterm Exam 2022, 23 solved - Graded A+.

  • Alkseltzer

    Alkseltzer

  • exam

NRNP 6675-15; NRNP 6675 Week 6 Midterm Exam 2022, 23 solved - Graded A+. – Download PDF...

17 USD

0

0

PSI Life, Accident, Health Practice Exam 2023- 2024Questions AND ANSWERS|  GRADED A (210 QUESTIONS)
View Document

PSI Life, Accident, Health Practice Exam 2023- 2024Questions AND ANSWERS| GRADED A (210 QUESTIONS)

  • Alkseltzer

    Alkseltzer

  • exam

PSI Life, Accident, Health Practice Exam 2023- 2024Questions AND ANSWERS| GRADED A (210 QUESTIONS)...

16 USD

0

0

NEW!!! Texas all lines adjuster exam | 378  Questions with 100% Correct Answers  GRADEDA+
View Document

NEW!!! Texas all lines adjuster exam | 378 Questions with 100% Correct Answers GRADEDA+

  • Alkseltzer

    Alkseltzer

  • exam

NEW!!! Texas all lines adjuster exam | 378 Questions with 100% Correct Answers GRADEDA+...

16 USD

0

0

ATLS Pre-Test & post exam2023-2024 questions and  answers .
View Document

ATLS Pre-Test & post exam2023-2024 questions and answers .

  • Alkseltzer

    Alkseltzer

  • exam

ATLS Pre-Test & post exam2023-2024 questions and answers ....

17 USD

0

0

Test Bank for Bates’ Guide to Physical Examination 13th Ed | Verified with Explanations
View Document

Test Bank for Bates’ Guide to Physical Examination 13th Ed | Verified with Explanations

  • SantoKim

    SantoKim

  • test bank

Ace your exams with this complete test bank for Bates’ Guide to Physical Examination and History Taking (13th ed.). In...

15 USD

0

1

CDA EXAM LATEST 2023 REAL EXAM 150QUESTIONS AND CORRECT ANSWERS (VERIFIED ANSWERS) AGRADE  Ms. Hart walks toddlers through the neighborhood several times a week. Which strategy makes for the best learning experience?
View Document

CDA EXAM LATEST 2023 REAL EXAM 150QUESTIONS AND CORRECT ANSWERS (VERIFIED ANSWERS) AGRADE Ms. Hart walks toddlers through the neighborhood several times a week. Which strategy makes for the best learning experience?

  • DRDMG

    DRDMG

  • questions & answers

CDA EXAM LATEST 2023 REAL EXAM 150QUESTIONS AND CORRECT ANSWERS (VERIFIED ANSWERS) AGRADE Ms. Hart walks toddlers throu...

12 USD

0

0

CBSPD FINAL EXAM LATEST 2023-2024 REAL EXAM 100+ QUESTIONS AND CORRECT  ANSWERS|AGRADE(BRAND NEW!!)   The Occupational Safety and Health Administrations Hazard Communication Standard requires that a SDS (Safety Data Sheet) must be available for..
View Document

CBSPD FINAL EXAM LATEST 2023-2024 REAL EXAM 100+ QUESTIONS AND CORRECT ANSWERS|AGRADE(BRAND NEW!!) The Occupational Safety and Health Administrations Hazard Communication Standard requires that a SDS (Safety Data Sheet) must be available for..

  • DRDMG

    DRDMG

  • questions & answers

CBSPD FINAL EXAM LATEST 2023-2024 REAL EXAM 100+ QUESTIONS AND CORRECT ANSWERS|AGRADE(BRAND NEW!!) The Occupational S...

12 USD

0

0

NURS 629 Exam 2 MVU REAL 2023- 2024Latest Questions And Answers  GRADED A+
View Document

NURS 629 Exam 2 MVU REAL 2023- 2024Latest Questions And Answers GRADED A+

  • Alkseltzer

    Alkseltzer

  • exam

NURS 629 Exam 2 MVU REAL 2023- 2024Latest Questions And Answers GRADED A+...

15 USD

0

0

NGN ATI MED –SURG PROCTORED MAY 2023 EXAM LATEST UPDATE GRADED A+
View Document

NGN ATI MED –SURG PROCTORED MAY 2023 EXAM LATEST UPDATE GRADED A+

  • Alkseltzer

    Alkseltzer

  • exam

NGN ATI MED –SURG PROCTORED MAY 2023 EXAM LATEST UPDATE GRADED A+...

18 USD

0

0

ATI MATERNAL NEWBORN NUR 412 PROCTORED TESTBANK  2022, 2023 EXAM REVIEW Questions & Answers Study Guide A+  Grade | SOLVED .
View Document

ATI MATERNAL NEWBORN NUR 412 PROCTORED TESTBANK 2022, 2023 EXAM REVIEW Questions & Answers Study Guide A+ Grade | SOLVED .

  • Alkseltzer

    Alkseltzer

  • exam

ATI MATERNAL NEWBORN NUR 412 PROCTORED TESTBANK 2022, 2023 EXAM REVIEW Questions & Answers Study Guide A+ Grade | SOLV...

31 USD

0

0

NURS 620 Adult 1 Exam 2 Maryville- Questions  and Answers 2023-2024 A GRADED .
View Document

NURS 620 Adult 1 Exam 2 Maryville- Questions and Answers 2023-2024 A GRADED .

  • Alkseltzer

    Alkseltzer

  • exam

NURS 620 Adult 1 Exam 2 Maryville- Questions and Answers 2023-2024 A GRADED ....

15 USD

0

0

Maryville NURS 620 Exam 4 Questions and  answers latest 2023&2024 .
View Document

Maryville NURS 620 Exam 4 Questions and answers latest 2023&2024 .

  • Alkseltzer

    Alkseltzer

  • exam

Maryville NURS 620 Exam 4 Questions and answers latest 2023&2024 ....

12 USD

0

0

NCC Electronic Fetal Monitoring  Certification Exam Questions and Answers  (2022, 2023) (Verified Answers) .
View Document

NCC Electronic Fetal Monitoring Certification Exam Questions and Answers (2022, 2023) (Verified Answers) .

  • Alkseltzer

    Alkseltzer

  • exam

NCC Electronic Fetal Monitoring Certification Exam Questions and Answers (2022, 2023) (Verified Answers) . – Downloa...

20 USD

0

0

ARRT Registry Exam review rated 100 %
View Document

ARRT Registry Exam review rated 100 %

  • Alkseltzer

    Alkseltzer

  • exam

ARRT Registry Exam review rated 100 % – Download PDF...

18 USD

0

0

ATI TEAS 7 SCIENCE (ACTUAL SCREENSHOT AND Q&A EXAMS  TESTED2023)
View Document

ATI TEAS 7 SCIENCE (ACTUAL SCREENSHOT AND Q&A EXAMS TESTED2023)

  • Alkseltzer

    Alkseltzer

  • exam

ATI TEAS 7 SCIENCE (ACTUAL SCREENSHOT AND Q&A EXAMS TESTED2023)...

10 USD

0

0

ď‚· HESI RN EXIT EXAM LEGACY V1  2022-2023 QUESTIONS&ANSWERS  GRADED A
View Document

ď‚· HESI RN EXIT EXAM LEGACY V1 2022-2023 QUESTIONS&ANSWERS GRADED A

  • Alkseltzer

    Alkseltzer

  • exam

ď‚· HESI RN EXIT EXAM LEGACY V1 2022-2023 QUESTIONS&ANSWERS GRADED A...

19 USD

0

0

RECA RESIDENTIAL EXAM 2023-2024 ACTUAL  EXAM 200+ QUESTIONS AND DETAILED  ANSWERS
View Document

RECA RESIDENTIAL EXAM 2023-2024 ACTUAL EXAM 200+ QUESTIONS AND DETAILED ANSWERS

  • Alkseltzer

    Alkseltzer

  • exam

RECA RESIDENTIAL EXAM 2023-2024 ACTUAL EXAM 200+ QUESTIONS AND DETAILED ANSWERS...

18 USD

0

0

PMHP ANCC EXAM LATEST VERIFIED A+ 2022
View Document

PMHP ANCC EXAM LATEST VERIFIED A+ 2022

  • Alkseltzer

    Alkseltzer

  • exam

PMHP ANCC EXAM LATEST VERIFIED A+ 2022...

14 USD

0

0

PMHNP CERTIFICATION EXAM 2022 ACTUAL  TEST VERIFIED A+.
View Document

PMHNP CERTIFICATION EXAM 2022 ACTUAL TEST VERIFIED A+.

  • Alkseltzer

    Alkseltzer

  • exam

PMHNP CERTIFICATION EXAM 2022 ACTUAL TEST VERIFIED A+....

17 USD

0

0

AHIP FINAL EXAM TEST QUESTIONS AND ANSWERS (2023 2024)  (VERIFIED ANSWERS)
View Document

AHIP FINAL EXAM TEST QUESTIONS AND ANSWERS (2023 2024) (VERIFIED ANSWERS)

  • Alkseltzer

    Alkseltzer

  • exam

AHIP FINAL EXAM TEST QUESTIONS AND ANSWERS (2023 2024) (VERIFIED ANSWERS) – Download PDF...

18 USD

0

0

ATI COMPREHENSIVE PREDICTOR RETAKE 2023-2024 APRIL EXAM LATEST UPDATE  GRADED A
View Document

ATI COMPREHENSIVE PREDICTOR RETAKE 2023-2024 APRIL EXAM LATEST UPDATE GRADED A

  • Alkseltzer

    Alkseltzer

  • exam

ATI COMPREHENSIVE PREDICTOR RETAKE 2023-2024 APRIL EXAM LATEST UPDATE GRADED A...

17 USD

0

0

HESI PN Med Surge Proctored Exam Verified 100 Percent Correct Questions and Answers | Complete Document for HESI (14 Versions Test Bank)
View Document

HESI PN Med Surge Proctored Exam Verified 100 Percent Correct Questions and Answers | Complete Document for HESI (14 Versions Test Bank)

  • Alkseltzer

    Alkseltzer

  • exam

HESI PN Med Surge Proctored Exam Verified 100 Percent Correct Questions and Answers –Complete Document for HESI (14 Ve...

20 USD

0

0

NUR 212 MIDTERM EXAM NUR 212 LATEST 2023 – QUESTIONS AND CORRECT ANSWERS GRADED A+ 2023  UPDATE
View Document

NUR 212 MIDTERM EXAM NUR 212 LATEST 2023 – QUESTIONS AND CORRECT ANSWERS GRADED A+ 2023 UPDATE

  • Alkseltzer

    Alkseltzer

  • exam

NUR 212 MIDTERM EXAM NUR 212 LATEST 2023 – QUESTIONS AND CORRECT ANSWERS GRADED A+ 2023 UPDATE...

18 USD

0

0

NUR 2356 \NUR2356 MULTIDIMENSIONAL CARE 1 EXAM 2\ MDC 1 EXAM 2 FINAL  REVIEW HIGHLY RATED COMPLETE GUIDE –LATEST FALL - RASMUSSEN  COLLEGE
View Document

NUR 2356 \NUR2356 MULTIDIMENSIONAL CARE 1 EXAM 2\ MDC 1 EXAM 2 FINAL REVIEW HIGHLY RATED COMPLETE GUIDE –LATEST FALL - RASMUSSEN COLLEGE

  • Alkseltzer

    Alkseltzer

  • exam

NUR 2356 \NUR2356 MULTIDIMENSIONAL CARE 1 EXAM 2\ MDC 1 EXAM 2 FINAL REVIEW HIGHLY RATED COMPLETE GUIDE –LATEST FALL ...

16 USD

0

0

ADVANCED HEALTH  ASSESMENT –NR509 –APRIL  2018.-FOCUSED EXAM;  COUGH RESULTS\ TURNED IN
View Document

ADVANCED HEALTH ASSESMENT –NR509 –APRIL 2018.-FOCUSED EXAM; COUGH RESULTS\ TURNED IN

  • Alkseltzer

    Alkseltzer

  • exam

ADVANCED HEALTH ASSESMENT –NR509 –APRIL 2018.-FOCUSED EXAM; COUGH RESULTS\ TURNED IN...

18 USD

0

0

Webce Test Questions Exam With  100% Correct Answers 2023  GRADED A
View Document

Webce Test Questions Exam With 100% Correct Answers 2023 GRADED A

  • Alkseltzer

    Alkseltzer

  • exam

Webce Test Questions Exam With 100% Correct Answers 2023 GRADED A...

18 USD

0

0

2023 ATI MENTAL HEALTH VERSION A , B , C , PROCTORED EXAM
View Document

2023 ATI MENTAL HEALTH VERSION A , B , C , PROCTORED EXAM

  • Alkseltzer

    Alkseltzer

  • exam

Download ATI MENTAL HEALTH VERSION A , B , C , PROCTORED EXAM with questions and answers...

17 USD

0

0

HESI RN FUNDAMENTALS, RN  FUNDAMENTAL EXAM 2 VERSION WITH 70  Q & A 2019 VERSION, A+ GRADE
View Document

HESI RN FUNDAMENTALS, RN FUNDAMENTAL EXAM 2 VERSION WITH 70 Q & A 2019 VERSION, A+ GRADE

  • Alkseltzer

    Alkseltzer

  • exam

HESI RN FUNDAMENTALS, RN FUNDAMENTAL EXAM 2 VERSION WITH 70 Q & A 2019 VERSION, A+ GRADE – Download PDF...

18 USD

0

0

WGU C214 OA Financial Management Retake Exam Questions  and Answers (2022, 2023) (Verified Answers)
View Document

WGU C214 OA Financial Management Retake Exam Questions and Answers (2022, 2023) (Verified Answers)

  • Alkseltzer

    Alkseltzer

  • exam

WGU C214 OA Financial Management Retake Exam Questions and Answers (2022, 2023) (Verified Answers) – Download PDF...

18 USD

0

0

C214 OA Financial Management  Concepts Version Exam with verified answers-2022  gradedA+
View Document

C214 OA Financial Management Concepts Version Exam with verified answers-2022 gradedA+

  • Alkseltzer

    Alkseltzer

  • exam

C214 OA Financial Management Concepts Version Exam with verified answers-2022 gradedA+ – Download PDF...

18 USD

0

0

RELIAS DYSRHYTHMIA  BASIC TEST EXAM 2023 – REAL QUESTIONS AND  ANSWERS.
View Document

RELIAS DYSRHYTHMIA BASIC TEST EXAM 2023 – REAL QUESTIONS AND ANSWERS.

  • Alkseltzer

    Alkseltzer

  • exam

RELIAS DYSRHYTHMIA BASIC TEST EXAM 2023 – REAL QUESTIONS AND ANSWERS....

18 USD

0

0

RECA Residential Exam2023-2024 Questions and  Answers  GRADED A
View Document

RECA Residential Exam2023-2024 Questions and Answers GRADED A

  • Alkseltzer

    Alkseltzer

  • exam

RECA Residential Exam2023-2024 Questions and Answers GRADED A...

17 USD

0

0

AAPC CPC FINAL EXAM 2023-2024 REAL EXAM  WITH  QUESTIONS AND CORRECT ANSWERS(VERIFIED  ANSWERS)|AGARDE
View Document

AAPC CPC FINAL EXAM 2023-2024 REAL EXAM WITH QUESTIONS AND CORRECT ANSWERS(VERIFIED ANSWERS)|AGARDE

  • Alkseltzer

    Alkseltzer

  • exam

AAPC CPC FINAL EXAM 2023-2024 REAL EXAM WITH QUESTIONS AND CORRECT ANSWERS(VERIFIED ANSWERS)|AGARDE...

18 USD

0

0

2023 NEW GENERATION (NGN)ATI RN  ď‚· MATERNAL NEWBORN PROCTORED  2019 NGN (REVISED FULL EXAM).
View Document

2023 NEW GENERATION (NGN)ATI RN ď‚· MATERNAL NEWBORN PROCTORED 2019 NGN (REVISED FULL EXAM).

  • Alkseltzer

    Alkseltzer

  • exam

2023 NEW GENERATION (NGN)ATI RN ď‚· MATERNAL NEWBORN PROCTORED 2019 NGN (REVISED FULL EXAM)....

19 USD

0

0

{NGN}ATI PEDIATRIC EXAM TEST BANK 2019- 2023  EVERYTHING ON ATI PEDIATRICS INCLUDING  NCLEX  QUESTIONS AND CORRECT ANSWERS (BEST  DOCUMENT FOR ATI  PEDS)GRADEd A+
View Document

{NGN}ATI PEDIATRIC EXAM TEST BANK 2019- 2023 EVERYTHING ON ATI PEDIATRICS INCLUDING NCLEX QUESTIONS AND CORRECT ANSWERS (BEST DOCUMENT FOR ATI PEDS)GRADEd A+

  • Alkseltzer

    Alkseltzer

  • exam

{NGN}ATI PEDIATRIC EXAM TEST BANK 2019- 2023 EVERYTHING ON ATI PEDIATRICS INCLUDING NCLEX QUESTIONS AND CORRECT ANSWE...

22 USD

0

0

HESI RN EXIT EXAM LEGACY V2  QUESTIONS & CORRECT ANSWERS  2022- 2023(100% COMPLETE) GRADED A
View Document

HESI RN EXIT EXAM LEGACY V2 QUESTIONS & CORRECT ANSWERS 2022- 2023(100% COMPLETE) GRADED A

  • Alkseltzer

    Alkseltzer

  • exam

HESI RN EXIT EXAM LEGACY V2 QUESTIONS & CORRECT ANSWERS 2022- 2023(100% COMPLETE) GRADED A...

19 USD

0

0

AMLS POST TEST (3 LATEST VERSIONS )2023-2024  ADVANCED MEDICAL LIFE SUPPORT, AMLS PRETEST EXAM(AGRADE) AMLS (Advanced Medical Life Support)
View Document

AMLS POST TEST (3 LATEST VERSIONS )2023-2024 ADVANCED MEDICAL LIFE SUPPORT, AMLS PRETEST EXAM(AGRADE) AMLS (Advanced Medical Life Support)

  • Alkseltzer

    Alkseltzer

  • exam

AMLS POST TEST (3 LATEST VERSIONS )2023-2024 ADVANCED MEDICAL LIFE SUPPORT, AMLS PRETEST EXAM(AGRADE) AMLS (Advanced Me...

19 USD

0

0

AMLS PRE TEST LATEST 2023-2024 REAL EXAM 150  QUESTIONS AND CORRECT ANSWERS | ADVANCED  MEDICAL LIFE SUPPORT, AMLS PRETEST  EXAM(AGRADE)
View Document

AMLS PRE TEST LATEST 2023-2024 REAL EXAM 150 QUESTIONS AND CORRECT ANSWERS | ADVANCED MEDICAL LIFE SUPPORT, AMLS PRETEST EXAM(AGRADE)

  • Alkseltzer

    Alkseltzer

  • exam

AMLS PRE TEST LATEST 2023-2024 REAL EXAM 150 QUESTIONS AND CORRECT ANSWERS | ADVANCED MEDICAL LIFE SUPPORT, AMLS PRETE...

19 USD

0

0

CRCR EXAM TEST BANK LATEST 2023-2024  WITH 400+ QUESTIONS AND CORRECT  ANSWERS (VERIFIED ANSWERS) 100%  COMPLETE
View Document

CRCR EXAM TEST BANK LATEST 2023-2024 WITH 400+ QUESTIONS AND CORRECT ANSWERS (VERIFIED ANSWERS) 100% COMPLETE

  • Alkseltzer

    Alkseltzer

  • exam

CRCR EXAM TEST BANK LATEST 2023-2024 WITH 400+ QUESTIONS AND CORRECT ANSWERS (VERIFIED ANSWERS) 100% COMPLETE...

19 USD

0

0

CRCR EXAM TEST BANK LATEST 2023-2024  WITH 400+ QUESTIONS AND CORRECT  ANSWERS (VERIFIED ANSWERS) 100%  COMPLETE
View Document

CRCR EXAM TEST BANK LATEST 2023-2024 WITH 400+ QUESTIONS AND CORRECT ANSWERS (VERIFIED ANSWERS) 100% COMPLETE

  • Alkseltzer

    Alkseltzer

  • exam

CRCR EXAM TEST BANK LATEST 2023-2024 WITH 400+ QUESTIONS AND CORRECT ANSWERS (VERIFIED ANSWERS) 100% COMPLETE...

24 USD

0

0

FNP PEDIATRIC EXAM TEST BANK 2023- 2024 REAL
View Document

FNP PEDIATRIC EXAM TEST BANK 2023- 2024 REAL

  • Alkseltzer

    Alkseltzer

  • exam

FNP PEDIATRIC EXAM TEST BANK 2023- 2024 REAL...

18 USD

0

0

FNP PEDIATRIC EXAM TEST BANK 2023- 2024 REAL
View Document

FNP PEDIATRIC EXAM TEST BANK 2023- 2024 REAL

  • Alkseltzer

    Alkseltzer

  • exam

FNP PEDIATRIC EXAM TEST BANK 2023- 2024 REAL...

17 USD

0

0

NREMT FINAL EXAM TEST BANK  LATEST  2023-2024 EXAM 370+ QUESTIONS  AND  CORRECT ANSWERS WITH  RATIONALES|AGRADE
View Document

NREMT FINAL EXAM TEST BANK LATEST 2023-2024 EXAM 370+ QUESTIONS AND CORRECT ANSWERS WITH RATIONALES|AGRADE

  • Alkseltzer

    Alkseltzer

  • exam

NREMT FINAL EXAM TEST BANK LATEST 2023-2024 EXAM 370+ QUESTIONS AND CORRECT ANSWERS WITH RATIONALES|AGRADE...

19 USD

0

0

WGU C715 EXAM TEST BANK 300+ QS & ANS  ORGANIZATIONAL  BEHAVIOR LATEST 2023-2024 (VERIFIED  ANSWERS)AGRADE
View Document

WGU C715 EXAM TEST BANK 300+ QS & ANS ORGANIZATIONAL BEHAVIOR LATEST 2023-2024 (VERIFIED ANSWERS)AGRADE

  • Alkseltzer

    Alkseltzer

  • exam

WGU C715 EXAM TEST BANK 300+ QS & ANS ORGANIZATIONAL BEHAVIOR LATEST 2023-2024 (VERIFIED ANSWERS)AGRADE...

19 USD

0

0

NREMT FINAL EXAM TEST BANK  LATEST  2023-2024 EXAM 370+ QUESTIONS  AND  CORRECT ANSWERS WITH  RATIONALES|AGRADE
View Document

NREMT FINAL EXAM TEST BANK LATEST 2023-2024 EXAM 370+ QUESTIONS AND CORRECT ANSWERS WITH RATIONALES|AGRADE

  • Alkseltzer

    Alkseltzer

  • exam

NREMT FINAL EXAM TEST BANK LATEST 2023-2024 EXAM 370+ QUESTIONS AND CORRECT ANSWERS WITH RATIONALES|AGRADE...

19 USD

0

0

Test bank physical examination and health assessment 9th edition by carolyn jarvis ann 2023-2024 Latest Update
View Document

Test bank physical examination and health assessment 9th edition by carolyn jarvis ann 2023-2024 Latest Update

  • PHARMACIA

    PHARMACIA

  • test bank

Test bank physical examination and health assessment 9th edition by carolyn jarvis ann 2023-2024 Latest Update...

17 USD

0

0

FNP Pediatric Exam Test Bank; complete  A+ Questions & Answers
View Document

FNP Pediatric Exam Test Bank; complete A+ Questions & Answers

  • Alkseltzer

    Alkseltzer

  • exam

FNP Pediatric Exam Test Bank; complete A+ Questions & Answers...

19 USD

0

0

FNP Pediatric Exam Test Bank; complete  A+ Questions & Answers
View Document

FNP Pediatric Exam Test Bank; complete A+ Questions & Answers

  • Alkseltzer

    Alkseltzer

  • exam

FNP Pediatric Exam Test Bank; complete A+ Questions & Answers...

17 USD

0

0

WEBCE FINAL EXAM LATEST 2023 REAL EXAM 100  QUESTIONS AND ANSWERS WITH RATIONALES(VERIFIED  ANSWERS)
View Document

WEBCE FINAL EXAM LATEST 2023 REAL EXAM 100 QUESTIONS AND ANSWERS WITH RATIONALES(VERIFIED ANSWERS)

  • Alkseltzer

    Alkseltzer

  • exam

WEBCE FINAL EXAM LATEST 2023 REAL EXAM 100 QUESTIONS AND ANSWERS WITH RATIONALES(VERIFIED ANSWERS)...

19 USD

0

0

RN COMPASS EXIT EXAM V1 HESI RN COMPASS  EXIT  EXAM V1 2023 LATEST UPDATE QUESTION  &ANSWERS .
View Document

RN COMPASS EXIT EXAM V1 HESI RN COMPASS EXIT EXAM V1 2023 LATEST UPDATE QUESTION &ANSWERS .

  • Alkseltzer

    Alkseltzer

  • exam

RN COMPASS EXIT EXAM V1 HESI RN COMPASS EXIT EXAM V1 2023 LATEST UPDATE QUESTION &ANSWERS ....

19 USD

0

0

NR503 FINAL EXAM STUDY GUIDE GRADED 2023, 2024 POPULATION HEALTH, PROJECTS, RESEARCH FOR NURSING
View Document

NR503 FINAL EXAM STUDY GUIDE GRADED 2023, 2024 POPULATION HEALTH, PROJECTS, RESEARCH FOR NURSING

  • Alkseltzer

    Alkseltzer

  • exam

NR503 FINAL EXAM STUDY GUIDE GRADED 2023, 2024 POPULATION HEALTH, PROJECTS, RESEARCH FOR NURSING – Download PDF...

17 USD

0

0

ACLS Real Final Exam.(All answers answered correctly) all graded A LATEST UPDATED 2023 A+
View Document

ACLS Real Final Exam.(All answers answered correctly) all graded A LATEST UPDATED 2023 A+

  • Alkseltzer

    Alkseltzer

  • exam

ACLS Real Final Exam.(All answers answered correctly) all graded A LATEST UPDATED 2023 A+...

17 USD

0

0

ACRP CP FINAL EXAM LATEST 2023 REAL EXAM 150 QUESTIONS  AND CORRECT ANSWERS|AGRADE
View Document

ACRP CP FINAL EXAM LATEST 2023 REAL EXAM 150 QUESTIONS AND CORRECT ANSWERS|AGRADE

  • Alkseltzer

    Alkseltzer

  • exam

ACRP CP FINAL EXAM LATEST 2023 REAL EXAM 150 QUESTIONS AND CORRECT ANSWERS|AGRADE...

15 USD

0

0

ATI COMPREHENSIVE EXIT EXAM WITH NGN LATEST UPDATE 2024 180 QUESTION AND ANSWERS 100% GRADED A+
View Document

ATI COMPREHENSIVE EXIT EXAM WITH NGN LATEST UPDATE 2024 180 QUESTION AND ANSWERS 100% GRADED A+

  • Alkseltzer

    Alkseltzer

  • exam

ATI COMPREHENSIVE EXIT EXAM WITH NGN LATEST UPDATE 2024 180 QUESTION AND ANSWERS 100% GRADED A+...

18 USD

0

0

ATI Comprehensive Predictor Exam 2022
View Document

ATI Comprehensive Predictor Exam 2022

  • Alkseltzer

    Alkseltzer

  • exam

ATI Comprehensive Predictor Exam 2022...

14 USD

0

0

ATI Mental Health Proctored Exam 2019 GRADED A LAST  UPDATED ON 2023 SEPTEMBER
View Document

ATI Mental Health Proctored Exam 2019 GRADED A LAST UPDATED ON 2023 SEPTEMBER

  • Alkseltzer

    Alkseltzer

  • exam

ATI Mental Health Proctored Exam 2019 GRADED A LAST UPDATED ON 2023 SEPTEMBER...

18 USD

0

0

ATI Nutrition proctored 2019 exam question and answers graded A+2024 LATEST UPDATE
View Document

ATI Nutrition proctored 2019 exam question and answers graded A+2024 LATEST UPDATE

  • Alkseltzer

    Alkseltzer

  • exam

ATI Nutrition proctored 2019 exam question and answers graded A+2024 LATEST UPDATE...

19 USD

0

0

ATI Pharmacology proctored exam 2023 2024 complete solution with correct answers latest update 2024
View Document

ATI Pharmacology proctored exam 2023 2024 complete solution with correct answers latest update 2024

  • Alkseltzer

    Alkseltzer

  • exam

ATI Pharmacology proctored exam 2023 2024 complete solution with correct answers latest update 2024 – Download PDF...

18 USD

0

0

ATI RN ATI MATERNAL  NEWBORN PROCTORED  EXAM (36 EXAM SETS), ATI RN EXAMS  2022, LATEST MULTIPLE  VERSIONS .
View Document

ATI RN ATI MATERNAL NEWBORN PROCTORED EXAM (36 EXAM SETS), ATI RN EXAMS 2022, LATEST MULTIPLE VERSIONS .

  • Alkseltzer

    Alkseltzer

  • exam

ATI RN ATI MATERNAL NEWBORN PROCTORED EXAM (36 EXAM SETS), ATI RN EXAMS 2022, LATEST MULTIPLE VERSIONS ....

70 USD

0

0

ATI RN ATI MATERNAL  NEWBORN PROCTORED  EXAM (36 EXAM SETS), ATI RN EXAMS  2022, LATEST MULTIPLE  VERSIONS .
View Document

ATI RN ATI MATERNAL NEWBORN PROCTORED EXAM (36 EXAM SETS), ATI RN EXAMS 2022, LATEST MULTIPLE VERSIONS .

  • Alkseltzer

    Alkseltzer

  • exam

ATI RN ATI MATERNAL NEWBORN PROCTORED EXAM (36 EXAM SETS), ATI RN EXAMS 2022, LATEST MULTIPLE VERSIONS ....

70 USD

0

0

{NGN} ATI Maternal Newborn  Proctored Exam 2023-2024 Retake 2  Questions and Answers (Verified  Answers)
View Document

{NGN} ATI Maternal Newborn Proctored Exam 2023-2024 Retake 2 Questions and Answers (Verified Answers)

  • Alkseltzer

    Alkseltzer

  • exam

{NGN} ATI Maternal Newborn Proctored Exam 2023-2024 Retake 2 Questions and Answers (Verified Answers)...

20 USD

0

0

{NGN}ATI MATERNAL NEWBORN  PROCTORED EXAM RETAKE 2023-2024  Updated 2023 Graded A
View Document

{NGN}ATI MATERNAL NEWBORN PROCTORED EXAM RETAKE 2023-2024 Updated 2023 Graded A

  • Alkseltzer

    Alkseltzer

  • exam

{NGN}ATI MATERNAL NEWBORN PROCTORED EXAM RETAKE 2023-2024 Updated 2023 Graded A...

19 USD

0

0

IBP MYP PERSONAL COURSE PROJECT FOR FINAL EXAM CRITERIA A+
View Document

IBP MYP PERSONAL COURSE PROJECT FOR FINAL EXAM CRITERIA A+

  • TITUS

    TITUS

  • case study

IBP MYP PERSONAL COURSE PROJECT FOR FINAL EXAM CRITERIA A+...

15 USD

0

0

2024 medical terminology for pharm nursing medicine students for exam preparations
View Document

2024 medical terminology for pharm nursing medicine students for exam preparations

  • TITUS

    TITUS

  • questions & answers

2024 medical terminology for pharm nursing medicine students for exam preparations...

15 USD

0

0

NAPSRx FINAL EXAM QUESTIONS AND ANSWERS CNRP 2023 GRADE A+
View Document

NAPSRx FINAL EXAM QUESTIONS AND ANSWERS CNRP 2023 GRADE A+

  • TITUS

    TITUS

  • questions & answers

NAPSRx FINAL EXAM QUESTIONS AND ANSWERS CNRP 2023 GRADE A+...

20 USD

0

0

2023 NAPSRX SPRING EXAM 273 QUESTIONS AND ANSWERS GRADE A+ Revised Attempt
View Document

2023 NAPSRX SPRING EXAM 273 QUESTIONS AND ANSWERS GRADE A+ Revised Attempt

  • TITUS

    TITUS

  • questions & answers

2023 NAPSRX SPRING EXAM 273 QUESTIONS AND ANSWERS GRADE A+ Revised Attempt...

20 USD

0

0

NGN ATI Mental Health Proctored EXAM  2023-2024  WITH NGN GRADED A
View Document

NGN ATI Mental Health Proctored EXAM 2023-2024 WITH NGN GRADED A

  • Alkseltzer

    Alkseltzer

  • exam

NGN ATI Mental Health Proctored EXAM 2023-2024 WITH NGN GRADED A...

21 USD

0

0

NGN ATI Mental Health Proctored EXAM  2023-2024  WITH NGN GRADED A
View Document

NGN ATI Mental Health Proctored EXAM 2023-2024 WITH NGN GRADED A

  • Alkseltzer

    Alkseltzer

  • exam

NGN ATI Mental Health Proctored EXAM 2023-2024 WITH NGN GRADED A...

19 USD

0

0

PEDIATRIC EXAM TEST BANK 2022-2023 EVERYTHING  ON ATI  PEDIATRICS INCLUDING NCLEX QUESTIONS AND  CORRECT  ANSWERS GRADED A+
View Document

PEDIATRIC EXAM TEST BANK 2022-2023 EVERYTHING ON ATI PEDIATRICS INCLUDING NCLEX QUESTIONS AND CORRECT ANSWERS GRADED A+

  • Alkseltzer

    Alkseltzer

  • exam

PEDIATRIC EXAM TEST BANK 2022-2023 EVERYTHING ON ATI PEDIATRICS INCLUDING NCLEX QUESTIONS AND CORRECT ANSWERS GRADED...

19 USD

0

0

PEDIATRIC EXAM TEST BANK 2022-2023 EVERYTHING  ON ATI  PEDIATRICS INCLUDING NCLEX QUESTIONS AND  CORRECT  ANSWERS GRADED A+
View Document

PEDIATRIC EXAM TEST BANK 2022-2023 EVERYTHING ON ATI PEDIATRICS INCLUDING NCLEX QUESTIONS AND CORRECT ANSWERS GRADED A+

  • Alkseltzer

    Alkseltzer

  • exam

PEDIATRIC EXAM TEST BANK 2022-2023 EVERYTHING ON ATI PEDIATRICS INCLUDING NCLEX QUESTIONS AND CORRECT ANSWERS GRADED...

19 USD

0

0

PEDIATRIC EXAM TEST BANK 2022-2023 EVERYTHING  ON ATI  PEDIATRICS INCLUDING NCLEX QUESTIONS AND  CORRECT  ANSWERS GRADED A+
View Document

PEDIATRIC EXAM TEST BANK 2022-2023 EVERYTHING ON ATI PEDIATRICS INCLUDING NCLEX QUESTIONS AND CORRECT ANSWERS GRADED A+

  • Alkseltzer

    Alkseltzer

  • exam

PEDIATRIC EXAM TEST BANK 2022-2023 EVERYTHING ON ATI PEDIATRICS INCLUDING NCLEX QUESTIONS AND CORRECT ANSWERS GRADED...

19 USD

0

0

Texas all lines adjuster exam (Actual  Exam  350+ Questions Correct Answers)  (Recently Updated 2023-2024 Exam)
View Document

Texas all lines adjuster exam (Actual Exam 350+ Questions Correct Answers) (Recently Updated 2023-2024 Exam)

  • Alkseltzer

    Alkseltzer

  • exam

Texas all lines adjuster exam (Actual Exam 350+ Questions Correct Answers) (Recently Updated 2023-2024 Exam)...

21 USD

0

0

HESI Pharmacology V2 (2024) Practice Questions and Answers
View Document

HESI Pharmacology V2 (2024) Practice Questions and Answers

  • Alkseltzer

    Alkseltzer

  • exam

Prepare for your 2024 exams with HESI Pharmacology V2 Practice Questions and Answers. Get expert guidance to master phar...

10 USD

0

0

RN VATI REAL COMPREHENSIVE PREDICTOR 2023-2024 REAL EXAM  180  QUESTIONS AND CORRECT ANSWERS, VATI RN COMPREHENSIVE  PREDICTOR  2023 GRADEDA
View Document

RN VATI REAL COMPREHENSIVE PREDICTOR 2023-2024 REAL EXAM 180 QUESTIONS AND CORRECT ANSWERS, VATI RN COMPREHENSIVE PREDICTOR 2023 GRADEDA

  • Alkseltzer

    Alkseltzer

  • exam

RN VATI REAL COMPREHENSIVE PREDICTOR 2023-2024 REAL EXAM 180 QUESTIONS AND CORRECT ANSWERS, VATI RN COMPREHENSIVE PRE...

18 USD

0

0

NAPRx CNPR Exam Questions and Answers 100% Verified
View Document

NAPRx CNPR Exam Questions and Answers 100% Verified

  • Highergrades

    Highergrades

  • study guide

NAPRx CNPR Exam Questions and Answers 100% Verified...

20 USD

0

0

STRAIGHTERLINE NUTRITION 101 FINAL EXAM  VERIFIED  QUESTIONS AND ANSWERS A+ GRADED
View Document

STRAIGHTERLINE NUTRITION 101 FINAL EXAM VERIFIED QUESTIONS AND ANSWERS A+ GRADED

  • Alkseltzer

    Alkseltzer

  • exam

STRAIGHTERLINE NUTRITION 101 FINAL EXAM VERIFIED QUESTIONS AND ANSWERS A+ GRADED...

19 USD

0

0

RN ATI MATERNAL NEWBORN PROCTORED EXAM (36 EXAM SETS), ATI RN EXAMS 2022,  LATEST MULTIPLE VERSIONS
View Document

RN ATI MATERNAL NEWBORN PROCTORED EXAM (36 EXAM SETS), ATI RN EXAMS 2022, LATEST MULTIPLE VERSIONS

  • Alkseltzer

    Alkseltzer

  • exam

RN ATI MATERNAL NEWBORN PROCTORED EXAM (36 EXAM SETS), ATI RN EXAMS 2022, LATEST MULTIPLE VERSIONS...

53 USD

0

0

2023, 2024 RN HESI EXIT EXAM VERSION 3 (V3) ALL 160 QUESTION AND ANSWERS LATEST UPDATE GRADED A+ GUARANTEED PASS A+
View Document

2023, 2024 RN HESI EXIT EXAM VERSION 3 (V3) ALL 160 QUESTION AND ANSWERS LATEST UPDATE GRADED A+ GUARANTEED PASS A+

  • Alkseltzer

    Alkseltzer

  • exam

2023, 2024 RN HESI EXIT EXAM VERSION 3 (V3) ALL 160 QUESTION AND ANSWERS LATEST UPDATE GRADED A+ GUARANTEED PASS A+ – ...

24 USD

0

0

2023, 2024 RN HESI EXAM VERSION 1 (1) ALL 160 QUISIONS AND ANSWERS AND AS INCLUDED LATEST UPDATE 2023 GRADED A+ GUARANTEED PASS A +
View Document

2023, 2024 RN HESI EXAM VERSION 1 (1) ALL 160 QUISIONS AND ANSWERS AND AS INCLUDED LATEST UPDATE 2023 GRADED A+ GUARANTEED PASS A +

  • Alkseltzer

    Alkseltzer

  • exam

2023, 2024 RN HESI EXAM VERSION 1 (1) ALL 160 QUISIONS AND ANSWERS AND AS INCLUDED LATEST UPDATE 2023 GRADED A+ GUARANTE...

24 USD

0

0

NEW!!! Relias RN Pharmacology Test A  Relias2023 Actual Exam with Questions  and Answers
View Document

NEW!!! Relias RN Pharmacology Test A Relias2023 Actual Exam with Questions and Answers

  • Alkseltzer

    Alkseltzer

  • exam

NEW!!! Relias RN Pharmacology Test A Relias2023 Actual Exam with Questions and Answers...

24 USD

0

0

Relias Dysrhythmia, RELIAS DYSRHYTHMIA BASIC TEST with  all Questions and  Answers (Updated Version) (Actual Exam from Recent Exam)
View Document

Relias Dysrhythmia, RELIAS DYSRHYTHMIA BASIC TEST with all Questions and Answers (Updated Version) (Actual Exam from Recent Exam)

  • Alkseltzer

    Alkseltzer

  • exam

Relias Dysrhythmia, RELIAS DYSRHYTHMIA BASIC TEST with all Questions and Answers (Updated Version) (Actual Exam from R...

19 USD

0

0

RELIAS RN PHARMACOLOGY TEST A ACTUAL EXAM  LATEST 2023-2024, REAL EXAM QUESTIONS AND CORRECT  ANSWERS GRADED A
View Document

RELIAS RN PHARMACOLOGY TEST A ACTUAL EXAM LATEST 2023-2024, REAL EXAM QUESTIONS AND CORRECT ANSWERS GRADED A

  • Alkseltzer

    Alkseltzer

  • exam

RELIAS RN PHARMACOLOGY TEST A ACTUAL EXAM LATEST 2023-2024, REAL EXAM QUESTIONS AND CORRECT ANSWERS GRADED A – Downl...

19 USD

0

0

HESI PN Comprehensive Exam 3 2026 Real Exam Latest Update
View Document

HESI PN Comprehensive Exam 3 2026 Real Exam Latest Update

  • Alkseltzer

    Alkseltzer

  • exam

HESI PN Comprehensive Exam 3, 2025, Latest Real Exam Update – Nursing Practice Questions with Answers...

12 USD

0

0

2024 NR-602 Midterm Exam Questions and Answers – Latest Update
View Document

2024 NR-602 Midterm Exam Questions and Answers – Latest Update

  • Highergrades

    Highergrades

  • study guide

2024 NR-602 Midterm Exam Questions and Answers – Latest Update...

13 USD

0

0

ATI TEAS 7 Exam Test Bank 300 Questions &Verified Answers
View Document

ATI TEAS 7 Exam Test Bank 300 Questions &Verified Answers

  • Highergrades

    Highergrades

  • study guide

ATI TEAS 7 Exam Test Bank 300 Questions &Verified Answers...

18 USD

0

0

ATI RN Fundamentals Proctored 2023-2024 Final Exam Questions and Verified Answers
View Document

ATI RN Fundamentals Proctored 2023-2024 Final Exam Questions and Verified Answers

  • Highergrades

    Highergrades

  • study guide

ATI RN Fundamentals Proctored 2023-2024 Final Exam Questions and Verified Answers...

15 USD

0

0

Texas Esthetics State Board Exam 2023 Questions and Answers 100% Verified
View Document

Texas Esthetics State Board Exam 2023 Questions and Answers 100% Verified

  • Highergrades

    Highergrades

  • study guide

Texas Esthetics State Board Exam 2023 Questions and Answers 100% Verified...

13 USD

0

0

NR599 MIDTERM EXAM LATEST 2024 QUESTIONS AND 100% CORRECT ANSWERS
View Document

NR599 MIDTERM EXAM LATEST 2024 QUESTIONS AND 100% CORRECT ANSWERS

  • Highergrades

    Highergrades

  • study guide

NR599 MIDTERM EXAM LATEST 2024 QUESTIONS AND 100% CORRECT ANSWERS...

15 USD

0

0

AHIP 2023-2024 Module 2 EXAM QUESTIONS AND ANSWERS 100% VERIFIED
View Document

AHIP 2023-2024 Module 2 EXAM QUESTIONS AND ANSWERS 100% VERIFIED

  • Highergrades

    Highergrades

  • study guide

AHIP 2023-2024 Module 2 EXAM QUESTIONS AND ANSWERS 100% VERIFIED...

16 USD

0

0

WGU C211 Global Economics for Managers (OA) Exam Questions And Answers 2026 graded A+
View Document

WGU C211 Global Economics for Managers (OA) Exam Questions And Answers 2026 graded A+

  • Alkseltzer

    Alkseltzer

  • exam

Get PDF copy of WGU C211 Global Economics for Managers (OA) Exam Questions And Answers 2025 graded A+...

10 USD

0

0

WGU C202 Managing Human Capital Exam |  Questions With VERIFIED Answers  (2022, 2023)
View Document

WGU C202 Managing Human Capital Exam | Questions With VERIFIED Answers (2022, 2023)

  • Alkseltzer

    Alkseltzer

  • exam

WGU C202 Managing Human Capital Exam | Questions With VERIFIED Answers (2022, 2023) – Download PDF...

26 USD

0

0

WGU C715 EXAM ORGANIZATIONAL BEHAVIOR LATEST 2023- 2024 REAL EXAM 100 QUESTIONS AND ANSWERS(VERIFIED  ANSWERS)AGRADE
View Document

WGU C715 EXAM ORGANIZATIONAL BEHAVIOR LATEST 2023- 2024 REAL EXAM 100 QUESTIONS AND ANSWERS(VERIFIED ANSWERS)AGRADE

  • Alkseltzer

    Alkseltzer

  • exam

WGU C715 EXAM ORGANIZATIONAL BEHAVIOR LATEST 2023- 2024 REAL EXAM 100 QUESTIONS AND ANSWERS(VERIFIED ANSWERS)AGRADE...

27 USD

0

0

WGU D236 PATHOPHYSIOLOGY FINAL EXAM-with 100% verified solutions-2023-2024
View Document

WGU D236 PATHOPHYSIOLOGY FINAL EXAM-with 100% verified solutions-2023-2024

  • Alkseltzer

    Alkseltzer

  • exam

WGU D236 PATHOPHYSIOLOGY FINAL EXAM-with 100% verified solutions-2023-2024...

26 USD

0

0

ANCC PMHNP Cert Exam Review  Questions and Answers 2022
View Document

ANCC PMHNP Cert Exam Review Questions and Answers 2022

  • Alkseltzer

    Alkseltzer

  • questions & answers

ANCC PMHNP Cert Exam Review Questions and Answers 2022...

27 USD

0

0

PMHNP CERTIFICATION EXAM 2022 ACTUAL  TEST VERIFIED A+.
View Document

PMHNP CERTIFICATION EXAM 2022 ACTUAL TEST VERIFIED A+.

  • Alkseltzer

    Alkseltzer

  • questions & answers

PMHNP CERTIFICATION EXAM 2022 ACTUAL TEST VERIFIED A+....

24 USD

0

0

PMHP ANCC EXAM LATEST VERIFIED A+ 2022
View Document

PMHP ANCC EXAM LATEST VERIFIED A+ 2022

  • Alkseltzer

    Alkseltzer

  • questions & answers

PMHP ANCC EXAM LATEST VERIFIED A+ 2022...

26 USD

0

0

PMHNP EXAM REPORTED QUESTIONS  AND ANSWERS 2022-2023
View Document

PMHNP EXAM REPORTED QUESTIONS AND ANSWERS 2022-2023

  • Alkseltzer

    Alkseltzer

  • questions & answers

PMHNP EXAM REPORTED QUESTIONS AND ANSWERS 2022-2023...

26 USD

0

0

AHIP FINAL EXAM TEST QUESTIONS AND ANSWERS (2023, 2024)  (VERIFIED ANSWERS)
View Document

AHIP FINAL EXAM TEST QUESTIONS AND ANSWERS (2023, 2024) (VERIFIED ANSWERS)

  • Alkseltzer

    Alkseltzer

  • exam

AHIP FINAL EXAM TEST QUESTIONS AND ANSWERS (2023, 2024) (VERIFIED ANSWERS) – Download PDF...

25 USD

0

0

ATI COMPREHENSIVE PREDICTOR RETAKE 2023-2024 APRIL EXAM LATEST UPDATE  GRADED A
View Document

ATI COMPREHENSIVE PREDICTOR RETAKE 2023-2024 APRIL EXAM LATEST UPDATE GRADED A

  • Alkseltzer

    Alkseltzer

  • exam

ATI COMPREHENSIVE PREDICTOR RETAKE 2023-2024 APRIL EXAM LATEST UPDATE GRADED A...

25 USD

0

0

NCLEX-PN Comprehensive Test Exam Questions with Detailed Verified Answers Graded A+ Complete Latest 2026
View Document

NCLEX-PN Comprehensive Test Exam Questions with Detailed Verified Answers Graded A+ Complete Latest 2026

  • beatricemwash

    beatricemwash

  • questions & answers

NCLEX-PN Comprehensive Test Exam Questions with Detailed Verified Answers Graded A+ Complete Latest 2025...

13 USD

0

0

NURSING 428 HESI EXAM QUESTIONS AND ANSWERS LATEST UPDATE 2024 160 Q&A RATED A+
View Document

NURSING 428 HESI EXAM QUESTIONS AND ANSWERS LATEST UPDATE 2024 160 Q&A RATED A+

  • Highergrades

    Highergrades

  • questions & answers

NURSING 428 HESI EXAM QUESTIONS AND ANSWERS LATEST UPDATE 2024 160 Q&A RATED A+...

15 USD

0

0

NR507 Advanced Pathophysiology Week 4 Midterm Exam with 100% Verified Solutions
View Document

NR507 Advanced Pathophysiology Week 4 Midterm Exam with 100% Verified Solutions

  • Highergrades

    Highergrades

  • questions & answers

NR507 Advanced Pathophysiology Week 4 Midterm Exam with 100% Verified Solutions...

15 USD

0

0

NUFT 204 Exam 1, 2 &3 Questions with Complete Solutions Latest 2024
View Document

NUFT 204 Exam 1, 2 &3 Questions with Complete Solutions Latest 2024

  • Highergrades

    Highergrades

  • questions & answers

NUFT 204 Exam 1, 2 &3 Questions with Complete Solutions Latest 2024...

23 USD

0

0

NSG 6020 APEA 3P Exam  Questions and Answers Updated 2024
View Document

NSG 6020 APEA 3P Exam Questions and Answers Updated 2024

  • Highergrades

    Highergrades

  • questions & answers

NSG 6020 APEA 3P Exam Questions and Answers Updated 2024...

20 USD

0

0

APEA 3P EXAM QUESTIONS with VERIFIED ANSWERS 100% (NEW 2024)
View Document

APEA 3P EXAM QUESTIONS with VERIFIED ANSWERS 100% (NEW 2024)

  • Highergrades

    Highergrades

  • questions & answers

APEA 3P EXAM QUESTIONS with VERIFIED ANSWERS 100% (NEW 2024)...

16 USD

0

0

PHTLS 10th Edition Exam Questions  and Verified Answers 2024
View Document

PHTLS 10th Edition Exam Questions and Verified Answers 2024

  • Highergrades

    Highergrades

  • questions & answers

PHTLS 10th Edition Exam Questions and Verified Answers 2024...

18 USD

0

0

Essential Cell Biology 4th Ed. Test Bank CH1
View Document

Essential Cell Biology 4th Ed. Test Bank CH1

  • Caro0522

    Caro0522

  • questions & answers

Essential Cell Biology 4th Ed. Test Bank CH1...

5 USD

0

0

Embryology Exam 1 A Review ZOO 3603 FIU 2022
View Document

Embryology Exam 1 A Review ZOO 3603 FIU 2022

  • Caro0522

    Caro0522

  • questions & answers

Embryology Exam 1 A Review ZOO 3603 FIU 2022...

4 USD

0

0

Embryology  Exam 2 Review ZOO 3603 FIU 2022
View Document

Embryology Exam 2 Review ZOO 3603 FIU 2022

  • Caro0522

    Caro0522

  • questions & answers

Embryology Exam 2 Review ZOO 3603 FIU 2022...

4 USD

0

0

General Chemistry CHM1045 Exam 2 Review MDC 2026 | Complete Questions with Answers
View Document

General Chemistry CHM1045 Exam 2 Review MDC 2026 | Complete Questions with Answers

  • Caro0522

    Caro0522

  • questions & answers

General Chemistry CHM1045 Exam 2 Review MDC 2026. Instant PDF Download....

4 USD

0

0

Caribbean Biodiversity BSC 4364 Clicker, Exam Review Questions
View Document

Caribbean Biodiversity BSC 4364 Clicker, Exam Review Questions

  • Caro0522

    Caro0522

  • questions & answers

Caribbean Biodiversity BSC 4364 Clicker, Exam Review Questions – Download PDF...

3 USD

0

0

NR548 Final Exam Latest Update with Verified Answers
View Document

NR548 Final Exam Latest Update with Verified Answers

  • Highergrades

    Highergrades

  • questions & answers

NR548 Final Exam Latest Update with Verified Answers...

14 USD

0

0

NR222 EXAM 2 QUESTIONS AND ANSWERS  2024 UPDATE [100% VERIFIED]
View Document

NR222 EXAM 2 QUESTIONS AND ANSWERS 2024 UPDATE [100% VERIFIED]

  • Highergrades

    Highergrades

  • questions & answers

NR222 EXAM 2 QUESTIONS AND ANSWERS 2024 UPDATE [100% VERIFIED]...

15 USD

0

0

NR 224 Fundamentals Skills Exam 2 Review 100% Verified (Rated A+)
View Document

NR 224 Fundamentals Skills Exam 2 Review 100% Verified (Rated A+)

  • Highergrades

    Highergrades

  • questions & answers

NR 224 Fundamentals Skills Exam 2 Review 100% Verified (Rated A+)...

12 USD

0

0

NRNP 6675 Final Exam Questions and Answers Rated A+ Latest Update 2024
View Document

NRNP 6675 Final Exam Questions and Answers Rated A+ Latest Update 2024

  • Highergrades

    Highergrades

  • questions & answers

NRNP 6675 Final Exam Questions and Answers Rated A+ Latest Update 2024...

16 USD

0

0

NR 326 EXAM 2 Q&As’ 100% VERIFIED (UPDATE 2024)
View Document

NR 326 EXAM 2 Q&As’ 100% VERIFIED (UPDATE 2024)

  • Highergrades

    Highergrades

  • questions & answers

NR 326 EXAM 2 Q&As’ 100% VERIFIED (UPDATE 2024)...

13 USD

0

0

FREE HIPAA Practice Questions and Answers for 2024 Exam
View Document

FREE HIPAA Practice Questions and Answers for 2024 Exam

  • allstudyguides

    allstudyguides

  • exam

FREE HIPAA Practice Questions and Answers for 2024 Exam – Download PDF...

1 USD

0

0

2023 ATI FUNDAMENTALS PROCTORED RETAKE EXAM 2  VERSIONS EACH WITH 70 QUESTIONS AND NGN QUESTIONS 2019 UPDATED0N JUNE 2023 GRADED A
View Document

2023 ATI FUNDAMENTALS PROCTORED RETAKE EXAM 2 VERSIONS EACH WITH 70 QUESTIONS AND NGN QUESTIONS 2019 UPDATED0N JUNE 2023 GRADED A

  • Oscar

    Oscar

  • exam

2023 ATI FUNDAMENTALS PROCTORED RETAKE EXAM 2 VERSIONS EACH WITH 70 QUESTIONS AND NGN QUESTIONS 2019 UPDATED0N JUNE 202...

18 USD

0

0

HESI Maternity OB 2023-2024 Exam Version 2 Questions  and Answers (GRADED A+)
View Document

HESI Maternity OB 2023-2024 Exam Version 2 Questions and Answers (GRADED A+)

  • Oscar

    Oscar

  • exam

HESI Maternity OB 2023-2024 Exam Version 2 Questions and Answers (GRADED A+)...

19 USD

0

0

2022 AHIP FINAL EXAM TEST
View Document

2022 AHIP FINAL EXAM TEST

  • Oscar

    Oscar

  • exam

2022 AHIP FINAL EXAM TEST...

17 USD

0

0

{NGN}HESI OB Maternity 2023 Version 1 (V1) Exit Exam (All 55 Qs) TB w,Pics Included!! A
View Document

{NGN}HESI OB Maternity 2023 Version 1 (V1) Exit Exam (All 55 Qs) TB w,Pics Included!! A

  • Oscar

    Oscar

  • exam

{NGN}HESI OB Maternity 2023 Version 1 (V1) Exit Exam (All 55 Qs) TB w,Pics Included!! A...

15 USD

0

0

RN HESI EXIT EXAM 2023-2024 - VERSION 3 (V3) ALL 160 QUESTIONS &  ANSWERS INCLUDED - GUARANTEED  PASS A+!!! ALL BRAND NEW
View Document

RN HESI EXIT EXAM 2023-2024 - VERSION 3 (V3) ALL 160 QUESTIONS & ANSWERS INCLUDED - GUARANTEED PASS A+!!! ALL BRAND NEW

  • Oscar

    Oscar

  • exam

RN HESI EXIT EXAM 2023-2024 - VERSION 3 (V3) ALL 160 QUESTIONS & ANSWERS INCLUDED - GUARANTEED PASS A+!!! ALL BRAND NE...

18 USD

0

0

AHIP - Final Examination (Latest Update 2022)
View Document

AHIP - Final Examination (Latest Update 2022)

  • Oscar

    Oscar

  • exam

AHIP - Final Examination (Latest Update 2022)...

18 USD

0

0

HESI RN EXIT EXAM V1 SHOTS 2022-2023 INET PROCTORED EXAM
View Document

HESI RN EXIT EXAM V1 SHOTS 2022-2023 INET PROCTORED EXAM

  • Oscar

    Oscar

  • exam

HESI RN EXIT EXAM V1 SHOTS 2022-2023 INET PROCTORED EXAM...

19 USD

0

0

NUR 256 Mental Health Exam 1-5 Updated 2023-2024  practice Guid
View Document

NUR 256 Mental Health Exam 1-5 Updated 2023-2024 practice Guid

  • Oscar

    Oscar

  • exam

NUR 256 Mental Health Exam 1-5 Updated 2023-2024 practice Guid...

18 USD

0

0

HESI PN EXIT V3 EXAM 140 QUESTIONS  WITH CORRECT SOLUTIONS A+  GRADE GUARANTEED 2023-2024  VERSION
View Document

HESI PN EXIT V3 EXAM 140 QUESTIONS WITH CORRECT SOLUTIONS A+ GRADE GUARANTEED 2023-2024 VERSION

  • Oscar

    Oscar

  • exam

HESI PN EXIT V3 EXAM 140 QUESTIONS WITH CORRECT SOLUTIONS A+ GRADE GUARANTEED 2023-2024 VERSION – Download PDF...

19 USD

0

0

HESI PN EXIT V3 EXAM 140 QUESTIONS WITH  CORRECT SOLUTIONS
View Document

HESI PN EXIT V3 EXAM 140 QUESTIONS WITH CORRECT SOLUTIONS

  • Oscar

    Oscar

  • exam

HESI PN EXIT V3 EXAM 140 QUESTIONS WITH CORRECT SOLUTIONS – Download PDF...

16 USD

0

0

HESI PN EXIT V3 EXAM 140 QUESTIONS WITH CORRECT SOLUTIONS, A+ GRADE GUARANTEED 2023-2024 VERSION
View Document

HESI PN EXIT V3 EXAM 140 QUESTIONS WITH CORRECT SOLUTIONS, A+ GRADE GUARANTEED 2023-2024 VERSION

  • Oscar

    Oscar

  • exam

HESI PN EXIT V3 EXAM 140 QUESTIONS WITH CORRECT SOLUTIONS, A+ GRADE GUARANTEED 2023-2024 VERSION – Download PDF...

16 USD

0

0

NUR 212 Final Exam-with 100% verified answers-2022- 2023 GRADED A
View Document

NUR 212 Final Exam-with 100% verified answers-2022- 2023 GRADED A

  • Oscar

    Oscar

  • exam

NUR 212 Final Exam-with 100% verified answers-2022- 2023 GRADED A...

15 USD

0

0

NRNP 6645 Final REAL Exam 2023-2024, LATEST 100+ Q & A) NRNP6645 Final Exam: Walden University | Verified
View Document

NRNP 6645 Final REAL Exam 2023-2024, LATEST 100+ Q & A) NRNP6645 Final Exam: Walden University | Verified

  • Oscar

    Oscar

  • exam

NRNP 6645 Final REAL Exam 2023-2024, LATEST 100+ Q & A) NRNP6645 Final Exam: Walden University | Verified – Download P...

18 USD

0

0

REAL NREMT® EMR EXAM PREP2023- 2024, NREMT EXAM QUESTIONS AND  ANSWERS WITH RATIONALE  GRADED
View Document

REAL NREMT® EMR EXAM PREP2023- 2024, NREMT EXAM QUESTIONS AND ANSWERS WITH RATIONALE GRADED

  • Oscar

    Oscar

  • exam

REAL NREMT® EMR EXAM PREP2023- 2024, NREMT EXAM QUESTIONS AND ANSWERS WITH RATIONALE GRADED – Download PDF...

17 USD

0

0

NR511 Final Exam Study Guide latest  updated april 2023 graded A REAL EXA
View Document

NR511 Final Exam Study Guide latest updated april 2023 graded A REAL EXA

  • Oscar

    Oscar

  • exam

NR511 Final Exam Study Guide latest updated april 2023 graded A REAL EXA...

18 USD

0

0

2023 ATI MENTAL HEALTH FORM A & FORM B WITH NGN PROCTORED 2023-2024 EXAM (140 Q & A) MENTAL  HEALTH ATI PROCTORED EXAM FORM A & B GRADED A
View Document

2023 ATI MENTAL HEALTH FORM A & FORM B WITH NGN PROCTORED 2023-2024 EXAM (140 Q & A) MENTAL HEALTH ATI PROCTORED EXAM FORM A & B GRADED A

  • Oscar

    Oscar

  • exam

2023 ATI MENTAL HEALTH FORM A & FORM B WITH NGN PROCTORED 2023-2024 EXAM (140 Q & A) MENTAL HEALTH ATI PROCTORED EXAM F...

17 USD

0

0

NR503 NGN FINAL EXAM STUDY GUIDE 2023-2024 GRADED
View Document

NR503 NGN FINAL EXAM STUDY GUIDE 2023-2024 GRADED

  • Oscar

    Oscar

  • exam

NR503 NGN FINAL EXAM STUDY GUIDE 2023-2024 GRADED...

16 USD

0

0

CRCR Certification Exam 200+ Questions and Answers 2023 (Verified  Answers
View Document

CRCR Certification Exam 200+ Questions and Answers 2023 (Verified Answers

  • Oscar

    Oscar

  • exam

CRCR Certification Exam 200+ Questions and Answers 2023 (Verified Answers...

14 USD

0

0

2023 CLC 056 | CLC 056 Analyzing Contract Costs Exam QUESTIONS AND ANSWERS GRADED A
View Document

2023 CLC 056 | CLC 056 Analyzing Contract Costs Exam QUESTIONS AND ANSWERS GRADED A

  • Oscar

    Oscar

  • exam

2023 CLC 056 | CLC 056 Analyzing Contract Costs Exam QUESTIONS AND ANSWERS GRADED A – Download PDF...

15 USD

0

0

MATH225N Week 4 Statistics Exam Questions and Answers|  Latest 2024
View Document

MATH225N Week 4 Statistics Exam Questions and Answers| Latest 2024

  • Highergrades

    Highergrades

  • test bank

MATH225N Week 4 Statistics Exam Questions and Answers| Latest 2024...

18 USD

0

0

ATI TEAS 7 Exam Test Bank 2 350 Questions with Answers 2024
View Document

ATI TEAS 7 Exam Test Bank 2 350 Questions with Answers 2024

  • Hp24

    Hp24

  • exam

ATI TEAS 7 Exam Test Bank 2 350 Questions with Answers 2024...

10 USD

0

0

SOS Mechanic Certification- Brakes Exam Questions and Answers 2024
View Document

SOS Mechanic Certification- Brakes Exam Questions and Answers 2024

  • Daniel-Onyapidi

    Daniel-Onyapidi

  • exam

SOS Mechanic Certification- Brakes Exam Questions and Answers 2024...

7 USD

0

0

ITEC FINAL EXAMS FOR COMPUTER ENGINEERING QUESTIONS AND ANSWERS
View Document

ITEC FINAL EXAMS FOR COMPUTER ENGINEERING QUESTIONS AND ANSWERS

  • TITUS

    TITUS

  • questions & answers

ITEC FINAL EXAMS FOR COMPUTER ENGINEERING QUESTIONS AND ANSWERS...

20 USD

0

0

ATI Exit Exam EXAM QUESTIONS WITH DETAILED VERIFIED ANSWERS 100%COMPLETE GRADED A+ LATEST  2026
View Document

ATI Exit Exam EXAM QUESTIONS WITH DETAILED VERIFIED ANSWERS 100%COMPLETE GRADED A+ LATEST 2026

  • beatricemwash

    beatricemwash

  • questions & answers

ATI Exit Exam EXAM QUESTIONS WITH DETAILED VERIFIED ANSWERS 100%COMPLETE GRADED A+ LATEST 2024...

11 USD

0

0

ATI COMMUNITY HEALTH PROCTORED EXAM 2019 RETAKE with VERIFIED ANSWERS 100%
View Document

ATI COMMUNITY HEALTH PROCTORED EXAM 2019 RETAKE with VERIFIED ANSWERS 100%

  • Highergrades

    Highergrades

  • study guide

ATI COMMUNITY HEALTH PROCTORED EXAM 2019 RETAKE with VERIFIED ANSWERS 100%...

18 USD

0

0

NUR 2063, NUR2063 Exam 1: Essentials of Pathophysiology Exam 1 Verified Answers
View Document

NUR 2063, NUR2063 Exam 1: Essentials of Pathophysiology Exam 1 Verified Answers

  • Highergrades

    Highergrades

  • study guide

NUR 2063, NUR2063 Exam 1: Essentials of Pathophysiology Exam 1 Verified Answers – Download PDF...

15 USD

0

0

PMHNP Exam 388 QUESTIONS and ANSWERS (GRADED A) 100% VERIFIED ANSWERS
View Document

PMHNP Exam 388 QUESTIONS and ANSWERS (GRADED A) 100% VERIFIED ANSWERS

  • Highergrades

    Highergrades

  • study guide

PMHNP Exam 388 QUESTIONS and ANSWERS (GRADED A) 100% VERIFIED ANSWERS...

17 USD

0

0

ITEC 6030 FINAL  EXAM STUDY GUIDE QUESTIONS AND ANSWERS , EXPLANATIONS TEST BANK GRADE A+
View Document

ITEC 6030 FINAL EXAM STUDY GUIDE QUESTIONS AND ANSWERS , EXPLANATIONS TEST BANK GRADE A+

  • TITUS

    TITUS

  • questions & answers

ITEC 6030 FINAL EXAM STUDY GUIDE QUESTIONS AND ANSWERS , EXPLANATIONS TEST BANK GRADE A+...

20 USD

0

0

2024 CTR Exam Test Bank - Q & A, Complete Solutions
View Document

2024 CTR Exam Test Bank - Q & A, Complete Solutions

  • Jager

    Jager

  • questions & answers

2024 CTR Exam Test Bank - Q & A, Complete Solutions...

22 USD

0

0

Ambulatory Nurse Care Certification (ANCC) Exam
View Document

Ambulatory Nurse Care Certification (ANCC) Exam

  • Jager

    Jager

  • questions & answers

Ambulatory Nurse Care Certification (ANCC) Exam...

18 USD

0

0

NUR 2063, NUR2063 Exam 1: Essentials of Pathophysiology Exam 1 Review VERIFIED  ANSWERS Rasmussen
View Document

NUR 2063, NUR2063 Exam 1: Essentials of Pathophysiology Exam 1 Review VERIFIED ANSWERS Rasmussen

  • DYNAMICSCORES254

    DYNAMICSCORES254

  • exam

NUR 2063, NUR2063 Exam 1: Essentials of Pathophysiology Exam 1 Review VERIFIED ANSWERS Rasmussen – Download PDF...

21 USD

0

0

Georgette Review PMHNP Exam 388 QUESTIONS and  ANSWERS (GRADED A) VERIFIED ANSWERS
View Document

Georgette Review PMHNP Exam 388 QUESTIONS and ANSWERS (GRADED A) VERIFIED ANSWERS

  • DYNAMICSCORES254

    DYNAMICSCORES254

  • exam

Georgette Review PMHNP Exam 388 QUESTIONS and ANSWERS (GRADED A) VERIFIED ANSWERS...

25 USD

0

0

Insurance Exam AZ 1333 VERIFIED ANSWERS
View Document

Insurance Exam AZ 1333 VERIFIED ANSWERS

  • DYNAMICSCORES254

    DYNAMICSCORES254

  • exam

Insurance Exam AZ 1333 VERIFIED ANSWERS – Download PDF...

12 USD

0

0

NURS 6501 FINAL EXAM GUIDE QUESTIONS AND ANSWERS 5 STAR RATED CORRECT QUESTIONS AND ANSWERS
View Document

NURS 6501 FINAL EXAM GUIDE QUESTIONS AND ANSWERS 5 STAR RATED CORRECT QUESTIONS AND ANSWERS

  • TITUS

    TITUS

  • questions & answers

NURS 6501 FINAL EXAM GUIDE QUESTIONS AND ANSWERS 5 STAR RATED CORRECT QUESTIONS AND ANSWERS...

25 USD

0

0

AAMI Sociology of Funeral  Service Exam Questions  and Answers
View Document

AAMI Sociology of Funeral Service Exam Questions and Answers

  • TITUS

    TITUS

  • questions & answers

AAMI Sociology of Funeral Service Exam Questions and Answers...

15 USD

0

0

ATI MATERNAL NEWBORN PROCTORED
View Document

ATI MATERNAL NEWBORN PROCTORED

  • Best_tutor

    Best_tutor

  • questions & answers

ATI MATERNAL NEWBORN PROCTORED...

21 USD

0

0

ATI MENTAL HEALTH
View Document

ATI MENTAL HEALTH

  • Best_tutor

    Best_tutor

  • questions & answers

ATI MENTAL HEALTH...

20 USD

0

0

ATI Med-Surg Proctored Exam Question and answers grade A+ RN | PN
View Document

ATI Med-Surg Proctored Exam Question and answers grade A+ RN | PN

  • TITUS

    TITUS

  • questions & answers

ATI Med-Surg Proctored Exam Question and answers grade A+ RN | PN – Download PDF...

20 USD

0

0

ATI MED-SURG PROCTORED EXAM 2019 WITH VERIFIED AND CORRECT ANSWERS AND EXPLANATIONS UPDATED MAY 2023
View Document

ATI MED-SURG PROCTORED EXAM 2019 WITH VERIFIED AND CORRECT ANSWERS AND EXPLANATIONS UPDATED MAY 2023

  • TITUS

    TITUS

  • questions & answers

ATI MED-SURG PROCTORED EXAM 2019 WITH VERIFIED AND CORRECT ANSWERS AND EXPLANATIONS UPDATED MAY 2023...

20 USD

0

0

NGN]2023 ATI FUNDAMENTALS PROCTORED EXAM RETAKE (All Questions Correctly Answered)
View Document

NGN]2023 ATI FUNDAMENTALS PROCTORED EXAM RETAKE (All Questions Correctly Answered)

  • TITUS

    TITUS

  • questions & answers

NGN]2023 ATI FUNDAMENTALS PROCTORED EXAM RETAKE (All Questions Correctly Answered)...

20 USD

0

0

2023 ATI Fundamentals Exam -70 Questions with CORRECT ANSWERS
View Document

2023 ATI Fundamentals Exam -70 Questions with CORRECT ANSWERS

  • TITUS

    TITUS

  • questions & answers

2023 ATI Fundamentals Exam -70 Questions with CORRECT ANSWERS – Download PDF...

20 USD

0

0

2023 ACTUAL FINAL HESI OB PEDS Exam Test BANK LATEST UPDATE GRADED A
View Document

2023 ACTUAL FINAL HESI OB PEDS Exam Test BANK LATEST UPDATE GRADED A

  • TITUS

    TITUS

  • questions & answers

2023 ACTUAL FINAL HESI OB PEDS Exam Test BANK LATEST UPDATE GRADED A...

21 USD

0

0

Test bank for bates nursing guide to physical examination and history taking 3rd third edition 2023-2024 Latest Update
View Document

Test bank for bates nursing guide to physical examination and history taking 3rd third edition 2023-2024 Latest Update

  • PHARMACIA

    PHARMACIA

  • exam

Test bank for bates nursing guide to physical examination and history taking 3rd third edition 2023-2024 Latest Update...

18 USD

0

0

NUR2063 PATHO EXAM 1 STUDY GUIDE EXAM QUESTIONS  WITH DETAILED VERIFIED ANSWERS LATEST 2024 GRADED  A+
View Document

NUR2063 PATHO EXAM 1 STUDY GUIDE EXAM QUESTIONS WITH DETAILED VERIFIED ANSWERS LATEST 2024 GRADED A+

  • beatricemwash

    beatricemwash

  • questions & answers

NUR2063 PATHO EXAM 1 STUDY GUIDE EXAM QUESTIONS WITH DETAILED VERIFIED ANSWERS LATEST 2024 GRADED A+...

9 USD

0

0

NUR 2063 Pathophysiology Exam 1 Questions with detailed  verified answers 100%Complete Graded A+ 2024 edition
View Document

NUR 2063 Pathophysiology Exam 1 Questions with detailed verified answers 100%Complete Graded A+ 2024 edition

  • beatricemwash

    beatricemwash

  • questions & answers

NUR 2063 Pathophysiology Exam 1 Questions with detailed verified answers 100%Complete Graded A+ 2024 edition...

11 USD

0

0

ATI TEAS 7 BIOLOGY EXAM QUESTIONS &  ANSWERS VERIFIED (NEW VERSION) GRADED A+
View Document

ATI TEAS 7 BIOLOGY EXAM QUESTIONS & ANSWERS VERIFIED (NEW VERSION) GRADED A+

  • DYNAMICSCORES254

    DYNAMICSCORES254

  • exam

ATI TEAS 7 BIOLOGY EXAM QUESTIONS & ANSWERS VERIFIED (NEW VERSION) GRADED A+...

14 USD

0

0

CCS Practice Exam  Questions and Answers  2024 Update VERIFIED  COMPLETES SOLUTIONS
View Document

CCS Practice Exam Questions and Answers 2024 Update VERIFIED COMPLETES SOLUTIONS

  • DYNAMICSCORES254

    DYNAMICSCORES254

  • exam

CCS Practice Exam Questions and Answers 2024 Update VERIFIED COMPLETES SOLUTIONS...

12 USD

0

0

AMP2 EXAM 1 QUESTIONS and  ANSWERS (VERIFIED LATEST  UPDATE 2023, 2024)
View Document

AMP2 EXAM 1 QUESTIONS and ANSWERS (VERIFIED LATEST UPDATE 2023, 2024)

  • DYNAMICSCORES254

    DYNAMICSCORES254

  • exam

AMP2 EXAM 1 QUESTIONS and ANSWERS (VERIFIED LATEST UPDATE 2023, 2024) – Download PDF...

12 USD

0

0

BIOL 1107 UCONN ECE Biology 1107 Final Exam 2024
View Document

BIOL 1107 UCONN ECE Biology 1107 Final Exam 2024

  • mentor2000

    mentor2000

  • exam

BIOL 1107 UCONN ECE Biology 1107 Final Exam 2024...

15 USD

0

0

PHYS 1201Q General Physics I UCONN ECE Final Exam
View Document

PHYS 1201Q General Physics I UCONN ECE Final Exam

  • mentor2000

    mentor2000

  • exam

PHYS 1201Q General Physics I UCONN ECE Final Exam...

15 USD

0

0

The IB Mathematics Analysis & Approaches (AA) Standard Level (SL) Exam Questions and Answers 2024
View Document

The IB Mathematics Analysis & Approaches (AA) Standard Level (SL) Exam Questions and Answers 2024

  • mentor2000

    mentor2000

  • exam

The IB Mathematics Analysis & Approaches (AA) Standard Level (SL) Exam Questions and Answers 2024...

15 USD

0

0

Biology 1107 Exam 4 Study Guide (University Of Connecticut)
View Document

Biology 1107 Exam 4 Study Guide (University Of Connecticut)

  • mentor2000

    mentor2000

  • exam

Biology 1107 Exam 4 Study Guide (University Of Connecticut)...

12 USD

0

0

Biology 1107 Final Exam Study Guide (University Of Connecticut) 2024
View Document

Biology 1107 Final Exam Study Guide (University Of Connecticut) 2024

  • mentor2000

    mentor2000

  • exam

Biology 1107 Final Exam Study Guide (University Of Connecticut) 2024...

15 USD

0

0

BIOL 1107 UCONN ECE Biology 1107 Final Exam Questions and Answers Review 2024
View Document

BIOL 1107 UCONN ECE Biology 1107 Final Exam Questions and Answers Review 2024

  • mentor2000

    mentor2000

  • exam

BIOL 1107 UCONN ECE Biology 1107 Final Exam Questions and Answers Review 2024...

15 USD

0

0

ATI TEAS 7 SCIENCE EXAM 2023, 2024 with VERIFIED ANSWERS
View Document

ATI TEAS 7 SCIENCE EXAM 2023, 2024 with VERIFIED ANSWERS

  • Highergrades

    Highergrades

  • questions & answers

ATI TEAS 7 SCIENCE EXAM 2023, 2024 with VERIFIED ANSWERS – Download PDF...

16 USD

0

0

ATI TEAS 7 BIOLOGY EXAM QUESTIONS & ANSWERS (NEW VERSION) GRADED A+
View Document

ATI TEAS 7 BIOLOGY EXAM QUESTIONS & ANSWERS (NEW VERSION) GRADED A+

  • Highergrades

    Highergrades

  • questions & answers

ATI TEAS 7 BIOLOGY EXAM QUESTIONS & ANSWERS (NEW VERSION) GRADED A+...

15 USD

0

0

ATI TEAS 7 PRACTICE EXAM QUESTIONS AND VERIFIED AND ANSWERS (NEW VERSION 2024)
View Document

ATI TEAS 7 PRACTICE EXAM QUESTIONS AND VERIFIED AND ANSWERS (NEW VERSION 2024)

  • Highergrades

    Highergrades

  • questions & answers

ATI TEAS 7 PRACTICE EXAM QUESTIONS AND VERIFIED AND ANSWERS (NEW VERSION 2024)...

17 USD

0

0

ALAT CERTIFICATION FINAL EXAM LATEST UPDATED VERSION 2024
View Document

ALAT CERTIFICATION FINAL EXAM LATEST UPDATED VERSION 2024

  • Highergrades

    Highergrades

  • questions & answers

ALAT CERTIFICATION FINAL EXAM LATEST UPDATED VERSION 2024...

15 USD

0

0

CCS Practice Exam Questions and Answers 2024 Update
View Document

CCS Practice Exam Questions and Answers 2024 Update

  • Highergrades

    Highergrades

  • study guide

CCS Practice Exam Questions and Answers 2024 Update...

16 USD

0

0

Maternal Newborn Proctored Exam (36 Exam Sets), Ati Rn Exams 2024, Latest Multiple Versions Maternal New Born Exam Complete Graded A+ All Questions And Practice Questions With Verified Answers
View Document

Maternal Newborn Proctored Exam (36 Exam Sets), Ati Rn Exams 2024, Latest Multiple Versions Maternal New Born Exam Complete Graded A+ All Questions And Practice Questions With Verified Answers

  • beatricemwash

    beatricemwash

  • questions & answers

Maternal Newborn Proctored Exam (36 Exam Sets), Ati Rn Exams 2024, Latest Multiple Versions Maternal New Born Exam Compl...

15 USD

0

0

ATI FUNDAMENTALS EXAM TEST BANK 402 Questions and Answers with Rationales
View Document

ATI FUNDAMENTALS EXAM TEST BANK 402 Questions and Answers with Rationales

  • Highergrades

    Highergrades

  • study guide

ATI FUNDAMENTALS EXAM TEST BANK 402 Questions and Answers with Rationales...

26 USD

0

0

ATI Comprehensive Exit Exam 20 Different Versions 3500 + Verified Questions and Answers Best Guide LATEST UPDATE
View Document

ATI Comprehensive Exit Exam 20 Different Versions 3500 + Verified Questions and Answers Best Guide LATEST UPDATE

  • Highergrades

    Highergrades

  • study guide

ATI Comprehensive Exit Exam 20 Different Versions 3500 + Verified Questions and Answers Best Guide LATEST UPDATE...

38 USD

0

0

Rasmussen NUR2571 Final Exam (Respiratory, Cardiac)  EXAM QUESTIONS AND VERIFIED DETAILED ANSWERS COMPLETE GRADED A+ LATEST 2023-2024
View Document

Rasmussen NUR2571 Final Exam (Respiratory, Cardiac) EXAM QUESTIONS AND VERIFIED DETAILED ANSWERS COMPLETE GRADED A+ LATEST 2023-2024

  • beatricemwash

    beatricemwash

  • questions & answers

Rasmussen NUR2571 Final Exam (Respiratory, Cardiac) EXAM QUESTIONS AND VERIFIED DETAILED ANSWERS COMPLETE GRADED A+ LAT...

8 USD

0

0

NUR212, NUR 212 MIDTERM EXAM LATEST 2023 50 QUESTIONS AND CORRECT ANSWERS |ALREADY GRADED   Which nursing intervention is a priority for the patient with Graves’ disease who presents to the emergency room with a high fever, extreme tachycardia, sweating, abdominal pain and altered mental status?
View Document

NUR212, NUR 212 MIDTERM EXAM LATEST 2023 50 QUESTIONS AND CORRECT ANSWERS |ALREADY GRADED Which nursing intervention is a priority for the patient with Graves’ disease who presents to the emergency room with a high fever, extreme tachycardia, sweating, abdominal pain and altered mental status?

  • DRDMG

    DRDMG

  • ati medical surgical

NUR212, NUR 212 MIDTERM EXAM LATEST 2023 50 QUESTIONS AND CORRECT ANSWERS |ALREADY GRADED Which nursing intervention i...

10 USD

0

0

MENTAL HEALTH ATI PROCTORED EXAM, ATI MENTAL HEALTH 2023 EXAM QUESTIONS AND ANSWERS HIGHLIGHTED, A+ GUARANTEE   A charge nurse is discussing mental status examinations with a newly licensed nurse. Which of the following statements by the newly licensed nurse indicates an understanding of the teaching?
View Document

MENTAL HEALTH ATI PROCTORED EXAM, ATI MENTAL HEALTH 2023 EXAM QUESTIONS AND ANSWERS HIGHLIGHTED, A+ GUARANTEE A charge nurse is discussing mental status examinations with a newly licensed nurse. Which of the following statements by the newly licensed nurse indicates an understanding of the teaching?

  • DRDMG

    DRDMG

  • ati medical surgical

MENTAL HEALTH ATI PROCTORED EXAM, ATI MENTAL HEALTH 2023 EXAM QUESTIONS AND ANSWERS HIGHLIGHTED, A+ GUARANTEE A charge...

15 USD

0

0

MEDICAL SURGICAL NURSING LATEST EXAM 2022-2024 MSN 5410 ADVANCED MEDICAL SURGICAL  NURSING LATEST EXAM 2022-2024 58 REAL EXAM QUESTIONS AND ANSWERS PLUS MARKING SCHEME   The nurse has just reassessed the condition of a postoperative client who was admitted 1 hour ago to the surgical unit. The nurse plans to monitor which parameter most carefully during the next hour?
View Document

MEDICAL SURGICAL NURSING LATEST EXAM 2022-2024 MSN 5410 ADVANCED MEDICAL SURGICAL NURSING LATEST EXAM 2022-2024 58 REAL EXAM QUESTIONS AND ANSWERS PLUS MARKING SCHEME The nurse has just reassessed the condition of a postoperative client who was admitted 1 hour ago to the surgical unit. The nurse plans to monitor which parameter most carefully during the next hour?

  • DRDMG

    DRDMG

  • ati medical surgical

MEDICAL SURGICAL NURSING LATEST EXAM 2022-2024 MSN 5410 ADVANCED MEDICAL SURGICAL NURSING LATEST EXAM 2022-2024 58 REAL...

15 USD

0

0

ATI RN MEDICAL-SURGICAL PROCTORED EXAM 2023-2026
View Document

ATI RN MEDICAL-SURGICAL PROCTORED EXAM 2023-2026

  • DRDMG

    DRDMG

  • ati medical surgical

ATI RN MEDICAL-SURGICAL PROCTORED EXAM 2023-2026 QUESTIONS & ANSWERS WITH RATIONALES |GUARANTEED A+ SCORE: LATEST UPDATE...

15 USD

0

0

ATI RN MEDICAL-SURGICAL PROCTORED EXAM 2023-2026 QUESTIONS & ANSWERS WITH RATIONALES |GUARANTEED A+ SCORE: LATEST UPDATE   1. A nurse is assessing a client who is 12hr postoperative following a colon resection. Which of the following findings should the nurse report to the surgeon?
View Document

ATI RN MEDICAL-SURGICAL PROCTORED EXAM 2023-2026 QUESTIONS & ANSWERS WITH RATIONALES |GUARANTEED A+ SCORE: LATEST UPDATE 1. A nurse is assessing a client who is 12hr postoperative following a colon resection. Which of the following findings should the nurse report to the surgeon?

  • DRDMG

    DRDMG

  • ati

ATI RN MEDICAL-SURGICAL PROCTORED EXAM 2023-2025 QUESTIONS & ANSWERS WITH RATIONALES |GUARANTEED A+ SCORE: LATEST UPDATE...

15 USD

0

0

ATI RN MEDICAL ATI RN MEDICAL SURGICAL REAL EXAM QUESTIONS AND VERIFIED ANSWERS GRADED A+ A patient is in end-stage renal failure. What are the signs and symptoms that the nurse is likely to find while assessing neurologic function? Select all that apply
View Document

ATI RN MEDICAL ATI RN MEDICAL SURGICAL REAL EXAM QUESTIONS AND VERIFIED ANSWERS GRADED A+ A patient is in end-stage renal failure. What are the signs and symptoms that the nurse is likely to find while assessing neurologic function? Select all that apply

  • DRDMG

    DRDMG

  • ati

ATI RN MEDICAL ATI RN MEDICAL SURGICAL REAL EXAM QUESTIONS AND VERIFIED ANSWERS GRADED A+ A patient is in end-stage rena...

15 USD

0

0

ATI MED-SURG REAL EXAM QUESTIONS AND VERIFIED ANSWERS WITH RATIONALES 2023 LATEST GRADED A+ A nurse is caring for a client who has nephrotic syndrome and has been taking prednisone for 3 days. which of the following findings should the nurse report to the provider as an adverse effect of prednisone?
View Document

ATI MED-SURG REAL EXAM QUESTIONS AND VERIFIED ANSWERS WITH RATIONALES 2023 LATEST GRADED A+ A nurse is caring for a client who has nephrotic syndrome and has been taking prednisone for 3 days. which of the following findings should the nurse report to the provider as an adverse effect of prednisone?

  • DRDMG

    DRDMG

  • ati

ATI MED-SURG REAL EXAM QUESTIONS AND VERIFIED ANSWERS WITH RATIONALES 2023 LATEST GRADED A+ A nurse is caring for a clie...

14 USD

0

0

NURS 100 Med NURS 100 Med Math Exam Latest 2023-2024 Questions And Correct Answers GRADED A+ A nurse is preparing to administer haloperidol (Haldol) 2 mg PO q12h. The amount available is haloperidol 1 mg tablet
View Document

NURS 100 Med NURS 100 Med Math Exam Latest 2023-2024 Questions And Correct Answers GRADED A+ A nurse is preparing to administer haloperidol (Haldol) 2 mg PO q12h. The amount available is haloperidol 1 mg tablet

  • DRDMG

    DRDMG

  • questions & answers

NURS 100 Med NURS 100 Med Math Exam Latest 2023-2024 Questions And Correct Answers GRADED A+ A nurse is preparing to adm...

14 USD

0

0

NURSING 265, NURS 2633 MATERNAL CHILD FINAL EXAM QUESTIONS AND VERIFIED ANSWERS LATEST 2023-2024 RASMUSSEN UNIVERSITY(COMPLETE AGRADE   The student nurse is preparing education for the parents of a 6yo that will begin Fe supps following a dx of Fe deficient anemia. What should be included in the ed. Select all that apply.
View Document

NURSING 265, NURS 2633 MATERNAL CHILD FINAL EXAM QUESTIONS AND VERIFIED ANSWERS LATEST 2023-2024 RASMUSSEN UNIVERSITY(COMPLETE AGRADE The student nurse is preparing education for the parents of a 6yo that will begin Fe supps following a dx of Fe deficient anemia. What should be included in the ed. Select all that apply.

  • DRDMG

    DRDMG

  • questions & answers

NURSING 265, NURS 2633 MATERNAL CHILD FINAL EXAM QUESTIONS AND VERIFIED ANSWERS LATEST 2023-2024 RASMUSSEN UNIVERSITY(CO...

15 USD

0

0

NUR 2755 MULTIDIMENSIONAL CARE IV FINAL EXAM 100  QUESTIONS AND CORRECT ANSWERS- RASMUSSEN UNIVERSITY  Why teach patient to deep breath and cough after surgery
View Document

NUR 2755 MULTIDIMENSIONAL CARE IV FINAL EXAM 100 QUESTIONS AND CORRECT ANSWERS- RASMUSSEN UNIVERSITY Why teach patient to deep breath and cough after surgery

  • DRDMG

    DRDMG

  • questions & answers

NUR 2755 MULTIDIMENSIONAL CARE IV FINAL EXAM 100 QUESTIONS AND CORRECT ANSWERS- RASMUSSEN UNIVERSITY Why teach patient...

10 USD

0

0

ATI TEAS 7 MATH EXAM LATEST 2022-2023  PRACTICE TEST WITH ANSWER KEY
View Document

ATI TEAS 7 MATH EXAM LATEST 2022-2023 PRACTICE TEST WITH ANSWER KEY

  • DRDMG

    DRDMG

  • questions & answers

ATI TEAS 7 MATH EXAM LATEST 2022-2023 PRACTICE TEST WITH ANSWER KEY...

15 USD

0

0

NUR 198 MATERNITY EXAM 3 FINAL (2 DIFFERENT VERSIONS )LATEST 2022-2024 QUESTIONS  AND ANSWERS NUR198 MATERNITY FINAL EXAM LATEST ALL QUESTIONS & ANSWERS  COMPLETE EXAM |  ALREADY GRADED A  1) The nurse is aware that a newborn must be dried completely after it is born to prevent which type of heat loss?  a)	Radiation
View Document

NUR 198 MATERNITY EXAM 3 FINAL (2 DIFFERENT VERSIONS )LATEST 2022-2024 QUESTIONS AND ANSWERS NUR198 MATERNITY FINAL EXAM LATEST ALL QUESTIONS & ANSWERS COMPLETE EXAM | ALREADY GRADED A 1) The nurse is aware that a newborn must be dried completely after it is born to prevent which type of heat loss? a) Radiation

  • DRDMG

    DRDMG

  • ati medical surgical

NUR 198 MATERNITY EXAM 3 FINAL (2 DIFFERENT VERSIONS )LATEST 2022-2024 QUESTIONS AND ANSWERS NUR198 MATERNITY FINAL EXA...

12 USD

0

0

NUR 2513 Maternal-Child Nursing Exam 1 latest 2023-2026 FORM A Rasmussen College
View Document

NUR 2513 Maternal-Child Nursing Exam 1 latest 2023-2026 FORM A Rasmussen College

  • DRDMG

    DRDMG

  • ati medical surgical

NUR 2513 Maternal-Child Nursing Exam 1, latest 2023-2025 FORM A Rasmussen College...

10 USD

0

0

BSCI 170 Exams 1-4  Questions & Answers - Latest Update VERIFIED
View Document

BSCI 170 Exams 1-4 Questions & Answers - Latest Update VERIFIED

  • DYNAMICSCORES254

    DYNAMICSCORES254

  • exam

BSCI 170 Exams 1-4 Questions & Answers - Latest Update VERIFIED...

12 USD

0

0

ATI TEAS 7 SCIENCE EXAM LATEST UPDATE  2023, 2024    REAL EXAM QUESTIONS WITH CORRECT  ANSWERS  TOP GRADE SCORE GUARANTEE, A+
View Document

ATI TEAS 7 SCIENCE EXAM LATEST UPDATE 2023, 2024 REAL EXAM QUESTIONS WITH CORRECT ANSWERS TOP GRADE SCORE GUARANTEE, A+

  • Maggie

    Maggie

  • ati

ATI TEAS 7 SCIENCE EXAM LATEST UPDATE 2023, 2024 REAL EXAM QUESTIONS WITH CORRECT ANSWERS TOP GRADE SCORE GUARANTE...

20 USD

0

0

ATI TEAS 7 TEST BANK ON READING,  MATHEMATICS, SCIENCE, ENGLISH AND  LANGUAGE USAGE EXAMS WITH ANSWER  KEY AND EXPLANATIONS IN THE LAST  PAGES.  REAL EXAM QUESTIONS AND CORRECT  EXPLAINED ANSWERS  BEST COMPLETE PACKAGE FOR EXAM  PREPARATION  TOP GRADE SCORE GUARANTEE  DOWNLOAD TO SECURE A+ GRADE
View Document

ATI TEAS 7 TEST BANK ON READING, MATHEMATICS, SCIENCE, ENGLISH AND LANGUAGE USAGE EXAMS WITH ANSWER KEY AND EXPLANATIONS IN THE LAST PAGES. REAL EXAM QUESTIONS AND CORRECT EXPLAINED ANSWERS BEST COMPLETE PACKAGE FOR EXAM PREPARATION TOP GRADE SCORE GUARANTEE DOWNLOAD TO SECURE A+ GRADE

  • Maggie

    Maggie

  • ati

ATI TEAS 7 TEST BANK ON READING, MATHEMATICS, SCIENCE, ENGLISH AND LANGUAGE USAGE EXAMS WITH ANSWER KEY AND EXPLANATI...

23 USD

0

0

WGU C799 WEB DEVELOPMENT  FOUNDITIONS FINAL EXAM  LATEST UPDATE 2023, 2024  REAL EXAM, QUESTIONS AND CORRECT  ANSWERS  TOP GRADE SCORE GUARANTEE, A  GRADE
View Document

WGU C799 WEB DEVELOPMENT FOUNDITIONS FINAL EXAM LATEST UPDATE 2023, 2024 REAL EXAM, QUESTIONS AND CORRECT ANSWERS TOP GRADE SCORE GUARANTEE, A GRADE

  • Maggie

    Maggie

  • questions & answers

WGU C799 WEB DEVELOPMENT FOUNDITIONS FINAL EXAM LATEST UPDATE 2023, 2024 REAL EXAM, QUESTIONS AND CORRECT ANSWERS T...

15 USD

0

0

CCMA EXAM (NHA) LATEST UPDATE  2023, 2024  REAL EXAM, QUESTIONS AND CORRECT  ANSWERS.  TOP GRADE SCORE GUARANTEE, A+
View Document

CCMA EXAM (NHA) LATEST UPDATE 2023, 2024 REAL EXAM, QUESTIONS AND CORRECT ANSWERS. TOP GRADE SCORE GUARANTEE, A+

  • Maggie

    Maggie

  • questions & answers

CCMA EXAM (NHA) LATEST UPDATE 2023, 2024 REAL EXAM, QUESTIONS AND CORRECT ANSWERS. TOP GRADE SCORE GUARANTEE, A+ –...

23 USD

0

0

CCMA (AMT, NHA, AAMA) EXAM LATEST  UPDATE 2023, 2024  REAL EXAM WITH CORRECT ANSWERS  TOP GRADE SCORE GUARANTEE, A+ PASS  BEST QUESTIONS TO PREPARE FOR  NATIONAL CERTIFICATION
View Document

CCMA (AMT, NHA, AAMA) EXAM LATEST UPDATE 2023, 2024 REAL EXAM WITH CORRECT ANSWERS TOP GRADE SCORE GUARANTEE, A+ PASS BEST QUESTIONS TO PREPARE FOR NATIONAL CERTIFICATION

  • Maggie

    Maggie

  • questions & answers

CCMA (AMT, NHA, AAMA) EXAM LATEST UPDATE 2023, 2024 REAL EXAM WITH CORRECT ANSWERS TOP GRADE SCORE GUARANTEE, A+ PASS...

23 USD

0

0

NUR 2571 NUR 2571 FINAL EXAM; Professional Nursing II Final Exam  PN2 FINAL EXAM REVIEW 2023,2024 Rasmussen VERIFIED ANSWERS
View Document

NUR 2571 NUR 2571 FINAL EXAM; Professional Nursing II Final Exam PN2 FINAL EXAM REVIEW 2023,2024 Rasmussen VERIFIED ANSWERS

  • DYNAMICSCORES254

    DYNAMICSCORES254

  • exam

NUR 2571 NUR 2571 FINAL EXAM; Professional Nursing II Final Exam PN2 FINAL EXAM REVIEW 2023,2024 Rasmussen VERIFIED ANS...

15 USD

0

0

ATI TEAS ENGLISH AND LANGUAGE  USAGE LATEST UPDATE 2023, 2024  REAL EXAM, QUESTIONS AND CORRECT  ANSWERS  TOP GRADE SCORE GUARANTEE, A+
View Document

ATI TEAS ENGLISH AND LANGUAGE USAGE LATEST UPDATE 2023, 2024 REAL EXAM, QUESTIONS AND CORRECT ANSWERS TOP GRADE SCORE GUARANTEE, A+

  • Maggie

    Maggie

  • ati

ATI TEAS ENGLISH AND LANGUAGE USAGE LATEST UPDATE 2023, 2024 REAL EXAM, QUESTIONS AND CORRECT ANSWERS TOP GRADE SCOR...

19 USD

0

0

ATI TEAS ENGLISH AND LANGUAGE  USAGE  REAL EXAM, QUESTIONS AND CORRECT  ANSWERS  LATEST UPDATE 2023, 2024  TOP GRADE SCORE GUARANTEE, A+
View Document

ATI TEAS ENGLISH AND LANGUAGE USAGE REAL EXAM, QUESTIONS AND CORRECT ANSWERS LATEST UPDATE 2023, 2024 TOP GRADE SCORE GUARANTEE, A+

  • Maggie

    Maggie

  • ati

ATI TEAS ENGLISH AND LANGUAGE USAGE REAL EXAM, QUESTIONS AND CORRECT ANSWERS LATEST UPDATE 2023, 2024 TOP GRADE SCO...

13 USD

0

0

ATI TEAS SCIENCE PRACTICE TEST  LATEST UPDATE 2023, 2024  REAL EXAM QUESTIONS AND CORRECT  ANSWERS  TOP GRADE SCORE GUARANTEE, A+
View Document

ATI TEAS SCIENCE PRACTICE TEST LATEST UPDATE 2023, 2024 REAL EXAM QUESTIONS AND CORRECT ANSWERS TOP GRADE SCORE GUARANTEE, A+

  • Maggie

    Maggie

  • ati

ATI TEAS SCIENCE PRACTICE TEST LATEST UPDATE 2023, 2024 REAL EXAM QUESTIONS AND CORRECT ANSWERS TOP GRADE SCORE GUAR...

19 USD

0

0

NSG 552 EXAM 3 LATEST UPDATE  2023, 2024. REAL EXAM QUESTIONS  WITH CORRECT ANSWERS. TOP GRADE  SCORE GUARANTEE, A+
View Document

NSG 552 EXAM 3 LATEST UPDATE 2023, 2024. REAL EXAM QUESTIONS WITH CORRECT ANSWERS. TOP GRADE SCORE GUARANTEE, A+

  • Maggie

    Maggie

  • questions & answers

NSG 552 EXAM 3 LATEST UPDATE 2023, 2024. REAL EXAM QUESTIONS WITH CORRECT ANSWERS. TOP GRADE SCORE GUARANTEE, A+ – ...

15 USD

0

0

CALIFONIA OPTOMETRY LAWS AND  REGULATIONS EXAM LATEST UPDATE  2023, 2024  REAL EXAM QUESTIONS AND CORRECT  ANSWERS. TOP GRADE SCORE  GUARANTEE, A+
View Document

CALIFONIA OPTOMETRY LAWS AND REGULATIONS EXAM LATEST UPDATE 2023, 2024 REAL EXAM QUESTIONS AND CORRECT ANSWERS. TOP GRADE SCORE GUARANTEE, A+

  • Maggie

    Maggie

  • questions & answers

CALIFONIA OPTOMETRY LAWS AND REGULATIONS EXAM LATEST UPDATE 2023, 2024 REAL EXAM QUESTIONS AND CORRECT ANSWERS. TOP ...

21 USD

0

0

CPSS OPHTHAMOLOGY EXAM LATEST  UPDATE 2023, 2024  REAL EXAM QUESTIONS AND CORRECT  ANSWERS  TOP GRADE SCORE GUARANTEE, A+
View Document

CPSS OPHTHAMOLOGY EXAM LATEST UPDATE 2023, 2024 REAL EXAM QUESTIONS AND CORRECT ANSWERS TOP GRADE SCORE GUARANTEE, A+

  • Maggie

    Maggie

  • questions & answers

CPSS OPHTHAMOLOGY EXAM LATEST UPDATE 2023, 2024 REAL EXAM QUESTIONS AND CORRECT ANSWERS TOP GRADE SCORE GUARANTEE, A...

15 USD

0

0

WGU D265 CRITICAL THINKING: REASON  AND EVIDENCE EXAM LATEST UPDATE  2023, 2024  REAL EXAM QUESTIONS AND CORRECT  ANSWERS  TOP GRADE SCORE GUARANTEE, A+
View Document

WGU D265 CRITICAL THINKING: REASON AND EVIDENCE EXAM LATEST UPDATE 2023, 2024 REAL EXAM QUESTIONS AND CORRECT ANSWERS TOP GRADE SCORE GUARANTEE, A+

  • Maggie

    Maggie

  • questions & answers

WGU D265 CRITICAL THINKING: REASON AND EVIDENCE EXAM LATEST UPDATE 2023, 2024 REAL EXAM QUESTIONS AND CORRECT ANSWER...

18 USD

0

0

WGU D265 CRITICAL THINKING: REASON  AND EVIDENCE EXAM LATEST UPDATE  2023, 2024  REAL EXAM QUESTIONS AND CORRECT  ANSWERS  TOP RATED, GRADED A+
View Document

WGU D265 CRITICAL THINKING: REASON AND EVIDENCE EXAM LATEST UPDATE 2023, 2024 REAL EXAM QUESTIONS AND CORRECT ANSWERS TOP RATED, GRADED A+

  • Maggie

    Maggie

  • questions & answers

WGU D265 CRITICAL THINKING: REASON AND EVIDENCE EXAM LATEST UPDATE 2023, 2024 REAL EXAM QUESTIONS AND CORRECT ANSWER...

13 USD

0

0

COURSE CAREERS FINAL EXAM STUDY  GUIDE LATEST UPDATE 2023,  2024  REAL EXAM, QUESTIONS AND CORRECT  ANSWERS  TOP RATED, GRADED A+
View Document

COURSE CAREERS FINAL EXAM STUDY GUIDE LATEST UPDATE 2023, 2024 REAL EXAM, QUESTIONS AND CORRECT ANSWERS TOP RATED, GRADED A+

  • Maggie

    Maggie

  • questions & answers

COURSE CAREERS FINAL EXAM STUDY GUIDE LATEST UPDATE 2023, 2024 REAL EXAM, QUESTIONS AND CORRECT ANSWERS TOP RATED, ...

18 USD

0

0

NCLEX U WORLD REVIEW EXAM LATEST  UPDATE 2023, 2024  REAL EXAM, QUESTIONS AND CORRECT  ANSWERS  TOP GRADE SCORE GUARANTEE, A+  GRADED
View Document

NCLEX U WORLD REVIEW EXAM LATEST UPDATE 2023, 2024 REAL EXAM, QUESTIONS AND CORRECT ANSWERS TOP GRADE SCORE GUARANTEE, A+ GRADED

  • Maggie

    Maggie

  • nclex

NCLEX U WORLD REVIEW EXAM LATEST UPDATE 2023, 2024 REAL EXAM, QUESTIONS AND CORRECT ANSWERS TOP GRADE SCORE GUARANTE...

22 USD

0

0

DBIA EXAM 1, 2, 3 LATEST UPDATE  2023, 2024  REAL EXAM QUESTIONS AND CORRECT  ANSWERS  TOP RATED, GRADED A+
View Document

DBIA EXAM 1, 2, 3 LATEST UPDATE 2023, 2024 REAL EXAM QUESTIONS AND CORRECT ANSWERS TOP RATED, GRADED A+

  • Maggie

    Maggie

  • questions & answers

DBIA EXAM 1, 2, 3 LATEST UPDATE 2023, 2024 REAL EXAM QUESTIONS AND CORRECT ANSWERS TOP RATED, GRADED A+ – Download...

23 USD

0

0

PHTLS POST TEST EXAM LATEST UPDATE  2023, 2024  REAL EXAM QUESTIONS AND CORRECT  ANSWERS  TOP GRADE SCORE GUARANTEE, A +  GRADED
View Document

PHTLS POST TEST EXAM LATEST UPDATE 2023, 2024 REAL EXAM QUESTIONS AND CORRECT ANSWERS TOP GRADE SCORE GUARANTEE, A + GRADED

  • Maggie

    Maggie

  • questions & answers

PHTLS POST TEST EXAM LATEST UPDATE 2023, 2024 REAL EXAM QUESTIONS AND CORRECT ANSWERS TOP GRADE SCORE GUARANTEE, A +...

12 USD

0

0

PA PEDIATRIC EOR EXAM LATEST  UPDATE 2023, 2024  REAL EXAM QUESTIONS AND CORRECT  ANSWERS  TOP RATED, GRADED A+
View Document

PA PEDIATRIC EOR EXAM LATEST UPDATE 2023, 2024 REAL EXAM QUESTIONS AND CORRECT ANSWERS TOP RATED, GRADED A+

  • Maggie

    Maggie

  • questions & answers

PA PEDIATRIC EOR EXAM LATEST UPDATE 2023, 2024 REAL EXAM QUESTIONS AND CORRECT ANSWERS TOP RATED, GRADED A+ – Down...

18 USD

0

0

PAEA PEDIATRICS EOR TOPICS EXAMS  LATEST UPDATE 2023, 2024  (PPP USED, PREVIOUS STUDY GUIDE,  CURRENT DIAGNOSIS AND TREATMENT)  REAL EXAM QUESTIONS AND CORRECT  ANSWERS  TOP GRADE SCORE GUARANTEE, A+
View Document

PAEA PEDIATRICS EOR TOPICS EXAMS LATEST UPDATE 2023, 2024 (PPP USED, PREVIOUS STUDY GUIDE, CURRENT DIAGNOSIS AND TREATMENT) REAL EXAM QUESTIONS AND CORRECT ANSWERS TOP GRADE SCORE GUARANTEE, A+

  • Maggie

    Maggie

  • questions & answers

PAEA PEDIATRICS EOR TOPICS EXAMS LATEST UPDATE 2023, 2024 (PPP USED, PREVIOUS STUDY GUIDE, CURRENT DIAGNOSIS AND TREA...

21 USD

0

0

SPEX 303 EXAM LATEST UPDATE  2023, 2024  REAL EXAM QUESTIONS AND CORRECT  ANSWERS  TOP RATED, A+ GRADED
View Document

SPEX 303 EXAM LATEST UPDATE 2023, 2024 REAL EXAM QUESTIONS AND CORRECT ANSWERS TOP RATED, A+ GRADED

  • Maggie

    Maggie

  • questions & answers

SPEX 303 EXAM LATEST UPDATE 2023, 2024 REAL EXAM QUESTIONS AND CORRECT ANSWERS TOP RATED, A+ GRADED – Download PDF...

18 USD

0

0

AMEDD BOLC FINAL EXAM LATEST  UPDATE 2023, 2024  REAL EXAM QUESTIONS AND CORRECT  ANSWERS  TOP RATED, GRADED A+
View Document

AMEDD BOLC FINAL EXAM LATEST UPDATE 2023, 2024 REAL EXAM QUESTIONS AND CORRECT ANSWERS TOP RATED, GRADED A+

  • Maggie

    Maggie

  • questions & answers

AMEDD BOLC FINAL EXAM LATEST UPDATE 2023, 2024 REAL EXAM QUESTIONS AND CORRECT ANSWERS TOP RATED, GRADED A+ – Down...

21 USD

0

0

AMEDD BOLC MIDTERM EXAM LATEST  UPDATE 2023, 2024  ACTUAL EXAM QUESTIONS AND  CORRECT ANSWERS  TOP GRADE SCORE GUARANTEE, A+
View Document

AMEDD BOLC MIDTERM EXAM LATEST UPDATE 2023, 2024 ACTUAL EXAM QUESTIONS AND CORRECT ANSWERS TOP GRADE SCORE GUARANTEE, A+

  • Maggie

    Maggie

  • questions & answers

AMEDD BOLC MIDTERM EXAM LATEST UPDATE 2023, 2024 ACTUAL EXAM QUESTIONS AND CORRECT ANSWERS TOP GRADE SCORE GUARANTEE...

18 USD

0

0

COMPLETE NERC TEST QUESTIONS  LATEST UPDATE 2023, 2024  REAL EXAM QUESTIONS AND CORRECT  ANSWERS  TOP RATED, GRADED A+  BEST FOR EXAM PREPARATION
View Document

COMPLETE NERC TEST QUESTIONS LATEST UPDATE 2023, 2024 REAL EXAM QUESTIONS AND CORRECT ANSWERS TOP RATED, GRADED A+ BEST FOR EXAM PREPARATION

  • Maggie

    Maggie

  • questions & answers

COMPLETE NERC TEST QUESTIONS LATEST UPDATE 2023, 2024 REAL EXAM QUESTIONS AND CORRECT ANSWERS TOP RATED, GRADED A+ ...

23 USD

0

0

BIOD 151 Final Exam 150 Practice Questions & Answers (2026-2026) Graded A+
View Document

BIOD 151 Final Exam 150 Practice Questions & Answers (2026-2026) Graded A+

  • DRDMG

    DRDMG

  • study guide

BIOD 151 FINAL EXAM 150 PRACTICE QUESTIONS & ANSWERS (2025-2026) GRADED A+...

12 USD

0

0

Bates nursing guide to physical examination and history taking 11th edition Test Bank | Complete Chapters| Rated A+
View Document

Bates nursing guide to physical examination and history taking 11th edition Test Bank | Complete Chapters| Rated A+

  • Highergrades

    Highergrades

  • study guide

Bates nursing guide to physical examination and history taking 11th edition Test Bank | Complete Chapters| Rated A+...

25 USD

0

0

ATI PHARMACOLOGY PROCTORED EXAM VERIFIED QUESTIONS AND ANSWERS (LATEST UPDATE)
View Document

ATI PHARMACOLOGY PROCTORED EXAM VERIFIED QUESTIONS AND ANSWERS (LATEST UPDATE)

  • Highergrades

    Highergrades

  • study guide

ATI PHARMACOLOGY PROCTORED EXAM VERIFIED QUESTIONS AND ANSWERS (LATEST UPDATE)...

16 USD

0

0

BSCI 170 Exams 1-4 Questions & Answers -Latest Update
View Document

BSCI 170 Exams 1-4 Questions & Answers -Latest Update

  • Highergrades

    Highergrades

  • study guide

BSCI 170 Exams 1-4 Questions & Answers -Latest Update...

10 USD

0

0

BARKLEY PNP DRT 1 EXAM QUESTIONS and ANSWERS
View Document

BARKLEY PNP DRT 1 EXAM QUESTIONS and ANSWERS

  • Highergrades

    Highergrades

  • study guide

BARKLEY PNP DRT 1 EXAM QUESTIONS and ANSWERS – Download PDF...

12 USD

0

0

Barkley PNP DRT 2 EXAM Questions and Answers
View Document

Barkley PNP DRT 2 EXAM Questions and Answers

  • Highergrades

    Highergrades

  • study guide

Barkley PNP DRT 2 EXAM Questions and Answers...

11 USD

0

0

ATI RN LEADERSHIP LATEST 2023 FORM B REAL EXAM QUESTIONS AND CORRECT ANSWERS(ALL ANSWERS ARE CORRECT)|AGRADE
View Document

ATI RN LEADERSHIP LATEST 2023 FORM B REAL EXAM QUESTIONS AND CORRECT ANSWERS(ALL ANSWERS ARE CORRECT)|AGRADE

  • mumbi

    mumbi

  • ati proctored

ATI RN LEADERSHIP LATEST 2023 FORM B REAL EXAM QUESTIONS AND CORRECT ANSWERS(ALL ANSWERS ARE CORRECT)|AGRADE...

21 USD

0

0

ATI RN NURSING CARE OF CHILDREN NUR 212 PROCTORED EXAM  Q& A GURANTEED SUCCESS LATEST UPDATE 2022, 2023 HIGHLY RATED A+ SCORE
View Document

ATI RN NURSING CARE OF CHILDREN NUR 212 PROCTORED EXAM Q& A GURANTEED SUCCESS LATEST UPDATE 2022, 2023 HIGHLY RATED A+ SCORE

  • Alkseltzer

    Alkseltzer

  • exam

ATI RN NURSING CARE OF CHILDREN NUR 212 PROCTORED EXAM Q& A GURANTEED SUCCESS LATEST UPDATE 2022, 2023 HIGHLY RATED A+ ...

28 USD

0

0

ATI PN LEADERSHIP PROCTORED EXAM VERSION 1
View Document

ATI PN LEADERSHIP PROCTORED EXAM VERSION 1

  • Alkseltzer

    Alkseltzer

  • exam

ATI PN LEADERSHIP PROCTORED EXAM VERSION 1...

27 USD

0

0

NRNP 6675 Week 11 Final Exam  LATEST 2022, 2023 GRADED A+  (Q&A)
View Document

NRNP 6675 Week 11 Final Exam LATEST 2022, 2023 GRADED A+ (Q&A)

  • Alkseltzer

    Alkseltzer

  • exam

NRNP 6675 Week 11 Final Exam LATEST 2022, 2023 GRADED A+ (Q&A) – Download PDF...

21 USD

0

0

NURS 2502 - Pathophysiology Exam 2 Questions and Verified Answers
View Document

NURS 2502 - Pathophysiology Exam 2 Questions and Verified Answers

  • Highergrades

    Highergrades

  • study guide

NURS 2502 - Pathophysiology Exam 2 Questions and Verified Answers...

13 USD

0

0

WGU C706 Secure Software Design Exam Guide Questions & Verified Answers
View Document

WGU C706 Secure Software Design Exam Guide Questions & Verified Answers

  • Highergrades

    Highergrades

  • study guide

WGU C706 Secure Software Design Exam Guide Questions & Verified Answers...

12 USD

0

0

NUR 2571, NUR2571 Final Exam: Professional Nursing II Final Exam, PN2 Final Exam Review (Latest 2024)
View Document

NUR 2571, NUR2571 Final Exam: Professional Nursing II Final Exam, PN2 Final Exam Review (Latest 2024)

  • Highergrades

    Highergrades

  • study guide

NUR 2571, NUR2571 Final Exam: Professional Nursing II Final Exam, PN2 Final Exam Review (Latest 2024) – Download PDF...

13 USD

0

0

NAHQ TEST EXAM LATEST UPDATE  2023, 2024  ACTUAL EXAM QUESTIONS WITH  CORRECT ANSWERS  TOP GRADE SCORE GUARANTEE, A+
View Document

NAHQ TEST EXAM LATEST UPDATE 2023, 2024 ACTUAL EXAM QUESTIONS WITH CORRECT ANSWERS TOP GRADE SCORE GUARANTEE, A+

  • Maggie

    Maggie

  • questions & answers

NAHQ TEST EXAM LATEST UPDATE 2023, 2024 ACTUAL EXAM QUESTIONS WITH CORRECT ANSWERS TOP GRADE SCORE GUARANTEE, A+ –...

13 USD

0

0

COMPLETE ASCP MLT EXAM LATEST  UPDATE 2023, 2024  REAL EXAM QUESTIONS AND CORRECT  ANSWERS  TOP GRADE SCORE GUARANTEE, A+
View Document

COMPLETE ASCP MLT EXAM LATEST UPDATE 2023, 2024 REAL EXAM QUESTIONS AND CORRECT ANSWERS TOP GRADE SCORE GUARANTEE, A+

  • Maggie

    Maggie

  • questions & answers

COMPLETE ASCP MLT EXAM LATEST UPDATE 2023, 2024 REAL EXAM QUESTIONS AND CORRECT ANSWERS TOP GRADE SCORE GUARANTEE, A...

18 USD

0

0

NUR 232 PEDIATRIC EXAM 2 LATEST  UPDATE 2023, 2024  REAL EXAM QUESTIONS AND CORRECT  ANSWERS  TOP RATED, GRADED A+
View Document

NUR 232 PEDIATRIC EXAM 2 LATEST UPDATE 2023, 2024 REAL EXAM QUESTIONS AND CORRECT ANSWERS TOP RATED, GRADED A+

  • Maggie

    Maggie

  • questions & answers

NUR 232 PEDIATRIC EXAM 2 LATEST UPDATE 2023, 2024 REAL EXAM QUESTIONS AND CORRECT ANSWERS TOP RATED, GRADED A+ – D...

8 USD

0

0

CARE OF PATIENTS WITH DIABETES  MELLITUS STUDY GUIDE LATEST UPDATE  2023, 2024  REAL EXAM QUESTIONS AND CORRECT  ANSWERS  TOP RATED, GRADED A+
View Document

CARE OF PATIENTS WITH DIABETES MELLITUS STUDY GUIDE LATEST UPDATE 2023, 2024 REAL EXAM QUESTIONS AND CORRECT ANSWERS TOP RATED, GRADED A+

  • Maggie

    Maggie

  • study guide

CARE OF PATIENTS WITH DIABETES MELLITUS STUDY GUIDE LATEST UPDATE 2023, 2024 REAL EXAM QUESTIONS AND CORRECT ANSWERS...

13 USD

0

0

NUR 205 EXAM LATEST UPDATE  2023, 2024  REAL EXAM QUESTIONS AND CORRECT  ANSWERS  TOP GRADE SCORE GUARANTEE, GRADED  A+
View Document

NUR 205 EXAM LATEST UPDATE 2023, 2024 REAL EXAM QUESTIONS AND CORRECT ANSWERS TOP GRADE SCORE GUARANTEE, GRADED A+

  • Maggie

    Maggie

  • questions & answers

NUR 205 EXAM LATEST UPDATE 2023, 2024 REAL EXAM QUESTIONS AND CORRECT ANSWERS TOP GRADE SCORE GUARANTEE, GRADED A+ ...

12 USD

0

0

ATI Comprehensive Predictor Exam 2019 B| ATI NCLEX Predictor 180 Questions and Correct Answers
View Document

ATI Comprehensive Predictor Exam 2019 B| ATI NCLEX Predictor 180 Questions and Correct Answers

  • DRDMG

    DRDMG

  • ati

ATI Comprehensive Predictor Exam 2019 B| ATI NCLEX Predictor 180 Questions and Correct Answers...

12 USD

0

0

ATI COMPREHENSIVE PREDICTOR EXAM 2019 A | ATI NCLEX PREDICTOR 180  QUESTIONS AND CORRECT ANSWERS
View Document

ATI COMPREHENSIVE PREDICTOR EXAM 2019 A | ATI NCLEX PREDICTOR 180 QUESTIONS AND CORRECT ANSWERS

  • DRDMG

    DRDMG

  • ati

ATI COMPREHENSIVE PREDICTOR EXAM 2019 A | ATI NCLEX PREDICTOR 180 QUESTIONS AND CORRECT ANSWERS A nurse is conducting g...

14 USD

0

0

ATI Comprehensive Predictor Exam QUESTIONS AND CORRECT ANSWERS UPDATED 2026 GRADED A+
View Document

ATI Comprehensive Predictor Exam QUESTIONS AND CORRECT ANSWERS UPDATED 2026 GRADED A+

  • DRDMG

    DRDMG

  • ati

ATI Comprehensive Predictor Exam QUESTIONS AND CORRECT ANSWERS UPDATED 2025 GRADED A+...

10 USD

0

0

ATI COMPREHENSIVE PREDICTOR EXAM 2022, 2023| ATI NCLEX PREDICTOR 180  QUESTIONS AND CORRECT ANSWERS (90 Percent  PROBABILITY OF PASSING THE NCLEX)
View Document

ATI COMPREHENSIVE PREDICTOR EXAM 2022, 2023| ATI NCLEX PREDICTOR 180 QUESTIONS AND CORRECT ANSWERS (90 Percent PROBABILITY OF PASSING THE NCLEX)

  • DRDMG

    DRDMG

  • ati

ATI COMPREHENSIVE PREDICTOR EXAM 2022, 2023| ATI NCLEX PREDICTOR 180 QUESTIONS AND CORRECT ANSWERS (90 Percent PROBABI...

15 USD

0

0

ATI COMPREHENSIVE PREDICTOR EXAM 2019 | ATI NCLEX PREDICTOR 180 QUESTIONS AND CORRECT ANSWERS GRADED A+
View Document

ATI COMPREHENSIVE PREDICTOR EXAM 2019 | ATI NCLEX PREDICTOR 180 QUESTIONS AND CORRECT ANSWERS GRADED A+

  • DRDMG

    DRDMG

  • ati

ATI COMPREHENSIVE PREDICTOR EXAM 2019 | ATI NCLEX PREDICTOR 180 QUESTIONS AND CORRECT ANSWERS GRADED A+ – Download PDF...

14 USD

0

0

ATI COMPREHENSIVE EXIT FINAL EXAM 180 QUESTIONS AND VERIFIED ANSWERS GRADED A+ •	A nurse in an emergency department completes an assessment on an adolescent client that has conduct disorder. The client threatened suicide to teacher at school. Which of the following statements should the nurse include in the assessment?
View Document

ATI COMPREHENSIVE EXIT FINAL EXAM 180 QUESTIONS AND VERIFIED ANSWERS GRADED A+ • A nurse in an emergency department completes an assessment on an adolescent client that has conduct disorder. The client threatened suicide to teacher at school. Which of the following statements should the nurse include in the assessment?

  • DRDMG

    DRDMG

  • ati

ATI COMPREHENSIVE EXIT FINAL EXAM 180 QUESTIONS AND VERIFIED ANSWERS GRADED A+ • A nurse in an emergency department co...

14 USD

0

0

ATI  PROCTOR, ATI PROCTORED FUNDAMENTALS EXAM  QUESTIONS WITH CORRECT ANSWERS AND EXPLANATIONS NEW VERSION 2024-2026!!!!  A nurse is assisting with the plan of care for a client who has aphasia following a stroke. Which of the following interventions should the nurse use to assist the client with communication?
View Document

ATI PROCTOR, ATI PROCTORED FUNDAMENTALS EXAM QUESTIONS WITH CORRECT ANSWERS AND EXPLANATIONS NEW VERSION 2024-2026!!!! A nurse is assisting with the plan of care for a client who has aphasia following a stroke. Which of the following interventions should the nurse use to assist the client with communication?

  • DRDMG

    DRDMG

  • ati

ATI PROCTOR, ATI PROCTORED FUNDAMENTALS EXAM QUESTIONS WITH CORRECT ANSWERS AND EXPLANATIONS NEW VERSION 2024-2025!!!!...

15 USD

0

0

ATI PROCTOR ATI PROCTORED FUNDAMENTALS EXAM QUESTIONS WITH CORRECT ANSWERS AND EXPLANATIONS NEW VERSION!!!!   A nurse is collecting data on four clients. Which of the following findings should the nurse report to the provider
View Document

ATI PROCTOR ATI PROCTORED FUNDAMENTALS EXAM QUESTIONS WITH CORRECT ANSWERS AND EXPLANATIONS NEW VERSION!!!! A nurse is collecting data on four clients. Which of the following findings should the nurse report to the provider

  • DRDMG

    DRDMG

  • ati

ATI PROCTOR ATI PROCTORED FUNDAMENTALS EXAM QUESTIONS WITH CORRECT ANSWERS AND EXPLANATIONS NEW VERSION!!!! A nurse is...

15 USD

0

0

HUMAN RESOURCE MANAGEMENT, 13TH EDITION  INTRODUCTON TO HUMAN RESOURCE  MANAGEMENT  REAL EXAM QUESTIONS AND CORRECT  ANSWERS  TOP RATED, GRADED A+
View Document

HUMAN RESOURCE MANAGEMENT, 13TH EDITION INTRODUCTON TO HUMAN RESOURCE MANAGEMENT REAL EXAM QUESTIONS AND CORRECT ANSWERS TOP RATED, GRADED A+

  • Maggie

    Maggie

  • questions & answers

HUMAN RESOURCE MANAGEMENT, 13TH EDITION INTRODUCTON TO HUMAN RESOURCE MANAGEMENT REAL EXAM QUESTIONS AND CORRECT ANS...

24 USD

0

0

ISSA EXAM QUESTIONS AND CORRECT  ANSWERS LATEST UPDATE 2023, 2024  TOP RATED, GRADED A+
View Document

ISSA EXAM QUESTIONS AND CORRECT ANSWERS LATEST UPDATE 2023, 2024 TOP RATED, GRADED A+

  • Maggie

    Maggie

  • questions & answers

ISSA EXAM QUESTIONS AND CORRECT ANSWERS LATEST UPDATE 2023, 2024 TOP RATED, GRADED A+ – Download PDF...

12 USD

0

0

ATI CMMUNITY HEALTH PROTOCORED  2021 | 2022 RETAKE GUIDE EXAM LATEST  UPDATE  REAL EXAM QUESTIONS AND CORRECT  ANSWERS  TOP RATED, GRADED A+
View Document

ATI CMMUNITY HEALTH PROTOCORED 2021 | 2022 RETAKE GUIDE EXAM LATEST UPDATE REAL EXAM QUESTIONS AND CORRECT ANSWERS TOP RATED, GRADED A+

  • Maggie

    Maggie

  • ati

ATI CMMUNITY HEALTH PROTOCORED 2021 | 2022 RETAKE GUIDE EXAM LATEST UPDATE REAL EXAM QUESTIONS AND CORRECT ANSWERS ...

17 USD

0

0

ATI COMMUNITY HEALTH PROTOCORED  EXAM 2019 LATEST UPDATE  REAL EXAM, 100 QUESTIONS AND  CORRECT ANSWERS  TOP RATED, GRADED A+
View Document

ATI COMMUNITY HEALTH PROTOCORED EXAM 2019 LATEST UPDATE REAL EXAM, 100 QUESTIONS AND CORRECT ANSWERS TOP RATED, GRADED A+

  • Maggie

    Maggie

  • ati

ATI COMMUNITY HEALTH PROTOCORED EXAM 2019 LATEST UPDATE REAL EXAM, 100 QUESTIONS AND CORRECT ANSWERS TOP RATED, GRAD...

10 USD

0

0

ATI COMPREHENSIVE EXIT EXAM LATEST UPDATE  2023 | 2024  REALEXAM; 540 EXAM QUESTIONS AND CORRECT  ANSWERS  TOP GRADE SCORE GUARANTEE, A+  3 DIFFERENT VERSIONS
View Document

ATI COMPREHENSIVE EXIT EXAM LATEST UPDATE 2023 | 2024 REALEXAM; 540 EXAM QUESTIONS AND CORRECT ANSWERS TOP GRADE SCORE GUARANTEE, A+ 3 DIFFERENT VERSIONS

  • Maggie

    Maggie

  • ati

ATI COMPREHENSIVE EXIT EXAM LATEST UPDATE 2023 | 2024 REALEXAM; 540 EXAM QUESTIONS AND CORRECT ANSWERS TOP GRADE SCO...

23 USD

0

0

ATI MATERNAL NEWBORN EXAM LATEST  UPDATE 2023 | 2024  REAL EXAM QUESTIONS AND CORRECT  ANSWERS  TOP RATED, GRADED A+  BEST STUDY GUIDE FOR EXAM  PREPARATION
View Document

ATI MATERNAL NEWBORN EXAM LATEST UPDATE 2023 | 2024 REAL EXAM QUESTIONS AND CORRECT ANSWERS TOP RATED, GRADED A+ BEST STUDY GUIDE FOR EXAM PREPARATION

  • Maggie

    Maggie

  • ati

ATI MATERNAL NEWBORN EXAM LATEST UPDATE 2023 | 2024 REAL EXAM QUESTIONS AND CORRECT ANSWERS TOP RATED, GRADED A+ BE...

26 USD

0

0

ATI NUTRITION RETAKE EXAM  LATEST UPDATE 2023 | 2024  REAL EXAM; 300 QUESTIONS AND  CORRECT ANSWERS  TOP RATED, GRADED A+
View Document

ATI NUTRITION RETAKE EXAM LATEST UPDATE 2023 | 2024 REAL EXAM; 300 QUESTIONS AND CORRECT ANSWERS TOP RATED, GRADED A+

  • Maggie

    Maggie

  • ati

ATI NUTRITION RETAKE EXAM LATEST UPDATE 2023 | 2024 REAL EXAM; 300 QUESTIONS AND CORRECT ANSWERS TOP RATED, GRADED A...

19 USD

0

0

ATI PROTOCORED NUTRITION EXAM 2019  LATEST UPDATE  REALEXAM QUESTIONS AND CORRECT  ANSWERS  TOP RATED, GRADED A+
View Document

ATI PROTOCORED NUTRITION EXAM 2019 LATEST UPDATE REALEXAM QUESTIONS AND CORRECT ANSWERS TOP RATED, GRADED A+

  • Maggie

    Maggie

  • ati

ATI PROTOCORED NUTRITION EXAM 2019 LATEST UPDATE REALEXAM QUESTIONS AND CORRECT ANSWERS TOP RATED, GRADED A+...

12 USD

0

0

ATI PN COMPREHENSIVE PREDICTOR  FORM A, B, C, AND D LATEST UPDATE  2023, 2024  REAL EXAM QUESTIONS AND CORRECT  ANSWERS  TOP RATED, GRADED A+
View Document

ATI PN COMPREHENSIVE PREDICTOR FORM A, B, C, AND D LATEST UPDATE 2023, 2024 REAL EXAM QUESTIONS AND CORRECT ANSWERS TOP RATED, GRADED A+

  • Maggie

    Maggie

  • ati

ATI PN COMPREHENSIVE PREDICTOR FORM A, B, C, AND D LATEST UPDATE 2023, 2024 REAL EXAM QUESTIONS AND CORRECT ANSWERS ...

24 USD

0

0

ATI MATERNAL NEWBORN PROTOCORED  EXAM LATEST UPDATE 2023, 2024  REAL EXAM QUESTIONS AND CORRECT  ANSWERS.TOP RATED, GRADED A+
View Document

ATI MATERNAL NEWBORN PROTOCORED EXAM LATEST UPDATE 2023, 2024 REAL EXAM QUESTIONS AND CORRECT ANSWERS.TOP RATED, GRADED A+

  • Maggie

    Maggie

  • ati

ATI MATERNAL NEWBORN PROTOCORED EXAM LATEST UPDATE 2023, 2024 REAL EXAM QUESTIONS AND CORRECT ANSWERS.TOP RATED, GRAD...

21 USD

0

0

ATI TEAS 6 SCIENCE EXAM STUDY GUIDE LATEST  UPDATE 2023, 2024  BEST STUDY GUIDE FOR EXAM PREPARATION  TOP GRADE SCORE GUARANTEE, A+
View Document

ATI TEAS 6 SCIENCE EXAM STUDY GUIDE LATEST UPDATE 2023, 2024 BEST STUDY GUIDE FOR EXAM PREPARATION TOP GRADE SCORE GUARANTEE, A+

  • Maggie

    Maggie

  • ati

ATI TEAS 6 SCIENCE EXAM STUDY GUIDE LATEST UPDATE 2023, 2024 BEST STUDY GUIDE FOR EXAM PREPARATION TOP GRADE SCORE GU...

15 USD

0

0

ATI RN COMPRREHENSIVE PREDICTOR  RETAKE 2019 FORM A, B, C AND D LATEST  UPDATE 2023, 2024  REAL EXAM QUESTIONS AND CORRECT  ASWERS  TOP GRADE SCORE GUARANTEE, A+
View Document

ATI RN COMPRREHENSIVE PREDICTOR RETAKE 2019 FORM A, B, C AND D LATEST UPDATE 2023, 2024 REAL EXAM QUESTIONS AND CORRECT ASWERS TOP GRADE SCORE GUARANTEE, A+

  • Maggie

    Maggie

  • ati

ATI RN COMPRREHENSIVE PREDICTOR RETAKE 2019 FORM A, B, C AND D LATEST UPDATE 2023, 2024 REAL EXAM QUESTIONS AND CORRE...

24 USD

0

0

BASIC FIREFIGHTER EXAM LATEST  UPDATE 2023 | 2024  REAL EXAM QUESTIONS AND CORECT  ANSWERS  TOP GRADE SCORE GUARANTEE, GRADED  A +
View Document

BASIC FIREFIGHTER EXAM LATEST UPDATE 2023 | 2024 REAL EXAM QUESTIONS AND CORECT ANSWERS TOP GRADE SCORE GUARANTEE, GRADED A +

  • Maggie

    Maggie

  • questions & answers

BASIC FIREFIGHTER EXAM LATEST UPDATE 2023 | 2024 REAL EXAM QUESTIONS AND CORECT ANSWERS TOP GRADE SCORE GUARANTEE, G...

12 USD

0

0

ATI COMMUNITY HEALTH  PROTOCORED EXAM 2019 LATEST  UPDATE  REAL EXAM QUESTIONS WITH  CORRECT ANSWERS  TOP RATED, GRADED A+
View Document

ATI COMMUNITY HEALTH PROTOCORED EXAM 2019 LATEST UPDATE REAL EXAM QUESTIONS WITH CORRECT ANSWERS TOP RATED, GRADED A+

  • Maggie

    Maggie

  • ati

ATI COMMUNITY HEALTH PROTOCORED EXAM 2019 LATEST UPDATE REAL EXAM QUESTIONS WITH CORRECT ANSWERS TOP RATED, GRADED ...

10 USD

0

0

HESI RN COMMUNITY HEALTH EXIT EXAM LATEST UPDATE 2023, 2024 REAL EXAM QUESTIONS AND CORRECT ANSWERS TOP RATED, GRADED A+
View Document

HESI RN COMMUNITY HEALTH EXIT EXAM LATEST UPDATE 2023, 2024 REAL EXAM QUESTIONS AND CORRECT ANSWERS TOP RATED, GRADED A+

  • Maggie

    Maggie

  • hesi

HESI RN COMMUNITY HEALTH EXIT EXAM LATEST UPDATE 2023, 2024 REAL EXAM QUESTIONS AND CORRECT ANSWERS TOP RATED, GRADED A+...

8 USD

0

0

CAPSTONE 2944 COMMUNITY HEALH  PROTOCORED EXAM LATEST UPDATE  2023, 2024  REAL EXAM QUESTIONS AND CORRECT  ANSWERS  TOP RATED, GRADED A+
View Document

CAPSTONE 2944 COMMUNITY HEALH PROTOCORED EXAM LATEST UPDATE 2023, 2024 REAL EXAM QUESTIONS AND CORRECT ANSWERS TOP RATED, GRADED A+

  • Maggie

    Maggie

  • questions & answers

CAPSTONE 2944 COMMUNITY HEALH PROTOCORED EXAM LATEST UPDATE 2023, 2024 REAL EXAM QUESTIONS AND CORRECT ANSWERS TOP ...

16 USD

0

0

COMPLETE COMMUNITY HEALTH NURSING TEST  BANK  A CANADIAN PERSPECTIVE, 5TH EDITION  STAMLER 2020  FROM CHAPTER 1 TO 33  REAL EXAM QUESTIONS AND CORRECT ANSWER  BEST TESTBANK ON COMMUNITY HEALTH FOR  EXAM PREPARATION  TOP RATED, GRADED A +
View Document

COMPLETE COMMUNITY HEALTH NURSING TEST BANK A CANADIAN PERSPECTIVE, 5TH EDITION STAMLER 2020 FROM CHAPTER 1 TO 33 REAL EXAM QUESTIONS AND CORRECT ANSWER BEST TESTBANK ON COMMUNITY HEALTH FOR EXAM PREPARATION TOP RATED, GRADED A +

  • Maggie

    Maggie

  • test bank

COMPLETE COMMUNITY HEALTH NURSING TEST BANK A CANADIAN PERSPECTIVE, 5TH EDITION STAMLER 2020 FROM CHAPTER 1 TO 33 R...

30 USD

0

0

HESI RN CRITICAL CARE EXIT XAM  LATEST UPDATE 2023, 2024  REAL EXAM QUESTIONS WITH  CORRECT ANSWERS  TOP RATED, GRADED A+
View Document

HESI RN CRITICAL CARE EXIT XAM LATEST UPDATE 2023, 2024 REAL EXAM QUESTIONS WITH CORRECT ANSWERS TOP RATED, GRADED A+

  • Maggie

    Maggie

  • hesi

HESI RN CRITICAL CARE EXIT XAM LATEST UPDATE 2023, 2024 REAL EXAM QUESTIONS WITH CORRECT ANSWERS TOP RATED, GRADED A...

15 USD

0

0

HESI RN CRITICAL CARE EXIT EXAM LATEST  UPDATE 2023, 2024  REAL EXAM; 100 EXAM QUESTIONS AND CORRECT  ANSWERS  TOP RATED, GRADED A+
View Document

HESI RN CRITICAL CARE EXIT EXAM LATEST UPDATE 2023, 2024 REAL EXAM; 100 EXAM QUESTIONS AND CORRECT ANSWERS TOP RATED, GRADED A+

  • Maggie

    Maggie

  • hesi

HESI RN CRITICAL CARE EXIT EXAM LATEST UPDATE 2023, 2024 REAL EXAM; 100 EXAM QUESTIONS AND CORRECT ANSWERS TOP RATED...

20 USD

0

0

DAANCE ALL MODULES LATEST UPDATE 2023 | 2024  REAL EXAM QUESTIONS AND CORRECT ANSWERS  TOP GRADE SCORE GUARANTEE, A+
View Document

DAANCE ALL MODULES LATEST UPDATE 2023 | 2024 REAL EXAM QUESTIONS AND CORRECT ANSWERS TOP GRADE SCORE GUARANTEE, A+

  • Maggie

    Maggie

  • questions & answers

DAANCE ALL MODULES LATEST UPDATE 2023 | 2024 REAL EXAM QUESTIONS AND CORRECT ANSWERS TOP GRADE SCORE GUARANTEE, A+ –...

19 USD

0

0

DENTAL MANAGEMENT OF THE MEDICALLY  COMPROMISED PATIENT 8TH EDITION TESTBANK  EXAM QUESTIONS AND CORRECT ANSWERS  TOP RATED GRADED A+
View Document

DENTAL MANAGEMENT OF THE MEDICALLY COMPROMISED PATIENT 8TH EDITION TESTBANK EXAM QUESTIONS AND CORRECT ANSWERS TOP RATED GRADED A+

  • Maggie

    Maggie

  • questions & answers

DENTAL MANAGEMENT OF THE MEDICALLY COMPROMISED PATIENT 8TH EDITION TESTBANK EXAM QUESTIONS AND CORRECT ANSWERS TOP RA...

15 USD

0

0

EPIC CLN 251, 252 SAMPLE EXAM LATEST  UPDATE 2023 | 2024  REAL EXAM QUESTIONS AND CORRECT  ANSWERS  TOP RATED, GRADED A+
View Document

EPIC CLN 251, 252 SAMPLE EXAM LATEST UPDATE 2023 | 2024 REAL EXAM QUESTIONS AND CORRECT ANSWERS TOP RATED, GRADED A+

  • Maggie

    Maggie

  • questions & answers

EPIC CLN 251, 252 SAMPLE EXAM LATEST UPDATE 2023 | 2024 REAL EXAM QUESTIONS AND CORRECT ANSWERS TOP RATED, GRADED A+...

10 USD

0

0

CU NR 546 EXAM MIDTERM EXAM LATEST  UPDATE 2023 | 2024  REAL EXAM UESTIONS AND CORRECT  ANSWERS  TOP RATED, GRADED A+
View Document

CU NR 546 EXAM MIDTERM EXAM LATEST UPDATE 2023 | 2024 REAL EXAM UESTIONS AND CORRECT ANSWERS TOP RATED, GRADED A+

  • Maggie

    Maggie

  • questions & answers

CU NR 546 EXAM MIDTERM EXAM LATEST UPDATE 2023 | 2024 REAL EXAM UESTIONS AND CORRECT ANSWERS TOP RATED, GRADED A+ ďż˝...

13 USD

0

0

NR 546 NEUROTRANSMISSIONS EXAM  LATEST UPDATE 2023, 2024  REAL EXAM QUESTIONS AND CORRECT  ANSWERS  TOP RATED, GRADED A+
View Document

NR 546 NEUROTRANSMISSIONS EXAM LATEST UPDATE 2023, 2024 REAL EXAM QUESTIONS AND CORRECT ANSWERS TOP RATED, GRADED A+

  • Maggie

    Maggie

  • questions & answers

NR 546 NEUROTRANSMISSIONS EXAM LATEST UPDATE 2023, 2024 REAL EXAM QUESTIONS AND CORRECT ANSWERS TOP RATED, GRADED A+...

10 USD

0

0

NR 546 MIDTERM EXAM LATEST UPDATE  2023 | 2024  REAL EXAM QUESTIONS AND CORRECT  ANSWERS  TOP GRADE SCORE GUARANTEE, A+
View Document

NR 546 MIDTERM EXAM LATEST UPDATE 2023 | 2024 REAL EXAM QUESTIONS AND CORRECT ANSWERS TOP GRADE SCORE GUARANTEE, A+

  • Maggie

    Maggie

  • questions & answers

NR 546 MIDTERM EXAM LATEST UPDATE 2023 | 2024 REAL EXAM QUESTIONS AND CORRECT ANSWERS TOP GRADE SCORE GUARANTEE, A+ ...

22 USD

0

0

500+ TOP TOEFL EXAM 2023 | 2024  WORD LIST  REAL WORDS FROM TOEFL EXAM AND  CORRECT DEFFINITION  TOP RATED, GRADED A+
View Document

500+ TOP TOEFL EXAM 2023 | 2024 WORD LIST REAL WORDS FROM TOEFL EXAM AND CORRECT DEFFINITION TOP RATED, GRADED A+

  • Maggie

    Maggie

  • exam

500+ TOP TOEFL EXAM 2023 | 2024 WORD LIST REAL WORDS FROM TOEFL EXAM AND CORRECT DEFFINITION TOP RATED, GRADED A+ ďż˝...

15 USD

0

0

RELIAS ONCOLOGY RN EXAM LATEST  UPDATE 2023 | 2024  REAL EXAM UESTIONS AND CORRECT  ANSWERS  TOP GRADE SCORE GUARANTEE,  GRADED A+
View Document

RELIAS ONCOLOGY RN EXAM LATEST UPDATE 2023 | 2024 REAL EXAM UESTIONS AND CORRECT ANSWERS TOP GRADE SCORE GUARANTEE, GRADED A+

  • Maggie

    Maggie

  • questions & answers

RELIAS ONCOLOGY RN EXAM LATEST UPDATE 2023 | 2024 REAL EXAM UESTIONS AND CORRECT ANSWERS TOP GRADE SCORE GUARANTEE, ...

10 USD

0

0

HOSA PHARMACOLOGY EXAM LATEST  UPDATE 2023 | 2024  REAL EXAM QUESTIONS AND CORRECT  ANSWERS  TOP GRADE SCORE GUARANTEE,  GRADED A+
View Document

HOSA PHARMACOLOGY EXAM LATEST UPDATE 2023 | 2024 REAL EXAM QUESTIONS AND CORRECT ANSWERS TOP GRADE SCORE GUARANTEE, GRADED A+

  • Maggie

    Maggie

  • questions & answers

HOSA PHARMACOLOGY EXAM LATEST UPDATE 2023 | 2024 REAL EXAM QUESTIONS AND CORRECT ANSWERS TOP GRADE SCORE GUARANTEE, ...

20 USD

0

0

CMS MATERNAL NEWBORN PRACTICE B  EXAM LATEST UPDATE 2023, 2024  REAL EXAM QUESTIONS AD CORRECT  ANSWERS  TOP GRADE SCORE GUARANTEE,  GRADED A+
View Document

CMS MATERNAL NEWBORN PRACTICE B EXAM LATEST UPDATE 2023, 2024 REAL EXAM QUESTIONS AD CORRECT ANSWERS TOP GRADE SCORE GUARANTEE, GRADED A+

  • Maggie

    Maggie

  • questions & answers

CMS MATERNAL NEWBORN PRACTICE B EXAM LATEST UPDATE 2023, 2024 REAL EXAM QUESTIONS AD CORRECT ANSWERS TOP GRADE SCORE...

12 USD

0

0

CPHIMS EXAM LATEST VERSION  2023 | 2024  REAL EXAM UESTIONS AND CORRECT  ANSWERS  TOP GRADE SCORE GUARANTEE,  GRADED A+
View Document

CPHIMS EXAM LATEST VERSION 2023 | 2024 REAL EXAM UESTIONS AND CORRECT ANSWERS TOP GRADE SCORE GUARANTEE, GRADED A+

  • Maggie

    Maggie

  • questions & answers

CPHIMS EXAM LATEST VERSION 2023 | 2024 REAL EXAM UESTIONS AND CORRECT ANSWERS TOP GRADE SCORE GUARANTEE, GRADED A+ ...

20 USD

0

0

ATI VATI MATERNAL NEWBORN  ASSESSMENT 2021 LATEST UPDATE  REAL EXAM QUESTIONS AND CORRECT  ANSWERS  TOP GRADE SCORE GUARANTEE, GRADED  A+
View Document

ATI VATI MATERNAL NEWBORN ASSESSMENT 2021 LATEST UPDATE REAL EXAM QUESTIONS AND CORRECT ANSWERS TOP GRADE SCORE GUARANTEE, GRADED A+

  • Maggie

    Maggie

  • ati

ATI VATI MATERNAL NEWBORN ASSESSMENT 2021 LATEST UPDATE REAL EXAM QUESTIONS AND CORRECT ANSWERS TOP GRADE SCORE GUAR...

12 USD

0

0

ATI VATI PN COMPREHENSIVE EXAM 2019 FORM A  UPDATED VERSION  REAL EXAM; 180 EXAM QUESTIONS AND CORRECT  ANSWERS  TOP GRADE SCORE GUARANTEE, A+
View Document

ATI VATI PN COMPREHENSIVE EXAM 2019 FORM A UPDATED VERSION REAL EXAM; 180 EXAM QUESTIONS AND CORRECT ANSWERS TOP GRADE SCORE GUARANTEE, A+

  • Maggie

    Maggie

  • ati

ATI VATI PN COMPREHENSIVE EXAM 2019 FORM A UPDATED VERSION REAL EXAM; 180 EXAM QUESTIONS AND CORRECT ANSWERS TOP GRA...

16 USD

0

0

ATI COMPREHENSIVE RETAAKE 2019  FORM C WITH NGN UPDATED VERSION  REAL EXAM UESTIONS WITH CORRECT  ANSWERS  TOP GRADE SCORE GUARANTEE, GRADED  A+
View Document

ATI COMPREHENSIVE RETAAKE 2019 FORM C WITH NGN UPDATED VERSION REAL EXAM UESTIONS WITH CORRECT ANSWERS TOP GRADE SCORE GUARANTEE, GRADED A+

  • Maggie

    Maggie

  • ati

ATI COMPREHENSIVE RETAAKE 2019 FORM C WITH NGN UPDATED VERSION REAL EXAM UESTIONS WITH CORRECT ANSWERS TOP GRADE SCO...

19 USD

0

0

ATI COMPREHENSIVE PREDICTOR 2022  UPDATED VERSION  REAL EXAM QUESTIONS AND CORRECT  ANSWERS  TOP GRADE SCORE GUARANTEE, A+
View Document

ATI COMPREHENSIVE PREDICTOR 2022 UPDATED VERSION REAL EXAM QUESTIONS AND CORRECT ANSWERS TOP GRADE SCORE GUARANTEE, A+

  • Maggie

    Maggie

  • ati

ATI COMPREHENSIVE PREDICTOR 2022 UPDATED VERSION REAL EXAM QUESTIONS AND CORRECT ANSWERS TOP GRADE SCORE GUARANTEE, ...

18 USD

0

0

ATI LEADERSHIP PRTOCORED EXAM 2019  B UPDATED VERSION  REAL EXAM QUESTIONS AND CORRECT  ANSWERS  TOP GRADE SCORE GUARANTEE, GRADED  A+
View Document

ATI LEADERSHIP PRTOCORED EXAM 2019 B UPDATED VERSION REAL EXAM QUESTIONS AND CORRECT ANSWERS TOP GRADE SCORE GUARANTEE, GRADED A+

  • Maggie

    Maggie

  • ati

ATI LEADERSHIP PRTOCORED EXAM 2019 B UPDATED VERSION REAL EXAM QUESTIONS AND CORRECT ANSWERS TOP GRADE SCORE GUARANT...

13 USD

0

0

ATI MENTAL HEALTH A, B, C PROTOCORED EXAM  2019 UPDATED VERSION  REAL EXAM QUESTIONS AND CORRECT  ANSWERS  TOP GRADE SCORE GUARANTEE, GRADED A+
View Document

ATI MENTAL HEALTH A, B, C PROTOCORED EXAM 2019 UPDATED VERSION REAL EXAM QUESTIONS AND CORRECT ANSWERS TOP GRADE SCORE GUARANTEE, GRADED A+

  • Maggie

    Maggie

  • ati

ATI MENTAL HEALTH A, B, C PROTOCORED EXAM 2019 UPDATED VERSION REAL EXAM QUESTIONS AND CORRECT ANSWERS TOP GRADE SCO...

21 USD

0

0

ATI PEDIATRIC PROTOCORED EXAM 2019  LATEST UPDATE  REAL EXAM QUESTIONS AND CORRECT  ANSWERS  4 EXAMS  TOP GRADE SCORE GUARANTEE, A+
View Document

ATI PEDIATRIC PROTOCORED EXAM 2019 LATEST UPDATE REAL EXAM QUESTIONS AND CORRECT ANSWERS 4 EXAMS TOP GRADE SCORE GUARANTEE, A+

  • Maggie

    Maggie

  • ati

ATI PEDIATRIC PROTOCORED EXAM 2019 LATEST UPDATE REAL EXAM QUESTIONS AND CORRECT ANSWERS 4 EXAMS TOP GRADE SCORE GU...

16 USD

0

0

ATI PHARMACOLOGY PROTOCORED EXAM  2019 LATEST UPDATE  REAL EXAM QUESTIONS AND CORRECT  ANSWERS  TOP GRADE SCORE GUARANTEE, GRADED  A+
View Document

ATI PHARMACOLOGY PROTOCORED EXAM 2019 LATEST UPDATE REAL EXAM QUESTIONS AND CORRECT ANSWERS TOP GRADE SCORE GUARANTEE, GRADED A+

  • Maggie

    Maggie

  • ati

ATI PHARMACOLOGY PROTOCORED EXAM 2019 LATEST UPDATE REAL EXAM QUESTIONS AND CORRECT ANSWERS TOP GRADE SCORE GUARANTE...

16 USD

0

0

ATI PN MATERNAL NEWBORN  PROTOCORED EXAM 2021 | 2022  UPDATED VERSION FORM A AND B  REAL EXAM UESTIONS AND CORRECT  ANSWERS  TOP GRADE SCORE GUARANTEE,  GRADED A+
View Document

ATI PN MATERNAL NEWBORN PROTOCORED EXAM 2021 | 2022 UPDATED VERSION FORM A AND B REAL EXAM UESTIONS AND CORRECT ANSWERS TOP GRADE SCORE GUARANTEE, GRADED A+

  • Maggie

    Maggie

  • ati

ATI PN MATERNAL NEWBORN PROTOCORED EXAM 2021 | 2022 UPDATED VERSION FORM A AND B REAL EXAM UESTIONS AND CORRECT ANSW...

14 USD

0

0

ATI COMPREHENSIVE PREDICTOR EXAM  LATEST UPDATE 2023, 2024  REAL EXAM QUESTIONS AND CORRECT  ANSWERS  TOP GRADE SCORE GUARANTEE, A+
View Document

ATI COMPREHENSIVE PREDICTOR EXAM LATEST UPDATE 2023, 2024 REAL EXAM QUESTIONS AND CORRECT ANSWERS TOP GRADE SCORE GUARANTEE, A+

  • Maggie

    Maggie

  • ati

ATI COMPREHENSIVE PREDICTOR EXAM LATEST UPDATE 2023, 2024 REAL EXAM QUESTIONS AND CORRECT ANSWERS TOP GRADE SCORE GU...

20 USD

0

0

NR 599 MIDTERM EXAM LATEST UPDATE  2023 | 2024  REAL EXAM QUESTIONS AND CORRECT  ANSWERS  TOP GRADE SCORE GUARANTEE,  GRADED A+
View Document

NR 599 MIDTERM EXAM LATEST UPDATE 2023 | 2024 REAL EXAM QUESTIONS AND CORRECT ANSWERS TOP GRADE SCORE GUARANTEE, GRADED A+

  • Maggie

    Maggie

  • questions & answers

NR 599 MIDTERM EXAM LATEST UPDATE 2023 | 2024 REAL EXAM QUESTIONS AND CORRECT ANSWERS TOP GRADE SCORE GUARANTEE, GR...

10 USD

0

0

NR 599 FINAL EXAM WEEK 4 | NR 599  FINAL EXAM LATEST UPDATE 2023 | 2024  REAL EXAM QUESTIONS AND CORRECT  ANSWERS  TOP GRADE SCORE GUARANTEE,  GRADED A+
View Document

NR 599 FINAL EXAM WEEK 4 | NR 599 FINAL EXAM LATEST UPDATE 2023 | 2024 REAL EXAM QUESTIONS AND CORRECT ANSWERS TOP GRADE SCORE GUARANTEE, GRADED A+

  • Maggie

    Maggie

  • questions & answers

NR 599 FINAL EXAM WEEK 4 | NR 599 FINAL EXAM LATEST UPDATE 2023 | 2024 REAL EXAM QUESTIONS AND CORRECT ANSWERS TOP G...

10 USD

0

0

NR 599 MIDTERM EXAM LATEST VERSION  2023 | 2024  REAL EXAM QUESTIONS AND CORRECT  ANSWERS  TOP GRADE SCORE GUARANTEE, A+
View Document

NR 599 MIDTERM EXAM LATEST VERSION 2023 | 2024 REAL EXAM QUESTIONS AND CORRECT ANSWERS TOP GRADE SCORE GUARANTEE, A+

  • Maggie

    Maggie

  • questions & answers

NR 599 MIDTERM EXAM LATEST VERSION 2023 | 2024 REAL EXAM QUESTIONS AND CORRECT ANSWERS TOP GRADE SCORE GUARANTEE, A+...

10 USD

0

0

NR 599 MIDTERM EXAM  REAL EXAM QUESTIONS AND CORRECT  ANSWERS  LATEST UPDATE 2023, 2024  TOP GRADE SCORE GUARANTEE, A+
View Document

NR 599 MIDTERM EXAM REAL EXAM QUESTIONS AND CORRECT ANSWERS LATEST UPDATE 2023, 2024 TOP GRADE SCORE GUARANTEE, A+

  • Maggie

    Maggie

  • questions & answers

NR 599 MIDTERM EXAM REAL EXAM QUESTIONS AND CORRECT ANSWERS LATEST UPDATE 2023, 2024 TOP GRADE SCORE GUARANTEE, A+ ďż˝...

8 USD

0

0

NRNP 6675 MIDTERM EXAM LATEST  UPDATE 2026  REAL EXAM QUESTIONS AND  CORRECT ANSWERS  TOP GRADE SCORE GUARANTEE, A+
View Document

NRNP 6675 MIDTERM EXAM LATEST UPDATE 2026 REAL EXAM QUESTIONS AND CORRECT ANSWERS TOP GRADE SCORE GUARANTEE, A+

  • Maggie

    Maggie

  • questions & answers

NRNP 6675 MIDTERM EXAM LATEST UPDATE 2025 REAL EXAM QUESTIONS AND CORRECT ANSWERS TOP GRADE SCORE GUARANTEE, A+...

16 USD

0

0

ATLS (ADVANCED TRAUMA LIFE  SUPPORT) POST TEST EXAM  QUESTIONS AND CORRECT  ANSWERS  TOP GRADE SCORE GUARANTEE, A+
View Document

ATLS (ADVANCED TRAUMA LIFE SUPPORT) POST TEST EXAM QUESTIONS AND CORRECT ANSWERS TOP GRADE SCORE GUARANTEE, A+

  • Maggie

    Maggie

  • ati

ATLS (ADVANCED TRAUMA LIFE SUPPORT) POST TEST EXAM QUESTIONS AND CORRECT ANSWERS TOP GRADE SCORE GUARANTEE, A+...

12 USD

0

0

BIOD 151 MODULE 1 EXAM REVIEW WITH ANSWER  KEY (Portage learning) UPDATED  2023, 2024.REAL EXAM
View Document

BIOD 151 MODULE 1 EXAM REVIEW WITH ANSWER KEY (Portage learning) UPDATED 2023, 2024.REAL EXAM

  • Maggie

    Maggie

  • ati

BIOD 151 MODULE 1 EXAM REVIEW WITH ANSWER KEY (Portage learning) UPDATED 2023, 2024.REAL EXAM – Download PDF...

12 USD

0

0

AGILE SAFE 5.1 2022 WITH UPDATED  ANSWERS  REAL EXAM QUESTIONS AND CORRECT  ANSWERS  TOP GRADE SCORE GUARANTEE
View Document

AGILE SAFE 5.1 2022 WITH UPDATED ANSWERS REAL EXAM QUESTIONS AND CORRECT ANSWERS TOP GRADE SCORE GUARANTEE

  • Maggie

    Maggie

  • ati

AGILE SAFE 5.1 2022 WITH UPDATED ANSWERS REAL EXAM QUESTIONS AND CORRECT ANSWERS TOP GRADE SCORE GUARANTEE...

14 USD

0

0

NRNP 6540 FINAL EXAM 2023 | 2024  REAL EXAM QUESTIONS, CORRECT ANSWERS  AND FEEDBACK  TOP GRADE SCORE GUARANTEE, GRADED A+
View Document

NRNP 6540 FINAL EXAM 2023 | 2024 REAL EXAM QUESTIONS, CORRECT ANSWERS AND FEEDBACK TOP GRADE SCORE GUARANTEE, GRADED A+

  • Maggie

    Maggie

  • ati

NRNP 6540 FINAL EXAM 2023 | 2024 REAL EXAM QUESTIONS, CORRECT ANSWERS AND FEEDBACK TOP GRADE SCORE GUARANTEE, GRADED ...

23 USD

0

0

HESI ADN EXIT HESI LATEST UPDATE  2023 | 2024.REAL EXAM QUESTIONS  AND CORRECT ANSWERS  TOP GRADE SCORE GUARANTEE,  GRADED A+
View Document

HESI ADN EXIT HESI LATEST UPDATE 2023 | 2024.REAL EXAM QUESTIONS AND CORRECT ANSWERS TOP GRADE SCORE GUARANTEE, GRADED A+

  • Maggie

    Maggie

  • ati

HESI ADN EXIT HESI LATEST UPDATE 2023 | 2024.REAL EXAM QUESTIONS AND CORRECT ANSWERS TOP GRADE SCORE GUARANTEE, GRAD...

23 USD

0

0

ATI FUNDAMENTALS PROTOCOTED EXAM  2019 LATEST UPDATE  REAL EXAM QUESTIONS AND CORRECT  ANSWERS  TOP GRADE SCORE GUARANTEE, GRADED  A+
View Document

ATI FUNDAMENTALS PROTOCOTED EXAM 2019 LATEST UPDATE REAL EXAM QUESTIONS AND CORRECT ANSWERS TOP GRADE SCORE GUARANTEE, GRADED A+

  • Maggie

    Maggie

  • ati

ATI FUNDAMENTALS PROTOCOTED EXAM 2019 LATEST UPDATE REAL EXAM QUESTIONS AND CORRECT ANSWERS TOP GRADE SCORE GUARANTE...

12 USD

0

0

ATI FUNDAMENTALS PROTOCORED EXAM  RETAKE GUIDE 2023, 2024  REAL EXAM QUESTIONS AND CORRECT  ANSWERS  TOP RATED, GRADED A+
View Document

ATI FUNDAMENTALS PROTOCORED EXAM RETAKE GUIDE 2023, 2024 REAL EXAM QUESTIONS AND CORRECT ANSWERS TOP RATED, GRADED A+

  • Maggie

    Maggie

  • ati

ATI FUNDAMENTALS PROTOCORED EXAM RETAKE GUIDE 2023, 2024 REAL EXAM QUESTIONS AND CORRECT ANSWERS TOP RATED, GRADED A...

22 USD

0

0

HESI LEADERSHIP AND MANAGEMENT  STUDY GUIDE 2023 | 2024  REAL EXAM QUESTIONS AND CORRECT  ANSWERS  TOP GRADE SCORE GUARANTEE, GRADED  A+
View Document

HESI LEADERSHIP AND MANAGEMENT STUDY GUIDE 2023 | 2024 REAL EXAM QUESTIONS AND CORRECT ANSWERS TOP GRADE SCORE GUARANTEE, GRADED A+

  • Maggie

    Maggie

  • hesi

HESI LEADERSHIP AND MANAGEMENT STUDY GUIDE 2023 | 2024 REAL EXAM QUESTIONS AND CORRECT ANSWERS TOP GRADE SCORE GUARA...

10 USD

0

0

HESI GRAMMAR A2 VERSION 1 AND VERSION 2  COMPLETE ENTRANCE EXAM WITH REAL EXAM  QUESTIONS AND CORRECT VERIFIED ANSWERS  UPDATED 2023, 2024 SUCCESS RATE GUARANTEE, GRADED A+
View Document

HESI GRAMMAR A2 VERSION 1 AND VERSION 2 COMPLETE ENTRANCE EXAM WITH REAL EXAM QUESTIONS AND CORRECT VERIFIED ANSWERS UPDATED 2023, 2024 SUCCESS RATE GUARANTEE, GRADED A+

  • Maggie

    Maggie

  • hesi

HESI GRAMMAR A2 VERSION 1 AND VERSION 2 COMPLETE ENTRANCE EXAM WITH REAL EXAM QUESTIONS AND CORRECT VERIFIED ANSWERS ...

13 USD

0

0

HESI HEALTH ASSESSMENT 2022- 2024 TEST BANK REAL EXAM  QUESTIONS AND ANSWERS 100%  CORRECT.100% SUCCESS  GUARANTEE, GRADED A+
View Document

HESI HEALTH ASSESSMENT 2022- 2024 TEST BANK REAL EXAM QUESTIONS AND ANSWERS 100% CORRECT.100% SUCCESS GUARANTEE, GRADED A+

  • Maggie

    Maggie

  • hesi

HESI HEALTH ASSESSMENT 2022- 2024 TEST BANK REAL EXAM QUESTIONS AND ANSWERS 100% CORRECT.100% SUCCESS GUARANTEE, GRAD...

23 USD

0

0

ATI FINAL MATERNAL HEALTH EXAM 3  STUDY GUIDE 2023, 2024 LATEST  UPDATE. BEST STUDY GUIDE FOR  MATERNAL HEALTH EXAM  PREPARATION  EXAM QUESTIONS AND CORRECT  ANSWERS  TOP RATED, GRADED A+
View Document

ATI FINAL MATERNAL HEALTH EXAM 3 STUDY GUIDE 2023, 2024 LATEST UPDATE. BEST STUDY GUIDE FOR MATERNAL HEALTH EXAM PREPARATION EXAM QUESTIONS AND CORRECT ANSWERS TOP RATED, GRADED A+

  • Maggie

    Maggie

  • ati

ATI FINAL MATERNAL HEALTH EXAM 3 STUDY GUIDE 2023, 2024 LATEST UPDATE. BEST STUDY GUIDE FOR MATERNAL HEALTH EXAM PRE...

23 USD

0

0

HESI RN V2 MATH EXAM 2023 | 2024  REAL EXAM QUESTIONS AND CORRECT  ANSWERS  TOP GRADE SCORE GUARANTEE, GRADED  A+
View Document

HESI RN V2 MATH EXAM 2023 | 2024 REAL EXAM QUESTIONS AND CORRECT ANSWERS TOP GRADE SCORE GUARANTEE, GRADED A+

  • Maggie

    Maggie

  • hesi

HESI RN V2 MATH EXAM 2023 | 2024 REAL EXAM QUESTIONS AND CORRECT ANSWERS TOP GRADE SCORE GUARANTEE, GRADED A+ – Do...

15 USD

0

0

FUNDAMENTALS OF NURSING,  MICROBIOLOGY LAB FINAL EXAM  2023, 2024  REAL EXAM QUESTIONS AND  CORRECT ANSWERS  100% SUCCESS GUARANTEED,  GRADED A+
View Document

FUNDAMENTALS OF NURSING, MICROBIOLOGY LAB FINAL EXAM 2023, 2024 REAL EXAM QUESTIONS AND CORRECT ANSWERS 100% SUCCESS GUARANTEED, GRADED A+

  • Maggie

    Maggie

  • ati

FUNDAMENTALS OF NURSING, MICROBIOLOGY LAB FINAL EXAM 2023, 2024 REAL EXAM QUESTIONS AND CORRECT ANSWERS 100% SUCCES...

15 USD

0

0

NUR 6665 FINAL EXAM 2022 UPDATED  VERSION  REAL EXAM QUESTIONS AND CORRECT  ANSWERS  TOP RATED, GRADED A+
View Document

NUR 6665 FINAL EXAM 2022 UPDATED VERSION REAL EXAM QUESTIONS AND CORRECT ANSWERS TOP RATED, GRADED A+

  • Maggie

    Maggie

  • exam

NUR 6665 FINAL EXAM 2022 UPDATED VERSION REAL EXAM QUESTIONS AND CORRECT ANSWERS TOP RATED, GRADED A+...

8 USD

0

0

MEDICAL SURGICAL HEALTH RN A  PROPHECY EXAM 2023 | 2024  REAL EXAM QUESTIONS AND CORRECT  ANSWERS  TOP RATED, GRADED A+
View Document

MEDICAL SURGICAL HEALTH RN A PROPHECY EXAM 2023 | 2024 REAL EXAM QUESTIONS AND CORRECT ANSWERS TOP RATED, GRADED A+

  • Maggie

    Maggie

  • ati medical surgical

MEDICAL SURGICAL HEALTH RN A PROPHECY EXAM 2023 | 2024 REAL EXAM QUESTIONS AND CORRECT ANSWERS TOP RATED, GRADED A+ ...

8 USD

0

0

RN PHARMACOLOGY PROPHECY EXAM  2023 | 2024  REAL EXAM QUESTIONS AND CORRECT  ANSWERS  TOP RATED, GRADED A+
View Document

RN PHARMACOLOGY PROPHECY EXAM 2023 | 2024 REAL EXAM QUESTIONS AND CORRECT ANSWERS TOP RATED, GRADED A+

  • Maggie

    Maggie

  • ati

RN PHARMACOLOGY PROPHECY EXAM 2023 | 2024 REAL EXAM QUESTIONS AND CORRECT ANSWERS TOP RATED, GRADED A+ – Download ...

8 USD

0

0

ATI PN MATERNAL NEWBORN PROTOCORED EXAM  TEST BANK  COMPLETE PN ATI MATERNAL NEWBORN  PROTOCORED TEST BANK  30 LATEST UPDATED VERSIONS  REAL EXAM QUESTIONS AND CORRECT ANSWERS  TOP RATED, 100% SUCCESS GUARANTEE, GRADED  A+  BEST DOCUMENT FOR MATERNAL NEWBORN EXAM  PREPARATION
View Document

ATI PN MATERNAL NEWBORN PROTOCORED EXAM TEST BANK COMPLETE PN ATI MATERNAL NEWBORN PROTOCORED TEST BANK 30 LATEST UPDATED VERSIONS REAL EXAM QUESTIONS AND CORRECT ANSWERS TOP RATED, 100% SUCCESS GUARANTEE, GRADED A+ BEST DOCUMENT FOR MATERNAL NEWBORN EXAM PREPARATION

  • Maggie

    Maggie

  • ati

ATI PN MATERNAL NEWBORN PROTOCORED EXAM TEST BANK COMPLETE PN ATI MATERNAL NEWBORN PROTOCORED TEST BANK 30 LATEST UP...

28 USD

0

0

ATI PN MATERNAL NEWBORN ONLINE  PRACTICE B 2020 LATEST UPDATE  REAL EXAM QUESTIONS AND CORRECT  ANSWERS  TOP RATED, GRADED A+
View Document

ATI PN MATERNAL NEWBORN ONLINE PRACTICE B 2020 LATEST UPDATE REAL EXAM QUESTIONS AND CORRECT ANSWERS TOP RATED, GRADED A+

  • Maggie

    Maggie

  • ati

ATI PN MATERNAL NEWBORN ONLINE PRACTICE B 2020 LATEST UPDATE REAL EXAM QUESTIONS AND CORRECT ANSWERS TOP RATED, GRAD...

8 USD

0

0

ATI NURSING CARE OF CHILDREN PROTOCORED  EXAM 2021 7 LATEST UPDATED VERSIONS  REAL EXAM QUESTIONS AND CORRECT ANSWERS  TOP RATED, GRADED A+  COMPLETE AND BEST STUDY GUIDE FOR EXAM  PREPARATION
View Document

ATI NURSING CARE OF CHILDREN PROTOCORED EXAM 2021 7 LATEST UPDATED VERSIONS REAL EXAM QUESTIONS AND CORRECT ANSWERS TOP RATED, GRADED A+ COMPLETE AND BEST STUDY GUIDE FOR EXAM PREPARATION

  • Maggie

    Maggie

  • ati

ATI NURSING CARE OF CHILDREN PROTOCORED EXAM 2021 7 LATEST UPDATED VERSIONS REAL EXAM QUESTIONS AND CORRECT ANSWERS T...

24 USD

0

0

HESI RN EXIT EXAM QUESTIONS AND CORRECT ANSWERS 2023, GRADED A+ A morbidly obese client is scheduled for gastric bypass surgery. The client completes the required preoperative nutritional counseling and signs the operative permit. To promote effective discharge planning, which intervention is most important for the nurse to implement?
View Document

HESI RN EXIT EXAM QUESTIONS AND CORRECT ANSWERS 2023, GRADED A+ A morbidly obese client is scheduled for gastric bypass surgery. The client completes the required preoperative nutritional counseling and signs the operative permit. To promote effective discharge planning, which intervention is most important for the nurse to implement?

  • DRDMG

    DRDMG

  • hesi

HESI RN EXIT EXAM QUESTIONS AND CORRECT ANSWERS 2023, GRADED A+ A morbidly obese client is scheduled for gastric bypass ...

14 USD

0

0

ATI PN PHARMACOLOGY 2020 LATEST  UPDATE  REAL EXAM QUESTIONS AND CORRECT  ANSWERS  TOP GRADE SCORE GUARANTEE, GRADED A+
View Document

ATI PN PHARMACOLOGY 2020 LATEST UPDATE REAL EXAM QUESTIONS AND CORRECT ANSWERS TOP GRADE SCORE GUARANTEE, GRADED A+

  • Maggie

    Maggie

  • ati

ATI PN PHARMACOLOGY 2020 LATEST UPDATE REAL EXAM QUESTIONS AND CORRECT ANSWERS TOP GRADE SCORE GUARANTEE, GRADED A+...

14 USD

0

0

HESI PHARMACOLOGY EXAM 2023 | 2024  REAL EXAM QUESTIONS AND CORRECT  ANSWERS  TOP RATED GRADED A+
View Document

HESI PHARMACOLOGY EXAM 2023 | 2024 REAL EXAM QUESTIONS AND CORRECT ANSWERS TOP RATED GRADED A+

  • Maggie

    Maggie

  • hesi

HESI PHARMACOLOGY EXAM 2023 | 2024 REAL EXAM QUESTIONS AND CORRECT ANSWERS TOP RATED GRADED A+ – Download PDF...

10 USD

0

0

HESI MILESTONE EXAM LATEST UPDATE  2023 | 2024  REAL EXAM QUESTIONS AND CORRECT  EXPLAINED ANSWERS  TOP GRADE SCORE GUARANTEE, GRADED  A+
View Document

HESI MILESTONE EXAM LATEST UPDATE 2023 | 2024 REAL EXAM QUESTIONS AND CORRECT EXPLAINED ANSWERS TOP GRADE SCORE GUARANTEE, GRADED A+

  • Maggie

    Maggie

  • hesi

HESI MILESTONE EXAM LATEST UPDATE 2023 | 2024 REAL EXAM QUESTIONS AND CORRECT EXPLAINED ANSWERS TOP GRADE SCORE GUAR...

13 USD

0

0

HESI RN HEALTH ASSESSMENT NURSING  V1 EXAM 2023 | 2024  REAL EXAM QUESTIONS AND CORRECT  ANSWERS GUARANTEED SUCCESS, GRADED A+
View Document

HESI RN HEALTH ASSESSMENT NURSING V1 EXAM 2023 | 2024 REAL EXAM QUESTIONS AND CORRECT ANSWERS GUARANTEED SUCCESS, GRADED A+

  • Maggie

    Maggie

  • hesi

HESI RN HEALTH ASSESSMENT NURSING V1 EXAM 2023 | 2024 REAL EXAM QUESTIONS AND CORRECT ANSWERS GUARANTEED SUCCESS, GRA...

12 USD

0

0

HESI FUNDAMENTALS EXAM  12 LATEST UPDATED VERSIONS  REAL EXAM QUESTIONS WITH  CORRECT VERIFIED ANSWERS  100% GUARANTEED SUCCESS,  GRADED A+  BEST DOCUMENT FOR EXAM  PREPARATION
View Document

HESI FUNDAMENTALS EXAM 12 LATEST UPDATED VERSIONS REAL EXAM QUESTIONS WITH CORRECT VERIFIED ANSWERS 100% GUARANTEED SUCCESS, GRADED A+ BEST DOCUMENT FOR EXAM PREPARATION

  • Maggie

    Maggie

  • hesi

HESI FUNDAMENTALS EXAM 12 LATEST UPDATED VERSIONS REAL EXAM QUESTIONS WITH CORRECT VERIFIED ANSWERS 100% GUARANTEED ...

28 USD

0

0

HESI RN EXIT V4 2023 | 2024  REAL EXAM QUESTIONS AND  CORRECT ANSWERS  TOP GRADE SCORE GUARANTEE,  GRADED A+
View Document

HESI RN EXIT V4 2023 | 2024 REAL EXAM QUESTIONS AND CORRECT ANSWERS TOP GRADE SCORE GUARANTEE, GRADED A+

  • Maggie

    Maggie

  • hesi

HESI RN EXIT V4 2023 | 2024 REAL EXAM QUESTIONS AND CORRECT ANSWERS TOP GRADE SCORE GUARANTEE, GRADED A+ – Downloa...

12 USD

0

0

HESI RN EXIT V2 2022 LATEST UPDATE  REAL EXAM QUESTIONS AND CORRECT  ANSWERS  TOP GRADE SCORE GUARANTEE, GRADED  A+
View Document

HESI RN EXIT V2 2022 LATEST UPDATE REAL EXAM QUESTIONS AND CORRECT ANSWERS TOP GRADE SCORE GUARANTEE, GRADED A+

  • Maggie

    Maggie

  • hesi

HESI RN EXIT V2 2022 LATEST UPDATE REAL EXAM QUESTIONS AND CORRECT ANSWERS TOP GRADE SCORE GUARANTEE, GRADED A+...

13 USD

0

0

HESI RN EXIT FINAL EXAM 2023 | 2024  FAMILY NURSE PRACTITIONER AND  ADVANCED PRACTICE REGISTERED  NURSE (APRN)  REAL EXAM QUESTIONS AND CORRECT  ANSWERS. TOP GRADE SCORE  GUARANTEE, GRADED A+
View Document

HESI RN EXIT FINAL EXAM 2023 | 2024 FAMILY NURSE PRACTITIONER AND ADVANCED PRACTICE REGISTERED NURSE (APRN) REAL EXAM QUESTIONS AND CORRECT ANSWERS. TOP GRADE SCORE GUARANTEE, GRADED A+

  • Maggie

    Maggie

  • hesi

HESI RN EXIT FINAL EXAM 2023 | 2024 FAMILY NURSE PRACTITIONER AND ADVANCED PRACTICE REGISTERED NURSE (APRN) REAL EXA...

16 USD

0

0

HESI RN EXIT EXAM 3 PHARMACOLOGY  2023 | 2024  REAL EXAM QUESTIONS AND CORRECT  ANSWERS  TOP GRADE SCORE GUARANTEE, GRADED  A+
View Document

HESI RN EXIT EXAM 3 PHARMACOLOGY 2023 | 2024 REAL EXAM QUESTIONS AND CORRECT ANSWERS TOP GRADE SCORE GUARANTEE, GRADED A+

  • Maggie

    Maggie

  • hesi

HESI RN EXIT EXAM 3 PHARMACOLOGY 2023 | 2024 REAL EXAM QUESTIONS AND CORRECT ANSWERS TOP GRADE SCORE GUARANTEE, GRAD...

17 USD

0

0

HESI RN FUNDAMENTALS EXAM  2023 | 2024  REAL EXAM QUESTIONS AND CORRECT  ANSWERS  TOP GRADE SCORE GUARANTEE, GRADED  A+
View Document

HESI RN FUNDAMENTALS EXAM 2023 | 2024 REAL EXAM QUESTIONS AND CORRECT ANSWERS TOP GRADE SCORE GUARANTEE, GRADED A+

  • Maggie

    Maggie

  • hesi

HESI RN FUNDAMENTALS EXAM 2023 | 2024 REAL EXAM QUESTIONS AND CORRECT ANSWERS TOP GRADE SCORE GUARANTEE, GRADED A+ ...

19 USD

0

0

HESI RN MENTAL HEALTH V1- V3 2022  TEST BANK EXAM LATEST UPDATE  EXAM QUESTIONS AND CORRECT  ANSWERS  TOP GRADE SCORE GUARANTEE, GRADED  A+
View Document

HESI RN MENTAL HEALTH V1- V3 2022 TEST BANK EXAM LATEST UPDATE EXAM QUESTIONS AND CORRECT ANSWERS TOP GRADE SCORE GUARANTEE, GRADED A+

  • Maggie

    Maggie

  • hesi

HESI RN MENTAL HEALTH V1- V3 2022 TEST BANK EXAM LATEST UPDATE EXAM QUESTIONS AND CORRECT ANSWERS TOP GRADE SCORE GU...

17 USD

0

0

HESI RN PHARMACOLOGY EXIT EXAM V2  2023 | 2024  REAL EXAM QUESTIONS AND CORRECT  ANSWERS  TOP GRADE SCORE GUARANTEE, GRADED  A+
View Document

HESI RN PHARMACOLOGY EXIT EXAM V2 2023 | 2024 REAL EXAM QUESTIONS AND CORRECT ANSWERS TOP GRADE SCORE GUARANTEE, GRADED A+

  • Maggie

    Maggie

  • hesi

HESI RN PHARMACOLOGY EXIT EXAM V2 2023 | 2024 REAL EXAM QUESTIONS AND CORRECT ANSWERS TOP GRADE SCORE GUARANTEE, GRA...

13 USD

0

0

HESI RN EXIT REAL EXAM QUESTIONS AND VERIFIED ANSWERS LATEST UPDATE, GRADED A+
View Document

HESI RN EXIT REAL EXAM QUESTIONS AND VERIFIED ANSWERS LATEST UPDATE, GRADED A+

  • DRDMG

    DRDMG

  • hesi

HESI RN EXIT REAL EXAM QUESTIONS AND VERIFIED ANSWERS LATEST UPDATE, GRADED A+ – Download PDF...

15 USD

0

0

HESI RN PHARMACOLOGY V2 EXAM PRACTICE  QUESTIONS LATEST UPDATE  REAL EXAM QUESTIONS AND CORRECT  ANSWERS  TOP GRADE SCORE GUARANTEE, GRADED A+
View Document

HESI RN PHARMACOLOGY V2 EXAM PRACTICE QUESTIONS LATEST UPDATE REAL EXAM QUESTIONS AND CORRECT ANSWERS TOP GRADE SCORE GUARANTEE, GRADED A+

  • Maggie

    Maggie

  • hesi

HESI RN PHARMACOLOGY V2 EXAM PRACTICE QUESTIONS LATEST UPDATE REAL EXAM QUESTIONS AND CORRECT ANSWERS TOP GRADE SCOR...

17 USD

0

0

HESI RN | HESI RN RETAKE EXAM 100 QUESTIONS AND VERIFIED ANSWERS LATEST UPDATE,  GRADED A+ 1. Which information is a priority for the RN to reinforce to an older client after intravenous pylegraphy?
View Document

HESI RN | HESI RN RETAKE EXAM 100 QUESTIONS AND VERIFIED ANSWERS LATEST UPDATE, GRADED A+ 1. Which information is a priority for the RN to reinforce to an older client after intravenous pylegraphy?

  • DRDMG

    DRDMG

  • questions & answers

HESI RN | HESI RN RETAKE EXAM 100 QUESTIONS AND VERIFIED ANSWERS LATEST UPDATE, GRADED A+ 1. Which information is a pri...

15 USD

0

0

NCLEX PHARMACOLOGY TEST BANK 11TH EDITION BY MC CUISTION  ACTUAL EXAM QUESTIONS AND 100% CORRECT ANSWERS TOP GRADE GUARANTEE WIDE COVER PHARMACOLOGY.
View Document

NCLEX PHARMACOLOGY TEST BANK 11TH EDITION BY MC CUISTION ACTUAL EXAM QUESTIONS AND 100% CORRECT ANSWERS TOP GRADE GUARANTEE WIDE COVER PHARMACOLOGY.

  • Maggie

    Maggie

  • nclex

NCLEX PHARMACOLOGY TEST BANK 11TH EDITION BY MC CUISTION ACTUAL EXAM QUESTIONS AND 100% CORRECT ANSWERS TOP GRADE GUARA...

25 USD

0

0

PN HESI EXIT EXAM UPDATED 2022, 2024 QUESTIONS AND ANSWERS WITH RATINALES| (ALREADY  GRADED A+)        A 60-year-old female client with a positive family history of ovarian cancer has developed an abdominal mass and is being evaluated for possible ovarian cancer. Her Papanicolau (Pap) smear results are negative. What information should the nurse include in the client‟s teaching plan?
View Document

PN HESI EXIT EXAM UPDATED 2022, 2024 QUESTIONS AND ANSWERS WITH RATINALES| (ALREADY GRADED A+) A 60-year-old female client with a positive family history of ovarian cancer has developed an abdominal mass and is being evaluated for possible ovarian cancer. Her Papanicolau (Pap) smear results are negative. What information should the nurse include in the client‟s teaching plan?

  • DRDMG

    DRDMG

  • questions & answers

PN HESI EXIT EXAM UPDATED 2022, 2024 QUESTIONS AND ANSWERS WITH RATINALES| (ALREADY GRADED A+) A 60-year-old female cli...

15 USD

0

0

QUUU eeeLATEST UPDATED 2022 MALE GENITALIA AND HERNIAS EXAM QUESTIONS  WITH CORRECT VERIFIED ANSWERS GRADED A+  100%COMPLETE (2023-2024)
View Document

QUUU eeeLATEST UPDATED 2022 MALE GENITALIA AND HERNIAS EXAM QUESTIONS WITH CORRECT VERIFIED ANSWERS GRADED A+ 100%COMPLETE (2023-2024)

  • beatricemwash

    beatricemwash

  • questions & answers

QUUU eeeLATEST UPDATED 2022 MALE GENITALIA AND HERNIAS EXAM QUESTIONS WITH CORRECT VERIFIED ANSWERS GRADED A+ 100%COMP...

11 USD

0

0

JAMF 200 EXAM QUESTIONS  WITH CORRECT ANSWERS 2024,2026 | LATEST VERSION VERIFIED
View Document

JAMF 200 EXAM QUESTIONS WITH CORRECT ANSWERS 2024,2026 | LATEST VERSION VERIFIED

  • DYNAMICSCORES254

    DYNAMICSCORES254

  • exam

JAMF 200 EXAM QUESTIONS WITH CORRECT ANSWERS 2024,2025 | LATEST VERSION VERIFIED...

16 USD

0

0

JAMF 100 EXAM QUESTIONS WITH  VERIFIED CORRECT ANSWERS
View Document

JAMF 100 EXAM QUESTIONS WITH VERIFIED CORRECT ANSWERS

  • DYNAMICSCORES254

    DYNAMICSCORES254

  • exam

JAMF 100 EXAM QUESTIONS WITH VERIFIED CORRECT ANSWERS...

15 USD

0

0

NUR 380 Fundamentals Exam 2 Questions and Verified COMPLETE  SOLUTIONS- Latest Update
View Document

NUR 380 Fundamentals Exam 2 Questions and Verified COMPLETE SOLUTIONS- Latest Update

  • DYNAMICSCORES254

    DYNAMICSCORES254

  • exam

NUR 380 Fundamentals Exam 2 Questions and Verified COMPLETE SOLUTIONS- Latest Update...

17 USD

0

0

Cosmetology Florida State Board  Clinical Exam Review Questions and  Answers VERIFIED COMPLETE
View Document

Cosmetology Florida State Board Clinical Exam Review Questions and Answers VERIFIED COMPLETE

  • DYNAMICSCORES254

    DYNAMICSCORES254

  • exam

Cosmetology Florida State Board Clinical Exam Review Questions and Answers VERIFIED COMPLETE...

15 USD

0

0

ATI RN MEDICAL SURGICAL PROCTORED EXAM 25 LATEST VERSIONS ( VERIFIED COMPLETE SOLUTIONS)
View Document

ATI RN MEDICAL SURGICAL PROCTORED EXAM 25 LATEST VERSIONS ( VERIFIED COMPLETE SOLUTIONS)

  • DYNAMICSCORES254

    DYNAMICSCORES254

  • exam

ATI RN MEDICAL SURGICAL PROCTORED EXAM 25 LATEST VERSIONS ( VERIFIED COMPLETE SOLUTIONS)...

48 USD

0

0

NURS6521 Final NURS-6521N-55, Advanced Pharmacology Exam  - Week 11 VERIFIED LATEST UPDATE Walden University
View Document

NURS6521 Final NURS-6521N-55, Advanced Pharmacology Exam - Week 11 VERIFIED LATEST UPDATE Walden University

  • DYNAMICSCORES254

    DYNAMICSCORES254

  • exam

NURS6521 Final NURS-6521N-55, Advanced Pharmacology Exam - Week 11 VERIFIED LATEST UPDATE Walden University...

18 USD

0

0

FISDAP PARAMEDIC FINAL LATEST EXAM, PARAMEDIC FISDAP FINAL EXAM TEST BANK 600+ VERIFIED QUESTIONS AND CORRECT  ANSWERS |UPDATEDFISDAP PARAMEDIC FINAL LATEST EXAM PARAMEDIC FISDAP FINAL EXAM TEST BANK 600+ VERIFIED QUESTIONS AND CORRECT  ANSWERS |UPDATED
View Document

FISDAP PARAMEDIC FINAL LATEST EXAM, PARAMEDIC FISDAP FINAL EXAM TEST BANK 600+ VERIFIED QUESTIONS AND CORRECT ANSWERS |UPDATEDFISDAP PARAMEDIC FINAL LATEST EXAM PARAMEDIC FISDAP FINAL EXAM TEST BANK 600+ VERIFIED QUESTIONS AND CORRECT ANSWERS |UPDATED

  • DYNAMICSCORES254

    DYNAMICSCORES254

  • exam

FISDAP PARAMEDIC FINAL LATEST EXAM, PARAMEDIC FISDAP FINAL EXAM TEST BANK 600+ VERIFIED QUESTIONS AND CORRECT ANSWERS |...

46 USD

0

0

PN HESI Exit V2 EXAM |160 VERIFIED  QUESTIONS and ANSWERS – LATEST UPDATE VERIFIED COMPLETE  ANSWERS
View Document

PN HESI Exit V2 EXAM |160 VERIFIED QUESTIONS and ANSWERS – LATEST UPDATE VERIFIED COMPLETE ANSWERS

  • DYNAMICSCORES254

    DYNAMICSCORES254

  • exam

PN HESI Exit V2 EXAM |160 VERIFIED QUESTIONS and ANSWERS – LATEST UPDATE VERIFIED COMPLETE ANSWERS...

14 USD

0

0

Focus on Adult Health Exam  VERIFIED ANSWERS  GUARANTEED PASS
View Document

Focus on Adult Health Exam VERIFIED ANSWERS GUARANTEED PASS

  • DYNAMICSCORES254

    DYNAMICSCORES254

  • exam

Focus on Adult Health Exam VERIFIED ANSWERS GUARANTEED PASS...

12 USD

0

0

JAMF 100 EXAM QUESTIONS WITH CORRECT ANSWERS 2024 | LATEST VERSION
View Document

JAMF 100 EXAM QUESTIONS WITH CORRECT ANSWERS 2024 | LATEST VERSION

  • Highergrades

    Highergrades

  • study guide

JAMF 100 EXAM QUESTIONS WITH CORRECT ANSWERS 2024 | LATEST VERSION...

12 USD

0

0

JAMF 200 EXAM QUESTIONS WITH CORRECT ANSWERS 2024
View Document

JAMF 200 EXAM QUESTIONS WITH CORRECT ANSWERS 2024

  • Highergrades

    Highergrades

  • study guide

JAMF 200 EXAM QUESTIONS WITH CORRECT ANSWERS 2024...

13 USD

0

0

Cosmetology Florida State Board Clinical Exam Review Questions and Answers 100% Verified
View Document

Cosmetology Florida State Board Clinical Exam Review Questions and Answers 100% Verified

  • Highergrades

    Highergrades

  • study guide

Cosmetology Florida State Board Clinical Exam Review Questions and Answers 100% Verified...

16 USD

0

0

NURS6521 Final NURS-6521N-55, Advanced Pharmacology Exam - Week 11 LATEST UPDATE Walden University
View Document

NURS6521 Final NURS-6521N-55, Advanced Pharmacology Exam - Week 11 LATEST UPDATE Walden University

  • Highergrades

    Highergrades

  • study guide

NURS6521 Final NURS-6521N-55, Advanced Pharmacology Exam - Week 11 LATEST UPDATE Walden University...

14 USD

0

0

ATI Maternal Newborn Proctored Exam Questions and Verified Answers (Latest Update) Rated A+
View Document

ATI Maternal Newborn Proctored Exam Questions and Verified Answers (Latest Update) Rated A+

  • Highergrades

    Highergrades

  • study guide

ATI Maternal Newborn Proctored Exam Questions and Verified Answers (Latest Update) Rated A+...

16 USD

0

0

NJ Core Applicator Test| 190 Questions with Verified Solutions
View Document

NJ Core Applicator Test| 190 Questions with Verified Solutions

  • Highergrades

    Highergrades

  • study guide

NJ Core Applicator Test| 190 Questions with Verified Solutions...

13 USD

0

0

WGU D430 Fundamentals of Information Security Exam Questions and Answers
View Document

WGU D430 Fundamentals of Information Security Exam Questions and Answers

  • Highergrades

    Highergrades

  • study guide

WGU D430 Fundamentals of Information Security Exam Questions and Answers...

11 USD

0

0

Test Bank for Ebersole and Hess Gerontological Nursing and Healthy Aging 6th Edition Latest Update
View Document

Test Bank for Ebersole and Hess Gerontological Nursing and Healthy Aging 6th Edition Latest Update

  • PHARMACIA

    PHARMACIA

  • test bank

Test bank for ebersole and hess gerontological nursing and healthy aging 6th edition. Includes 28 chapters of exam quest...

15 USD

0

0

EMR Final Exam A exam 2024 with 100 Percent correct answers
View Document

EMR Final Exam A exam 2024 with 100 Percent correct answers

  • SANCHY

    SANCHY

  • exam

EMR Final Exam A exam 2024 with 100 Percent correct answers – Download PDF...

12 USD

0

0

EMR Final Review exam 2024 with 100 Percent correct answers
View Document

EMR Final Review exam 2024 with 100 Percent correct answers

  • SANCHY

    SANCHY

  • exam

EMR Final Review exam 2024 with 100 Percent correct answers – Download PDF...

9 USD

0

0

EMR Final  exam 2024 with 100 Percent correct answers
View Document

EMR Final exam 2024 with 100 Percent correct answers

  • SANCHY

    SANCHY

  • exam

EMR Final exam 2024 with 100 Percent correct answers – Download PDF...

10 USD

0

0

EMR Written Test exam 2024 with 100 Percent correct answers
View Document

EMR Written Test exam 2024 with 100 Percent correct answers

  • SANCHY

    SANCHY

  • exam

EMR Written Test exam 2024 with 100 Percent correct answers – Download PDF...

9 USD

0

0

ALAT Certification Study Questions VERIFIED  ANSWERS 2023,2024
View Document

ALAT Certification Study Questions VERIFIED ANSWERS 2023,2024

  • DYNAMICSCORES254

    DYNAMICSCORES254

  • exam

ALAT Certification Study Questions VERIFIED ANSWERS 2023,2024...

14 USD

0

0

TMC PRACTICE EXAM 1 VERIFIED ANSWERS
View Document

TMC PRACTICE EXAM 1 VERIFIED ANSWERS

  • DYNAMICSCORES254

    DYNAMICSCORES254

  • exam

TMC PRACTICE EXAM 1 VERIFIED ANSWERS...

13 USD

0

0

TEST BANK FOR  Pharmacotherapeutics for  Advanced Practice- A  Practical Approach 5th Edition Arcangelo 2023,2024  VERIFIED ANSWERS
View Document

TEST BANK FOR Pharmacotherapeutics for Advanced Practice- A Practical Approach 5th Edition Arcangelo 2023,2024 VERIFIED ANSWERS

  • DYNAMICSCORES254

    DYNAMICSCORES254

  • exam

TEST BANK FOR Pharmacotherapeutics for Advanced Practice- A Practical Approach 5th Edition Arcangelo 2023,2024 VERIF...

30 USD

0

0

Test Bank for  concepts for  nursing practice 3rd  Edition by Giddens VERIFIED ANSWERS
View Document

Test Bank for concepts for nursing practice 3rd Edition by Giddens VERIFIED ANSWERS

  • DYNAMICSCORES254

    DYNAMICSCORES254

  • exam

Test Bank for concepts for nursing practice 3rd Edition by Giddens VERIFIED ANSWERS...

34 USD

0

0

West Coast EMT Final Exam Graded A 2023
View Document

West Coast EMT Final Exam Graded A 2023

  • studypal

    studypal

  • questions & answers

West Coast EMT Final Exam Graded A 2023...

14 USD

0

0

WEST COAST EMT FINAL EXAM LATEST2023-2024 REAL EXAM CHAPTER 1-29 QUESTIONS AND 100% CORRECT ANSWERS|A GRADE
View Document

WEST COAST EMT FINAL EXAM LATEST2023-2024 REAL EXAM CHAPTER 1-29 QUESTIONS AND 100% CORRECT ANSWERS|A GRADE

  • studypal

    studypal

  • questions & answers

WEST COAST EMT FINAL EXAM LATEST2023-2024 REAL EXAM CHAPTER 1-29 QUESTIONS AND 100% CORRECT ANSWERS|A GRADE...

14 USD

0

0

EMT-BASIC EXAM, 3RD EDITION GUARANTED SUCCESS! RATED A+
View Document

EMT-BASIC EXAM, 3RD EDITION GUARANTED SUCCESS! RATED A+

  • studypal

    studypal

  • questions & answers

EMT-BASIC EXAM, 3RD EDITION GUARANTED SUCCESS! RATED A+...

14 USD

0

0

West Coast EMT Block 2 Exam Questions & Answers Already Passed| Updated 2024
View Document

West Coast EMT Block 2 Exam Questions & Answers Already Passed| Updated 2024

  • studypal

    studypal

  • questions & answers

West Coast EMT Block 2 Exam Questions & Answers Already Passed| Updated 2024...

10 USD

0

0

West Coast EMT Block 3 Exam Questions & Answers Already Passed| Updated 2024
View Document

West Coast EMT Block 3 Exam Questions & Answers Already Passed| Updated 2024

  • studypal

    studypal

  • questions & answers

West Coast EMT Block 3 Exam Questions & Answers Already Passed| Updated 2024...

9 USD

0

0

Straighterline Nutrition 101 Final Exam
View Document

Straighterline Nutrition 101 Final Exam

  • Alkseltzer

    Alkseltzer

  • exam

Straighterline Nutrition 101 Final Exam...

19 USD

0

0

West Coast EMT Block Exam with Correctly Answered Questions Updated 2023-2024
View Document

West Coast EMT Block Exam with Correctly Answered Questions Updated 2023-2024

  • studypal

    studypal

  • questions & answers

West Coast EMT Block Exam with Correctly Answered Questions Updated 2023-2024...

13 USD

0

0

ATI COMPREHENSIVE RETAKE 2019-2023 WITH NGN REAL EXAM.
View Document

ATI COMPREHENSIVE RETAKE 2019-2023 WITH NGN REAL EXAM.

  • Alkseltzer

    Alkseltzer

  • exam

ATI COMPREHENSIVE RETAKE 2019-2023 WITH NGN REAL EXAM....

21 USD

0

0

West Coast EMT Block 1 Exam with Correct Answers 2022, 2023
View Document

West Coast EMT Block 1 Exam with Correct Answers 2022, 2023

  • studypal

    studypal

  • questions & answers

West Coast EMT Block 1 Exam with Correct Answers 2022, 2023 – Download PDF...

10 USD

0

0

EMT Block exam 1 -with verified solutions-2023-2024
View Document

EMT Block exam 1 -with verified solutions-2023-2024

  • studypal

    studypal

  • questions & answers

EMT Block exam 1 -with verified solutions-2023-2024 – Download PDF...

13 USD

0

0

ATI Fundamentals Proctored Exam | (402 Questions and Answers) with Rationales CORRECT| LATEST 2021, 2022l  GRADED A+
View Document

ATI Fundamentals Proctored Exam | (402 Questions and Answers) with Rationales CORRECT| LATEST 2021, 2022l GRADED A+

  • Alkseltzer

    Alkseltzer

  • exam

ATI Fundamentals Proctored Exam | (402 Questions and Answers) with Rationales CORRECT| LATEST 2021, 2022l GRADED A+ –...

23 USD

0

0

2026 CLC 056 Exam: Analyzing Contract Costs Q&A Guide (Fully Solved)
View Document

2026 CLC 056 Exam: Analyzing Contract Costs Q&A Guide (Fully Solved)

  • Alkseltzer

    Alkseltzer

  • exam

Get the latest CLC 056 Analyzing Contract Costs Exam 2025 questions and answers....

10 USD

0

0

WEST COAST EMT BLOCK EXAM 2 (2 LATESTVERSION) 200+ QUESTIONS & ANSWERS (100%VERIFIED)A+ GRADEVERSION A
View Document

WEST COAST EMT BLOCK EXAM 2 (2 LATESTVERSION) 200+ QUESTIONS & ANSWERS (100%VERIFIED)A+ GRADEVERSION A

  • studypal

    studypal

  • questions & answers

WEST COAST EMT BLOCK EXAM 2 (2 LATESTVERSION) 200+ QUESTIONS & ANSWERS (100%VERIFIED)A+ GRADEVERSION A...

14 USD

0

0

ATI COMPREHENSIVE PREDICTOR EXAM  2023, 2024 ATI  NCLEX PREDICTOR 180 QUESTIONS AND  CORRECT  ANSWERS GRADED A .
View Document

ATI COMPREHENSIVE PREDICTOR EXAM 2023, 2024 ATI NCLEX PREDICTOR 180 QUESTIONS AND CORRECT ANSWERS GRADED A .

  • Alkseltzer

    Alkseltzer

  • exam

ATI COMPREHENSIVE PREDICTOR EXAM 2023, 2024 ATI NCLEX PREDICTOR 180 QUESTIONS AND CORRECT ANSWERS GRADED A . – Dow...

22 USD

0

0

West Coast EMT Block 2 Exam with 100 Percent Correct Answers - Rated A+
View Document

West Coast EMT Block 2 Exam with 100 Percent Correct Answers - Rated A+

  • studypal

    studypal

  • questions & answers

West Coast EMT Block 2 Exam with 100 Percent Correct Answers - Rated A+ – Download PDF...

13 USD

0

0

West Coast EMT Block 2 Exam with Correct Answers - Rated A+
View Document

West Coast EMT Block 2 Exam with Correct Answers - Rated A+

  • studypal

    studypal

  • questions & answers

West Coast EMT Block 2 Exam with Correct Answers - Rated A+ – Download PDF...

13 USD

0

0

ATI PHARMACOLOGY FINAL EXAM LATEST UPDATE 2022-2023  PROCTORED EXAM STUDY GUIDE QUESTION AND CORRECTLY  ANSWERED 100 PERCENT VERIFIED GRADED A.
View Document

ATI PHARMACOLOGY FINAL EXAM LATEST UPDATE 2022-2023 PROCTORED EXAM STUDY GUIDE QUESTION AND CORRECTLY ANSWERED 100 PERCENT VERIFIED GRADED A.

  • Alkseltzer

    Alkseltzer

  • exam

ATI PHARMACOLOGY FINAL EXAM LATEST UPDATE 2022-2023 PROCTORED EXAM STUDY GUIDE QUESTION AND CORRECTLY ANSWERED 100 PER...

24 USD

0

0

West Coast EMT Block Exam 1(Questions And Answers 2022,2023)
View Document

West Coast EMT Block Exam 1(Questions And Answers 2022,2023)

  • studypal

    studypal

  • questions & answers

West Coast EMT Block Exam 1(Questions And Answers 2022,2023) – Download PDF...

13 USD

0

0

ATI COMPREHENSIVE PREDICTOR EXAM  2023, 2024 ATI  NCLEX PREDICTOR 180 QUESTIONS AND CORRECT ANSWERS GRADED A .
View Document

ATI COMPREHENSIVE PREDICTOR EXAM 2023, 2024 ATI NCLEX PREDICTOR 180 QUESTIONS AND CORRECT ANSWERS GRADED A .

  • Alkseltzer

    Alkseltzer

  • exam

ATI COMPREHENSIVE PREDICTOR EXAM 2023, 2024 ATI NCLEX PREDICTOR 180 QUESTIONS AND CORRECT ANSWERS GRADED A . – Downl...

24 USD

0

0

West Coast EMT Block 3 Exam with Correct Answers
View Document

West Coast EMT Block 3 Exam with Correct Answers

  • studypal

    studypal

  • questions & answers

West Coast EMT Block 3 Exam with Correct Answers – Download PDF...

12 USD

0

0

James Mason Ihuman Case Exam with Solutions 2024
View Document

James Mason Ihuman Case Exam with Solutions 2024

  • Hp24

    Hp24

  • exam

Prepare for the James Mason iHuman Case Exam 2024 with detailed solutions to enhance your diagnostic and clinical reason...

10 USD

0

0

NRP PRACTICE EXAM QUESTIONS WITH COMPLETE AND CORRECT ANSWERS, A+ GRADE, 2024 VERSION
View Document

NRP PRACTICE EXAM QUESTIONS WITH COMPLETE AND CORRECT ANSWERS, A+ GRADE, 2024 VERSION

  • Hp24

    Hp24

  • questions & answers

NRP PRACTICE EXAM QUESTIONS WITH COMPLETE AND CORRECT ANSWERS, A+ GRADE, 2024 VERSION – Download PDF...

15 USD

0

0

WGU C182 FINAL EXAM 2023, 2024 LATEST UPDATED REAL  EXAM WITH ACCURATE QUESTIONS AND ANSWERS |100% VERIFIED | A GRADED
View Document

WGU C182 FINAL EXAM 2023, 2024 LATEST UPDATED REAL EXAM WITH ACCURATE QUESTIONS AND ANSWERS |100% VERIFIED | A GRADED

  • Hp24

    Hp24

  • questions & answers

WGU C182 FINAL EXAM 2023, 2024 LATEST UPDATED REAL EXAM WITH ACCURATE QUESTIONS AND ANSWERS |100% VERIFIED | A GRADED ďż˝...

10 USD

0

0

NURS 4470 HESI RN EXIT EXAM 3 LATEST VERSIONS (V1,  V2 AND V3) 2024 ACTUAL EXAM EACH VERSION  CONTAINS 160 QUESTIONS AND CORRECT DETAILED  ANSWERS |ALREADY GRADED A+
View Document

NURS 4470 HESI RN EXIT EXAM 3 LATEST VERSIONS (V1, V2 AND V3) 2024 ACTUAL EXAM EACH VERSION CONTAINS 160 QUESTIONS AND CORRECT DETAILED ANSWERS |ALREADY GRADED A+

  • Hp24

    Hp24

  • questions & answers

NURS 4470 HESI RN EXIT EXAM 3 LATEST VERSIONS (V1, V2 AND V3) 2024 ACTUAL EXAM EACH VERSION CONTAINS 160 QUESTIONS AND...

11 USD

0

0

HESI 101 LATEST EXAM 2024 ACTUAL EXAM, HESI EXIT  COMPREHENSIVE REVIEW TEST BANK 600 QUESTIONS  AND CORRECT DETAILED ANSWERS WITH RATIONALES |  ALREADY GRADED A+
View Document

HESI 101 LATEST EXAM 2024 ACTUAL EXAM, HESI EXIT COMPREHENSIVE REVIEW TEST BANK 600 QUESTIONS AND CORRECT DETAILED ANSWERS WITH RATIONALES | ALREADY GRADED A+

  • Hp24

    Hp24

  • questions & answers

HESI 101 LATEST EXAM 2024 ACTUAL EXAM, HESI EXIT COMPREHENSIVE REVIEW TEST BANK 600 QUESTIONS AND CORRECT DETAILED ANS...

10 USD

0

0

RN ATI PHARMACOLOGY PROCTORED EXAM NEWEST  2023 ACTUAL EXAM 100+ QUESTIONS AND CORRECT  DETAILED ANSWERS (VERIFIED ANSWERS) |ALREADY  GRADED A+
View Document

RN ATI PHARMACOLOGY PROCTORED EXAM NEWEST 2023 ACTUAL EXAM 100+ QUESTIONS AND CORRECT DETAILED ANSWERS (VERIFIED ANSWERS) |ALREADY GRADED A+

  • Hp24

    Hp24

  • questions & answers

RN ATI PHARMACOLOGY PROCTORED EXAM NEWEST 2023 ACTUAL EXAM 100+ QUESTIONS AND CORRECT DETAILED ANSWERS (VERIFIED ANSWE...

10 USD

0

0

ATI RN LEADERSHIP PROCTORED EXAM  2019 VERSION 1, 2,3,4,5 & 6  (420 QUESTIONS ALL WITH CORRECT  ANSWERS) TEST BANK VERIFIED ANSWERS
View Document

ATI RN LEADERSHIP PROCTORED EXAM 2019 VERSION 1, 2,3,4,5 & 6 (420 QUESTIONS ALL WITH CORRECT ANSWERS) TEST BANK VERIFIED ANSWERS

  • DYNAMICSCORES254

    DYNAMICSCORES254

  • exam

ATI RN LEADERSHIP PROCTORED EXAM 2019 VERSION 1, 2,3,4,5 & 6 (420 QUESTIONS ALL WITH CORRECT ANSWERS) TEST BANK VERIF...

37 USD

0

0

WGU C182 FINAL EXAM 2023, 2024 LATEST UPDATED REAL EXAM WITH ACCURATE QUESTIONS AND ANSWERS |100% VERIFIED | A GRADED
View Document

WGU C182 FINAL EXAM 2023, 2024 LATEST UPDATED REAL EXAM WITH ACCURATE QUESTIONS AND ANSWERS |100% VERIFIED | A GRADED

  • Hp24

    Hp24

  • questions & answers

WGU C182 FINAL EXAM 2023, 2024 LATEST UPDATED REAL EXAM WITH ACCURATE QUESTIONS AND ANSWERS |100% VERIFIED | A GRADED ďż˝...

12 USD

0

0

ATI RN MENTAL HEALTH EXAM QUESTIONS AND ANSWERS WITH NGN NEXT GEN FORMS A AND B | LATEST EDITION | 2024, 2026|INCLUDES RATIONALES
View Document

ATI RN MENTAL HEALTH EXAM QUESTIONS AND ANSWERS WITH NGN NEXT GEN FORMS A AND B | LATEST EDITION | 2024, 2026|INCLUDES RATIONALES

  • Hp24

    Hp24

  • questions & answers

ATI RN MENTAL HEALTH EXAM QUESTIONS AND ANSWERS WITH NGN NEXT GEN FORMS A AND B | LATEST EDITION | 2024, 2025|INCLUDES R...

15 USD

0

0

ATI RN LEADERSHIP PROCTORED TEST BANK 2019 VERSION 1, 2,3,4,5 & 6 WITH VERIFIED ANSWERS)
View Document

ATI RN LEADERSHIP PROCTORED TEST BANK 2019 VERSION 1, 2,3,4,5 & 6 WITH VERIFIED ANSWERS)

  • Highergrades

    Highergrades

  • study guide

ATI RN LEADERSHIP PROCTORED TEST BANK 2019 VERSION 1, 2,3,4,5 & 6 WITH VERIFIED ANSWERS)...

16 USD

0

0

Beckmann and Lings Obstetrics and Gynecology Edition 8th edition Test Bank | Complete Chapters
View Document

Beckmann and Lings Obstetrics and Gynecology Edition 8th edition Test Bank | Complete Chapters

  • Highergrades

    Highergrades

  • study guide

Beckmann and Lings Obstetrics and Gynecology Edition 8th edition Test Bank | Complete Chapters – Download PDF...

15 USD

0

0

NEW!!! CLC 056| CLC 056 Defense Acquisition University  CLC2023-2024 (7 sets for the final exams) Complete questions  and answers.
View Document

NEW!!! CLC 056| CLC 056 Defense Acquisition University CLC2023-2024 (7 sets for the final exams) Complete questions and answers.

  • Alkseltzer

    Alkseltzer

  • exam

NEW!!! CLC 056| CLC 056 Defense Acquisition University CLC2023-2024 (7 sets for the final exams) Complete questions an...

22 USD

0

0

Advanced  Cardiovascular Life  Support Exam Version A  (50 questions) .
View Document

Advanced Cardiovascular Life Support Exam Version A (50 questions) .

  • Alkseltzer

    Alkseltzer

  • exam

Advanced Cardiovascular Life Support Exam Version A (50 questions) ....

23 USD

0

0

Test Bank for NRCME 2025/2026 Actual Exam | 500+ Real Questions & Correct Expert-Verified Answers
View Document

Test Bank for NRCME 2025/2026 Actual Exam | 500+ Real Questions & Correct Expert-Verified Answers

  • shallo

    shallo

  • questions & answers

Get 350 real NRCME (DOT) exam questions with expert-verified answers & rationales. Updated for 2025/2026. Graded A+—st...

15 USD

0

1

THE ROLE OF NURSE PRACTITIONER EXAM QUESTIONS  WITH DETAILED VERIFIED ANSWERS LATEST 2023- 2024
View Document

THE ROLE OF NURSE PRACTITIONER EXAM QUESTIONS WITH DETAILED VERIFIED ANSWERS LATEST 2023- 2024

  • beatricemwash

    beatricemwash

  • questions & answers

THE ROLE OF NURSE PRACTITIONER EXAM QUESTIONS WITH DETAILED VERIFIED ANSWERS LATEST 2023- 2024...

5 USD

0

0

NRNP 6675-15 Week 6 Midterm Exam 2023,2024 (Verified Answers)
View Document

NRNP 6675-15 Week 6 Midterm Exam 2023,2024 (Verified Answers)

  • DYNAMICSCORES254

    DYNAMICSCORES254

  • exam

NRNP 6675-15 Week 6 Midterm Exam 2023,2024 (Verified Answers) – Download PDF...

16 USD

0

0

VATI PN Comprehensive Predictor 2020 Form B Green Light Exam Questions and Answers (  Verified Answers) Updated
View Document

VATI PN Comprehensive Predictor 2020 Form B Green Light Exam Questions and Answers ( Verified Answers) Updated

  • DYNAMICSCORES254

    DYNAMICSCORES254

  • exam

VATI PN Comprehensive Predictor 2020 Form B Green Light Exam Questions and Answers ( Verified Answers) Updated – Down...

16 USD

0

0

NR 599 NURSING  INFORMATICS  AND THE FOUNDATION OF KNOWLEDGE 4TH EDITION MCGONIGLE TEST BANK Exam (elaborations)
View Document

NR 599 NURSING INFORMATICS AND THE FOUNDATION OF KNOWLEDGE 4TH EDITION MCGONIGLE TEST BANK Exam (elaborations)

  • DYNAMICSCORES254

    DYNAMICSCORES254

  • exam

NR 599 NURSING INFORMATICS AND THE FOUNDATION OF KNOWLEDGE 4TH EDITION MCGONIGLE TEST BANK Exam (elaborations)...

32 USD

0

0

NR 509 Final Exam 2023,2024 Version Verified Correct Answers
View Document

NR 509 Final Exam 2023,2024 Version Verified Correct Answers

  • DYNAMICSCORES254

    DYNAMICSCORES254

  • exam

NR 509 Final Exam 2023,2024 Version Verified Correct Answers – Download PDF...

16 USD

0

0

NR 222 Exam 2 Update 2023,2024 With Complete  Solutions Graded A(Chamberlain School of nursing)
View Document

NR 222 Exam 2 Update 2023,2024 With Complete Solutions Graded A(Chamberlain School of nursing)

  • DYNAMICSCORES254

    DYNAMICSCORES254

  • exam

NR 222 Exam 2 Update 2023,2024 With Complete Solutions Graded A(Chamberlain School of nursing) – Download PDF...

15 USD

0

0

NR 503 Midterm Exam Update 2023,2024 Best resource for the course exam
View Document

NR 503 Midterm Exam Update 2023,2024 Best resource for the course exam

  • DYNAMICSCORES254

    DYNAMICSCORES254

  • exam

NR 503 Midterm Exam Update 2023,2024 Best resource for the course exam – Download PDF...

14 USD

0

0

NR601 Final Exam, NR 601 Final Exam 2023, 2024 Complete Solutions
View Document

NR601 Final Exam, NR 601 Final Exam 2023, 2024 Complete Solutions

  • DYNAMICSCORES254

    DYNAMICSCORES254

  • exam

NR601 Final Exam, NR 601 Final Exam 2023, 2024 Complete Solutions – Download PDF...

15 USD

0

0

Test Bank for Exploring Psychology  12th Edition Myers| Complete  Chapters _Updated
View Document

Test Bank for Exploring Psychology 12th Edition Myers| Complete Chapters _Updated

  • DYNAMICSCORES254

    DYNAMICSCORES254

  • exam

Test Bank for Exploring Psychology 12th Edition Myers| Complete Chapters _Updated...

23 USD

0

0

ATI COMPREHESIVE EXIT EXAM RETAKE 2023,2024 WITH  VERIFIED  QUESTIONS AND ANSWERS
View Document

ATI COMPREHESIVE EXIT EXAM RETAKE 2023,2024 WITH VERIFIED QUESTIONS AND ANSWERS

  • DYNAMICSCORES254

    DYNAMICSCORES254

  • exam

ATI COMPREHESIVE EXIT EXAM RETAKE 2023,2024 WITH VERIFIED QUESTIONS AND ANSWERS...

14 USD

0

0

2023,2024 HESI HEALTH ASSESSMENT EXAM VERSION 2  COMPLETE EXAM QUESTIONS AND CORRECT  ANSWERS| VERIFIED
View Document

2023,2024 HESI HEALTH ASSESSMENT EXAM VERSION 2 COMPLETE EXAM QUESTIONS AND CORRECT ANSWERS| VERIFIED

  • DYNAMICSCORES254

    DYNAMICSCORES254

  • exam

2023,2024 HESI HEALTH ASSESSMENT EXAM VERSION 2 COMPLETE EXAM QUESTIONS AND CORRECT ANSWERS| VERIFIED...

16 USD

0

0

ATI Fundamentals Proctored Exam 2023,2024 with NGN (70 Questions & Answers)
View Document

ATI Fundamentals Proctored Exam 2023,2024 with NGN (70 Questions & Answers)

  • DYNAMICSCORES254

    DYNAMICSCORES254

  • exam

ATI Fundamentals Proctored Exam 2023,2024 with NGN (70 Questions & Answers) – Download PDF...

17 USD

0

0

ATI PHARMACOLOGY PROCTORED EXAM 2023, 2024 WITH NGN 2 VERSIONS EACH WITH 70 QUESTIONS &  VERIFIED SOLUTIONS A GRADE
View Document

ATI PHARMACOLOGY PROCTORED EXAM 2023, 2024 WITH NGN 2 VERSIONS EACH WITH 70 QUESTIONS & VERIFIED SOLUTIONS A GRADE

  • DYNAMICSCORES254

    DYNAMICSCORES254

  • exam

ATI PHARMACOLOGY PROCTORED EXAM 2023, 2024 WITH NGN 2 VERSIONS EACH WITH 70 QUESTIONS & VERIFIED SOLUTIONS A GRADE – ...

17 USD

0

0

BEST ANSWERS ATI COMPREHENSIVE EXIT EXAM 2023,2024 REAL EXAM WITH NGN (DON’T FORGET ANSWER KEY IN THE END
View Document

BEST ANSWERS ATI COMPREHENSIVE EXIT EXAM 2023,2024 REAL EXAM WITH NGN (DON’T FORGET ANSWER KEY IN THE END

  • DYNAMICSCORES254

    DYNAMICSCORES254

  • exam

BEST ANSWERS ATI COMPREHENSIVE EXIT EXAM 2023,2024 REAL EXAM WITH NGN (DON’T FORGET ANSWER KEY IN THE END...

50 USD

0

0

BEST ANSWERS ATI COMPREHENSIVE EXIT EXAM 2023,2024 REAL EXAM WITH NGN (DON’T FORGET ANSWER KEY IN THE END
View Document

BEST ANSWERS ATI COMPREHENSIVE EXIT EXAM 2023,2024 REAL EXAM WITH NGN (DON’T FORGET ANSWER KEY IN THE END

  • DYNAMICSCORES254

    DYNAMICSCORES254

  • exam

BEST ANSWERS ATI COMPREHENSIVE EXIT EXAM 2023,2024 REAL EXAM WITH NGN (DON’T FORGET ANSWER KEY IN THE END...

50 USD

0

0

ATI COMPREHENSIVE EXIT EXAM RETAKE 2023, 2024 UPDATE
View Document

ATI COMPREHENSIVE EXIT EXAM RETAKE 2023, 2024 UPDATE

  • DYNAMICSCORES254

    DYNAMICSCORES254

  • exam

ATI COMPREHENSIVE EXIT EXAM RETAKE 2023, 2024 UPDATE – Download PDF...

34 USD

0

0

PHLS 450 EPIDEMIOLOGY MIDTERM EXAM | GORDIS EPIDEMIOLOGY 6TH EDITION CELENTANO TEST BANK | REAL EXAM QUESTIONS AND ANSWERS
View Document

PHLS 450 EPIDEMIOLOGY MIDTERM EXAM | GORDIS EPIDEMIOLOGY 6TH EDITION CELENTANO TEST BANK | REAL EXAM QUESTIONS AND ANSWERS

  • DYNAMICSCORES254

    DYNAMICSCORES254

  • exam

PHLS 450 EPIDEMIOLOGY MIDTERM EXAM | GORDIS EPIDEMIOLOGY 6TH EDITION CELENTANO TEST BANK | REAL EXAM QUESTIONS AND ANSWE...

20 USD

0

0

RN VATI Pharmacology 2019 Final Exam  Questions & Answers with  Verified  Solutions & Rationales
View Document

RN VATI Pharmacology 2019 Final Exam Questions & Answers with Verified Solutions & Rationales

  • DYNAMICSCORES254

    DYNAMICSCORES254

  • exam

RN VATI Pharmacology 2019 Final Exam Questions & Answers with Verified Solutions & Rationales – Download PDF...

17 USD

0

0

Ahip Module 1 Exam Questions With Detailed Verified Answers 100% Complete And Graded A+ Latest 2024-2026
View Document

Ahip Module 1 Exam Questions With Detailed Verified Answers 100% Complete And Graded A+ Latest 2024-2026

  • beatricemwash

    beatricemwash

  • questions & answers

Ahip Module 1 Exam Questions With Detailed Verified Answers 100% Complete And Graded A+ Latest 2024-2025...

7 USD

0

0

Test bank for Physical Examination and Health Assessment 9th Edition by by Carolyn Jarvis and Ann L. Eckhardt ISBN: 9780323809849 All Chapters 1-32
View Document

Test bank for Physical Examination and Health Assessment 9th Edition by by Carolyn Jarvis and Ann L. Eckhardt ISBN: 9780323809849 All Chapters 1-32

  • mentor2000

    mentor2000

  • exam

Prepare for your health assessment exams with confidence! The test bank for Physical Examination and Health Assessment, ...

15 USD

0

1

NBCSN - School Nurse Certification Exam Correct Answers 2023-2024
View Document

NBCSN - School Nurse Certification Exam Correct Answers 2023-2024

  • DYNAMICSCORES254

    DYNAMICSCORES254

  • exam

NBCSN - School Nurse Certification Exam Correct Answers 2023-2024 – Download PDF...

14 USD

0

0

Holistic Nursing 1 Unit 1 Exam Correct ANSWERS 2023-2024
View Document

Holistic Nursing 1 Unit 1 Exam Correct ANSWERS 2023-2024

  • DYNAMICSCORES254

    DYNAMICSCORES254

  • exam

Holistic Nursing 1 Unit 1 Exam Correct ANSWERS 2023-2024 – Download PDF...

14 USD

0

0

CHEM133 FINAL EXAM VERIFIED COMPLETE  SOLUTIONS
View Document

CHEM133 FINAL EXAM VERIFIED COMPLETE SOLUTIONS

  • DYNAMICSCORES254

    DYNAMICSCORES254

  • exam

CHEM133 FINAL EXAM VERIFIED COMPLETE SOLUTIONS – Download PDF...

15 USD

0

0

REGIS NU650 Week 15 Final Exam Latest UPDATE WITH  VERIFIED ANSWERS
View Document

REGIS NU650 Week 15 Final Exam Latest UPDATE WITH VERIFIED ANSWERS

  • DYNAMICSCORES254

    DYNAMICSCORES254

  • exam

REGIS NU650 Week 15 Final Exam Latest UPDATE WITH VERIFIED ANSWERS – Download PDF...

16 USD

0

0

Cardiac Care: Exam  verified answers 2023,2024
View Document

Cardiac Care: Exam verified answers 2023,2024

  • DYNAMICSCORES254

    DYNAMICSCORES254

  • exam

Cardiac Care: Exam verified answers 2023,2024 – Download PDF...

12 USD

0

0

BEST ANSWERS Georgettes LMR Exam With Verified Answers 2023-2024
View Document

BEST ANSWERS Georgettes LMR Exam With Verified Answers 2023-2024

  • DYNAMICSCORES254

    DYNAMICSCORES254

  • exam

BEST ANSWERS Georgettes LMR Exam With Verified Answers 2023-2024 – Download PDF...

14 USD

0

0

NURS 6550 FINAL EXAM 2023-2024 VERSION LATEST 2 NEW EXAMS 200 QUESTIONS AND ANSWERS  VERIFIED Q & A
View Document

NURS 6550 FINAL EXAM 2023-2024 VERSION LATEST 2 NEW EXAMS 200 QUESTIONS AND ANSWERS VERIFIED Q & A

  • DYNAMICSCORES254

    DYNAMICSCORES254

  • exam

NURS 6550 FINAL EXAM 2023-2024 VERSION LATEST 2 NEW EXAMS 200 QUESTIONS AND ANSWERS VERIFIED Q & A – Download PDF...

25 USD

0

0

BEST ANSWERS ATI MENTAL HEALTH FINAL EXAM  VERIFIED QUESTIONS AND ANSWERS 2023,2024
View Document

BEST ANSWERS ATI MENTAL HEALTH FINAL EXAM VERIFIED QUESTIONS AND ANSWERS 2023,2024

  • DYNAMICSCORES254

    DYNAMICSCORES254

  • exam

BEST ANSWERS ATI MENTAL HEALTH FINAL EXAM VERIFIED QUESTIONS AND ANSWERS 2023,2024...

16 USD

0

0

BEST REVIEW NURS 6521  Advanced Pharmacology  Final Exam 2023,2024 With  Complete Solutions
View Document

BEST REVIEW NURS 6521 Advanced Pharmacology Final Exam 2023,2024 With Complete Solutions

  • DYNAMICSCORES254

    DYNAMICSCORES254

  • exam

BEST REVIEW NURS 6521 Advanced Pharmacology Final Exam 2023,2024 With Complete Solutions – Download PDF...

20 USD

0

0

TNCC 9TH REAL EXAM ACTUAL VERIFIED EXAM TEST BANK  INCLUDES 3 TESTED VERSIONS OF THE EXAM WITH 50 MULTIPLE CHOICE QUESTIONS AND ANSWERS ALREADY GRADED A
View Document

TNCC 9TH REAL EXAM ACTUAL VERIFIED EXAM TEST BANK INCLUDES 3 TESTED VERSIONS OF THE EXAM WITH 50 MULTIPLE CHOICE QUESTIONS AND ANSWERS ALREADY GRADED A

  • SAMUEL

    SAMUEL

  • exam

TNCC 9TH REAL EXAM ACTUAL VERIFIED EXAM TEST BANK INCLUDES 3 TESTED VERSIONS OF THE EXAM WITH 50 MULTIPLE CHOICE QUESTI...

30 USD

0

0

TNCC 9TH REAL EXAM ACTUAL VERIFIED EXAM TEST BANK 50 QUESTIONS AND ANSWERS VERIFIED ANSWER ALREADY GRADED A
View Document

TNCC 9TH REAL EXAM ACTUAL VERIFIED EXAM TEST BANK 50 QUESTIONS AND ANSWERS VERIFIED ANSWER ALREADY GRADED A

  • SAMUEL

    SAMUEL

  • exam

TNCC 9TH REAL EXAM ACTUAL VERIFIED EXAM TEST BANK 50 QUESTIONS AND ANSWERS VERIFIED ANSWER ALREADY GRADED A...

30 USD

0

0

TNCC FINAL EXAM 2 LATEST VERSIONS 2023-2024 CONTAINS 100 QUESTIONS AND CORRECT ANSWERS (VERIFIED ANSWERS)  ALREADY GRADED A+
View Document

TNCC FINAL EXAM 2 LATEST VERSIONS 2023-2024 CONTAINS 100 QUESTIONS AND CORRECT ANSWERS (VERIFIED ANSWERS) ALREADY GRADED A+

  • SAMUEL

    SAMUEL

  • exam

TNCC FINAL EXAM 2 LATEST VERSIONS 2023-2024 CONTAINS 100 QUESTIONS AND CORRECT ANSWERS (VERIFIED ANSWERS) ALREADY GRADE...

30 USD

0

0

TNCC FINAL EXAM LATEST VERSIONS 2023-2024 CONTAINS 50 QUESTIONS AND CORRECT ANSWERS (VERIFIED ANSWERS)  ALREADY GRADED A+
View Document

TNCC FINAL EXAM LATEST VERSIONS 2023-2024 CONTAINS 50 QUESTIONS AND CORRECT ANSWERS (VERIFIED ANSWERS) ALREADY GRADED A+

  • SAMUEL

    SAMUEL

  • hesi

TNCC FINAL EXAM LATEST VERSIONS 2023-2024 CONTAINS 50 QUESTIONS AND CORRECT ANSWERS (VERIFIED ANSWERS) ALREADY GRADED A...

30 USD

0

0

TNCC final exam test 2026 open book questions and answers graded A
View Document

TNCC final exam test 2026 open book questions and answers graded A

  • SAMUEL

    SAMUEL

  • ati medical surgical

TNCC final exam test 2025 open book questions and answers graded A...

10 USD

0

0

TNCC TEST 2023-2024 ACTUAL FINAL EXAM TEST BANK 300 QUESTIONS AND CORRET DETAILED ANSWERS WITH RATIONALES (VERIFIED ANSWERS) ALREADY GRADED A+
View Document

TNCC TEST 2023-2024 ACTUAL FINAL EXAM TEST BANK 300 QUESTIONS AND CORRET DETAILED ANSWERS WITH RATIONALES (VERIFIED ANSWERS) ALREADY GRADED A+

  • SAMUEL

    SAMUEL

  • ati proctored

TNCC TEST 2023-2024 ACTUAL FINAL EXAM TEST BANK 300 QUESTIONS AND CORRET DETAILED ANSWERS WITH RATIONALES (VERIFIED ANSW...

25 USD

0

0

TNCC TEST BANK COMPRISES ALL VERSIONS OF THE EXAM,STUDY GUIDES,REVIEWS AND ALL EDITIONS ALREADY A GRADED 2023-2024 UPDATE BRAND NEW
View Document

TNCC TEST BANK COMPRISES ALL VERSIONS OF THE EXAM,STUDY GUIDES,REVIEWS AND ALL EDITIONS ALREADY A GRADED 2023-2024 UPDATE BRAND NEW

  • SAMUEL

    SAMUEL

  • ati

TNCC TEST BANK COMPRISES ALL VERSIONS OF THE EXAM,STUDY GUIDES,REVIEWS AND ALL EDITIONS ALREADY A GRADED 2023-2024 UPDAT...

30 USD

0

0

BEST REVIEW EPA 608 Type 2 Exam 2023- 2024 Correct Answers
View Document

BEST REVIEW EPA 608 Type 2 Exam 2023- 2024 Correct Answers

  • DYNAMICSCORES254

    DYNAMICSCORES254

  • exam

BEST REVIEW EPA 608 Type 2 Exam 2023- 2024 Correct Answers – Download PDF...

14 USD

0

0

EPA 608 Type 3 exam with Complete  Solutions
View Document

EPA 608 Type 3 exam with Complete Solutions

  • DYNAMICSCORES254

    DYNAMICSCORES254

  • exam

EPA 608 Type 3 exam with Complete Solutions – Download PDF...

13 USD

0

0

BEST REVIEW AP Biology Unit  8 Exam 2023-2024 Rated A
View Document

BEST REVIEW AP Biology Unit 8 Exam 2023-2024 Rated A

  • DYNAMICSCORES254

    DYNAMICSCORES254

  • exam

BEST REVIEW AP Biology Unit 8 Exam 2023-2024 Rated A – Download PDF...

13 USD

0

0

BEST REVIEW NR599 Final  exam 2023,2024 Complete  Solutions
View Document

BEST REVIEW NR599 Final exam 2023,2024 Complete Solutions

  • DYNAMICSCORES254

    DYNAMICSCORES254

  • exam

BEST REVIEW NR599 Final exam 2023,2024 Complete Solutions – Download PDF...

14 USD

0

0

BEST REVIEW ATI RN Community Proctored Exam- 7  Latest Version 2023,2024 Guaranteed Pass
View Document

BEST REVIEW ATI RN Community Proctored Exam- 7 Latest Version 2023,2024 Guaranteed Pass

  • DYNAMICSCORES254

    DYNAMICSCORES254

  • exam

BEST REVIEW ATI RN Community Proctored Exam- 7 Latest Version 2023,2024 Guaranteed Pass...

14 USD

0

0

BEST REVIEW NURS 6501 Final  Exam (4 Versions, 400 Q & A,  Latest-2023,2024 UPDATED
View Document

BEST REVIEW NURS 6501 Final Exam (4 Versions, 400 Q & A, Latest-2023,2024 UPDATED

  • DYNAMICSCORES254

    DYNAMICSCORES254

  • exam

BEST REVIEW NURS 6501 Final Exam (4 Versions, 400 Q & A, Latest-2023,2024 UPDATED...

15 USD

0

0

NRNP 6665 Final Exam VERIFIED ANSWERS  2023,2024
View Document

NRNP 6665 Final Exam VERIFIED ANSWERS 2023,2024

  • DYNAMICSCORES254

    DYNAMICSCORES254

  • exam

NRNP 6665 Final Exam VERIFIED ANSWERS 2023,2024 – Download PDF...

14 USD

0

0

NRNP 6675 Final Exam  VERIFIED ANSWERS  2023,2024
View Document

NRNP 6675 Final Exam VERIFIED ANSWERS 2023,2024

  • DYNAMICSCORES254

    DYNAMICSCORES254

  • exam

NRNP 6675 Final Exam VERIFIED ANSWERS 2023,2024 – Download PDF...

14 USD

0

0

NRNP 6635 Final Exam - Schizophrenia VERIFIED ANSWERS  2023,2024
View Document

NRNP 6635 Final Exam - Schizophrenia VERIFIED ANSWERS 2023,2024

  • DYNAMICSCORES254

    DYNAMICSCORES254

  • exam

NRNP 6635 Final Exam - Schizophrenia VERIFIED ANSWERS 2023,2024 – Download PDF...

15 USD

0

0

EAPS Final Exam 2023,2024  VERIFIED ANSWERS
View Document

EAPS Final Exam 2023,2024 VERIFIED ANSWERS

  • DYNAMICSCORES254

    DYNAMICSCORES254

  • exam

EAPS Final Exam 2023,2024 VERIFIED ANSWERS – Download PDF...

12 USD

0

0

SFPC Exam Prep  VERIFIED ANSWERS  2023,2024
View Document

SFPC Exam Prep VERIFIED ANSWERS 2023,2024

  • DYNAMICSCORES254

    DYNAMICSCORES254

  • exam

SFPC Exam Prep VERIFIED ANSWERS 2023,2024 – Download PDF...

12 USD

0

0

ATI Mental Health Online Practice 2019 A with NGN VERIFIED ANSWERS  NEW FILE
View Document

ATI Mental Health Online Practice 2019 A with NGN VERIFIED ANSWERS NEW FILE

  • DYNAMICSCORES254

    DYNAMICSCORES254

  • exam

ATI Mental Health Online Practice 2019 A with NGN VERIFIED ANSWERS NEW FILE...

12 USD

0

0

ATI Mental Health Online Practice 2019 A with NGN NEW FILE VERIFIED  ANSWERS
View Document

ATI Mental Health Online Practice 2019 A with NGN NEW FILE VERIFIED ANSWERS

  • DYNAMICSCORES254

    DYNAMICSCORES254

  • exam

ATI Mental Health Online Practice 2019 A with NGN NEW FILE VERIFIED ANSWERS...

15 USD

0

0

NUR 155 Exam 2 2023,2024  VERIFIED  ANSWERS GALEN COLLEGE
View Document

NUR 155 Exam 2 2023,2024 VERIFIED ANSWERS GALEN COLLEGE

  • DYNAMICSCORES254

    DYNAMICSCORES254

  • exam

NUR 155 Exam 2 2023,2024 VERIFIED ANSWERS GALEN COLLEGE – Download PDF...

12 USD

0

0

Hesi exit exam test bank 2023.
View Document

Hesi exit exam test bank 2023.

  • Alkseltzer

    Alkseltzer

  • exam

Hesi exit exam test bank 2023....

22 USD

0

0

BEST REVIEW NUR242 Exam 2 Galen 2023,2024 VERIFIED ANSWERS GALEN COLLEGE
View Document

BEST REVIEW NUR242 Exam 2 Galen 2023,2024 VERIFIED ANSWERS GALEN COLLEGE

  • DYNAMICSCORES254

    DYNAMICSCORES254

  • exam

BEST REVIEW NUR242 Exam 2 Galen 2023,2024 VERIFIED ANSWERS GALEN COLLEGE – Download PDF...

12 USD

0

0

NUR 155 EXAM 2 2023,2024  VERIFIED ANSWERS GALEN COLLEGE
View Document

NUR 155 EXAM 2 2023,2024 VERIFIED ANSWERS GALEN COLLEGE

  • DYNAMICSCORES254

    DYNAMICSCORES254

  • exam

NUR 155 EXAM 2 2023,2024 VERIFIED ANSWERS GALEN COLLEGE – Download PDF...

12 USD

0

0

Hesi exit exam test bank 2023.
View Document

Hesi exit exam test bank 2023.

  • Alkseltzer

    Alkseltzer

  • exam

Hesi exit exam test bank 2023....

26 USD

0

0

NUR 155 EXAM 2 Galen VERIFIED ANSWERS  2023,2024
View Document

NUR 155 EXAM 2 Galen VERIFIED ANSWERS 2023,2024

  • DYNAMICSCORES254

    DYNAMICSCORES254

  • exam

NUR 155 EXAM 2 Galen VERIFIED ANSWERS 2023,2024 – Download PDF...

12 USD

0

0

HESI PN EXIT EXAM V3 LATEST VERSION 2022-2024  ALL 110 . QUESTIONS AND VERIFIED RATIONALED ANSWERS  GRADED A.
View Document

HESI PN EXIT EXAM V3 LATEST VERSION 2022-2024 ALL 110 . QUESTIONS AND VERIFIED RATIONALED ANSWERS GRADED A.

  • Alkseltzer

    Alkseltzer

  • exam

HESI PN EXIT EXAM V3 LATEST VERSION 2022-2024 ALL 110 . QUESTIONS AND VERIFIED RATIONALED ANSWERS GRADED A....

22 USD

0

0

NYC Food Safety Exam Review  VERIFIED ANSWERS 2023,2024
View Document

NYC Food Safety Exam Review VERIFIED ANSWERS 2023,2024

  • DYNAMICSCORES254

    DYNAMICSCORES254

  • exam

NYC Food Safety Exam Review VERIFIED ANSWERS 2023,2024 – Download PDF...

13 USD

0

0

NYC Home Improvement EXAM 2023,2024  VERIFIED ANSWERS
View Document

NYC Home Improvement EXAM 2023,2024 VERIFIED ANSWERS

  • DYNAMICSCORES254

    DYNAMICSCORES254

  • exam

NYC Home Improvement EXAM 2023,2024 VERIFIED ANSWERS – Download PDF...

12 USD

0

0

REPL Exam CASA VERIFIED ANSWERS  2023,2024
View Document

REPL Exam CASA VERIFIED ANSWERS 2023,2024

  • DYNAMICSCORES254

    DYNAMICSCORES254

  • exam

REPL Exam CASA VERIFIED ANSWERS 2023,2024 – Download PDF...

15 USD

0

0

REPL EXAM  VERIFIED ANSWERS  2023,2024
View Document

REPL EXAM VERIFIED ANSWERS 2023,2024

  • DYNAMICSCORES254

    DYNAMICSCORES254

  • exam

REPL EXAM VERIFIED ANSWERS 2023,2024 – Download PDF...

21 USD

0

0

HESI Exit Exam Test Bank
View Document

HESI Exit Exam Test Bank

  • Alkseltzer

    Alkseltzer

  • exam

HESI Exit Exam Test Bank...

21 USD

0

0

CH 2 Test Bank to accompany Behavioral Neuroscience, Eighth Edition S. Marc Breedlove and Neil V. Watson VERIFIED ANSWERS
View Document

CH 2 Test Bank to accompany Behavioral Neuroscience, Eighth Edition S. Marc Breedlove and Neil V. Watson VERIFIED ANSWERS

  • DYNAMICSCORES254

    DYNAMICSCORES254

  • exam

CH 2 Test Bank to accompany Behavioral Neuroscience, Eighth Edition S. Marc Breedlove and Neil V. Watson VERIFIED ANSWER...

10 USD

0

0

HESI Exit Exam Test Bank
View Document

HESI Exit Exam Test Bank

  • Alkseltzer

    Alkseltzer

  • exam

HESI Exit Exam Test Bank...

22 USD

0

0

NR511 Final Exam Study Guide
View Document

NR511 Final Exam Study Guide

  • Alkseltzer

    Alkseltzer

  • exam

NR511 Final Exam Study Guide...

21 USD

0

0

SOCIAL WORK FINAL  EXAM 2023,2024 VERIFIED  ANSWERS
View Document

SOCIAL WORK FINAL EXAM 2023,2024 VERIFIED ANSWERS

  • DYNAMICSCORES254

    DYNAMICSCORES254

  • exam

SOCIAL WORK FINAL EXAM 2023,2024 VERIFIED ANSWERS – Download PDF...

12 USD

0

0

ADA 3300 Addiction and Addiction Process exam  2023,2024 PERFECT  ANSWERS
View Document

ADA 3300 Addiction and Addiction Process exam 2023,2024 PERFECT ANSWERS

  • DYNAMICSCORES254

    DYNAMICSCORES254

  • exam

ADA 3300 Addiction and Addiction Process exam 2023,2024 PERFECT ANSWERS – Download PDF...

10 USD

0

0

ATI COMPREHENSIVE EXIT  EXAM RETAKE 2023,2024  VERIFIED ANSWERS  GUARANTEED SUCCESS
View Document

ATI COMPREHENSIVE EXIT EXAM RETAKE 2023,2024 VERIFIED ANSWERS GUARANTEED SUCCESS

  • DYNAMICSCORES254

    DYNAMICSCORES254

  • exam

ATI COMPREHENSIVE EXIT EXAM RETAKE 2023,2024 VERIFIED ANSWERS GUARANTEED SUCCESS...

20 USD

0

0

ATI MED SURGE PROCTORED EXAM TESTBANK REAL (13  VERSIONS) ( 2023, 2024), VERIFIED, CORRECT  SOLUTIONS
View Document

ATI MED SURGE PROCTORED EXAM TESTBANK REAL (13 VERSIONS) ( 2023, 2024), VERIFIED, CORRECT SOLUTIONS

  • Alkseltzer

    Alkseltzer

  • exam

ATI MED SURGE PROCTORED EXAM TESTBANK REAL (13 VERSIONS) ( 2023, 2024), VERIFIED, CORRECT SOLUTIONS – Download PDF...

20 USD

0

0

ANCC FNP Exam STUDY  GUIDE 2023,2024  VERIFIED ANSWERS  GUARANTEED PASS
View Document

ANCC FNP Exam STUDY GUIDE 2023,2024 VERIFIED ANSWERS GUARANTEED PASS

  • DYNAMICSCORES254

    DYNAMICSCORES254

  • exam

ANCC FNP Exam STUDY GUIDE 2023,2024 VERIFIED ANSWERS GUARANTEED PASS – Download PDF...

12 USD

0

0

NRCME (DOT) Exam 2023,2024 STUDY GUIDE  GUARANTEED PASS
View Document

NRCME (DOT) Exam 2023,2024 STUDY GUIDE GUARANTEED PASS

  • DYNAMICSCORES254

    DYNAMICSCORES254

  • exam

NRCME (DOT) Exam 2023,2024 STUDY GUIDE GUARANTEED PASS...

10 USD

0

0

ATI Nursing Care of Children Proctored Exam. VERSION 1
View Document

ATI Nursing Care of Children Proctored Exam. VERSION 1

  • Alkseltzer

    Alkseltzer

  • exam

ATI Nursing Care of Children Proctored Exam. VERSION 1...

20 USD

0

0

NRCME DOT Examiner Test Practice Questions 2023,2024 VERIFIED  ANSWER GUARANTEED  PASS
View Document

NRCME DOT Examiner Test Practice Questions 2023,2024 VERIFIED ANSWER GUARANTEED PASS

  • DYNAMICSCORES254

    DYNAMICSCORES254

  • exam

NRCME DOT Examiner Test Practice Questions 2023,2024 VERIFIED ANSWER GUARANTEED PASS...

10 USD

0

0

NBSTSA Practice exam A (2026) LATEST UPDATE  VERIFIED ANSWERS
View Document

NBSTSA Practice exam A (2026) LATEST UPDATE VERIFIED ANSWERS

  • DYNAMICSCORES254

    DYNAMICSCORES254

  • exam

NBSTSA Practice exam A (2025) LATEST UPDATE VERIFIED ANSWERS...

12 USD

0

0

ATI PN COMPREHENSIVE EXIT EXAM RETAKE 2023- 2024 WITH NGN-with VERIFIED ANSWERS
View Document

ATI PN COMPREHENSIVE EXIT EXAM RETAKE 2023- 2024 WITH NGN-with VERIFIED ANSWERS

  • DYNAMICSCORES254

    DYNAMICSCORES254

  • exam

ATI PN COMPREHENSIVE EXIT EXAM RETAKE 2023- 2024 WITH NGN-with VERIFIED ANSWERS...

17 USD

0

0

Nursing Care of  Children ATI  Proctored Exam  15 Latest versions graded A
View Document

Nursing Care of Children ATI Proctored Exam 15 Latest versions graded A

  • Alkseltzer

    Alkseltzer

  • exam

Nursing Care of Children ATI Proctored Exam 15 Latest versions graded A...

18 USD

0

0

PSY 140 MODULE 2 EXAM  2023,2024 VERIFIED  ANSWERS
View Document

PSY 140 MODULE 2 EXAM 2023,2024 VERIFIED ANSWERS

  • DYNAMICSCORES254

    DYNAMICSCORES254

  • exam

PSY 140 MODULE 2 EXAM 2023,2024 VERIFIED ANSWERS – Download PDF...

12 USD

0

0

PSY 140 MODULE 6 EXAM  2023,2024 VERIFIED  ANSWERS
View Document

PSY 140 MODULE 6 EXAM 2023,2024 VERIFIED ANSWERS

  • DYNAMICSCORES254

    DYNAMICSCORES254

  • exam

PSY 140 MODULE 6 EXAM 2023,2024 VERIFIED ANSWERS – Download PDF...

12 USD

0

0

PSY 140 MODULE 3 EXAM  2023,2024 VERIFIED  ANSWERS
View Document

PSY 140 MODULE 3 EXAM 2023,2024 VERIFIED ANSWERS

  • DYNAMICSCORES254

    DYNAMICSCORES254

  • exam

PSY 140 MODULE 3 EXAM 2023,2024 VERIFIED ANSWERS – Download PDF...

12 USD

0

0

PSY 140 MODULE 7 EXAM  2023,2024 VERIFIED  ANSWERS
View Document

PSY 140 MODULE 7 EXAM 2023,2024 VERIFIED ANSWERS

  • DYNAMICSCORES254

    DYNAMICSCORES254

  • exam

PSY 140 MODULE 7 EXAM 2023,2024 VERIFIED ANSWERS – Download PDF...

12 USD

0

0

PSY 140 MODULE 8 EXAM  2023,2024 VERIFIED  ANSWERS
View Document

PSY 140 MODULE 8 EXAM 2023,2024 VERIFIED ANSWERS

  • DYNAMICSCORES254

    DYNAMICSCORES254

  • exam

PSY 140 MODULE 8 EXAM 2023,2024 VERIFIED ANSWERS – Download PDF...

14 USD

0

0

ATI Mental Health Proctored Exam Review VERIFIED ANSWERS  2023,2024
View Document

ATI Mental Health Proctored Exam Review VERIFIED ANSWERS 2023,2024

  • DYNAMICSCORES254

    DYNAMICSCORES254

  • exam

ATI Mental Health Proctored Exam Review VERIFIED ANSWERS 2023,2024 – Download PDF...

12 USD

0

0

ATI MENTAL HEALTH  FINAL EXAM 2023,2024  STUDY
View Document

ATI MENTAL HEALTH FINAL EXAM 2023,2024 STUDY

  • DYNAMICSCORES254

    DYNAMICSCORES254

  • exam

ATI MENTAL HEALTH FINAL EXAM 2023,2024 STUDY – Download PDF...

10 USD

0

0

NUR3805 NUR 3805 Final Exam VERIFIED ANSWERS  2023,2024 PERFECT SCORES
View Document

NUR3805 NUR 3805 Final Exam VERIFIED ANSWERS 2023,2024 PERFECT SCORES

  • DYNAMICSCORES254

    DYNAMICSCORES254

  • exam

NUR3805 NUR 3805 Final Exam VERIFIED ANSWERS 2023,2024 PERFECT SCORES – Download PDF...

13 USD

0

0

Coaching Principles Test 2 EXAM VERIFIED  ANSWERS 2023,2024
View Document

Coaching Principles Test 2 EXAM VERIFIED ANSWERS 2023,2024

  • DYNAMICSCORES254

    DYNAMICSCORES254

  • exam

Coaching Principles Test 2 EXAM VERIFIED ANSWERS 2023,2024 – Download PDF...

12 USD

0

0

NSG 3100 - Funds I: Exam 2 VERIFIED ANSWERS  2023,2024
View Document

NSG 3100 - Funds I: Exam 2 VERIFIED ANSWERS 2023,2024

  • DYNAMICSCORES254

    DYNAMICSCORES254

  • exam

NSG 3100 - Funds I: Exam 2 VERIFIED ANSWERS 2023,2024 – Download PDF...

9 USD

0

0

IBCLC Exam 2023,2024  VERIFIED ANSWERS
View Document

IBCLC Exam 2023,2024 VERIFIED ANSWERS

  • DYNAMICSCORES254

    DYNAMICSCORES254

  • exam

IBCLC Exam 2023,2024 VERIFIED ANSWERS – Download PDF...

9 USD

0

0

EMT FISDAP READINESS EXAM 2 2023,2024  VERIFIED ANSWERS
View Document

EMT FISDAP READINESS EXAM 2 2023,2024 VERIFIED ANSWERS

  • DYNAMICSCORES254

    DYNAMICSCORES254

  • exam

EMT FISDAP READINESS EXAM 2 2023,2024 VERIFIED ANSWERS – Download PDF...

11 USD

0

0

UTMB ADVANCED PATHOPHYSIOLOGY 5355 Exam 3 VERIFIED  ANSWERS 2023,2024
View Document

UTMB ADVANCED PATHOPHYSIOLOGY 5355 Exam 3 VERIFIED ANSWERS 2023,2024

  • DYNAMICSCORES254

    DYNAMICSCORES254

  • exam

UTMB ADVANCED PATHOPHYSIOLOGY 5355 Exam 3 VERIFIED ANSWERS 2023,2024 – Download PDF...

9 USD

0

0

Rasmussen MDC1 Exam 2 VERIFIED ANSWERS  2023,2024 GUARANTEED  PASS
View Document

Rasmussen MDC1 Exam 2 VERIFIED ANSWERS 2023,2024 GUARANTEED PASS

  • DYNAMICSCORES254

    DYNAMICSCORES254

  • exam

Rasmussen MDC1 Exam 2 VERIFIED ANSWERS 2023,2024 GUARANTEED PASS – Download PDF...

12 USD

0

0

DCF Special Needs Appropriate Practices (SNP) EXAM 2023,2024 VERIFIED PASS
View Document

DCF Special Needs Appropriate Practices (SNP) EXAM 2023,2024 VERIFIED PASS

  • DYNAMICSCORES254

    DYNAMICSCORES254

  • exam

DCF Special Needs Appropriate Practices (SNP) EXAM 2023,2024 VERIFIED PASS – Download PDF...

12 USD

0

0

WGU C207 OA Data-Driven Decision Making 2018  UPDATED Exam Questions and Answers
View Document

WGU C207 OA Data-Driven Decision Making 2018 UPDATED Exam Questions and Answers

  • Alkseltzer

    Alkseltzer

  • exam

WGU C207 OA Data-Driven Decision Making 2018 UPDATED Exam Questions and Answers...

19 USD

0

0

MGMT 309 Exam 1 VERIFIED ANSWERS  2023,2024
View Document

MGMT 309 Exam 1 VERIFIED ANSWERS 2023,2024

  • DYNAMICSCORES254

    DYNAMICSCORES254

  • exam

MGMT 309 Exam 1 VERIFIED ANSWERS 2023,2024...

12 USD

0

0

MGMT 309 Exam 1 STUDY 2023,2024  VERIFIED ANSWERS
View Document

MGMT 309 Exam 1 STUDY 2023,2024 VERIFIED ANSWERS

  • DYNAMICSCORES254

    DYNAMICSCORES254

  • exam

MGMT 309 Exam 1 STUDY 2023,2024 VERIFIED ANSWERS – Download PDF...

12 USD

0

0

ATI Fundamentals Proctored Exam |  Questions and Answers with Rationales |  LATEST 2022, 2023 .
View Document

ATI Fundamentals Proctored Exam | Questions and Answers with Rationales | LATEST 2022, 2023 .

  • Alkseltzer

    Alkseltzer

  • exam

ATI Fundamentals Proctored Exam | Questions and Answers with Rationales | LATEST 2022, 2023 . – Download PDF...

19 USD

0

0

PSI: LIFE, ACCIDENT, AND HEALTH PRACTICE EXAM  VERIFIED ANSWERS
View Document

PSI: LIFE, ACCIDENT, AND HEALTH PRACTICE EXAM VERIFIED ANSWERS

  • DYNAMICSCORES254

    DYNAMICSCORES254

  • exam

PSI: LIFE, ACCIDENT, AND HEALTH PRACTICE EXAM VERIFIED ANSWERS – Download PDF...

6 USD

0

0

ATI MED SURGE PROCTORED EXAM  REAL 13 LATEST VERSIONS  GRADEDA+  100% SUCCESS GUARENTEED  WRITTEN BY ALKER  SELTZER.
View Document

ATI MED SURGE PROCTORED EXAM REAL 13 LATEST VERSIONS GRADEDA+ 100% SUCCESS GUARENTEED WRITTEN BY ALKER SELTZER.

  • Alkseltzer

    Alkseltzer

  • exam

ATI MED SURGE PROCTORED EXAM REAL 13 LATEST VERSIONS GRADEDA+ 100% SUCCESS GUARENTEED WRITTEN BY ALKER SELTZER....

21 USD

0

0

Dangerous goods Ryanair exam 2023,2024 VERIFIED  ANSWERS
View Document

Dangerous goods Ryanair exam 2023,2024 VERIFIED ANSWERS

  • DYNAMICSCORES254

    DYNAMICSCORES254

  • exam

Dangerous goods Ryanair exam 2023,2024 VERIFIED ANSWERS – Download PDF...

13 USD

0

0

ATI RN NURSING CARE OF CHILDREN NUR 212 PROCTORED  EXAM QANDA GUARANTEED SUCCESS LATEST UPDATE 2022  HIGHLY RATED A+ SCORE.
View Document

ATI RN NURSING CARE OF CHILDREN NUR 212 PROCTORED EXAM QANDA GUARANTEED SUCCESS LATEST UPDATE 2022 HIGHLY RATED A+ SCORE.

  • Alkseltzer

    Alkseltzer

  • exam

ATI RN NURSING CARE OF CHILDREN NUR 212 PROCTORED EXAM QANDA GUARANTEED SUCCESS LATEST UPDATE 2022 HIGHLY RATED A+ SCO...

19 USD

0

0

ACA Final Exam questions and answers well elaborated  2023-2024 graded A  LATEST UPDATE .
View Document

ACA Final Exam questions and answers well elaborated 2023-2024 graded A LATEST UPDATE .

  • Alkseltzer

    Alkseltzer

  • exam

ACA Final Exam questions and answers well elaborated 2023-2024 graded A LATEST UPDATE ....

19 USD

0

0

PSI - NY Life, Accident and Health Practice Exam 17-55  VERIFIED ANSWERS  2023,2024
View Document

PSI - NY Life, Accident and Health Practice Exam 17-55 VERIFIED ANSWERS 2023,2024

  • DYNAMICSCORES254

    DYNAMICSCORES254

  • exam

PSI - NY Life, Accident and Health Practice Exam 17-55 VERIFIED ANSWERS 2023,2024...

13 USD

0

0

PSI - NY Life, Accident and Health Practice Exam 17-55  VERIFIED ANSWERS  2023,2024
View Document

PSI - NY Life, Accident and Health Practice Exam 17-55 VERIFIED ANSWERS 2023,2024

  • DYNAMICSCORES254

    DYNAMICSCORES254

  • exam

PSI - NY Life, Accident and Health Practice Exam 17-55 VERIFIED ANSWERS 2023,2024...

13 USD

0

0

NGN ATI RN NURSING CARE OF CHILDREN  PROCTORED EXAM  2019latest update 2023-2024 QUESTIONS WITH  CORRECT ANSWERS AGRADED
View Document

NGN ATI RN NURSING CARE OF CHILDREN PROCTORED EXAM 2019latest update 2023-2024 QUESTIONS WITH CORRECT ANSWERS AGRADED

  • Alkseltzer

    Alkseltzer

  • exam

NGN ATI RN NURSING CARE OF CHILDREN PROCTORED EXAM 2019latest update 2023-2024 QUESTIONS WITH CORRECT ANSWERS AGRADED...

17 USD

0

0

WGU D169 – EXAM 2023,2024 VERIFIED  QUESTIONS BANK
View Document

WGU D169 – EXAM 2023,2024 VERIFIED QUESTIONS BANK

  • DYNAMICSCORES254

    DYNAMICSCORES254

  • exam

WGU D169 – EXAM 2023,2024 VERIFIED QUESTIONS BANK – Download PDF...

14 USD

0

0

ATI RN MED SURG PROCTORED EXAM 2023 WITH NGN COMPLETE SOLUTION
View Document

ATI RN MED SURG PROCTORED EXAM 2023 WITH NGN COMPLETE SOLUTION

  • Alkseltzer

    Alkseltzer

  • exam

ATI RN MED SURG PROCTORED EXAM 2023 WITH NGN COMPLETE SOLUTION...

19 USD

0

0

2023 AHIP FINAL EXAM TEST  COMPPLETE SOLUTION
View Document

2023 AHIP FINAL EXAM TEST COMPPLETE SOLUTION

  • Alkseltzer

    Alkseltzer

  • exam

2023 AHIP FINAL EXAM TEST COMPPLETE SOLUTION...

19 USD

0

0

NACE CIP Level 1 NACE CIP1-001 Training Material VERIFIED ANSWERS  2023,2024
View Document

NACE CIP Level 1 NACE CIP1-001 Training Material VERIFIED ANSWERS 2023,2024

  • DYNAMICSCORES254

    DYNAMICSCORES254

  • exam

NACE CIP Level 1 NACE CIP1-001 Training Material VERIFIED ANSWERS 2023,2024 – Download PDF...

12 USD

0

0

NUR 1211 Medical Surgical  Final Exam VERIFIED ANSWERS  2023,2024
View Document

NUR 1211 Medical Surgical Final Exam VERIFIED ANSWERS 2023,2024

  • DYNAMICSCORES254

    DYNAMICSCORES254

  • exam

NUR 1211 Medical Surgical Final Exam VERIFIED ANSWERS 2023,2024...

12 USD

0

0

ATI VATI MED SURG PROCTORED  EXAM ACTUAL EXAM 2023
View Document

ATI VATI MED SURG PROCTORED EXAM ACTUAL EXAM 2023

  • Alkseltzer

    Alkseltzer

  • exam

ATI VATI MED SURG PROCTORED EXAM ACTUAL EXAM 2023...

17 USD

0

0

NR 508 Week 5 TD- VERIFIED ANSWERS 2023,2024
View Document

NR 508 Week 5 TD- VERIFIED ANSWERS 2023,2024

  • DYNAMICSCORES254

    DYNAMICSCORES254

  • exam

NR 508 Week 5 TD- VERIFIED ANSWERS 2023,2024...

10 USD

0

0

ATI FUNDAMENTALS FINAL EXAM 2023.
View Document

ATI FUNDAMENTALS FINAL EXAM 2023.

  • Alkseltzer

    Alkseltzer

  • exam

ATI FUNDAMENTALS FINAL EXAM 2023....

18 USD

0

0

ABFM HOSPITAL MEDICINE COMPLETE  SOLUTIONS EXAM  2023,2024 VERIFIED
View Document

ABFM HOSPITAL MEDICINE COMPLETE SOLUTIONS EXAM 2023,2024 VERIFIED

  • DYNAMICSCORES254

    DYNAMICSCORES254

  • exam

ABFM HOSPITAL MEDICINE COMPLETE SOLUTIONS EXAM 2023,2024 VERIFIED...

12 USD

0

0

NR-503 Epidemiology Final  VERIFIED ANSWERS  2023,2024
View Document

NR-503 Epidemiology Final VERIFIED ANSWERS 2023,2024

  • DYNAMICSCORES254

    DYNAMICSCORES254

  • exam

NR-503 Epidemiology Final VERIFIED ANSWERS 2023,2024...

12 USD

0

0

WALL STREET PREP Review: Excel Crash Course Exam 2023,2024  GUARANTEED PASS
View Document

WALL STREET PREP Review: Excel Crash Course Exam 2023,2024 GUARANTEED PASS

  • DYNAMICSCORES254

    DYNAMICSCORES254

  • exam

WALL STREET PREP Review: Excel Crash Course Exam 2023,2024 GUARANTEED PASS...

6 USD

0

0

WALL STREET PREP Review: Excel Crash Course Exam verified
View Document

WALL STREET PREP Review: Excel Crash Course Exam verified

  • DYNAMICSCORES254

    DYNAMICSCORES254

  • exam

WALL STREET PREP Review: Excel Crash Course Exam verified...

4 USD

0

0

Wall Street Prep Exam With Verified Answers 2023,2024
View Document

Wall Street Prep Exam With Verified Answers 2023,2024

  • DYNAMICSCORES254

    DYNAMICSCORES254

  • exam

Wall Street Prep Exam With Verified Answers 2023,2024...

9 USD

0

0

HESI ENTRANCE EXAM A&P PRACTICE TEST  EXAM QUESTIONS WITH VERIFIED DETAILED  ANSWERS 100%COMPLETE AND GRADED A+  LATEST 2023-2024
View Document

HESI ENTRANCE EXAM A&P PRACTICE TEST EXAM QUESTIONS WITH VERIFIED DETAILED ANSWERS 100%COMPLETE AND GRADED A+ LATEST 2023-2024

  • beatricemwash

    beatricemwash

  • questions & answers

HESI ENTRANCE EXAM A&P PRACTICE TEST EXAM QUESTIONS WITH VERIFIED DETAILED ANSWERS 100%COMPLETE AND GRADED A+ LATEST ...

4 USD

0

0

Physical Examination and  Health Assessment 9th  Edition by Carolyn Jarvis, Ann  Eckhardt Test Bank  All  Chapters 1-32  VERIFIED Full  Complete 2023,2024
View Document

Physical Examination and Health Assessment 9th Edition by Carolyn Jarvis, Ann Eckhardt Test Bank All Chapters 1-32 VERIFIED Full Complete 2023,2024

  • DYNAMICSCORES254

    DYNAMICSCORES254

  • exam

Physical Examination and Health Assessment 9th Edition by Carolyn Jarvis, Ann Eckhardt Test Bank All Chapters 1-32 ...

16 USD

0

0

CNA Chapter 6 Exam 2023,2024 COMPLETE SOLUTION
View Document

CNA Chapter 6 Exam 2023,2024 COMPLETE SOLUTION

  • DYNAMICSCORES254

    DYNAMICSCORES254

  • exam

CNA Chapter 6 Exam 2023,2024 COMPLETE SOLUTION...

9 USD

0

0

AP Psychology   VERIFIED ANSWERS  2023,2024 EXAM
View Document

AP Psychology VERIFIED ANSWERS 2023,2024 EXAM

  • DYNAMICSCORES254

    DYNAMICSCORES254

  • exam

AP Psychology VERIFIED ANSWERS 2023,2024 EXAM...

9 USD

0

0

CDCR Sergeant Exam study  guide 2023,2024 GUARANTEED SUCCESS
View Document

CDCR Sergeant Exam study guide 2023,2024 GUARANTEED SUCCESS

  • DYNAMICSCORES254

    DYNAMICSCORES254

  • exam

CDCR Sergeant Exam study guide 2023,2024 GUARANTEED SUCCESS...

9 USD

0

0

NYC Tour Guide Exam VERIFIED ANSWERS  2023,2024
View Document

NYC Tour Guide Exam VERIFIED ANSWERS 2023,2024

  • DYNAMICSCORES254

    DYNAMICSCORES254

  • exam

NYC Tour Guide Exam VERIFIED ANSWERS 2023,2024...

9 USD

0

0

AZ Jurisprudence PT Exam  VERIFIED ANSWERS  2023,2024
View Document

AZ Jurisprudence PT Exam VERIFIED ANSWERS 2023,2024

  • DYNAMICSCORES254

    DYNAMICSCORES254

  • exam

AZ Jurisprudence PT Exam VERIFIED ANSWERS 2023,2024...

9 USD

0

0

National Counselor Examination Study Guide VERIFIED ANSWERS  2023,2024
View Document

National Counselor Examination Study Guide VERIFIED ANSWERS 2023,2024

  • DYNAMICSCORES254

    DYNAMICSCORES254

  • exam

National Counselor Examination Study Guide VERIFIED ANSWERS 2023,2024...

10 USD

0

0

CHEM 101 Final Ivy Tech  VERIFIED ANSWERS  2023,2024
View Document

CHEM 101 Final Ivy Tech VERIFIED ANSWERS 2023,2024

  • DYNAMICSCORES254

    DYNAMICSCORES254

  • exam

CHEM 101 Final Ivy Tech VERIFIED ANSWERS 2023,2024...

8 USD

0

0

ATI MED SURG  PROCTORED EXAM 2019  RETAKE WITH NGN RATED A NEW FILE  2023,2024
View Document

ATI MED SURG PROCTORED EXAM 2019 RETAKE WITH NGN RATED A NEW FILE 2023,2024

  • DYNAMICSCORES254

    DYNAMICSCORES254

  • exam

ATI MED SURG PROCTORED EXAM 2019 RETAKE WITH NGN RATED A NEW FILE 2023,2024...

18 USD

0

0

RN Pharmacology EXAM QUESTIONS AND VERIFIED  DETAILED ANSWERS 100% COMPLETE GRADED A+ LATEST  2023-2024
View Document

RN Pharmacology EXAM QUESTIONS AND VERIFIED DETAILED ANSWERS 100% COMPLETE GRADED A+ LATEST 2023-2024

  • beatricemwash

    beatricemwash

  • questions & answers

RN Pharmacology EXAM QUESTIONS AND VERIFIED DETAILED ANSWERS 100% COMPLETE GRADED A+ LATEST 2023-2024...

8 USD

0

0

PHARMACOLOGY 1 EXAM 1 - CONCORDE RN QUESTIONS  AND VERIFIED ANSWERS 100%COMPLETE GRADED A+  LATEST 2023-2024
View Document

PHARMACOLOGY 1 EXAM 1 - CONCORDE RN QUESTIONS AND VERIFIED ANSWERS 100%COMPLETE GRADED A+ LATEST 2023-2024

  • beatricemwash

    beatricemwash

  • questions & answers

PHARMACOLOGY 1 EXAM 1 - CONCORDE RN QUESTIONS AND VERIFIED ANSWERS 100%COMPLETE GRADED A+ LATEST 2023-2024...

5 USD

0

0

CJ 310 1-3 Quiz. VERIFIED  ANSWERS 2024,2026  EXAMS
View Document

CJ 310 1-3 Quiz. VERIFIED ANSWERS 2024,2026 EXAMS

  • DYNAMICSCORES254

    DYNAMICSCORES254

  • exam

CJ 310 1-3 Quiz. VERIFIED ANSWERS 2024,2025 EXAMS...

10 USD

0

0

RASMUSSEN MENTAL  HEALTH FINAL EXAM 2024,2026 VERIFIED  ANSWERS
View Document

RASMUSSEN MENTAL HEALTH FINAL EXAM 2024,2026 VERIFIED ANSWERS

  • DYNAMICSCORES254

    DYNAMICSCORES254

  • exam

RASMUSSEN MENTAL HEALTH FINAL EXAM 2024,2025 VERIFIED ANSWERS...

15 USD

0

0

Fire instructor 2 final exam VERIFIED ANSWERS  2024 | 2026
View Document

Fire instructor 2 final exam VERIFIED ANSWERS 2024 | 2026

  • DYNAMICSCORES254

    DYNAMICSCORES254

  • exam

Fire instructor 2 final exam VERIFIED ANSWERS 2024 | 2025 – Download PDF...

13 USD

0

0

ATI RN COMPREHENSIVE PREDICTOR 2023 NGN REAL EXAM 180 Q & A
View Document

ATI RN COMPREHENSIVE PREDICTOR 2023 NGN REAL EXAM 180 Q & A

  • SAMUEL

    SAMUEL

  • ati proctored

ATI RN COMPREHENSIVE PREDICTOR 2023 NGN REAL EXAM 180 Q & A...

19 USD

0

0

ATI RN COMPREHENSIVE PREDICTOR 2023 NGN REAL EXAM 180 Q & A
View Document

ATI RN COMPREHENSIVE PREDICTOR 2023 NGN REAL EXAM 180 Q & A

  • SAMUEL

    SAMUEL

  • ati proctored

ATI RN COMPREHENSIVE PREDICTOR 2023 NGN REAL EXAM 180 Q & A...

19 USD

0

0

NAPRX CNPR LATEST EXAM  2023-2024 ALL 180 QUESTIONS  AND VERIFIED ANSWERS  GRADED A+
View Document

NAPRX CNPR LATEST EXAM 2023-2024 ALL 180 QUESTIONS AND VERIFIED ANSWERS GRADED A+

  • DYNAMICSCORES254

    DYNAMICSCORES254

  • exam

NAPRX CNPR LATEST EXAM 2023-2024 ALL 180 QUESTIONS AND VERIFIED ANSWERS GRADED A+...

12 USD

0

0

RN ATI Capstone Proctored Comprehensive Assessment 2019 A (VERIFIED SOLUTIONS)
View Document

RN ATI Capstone Proctored Comprehensive Assessment 2019 A (VERIFIED SOLUTIONS)

  • Highergrades

    Highergrades

  • study guide

RN ATI Capstone Proctored Comprehensive Assessment 2019 A (VERIFIED SOLUTIONS)...

17 USD

0

0

HESI PN EXIT V3 EXAM 140 QUESTIONS WITH CORRECT SOLUTIONS | A+ GRADE GUARANTEED 2023-2024 VERSION 1) The LPN, LVN receives the clients next scheduled bag of TPN labeled with th
View Document

HESI PN EXIT V3 EXAM 140 QUESTIONS WITH CORRECT SOLUTIONS | A+ GRADE GUARANTEED 2023-2024 VERSION 1) The LPN, LVN receives the clients next scheduled bag of TPN labeled with th

  • Oscar

    Oscar

  • shadow health

HESI PN EXIT V3 EXAM 140 QUESTIONS WITH CORRECT SOLUTIONS | A+ GRADE GUARANTEED 2023-2024 VERSION 1) The LPN, LVN receiv...

19 USD

0

0

ATI RN ADV MEDSURG STUDY NOTES FOR EXAM QUESTIONS AND ANSWERS QUARANTEED A+
View Document

ATI RN ADV MEDSURG STUDY NOTES FOR EXAM QUESTIONS AND ANSWERS QUARANTEED A+

  • TITUS

    TITUS

  • study guide

ATI RN ADV MEDSURG STUDY NOTES FOR EXAM QUESTIONS AND ANSWERS QUARANTEED A+...

20 USD

0

0

NRNP 6645 Final REAL Exam 2023-2024, LATEST 100+ Q & A), NRNP6645 Final Exam: Walden University | Verified Q
View Document

NRNP 6645 Final REAL Exam 2023-2024, LATEST 100+ Q & A), NRNP6645 Final Exam: Walden University | Verified Q

  • Oscar

    Oscar

  • shadow health

NRNP 6645 Final REAL Exam 2023-2024, LATEST 100+ Q & A), NRNP6645 Final Exam: Walden University | Verified Q – Downloa...

14 USD

0

1

NR511 Final Exam Study Guide latest  updated april 2023 graded A REAL EXAM
View Document

NR511 Final Exam Study Guide latest updated april 2023 graded A REAL EXAM

  • Oscar

    Oscar

  • shadow health

NR511 Final Exam Study Guide latest updated april 2023 graded A REAL EXAM...

17 USD

0

0

2023 ATI MENTAL HEALTH FORM A & FORM B WITH NGN PROCTORED 2023-2024 EXAM (140 Q & A), MENTAL  HEALTH ATI PROCTORED EXAM FORM A & B GRADED
View Document

2023 ATI MENTAL HEALTH FORM A & FORM B WITH NGN PROCTORED 2023-2024 EXAM (140 Q & A), MENTAL HEALTH ATI PROCTORED EXAM FORM A & B GRADED

  • Oscar

    Oscar

  • shadow health

2023 ATI MENTAL HEALTH FORM A & FORM B WITH NGN PROCTORED 2023-2024 EXAM (140 Q & A), MENTAL HEALTH ATI PROCTORED EXAM ...

17 USD

0

0

2024 Firefighter 2 Final Exam Prep Questions and Answers (2023)  (Verified Answers) GRADED A Divisions of labor... A. Outlines how things are to bedoneandusually how far apersoncan go withou
View Document

2024 Firefighter 2 Final Exam Prep Questions and Answers (2023) (Verified Answers) GRADED A Divisions of labor... A. Outlines how things are to bedoneandusually how far apersoncan go withou

  • Oscar

    Oscar

  • questions & answers

2024 Firefighter 2 Final Exam Prep Questions and Answers (2023) (Verified Answers) GRADED A Divisions of labor... A. Ou...

16 USD

0

0

NEW!!! Firefighter 1 Final Test 2023-2024 Study guide for Firefighter 1 final exam
View Document

NEW!!! Firefighter 1 Final Test 2023-2024 Study guide for Firefighter 1 final exam

  • Oscar

    Oscar

  • questions & answers

NEW!!! Firefighter 1 Final Test 2023-2024 Study guide for Firefighter 1 final exam – Download PDF...

17 USD

0

0

NR503 NGN FINAL EXAM STUDY GUIDE 2023-2024
View Document

NR503 NGN FINAL EXAM STUDY GUIDE 2023-2024

  • Oscar

    Oscar

  • questions & answers

NR503 NGN FINAL EXAM STUDY GUIDE 2023-2024...

17 USD

0

0

2023 EMT FISDAP READINESS EXAM Questions and Answers 1. 36|yo female complains of fever, lower abdomen pain that moves to lower back when she walks. BP 144, p98, R 16. You should suspect?(ANSWER) Pelvic inflam- matory diseas
View Document

2023 EMT FISDAP READINESS EXAM Questions and Answers 1. 36|yo female complains of fever, lower abdomen pain that moves to lower back when she walks. BP 144, p98, R 16. You should suspect?(ANSWER) Pelvic inflam- matory diseas

  • Oscar

    Oscar

  • questions & answers

2023 EMT FISDAP READINESS EXAM Questions and Answers 1. 36|yo female complains of fever, lower abdomen pain that moves t...

17 USD

0

0

CRCR Certification Exam 200+ Questions and Answers 2023 (Verified  Answer
View Document

CRCR Certification Exam 200+ Questions and Answers 2023 (Verified Answer

  • Oscar

    Oscar

  • questions & answers

CRCR Certification Exam 200+ Questions and Answers 2023 (Verified Answer...

20 USD

0

0

CLC 056 Analyzing Contract Costs Exam (2026) – Full Q&A Set with Verified A+ Answers
View Document

CLC 056 Analyzing Contract Costs Exam (2026) – Full Q&A Set with Verified A+ Answers

  • Oscar

    Oscar

  • questions & answers

Get 55 real CLC 056 Analyzing Contract Costs exam questions with A+ answers. Perfect 2025 study guide for test prep and ...

8 USD

0

0

RN PHARMACOLOGY EXAM QUESTIONS WITH VERIFIED  DETAILED ANSWERS A RELIAS 100% COMPLETE GRADED A+  UPDATED A+
View Document

RN PHARMACOLOGY EXAM QUESTIONS WITH VERIFIED DETAILED ANSWERS A RELIAS 100% COMPLETE GRADED A+ UPDATED A+

  • beatricemwash

    beatricemwash

  • ati

RN PHARMACOLOGY EXAM QUESTIONS WITH VERIFIED DETAILED ANSWERS A RELIAS 100% COMPLETE GRADED A+ UPDATED A+...

7 USD

0

0

ATI Capstone Quiz Review Exam Questions with Verified Answers Graded A+ 100% Complete Latest 2024-2026
View Document

ATI Capstone Quiz Review Exam Questions with Verified Answers Graded A+ 100% Complete Latest 2024-2026

  • beatricemwash

    beatricemwash

  • ati

ATI Capstone Quiz Review Exam Questions with Verified Answers Graded A+ 100% Complete Latest 2024-2025...

9 USD

0

0

MARYLAND STATE BOARD COSMETOLOGY EXAM 2024  150 QUESTIONS AND COMPLETE VERIFIED ANSWERS
View Document

MARYLAND STATE BOARD COSMETOLOGY EXAM 2024 150 QUESTIONS AND COMPLETE VERIFIED ANSWERS

  • DYNAMICSCORES254

    DYNAMICSCORES254

  • exam

MARYLAND STATE BOARD COSMETOLOGY EXAM 2024 150 QUESTIONS AND COMPLETE VERIFIED ANSWERS...

14 USD

0

0

Portage Learning- BIOD 151 Exam 1, 2, 3 & 4 Latest with NGN 2024  VERIFIED ANSWERS
View Document

Portage Learning- BIOD 151 Exam 1, 2, 3 & 4 Latest with NGN 2024 VERIFIED ANSWERS

  • DYNAMICSCORES254

    DYNAMICSCORES254

  • exam

Portage Learning- BIOD 151 Exam 1, 2, 3 & 4 Latest with NGN 2024 VERIFIED ANSWERS...

12 USD

0

0

Basic Appraisal Procedures Final Exam Questions and  Answers Correct  VERIFIED ANSWERS  2024,2026
View Document

Basic Appraisal Procedures Final Exam Questions and Answers Correct VERIFIED ANSWERS 2024,2026

  • DYNAMICSCORES254

    DYNAMICSCORES254

  • exam

Basic Appraisal Procedures Final Exam Questions and Answers Correct VERIFIED ANSWERS 2024,2025...

16 USD

0

0

HESI Exit Exam Test Bank  2023,2024  VERIFIED  ANSWERS
View Document

HESI Exit Exam Test Bank 2023,2024 VERIFIED ANSWERS

  • DYNAMICSCORES254

    DYNAMICSCORES254

  • exam

HESI Exit Exam Test Bank 2023,2024 VERIFIED ANSWERS...

18 USD

0

0

HESI A2 EXAM TEST BANK NURSING ADMISSION  ENTRANCE EXAM Questions and Answers  Latest Update 2023,2024
View Document

HESI A2 EXAM TEST BANK NURSING ADMISSION ENTRANCE EXAM Questions and Answers Latest Update 2023,2024

  • DYNAMICSCORES254

    DYNAMICSCORES254

  • exam

HESI A2 EXAM TEST BANK NURSING ADMISSION ENTRANCE EXAM Questions and Answers Latest Update 2023,2024...

18 USD

0

0

AORN Periop 101 Final Exam  Questions and Answers  VERIFIED ANSWERS 2024,2026
View Document

AORN Periop 101 Final Exam Questions and Answers VERIFIED ANSWERS 2024,2026

  • DYNAMICSCORES254

    DYNAMICSCORES254

  • exam

AORN Periop 101 Final Exam Questions and Answers VERIFIED ANSWERS 2024,2025...

12 USD

0

0

N677 Study Guide for the Controlled Substances Examination VERIFIED ANSWERS  2024,2026
View Document

N677 Study Guide for the Controlled Substances Examination VERIFIED ANSWERS 2024,2026

  • DYNAMICSCORES254

    DYNAMICSCORES254

  • exam

N677 Study Guide for the Controlled Substances Examination VERIFIED ANSWERS 2024,2025...

12 USD

0

0

CNPR, NAPSR Exam VERIFIED ANSWERS  2024,2026
View Document

CNPR, NAPSR Exam VERIFIED ANSWERS 2024,2026

  • DYNAMICSCORES254

    DYNAMICSCORES254

  • exam

CNPR, NAPSR Exam VERIFIED ANSWERS 2024,2025...

10 USD

0

0

NAPSR FINAL EXAM  ANSWERS VERIFIED ANSWERS  2024, 2026
View Document

NAPSR FINAL EXAM ANSWERS VERIFIED ANSWERS 2024, 2026

  • DYNAMICSCORES254

    DYNAMICSCORES254

  • exam

NAPSR FINAL EXAM ANSWERS VERIFIED ANSWERS 2024, 2025 – Download PDF...

13 USD

0

0

Professional Home Inspector Exam NHIE,  TREC  VERIFIED  ANSWERS 2024, 2026
View Document

Professional Home Inspector Exam NHIE, TREC VERIFIED ANSWERS 2024, 2026

  • DYNAMICSCORES254

    DYNAMICSCORES254

  • exam

Professional Home Inspector Exam NHIE, TREC VERIFIED ANSWERS 2024, 2025 – Download PDF...

10 USD

0

0

DASLE MN VERIFIED  ANSWERS 2024, 2026  EXAM
View Document

DASLE MN VERIFIED ANSWERS 2024, 2026 EXAM

  • DYNAMICSCORES254

    DYNAMICSCORES254

  • exam

DASLE MN VERIFIED ANSWERS 2024, 2025 EXAM – Download PDF...

10 USD

0

0

NBCE Part I Spinal Anatomy Practice Exam  VERIFIED ANSWERS  2024, 2026
View Document

NBCE Part I Spinal Anatomy Practice Exam VERIFIED ANSWERS 2024, 2026

  • DYNAMICSCORES254

    DYNAMICSCORES254

  • exam

NBCE Part I Spinal Anatomy Practice Exam VERIFIED ANSWERS 2024, 2025 – Download PDF...

10 USD

0

0

Baylor Scott & White EKG test  VERIFIED  ANSWERS 2024, 2026  EXAM
View Document

Baylor Scott & White EKG test VERIFIED ANSWERS 2024, 2026 EXAM

  • DYNAMICSCORES254

    DYNAMICSCORES254

  • exam

Baylor Scott & White EKG test VERIFIED ANSWERS 2024, 2025 EXAM – Download PDF...

10 USD

0

0

ATI RN Comprehensive Predictor Exam  Questions and Verified Answers with NGN  2023, 2024 guaranteed pass
View Document

ATI RN Comprehensive Predictor Exam Questions and Verified Answers with NGN 2023, 2024 guaranteed pass

  • DYNAMICSCORES254

    DYNAMICSCORES254

  • exam

ATI RN Comprehensive Predictor Exam Questions and Verified Answers with NGN 2023, 2024 guaranteed pass – Download PD...

16 USD

0

0

USPS Exam 421 Window Clerk VERIFIED  ANSWERS 2024, 2026
View Document

USPS Exam 421 Window Clerk VERIFIED ANSWERS 2024, 2026

  • DYNAMICSCORES254

    DYNAMICSCORES254

  • exam

USPS Exam 421 Window Clerk VERIFIED ANSWERS 2024, 2025 – Download PDF...

11 USD

0

0

Barkley AGACNP Exam - Professional Responsibility VERIFIED ANSWERS  2024, 2026
View Document

Barkley AGACNP Exam - Professional Responsibility VERIFIED ANSWERS 2024, 2026

  • DYNAMICSCORES254

    DYNAMICSCORES254

  • exam

Barkley AGACNP Exam - Professional Responsibility VERIFIED ANSWERS 2024, 2025 – Download PDF...

10 USD

0

0

Progression: Field Tech II - III Conventional VERIFIED ANSWERS  2024, 2026 EXAM
View Document

Progression: Field Tech II - III Conventional VERIFIED ANSWERS 2024, 2026 EXAM

  • DYNAMICSCORES254

    DYNAMICSCORES254

  • exam

Progression: Field Tech II - III Conventional VERIFIED ANSWERS 2024, 2025 EXAM – Download PDF...

12 USD

0

0

Real Estate U Final Exam VERIFIED ANSWERS  2024, 2026 EXAM  GUARANTEED PASS
View Document

Real Estate U Final Exam VERIFIED ANSWERS 2024, 2026 EXAM GUARANTEED PASS

  • DYNAMICSCORES254

    DYNAMICSCORES254

  • exam

Real Estate U Final Exam VERIFIED ANSWERS 2024, 2025 EXAM GUARANTEED PASS – Download PDF...

12 USD

0

0

Psychology 101 Final Exam  VERIFIED ANSWERS  2024, 2026
View Document

Psychology 101 Final Exam VERIFIED ANSWERS 2024, 2026

  • DYNAMICSCORES254

    DYNAMICSCORES254

  • exam

Psychology 101 Final Exam VERIFIED ANSWERS 2024, 2025 – Download PDF...

10 USD

0

0

Test Bank for Maternity & Women’s Health Care, 13th Edition by Lowdermilk | Complete Chapters, Exam-Style Questions & Verified Answers
View Document

Test Bank for Maternity & Women’s Health Care, 13th Edition by Lowdermilk | Complete Chapters, Exam-Style Questions & Verified Answers

  • DYNAMICSCORES254

    DYNAMICSCORES254

  • exam

Master your maternity nursing exams with the Maternity & Women’s Health Care, 13th Ed Test Bank by Lowdermilk. Full ch...

15 USD

0

0

All THE PCCN Exam Questions And Answers 2024, 2026 VERIFIED  ANSWERS
View Document

All THE PCCN Exam Questions And Answers 2024, 2026 VERIFIED ANSWERS

  • DYNAMICSCORES254

    DYNAMICSCORES254

  • exam

All THE PCCN Exam Questions And Answers 2024, 2025 VERIFIED ANSWERS – Download PDF...

10 USD

0

0

ATI RN Nursing Care of Children  Exam Test Bank VERIFIED  ANSWERS 2024, 2026
View Document

ATI RN Nursing Care of Children Exam Test Bank VERIFIED ANSWERS 2024, 2026

  • DYNAMICSCORES254

    DYNAMICSCORES254

  • exam

ATI RN Nursing Care of Children Exam Test Bank VERIFIED ANSWERS 2024, 2025 – Download PDF...

13 USD

0

0

BIOD 171 Final Exam (Essential Microbiology)  Questions with Answers  Graded A  2023, 2024 Portage Learning VERIFIED
View Document

BIOD 171 Final Exam (Essential Microbiology) Questions with Answers Graded A 2023, 2024 Portage Learning VERIFIED

  • DYNAMICSCORES254

    DYNAMICSCORES254

  • exam

BIOD 171 Final Exam (Essential Microbiology) Questions with Answers Graded A 2023, 2024 Portage Learning VERIFIED –...

14 USD

0

0

Texas Food Handler 360Training Final Exam VERIFIED ANSWERS  2024, 2026
View Document

Texas Food Handler 360Training Final Exam VERIFIED ANSWERS 2024, 2026

  • DYNAMICSCORES254

    DYNAMICSCORES254

  • exam

Texas Food Handler 360Training Final Exam VERIFIED ANSWERS 2024, 2025 – Download PDF...

10 USD

0

0

HIT 120 Final Exam VERIFIED ANSWERS  2024, 2026
View Document

HIT 120 Final Exam VERIFIED ANSWERS 2024, 2026

  • DYNAMICSCORES254

    DYNAMICSCORES254

  • exam

HIT 120 Final Exam VERIFIED ANSWERS 2024, 2025 – Download PDF...

8 USD

0

0

HIT 120 checkpoints all VERIFIED ANSWERS  2024, 2026 EXAM
View Document

HIT 120 checkpoints all VERIFIED ANSWERS 2024, 2026 EXAM

  • DYNAMICSCORES254

    DYNAMICSCORES254

  • exam

HIT 120 checkpoints all VERIFIED ANSWERS 2024, 2025 EXAM – Download PDF...

8 USD

0

0

HIT120 chapter 3  VERIFIED ANSWERS  2024, 2026 EXAM
View Document

HIT120 chapter 3 VERIFIED ANSWERS 2024, 2026 EXAM

  • DYNAMICSCORES254

    DYNAMICSCORES254

  • exam

HIT120 chapter 3 VERIFIED ANSWERS 2024, 2025 EXAM – Download PDF...

8 USD

0

0

BEST REVIEW Postal Exam 421 SSA ACADEMY  Questions and Answers (2023, 2024) Complete  Answers
View Document

BEST REVIEW Postal Exam 421 SSA ACADEMY Questions and Answers (2023, 2024) Complete Answers

  • DYNAMICSCORES254

    DYNAMICSCORES254

  • exam

BEST REVIEW Postal Exam 421 SSA ACADEMY Questions and Answers (2023, 2024) Complete Answers – Download PDF...

15 USD

0

0

BEST REVIEW NURS 6552 WOMENS  HEALTH FINAL Exam Elaborations  Questions & Answers Latest Update  2023, 2024
View Document

BEST REVIEW NURS 6552 WOMENS HEALTH FINAL Exam Elaborations Questions & Answers Latest Update 2023, 2024

  • DYNAMICSCORES254

    DYNAMICSCORES254

  • exam

BEST REVIEW NURS 6552 WOMENS HEALTH FINAL Exam Elaborations Questions & Answers Latest Update 2023, 2024 – Download...

15 USD

0

0

BEST ANSWERS SEJPME - Lesson 4 Post test 2024, 2026 VERIFIED EXAM  ANSWERS
View Document

BEST ANSWERS SEJPME - Lesson 4 Post test 2024, 2026 VERIFIED EXAM ANSWERS

  • DYNAMICSCORES254

    DYNAMICSCORES254

  • exam

BEST ANSWERS SEJPME - Lesson 4 Post test 2024, 2025 VERIFIED EXAM ANSWERS – Download PDF...

6 USD

0

0

BEST REVIEW RN HESI EXIT Exam V2  REAL EXAM – LATEST UPDATE |  2024, 2026
View Document

BEST REVIEW RN HESI EXIT Exam V2 REAL EXAM – LATEST UPDATE | 2024, 2026

  • DYNAMICSCORES254

    DYNAMICSCORES254

  • exam

BEST REVIEW RN HESI EXIT Exam V2 REAL EXAM – LATEST UPDATE | 2024, 2025 – Download PDF...

16 USD

0

0

Best Review NCLEX Exam Questions and Answers Verified 2023, 2024
View Document

Best Review NCLEX Exam Questions and Answers Verified 2023, 2024

  • DYNAMICSCORES254

    DYNAMICSCORES254

  • exam

Prepare effectively for the NCLEX Exam with our best review guide, featuring verified questions and answers for 2023 and...

16 USD

0

0

BEST REVIEW Test Bank ATI PN  Pharmacology Proctored Exam Latest  Update 2024, 2026
View Document

BEST REVIEW Test Bank ATI PN Pharmacology Proctored Exam Latest Update 2024, 2026

  • DYNAMICSCORES254

    DYNAMICSCORES254

  • exam

BEST REVIEW Test Bank ATI PN Pharmacology Proctored Exam Latest Update 2024, 2025 – Download PDF...

28 USD

0

0

BEST REVIEW NSG  233 Med Surg 1 Exam  1 With Rationales 2023, 2024
View Document

BEST REVIEW NSG 233 Med Surg 1 Exam 1 With Rationales 2023, 2024

  • DYNAMICSCORES254

    DYNAMICSCORES254

  • exam

BEST REVIEW NSG 233 Med Surg 1 Exam 1 With Rationales 2023, 2024 – Download PDF...

15 USD

0

0

BEST REVIEW ATI Med  Surge Proctored Exam  2019 With Complete  Solutions
View Document

BEST REVIEW ATI Med Surge Proctored Exam 2019 With Complete Solutions

  • DYNAMICSCORES254

    DYNAMICSCORES254

  • exam

BEST REVIEW ATI Med Surge Proctored Exam 2019 With Complete Solutions...

14 USD

0

0

BEST REVIEW Pharmacology NURS 251 Module Exam 7  portage learning 2023, 2024 With Verified Answers
View Document

BEST REVIEW Pharmacology NURS 251 Module Exam 7 portage learning 2023, 2024 With Verified Answers

  • DYNAMICSCORES254

    DYNAMICSCORES254

  • exam

BEST REVIEW Pharmacology NURS 251 Module Exam 7 portage learning 2023, 2024 With Verified Answers – Download PDF...

15 USD

0

0

BEST REVIEW NRNP 6540 MIDTERM EXAM  LATEST 2024 QUESTIONS AND ANSWERS WALDEN UNIVERSITY
View Document

BEST REVIEW NRNP 6540 MIDTERM EXAM LATEST 2024 QUESTIONS AND ANSWERS WALDEN UNIVERSITY

  • DYNAMICSCORES254

    DYNAMICSCORES254

  • exam

BEST REVIEW NRNP 6540 MIDTERM EXAM LATEST 2024 QUESTIONS AND ANSWERS WALDEN UNIVERSITY...

18 USD

0

0

NURS 6630 MIDTER EXAM LATEST  VERSION 2023, 2024 WALDEN UNIVERSITY VERIFIED ANSWERS
View Document

NURS 6630 MIDTER EXAM LATEST VERSION 2023, 2024 WALDEN UNIVERSITY VERIFIED ANSWERS

  • DYNAMICSCORES254

    DYNAMICSCORES254

  • exam

NURS 6630 MIDTER EXAM LATEST VERSION 2023, 2024 WALDEN UNIVERSITY VERIFIED ANSWERS – Download PDF...

17 USD

0

0

ATI Capstone Fundamentals Exam Questions with Verified Answers Latest 2023-2024 Graded A+
View Document

ATI Capstone Fundamentals Exam Questions with Verified Answers Latest 2023-2024 Graded A+

  • beatricemwash

    beatricemwash

  • ati

Prepare for success with the latest 2023-2024 ATI Capstone Fundamentals Exam Questions and Verified Answers. Graded A+ f...

10 USD

0

0

BEST ANSWERS ATI FUNDAMENTALS  PROCTERED EXAM 2023, 2024 100 percent VERIFIED ANSWERS
View Document

BEST ANSWERS ATI FUNDAMENTALS PROCTERED EXAM 2023, 2024 100 percent VERIFIED ANSWERS

  • DYNAMICSCORES254

    DYNAMICSCORES254

  • exam

BEST ANSWERS ATI FUNDAMENTALS PROCTERED EXAM 2023, 2024 100 percent VERIFIED ANSWERS – Download PDF...

26 USD

0

0

BEST ANSWERSNRNP 6675 Midterm Exam  Walden University 2023-2024 VERIFIED 100% CORRECT  ANSWERS
View Document

BEST ANSWERSNRNP 6675 Midterm Exam Walden University 2023-2024 VERIFIED 100% CORRECT ANSWERS

  • DYNAMICSCORES254

    DYNAMICSCORES254

  • exam

BEST ANSWERSNRNP 6675 Midterm Exam Walden University 2023-2024 VERIFIED 100% CORRECT ANSWERS...

16 USD

0

0

BEST REVIEW NRNP 6635 MIDTERM EXAM (V1) 100 Percent  QUESTIONS AND ANSWERS WALDEN  UNIVERSITY NEW,2023-2024 VERIFIED  ANSWERS
View Document

BEST REVIEW NRNP 6635 MIDTERM EXAM (V1) 100 Percent QUESTIONS AND ANSWERS WALDEN UNIVERSITY NEW,2023-2024 VERIFIED ANSWERS

  • DYNAMICSCORES254

    DYNAMICSCORES254

  • exam

BEST REVIEW NRNP 6635 MIDTERM EXAM (V1) 100 Percent QUESTIONS AND ANSWERS WALDEN UNIVERSITY NEW,2023-2024 VERIFIED AN...

18 USD

0

0

ATI CAPSTONE STUDY EXAM QUESTIONS WITH VERIFIED  ANSWERS 100%COMPLETE GRADED A+ LATEST 2023-2024
View Document

ATI CAPSTONE STUDY EXAM QUESTIONS WITH VERIFIED ANSWERS 100%COMPLETE GRADED A+ LATEST 2023-2024

  • beatricemwash

    beatricemwash

  • ati

ATI CAPSTONE STUDY EXAM QUESTIONS WITH VERIFIED ANSWERS 100%COMPLETE GRADED A+ LATEST 2023-2024...

10 USD

0

0

BEST ANSWERS BEST REVIEW ATI PN Maternal Newborn Proctored Exam-with 100 Percent verified solutions-2024
View Document

BEST ANSWERS BEST REVIEW ATI PN Maternal Newborn Proctored Exam-with 100 Percent verified solutions-2024

  • DYNAMICSCORES254

    DYNAMICSCORES254

  • exam

Excel in the ATI PN Maternal Newborn Proctored Exam with our top review guide, featuring 100% verified solutions for 202...

14 USD

0

0

BEST REVIEW NR546 Final Exams answers 2024, 2026
View Document

BEST REVIEW NR546 Final Exams answers 2024, 2026

  • DYNAMICSCORES254

    DYNAMICSCORES254

  • exam

Prepare for the NR546 Final Exam with our comprehensive review, featuring 100% verified solutions for 2024/2025. Focused...

14 USD

0

0

BEST ANSWERS BEST REVIEW TOMPSC SCCJA Cumulative Exam with 100 Percent verified solutions 2024, 2026
View Document

BEST ANSWERS BEST REVIEW TOMPSC SCCJA Cumulative Exam with 100 Percent verified solutions 2024, 2026

  • DYNAMICSCORES254

    DYNAMICSCORES254

  • exam

Get the best review for the TOMPSC SCCJA Cumulative Exam with our 100% verified solutions for 2024 and 2025. Ensure your...

13 USD

0

0

BEST ANSWERS ENPC 6th Edition Pre Exam 100 Percent VERIFIED ANSWERS  2024, 2026
View Document

BEST ANSWERS ENPC 6th Edition Pre Exam 100 Percent VERIFIED ANSWERS 2024, 2026

  • DYNAMICSCORES254

    DYNAMICSCORES254

  • exam

BEST ANSWERS ENPC 6th Edition Pre Exam 100 Percent VERIFIED ANSWERS 2024, 2025 – Download PDF...

10 USD

0

0

BEST ANSWERS NCLEX EXAM Labor and Delivery EXAM 2024, 2026 WITH 100 Percent VERIFIED  ANSWERS
View Document

BEST ANSWERS NCLEX EXAM Labor and Delivery EXAM 2024, 2026 WITH 100 Percent VERIFIED ANSWERS

  • DYNAMICSCORES254

    DYNAMICSCORES254

  • exam

BEST ANSWERS NCLEX EXAM Labor and Delivery EXAM 2024, 2025 WITH 100 Percent VERIFIED ANSWERS – Download PDF...

13 USD

0

0

BEST ANSWERS ATLS Pre-test VERIFIED ANSWERS  2024, 2026 EXAM
View Document

BEST ANSWERS ATLS Pre-test VERIFIED ANSWERS 2024, 2026 EXAM

  • DYNAMICSCORES254

    DYNAMICSCORES254

  • exam

BEST ANSWERS ATLS Pre-test VERIFIED ANSWERS 2024, 2025 EXAM – Download PDF...

13 USD

0

0

BEST ANSWERS Army License instructors, License Examiners 100 Percent VERIFIED ANSWERS  2024, 2026
View Document

BEST ANSWERS Army License instructors, License Examiners 100 Percent VERIFIED ANSWERS 2024, 2026

  • DYNAMICSCORES254

    DYNAMICSCORES254

  • exam

BEST PDF ANSWERS Army License instructors, License Examiners 100 Percent VERIFIED ANSWERS 2024, 2025...

12 USD

0

0

BEST ANSWERS HESI nutrition proctored Exam  Questions with 100 percent COMPLETE correct Answers
View Document

BEST ANSWERS HESI nutrition proctored Exam Questions with 100 percent COMPLETE correct Answers

  • DYNAMICSCORES254

    DYNAMICSCORES254

  • exam

BEST ANSWERS HESI nutrition proctored Exam Questions with 100 percent COMPLETE correct Answers – Download PDF...

17 USD

0

0

BEST ANSWERS MPTC Interviews and Interrogations Exam 100 Percent VERIFIED ANSWERS  2024, 2026
View Document

BEST ANSWERS MPTC Interviews and Interrogations Exam 100 Percent VERIFIED ANSWERS 2024, 2026

  • DYNAMICSCORES254

    DYNAMICSCORES254

  • exam

BEST ANSWERS MPTC Interviews and Interrogations Exam 100 Percent VERIFIED ANSWERS 2024, 2025 – Download PDF...

14 USD

0

0

BEST ANSWERS PMK-EE E5 Career Information Exam 2024, 2026 100 Percent  COMPLETE SOLUTIONS
View Document

BEST ANSWERS PMK-EE E5 Career Information Exam 2024, 2026 100 Percent COMPLETE SOLUTIONS

  • DYNAMICSCORES254

    DYNAMICSCORES254

  • exam

BEST ANSWERS PMK-EE E5 Career Information Exam 2024, 2025 100 Percent COMPLETE SOLUTIONS – Download PDF...

14 USD

0

0

BEST ANSWERS ATI TEAS 7 Reading 100 percent VERIFIED ANSWERS  2024, 2026 EXAM LATEST
View Document

BEST ANSWERS ATI TEAS 7 Reading 100 percent VERIFIED ANSWERS 2024, 2026 EXAM LATEST

  • DYNAMICSCORES254

    DYNAMICSCORES254

  • exam

BEST ANSWERS ATI TEAS 7 Reading 100 percent VERIFIED ANSWERS 2024, 2025 EXAM LATEST – Download PDF...

20 USD

0

0

BEST ANSWERS TLSAE Course Final Exam 100 Percent VERIFIED ANSWERS  2024, 2026
View Document

BEST ANSWERS TLSAE Course Final Exam 100 Percent VERIFIED ANSWERS 2024, 2026

  • DYNAMICSCORES254

    DYNAMICSCORES254

  • exam

BEST ANSWERS TLSAE Course Final Exam 100 Percent VERIFIED ANSWERS 2024, 2025 – Download PDF...

12 USD

0

0

BEST ANSWERS NACE 1 PN-RN 100 Percent VERIFIED ANSWERS  2024, 2026 EXAM
View Document

BEST ANSWERS NACE 1 PN-RN 100 Percent VERIFIED ANSWERS 2024, 2026 EXAM

  • DYNAMICSCORES254

    DYNAMICSCORES254

  • exam

BEST ANSWERS NACE 1 PN-RN 100 Percent VERIFIED ANSWERS 2024, 2025 EXAM – Download PDF...

12 USD

0

0

BEST ANSWERS NRNP 6566 Midterm Exam Review 2024, 2026 EXAM  WITH100 Percent VERIFIED  SOLUTIONS
View Document

BEST ANSWERS NRNP 6566 Midterm Exam Review 2024, 2026 EXAM WITH100 Percent VERIFIED SOLUTIONS

  • DYNAMICSCORES254

    DYNAMICSCORES254

  • exam

Achieve top scores with the best answers for the NRNP 6566 Midterm Exam Review. Our 2024 and 2025 exam guide features 10...

16 USD

0

0

BEST ANSWERS Mississippi Class D Commercial drivers test 2024, 2026 VERIFIED  SOLUTIONS EXAM
View Document

BEST ANSWERS Mississippi Class D Commercial drivers test 2024, 2026 VERIFIED SOLUTIONS EXAM

  • DYNAMICSCORES254

    DYNAMICSCORES254

  • exam

BEST ANSWERS Mississippi Class D Commercial drivers test 2024, 2025 VERIFIED SOLUTIONS EXAM – Download PDF...

13 USD

0

0

BEST ANSWERS HESI PN MED-SURG EXAM QUESTIONS &  ANSWERS 2024 100 Percent COMPLETE  SOLUTIONS
View Document

BEST ANSWERS HESI PN MED-SURG EXAM QUESTIONS & ANSWERS 2024 100 Percent COMPLETE SOLUTIONS

  • DYNAMICSCORES254

    DYNAMICSCORES254

  • exam

BEST ANSWERS HESI PN MED-SURG EXAM QUESTIONS & ANSWERS 2024 100 Percent COMPLETE SOLUTIONS – Download PDF...

17 USD

0

0

BEST ANSWERS ISSA FINAL EXAM QUESTIONS &100 Percent PERFECT ANSWERS 2024
View Document

BEST ANSWERS ISSA FINAL EXAM QUESTIONS &100 Percent PERFECT ANSWERS 2024

  • DYNAMICSCORES254

    DYNAMICSCORES254

  • exam

BEST ANSWERS ISSA FINAL EXAM QUESTIONS &100 Percent PERFECT ANSWERS 2024 – Download PDF...

13 USD

0

0

BEST REVIEW NRCME Study Sheet Exam 2023-2024 Solution VERIFIED CORRECT
View Document

BEST REVIEW NRCME Study Sheet Exam 2023-2024 Solution VERIFIED CORRECT

  • DYNAMICSCORES254

    DYNAMICSCORES254

  • exam

BEST REVIEW NRCME Study Sheet Exam 2023-2024 Solution VERIFIED CORRECT – Download PDF...

13 USD

0

0

NAPRX CNPR LATEST EXAM 2023-2024 ALL 180 QUESTIONS AND VERIFIED ANSWERS  GRADED A+
View Document

NAPRX CNPR LATEST EXAM 2023-2024 ALL 180 QUESTIONS AND VERIFIED ANSWERS GRADED A+

  • Highergrades

    Highergrades

  • ati

NAPRX CNPR LATEST EXAM 2023-2024 ALL 180 QUESTIONS AND VERIFIED ANSWERS GRADED A+ – Download PDF...

17 USD

0

0

ATI TEAS 7 MATH EXAM 2023, 2024 with Complete Solutions
View Document

ATI TEAS 7 MATH EXAM 2023, 2024 with Complete Solutions

  • Highergrades

    Highergrades

  • questions & answers

ATI TEAS 7 MATH EXAM 2023, 2024 with Complete Solutions – Download PDF...

12 USD

0

0

BEST REVIEW FOR ATI TEAS 7 MATH EXAM 100 Percent ACCURATE 2024, 2026 EXAM VERIFIED
View Document

BEST REVIEW FOR ATI TEAS 7 MATH EXAM 100 Percent ACCURATE 2024, 2026 EXAM VERIFIED

  • DYNAMICSCORES254

    DYNAMICSCORES254

  • exam

BEST REVIEW FOR ATI TEAS 7 MATH EXAM 100 Percent ACCURATE 2024, 2025 EXAM VERIFIED – Download PDF...

36 USD

0

0

BEST REVIEW ATI LPN to RN EXAM  VERIFIED ANSWERS  2024, 2026 UPDATE
View Document

BEST REVIEW ATI LPN to RN EXAM VERIFIED ANSWERS 2024, 2026 UPDATE

  • DYNAMICSCORES254

    DYNAMICSCORES254

  • exam

Get ahead with the best review for the ATI LPN to RN Exam with our verified answers for 2024 and 2025. Updated and accur...

10 USD

0

0

A-Level Music Technology - Edexcel Exam with Verified Answers 2023, 2024
View Document

A-Level Music Technology - Edexcel Exam with Verified Answers 2023, 2024

  • Highergrades

    Highergrades

  • ati medical surgical

A-Level Music Technology - Edexcel Exam with Verified Answers 2023, 2024 – Download PDF...

12 USD

0

0

Pilates Written Exam I Questions and Verified Answers Latest Update
View Document

Pilates Written Exam I Questions and Verified Answers Latest Update

  • Highergrades

    Highergrades

  • ati medical surgical

Pilates Written Exam I Questions and Verified Answers Latest Update...

6 USD

0

0

HESI MATERNITY OB EXAM VERSION 3 100 Percent VERIFIED ANSWERS 2023, 2024
View Document

HESI MATERNITY OB EXAM VERSION 3 100 Percent VERIFIED ANSWERS 2023, 2024

  • Highergrades

    Highergrades

  • ati medical surgical

HESI MATERNITY OB EXAM VERSION 3 100 Percent VERIFIED ANSWERS 2023, 2024 – Download PDF...

13 USD

0

0

Fisdap Airway Exam 100 percent Complete Solutions  2023, 2024
View Document

Fisdap Airway Exam 100 percent Complete Solutions 2023, 2024

  • Highergrades

    Highergrades

  • ati medical surgical

Fisdap Airway Exam 100 percent Complete Solutions 2023, 2024 – Download PDF...

9 USD

0

0

FISDAP Airway Exam 2023, 2024 Rated A+
View Document

FISDAP Airway Exam 2023, 2024 Rated A+

  • Highergrades

    Highergrades

  • ati medical surgical

FISDAP Airway Exam 2023, 2024 Rated A+ – Download PDF...

11 USD

0

0

WGU D236 Pathophysiology Exam Questions and Answers 2023, 2024
View Document

WGU D236 Pathophysiology Exam Questions and Answers 2023, 2024

  • Highergrades

    Highergrades

  • ati medical surgical

WGU D236 Pathophysiology Exam Questions and Answers 2023, 2024 – Download PDF...

14 USD

0

0

WGU D236 Pathophysiology Exam Question and Verified Answers : Rated A+
View Document

WGU D236 Pathophysiology Exam Question and Verified Answers : Rated A+

  • Highergrades

    Highergrades

  • ati medical surgical

WGU D236 Pathophysiology Exam Question and Verified Answers : Rated A+ – Download PDF...

11 USD

0

0

TMU Practice Exam with Verified Answers 2023, 2024
View Document

TMU Practice Exam with Verified Answers 2023, 2024

  • Highergrades

    Highergrades

  • ati medical surgical

TMU Practice Exam with Verified Answers 2023, 2024 – Download PDF...

8 USD

0

0

NGN ATI RN Nursing Care of Children Proctored Exam 2019
View Document

NGN ATI RN Nursing Care of Children Proctored Exam 2019

  • Jager

    Jager

  • ati

NGN ATI RN Nursing Care of Children Proctored Exam 2019...

18 USD

0

0

ATI Fundamentals Proctored Exam | (402 Questions and Answers) with Rationales
View Document

ATI Fundamentals Proctored Exam | (402 Questions and Answers) with Rationales

  • Alkseltzer

    Alkseltzer

  • exam

ATI Fundamentals Proctored Exam | (402 Questions and Answers) with Rationales – Download PDF...

18 USD

0

0

ARRT registry exam graded A 2023-2024 UPDATE NEW!!
View Document

ARRT registry exam graded A 2023-2024 UPDATE NEW!!

  • Alkseltzer

    Alkseltzer

  • exam

ARRT registry exam graded A 2023-2024 UPDATE NEW!!...

18 USD

0

0

ATI MED-SURG
View Document

ATI MED-SURG

  • Alkseltzer

    Alkseltzer

  • exam

ATI MED-SURG...

18 USD

0

0

ATI FUNDAMENTALS FINAL EXAM 2023.
View Document

ATI FUNDAMENTALS FINAL EXAM 2023.

  • Alkseltzer

    Alkseltzer

  • exam

ATI FUNDAMENTALS FINAL EXAM 2023....

17 USD

0

0

NR 602 FINAL EXAM QUESTIONS BANK  (129 Q&A) NR602 EXAM QUESTIONS BANK (129  Q&A):RATED A  2022 | CHAMBERLAIN
View Document

NR 602 FINAL EXAM QUESTIONS BANK (129 Q&A) NR602 EXAM QUESTIONS BANK (129 Q&A):RATED A 2022 | CHAMBERLAIN

  • Alkseltzer

    Alkseltzer

  • exam

NR 602 FINAL EXAM QUESTIONS BANK (129 Q&A) NR602 EXAM QUESTIONS BANK (129 Q&A):RATED A 2022 | CHAMBERLAIN – Downloa...

18 USD

0

0

ACLS Real Final Exam. –ALL ANSWERS  ARE CORRECT.
View Document

ACLS Real Final Exam. –ALL ANSWERS ARE CORRECT.

  • Alkseltzer

    Alkseltzer

  • exam

ACLS Real Final Exam. –ALL ANSWERS ARE CORRECT....

18 USD

0

0

NUR 330 EXAM 1 EXAMS QUESTIONS WITH VERIFIED  ANSWERS 100 PERCENT COMPLETE GRADED A+ LATEST 2023-2024
View Document

NUR 330 EXAM 1 EXAMS QUESTIONS WITH VERIFIED ANSWERS 100 PERCENT COMPLETE GRADED A+ LATEST 2023-2024

  • beatricemwash

    beatricemwash

  • questions & answers

NUR 330 EXAM 1 EXAMS QUESTIONS WITH VERIFIED ANSWERS 100 PERCENT COMPLETE GRADED A+ LATEST 2023-2024 – Download PDF...

13 USD

0

0

NUR3056 Exam 2 (ALL MATERIAL) EXAM QUESTIONS  AND VERIFIED ANSWERS COMPLETE GRADED A+
View Document

NUR3056 Exam 2 (ALL MATERIAL) EXAM QUESTIONS AND VERIFIED ANSWERS COMPLETE GRADED A+

  • beatricemwash

    beatricemwash

  • questions & answers

NUR3056 Exam 2 (ALL MATERIAL) EXAM QUESTIONS AND VERIFIED ANSWERS COMPLETE GRADED A+...

14 USD

0

0

HESI Maternity OB 2023-2024 Exam Version 2 Questions  and Answers (GRADED A+).
View Document

HESI Maternity OB 2023-2024 Exam Version 2 Questions and Answers (GRADED A+).

  • Alkseltzer

    Alkseltzer

  • hesi

HESI Maternity OB 2023-2024 Exam Version 2 Questions and Answers (GRADED A+)....

18 USD

0

0

RN HESI EXIT EXAM 2023-2024 - VERSION 3 (V3) ALL 160 QUESTIONS &  ANSWERS INCLUDED - GUARANTEED  PASS A+!!! ALL BRAND NEW
View Document

RN HESI EXIT EXAM 2023-2024 - VERSION 3 (V3) ALL 160 QUESTIONS & ANSWERS INCLUDED - GUARANTEED PASS A+!!! ALL BRAND NEW

  • Alkseltzer

    Alkseltzer

  • questions & answers

RN HESI EXIT EXAM 2023-2024 - VERSION 3 (V3) ALL 160 QUESTIONS & ANSWERS INCLUDED - GUARANTEED PASS A+!!! ALL BRAND NE...

16 USD

0

0

ATI RN MEDSURG 2020, 2021 PROCTORED EXAM
View Document

ATI RN MEDSURG 2020, 2021 PROCTORED EXAM

  • Alkseltzer

    Alkseltzer

  • questions & answers

ATI RN MEDSURG 2020, 2021 PROCTORED EXAM – Download PDF...

17 USD

0

0

A HIP –FINAL EXAMINATION(LATEST UPDATE 2022-2023.
View Document

A HIP –FINAL EXAMINATION(LATEST UPDATE 2022-2023.

  • Alkseltzer

    Alkseltzer

  • questions & answers

A HIP –FINAL EXAMINATION(LATEST UPDATE 2022-2023....

17 USD

0

0

HESI RN EXIT EXAM VI SCREENSHOTS 2022-2023 INET PROCTORED EXAM
View Document

HESI RN EXIT EXAM VI SCREENSHOTS 2022-2023 INET PROCTORED EXAM

  • Alkseltzer

    Alkseltzer

  • questions & answers

HESI RN EXIT EXAM VI SCREENSHOTS 2022-2023 INET PROCTORED EXAM...

18 USD

0

0

NUR 256 Mental Health Exam 1-5 Updated  2023-2024 practice Guide
View Document

NUR 256 Mental Health Exam 1-5 Updated 2023-2024 practice Guide

  • Alkseltzer

    Alkseltzer

  • questions & answers

NUR 256 Mental Health Exam 1-5 Updated 2023-2024 practice Guide...

19 USD

0

0

HESI PN EXIT V3 EXAM 140 QUESTIONS  WITH 100 Percent CORRECT SOLUTIONS | A+  GRADE GUARANTEED 2023-2024  VERSION
View Document

HESI PN EXIT V3 EXAM 140 QUESTIONS WITH 100 Percent CORRECT SOLUTIONS | A+ GRADE GUARANTEED 2023-2024 VERSION

  • Alkseltzer

    Alkseltzer

  • questions & answers

HESI PN EXIT V3 EXAM 140 QUESTIONS WITH 100 Percent CORRECT SOLUTIONS | A+ GRADE GUARANTEED 2023-2024 VERSION – Dow...

21 USD

0

0

NUR 212 Final Exam-with 100 Percent verified answers-2022- 2023 GRADED A+
View Document

NUR 212 Final Exam-with 100 Percent verified answers-2022- 2023 GRADED A+

  • Alkseltzer

    Alkseltzer

  • questions & answers

NUR 212 Final Exam-with 100 Percent verified answers-2022- 2023 GRADED A+ – Download PDF...

19 USD

0

0

NRNP 6645 Final REAL Exam 2023-2024, LATEST 100+ Q & A), NRNP6645 Final Exam: Walden University |Verified Q  & A |
View Document

NRNP 6645 Final REAL Exam 2023-2024, LATEST 100+ Q & A), NRNP6645 Final Exam: Walden University |Verified Q & A |

  • Alkseltzer

    Alkseltzer

  • questions & answers

NRNP 6645 Final REAL Exam 2023-2024, LATEST 100+ Q & A), NRNP6645 Final Exam: Walden University |Verified Q & A | – D...

19 USD

0

0

REAL NREMT® EMR EXAM PREP2023- 2024, NREMT EXAM QUESTIONS AND  ANSWERS WITH RATIONALE  GRADED A
View Document

REAL NREMT® EMR EXAM PREP2023- 2024, NREMT EXAM QUESTIONS AND ANSWERS WITH RATIONALE GRADED A

  • Alkseltzer

    Alkseltzer

  • questions & answers

REAL NREMT® EMR EXAM PREP2023- 2024, NREMT EXAM QUESTIONS AND ANSWERS WITH RATIONALE GRADED A – Download PDF...

13 USD

0

0

NR511 Final Exam  Study Guide latest  updated april 2023  graded A REAL EXAM
View Document

NR511 Final Exam Study Guide latest updated april 2023 graded A REAL EXAM

  • Alkseltzer

    Alkseltzer

  • questions & answers

NR511 Final Exam Study Guide latest updated april 2023 graded A REAL EXAM...

17 USD

0

0

2023 ATI MENTAL HEALTH FORM A & FORM B WITH NGN  PROCTORED 2023-2024 EXAM (140 Q & A), MENTAL  HEALTH ATI PROCTORED EXAM FORM A & B GRADED A
View Document

2023 ATI MENTAL HEALTH FORM A & FORM B WITH NGN PROCTORED 2023-2024 EXAM (140 Q & A), MENTAL HEALTH ATI PROCTORED EXAM FORM A & B GRADED A

  • Alkseltzer

    Alkseltzer

  • questions & answers

2023 ATI MENTAL HEALTH FORM A & FORM B WITH NGN PROCTORED 2023-2024 EXAM (140 Q & A), MENTAL HEALTH ATI PROCTORED EXAM...

17 USD

0

0

2023 HESI PN MED SURGE, MED SURGE PN HESI EXIT EXAM  TEST BANK NEWEST 2023-2024 ACTUAL EXAM
View Document

2023 HESI PN MED SURGE, MED SURGE PN HESI EXIT EXAM TEST BANK NEWEST 2023-2024 ACTUAL EXAM

  • Alkseltzer

    Alkseltzer

  • questions & answers

2023 HESI PN MED SURGE, MED SURGE PN HESI EXIT EXAM TEST BANK NEWEST 2023-2024 ACTUAL EXAM – Download PDF...

17 USD

0

0

2024 Firefighter 2 Final Exam Prep Questions and Answers (2023)  (Verified Answers) GRADED A
View Document

2024 Firefighter 2 Final Exam Prep Questions and Answers (2023) (Verified Answers) GRADED A

  • Alkseltzer

    Alkseltzer

  • questions & answers

2024 Firefighter 2 Final Exam Prep Questions and Answers (2023) (Verified Answers) GRADED A...

17 USD

0

0

NR503 NGN FINAL EXAM STUDY GUIDE 2023-2024  GRADED A
View Document

NR503 NGN FINAL EXAM STUDY GUIDE 2023-2024 GRADED A

  • Alkseltzer

    Alkseltzer

  • exam

NR503 NGN FINAL EXAM STUDY GUIDE 2023-2024 GRADED A – Download PDF...

19 USD

0

0

2023 EMT FISDAP READINESS EXAM Questions and Answers
View Document

2023 EMT FISDAP READINESS EXAM Questions and Answers

  • Alkseltzer

    Alkseltzer

  • exam

2023 EMT FISDAP READINESS EXAM Questions and Answers...

19 USD

0

0

CRCR Certification Exam 200+ Questions and Answers 2023 (Verified  Answers
View Document

CRCR Certification Exam 200+ Questions and Answers 2023 (Verified Answers

  • Alkseltzer

    Alkseltzer

  • exam

CRCR Certification Exam 200+ Questions and Answers 2023 (Verified Answers...

18 USD

0

0

2023 CLC 056 | CLC 056 Analyzing Contract  Costs Exam QUESTIONS AND ANSWERS  GRADED A+.
View Document

2023 CLC 056 | CLC 056 Analyzing Contract Costs Exam QUESTIONS AND ANSWERS GRADED A+.

  • Alkseltzer

    Alkseltzer

  • exam

2023 CLC 056 | CLC 056 Analyzing Contract Costs Exam QUESTIONS AND ANSWERS GRADED A+. – Download PDF...

18 USD

0

0

2023 ATI Nursing Care of Children Proctored Exam NGN  QUESTIONS AND ANSWERS
View Document

2023 ATI Nursing Care of Children Proctored Exam NGN QUESTIONS AND ANSWERS

  • Alkseltzer

    Alkseltzer

  • exam

2023 ATI Nursing Care of Children Proctored Exam NGN QUESTIONS AND ANSWERS – Download PDF...

17 USD

0

0

ATI MED-SURG FOR 2024 EXAM (REAL)
View Document

ATI MED-SURG FOR 2024 EXAM (REAL)

  • Alkseltzer

    Alkseltzer

  • exam

ATI MED-SURG FOR 2024 EXAM (REAL) – Download PDF...

20 USD

0

0

KAPLAN NCLEX EXAM 200 QUESTION AND ANSWERS WITH EXPLANATIONS VERSION 5
View Document

KAPLAN NCLEX EXAM 200 QUESTION AND ANSWERS WITH EXPLANATIONS VERSION 5

  • TITUS

    TITUS

  • nclex

KAPLAN NCLEX EXAM 200 QUESTION AND ANSWERS WITH EXPLANATIONS VERSION 5 – Download PDF...

25 USD

0

0

KAPLAN NCLEX EXAM 150 QUESTION AND ANSWERS WITH  EXPLANATIONS VERSION 4
View Document

KAPLAN NCLEX EXAM 150 QUESTION AND ANSWERS WITH EXPLANATIONS VERSION 4

  • TITUS

    TITUS

  • nclex

KAPLAN NCLEX EXAM 150 QUESTION AND ANSWERS WITH EXPLANATIONS VERSION 4 – Download PDF...

20 USD

0

0

KAPLAN NCLEX 150 QUESTION AND  ANSWERS   WITH  EXPLANATIONS VERSION 3
View Document

KAPLAN NCLEX 150 QUESTION AND ANSWERS WITH EXPLANATIONS VERSION 3

  • TITUS

    TITUS

  • nclex

KAPLAN NCLEX 150 QUESTION AND ANSWERS WITH EXPLANATIONS VERSION 3 – Download PDF...

20 USD

0

0

KAPLAN NCLEX EXAM 75 QUESTIONS AND EXPLAINED ANSWERS 100% CORRECT
View Document

KAPLAN NCLEX EXAM 75 QUESTIONS AND EXPLAINED ANSWERS 100% CORRECT

  • TITUS

    TITUS

  • nclex

KAPLAN NCLEX EXAM 75 QUESTIONS AND EXPLAINED ANSWERS 100% CORRECT...

20 USD

0

0

Emergency Medicine YMCA CPR Exam Questions and Answers 2024
View Document

Emergency Medicine YMCA CPR Exam Questions and Answers 2024

  • mentor2000

    mentor2000

  • exam

Emergency Medicine YMCA CPR Exam Questions and Answers 2024...

10 USD

0

0

HESI AND NCLEX EXAM HINTS ON QUESTIONS AND CORRECT ANSWERS FOR 2023 2024 SERIES COMPLETE SIMPLE QUIDE FOR YOUR EXAMS GRADE A+
View Document

HESI AND NCLEX EXAM HINTS ON QUESTIONS AND CORRECT ANSWERS FOR 2023 2024 SERIES COMPLETE SIMPLE QUIDE FOR YOUR EXAMS GRADE A+

  • TITUS

    TITUS

  • study guide

HESI AND NCLEX EXAM HINTS ON QUESTIONS AND CORRECT ANSWERS FOR 2023 2024 SERIES COMPLETE SIMPLE QUIDE FOR YOUR EXAMS GRA...

20 USD

0

0

ATI NURSING CARE OF  CHILDREN ATI PROCTORED300+ EXAM  QUESTIONS AND CORRECT ANSWERS |  VERIFIED ANSWERS(2 DIFFERENT VERSIONS)
View Document

ATI NURSING CARE OF CHILDREN ATI PROCTORED300+ EXAM QUESTIONS AND CORRECT ANSWERS | VERIFIED ANSWERS(2 DIFFERENT VERSIONS)

  • Macharia

    Macharia

  • questions & answers

ATI NURSING CARE OF CHILDREN ATI PROCTORED300+ EXAM QUESTIONS AND CORRECT ANSWERS | VERIFIED ANSWERS(2 DIFFERENT VERS...

25 USD

0

0

RN ATI MATERNAL PROCTORED EXAM WITH NGN 2023 QUESTIONS AND ANSWERS
View Document

RN ATI MATERNAL PROCTORED EXAM WITH NGN 2023 QUESTIONS AND ANSWERS

  • Macharia

    Macharia

  • questions & answers

RN ATI MATERNAL PROCTORED EXAM WITH NGN 2023 QUESTIONS AND ANSWERS...

30 USD

0

0

Test Bank for Evidence-Based Physical Examination Best Practices for Health & Well-Being Assessment 1st Edition: ISBN- ISBN-, A+ guide.
View Document

Test Bank for Evidence-Based Physical Examination Best Practices for Health & Well-Being Assessment 1st Edition: ISBN- ISBN-, A+ guide.

  • PHARMACIA

    PHARMACIA

  • test bank

Test Bank for Evidence-Based Physical Examination Best Practices for Health & Well-Being Assessment 1st Edition: ISBN- I...

19 USD

0

0

PN VATI Comprehensive Predictor 2020 Green Light Exam Study Questions and answers.
View Document

PN VATI Comprehensive Predictor 2020 Green Light Exam Study Questions and answers.

  • PHARMACIA

    PHARMACIA

  • test bank

PN VATI Comprehensive Predictor 2020 Green Light Exam Study Questions and answers....

14 USD

0

0

NCLEX EXAM MASTERS 150 QUESTIONS AND EXPLAINED ANSWERS REAL EXAM GUARANTEED GRADE A+
View Document

NCLEX EXAM MASTERS 150 QUESTIONS AND EXPLAINED ANSWERS REAL EXAM GUARANTEED GRADE A+

  • TITUS

    TITUS

  • book

NCLEX EXAM MASTERS 150 QUESTIONS AND EXPLAINED ANSWERS REAL EXAM GUARANTEED GRADE A+...

20 USD

0

0

WHO recommendations for care of the preterm  or low-birth-weight infant
View Document

WHO recommendations for care of the preterm or low-birth-weight infant

  • TITUS

    TITUS

  • book

WHO recommendations for care of the preterm or low-birth-weight infant...

25 USD

0

0

Professional code of ethics for Midwives
View Document

Professional code of ethics for Midwives

  • TITUS

    TITUS

  • book

Professional code of ethics for Midwives...

25 USD

0

0

PN Leadership Exam 1 Ch.3,10-13 100 PN Leadership Exam 1 Ch.3,10-13 100 Percent Complete  Already Graded A+ Verified Answers 2024  Updated
View Document

PN Leadership Exam 1 Ch.3,10-13 100 PN Leadership Exam 1 Ch.3,10-13 100 Percent Complete Already Graded A+ Verified Answers 2024 Updated

  • beatricemwash

    beatricemwash

  • ati proctored

PN Leadership Exam 1 Ch.3,10-13 100 PN Leadership Exam 1 Ch.3,10-13 100 Percent Complete Already Graded A+ Verified Ans...

10 USD

0

0

AIC 300 - Claims in an Evolving World Questions and Answers for 2024 Exam
View Document

AIC 300 - Claims in an Evolving World Questions and Answers for 2024 Exam

  • Kaponga

    Kaponga

  • test bank

AIC 300 - Claims in an Evolving World Questions and Answers for 2024 Exam...

8 USD

0

0

WGU C790 Exam Questions and Answers Latest 2024
View Document

WGU C790 Exam Questions and Answers Latest 2024

  • Kaponga

    Kaponga

  • test bank

WGU C790 Exam Questions and Answers Latest 2024...

7 USD

0

0

WGU C790 Practice Test Questions and Answers for 2024 Exam
View Document

WGU C790 Practice Test Questions and Answers for 2024 Exam

  • Kaponga

    Kaponga

  • test bank

WGU C790 Practice Test Questions and Answers for 2024 Exam...

6 USD

0

0

ATI PROCTORED EXAM Practice 100 Complete Graded A+ Verified  answers 1. ACE inhibitors can cause what (skin wise) – ANS -angioedem
View Document

ATI PROCTORED EXAM Practice 100 Complete Graded A+ Verified answers 1. ACE inhibitors can cause what (skin wise) – ANS -angioedem

  • beatricemwash

    beatricemwash

  • ati proctored

ATI PROCTORED EXAM Practice 100 Complete Graded A+ Verified answers 1. ACE inhibitors can cause what (skin wise) – AN...

11 USD

0

0

CHEM 104 Module 1 Exam, CHEM 104 Module 2 Exam, CHEM 104 Module 3 Exam, CHEM 104 Module 4 Exam, CHEM 104 Module 5 Exam, CHEM 104 Module 6 Exam (Latest-2023): Portage Learning |100% Correct Q & A|
View Document

CHEM 104 Module 1 Exam, CHEM 104 Module 2 Exam, CHEM 104 Module 3 Exam, CHEM 104 Module 4 Exam, CHEM 104 Module 5 Exam, CHEM 104 Module 6 Exam (Latest-2023): Portage Learning |100% Correct Q & A|

  • PHARMACIA

    PHARMACIA

  • questions & answers

CHEM 104 Module 1 Exam, CHEM 104 Module 2 Exam, CHEM 104 Module 3 Exam, CHEM 104 Module 4 Exam, CHEM 104 Module 5 Exam, ...

25 USD

0

0

BIOD 171 Module 2 Exam (3 Versions, Latest-2023), BIOD171 Module 2 Exam, BIOD 171 Microbiology Module 2 Exam: Essential Microbiology W, Lab: Portage Learning |100 Percent Correct Q & A
View Document

BIOD 171 Module 2 Exam (3 Versions, Latest-2023), BIOD171 Module 2 Exam, BIOD 171 Microbiology Module 2 Exam: Essential Microbiology W, Lab: Portage Learning |100 Percent Correct Q & A

  • PHARMACIA

    PHARMACIA

  • questions & answers

BIOD 171 Module 2 Exam (3 Versions, Latest-2023), BIOD171 Module 2 Exam, BIOD 171 Microbiology Module 2 Exam: Essential ...

18 USD

0

0

HESI GERONTOLOGY FINAL EXAM 2023 (VERSION 3), GERONTOLOGY HESI FINAL EXAM (VERSION 3) (100 Percent CORRECT) | VERIFIED AND RATED 100 Percent: COMPLETE GUIDE
View Document

HESI GERONTOLOGY FINAL EXAM 2023 (VERSION 3), GERONTOLOGY HESI FINAL EXAM (VERSION 3) (100 Percent CORRECT) | VERIFIED AND RATED 100 Percent: COMPLETE GUIDE

  • PHARMACIA

    PHARMACIA

  • questions & answers

HESI GERONTOLOGY FINAL EXAM 2023 (VERSION 3), GERONTOLOGY HESI FINAL EXAM (VERSION 3) (100 Percent CORRECT) | VERIFIED A...

35 USD

0

0

BIOD 152 Module 6 Exam (2 Versions, Latest-2023), BIOD152 Module 6 Exam, BIOD 152 A & P 2 Module 6 Exam: Essential Human Anatomy & Physiology II: Portage Learning |100 Percent Correct Q & A|
View Document

BIOD 152 Module 6 Exam (2 Versions, Latest-2023), BIOD152 Module 6 Exam, BIOD 152 A & P 2 Module 6 Exam: Essential Human Anatomy & Physiology II: Portage Learning |100 Percent Correct Q & A|

  • PHARMACIA

    PHARMACIA

  • questions & answers

BIOD 152 Module 6 Exam (2 Versions, Latest-2023), BIOD152 Module 6 Exam, BIOD 152 A & P 2 Module 6 Exam: Essential Human...

14 USD

0

0

ATI MED SURGE FINAL EXAM ANSWERS(98 Questions)
View Document

ATI MED SURGE FINAL EXAM ANSWERS(98 Questions)

  • studypal

    studypal

  • ati medical surgical

ATI MED SURGE FINAL EXAM ANSWERS(98 Questions)...

10 USD

0

0

MATH 110 Final Exam (Latest-2023), MATH110 Final Exam, MATH 110 Statistics Final Exam, MATH110 Statistics Final Exam: Portage Learning |100 Percent Correct Q & A|
View Document

MATH 110 Final Exam (Latest-2023), MATH110 Final Exam, MATH 110 Statistics Final Exam, MATH110 Statistics Final Exam: Portage Learning |100 Percent Correct Q & A|

  • PHARMACIA

    PHARMACIA

  • questions & answers

MATH 110 Final Exam (Latest-2023), MATH110 Final Exam, MATH 110 Statistics Final Exam, MATH110 Statistics Final Exam: Po...

20 USD

0

0

HESI EXIT EXAM _ 750 QUESTIONS & ANSWERS, HESIEXIT RN EXAM, HESI RN EXIT EXAM (NEWEST, 2023-2024) | VERIFIED ANSWERS, 100 Percent CORRECT|
View Document

HESI EXIT EXAM _ 750 QUESTIONS & ANSWERS, HESIEXIT RN EXAM, HESI RN EXIT EXAM (NEWEST, 2023-2024) | VERIFIED ANSWERS, 100 Percent CORRECT|

  • PHARMACIA

    PHARMACIA

  • questions & answers

HESI EXIT EXAM _ 750 QUESTIONS & ANSWERS, HESIEXIT RN EXAM, HESI RN EXIT EXAM (NEWEST, 2023-2024) | VERIFIED ANSWERS, 10...

46 USD

0

0

BIOD 152 Module 7 Exam (3 Versions, Latest-2023), BIOD152 Module 7 Exam, BIOD 152 A & P 2 Module 7 Exam: Essential Human Anatomy & Physiology II: Portage Learning |100 Percent Correct Q & A|
View Document

BIOD 152 Module 7 Exam (3 Versions, Latest-2023), BIOD152 Module 7 Exam, BIOD 152 A & P 2 Module 7 Exam: Essential Human Anatomy & Physiology II: Portage Learning |100 Percent Correct Q & A|

  • PHARMACIA

    PHARMACIA

  • questions & answers

BIOD 152 Module 7 Exam (3 Versions, Latest-2023), BIOD152 Module 7 Exam, BIOD 152 A & P 2 Module 7 Exam: Essential Human...

18 USD

0

0

2024 Hesi Pediatrics (HESI PEDS) Exam V1 & V2 Brand New Q&A + Actual Pics Included
View Document

2024 Hesi Pediatrics (HESI PEDS) Exam V1 & V2 Brand New Q&A + Actual Pics Included

  • jamii

    jamii

  • test bank

2024 Hesi Pediatrics (HESI PEDS) Exam V1 & V2 Brand New Q&A + Actual Pics Included...

13 USD

0

0

(Complete) ATI RN Leadership Proctored Exam 2019 Version 1- 7 (420 Questions All With Correct Answers) Best for 2024 Exams
View Document

(Complete) ATI RN Leadership Proctored Exam 2019 Version 1- 7 (420 Questions All With Correct Answers) Best for 2024 Exams

  • jamii

    jamii

  • test bank

(Complete) ATI RN Leadership Proctored Exam 2019 Version 1- 7 (420 Questions All With Correct Answers) Best for 2024 Exa...

12 USD

0

0

HFMA CRCR FINAL EXAM AND PRACTICE EXAM TEST BANK WITH 300 MULTIPLE CHOICE 2024 | ACTUAL REAL EXAM QUESTIONS WITH DETAILED ANSWERS GRADED  A | LATEST UPDATE
View Document

HFMA CRCR FINAL EXAM AND PRACTICE EXAM TEST BANK WITH 300 MULTIPLE CHOICE 2024 | ACTUAL REAL EXAM QUESTIONS WITH DETAILED ANSWERS GRADED A | LATEST UPDATE

  • Hp24

    Hp24

  • exam

HFMA CRCR FINAL EXAM AND PRACTICE EXAM TEST BANK WITH 300 MULTIPLE CHOICE 2024 | ACTUAL REAL EXAM QUESTIONS WITH DETAILE...

10 USD

0

0

CHEM 103 Module 1, 2, 3, 4, 5, 6 Exam (Latest-2023), CHEM103 Module 1, 2, 3, 4, 5, 6 Exam: General Chemistry II: Portage Learning
View Document

CHEM 103 Module 1, 2, 3, 4, 5, 6 Exam (Latest-2023), CHEM103 Module 1, 2, 3, 4, 5, 6 Exam: General Chemistry II: Portage Learning

  • PHARMACIA

    PHARMACIA

  • ati

CHEM 103 Module 1, 2, 3, 4, 5, 6 Exam (Latest-2023), CHEM103 Module 1, 2, 3, 4, 5, 6 Exam: General Chemistry II: Portage...

28 USD

0

0

ATI Proctored Exam Medical Surgical Form B EXAM QUESTIONS & ANSWERS, LATEST UPDATE 2023-2024, RATED A+
View Document

ATI Proctored Exam Medical Surgical Form B EXAM QUESTIONS & ANSWERS, LATEST UPDATE 2023-2024, RATED A+

  • PHARMACIA

    PHARMACIA

  • ati

ATI Proctored Exam Medical Surgical Form B EXAM QUESTIONS & ANSWERS, LATEST UPDATE 2023-2024, RATED A+ – Download PDF...

22 USD

0

0

ATI MEDSURG PROCTORED V1 EXAM QUESTIONS & ANSWERS, LATEST UPDATE 2023-2024, RATED A+
View Document

ATI MEDSURG PROCTORED V1 EXAM QUESTIONS & ANSWERS, LATEST UPDATE 2023-2024, RATED A+

  • PHARMACIA

    PHARMACIA

  • ati

ATI MEDSURG PROCTORED V1 EXAM QUESTIONS & ANSWERS, LATEST UPDATE 2023-2024, RATED A+ – Download PDF...

22 USD

0

0

ATI MED  PROCTORED EXAM QUESTIONS & ANSWERS, LATEST UPDATE 2023-2024 , RATED A+
View Document

ATI MED PROCTORED EXAM QUESTIONS & ANSWERS, LATEST UPDATE 2023-2024 , RATED A+

  • PHARMACIA

    PHARMACIA

  • ati

ATI MED PROCTORED EXAM QUESTIONS & ANSWERS, LATEST UPDATE 2023-2024 , RATED A+ – Download PDF...

22 USD

0

0

Adult health hesi EXAM QUESTIONS & ANSWERS, LATEST UPDATE 2023-2024, RATED A+
View Document

Adult health hesi EXAM QUESTIONS & ANSWERS, LATEST UPDATE 2023-2024, RATED A+

  • PHARMACIA

    PHARMACIA

  • hesi

Adult health hesi EXAM QUESTIONS & ANSWERS, LATEST UPDATE 2023-2024, RATED A+ – Download PDF...

122 USD

0

0

Adult health hesi EXAM QUESTIONS & ANSWERS, LATEST UPDATE 2023-2024 RATED A+
View Document

Adult health hesi EXAM QUESTIONS & ANSWERS, LATEST UPDATE 2023-2024 RATED A+

  • PHARMACIA

    PHARMACIA

  • hesi

Adult health hesi EXAM QUESTIONS & ANSWERS, LATEST UPDATE 2023-2024 RATED A+ – Download PDF...

20 USD

0

0

RN ATI  LEADERSHIP  AND  COMMUNITY  HEALTH NURSING  EXAMS  QUESTIONS AND ANSWERS  100% GRADE A+ GUARANTEED
View Document

RN ATI LEADERSHIP AND COMMUNITY HEALTH NURSING EXAMS QUESTIONS AND ANSWERS 100% GRADE A+ GUARANTEED

  • TITUS

    TITUS

  • questions & answers

RN ATI LEADERSHIP AND COMMUNITY HEALTH NURSING EXAMS QUESTIONS AND ANSWERS 100% GRADE A+ GUARANTEED...

25 USD

0

0

IL State board exam for Cosmetology set 1 Questions with Answers 1oo% Correct.
View Document

IL State board exam for Cosmetology set 1 Questions with Answers 1oo% Correct.

  • Brilliantscore

    Brilliantscore

  • questions & answers

IL State board exam for Cosmetology set 1 Questions with Answers 1oo% Correct....

12 USD

0

0

Cosmetology IL State Law Exam With Complete Solutions
View Document

Cosmetology IL State Law Exam With Complete Solutions

  • Brilliantscore

    Brilliantscore

  • questions & answers

Cosmetology IL State Law Exam With Complete Solutions...

9 USD

0

0

Cosmetology State Board Practice Exam for Illinois With Answers 100% Correct
View Document

Cosmetology State Board Practice Exam for Illinois With Answers 100% Correct

  • Brilliantscore

    Brilliantscore

  • questions & answers

Cosmetology State Board Practice Exam for Illinois With Answers 100% Correct...

10 USD

0

0

Illinois State Board Cosmetology Exam Questions With Answers 100% Correct
View Document

Illinois State Board Cosmetology Exam Questions With Answers 100% Correct

  • Brilliantscore

    Brilliantscore

  • questions & answers

Illinois State Board Cosmetology Exam Questions With Answers 100% Correct...

10 USD

0

0

Cosmetology state board practice exam for Illinois With Answers Graded A+.
View Document

Cosmetology state board practice exam for Illinois With Answers Graded A+.

  • Brilliantscore

    Brilliantscore

  • questions & answers

Cosmetology state board practice exam for Illinois With Answers Graded A+....

8 USD

0

0

1500 Exam (Cosmetology) With Complete Solutions.
View Document

1500 Exam (Cosmetology) With Complete Solutions.

  • Brilliantscore

    Brilliantscore

  • questions & answers

1500 Exam (Cosmetology) With Complete Solutions....

10 USD

0

0

Cosmetology State Board Illinois Exam Questions With Answers 100% Correct.
View Document

Cosmetology State Board Illinois Exam Questions With Answers 100% Correct.

  • Brilliantscore

    Brilliantscore

  • questions & answers

Cosmetology State Board Illinois Exam Questions With Answers 100% Correct....

11 USD

0

0

pa state board of cosmetology definitions exam graded A.
View Document

pa state board of cosmetology definitions exam graded A.

  • Brilliantscore

    Brilliantscore

  • questions & answers

pa state board of cosmetology definitions exam graded A....

12 USD

0

0

PA Cosmetology State Law Exam With Complete Solutions.
View Document

PA Cosmetology State Law Exam With Complete Solutions.

  • Brilliantscore

    Brilliantscore

  • questions & answers

PA Cosmetology State Law Exam With Complete Solutions....

10 USD

0

0

CRCM – CMS Exam With Complete Solutions .
View Document

CRCM – CMS Exam With Complete Solutions .

  • Brilliantscore

    Brilliantscore

  • questions & answers

CRCM – CMS Exam With Complete Solutions ....

9 USD

0

0

CRCM Exam Prep - FCRA Focused Exam With Complete Solutions.
View Document

CRCM Exam Prep - FCRA Focused Exam With Complete Solutions.

  • Brilliantscore

    Brilliantscore

  • questions & answers

CRCM Exam Prep - FCRA Focused Exam With Complete Solutions....

9 USD

0

0

CRCM Exam Questions With Answers Verified And Graded A+.
View Document

CRCM Exam Questions With Answers Verified And Graded A+.

  • Brilliantscore

    Brilliantscore

  • questions & answers

CRCM Exam Questions With Answers Verified And Graded A+....

16 USD

0

0

CRCM Exam 500+ Questions With Complete Solutions (Graded A+)
View Document

CRCM Exam 500+ Questions With Complete Solutions (Graded A+)

  • Brilliantscore

    Brilliantscore

  • questions & answers

CRCM Exam 500+ Questions With Complete Solutions (Graded A+)...

16 USD

0

0

CRCM (Compliance Risk Management) Exam With Complete Solutions
View Document

CRCM (Compliance Risk Management) Exam With Complete Solutions

  • Brilliantscore

    Brilliantscore

  • questions & answers

CRCM (Compliance Risk Management) Exam With Complete Solutions...

10 USD

0

0

CRCM Exam 401+ Questions With Complete Solutions (Verified And Rated A+)
View Document

CRCM Exam 401+ Questions With Complete Solutions (Verified And Rated A+)

  • Brilliantscore

    Brilliantscore

  • questions & answers

CRCM Exam 401+ Questions With Complete Solutions (Verified And Rated A+)...

13 USD

0

0

CRCM Sample Exam 99+ Questions And Answers Verified And Rated A+
View Document

CRCM Sample Exam 99+ Questions And Answers Verified And Rated A+

  • Brilliantscore

    Brilliantscore

  • questions & answers

CRCM Sample Exam 99+ Questions And Answers Verified And Rated A+...

11 USD

0

0

PA Cosmetology State Board Exam With Complete Solutions (Answers Rated A)
View Document

PA Cosmetology State Board Exam With Complete Solutions (Answers Rated A)

  • Brilliantscore

    Brilliantscore

  • questions & answers

PA Cosmetology State Board Exam With Complete Solutions (Answers Rated A)...

10 USD

0

0

PA Cosmetology State Board Exam Set 1 With Answers 100 Percent Correct.
View Document

PA Cosmetology State Board Exam Set 1 With Answers 100 Percent Correct.

  • Brilliantscore

    Brilliantscore

  • questions & answers

PA Cosmetology State Board Exam Set 1 With Answers 100 Percent Correct. – Download PDF...

9 USD

0

0

PA Cosmetology State Law Practice 1 Exam With Complete Solutions.
View Document

PA Cosmetology State Law Practice 1 Exam With Complete Solutions.

  • Brilliantscore

    Brilliantscore

  • questions & answers

PA Cosmetology State Law Practice 1 Exam With Complete Solutions....

8 USD

0

0

PA Cosmetology State Law Exam Questions With Answers 100% Correct.
View Document

PA Cosmetology State Law Exam Questions With Answers 100% Correct.

  • Brilliantscore

    Brilliantscore

  • questions & answers

PA Cosmetology State Law Exam Questions With Answers 100% Correct....

9 USD

0

0

PA Cosmetology State Board Exam with Complete Solutions (Verified Answers)
View Document

PA Cosmetology State Board Exam with Complete Solutions (Verified Answers)

  • Brilliantscore

    Brilliantscore

  • questions & answers

PA Cosmetology State Board Exam with Complete Solutions (Verified Answers)...

11 USD

0

0

PA Cosmetology Exam With Complete Solutions and Answers Graded A+.
View Document

PA Cosmetology Exam With Complete Solutions and Answers Graded A+.

  • Brilliantscore

    Brilliantscore

  • questions & answers

PA Cosmetology Exam With Complete Solutions and Answers Graded A+....

11 USD

0

0

Professional Scrum Master Certification Exam (Answers Provided) NEW!!
View Document

Professional Scrum Master Certification Exam (Answers Provided) NEW!!

  • studypal

    studypal

  • questions & answers

Professional Scrum Master Certification Exam (Answers Provided) NEW!!...

10 USD

0

0

Professional Scrum Master I (PSM1) Exam A 94 Questions and Answers
View Document

Professional Scrum Master I (PSM1) Exam A 94 Questions and Answers

  • studypal

    studypal

  • questions & answers

Professional Scrum Master I (PSM1) Exam A 94 Questions and Answers...

12 USD

0

0

PSPO I, PSM I  EXAM QUESTIONS AND ANSWERS GRADED A+
View Document

PSPO I, PSM I EXAM QUESTIONS AND ANSWERS GRADED A+

  • studypal

    studypal

  • questions & answers

PSPO I, PSM I EXAM QUESTIONS AND ANSWERS GRADED A+...

14 USD

0

0

HC MISC Catastrophe Fire Independent Adjuster Estimatics Test B Exam 2024
View Document

HC MISC Catastrophe Fire Independent Adjuster Estimatics Test B Exam 2024

  • Emily

    Emily

  • exam

HC MISC Catastrophe Fire Independent Adjuster Estimatics Test B Exam 2024...

7 USD

0

0

ASQ CQA Certification Exam Definitions
View Document

ASQ CQA Certification Exam Definitions

  • Brilliantscore

    Brilliantscore

  • questions & answers

ASQ CQA Certification Exam Definitions...

12 USD

0

0

Practice Exam 1- California Cosmetology State Board Exam.
View Document

Practice Exam 1- California Cosmetology State Board Exam.

  • Brilliantscore

    Brilliantscore

  • questions & answers

Practice Exam 1- California Cosmetology State Board Exam. – Download PDF...

11 USD

0

0

Cosmetology State Board Examination Review (California) 2000+ Questions with Complete Solutions.
View Document

Cosmetology State Board Examination Review (California) 2000+ Questions with Complete Solutions.

  • Brilliantscore

    Brilliantscore

  • questions & answers

Cosmetology State Board Examination Review (California) 2000+ Questions with Complete Solutions....

15 USD

0

0

California Cosmetology State Board Written Exam with Answers.
View Document

California Cosmetology State Board Written Exam with Answers.

  • Brilliantscore

    Brilliantscore

  • questions & answers

California Cosmetology State Board Written Exam with Answers....

11 USD

0

0

Milady State Board FL Exam With Answers Verified And Rated A
View Document

Milady State Board FL Exam With Answers Verified And Rated A

  • Brilliantscore

    Brilliantscore

  • questions & answers

Milady State Board FL Exam With Answers Verified And Rated A...

11 USD

0

0

Florida cosmetology theory exam questions with answers graded A.
View Document

Florida cosmetology theory exam questions with answers graded A.

  • Brilliantscore

    Brilliantscore

  • questions & answers

Florida cosmetology theory exam questions with answers graded A....

10 USD

0

0

Cosmetology Florida State Board Clinical Exam Review With Answers 100% Correct.
View Document

Cosmetology Florida State Board Clinical Exam Review With Answers 100% Correct.

  • Brilliantscore

    Brilliantscore

  • questions & answers

Cosmetology Florida State Board Clinical Exam Review With Answers 100% Correct....

12 USD

0

0

FLORIDA STATE BOARD COSMETOLOGY EXAM WITH ANSWERS.
View Document

FLORIDA STATE BOARD COSMETOLOGY EXAM WITH ANSWERS.

  • Brilliantscore

    Brilliantscore

  • questions & answers

FLORIDA STATE BOARD COSMETOLOGY EXAM WITH ANSWERS....

12 USD

0

0

Milady Cosmetology Exam With Complete Solutions.
View Document

Milady Cosmetology Exam With Complete Solutions.

  • Brilliantscore

    Brilliantscore

  • questions & answers

Milady Cosmetology Exam With Complete Solutions....

12 USD

0

0

milady cosmetology exam questions with answers graded A+.
View Document

milady cosmetology exam questions with answers graded A+.

  • Brilliantscore

    Brilliantscore

  • questions & answers

milady cosmetology exam questions with answers graded A+....

9 USD

0

0

Milady exam 2024 with complete solutions.
View Document

Milady exam 2024 with complete solutions.

  • Brilliantscore

    Brilliantscore

  • questions & answers

Milady exam 2024 with complete solutions....

9 USD

0

0

NCCAOM Regulations Exam With Answers
View Document

NCCAOM Regulations Exam With Answers

  • Brilliantscore

    Brilliantscore

  • questions & answers

NCCAOM Regulations Exam With Answers – Download PDF...

9 USD

0

0

NCCAOM Boards Biomedicine Exam With Complete Solutions.
View Document

NCCAOM Boards Biomedicine Exam With Complete Solutions.

  • Brilliantscore

    Brilliantscore

  • questions & answers

NCCAOM Boards Biomedicine Exam With Complete Solutions....

14 USD

0

0

NCCAOM Biomedicine Board Exam Questions With Answers 100% Correct.
View Document

NCCAOM Biomedicine Board Exam Questions With Answers 100% Correct.

  • Brilliantscore

    Brilliantscore

  • questions & answers

NCCAOM Biomedicine Board Exam Questions With Answers 100% Correct....

15 USD

0

0

NCCAOM Foundations Exam Questions With Complete Solutions.
View Document

NCCAOM Foundations Exam Questions With Complete Solutions.

  • Brilliantscore

    Brilliantscore

  • questions & answers

NCCAOM Foundations Exam Questions With Complete Solutions....

11 USD

0

0

NCCAOM Acupuncture Board Exam Questions With Complete Solutions.
View Document

NCCAOM Acupuncture Board Exam Questions With Complete Solutions.

  • Brilliantscore

    Brilliantscore

  • questions & answers

NCCAOM Acupuncture Board Exam Questions With Complete Solutions....

14 USD

0

0

PEBC (Laws) Exam With Answers Graded A+.
View Document

PEBC (Laws) Exam With Answers Graded A+.

  • Brilliantscore

    Brilliantscore

  • questions & answers

PEBC (Laws) Exam With Answers Graded A+....

12 USD

0

0

WGU C483 PRINCIPLES OF MANAGEMENT OA FINAL  EXAM LATEST 2024 TEST BANK QUESTIONS AND  CORRECT DETAILED ANSWERS (VERIFIED ANSWERS)  |ALREADY GRADED A+
View Document

WGU C483 PRINCIPLES OF MANAGEMENT OA FINAL EXAM LATEST 2024 TEST BANK QUESTIONS AND CORRECT DETAILED ANSWERS (VERIFIED ANSWERS) |ALREADY GRADED A+

  • Hp24

    Hp24

  • case study

WGU C483 PRINCIPLES OF MANAGEMENT OA FINAL EXAM LATEST 2024 TEST BANK QUESTIONS AND CORRECT DETAILED ANSWERS (VERIFIED...

14 USD

0

0

FLORIDA REAL ESTATE CLASS FINAL EXAM LATEST 2024 ACTUAL EXAM QUESTIONS AND CORRECT DETAILED ANSWERS |ALREADY GRADED A+
View Document

FLORIDA REAL ESTATE CLASS FINAL EXAM LATEST 2024 ACTUAL EXAM QUESTIONS AND CORRECT DETAILED ANSWERS |ALREADY GRADED A+

  • Hp24

    Hp24

  • case study

FLORIDA REAL ESTATE CLASS FINAL EXAM LATEST 2024 ACTUAL EXAM QUESTIONS AND CORRECT DETAILED ANSWERS |ALREADY GRADED A+...

10 USD

0

0

NUR 605 MIDTERM EXAM LATEST 2024  ACTUAL EXAM 70 QUESTIONS AND CORRECT  DETAILED ANSWERS (VERIFIED ANSWERS)  |ALREADY GRADED A+
View Document

NUR 605 MIDTERM EXAM LATEST 2024 ACTUAL EXAM 70 QUESTIONS AND CORRECT DETAILED ANSWERS (VERIFIED ANSWERS) |ALREADY GRADED A+

  • Hp24

    Hp24

  • case study

NUR 605 MIDTERM EXAM LATEST 2024 ACTUAL EXAM 70 QUESTIONS AND CORRECT DETAILED ANSWERS (VERIFIED ANSWERS) |ALREADY GR...

15 USD

0

0

UST EXAM LATEST FINAL 2024 ACTUAL EXAM 160  QUESTIONS AND CORRECT DETAILED ANSWERS WITH  RATIONALES |ALREADY GRADED A
View Document

UST EXAM LATEST FINAL 2024 ACTUAL EXAM 160 QUESTIONS AND CORRECT DETAILED ANSWERS WITH RATIONALES |ALREADY GRADED A

  • Hp24

    Hp24

  • case study

UST EXAM LATEST FINAL 2024 ACTUAL EXAM 160 QUESTIONS AND CORRECT DETAILED ANSWERS WITH RATIONALES |ALREADY GRADED A...

10 USD

0

0

PTS CANFITPRO THEORY EXAM 2023-2024 ACTUAL  EXAM 142 REAL EXAM QUESTIONS AND CORRECT  DETAILED ANSWERS |ALREADY GRADED A
View Document

PTS CANFITPRO THEORY EXAM 2023-2024 ACTUAL EXAM 142 REAL EXAM QUESTIONS AND CORRECT DETAILED ANSWERS |ALREADY GRADED A

  • Hp24

    Hp24

  • study guide

PTS CANFITPRO THEORY EXAM 2023-2024 ACTUAL EXAM 142 REAL EXAM QUESTIONS AND CORRECT DETAILED ANSWERS |ALREADY GRADED A...

10 USD

0

0

FNP PEDIATRICS EXAM, PRACTICE EXAM AND STUDY GUIDE LATEST 2024 ACTUAL EXAM TEST BANK 1200+ QUESTIONS AND CORRECT DETAILED ANSWERS (VERIFIED ANSWERS) |ALREADY GRADED A+|| BRAND NEW!!
View Document

FNP PEDIATRICS EXAM, PRACTICE EXAM AND STUDY GUIDE LATEST 2024 ACTUAL EXAM TEST BANK 1200+ QUESTIONS AND CORRECT DETAILED ANSWERS (VERIFIED ANSWERS) |ALREADY GRADED A+|| BRAND NEW!!

  • Hp24

    Hp24

  • study guide

FNP PEDIATRICS EXAM, PRACTICE EXAM AND STUDY GUIDE LATEST 2024 ACTUAL EXAM TEST BANK 1200+ QUESTIONS AND CORRECT DETAILE...

15 USD

0

0

UST EXAM LATEST FINAL 2024 ACTUAL EXAM 160  QUESTIONS AND CORRECT DETAILED ANSWERS WITH  RATIONALES |ALREADY GRADED A+
View Document

UST EXAM LATEST FINAL 2024 ACTUAL EXAM 160 QUESTIONS AND CORRECT DETAILED ANSWERS WITH RATIONALES |ALREADY GRADED A+

  • Hp24

    Hp24

  • study guide

UST EXAM LATEST FINAL 2024 ACTUAL EXAM 160 QUESTIONS AND CORRECT DETAILED ANSWERS WITH RATIONALES |ALREADY GRADED A+...

15 USD

0

0

PSM I | PSPO I Exam Questions and Answers Graded A+
View Document

PSM I | PSPO I Exam Questions and Answers Graded A+

  • studypal

    studypal

  • questions & answers

PSM I | PSPO I Exam Questions and Answers Graded A+...

15 USD

0

0

ABO & NCLE Advanced Certification Exam with COMPLETE SOLUTION | 459 Questions with 100% Correct Answers
View Document

ABO & NCLE Advanced Certification Exam with COMPLETE SOLUTION | 459 Questions with 100% Correct Answers

  • studypal

    studypal

  • questions & answers

ABO & NCLE Advanced Certification Exam with COMPLETE SOLUTION | 459 Questions with 100% Correct Answers...

14 USD

0

0

ABO & NCLE Practical Exam Answers. Latest Already Graded A
View Document

ABO & NCLE Practical Exam Answers. Latest Already Graded A

  • studypal

    studypal

  • questions & answers

ABO & NCLE Practical Exam Answers. Latest Already Graded A...

7 USD

0

0

ABO & NCLE Prep Exam 3 of 4 Questions and Answers, Already Graded A.
View Document

ABO & NCLE Prep Exam 3 of 4 Questions and Answers, Already Graded A.

  • studypal

    studypal

  • questions & answers

ABO & NCLE Prep Exam 3 of 4 Questions and Answers, Already Graded A....

12 USD

0

0

ABO & NCLE Prep Exam Part 1 of 4 Questions and Answers Graded A+
View Document

ABO & NCLE Prep Exam Part 1 of 4 Questions and Answers Graded A+

  • studypal

    studypal

  • questions & answers

ABO & NCLE Prep Exam Part 1 of 4 Questions and Answers Graded A+...

9 USD

0

0

ABO & NCLE Practice Exam Questions and Answers Already Passed.
View Document

ABO & NCLE Practice Exam Questions and Answers Already Passed.

  • studypal

    studypal

  • questions & answers

ABO & NCLE Practice Exam Questions and Answers Already Passed....

9 USD

0

0

NCLE Basic Exam Questions and Answers Study Guide Rated A+
View Document

NCLE Basic Exam Questions and Answers Study Guide Rated A+

  • studypal

    studypal

  • questions & answers

NCLE Basic Exam Questions and Answers Study Guide Rated A+...

10 USD

0

0

ATI RN MENTAL HEALTH  2020-2023 RETAKE EXAM V1 –V3, MENTAL HEALTH RN  2020-2023 RETAKE EXAM QUESTIONS AND VERIFIED ANSWERS, LATEST UPDATE
View Document

ATI RN MENTAL HEALTH 2020-2023 RETAKE EXAM V1 –V3, MENTAL HEALTH RN 2020-2023 RETAKE EXAM QUESTIONS AND VERIFIED ANSWERS, LATEST UPDATE

  • DRDMG

    DRDMG

  • ati

ATI RN MENTAL HEALTH 2020-2023 RETAKE EXAM V1 –V3, MENTAL HEALTH RN 2020-2023 RETAKE EXAM QUESTIONS AND VERIFIED ANS...

14 USD

0

1

2024 RN  MEDICAL SURGICAL ATI EXAM, MEDICAL SURGICAL ATI EXAM  2022-2024 QUESTIONS AND ANSWERS |ALREADY GRADED A | BRAND NEW!!   Which of the following is an adverse effect of lactulose?
View Document

2024 RN MEDICAL SURGICAL ATI EXAM, MEDICAL SURGICAL ATI EXAM 2022-2024 QUESTIONS AND ANSWERS |ALREADY GRADED A | BRAND NEW!! Which of the following is an adverse effect of lactulose?

  • DRDMG

    DRDMG

  • ati

2024 RN MEDICAL SURGICAL ATI EXAM, MEDICAL SURGICAL ATI EXAM 2022-2024 QUESTIONS AND ANSWERS |ALREADY GRADED A | BRAND...

15 USD

0

0

PEBC Evaluating Exam With Complete Solutions.
View Document

PEBC Evaluating Exam With Complete Solutions.

  • Brilliantscore

    Brilliantscore

  • questions & answers

PEBC Evaluating Exam With Complete Solutions....

10 USD

0

0

PEBC Technician Exam Questions Verified Answers And Rated A+.
View Document

PEBC Technician Exam Questions Verified Answers And Rated A+.

  • Brilliantscore

    Brilliantscore

  • questions & answers

PEBC Technician Exam Questions Verified Answers And Rated A+....

10 USD

0

0

PEBC Exam Questions Verified Answers And Rated A+.
View Document

PEBC Exam Questions Verified Answers And Rated A+.

  • Brilliantscore

    Brilliantscore

  • questions & answers

PEBC Exam Questions Verified Answers And Rated A+....

12 USD

0

0

ATI Comprehensive Predictor Exam 2023 (Real Exam) 180 Q & As
View Document

ATI Comprehensive Predictor Exam 2023 (Real Exam) 180 Q & As

  • mentor2000

    mentor2000

  • ati

ATI Comprehensive Predictor Exam 2023 (Real Exam) 180 Q & As...

15 USD

0

1

ATI Comprehensive Predictor Exam 2023
View Document

ATI Comprehensive Predictor Exam 2023

  • Namwaki

    Namwaki

  • ati

ATI Comprehensive Predictor Exam 2023 – Download PDF...

16 USD

0

0

NR 509 Final Exam - Study guide A 44-year-old female mathematician presents to clinic with a complaint of a mass in the
View Document

NR 509 Final Exam - Study guide A 44-year-old female mathematician presents to clinic with a complaint of a mass in the

  • mentor2000

    mentor2000

  • exam

NR 509 Final Exam - Study guide A 44-year-old female mathematician presents to clinic with a complaint of a mass in the...

5 USD

0

0

PN ATI Med Surg Proctored Exam latest 2023 Graded A+ Questions and Answers
View Document

PN ATI Med Surg Proctored Exam latest 2023 Graded A+ Questions and Answers

  • Professor

    Professor

  • exam

PN ATI Med Surg Proctored Exam latest 2023 Graded A+ Questions and Answers – Download PDF...

11 USD

0

0

Hesi Pediatric Exam 55 Questions Download To Score A (2023, 2024)| Already Graded A+
View Document

Hesi Pediatric Exam 55 Questions Download To Score A (2023, 2024)| Already Graded A+

  • SAMUEL

    SAMUEL

  • hesi

Hesi Pediatric Exam 55 Questions Download To Score A (2023, 2024)| Already Graded A+ – Download PDF...

10 USD

0

0

NR 601 Week 8 Final Exam Textbook Questions with Verified Answer  100%Complete Already Graded A+ (Chapter 1- Chapter 52)NR 601 Primary Care of the Maturing And  Aged Family Practicum (Fall 2023) (NR 601 Week 8 Final Exam Textbook Questions) Test Questions Chapter 1
View Document

NR 601 Week 8 Final Exam Textbook Questions with Verified Answer 100%Complete Already Graded A+ (Chapter 1- Chapter 52)NR 601 Primary Care of the Maturing And Aged Family Practicum (Fall 2023) (NR 601 Week 8 Final Exam Textbook Questions) Test Questions Chapter 1

  • beatricemwash

    beatricemwash

  • questions & answers

NR 601 Week 8 Final Exam Textbook Questions with Verified Answer 100%Complete Already Graded A+ (Chapter 1- Chapter 52)...

13 USD

0

0

NURS 6675 Mid Term Exam.
View Document

NURS 6675 Mid Term Exam.

  • mumbi

    mumbi

  • questions & answers

NURS 6675 Mid Term Exam....

9 USD

0

0

NURS 6675 Mid Term Exam.
View Document

NURS 6675 Mid Term Exam.

  • mumbi

    mumbi

  • questions & answers

NURS 6675 Mid Term Exam....

9 USD

0

0

Davita Final Exam 2024 Study Guide
View Document

Davita Final Exam 2024 Study Guide

  • Pasing-Grades

    Pasing-Grades

  • exam

Davita Final Exam 2024 Study Guide...

5 USD

0

0

Davita PCT Exam Practice Questions and Answers 2024
View Document

Davita PCT Exam Practice Questions and Answers 2024

  • Pasing-Grades

    Pasing-Grades

  • exam

Davita PCT Exam Practice Questions and Answers 2024...

6 USD

0

0

Real PCT Davita 2024 Final Exam Questions and Answers
View Document

Real PCT Davita 2024 Final Exam Questions and Answers

  • Pasing-Grades

    Pasing-Grades

  • exam

Real PCT Davita 2024 Final Exam Questions and Answers...

7 USD

0

0

Davita PCT Final Exam Questions and Answers 2024
View Document

Davita PCT Final Exam Questions and Answers 2024

  • Pasing-Grades

    Pasing-Grades

  • exam

Davita PCT Final Exam Questions and Answers 2024...

7 USD

0

0

OB Exam 2 Practice Questions and Answers 2024 Study Material
View Document

OB Exam 2 Practice Questions and Answers 2024 Study Material

  • Pasing-Grades

    Pasing-Grades

  • exam

OB Exam 2 Practice Questions and Answers 2024 Study Material...

7 USD

0

0

INV3702 – Investments, Fixed Income Analysis Exam Memo 2024 UNISA
View Document

INV3702 – Investments, Fixed Income Analysis Exam Memo 2024 UNISA

  • Pasing-Grades

    Pasing-Grades

  • exam

INV3702 – Investments, Fixed Income Analysis Exam Memo 2024 UNISA...

3 USD

0

0

NR 509 Mid Term Exam Study Guide 2026
View Document

NR 509 Mid Term Exam Study Guide 2026

  • Pasing-Grades

    Pasing-Grades

  • exam

Get NR 509 Mid Term Exam Study Guide 2025 in PDF format....

7 USD

0

0

Nr 509 final exam nr509 final exam new 2024 advanced physical assessment
View Document

Nr 509 final exam nr509 final exam new 2024 advanced physical assessment

  • Pasing-Grades

    Pasing-Grades

  • exam

Nr 509 final exam nr509 final exam new 2024 advanced physical assessment...

8 USD

0

0

NURS 6521 ADVANCED PHARMACOLOGY WALDEN UNIVERSITY FINAL EXAM verified by expert tutors
View Document

NURS 6521 ADVANCED PHARMACOLOGY WALDEN UNIVERSITY FINAL EXAM verified by expert tutors

  • Professor

    Professor

  • exam

NURS 6521 ADVANCED PHARMACOLOGY WALDEN UNIVERSITY FINAL EXAM verified by expert tutors...

11 USD

0

0

NURS 6521 Midterm Exam Walden University (COMPLETE SOLUTION) LATEST 2024 with 97 actual answers
View Document

NURS 6521 Midterm Exam Walden University (COMPLETE SOLUTION) LATEST 2024 with 97 actual answers

  • Professor

    Professor

  • exam

NURS 6521 Midterm Exam Walden University (COMPLETE SOLUTION) LATEST 2024 with 97 actual answers...

12 USD

0

0

Pearson RBT Exam LATEST 2023-2024 EXAM 250+ REAL  EXAM QUESTIONS AND ANSWERS (VERIFIED  ANSWERS)AGRADE
View Document

Pearson RBT Exam LATEST 2023-2024 EXAM 250+ REAL EXAM QUESTIONS AND ANSWERS (VERIFIED ANSWERS)AGRADE

  • Hp24

    Hp24

  • exam

Pearson RBT Exam LATEST 2023-2024 EXAM 250+ REAL EXAM QUESTIONS AND ANSWERS (VERIFIED ANSWERS)AGRADE – Download PDF...

14 USD

0

0

FISDAP PARAMEDIC FINAL LATEST EXAM 2023- 2024, PARAMEDIC FISDAP FINAL EXAM TEST BANK  REAL EXAM 600+QUESTIONS AND CORRECT ANSWERS | AGRADE
View Document

FISDAP PARAMEDIC FINAL LATEST EXAM 2023- 2024, PARAMEDIC FISDAP FINAL EXAM TEST BANK REAL EXAM 600+QUESTIONS AND CORRECT ANSWERS | AGRADE

  • Hp24

    Hp24

  • exam

FISDAP PARAMEDIC FINAL LATEST EXAM 2023- 2024, PARAMEDIC FISDAP FINAL EXAM TEST BANK REAL EXAM 600+QUESTIONS AND CORREC...

14 USD

0

0

HESI PN EXIT EXAM V3 LATEST VERSION 2022-2024 ALL  110 QUESTIONS AND VERIFIED RATIONALED ANSWERS GRADED A
View Document

HESI PN EXIT EXAM V3 LATEST VERSION 2022-2024 ALL 110 QUESTIONS AND VERIFIED RATIONALED ANSWERS GRADED A

  • Hp24

    Hp24

  • exam

HESI PN EXIT EXAM V3 LATEST VERSION 2022-2024 ALL 110 QUESTIONS AND VERIFIED RATIONALED ANSWERS GRADED A – Download P...

12 USD

0

0

PN 2024-2026 EXAM, HESI PN V1 LATESTHESI EXIT V1 LATEST 2 EXAM 140 REAL EXAM QUESTIONS AND CORRECT ANSWERS | VERIFIED ANSWERS A GRADE
View Document

PN 2024-2026 EXAM, HESI PN V1 LATESTHESI EXIT V1 LATEST 2 EXAM 140 REAL EXAM QUESTIONS AND CORRECT ANSWERS | VERIFIED ANSWERS A GRADE

  • Hp24

    Hp24

  • exam

PN 2024-2025 EXAM, HESI PN V1 LATESTHESI EXIT V1 LATEST 2 EXAM 140 REAL EXAM QUESTIONS AND CORRECT ANSWERS | VERIFIED AN...

15 USD

0

0

ATI MENTAL HEALTH EXAM WITH NGN 2019 REAL EXAM VERIFIED DETAILED ANSWERS GRADED A+
View Document

ATI MENTAL HEALTH EXAM WITH NGN 2019 REAL EXAM VERIFIED DETAILED ANSWERS GRADED A+

  • Hp24

    Hp24

  • ati

ATI MENTAL HEALTH EXAM WITH NGN 2019 REAL EXAM VERIFIED DETAILED ANSWERS GRADED A+ – Download PDF...

12 USD

0

0

RELIAS DYSRHYTHMIA BASIC TEST 35 QUESTIONS  AND ANSWERS 2023 (BASIC ADYSRHYTHMIA)  REAL EXAM UPDATED AUGUST 2023, 2024
View Document

RELIAS DYSRHYTHMIA BASIC TEST 35 QUESTIONS AND ANSWERS 2023 (BASIC ADYSRHYTHMIA) REAL EXAM UPDATED AUGUST 2023, 2024

  • Hp24

    Hp24

  • hesi

RELIAS DYSRHYTHMIA BASIC TEST 35 QUESTIONS AND ANSWERS 2023 (BASIC ADYSRHYTHMIA) REAL EXAM UPDATED AUGUST 2023, 2024 ďż˝...

14 USD

0

0

NRNP 6675 MIDTERM EXAM AND PRACTICE EXAM WITH STUDY GUIDE 2024 VERIFIED QUESTIONS  WITH DETAILED ANSWERS GRADED A |
View Document

NRNP 6675 MIDTERM EXAM AND PRACTICE EXAM WITH STUDY GUIDE 2024 VERIFIED QUESTIONS WITH DETAILED ANSWERS GRADED A |

  • Hp24

    Hp24

  • hesi

NRNP 6675 MIDTERM EXAM AND PRACTICE EXAM WITH STUDY GUIDE 2024 VERIFIED QUESTIONS WITH DETAILED ANSWERS GRADED A | – ...

12 USD

0

0

PN ADULT MEDICAL SURGICAL ONLINE PRACTICE 2024 A  AND B WITH NGN | ATI PN MED SURG EXAM 2024 WITH  NGN VERIFIED REAL EXAM QUESTIONS WITH DETAILED  ANSWERS | LATEST UPDATE
View Document

PN ADULT MEDICAL SURGICAL ONLINE PRACTICE 2024 A AND B WITH NGN | ATI PN MED SURG EXAM 2024 WITH NGN VERIFIED REAL EXAM QUESTIONS WITH DETAILED ANSWERS | LATEST UPDATE

  • Hp24

    Hp24

  • exam

PN ADULT MEDICAL SURGICAL ONLINE PRACTICE 2024 A AND B WITH NGN | ATI PN MED SURG EXAM 2024 WITH NGN VERIFIED REAL EXA...

15 USD

0

0

HESI COMPREHENSIVE REVIEW FOR NCLEX-PN EXAMINATION,5THEDITION: HESI A – FUNDAMENTALS (1) | QUESTIONS AND ANSWERS | |  GRADED A
View Document

HESI COMPREHENSIVE REVIEW FOR NCLEX-PN EXAMINATION,5THEDITION: HESI A – FUNDAMENTALS (1) | QUESTIONS AND ANSWERS | | GRADED A

  • Hp24

    Hp24

  • exam

HESI COMPREHENSIVE REVIEW FOR NCLEX-PN EXAMINATION,5THEDITION: HESI A – FUNDAMENTALS (1) | QUESTIONS AND ANSWERS | | ...

15 USD

0

0

Testbank for bates nursing guide to physical examination and history taking 3rd third edition hogan
View Document

Testbank for bates nursing guide to physical examination and history taking 3rd third edition hogan

  • Kiboi

    Kiboi

  • exam

Testbank for bates nursing guide to physical examination and history taking 3rd third edition hogan – Download PDF...

25 USD

0

0

BIO 230 Exam IV With Complete Solutions.
View Document

BIO 230 Exam IV With Complete Solutions.

  • Brilliantscore

    Brilliantscore

  • questions & answers

BIO 230 Exam IV With Complete Solutions. – Download PDF...

10 USD

0

0

Biology 230 Exam 3 With Answers 100 Percent Correct
View Document

Biology 230 Exam 3 With Answers 100 Percent Correct

  • Brilliantscore

    Brilliantscore

  • questions & answers

Biology 230 Exam 3 With Answers 100 Percent Correct – Download PDF...

10 USD

0

0

SFSU Bio 230 Final Exam Questions And Answers verified And Rated A+.
View Document

SFSU Bio 230 Final Exam Questions And Answers verified And Rated A+.

  • Brilliantscore

    Brilliantscore

  • questions & answers

SFSU Bio 230 Final Exam Questions And Answers verified And Rated A+....

10 USD

0

0

SFSU BIO 230 EXAM 3 QUESTIONS AND ANSWERS GRADE A+
View Document

SFSU BIO 230 EXAM 3 QUESTIONS AND ANSWERS GRADE A+

  • Brilliantscore

    Brilliantscore

  • questions & answers

SFSU BIO 230 EXAM 3 QUESTIONS AND ANSWERS GRADE A+...

10 USD

0

0

SFSU BIO 230 FINAL EXAM QUESTIONS WITH COMLETE SOLUTIONS.
View Document

SFSU BIO 230 FINAL EXAM QUESTIONS WITH COMLETE SOLUTIONS.

  • Brilliantscore

    Brilliantscore

  • questions & answers

SFSU BIO 230 FINAL EXAM QUESTIONS WITH COMLETE SOLUTIONS. – Download PDF...

10 USD

0

0

Bio 230 EXAM 1 SFSU Questions And Answers 100 Percent Correct.
View Document

Bio 230 EXAM 1 SFSU Questions And Answers 100 Percent Correct.

  • Brilliantscore

    Brilliantscore

  • questions & answers

Bio 230 EXAM 1 SFSU Questions And Answers 100 Percent Correct. – Download PDF...

10 USD

0

0

SFSU Bio 230 Study Guides for Exams 1, 2, 3, and 4 With Answers 100% Correct.
View Document

SFSU Bio 230 Study Guides for Exams 1, 2, 3, and 4 With Answers 100% Correct.

  • Brilliantscore

    Brilliantscore

  • questions & answers

SFSU Bio 230 Study Guides for Exams 1, 2, 3, and 4 With Answers 100% Correct....

11 USD

0

0

VITA Certification Exam Questions With Complete Solutions.
View Document

VITA Certification Exam Questions With Complete Solutions.

  • Brilliantscore

    Brilliantscore

  • questions & answers

VITA Certification Exam Questions With Complete Solutions....

11 USD

0

0

VITA Exam Questions With Answers 100 Percent Correct.
View Document

VITA Exam Questions With Answers 100 Percent Correct.

  • Brilliantscore

    Brilliantscore

  • questions & answers

VITA Exam Questions With Answers 100 Percent Correct. – Download PDF...

10 USD

0

0

AHIP exam with complete solutions rated A+.
View Document

AHIP exam with complete solutions rated A+.

  • Brilliantscore

    Brilliantscore

  • questions & answers

AHIP exam with complete solutions rated A+....

10 USD

0

0

2024 AHIP exam with complete solutions rated A+.
View Document

2024 AHIP exam with complete solutions rated A+.

  • Brilliantscore

    Brilliantscore

  • questions & answers

2024 AHIP exam with complete solutions rated A+....

12 USD

0

0

AHIP Final Exam Test Questions With Answers 100 Percent Correct.
View Document

AHIP Final Exam Test Questions With Answers 100 Percent Correct.

  • Brilliantscore

    Brilliantscore

  • questions & answers

AHIP Final Exam Test Questions With Answers 100 Percent Correct. – Download PDF...

11 USD

0

0

CPHIMS Exam 2 Questions With Complete Solutions.
View Document

CPHIMS Exam 2 Questions With Complete Solutions.

  • Brilliantscore

    Brilliantscore

  • questions & answers

CPHIMS Exam 2 Questions With Complete Solutions....

8 USD

0

0

Bates’ Guide to Physical Examination and History Taking, 12th Edition
View Document

Bates’ Guide to Physical Examination and History Taking, 12th Edition

  • Kiboi

    Kiboi

  • test bank

Bates’ Guide to Physical Examination and History Taking, 12th Edition...

25 USD

0

0

CPHIMS Exam 1 Questions With Complete Solutions.
View Document

CPHIMS Exam 1 Questions With Complete Solutions.

  • Brilliantscore

    Brilliantscore

  • questions & answers

CPHIMS Exam 1 Questions With Complete Solutions....

11 USD

0

0

CPHIMS Exam Questions With Complete Solutions.
View Document

CPHIMS Exam Questions With Complete Solutions.

  • Brilliantscore

    Brilliantscore

  • questions & answers

CPHIMS Exam Questions With Complete Solutions....

12 USD

0

0

Pediatric primary care burns exam 1 questions and answers 1000% correct.
View Document

Pediatric primary care burns exam 1 questions and answers 1000% correct.

  • Brilliantscore

    Brilliantscore

  • questions & answers

Pediatric primary care burns exam 1 questions and answers 1000% correct....

16 USD

0

0

Med surg 2 meningitis Exam 3 With Complete Solutions.
View Document

Med surg 2 meningitis Exam 3 With Complete Solutions.

  • Brilliantscore

    Brilliantscore

  • questions & answers

Med surg 2 meningitis Exam 3 With Complete Solutions....

8 USD

0

0

NUNP 6541 Pediatric Final Exam-Walden U
View Document

NUNP 6541 Pediatric Final Exam-Walden U

  • Brilliantscore

    Brilliantscore

  • questions & answers

NUNP 6541 Pediatric Final Exam-Walden U...

7 USD

0

0

NUR 6541 Pediatric Midterm Exam With Complete Solutions.
View Document

NUR 6541 Pediatric Midterm Exam With Complete Solutions.

  • Brilliantscore

    Brilliantscore

  • questions & answers

NUR 6541 Pediatric Midterm Exam With Complete Solutions....

8 USD

0

0

NCSBN Practice Questions 76-90 Exam Questions with Answers 100% correct.
View Document

NCSBN Practice Questions 76-90 Exam Questions with Answers 100% correct.

  • Brilliantscore

    Brilliantscore

  • questions & answers

NCSBN Practice Questions 76-90 Exam Questions with Answers 100% correct....

11 USD

0

0

NURS 231 Real 2024 Exam 1 (Pathophysiology)  What are qualities that, according to research, most nurses expect of their leadership?
View Document

NURS 231 Real 2024 Exam 1 (Pathophysiology) What are qualities that, according to research, most nurses expect of their leadership?

  • Gradepush

    Gradepush

  • exam

NURS 231 Real 2024 Exam 1 (Pathophysiology) What are qualities that, according to research, most nurses expect of their...

7 USD

0

0

WGU Exam 2024 Pre-Assessment PAKC 3. Which characteristic is consistent with a student in the early childhood physical development stage?
View Document

WGU Exam 2024 Pre-Assessment PAKC 3. Which characteristic is consistent with a student in the early childhood physical development stage?

  • Gradepush

    Gradepush

  • exam

WGU Exam 2024 Pre-Assessment PAKC 3. Which characteristic is consistent with a student in the early childhood physical d...

8 USD

0

0

NR511 Week 8 Final Exam (Latest 2024) Mrs. Thomas was seen in the office complaining of pain and point tenderness in the area of her elbow. The pain has increased following a day of gardening
View Document

NR511 Week 8 Final Exam (Latest 2024) Mrs. Thomas was seen in the office complaining of pain and point tenderness in the area of her elbow. The pain has increased following a day of gardening

  • Gradepush

    Gradepush

  • exam

NR511 Week 8 Final Exam (Latest 2024) Mrs. Thomas was seen in the office complaining of pain and point tenderness in the...

6 USD

0

0

WGU D307 Educational Psychology Exam 2024 When recess is called, two boys slip on their hoodies and, with a little  concentration, zip them up. They then run out to the playground
View Document

WGU D307 Educational Psychology Exam 2024 When recess is called, two boys slip on their hoodies and, with a little concentration, zip them up. They then run out to the playground

  • Gradepush

    Gradepush

  • exam

WGU D307 Educational Psychology Exam 2024 When recess is called, two boys slip on their hoodies and, with a little conc...

7 USD

0

0

Placement specialty exam with answers 100 Percent correct.
View Document

Placement specialty exam with answers 100 Percent correct.

  • Brilliantscore

    Brilliantscore

  • questions & answers

Placement specialty exam with answers 100 Percent correct. – Download PDF...

9 USD

0

0

DCFS INVESTIGATIONS EXAM WITH COMPLETE SOLUTIONS.
View Document

DCFS INVESTIGATIONS EXAM WITH COMPLETE SOLUTIONS.

  • Brilliantscore

    Brilliantscore

  • questions & answers

DCFS INVESTIGATIONS EXAM WITH COMPLETE SOLUTIONS....

9 USD

0

0

DCFS Supervisors and CSA Exam With Complete Solutions.
View Document

DCFS Supervisors and CSA Exam With Complete Solutions.

  • Brilliantscore

    Brilliantscore

  • questions & answers

DCFS Supervisors and CSA Exam With Complete Solutions....

9 USD

0

0

DCFS (Cerap) Exam Questions And Answers 100 Percent Correct.
View Document

DCFS (Cerap) Exam Questions And Answers 100 Percent Correct.

  • Brilliantscore

    Brilliantscore

  • questions & answers

DCFS (Cerap) Exam Questions And Answers 100 Percent Correct. – Download PDF...

13 USD

0

0

DCFS (Structure & Responsibility) Exam Questions And Answers 100% Correct.
View Document

DCFS (Structure & Responsibility) Exam Questions And Answers 100% Correct.

  • Brilliantscore

    Brilliantscore

  • questions & answers

DCFS (Structure & Responsibility) Exam Questions And Answers 100% Correct....

10 USD

0

0

DCFS Placement Exam With Complete Solutions and Graded A+.
View Document

DCFS Placement Exam With Complete Solutions and Graded A+.

  • Brilliantscore

    Brilliantscore

  • questions & answers

DCFS Placement Exam With Complete Solutions and Graded A+....

9 USD

0

0

Foundations DCFS caseworker Exam Questions And Answers 100% Correct.
View Document

Foundations DCFS caseworker Exam Questions And Answers 100% Correct.

  • Brilliantscore

    Brilliantscore

  • questions & answers

Foundations DCFS caseworker Exam Questions And Answers 100% Correct....

12 USD

0

0

DCFS (Child Welfare) Exam With Complete Solutions.
View Document

DCFS (Child Welfare) Exam With Complete Solutions.

  • Brilliantscore

    Brilliantscore

  • questions & answers

DCFS (Child Welfare) Exam With Complete Solutions....

10 USD

0

0

DCFS Exam Questions With Answers 100 Percent Correct.
View Document

DCFS Exam Questions With Answers 100 Percent Correct.

  • Brilliantscore

    Brilliantscore

  • questions & answers

DCFS Exam Questions With Answers 100 Percent Correct. – Download PDF...

11 USD

0

0

Containers & Explosives Exam Questions With Answers 100% Correct.
View Document

Containers & Explosives Exam Questions With Answers 100% Correct.

  • Brilliantscore

    Brilliantscore

  • questions & answers

Containers & Explosives Exam Questions With Answers 100% Correct....

11 USD

0

0

USCG Container Inspector 1.2-2.1 Exam With Complete Solutions.
View Document

USCG Container Inspector 1.2-2.1 Exam With Complete Solutions.

  • Brilliantscore

    Brilliantscore

  • questions & answers

USCG Container Inspector 1.2-2.1 Exam With Complete Solutions....

8 USD

0

0

Intermodal Dry Cargo CNTR, CSC Reinspection Certifier Exam With Complete Solutions.
View Document

Intermodal Dry Cargo CNTR, CSC Reinspection Certifier Exam With Complete Solutions.

  • Brilliantscore

    Brilliantscore

  • questions & answers

Intermodal Dry Cargo CNTR, CSC Reinspection Certifier Exam With Complete Solutions. – Download PDF...

13 USD

0

0

IICL Container Inspectors Exam Questions With Answers
View Document

IICL Container Inspectors Exam Questions With Answers

  • Brilliantscore

    Brilliantscore

  • questions & answers

IICL Container Inspectors Exam Questions With Answers – Download PDF...

13 USD

0

0

Multidimensional Care 1 Final Exam With Answers 100% Correct.
View Document

Multidimensional Care 1 Final Exam With Answers 100% Correct.

  • Brilliantscore

    Brilliantscore

  • questions & answers

Multidimensional Care 1 Final Exam With Answers 100% Correct....

10 USD

0

0

Multidimensional Care I - Module 4 Exam With Complete Solutions.
View Document

Multidimensional Care I - Module 4 Exam With Complete Solutions.

  • Brilliantscore

    Brilliantscore

  • questions & answers

Multidimensional Care I - Module 4 Exam With Complete Solutions....

8 USD

0

0

LBO Modeling Exam Wall Street Prep
View Document

LBO Modeling Exam Wall Street Prep

  • melindasalinas

    melindasalinas

  • test bank

LBO Modeling Exam Wall Street Prep...

15 USD

0

0

Transaction Comps Modeling Exam Wall Street Prep
View Document

Transaction Comps Modeling Exam Wall Street Prep

  • melindasalinas

    melindasalinas

  • test bank

Complete Wall Street Prep exam with answers covering financial modeling, valuation, DCF analysis, and more. Ideal for ce...

10 USD

0

2

Trading Comps Modeling Exam Wall Street Prep
View Document

Trading Comps Modeling Exam Wall Street Prep

  • melindasalinas

    melindasalinas

  • test bank

Trading Comps Modeling Exam Wall Street Prep...

15 USD

0

0

M&A Modeling Exam
View Document

M&A Modeling Exam

  • melindasalinas

    melindasalinas

  • test bank

M&A Modeling Exam...

15 USD

0

0

Discounted Cash Flow Modeling Wall Street Prep Exam
View Document

Discounted Cash Flow Modeling Wall Street Prep Exam

  • melindasalinas

    melindasalinas

  • test bank

Discounted Cash Flow Modeling Wall Street Prep Exam...

15 USD

0

0

Financial Statement Modeling Exam Wall Street Prep
View Document

Financial Statement Modeling Exam Wall Street Prep

  • melindasalinas

    melindasalinas

  • test bank

Financial Statement Modeling Exam Wall Street Prep...

15 USD

0

0

ATI RN Nursing Care of Children Proctored Exam (15 Latest Versions, 2024) ATI Nursing Care of Children Proctored Exam Nursing Care of Children ATI Proctored Exam (Complete Guide for Exam Preparation, 100% Correct Answers Already Graded A+
View Document

ATI RN Nursing Care of Children Proctored Exam (15 Latest Versions, 2024) ATI Nursing Care of Children Proctored Exam Nursing Care of Children ATI Proctored Exam (Complete Guide for Exam Preparation, 100% Correct Answers Already Graded A+

  • SAMUEL

    SAMUEL

  • test bank

ATI RN Nursing Care of Children Proctored Exam (15 Latest Versions, 2024) ATI Nursing Care of Children Proctored Exam Nu...

21 USD

0

0

ATI RN Nursing Care of Children Proctored Exam (15 Latest Versions, 2024) ATI Nursing Care of Children Proctored Exam Nursing Care of Children ATI Proctored Exam (Complete Guide for Exam Preparation, 100% Correct Answers Already Graded A+
View Document

ATI RN Nursing Care of Children Proctored Exam (15 Latest Versions, 2024) ATI Nursing Care of Children Proctored Exam Nursing Care of Children ATI Proctored Exam (Complete Guide for Exam Preparation, 100% Correct Answers Already Graded A+

  • mumbi

    mumbi

  • test bank

ATI RN Nursing Care of Children Proctored Exam (15 Latest Versions, 2024) ATI Nursing Care of Children Proctored Exam Nu...

21 USD

0

0

Maternity and pedi ch 2,3,4,5,6,7, review Exam With Complete Solution.
View Document

Maternity and pedi ch 2,3,4,5,6,7, review Exam With Complete Solution.

  • Brilliantscore

    Brilliantscore

  • questions & answers

Maternity and pedi ch 2,3,4,5,6,7, review Exam With Complete Solution....

12 USD

0

0

Introduction to Maternity and Pediatric Nursing Final Exam With Complete Solutions.
View Document

Introduction to Maternity and Pediatric Nursing Final Exam With Complete Solutions.

  • Brilliantscore

    Brilliantscore

  • questions & answers

Introduction to Maternity and Pediatric Nursing Final Exam With Complete Solutions....

12 USD

0

0

Maternity and Pediatrics Exam 2 With Complete Solutions.
View Document

Maternity and Pediatrics Exam 2 With Complete Solutions.

  • Brilliantscore

    Brilliantscore

  • questions & answers

Maternity and Pediatrics Exam 2 With Complete Solutions....

11 USD

0

0

Maternity & Pediatric Nursing Exam 3 Practice Questions And Answers 100% Correct.
View Document

Maternity & Pediatric Nursing Exam 3 Practice Questions And Answers 100% Correct.

  • Brilliantscore

    Brilliantscore

  • questions & answers

Maternity & Pediatric Nursing Exam 3 Practice Questions And Answers 100% Correct....

12 USD

0

0

Maternity and Pediatrics EXAM 1 Study Guide Questions With Complete Solutions,
View Document

Maternity and Pediatrics EXAM 1 Study Guide Questions With Complete Solutions,

  • Brilliantscore

    Brilliantscore

  • study guide

Maternity and Pediatrics EXAM 1 Study Guide Questions With Complete Solutions,...

11 USD

0

0

Multidimensional Care I Exam 2 Questions And Answers 100% Correct.
View Document

Multidimensional Care I Exam 2 Questions And Answers 100% Correct.

  • Brilliantscore

    Brilliantscore

  • questions & answers

Multidimensional Care I Exam 2 Questions And Answers 100% Correct....

13 USD

0

0

Multidimensional Care I Exam 3 Questions And Answers 100% Correct.
View Document

Multidimensional Care I Exam 3 Questions And Answers 100% Correct.

  • Brilliantscore

    Brilliantscore

  • questions & answers

Multidimensional Care I Exam 3 Questions And Answers 100% Correct....

12 USD

0

0

Multidimensional Care II Exam Questions And Answers 100% Correct.
View Document

Multidimensional Care II Exam Questions And Answers 100% Correct.

  • Brilliantscore

    Brilliantscore

  • questions & answers

Multidimensional Care II Exam Questions And Answers 100% Correct....

9 USD

0

0

Multidimensional Care Exam 1 With Complete Solutions.
View Document

Multidimensional Care Exam 1 With Complete Solutions.

  • Brilliantscore

    Brilliantscore

  • questions & answers

Multidimensional Care Exam 1 With Complete Solutions....

9 USD

0

0

USSF Recertification Exam Q&A Verified And Graded A+.
View Document

USSF Recertification Exam Q&A Verified And Graded A+.

  • Brilliantscore

    Brilliantscore

  • questions & answers

USSF Recertification Exam Q&A Verified And Graded A+....

10 USD

0

0

SSCP Systems Security Certified Practitioner Risk Management Exam With Answers.
View Document

SSCP Systems Security Certified Practitioner Risk Management Exam With Answers.

  • Brilliantscore

    Brilliantscore

  • questions & answers

SSCP Systems Security Certified Practitioner Risk Management Exam With Answers....

9 USD

0

0

US Soccer Grassroots Recertification Exam With Answers 100% Correct.
View Document

US Soccer Grassroots Recertification Exam With Answers 100% Correct.

  • Brilliantscore

    Brilliantscore

  • questions & answers

US Soccer Grassroots Recertification Exam With Answers 100% Correct....

9 USD

0

0

Systems Security Certified Practitioner (SSCP) Exam Prep With Complete Solutions.
View Document

Systems Security Certified Practitioner (SSCP) Exam Prep With Complete Solutions.

  • Brilliantscore

    Brilliantscore

  • questions & answers

Systems Security Certified Practitioner (SSCP) Exam Prep With Complete Solutions....

11 USD

0

0

Human Physiology Exam 1 Questions With Complete Solutions.
View Document

Human Physiology Exam 1 Questions With Complete Solutions.

  • Brilliantscore

    Brilliantscore

  • questions & answers

Human Physiology Exam 1 Questions With Complete Solutions....

11 USD

0

0

Human Physiology- Chapter 1 Exam With Complete Solutions.
View Document

Human Physiology- Chapter 1 Exam With Complete Solutions.

  • Brilliantscore

    Brilliantscore

  • questions & answers

Human Physiology- Chapter 1 Exam With Complete Solutions....

9 USD

0

0

Human Physiology Exam 1 Latest Rationale With Complete Solutions.
View Document

Human Physiology Exam 1 Latest Rationale With Complete Solutions.

  • Brilliantscore

    Brilliantscore

  • questions & answers

Human Physiology Exam 1 Latest Rationale With Complete Solutions. – Download PDF...

10 USD

0

0

NEW JERSEY (NJ) Real Estate Practice Exam with Answers 2024
View Document

NEW JERSEY (NJ) Real Estate Practice Exam with Answers 2024

  • Angelicer

    Angelicer

  • test bank

Ace your New Jersey Real Estate Exam with our top-rated practice test! Access real questions and answers tailored to hel...

10 USD

0

0

Bates nursing guide physical examination 2nd edition Hogan Quigley palm bickley test bank
View Document

Bates nursing guide physical examination 2nd edition Hogan Quigley palm bickley test bank

  • Kiboi

    Kiboi

  • exam

Bates nursing guide physical examination 2nd edition Hogan Quigley palm bickley test bank...

25 USD

0

0

PTA Final exam 2024 with correct answers
View Document

PTA Final exam 2024 with correct answers

  • SANCHY

    SANCHY

  • solution manual

PTA Final exam 2024 with correct answers – Download PDF...

10 USD

0

0

PTA Licensure Exam 2024 with correct answers
View Document

PTA Licensure Exam 2024 with correct answers

  • SANCHY

    SANCHY

  • solution manual

PTA Licensure Exam 2024 with correct answers – Download PDF...

12 USD

0

0

PTA  ( Physical Therapist Assistant) exam 2024 with 100% correct answers
View Document

PTA ( Physical Therapist Assistant) exam 2024 with 100% correct answers

  • SANCHY

    SANCHY

  • solution manual

PTA ( Physical Therapist Assistant) exam 2024 with 100% correct answers...

11 USD

0

0

PTCE EXAM 2024 WITH 100 Percent CORRECT ANSWERS
View Document

PTCE EXAM 2024 WITH 100 Percent CORRECT ANSWERS

  • SANCHY

    SANCHY

  • solution manual

PTCE EXAM 2024 WITH 100 Percent CORRECT ANSWERS – Download PDF...

10 USD

0

0

PTCE Practice Exam 2024 with 100 Percent correct answers
View Document

PTCE Practice Exam 2024 with 100 Percent correct answers

  • SANCHY

    SANCHY

  • solution manual

PTCE Practice Exam 2024 with 100 Percent correct answers – Download PDF...

11 USD

0

0

Vivint CEU Certification Exam 2024 with 100 Percent correct answers
View Document

Vivint CEU Certification Exam 2024 with 100 Percent correct answers

  • SANCHY

    SANCHY

  • exam

Vivint CEU Certification Exam 2024 with 100 Percent correct answers – Download PDF...

11 USD

0

0

Vivint practice exam 2024 with 100 Percent correct answers
View Document

Vivint practice exam 2024 with 100 Percent correct answers

  • SANCHY

    SANCHY

  • exam

Vivint practice exam 2024 with 100 Percent correct answers – Download PDF...

11 USD

0

0

Vivint SHP practice exam  2024 with 100 Percent correct answers
View Document

Vivint SHP practice exam 2024 with 100 Percent correct answers

  • SANCHY

    SANCHY

  • exam

Vivint SHP practice exam 2024 with 100 Percent correct answers – Download PDF...

11 USD

0

0

Vivint Smart Home Pro Final Exam 2024 with 100 Percent correct answers
View Document

Vivint Smart Home Pro Final Exam 2024 with 100 Percent correct answers

  • SANCHY

    SANCHY

  • exam

Vivint Smart Home Pro Final Exam 2024 with 100 Percent correct answers – Download PDF...

12 USD

0

0

Sprinkler Systems and Standpipe Operations-Chapter 6 exam questions and answers
View Document

Sprinkler Systems and Standpipe Operations-Chapter 6 exam questions and answers

  • BACKTOSCHOOL

    BACKTOSCHOOL

  • questions & answers

Sprinkler Systems and Standpipe Operations-Chapter 6 exam questions and answers...

12 USD

0

0

Salesforce Admin Certification Exam  2024 with 100% correct answers
View Document

Salesforce Admin Certification Exam 2024 with 100% correct answers

  • SANCHY

    SANCHY

  • exam

Salesforce Admin Certification Exam 2024 with 100% correct answers...

12 USD

0

0

Salesforce Admin Exam 2024 with 100 Percent correct answers
View Document

Salesforce Admin Exam 2024 with 100 Percent correct answers

  • SANCHY

    SANCHY

  • exam

Salesforce Admin Exam 2024 with 100 Percent correct answers – Download PDF...

10 USD

0

0

Salesforce Admin-201 Exam Official Practice 2024 with 100% correct answers
View Document

Salesforce Admin-201 Exam Official Practice 2024 with 100% correct answers

  • SANCHY

    SANCHY

  • exam

Salesforce Admin-201 Exam Official Practice 2024 with 100% correct answers...

13 USD

0

0

Salesforce Admin-201 Exam Official Practice 2024 with 100% correct answers
View Document

Salesforce Admin-201 Exam Official Practice 2024 with 100% correct answers

  • SANCHY

    SANCHY

  • exam

Salesforce Admin-201 Exam Official Practice 2024 with 100% correct answers...

11 USD

0

0

Salesforce - ADM 201 Certification Review exam 2024 with 100% correct answers
View Document

Salesforce - ADM 201 Certification Review exam 2024 with 100% correct answers

  • SANCHY

    SANCHY

  • exam

Salesforce - ADM 201 Certification Review exam 2024 with 100% correct answers...

12 USD

0

0

SMART SERVE EXAM 2024 WITH 100  Percent CORRECT ANSWERS
View Document

SMART SERVE EXAM 2024 WITH 100 Percent CORRECT ANSWERS

  • SANCHY

    SANCHY

  • exam

SMART SERVE EXAM 2024 WITH 100 Percent CORRECT ANSWERS – Download PDF...

13 USD

0

0

Smart Serve Ontario exam 2024 with 100  Percent correct answers
View Document

Smart Serve Ontario exam 2024 with 100 Percent correct answers

  • SANCHY

    SANCHY

  • exam

Smart Serve Ontario exam 2024 with 100 Percent correct answers – Download PDF...

15 USD

0

0

Smart Serve  exam 2024 with 100  Percent  correct answers
View Document

Smart Serve exam 2024 with 100 Percent correct answers

  • SANCHY

    SANCHY

  • exam

Smart Serve exam 2024 with 100 Percent correct answers – Download PDF...

12 USD

0

0

Smartserve 2 exam 2024 with 100 Percent correct answers
View Document

Smartserve 2 exam 2024 with 100 Percent correct answers

  • SANCHY

    SANCHY

  • exam

Smartserve 2 exam 2024 with 100 Percent correct answers – Download PDF...

15 USD

0

0

Smartserve exam with 100 Percent correct answers 2024
View Document

Smartserve exam with 100 Percent correct answers 2024

  • SANCHY

    SANCHY

  • exam

Smartserve exam with 100 Percent correct answers 2024 – Download PDF...

12 USD

0

0

Smartserve exam 2024 with 100 Percent correct answers
View Document

Smartserve exam 2024 with 100 Percent correct answers

  • SANCHY

    SANCHY

  • exam

Smartserve exam 2024 with 100 Percent correct answers – Download PDF...

12 USD

0

0

SmartServe Exam Practice 2024 with 100 Percent correct answers
View Document

SmartServe Exam Practice 2024 with 100 Percent correct answers

  • SANCHY

    SANCHY

  • exam

SmartServe Exam Practice 2024 with 100 Percent correct answers – Download PDF...

11 USD

0

0

CRIM301 2,7 Search Warrants Cont. Exam With Complete Solutions.
View Document

CRIM301 2,7 Search Warrants Cont. Exam With Complete Solutions.

  • Brilliantscore

    Brilliantscore

  • questions & answers

CRIM301 2,7 Search Warrants Cont. Exam With Complete Solutions. – Download PDF...

10 USD

0

0

Crim 301 midterm Exam with Complete Solutions.
View Document

Crim 301 midterm Exam with Complete Solutions.

  • Brilliantscore

    Brilliantscore

  • questions & answers

Crim 301 midterm Exam with Complete Solutions....

10 USD

0

0

SSM 3301 Exam 1 2024 with 100 Percent correct answers
View Document

SSM 3301 Exam 1 2024 with 100 Percent correct answers

  • SANCHY

    SANCHY

  • exam

SSM 3301 Exam 1 2024 with 100 Percent correct answers – Download PDF...

11 USD

0

0

CA PSI Site - Life Agent (A.D Banker & Company) Exam with Complete Solutions.
View Document

CA PSI Site - Life Agent (A.D Banker & Company) Exam with Complete Solutions.

  • Brilliantscore

    Brilliantscore

  • questions & answers

CA PSI Site - Life Agent (A.D Banker & Company) Exam with Complete Solutions....

10 USD

0

0

SSM 3301 Final Exam 2024 with 100 Percent  correct answers
View Document

SSM 3301 Final Exam 2024 with 100 Percent correct answers

  • SANCHY

    SANCHY

  • exam

SSM 3301 Final Exam 2024 with 100 Percent correct answers – Download PDF...

13 USD

0

0

SSM 3301 Final Exam 2024 with 100 Percent correct answers
View Document

SSM 3301 Final Exam 2024 with 100 Percent correct answers

  • SANCHY

    SANCHY

  • exam

SSM 3301 Final Exam 2024 with 100 Percent correct answers – Download PDF...

13 USD

0

0

SSM Exam 1 2024 with 100 Percent correct answers
View Document

SSM Exam 1 2024 with 100 Percent correct answers

  • SANCHY

    SANCHY

  • exam

SSM Exam 1 2024 with 100 Percent correct answers – Download PDF...

12 USD

0

0

PSI PRACTICE Exam Questions and Answers 100 Percent Correct.
View Document

PSI PRACTICE Exam Questions and Answers 100 Percent Correct.

  • Brilliantscore

    Brilliantscore

  • questions & answers

PSI PRACTICE Exam Questions and Answers 100 Percent Correct. – Download PDF...

9 USD

0

0

FIRE PROTECTION SYSTEM EXAM QUESTIONS AND ANSWERS(DIAGRAMS INCLUDED)
View Document

FIRE PROTECTION SYSTEM EXAM QUESTIONS AND ANSWERS(DIAGRAMS INCLUDED)

  • BACKTOSCHOOL

    BACKTOSCHOOL

  • exam

FIRE PROTECTION SYSTEM EXAM QUESTIONS AND ANSWERS(DIAGRAMS INCLUDED)...

12 USD

0

0

SSM Exam 2024 with 100 Percent correct answers
View Document

SSM Exam 2024 with 100 Percent correct answers

  • SANCHY

    SANCHY

  • exam

SSM Exam 2024 with 100 Percent correct answers – Download PDF...

12 USD

0

0

PSI Insurance Exam Questions and Answers 100 Percent Correct.
View Document

PSI Insurance Exam Questions and Answers 100 Percent Correct.

  • Brilliantscore

    Brilliantscore

  • questions & answers

PSI Insurance Exam Questions and Answers 100 Percent Correct. – Download PDF...

12 USD

0

0

SSM Exam I 2024 with 100 Percent correct answers
View Document

SSM Exam I 2024 with 100 Percent correct answers

  • SANCHY

    SANCHY

  • exam

SSM Exam I 2024 with 100 Percent correct answers – Download PDF...

13 USD

0

0

SSM Exam 2 2024 with 100 Percent correct answers
View Document

SSM Exam 2 2024 with 100 Percent correct answers

  • SANCHY

    SANCHY

  • exam

SSM Exam 2 2024 with 100 Percent correct answers – Download PDF...

15 USD

0

0

California Law and Ethics PSI Exam 1 Questions with Complete Solutions.
View Document

California Law and Ethics PSI Exam 1 Questions with Complete Solutions.

  • Brilliantscore

    Brilliantscore

  • questions & answers

California Law and Ethics PSI Exam 1 Questions with Complete Solutions....

10 USD

0

0

SSM TCAR review exam 2024 with 100 Percent correct answers
View Document

SSM TCAR review exam 2024 with 100 Percent correct answers

  • SANCHY

    SANCHY

  • exam

SSM TCAR review exam 2024 with 100 Percent correct answers – Download PDF...

7 USD

0

0

California Property and Casualty Insurance 2024 Exam With Complete Solutions.
View Document

California Property and Casualty Insurance 2024 Exam With Complete Solutions.

  • Brilliantscore

    Brilliantscore

  • questions & answers

California Property and Casualty Insurance 2024 Exam With Complete Solutions....

11 USD

0

0

State Farm Insurance License Exam 2023, 2024 with 100% correct answers
View Document

State Farm Insurance License Exam 2023, 2024 with 100% correct answers

  • SANCHY

    SANCHY

  • exam

State Farm Insurance License Exam 2023, 2024 with 100% correct answers – Download PDF...

10 USD

0

0

S-12 S-13 Standpipe and Sprinkler Practice Questions and answers 2025/2026
View Document

S-12 S-13 Standpipe and Sprinkler Practice Questions and answers 2025/2026

  • BACKTOSCHOOL

    BACKTOSCHOOL

  • exam

S-12 S-13 Standpipe and Sprinkler Practice Questions and answers 2025/2026...

12 USD

0

0

State Farm License - Homeowner and Auto policies  exam 2023, 2024 with 100 Percent correct answers
View Document

State Farm License - Homeowner and Auto policies exam 2023, 2024 with 100 Percent correct answers

  • SANCHY

    SANCHY

  • exam

State Farm License - Homeowner and Auto policies exam 2023, 2024 with 100 Percent correct answers – Download PDF...

11 USD

0

0

Maternity and Womens Health Nursing Lowdermilk Maternity Examination and History Taking 13th Edition Bickley Test Bank
View Document

Maternity and Womens Health Nursing Lowdermilk Maternity Examination and History Taking 13th Edition Bickley Test Bank

  • Kiboi

    Kiboi

  • questions & answers

Maternity and Womens Health Nursing Lowdermilk Maternity Examination and History Taking 13th Edition Bickley Test Bank ďż˝...

25 USD

0

0

Sprinkler Chart Questions (S12) and answers
View Document

Sprinkler Chart Questions (S12) and answers

  • BACKTOSCHOOL

    BACKTOSCHOOL

  • exam

Sprinkler Chart Questions (S12) and answers...

13 USD

0

0

Surgery: Surgical Nursing Exam with Verified Solutions
View Document

Surgery: Surgical Nursing Exam with Verified Solutions

  • BACKTOSCHOOL

    BACKTOSCHOOL

  • exam

Surgery: Surgical Nursing with verified solutions...

11 USD

0

0

Care of the Surgical Patient nclex test questions and answers 2025/2026
View Document

Care of the Surgical Patient nclex test questions and answers 2025/2026

  • BACKTOSCHOOL

    BACKTOSCHOOL

  • exam

Care of the Surgical Patient nclex test questions and answers 2025/2026 A perioperative nurse is preparing a patient for...

12 USD

0

0

Stress Management Exam 4 2024 with 100 Percent correct answers
View Document

Stress Management Exam 4 2024 with 100 Percent correct answers

  • SANCHY

    SANCHY

  • exam

Stress Management Exam 4 2024 with 100 Percent correct answers – Download PDF...

11 USD

0

0

Chapter 08: Pain Lewis: Medical-Surgical Nursing, 10th Edition with 100% correct answers
View Document

Chapter 08: Pain Lewis: Medical-Surgical Nursing, 10th Edition with 100% correct answers

  • BACKTOSCHOOL

    BACKTOSCHOOL

  • exam

Chapter 08: Pain Lewis: Medical-Surgical Nursing, 10th Edition with 100% correct answers Which question asked by the nur...

11 USD

0

0

Stress Management Final exam 2024 with 100 Percent correct answers
View Document

Stress Management Final exam 2024 with 100 Percent correct answers

  • SANCHY

    SANCHY

  • exam

Stress Management Final exam 2024 with 100 Percent correct answers – Download PDF...

10 USD

0

0

ATI MED SURG PROCTORED EXAM RETAKE 2023, 2024 | ALREADY GRADED A+
View Document

ATI MED SURG PROCTORED EXAM RETAKE 2023, 2024 | ALREADY GRADED A+

  • mumbi

    mumbi

  • ati

ATI MED SURG PROCTORED EXAM RETAKE 2023, 2024 | ALREADY GRADED A+ – Download PDF...

23 USD

0

0

Stress Management: Exam 1 2024 with 100 Percent correct answers
View Document

Stress Management: Exam 1 2024 with 100 Percent correct answers

  • SANCHY

    SANCHY

  • exam

Stress Management: Exam 1 2024 with 100 Percent correct answers – Download PDF...

12 USD

0

0

CRIM301 Final Exam Questions With Answers 100 percent Correct.
View Document

CRIM301 Final Exam Questions With Answers 100 percent Correct.

  • Brilliantscore

    Brilliantscore

  • questions & answers

CRIM301 Final Exam Questions With Answers 100 percent Correct. – Download PDF...

10 USD

0

0

TLETA Week 1 exam 2024 with 100 Percent correct answers
View Document

TLETA Week 1 exam 2024 with 100 Percent correct answers

  • SANCHY

    SANCHY

  • exam

TLETA Week 1 exam 2024 with 100 Percent correct answers – Download PDF...

11 USD

0

0

TLETA WEEK 11 TEST EXAM 2024 WITH 100 Percent CORRECT ANSWERS
View Document

TLETA WEEK 11 TEST EXAM 2024 WITH 100 Percent CORRECT ANSWERS

  • SANCHY

    SANCHY

  • exam

TLETA WEEK 11 TEST EXAM 2024 WITH 100 Percent CORRECT ANSWERS – Download PDF...

12 USD

0

0

TLETA  exam 2024 with 100 Percent correct answers
View Document

TLETA exam 2024 with 100 Percent correct answers

  • SANCHY

    SANCHY

  • exam

TLETA exam 2024 with 100 Percent correct answers – Download PDF...

11 USD

0

0

CRIM 301 Exam 1, chapter 1-6 With Answers Graded A+.
View Document

CRIM 301 Exam 1, chapter 1-6 With Answers Graded A+.

  • Brilliantscore

    Brilliantscore

  • questions & answers

CRIM 301 Exam 1, chapter 1-6 With Answers Graded A+....

12 USD

0

0

crim 301- exam 1 - chapter 1 Questions With Answers 100% Correct.
View Document

crim 301- exam 1 - chapter 1 Questions With Answers 100% Correct.

  • Brilliantscore

    Brilliantscore

  • questions & answers

crim 301- exam 1 - chapter 1 Questions With Answers 100% Correct....

9 USD

0

0

TSI Assessment Practice exam 2024 with 100 Percent correct answers
View Document

TSI Assessment Practice exam 2024 with 100 Percent correct answers

  • SANCHY

    SANCHY

  • exam

TSI Assessment Practice exam 2024 with 100 Percent correct answers – Download PDF...

12 USD

0

0

TSI Math exam 2024 with 100 Percent correct answers
View Document

TSI Math exam 2024 with 100 Percent correct answers

  • SANCHY

    SANCHY

  • exam

TSI Math exam 2024 with 100 Percent correct answers – Download PDF...

11 USD

0

0

TSI Math Test exam 2024 with 100 Percent correct answers
View Document

TSI Math Test exam 2024 with 100 Percent correct answers

  • SANCHY

    SANCHY

  • exam

TSI Math Test exam 2024 with 100 Percent correct answers – Download PDF...

11 USD

0

0

CA Property and Casualty Insurance Practice Exam With Answers 101% Correct.
View Document

CA Property and Casualty Insurance Practice Exam With Answers 101% Correct.

  • Brilliantscore

    Brilliantscore

  • questions & answers

CA Property and Casualty Insurance Practice Exam With Answers 101% Correct....

10 USD

0

0

California Property and Casualty Exam With Complete Solutions.
View Document

California Property and Casualty Exam With Complete Solutions.

  • Brilliantscore

    Brilliantscore

  • questions & answers

California Property and Casualty Exam With Complete Solutions....

12 USD

0

0

California Property and Casualty Insurance Exam With Complete Solutions.
View Document

California Property and Casualty Insurance Exam With Complete Solutions.

  • Brilliantscore

    Brilliantscore

  • questions & answers

California Property and Casualty Insurance Exam With Complete Solutions....

9 USD

0

0

california property and casualty exam with answers 100% correct.
View Document

california property and casualty exam with answers 100% correct.

  • Brilliantscore

    Brilliantscore

  • questions & answers

california property and casualty exam with answers 100% correct....

13 USD

0

0

CA Adjusters License PSI Exam Questions with Completer Solutions.
View Document

CA Adjusters License PSI Exam Questions with Completer Solutions.

  • Brilliantscore

    Brilliantscore

  • questions & answers

CA Adjusters License PSI Exam Questions with Completer Solutions....

11 USD

0

0

PSI Exam Property and Casualty Exam With Complete Solutions.
View Document

PSI Exam Property and Casualty Exam With Complete Solutions.

  • Brilliantscore

    Brilliantscore

  • questions & answers

PSI Exam Property and Casualty Exam With Complete Solutions....

9 USD

0

0

CA PSI Site - Life, Accident and Health Agent Examination with Answers.
View Document

CA PSI Site - Life, Accident and Health Agent Examination with Answers.

  • Brilliantscore

    Brilliantscore

  • questions & answers

CA PSI Site - Life, Accident and Health Agent Examination with Answers....

10 USD

0

0

UCI BIO 93 Final exam 2024 with 100 Percent correct answers
View Document

UCI BIO 93 Final exam 2024 with 100 Percent correct answers

  • SANCHY

    SANCHY

  • exam

UCI BIO 93 Final exam 2024 with 100 Percent correct answers – Download PDF...

10 USD

0

0

UCI Biology 93 Midterm 2  exam 2024 with 100 Percent correct answers
View Document

UCI Biology 93 Midterm 2 exam 2024 with 100 Percent correct answers

  • SANCHY

    SANCHY

  • exam

UCI Biology 93 Midterm 2 exam 2024 with 100 Percent correct answers – Download PDF...

11 USD

0

0

USMLE step 3 exam 2024 with 100 Percent correct answers
View Document

USMLE step 3 exam 2024 with 100 Percent correct answers

  • SANCHY

    SANCHY

  • exam

USMLE step 3 exam 2024 with 100 Percent correct answers – Download PDF...

12 USD

0

0

USMLE Step 3 High Yield  exam 2024 with 100 Percent correct answers
View Document

USMLE Step 3 High Yield exam 2024 with 100 Percent correct answers

  • SANCHY

    SANCHY

  • exam

USMLE Step 3 High Yield exam 2024 with 100 Percent correct answers – Download PDF...

10 USD

0

0

2023-2024 NURS 611|NURS 611 EXAM 4 PATHO 2 DIFFERENT VERSIONS COMBINED WITH QUESTIONS AND CORRECT VERIFIED ANSWERS INCLUSIVE OF RATIONALE RATED A+{MARYVILLE UNIVERSITY}|NEW!!
View Document

2023-2024 NURS 611|NURS 611 EXAM 4 PATHO 2 DIFFERENT VERSIONS COMBINED WITH QUESTIONS AND CORRECT VERIFIED ANSWERS INCLUSIVE OF RATIONALE RATED A+{MARYVILLE UNIVERSITY}|NEW!!

  • tutormuthoni

    tutormuthoni

  • questions & answers

2023-2024 NURS 611|NURS 611 EXAM 4 PATHO 2 DIFFERENT VERSIONS COMBINED WITH QUESTIONS AND CORRECT VERIFIED ANSWERS INCLU...

40 USD

0

0

USMLE Step 3 Review exam 2024 with 100 Percent correct answers
View Document

USMLE Step 3 Review exam 2024 with 100 Percent correct answers

  • SANCHY

    SANCHY

  • exam

USMLE Step 3 Review exam 2024 with 100 Percent correct answers – Download PDF...

10 USD

0

0

USMLE Step 3 – Psychiatry exam 2024 with 100 Percent correct answers
View Document

USMLE Step 3 – Psychiatry exam 2024 with 100 Percent correct answers

  • SANCHY

    SANCHY

  • exam

USMLE Step 3 – Psychiatry exam 2024 with 100 Percent correct answers – Download PDF...

12 USD

0

0

VATI Mental Health exam 2024 with 100 Percent correct answers
View Document

VATI Mental Health exam 2024 with 100 Percent correct answers

  • SANCHY

    SANCHY

  • ati

VATI Mental Health exam 2024 with 100 Percent correct answers – Download PDF...

12 USD

0

0

VATI Nursing for the Child Assessment exam 2024 with 100% correct answers
View Document

VATI Nursing for the Child Assessment exam 2024 with 100% correct answers

  • SANCHY

    SANCHY

  • ati

VATI Nursing for the Child Assessment exam 2024 with 100% correct answers...

10 USD

0

0

VATI RN Maternal Newborn exam 2024 with 100 Percent correct answers
View Document

VATI RN Maternal Newborn exam 2024 with 100 Percent correct answers

  • SANCHY

    SANCHY

  • ati

VATI RN Maternal Newborn exam 2024 with 100 Percent correct answers – Download PDF...

10 USD

0

0

ATI comprehensive predictor exam 2024 with 100 Percent correct answers
View Document

ATI comprehensive predictor exam 2024 with 100 Percent correct answers

  • SANCHY

    SANCHY

  • ati

ATI comprehensive predictor exam 2024 with 100 Percent correct answers – Download PDF...

11 USD

0

0

ATI Content Mastery Exam 2024 with 100 Percent correct answers
View Document

ATI Content Mastery Exam 2024 with 100 Percent correct answers

  • SANCHY

    SANCHY

  • ati

ATI Content Mastery Exam 2024 with 100 Percent correct answers – Download PDF...

10 USD

0

0

ATI exam 2024 with 100 Percent correct answers
View Document

ATI exam 2024 with 100 Percent correct answers

  • SANCHY

    SANCHY

  • ati

ATI exam 2024 with 100 Percent correct answers – Download PDF...

10 USD

0

0

ATI fundamental exam B 2024 with 100 Percent correct answers
View Document

ATI fundamental exam B 2024 with 100 Percent correct answers

  • SANCHY

    SANCHY

  • ati

ATI fundamental exam B 2024 with 100 Percent correct answers – Download PDF...

6 USD

0

0

ATI Fundamentals Practice Test B exam 2024 with 100% correct answers
View Document

ATI Fundamentals Practice Test B exam 2024 with 100% correct answers

  • SANCHY

    SANCHY

  • ati

ATI Fundamentals Practice Test B exam 2024 with 100% correct answers...

10 USD

0

0

ATI fundamentals practice test B exam 2024 with 100% correct answers
View Document

ATI fundamentals practice test B exam 2024 with 100% correct answers

  • SANCHY

    SANCHY

  • ati

ATI fundamentals practice test B exam 2024 with 100% correct answers...

10 USD

0

0

ATI RN Fundamentals Practice B exam 2024 with 100 Percent correct answers
View Document

ATI RN Fundamentals Practice B exam 2024 with 100 Percent correct answers

  • SANCHY

    SANCHY

  • ati

ATI RN Fundamentals Practice B exam 2024 with 100 Percent correct answers – Download PDF...

10 USD

0

0

UCONN ECE Physics Final Exam 2024
View Document

UCONN ECE Physics Final Exam 2024

  • Clinton

    Clinton

  • exam

UCONN ECE Physics Final Exam 2024 – Download PDF...

12 USD

0

0

UCONN ECE Biology 1107 Final Exam 2024
View Document

UCONN ECE Biology 1107 Final Exam 2024

  • Clinton

    Clinton

  • exam

UCONN ECE Biology 1107 Final Exam 2024 – Download PDF...

15 USD

0

1

IB Math and Analysis SL Final Exam 2024
View Document

IB Math and Analysis SL Final Exam 2024

  • Clinton

    Clinton

  • exam

IB Math and Analysis SL Final Exam 2024 – Download PDF...

12 USD

0

0

HESI RN FUNDAMENTALS EXAM | 3 VERSIONS COMBINED(Verified answers) Graded A+100% Complete HESI RN FUNDAMENTALS EXAM | 3 VERSIONS COMBINED (2024 Updated)
View Document

HESI RN FUNDAMENTALS EXAM | 3 VERSIONS COMBINED(Verified answers) Graded A+100% Complete HESI RN FUNDAMENTALS EXAM | 3 VERSIONS COMBINED (2024 Updated)

  • beatricemwash

    beatricemwash

  • hesi

HESI RN FUNDAMENTALS EXAM | 3 VERSIONS COMBINED(Verified answers) Graded A+100% Complete HESI RN FUNDAMENTALS EXAM | 3 V...

13 USD

0

0

SUPPLY CHAIN EXAMINATION GUIDE (SCH4801)
View Document

SUPPLY CHAIN EXAMINATION GUIDE (SCH4801)

  • MUZAVAZI

    MUZAVAZI

  • test bank

SUPPLY CHAIN EXAMINATION GUIDE (SCH4801)...

7 USD

0

0

(Test Bank) Denise G. Anderson, Sarah N. Salm, Deborah P. Allen - Nester’s Microbiology_ A Human Perspective-McGraw-Hill (2015)
View Document

(Test Bank) Denise G. Anderson, Sarah N. Salm, Deborah P. Allen - Nester’s Microbiology_ A Human Perspective-McGraw-Hill (2015)

  • SAMUEL

    SAMUEL

  • shadow health

(Test Bank) Denise G. Anderson, Sarah N. Salm, Deborah P. Allen - Nester’s Microbiology_ A Human Perspective-McGraw-Hi...

23 USD

0

0

SCIENCE 29 ADVANCED PRACTICE Seidels Guide to Physical Examination 9th Edition Ball TEST BANK
View Document

SCIENCE 29 ADVANCED PRACTICE Seidels Guide to Physical Examination 9th Edition Ball TEST BANK

  • Kiboi

    Kiboi

  • questions & answers

SCIENCE 29 ADVANCED PRACTICE Seidels Guide to Physical Examination 9th Edition Ball TEST BANK – Download PDF...

25 USD

0

0

PSYC 510 Exam 2 - Questions and Answers
View Document

PSYC 510 Exam 2 - Questions and Answers

  • Jager

    Jager

  • questions & answers

PSYC 510 Exam 2 - Questions and Answers...

17 USD

0

0

PSYC 510 Exam 1 - Questions and Answers
View Document

PSYC 510 Exam 1 - Questions and Answers

  • Jager

    Jager

  • questions & answers

PSYC 510 Exam 1 - Questions and Answers...

17 USD

0

0

HCM 425 Final Exam - Questions and Answers
View Document

HCM 425 Final Exam - Questions and Answers

  • Jager

    Jager

  • questions & answers

HCM 425 Final Exam - Questions and Answers...

13 USD

0

0

HCM 425 Midterm Exam - Questions and Answers
View Document

HCM 425 Midterm Exam - Questions and Answers

  • Jager

    Jager

  • questions & answers

HCM 425 Midterm Exam - Questions and Answers...

13 USD

0

0

NSG 6005 Adv Pharm FINAL EXAM TEST BANK QUESTIONS AND ANSWERS
View Document

NSG 6005 Adv Pharm FINAL EXAM TEST BANK QUESTIONS AND ANSWERS

  • Kiboi

    Kiboi

  • questions & answers

NSG 6005 Adv Pharm FINAL EXAM TEST BANK QUESTIONS AND ANSWERS...

25 USD

0

0

HESI RN EXIT EXAM-EXAM PACKCOMBINED FROM 2021,2022,2023 ACTUAL EXAMS BEST FOR 2022 EXIT EXAM REVIEW
View Document

HESI RN EXIT EXAM-EXAM PACKCOMBINED FROM 2021,2022,2023 ACTUAL EXAMS BEST FOR 2022 EXIT EXAM REVIEW

  • Kiboi

    Kiboi

  • questions & answers

HESI RN EXIT EXAM-EXAM PACKCOMBINED FROM 2021,2022,2023 ACTUAL EXAMS BEST FOR 2022 EXIT EXAM REVIEW...

25 USD

0

0

HESI PN EXIX EXAM V1 2023 TEST BANK 160 QUESTIONS WITH ANSWERS ACTUAL EXAM UPDATED VERSION
View Document

HESI PN EXIX EXAM V1 2023 TEST BANK 160 QUESTIONS WITH ANSWERS ACTUAL EXAM UPDATED VERSION

  • Kiboi

    Kiboi

  • questions & answers

HESI PN EXIX EXAM V1 2023 TEST BANK 160 QUESTIONS WITH ANSWERS ACTUAL EXAM UPDATED VERSION...

25 USD

0

0

HESI EXIT RN EXAM OVER 700 QUESTIONS, ANSWERS RATIONALE NEW UPDATE , A GRADED DOCUMENT
View Document

HESI EXIT RN EXAM OVER 700 QUESTIONS, ANSWERS RATIONALE NEW UPDATE , A GRADED DOCUMENT

  • Kiboi

    Kiboi

  • questions & answers

HESI EXIT RN EXAM OVER 700 QUESTIONS, ANSWERS RATIONALE NEW UPDATE , A GRADED DOCUMENT...

25 USD

0

0

RN ATI MENTAL HEALTH EXAM WITH NGN 2023
View Document

RN ATI MENTAL HEALTH EXAM WITH NGN 2023

  • studybuddy

    studybuddy

  • ati

RN ATI MENTAL HEALTH EXAM WITH NGN 2023...

12 USD

0

0

ATI PN Pharmacology Proctored Exam 2024
View Document

ATI PN Pharmacology Proctored Exam 2024

  • studybuddy

    studybuddy

  • ati

ATI PN Pharmacology Proctored Exam 2024...

10 USD

0

0

2019 | 2020 | 2021 ATI FUNDAMENTALS PROCTORED EXAM RETAKE GUIDE COMPLETE QUESTIONS AND ANSWERS|ALREDYGRADED A+.
View Document

2019 | 2020 | 2021 ATI FUNDAMENTALS PROCTORED EXAM RETAKE GUIDE COMPLETE QUESTIONS AND ANSWERS|ALREDYGRADED A+.

  • mumbi

    mumbi

  • hesi

Revise the ATI Fundamentals Proctored Exam with this complete retake guide for 2019, 2020, and 2021. Get top-tier, A+ gr...

23 USD

0

0

CREST CPSA EXAM 300 QUESTIONS AND CORRECT ANSWERS LATEST (VERIFIED ANSWERS)
View Document

CREST CPSA EXAM 300 QUESTIONS AND CORRECT ANSWERS LATEST (VERIFIED ANSWERS)

  • mumbi

    mumbi

  • nclex

CREST CPSA EXAM 300 QUESTIONS AND CORRECT ANSWERS LATEST (VERIFIED ANSWERS)...

21 USD

0

0

CREST CPSA EXAM 300 QUESTIONS AND CORRECT ANSWERS LATEST (VERIFIED ANSWERS)
View Document

CREST CPSA EXAM 300 QUESTIONS AND CORRECT ANSWERS LATEST (VERIFIED ANSWERS)

  • SAMUEL

    SAMUEL

  • nclex

CREST CPSA EXAM 300 QUESTIONS AND CORRECT ANSWERS LATEST (VERIFIED ANSWERS)...

21 USD

0

0

ATI PHARMACOLOGY 2019 PROCTORED EXAM-REVISED 100 Percent CORRECT ANSWERS. ALREADY GRADED A+
View Document

ATI PHARMACOLOGY 2019 PROCTORED EXAM-REVISED 100 Percent CORRECT ANSWERS. ALREADY GRADED A+

  • SAMUEL

    SAMUEL

  • ati proctored

ATI PHARMACOLOGY 2019 PROCTORED EXAM-REVISED 100 Percent CORRECT ANSWERS. ALREADY GRADED A+ – Download PDF...

21 USD

0

0

100 Percent Complete (Verified answers) Graded A+ NURS-6630N Week 11 Final Exam
View Document

100 Percent Complete (Verified answers) Graded A+ NURS-6630N Week 11 Final Exam

  • beatricemwash

    beatricemwash

  • questions & answers

100 Percent Complete (Verified answers) Graded A+ NURS-6630N Week 11 Final Exam – Download PDF...

13 USD

0

0

BEA 674 Chapter 5 Discrete Probability Distributions EXAM 100%  CORRECT
View Document

BEA 674 Chapter 5 Discrete Probability Distributions EXAM 100% CORRECT

  • Professor

    Professor

  • exam

BEA 674 Chapter 5 Discrete Probability Distributions EXAM 100% CORRECT...

9 USD

0

0

NUR 265 Literally Exam 3 SOLVED The nurse is caring for a client with AIDS who has just been diagnosed with cryptococcal meningitis
View Document

NUR 265 Literally Exam 3 SOLVED The nurse is caring for a client with AIDS who has just been diagnosed with cryptococcal meningitis

  • Gradepush

    Gradepush

  • exam

NUR 265 Literally Exam 3 SOLVED The nurse is caring for a client with AIDS who has just been diagnosed with cryptococcal...

7 USD

0

0

NUR 265 Literally Exam 4 Complete Solutions Nurse is working in the emergency department is triaging client who has presented with chest pain, shortness of breath, a productive cough, and reports night sweats
View Document

NUR 265 Literally Exam 4 Complete Solutions Nurse is working in the emergency department is triaging client who has presented with chest pain, shortness of breath, a productive cough, and reports night sweats

  • Gradepush

    Gradepush

  • exam

NUR 265 Literally Exam 4 Complete Solutions Nurse is working in the emergency department is triaging client who has pres...

10 USD

0

0

NUR265 Exam 2 Holmes Mock Answered 2024
View Document

NUR265 Exam 2 Holmes Mock Answered 2024

  • Gradepush

    Gradepush

  • exam

NUR265 Exam 2 Holmes Mock Answered 2024...

7 USD

0

0

NURS 211L ATI Peds Proctored Exam 2024
View Document

NURS 211L ATI Peds Proctored Exam 2024

  • Gradepush

    Gradepush

  • exam

NURS 211L ATI Peds Proctored Exam 2024...

7 USD

0

0

CRW2602 - Latest MCQ Exam Pack 2024 (VERIFIED)
View Document

CRW2602 - Latest MCQ Exam Pack 2024 (VERIFIED)

  • Gradepush

    Gradepush

  • exam

CRW2602 - Latest MCQ Exam Pack 2024 (VERIFIED)...

5 USD

0

0

ATI Pediatric Proctored Exam 2024 Complete Solutions
View Document

ATI Pediatric Proctored Exam 2024 Complete Solutions

  • Gradepush

    Gradepush

  • exam

ATI Pediatric Proctored Exam 2024 Complete Solutions...

15 USD

0

0

NUR2092 Health Assessment Exam 2
View Document

NUR2092 Health Assessment Exam 2

  • Gradepush

    Gradepush

  • exam

NUR2092 Health Assessment Exam 2...

10 USD

0

0

ATI Maternal Newborn Proctored Exam 2024 Complete Solutions
View Document

ATI Maternal Newborn Proctored Exam 2024 Complete Solutions

  • Gradepush

    Gradepush

  • exam

ATI Maternal Newborn Proctored Exam 2024 Complete Solutions...

15 USD

0

0

2024 Excel Crash Course Wall Street Prep Exam
View Document

2024 Excel Crash Course Wall Street Prep Exam

  • Gradepush

    Gradepush

  • exam

2024 Excel Crash Course Wall Street Prep Exam...

8 USD

0

0

Wall Street Prep Premium Exam Latest 2024
View Document

Wall Street Prep Premium Exam Latest 2024

  • Gradepush

    Gradepush

  • exam

Wall Street Prep Premium Exam Latest 2024...

7 USD

0

0

Portage BIOD 151 Final Exam 2024 Real Test
View Document

Portage BIOD 151 Final Exam 2024 Real Test

  • Gradepush

    Gradepush

  • exam

Portage BIOD 151 Final Exam 2024 Real Test...

10 USD

0

0

U.S. Forces Drivers Training Program for Europe Final Exam Questions and Answers 2024
View Document

U.S. Forces Drivers Training Program for Europe Final Exam Questions and Answers 2024

  • Gradepush

    Gradepush

  • exam

U.S. Forces Drivers Training Program for Europe Final Exam Questions and Answers 2024...

10 USD

0

0

ARMY BLACK BOARD LI/LE License Instructor, License Examiner Questions and Answers 2026 (Updated)
View Document

ARMY BLACK BOARD LI/LE License Instructor, License Examiner Questions and Answers 2026 (Updated)

  • Gradepush

    Gradepush

  • exam

Get Your Copy Now and Prepare with the ARMY BLACK BOARD LI/LE License Instructor, License Examiner li/le final exam Ques...

10 USD

0

7

Army License instructors, License Examiners Questions And Answers 2024
View Document

Army License instructors, License Examiners Questions And Answers 2024

  • Gradepush

    Gradepush

  • exam

Army License instructors, License Examiners Questions And Answers 2024...

10 USD

0

0

Wall Street Prep Analyzing Financial Reports Exam Questions and Answers 2024
View Document

Wall Street Prep Analyzing Financial Reports Exam Questions and Answers 2024

  • Gradepush

    Gradepush

  • exam

Wall Street Prep Analyzing Financial Reports Exam Questions and Answers 2024...

10 USD

0

0

ATI PN Leadership Exam Questions & Answers 2024 Update Version B
View Document

ATI PN Leadership Exam Questions & Answers 2024 Update Version B

  • Gradepush

    Gradepush

  • exam

ATI PN Leadership Exam Questions & Answers 2024 Update Version B...

15 USD

0

0

ATI NUTRITION PROCTORED EXAM |Verified
View Document

ATI NUTRITION PROCTORED EXAM |Verified

  • beatricemwash

    beatricemwash

  • questions & answers

ATI NUTRITION PROCTORED EXAM |Verified...

12 USD

0

0

ATI MEDICAL SURGICAL  EXAM  RETAKE  ACTUAL  TEST 2023 ALREADY GRADED A+
View Document

ATI MEDICAL SURGICAL EXAM RETAKE ACTUAL TEST 2023 ALREADY GRADED A+

  • SAMUEL

    SAMUEL

  • ati medical surgical

ATI MEDICAL SURGICAL EXAM RETAKE ACTUAL TEST 2023 ALREADY GRADED A+...

24 USD

0

0

ATI MEDICAL SURGICAL  EXAM  RETAKE  ACTUAL  TEST 2023 ALREADY GRADED A+
View Document

ATI MEDICAL SURGICAL EXAM RETAKE ACTUAL TEST 2023 ALREADY GRADED A+

  • mumbi

    mumbi

  • ati medical surgical

ATI MEDICAL SURGICAL EXAM RETAKE ACTUAL TEST 2023 ALREADY GRADED A+...

24 USD

0

0

2023 Critical Care Hesi Exit Exam (V2) Version 2 Test Bank Guide (ALL 55 Q&A) 100% Correct - Guaranteed A++ (Next Gen Format)ALREADY GRADED A+
View Document

2023 Critical Care Hesi Exit Exam (V2) Version 2 Test Bank Guide (ALL 55 Q&A) 100% Correct - Guaranteed A++ (Next Gen Format)ALREADY GRADED A+

  • SAMUEL

    SAMUEL

  • hesi

2023 Critical Care Hesi Exit Exam (V2) Version 2 Test Bank Guide (ALL 55 Q&A) 100% Correct - Guaranteed A++ (Next Gen Fo...

21 USD

0

0

2023 RELIAS DYSRHYTHMIA BASIC B 35 QUESTIONS WITH ANSWERS Course Relias dysrhythmia Institution Relias Dysrhythmia Document includes name of rhythm and picture of EKG strip from Relias exam - see description
View Document

2023 RELIAS DYSRHYTHMIA BASIC B 35 QUESTIONS WITH ANSWERS Course Relias dysrhythmia Institution Relias Dysrhythmia Document includes name of rhythm and picture of EKG strip from Relias exam - see description

  • mumbi

    mumbi

  • ati medical surgical

2023 RELIAS DYSRHYTHMIA BASIC B 35 QUESTIONS WITH ANSWERS Course Relias dysrhythmia Institution Relias Dysrhythmia Docum...

23 USD

0

0

Test Bank For Pediatric Physical Examination An Illustrated Handbook 3rd Edition Duderstadt
View Document

Test Bank For Pediatric Physical Examination An Illustrated Handbook 3rd Edition Duderstadt

  • Kiboi

    Kiboi

  • exam

Test Bank For Pediatric Physical Examination An Illustrated Handbook 3rd Edition Duderstadt...

25 USD

0

0

NUR 1211 Medical Surgical Final Exam- Questions and Answers; International College of Health Sciences 2023, 2024
View Document

NUR 1211 Medical Surgical Final Exam- Questions and Answers; International College of Health Sciences 2023, 2024

  • studypal

    studypal

  • questions & answers

NUR 1211 Medical Surgical Final Exam- Questions and Answers; International College of Health Sciences 2023, 2024 – Dow...

10 USD

0

0

CDIP Exam with Verified Answers 2024
View Document

CDIP Exam with Verified Answers 2024

  • K

    K

  • test bank

CDIP Exam with Verified Answers 2024...

10 USD

0

0

HESI RN Exit Exam 2024 All Versions with Complete Solutions
View Document

HESI RN Exit Exam 2024 All Versions with Complete Solutions

  • K

    K

  • questions & answers

HESI RN Exit Exam 2024 All Versions with Complete Solutions...

10 USD

0

0

ATLS 10 exam questions with answers (answers outlined!!) 2023
View Document

ATLS 10 exam questions with answers (answers outlined!!) 2023

  • studypal

    studypal

  • questions & answers

ATLS 10 exam questions with answers (answers outlined!!) 2023 – Download PDF...

10 USD

0

0

2023 BIOD 151 All Lab exams - BIOD 151 All Lab exams with solutions.
View Document

2023 BIOD 151 All Lab exams - BIOD 151 All Lab exams with solutions.

  • studypal

    studypal

  • questions & answers

2023 BIOD 151 All Lab exams - BIOD 151 All Lab exams with solutions. – Download PDF...

14 USD

0

0

NRCME Study Sheet Exam Questions and Correct Answers (Complete Solution) Graded A+
View Document

NRCME Study Sheet Exam Questions and Correct Answers (Complete Solution) Graded A+

  • studypal

    studypal

  • questions & answers

NRCME Study Sheet Exam Questions and Correct Answers (Complete Solution) Graded A+ – Download PDF...

12 USD

0

0

NR509 Final Exam Practice Questions and Answers, NR 509 2024
View Document

NR509 Final Exam Practice Questions and Answers, NR 509 2024

  • Gradepush

    Gradepush

  • exam

NR509 Final Exam Practice Questions and Answers, NR 509 2024...

10 USD

0

0

NRCME Exam Comprehensive Review for Already Graded A+ 2023
View Document

NRCME Exam Comprehensive Review for Already Graded A+ 2023

  • studypal

    studypal

  • questions & answers

NRCME Exam Comprehensive Review for Already Graded A+ 2023...

14 USD

0

0

NRCME-National Registry of Certified Medical Examiners | FMCSA Question Bank with all Answers 100% Correct 2023
View Document

NRCME-National Registry of Certified Medical Examiners | FMCSA Question Bank with all Answers 100% Correct 2023

  • studypal

    studypal

  • questions & answers

NRCME-National Registry of Certified Medical Examiners | FMCSA Question Bank with all Answers 100% Correct 2023...

14 USD

0

0

BIOD 152 Lab 3 Exam Answers(40 out of 40 Score)
View Document

BIOD 152 Lab 3 Exam Answers(40 out of 40 Score)

  • studypal

    studypal

  • questions & answers

BIOD 152 Lab 3 Exam Answers(40 out of 40 Score)...

9 USD

0

0

Portage Learning BIOD 151 A&P 1 Final Exam Answers
View Document

Portage Learning BIOD 151 A&P 1 Final Exam Answers

  • studypal

    studypal

  • questions & answers

Portage Learning BIOD 151 A&P 1 Final Exam Answers...

10 USD

0

0

NR509 Final Exam Questions and Answers 2026 (Real Test)
View Document

NR509 Final Exam Questions and Answers 2026 (Real Test)

  • tutorvalentine

    tutorvalentine

  • exam

NR509 Final Exam Questions and Answers 2025 (Real Test)...

10 USD

0

0

NR 509 Final Exam Study Guide 2026
View Document

NR 509 Final Exam Study Guide 2026

  • tutorvalentine

    tutorvalentine

  • exam

NR 509 Final Exam Study Guide 2025...

10 USD

0

0

Fisdap EMT Medical Exam with Verified Answers 2026
View Document

Fisdap EMT Medical Exam with Verified Answers 2026

  • Opati-Kaka

    Opati-Kaka

  • exam

Fisdap EMT Medical Exam with Verified Answers 2025...

8 USD

0

0

Comprehensive Module 2 Final Exam Part 1 2024 (Answered)
View Document

Comprehensive Module 2 Final Exam Part 1 2024 (Answered)

  • mentor2000

    mentor2000

  • exam

Comprehensive Module 2 Final Exam Part 1 2024 (Answered)...

10 USD

0

0

NURS-308 Test 1 Exam Questions with Correct Answers
View Document

NURS-308 Test 1 Exam Questions with Correct Answers

  • TutorManu

    TutorManu

  • questions & answers

NURS-308 Test 1 Exam Questions with Correct Answers – Download PDF...

13 USD

0

0

ADULT MED SURG RN 2023, RN Adult Medical Surgical Online Practice ACTUAL EXAM 90+ QUESTIONS AND CORRECT DETAILED ANSWERS (VERIFIED ASWERS) | ALREADY GRADED A+.
View Document

ADULT MED SURG RN 2023, RN Adult Medical Surgical Online Practice ACTUAL EXAM 90+ QUESTIONS AND CORRECT DETAILED ANSWERS (VERIFIED ASWERS) | ALREADY GRADED A+.

  • TEXTWIZARD

    TEXTWIZARD

  • questions & answers

ADULT MED SURG RN 2023, RN Adult Medical Surgical Online Practice ACTUAL EXAM 90+ QUESTIONS AND CORRECT DETAILED ANSWERS...

18 USD

0

0

NURS 6501 Midterm Exam Study Guide 2026
View Document

NURS 6501 Midterm Exam Study Guide 2026

  • tutorvalentine

    tutorvalentine

  • exam

NURS 6501 Midterm Exam Study Guide 2025...

11 USD

0

0

NEIEP 300 Final Exam 2026 (Answered)
View Document

NEIEP 300 Final Exam 2026 (Answered)

  • tutorvalentine

    tutorvalentine

  • exam

NEIEP 300 Final Exam 2025 (Answered)...

7 USD

0

0

Midterm Exam NURS 6521 Review Test Submission Exam - Week 7
View Document

Midterm Exam NURS 6521 Review Test Submission Exam - Week 7

  • tutorvalentine

    tutorvalentine

  • exam

Midterm Exam NURS 6521 Review Test Submission Exam - Week 7...

7 USD

0

0

NR 599 WEEK 4 MIDTERM EXAM (FORM A) LATEST  2023-2024 NR599 WEEK 4 ACTUAL MIDTERM EXAM QUESTIONS AND CORRECT ANSWERS|AGRADE
View Document

NR 599 WEEK 4 MIDTERM EXAM (FORM A) LATEST 2023-2024 NR599 WEEK 4 ACTUAL MIDTERM EXAM QUESTIONS AND CORRECT ANSWERS|AGRADE

  • wiseman

    wiseman

  • questions & answers

NR 599 WEEK 4 MIDTERM EXAM (FORM A) LATEST 2023-2024 NR599 WEEK 4 ACTUAL MIDTERM EXAM QUESTIONS AND CORRECT ANSWERS|AGR...

18 USD

0

0

HESI PHARMACOLOGY EXAM 150 PRACTICE QUESTIONS AND  CORRECT VERIFIED ANSWERS WITH RATIONALES LATEST  UPDATES 2023-2024 | GUARANTEED PASS A+ (BEST DOCUMENT FOR EXAM PREPARATION)
View Document

HESI PHARMACOLOGY EXAM 150 PRACTICE QUESTIONS AND CORRECT VERIFIED ANSWERS WITH RATIONALES LATEST UPDATES 2023-2024 | GUARANTEED PASS A+ (BEST DOCUMENT FOR EXAM PREPARATION)

  • wiseman

    wiseman

  • hesi

HESI PHARMACOLOGY EXAM 150 PRACTICE QUESTIONS AND CORRECT VERIFIED ANSWERS WITH RATIONALES LATEST UPDATES 2023-2024 | ...

18 USD

0

0

ATI RN COMPREHENSIVE PREDICTOR 2023-2026 FORM B ALL  180 ACTUAL QUESTIONS WITH CORRECT ANSWERS (ACTUAL EXAM) | ALREADY GRADED A+
View Document

ATI RN COMPREHENSIVE PREDICTOR 2023-2026 FORM B ALL 180 ACTUAL QUESTIONS WITH CORRECT ANSWERS (ACTUAL EXAM) | ALREADY GRADED A+

  • wiseman

    wiseman

  • questions & answers

ATI RN COMPREHENSIVE PREDICTOR 2025 FORM B ALL 180 ACTUAL QUESTIONS WITH CORRECT ANSWERS (ACTUAL EXAM) | ALREADY GRADED...

14 USD

0

0

NR511 Week 8 Final Exam  Latest 2026 Advanced  Physical Assessment questions and correct detailed answers (Full Revised Exam)  Iatest Updates 2023 |Already Graded A+ (Actual Exam)
View Document

NR511 Week 8 Final Exam Latest 2026 Advanced Physical Assessment questions and correct detailed answers (Full Revised Exam) Iatest Updates 2023 |Already Graded A+ (Actual Exam)

  • wiseman

    wiseman

  • questions & answers

NR511 Week 8 Final Exam Latest 2025 Advanced Physical Assessment questions and correct detailed answers (Full Revised ...

20 USD

0

0

Rn HESI Fundamentals Exit Exam 2026 Fundamentals HESI RN Actual Exit Exam 2026 Real Questions And Correct Verified Answers With NGN Latest Updates 2026 | Guaranteed Pass A+ (Actual Exam Screenshot)
View Document

Rn HESI Fundamentals Exit Exam 2026 Fundamentals HESI RN Actual Exit Exam 2026 Real Questions And Correct Verified Answers With NGN Latest Updates 2026 | Guaranteed Pass A+ (Actual Exam Screenshot)

  • wiseman

    wiseman

  • hesi

RN HESI FUNDAMENTALS EXIT EXAM 2025 FUNDAMENTALS HESI RN ACTUAL EXIT EXAM 2025 REAL QUESTIONS AND CORRECT VERIFIED ANSW...

14 USD

0

0

NCLEX Mental Health Exam 2026 Complete  Real Questions And Well  Elaborated Answers With  Rationales New Updated  Version 2026 | Rated A+   (All Brand New!!)
View Document

NCLEX Mental Health Exam 2026 Complete Real Questions And Well Elaborated Answers With Rationales New Updated Version 2026 | Rated A+ (All Brand New!!)

  • wiseman

    wiseman

  • nclex

NCLEX MENTAL HEALTH EXAM 2025 NCLEX MENTAL HEALTH ACTUAL EXAM 2025 COMPLETE REAL QUESTIONS AND WELL ELABORATED ANSWER...

15 USD

0

0

RN ATI PHARMACOLOGY PROCTORED EXAM 2023 WITH NGN
View Document

RN ATI PHARMACOLOGY PROCTORED EXAM 2023 WITH NGN

  • TEXTWIZARD

    TEXTWIZARD

  • questions & answers

RN ATI PHARMACOLOGY PROCTORED EXAM 2023 WITH NGN...

25 USD

0

0

RN ATI PEDIATRIC PROCTORED EXAM 2023 WITH NGN
View Document

RN ATI PEDIATRIC PROCTORED EXAM 2023 WITH NGN

  • TEXTWIZARD

    TEXTWIZARD

  • questions & answers

RN ATI PEDIATRIC PROCTORED EXAM 2023 WITH NGN...

22 USD

0

0

RN ATI MENTAL HEALTH EXAM WITH NGN 2023
View Document

RN ATI MENTAL HEALTH EXAM WITH NGN 2023

  • TEXTWIZARD

    TEXTWIZARD

  • questions & answers

RN ATI MENTAL HEALTH EXAM WITH NGN 2023...

20 USD

0

0

RN ATI MATERNAL PROCTORED EXAM WITH NGN 2023
View Document

RN ATI MATERNAL PROCTORED EXAM WITH NGN 2023

  • TEXTWIZARD

    TEXTWIZARD

  • questions & answers

RN ATI MATERNAL PROCTORED EXAM WITH NGN 2023...

28 USD

0

0

RN ATI LEADERSHIP PROCTORED EXAM 2023 WITH NGN
View Document

RN ATI LEADERSHIP PROCTORED EXAM 2023 WITH NGN

  • TEXTWIZARD

    TEXTWIZARD

  • questions & answers

RN ATI LEADERSHIP PROCTORED EXAM 2023 WITH NGN...

28 USD

0

0

RN ATI FUNDAMENTALS OF NURSING PROCTORED EXAM 2023 WITH NGN
View Document

RN ATI FUNDAMENTALS OF NURSING PROCTORED EXAM 2023 WITH NGN

  • TEXTWIZARD

    TEXTWIZARD

  • questions & answers

RN ATI FUNDAMENTALS OF NURSING PROCTORED EXAM 2023 WITH NGN...

28 USD

0

0

RN ATI ADVANCED MEDICAL SURGICAL PROCTORED EXAM 2023 WITH NGN
View Document

RN ATI ADVANCED MEDICAL SURGICAL PROCTORED EXAM 2023 WITH NGN

  • TEXTWIZARD

    TEXTWIZARD

  • questions & answers

RN ATI ADVANCED MEDICAL SURGICAL PROCTORED EXAM 2023 WITH NGN...

29 USD

0

0

RN ATI ADULT MEDSURG PROCTORED EXAM 2023 WITH NGN QUESTION
View Document

RN ATI ADULT MEDSURG PROCTORED EXAM 2023 WITH NGN QUESTION

  • TEXTWIZARD

    TEXTWIZARD

  • questions & answers

RN ATI ADULT MEDSURG PROCTORED EXAM 2023 WITH NGN QUESTION...

28 USD

0

0

AVID Media Composer 101 Certification Exam LATEST ACTUAL EXAM ALL 300 QUESTIONS AND CORRECT DETAILED ANSWERS WITH RATIONALES (VERIFIED ANSWERS) |ALREADY GRADED A+
View Document

AVID Media Composer 101 Certification Exam LATEST ACTUAL EXAM ALL 300 QUESTIONS AND CORRECT DETAILED ANSWERS WITH RATIONALES (VERIFIED ANSWERS) |ALREADY GRADED A+

  • TEXTWIZARD

    TEXTWIZARD

  • questions & answers

AVID Media Composer 101 Certification Exam LATEST ACTUAL EXAM ALL 300 QUESTIONS AND CORRECT DETAILED ANSWERS WITH RATION...

16 USD

0

0

EPD EXAM LATEST ACTUAL EXAM 120 QUESTIONS AND CORRECT DETAILED ANSWERS WITH RATIONALES (VERIFIED ANSWERS) |ALREADY GRADED A+.
View Document

EPD EXAM LATEST ACTUAL EXAM 120 QUESTIONS AND CORRECT DETAILED ANSWERS WITH RATIONALES (VERIFIED ANSWERS) |ALREADY GRADED A+.

  • TEXTWIZARD

    TEXTWIZARD

  • questions & answers

EPD EXAM LATEST ACTUAL EXAM 120 QUESTIONS AND CORRECT DETAILED ANSWERS WITH RATIONALES (VERIFIED ANSWERS) |ALREADY GRADE...

15 USD

0

0

NSG 6435 FINAL EXAM NSG 6435 ACTUAL  FINAL EXAM 2023-2024 COMPLETE EXAM REAL  QUESTIONS AND WELL ELABORATED ANSWERS  A NEW UPDATED VERSION LATEST 2023 |  GUARANTEED A+
View Document

NSG 6435 FINAL EXAM NSG 6435 ACTUAL FINAL EXAM 2023-2024 COMPLETE EXAM REAL QUESTIONS AND WELL ELABORATED ANSWERS A NEW UPDATED VERSION LATEST 2023 | GUARANTEED A+

  • wiseman

    wiseman

  • questions & answers

NSG 6435 FINAL EXAM NSG 6435 ACTUAL FINAL EXAM 2023-2024 COMPLETE EXAM REAL QUESTIONS AND WELL ELABORATED ANSWERS A N...

10 USD

0

0

RN HESI Exit, HESI RN Exit Exam 2026 Complete 160 Real Questions and Correct Verified Answers (Actual exams) Latest Updates 2026 | Already Graded A+
View Document

RN HESI Exit, HESI RN Exit Exam 2026 Complete 160 Real Questions and Correct Verified Answers (Actual exams) Latest Updates 2026 | Already Graded A+

  • wiseman

    wiseman

  • hesi

RN HESI Exit, HESI RN Exit Exam 2025 Complete 160 Real Questions and Correct Verified Answers (Actual exams) Latest Upda...

15 USD

0

0

ATI PHARMACOLOGY PROCTORED 2019 MAIN EXAMS  VERSION A, B AND C REAL EXAM COMPLETE EXAM 210  QUESTIONS AND CORRECT ANSWERS WITH RATIONALES (A  NEW UPDATED VERSION) LATEST 2023 |ALL GRADED A+    (ACTUAL EXAM)
View Document

ATI PHARMACOLOGY PROCTORED 2019 MAIN EXAMS VERSION A, B AND C REAL EXAM COMPLETE EXAM 210 QUESTIONS AND CORRECT ANSWERS WITH RATIONALES (A NEW UPDATED VERSION) LATEST 2023 |ALL GRADED A+ (ACTUAL EXAM)

  • wiseman

    wiseman

  • ati

ATI PHARMACOLOGY PROCTORED 2019 MAIN EXAMS VERSION A, B AND C REAL EXAM COMPLETE EXAM 210 QUESTIONS AND CORRECT ANSWER...

18 USD

0

0

Fundamentals ATI Proctored Exam 2026 Real Exam with Actual Questions and Correct Answers | A Graded
View Document

Fundamentals ATI Proctored Exam 2026 Real Exam with Actual Questions and Correct Answers | A Graded

  • wiseman

    wiseman

  • questions & answers

Fundamentals ATI Proctored Exam 2025 Real Exam with Actual Questions and Correct Answers | A Graded...

15 USD

0

0

HESI EXIT RN Exam 2026 Version 7 (V7)  Complete Questions And Correct Verified Answers, 2026 HESI RN Exit  Exam, RN HESI EXIT Exam Version 7 Real  Exam Questions And Correct Detailed  Answers ( Actual Exam) Latest Updates 2026 | Guaranteed Pass A+
View Document

HESI EXIT RN Exam 2026 Version 7 (V7) Complete Questions And Correct Verified Answers, 2026 HESI RN Exit Exam, RN HESI EXIT Exam Version 7 Real Exam Questions And Correct Detailed Answers ( Actual Exam) Latest Updates 2026 | Guaranteed Pass A+

  • wiseman

    wiseman

  • questions & answers

HESI EXIT RN Exam 2025 Version 7 (V7) Complete Questions And Correct Verified Answers, 2025 HESI RN Exit Exam, RN HESI...

15 USD

0

0

NURS 615 PHARM Exam 4 Real Exam 2026 Questions And Correct Detailed Answers (Correct Verified Answers) Complete Exam Latest Updates 2026 |A Graded (Maryville University)
View Document

NURS 615 PHARM Exam 4 Real Exam 2026 Questions And Correct Detailed Answers (Correct Verified Answers) Complete Exam Latest Updates 2026 |A Graded (Maryville University)

  • wiseman

    wiseman

  • questions & answers

NURS 615 PHARM Exam 4 Real Exam 2025 Questions And Correct Detailed Answers (Correct Verified Answers) Complete Exam Lat...

18 USD

0

0

Latest SYE 6414 Final Exam 2026 | Correct A+ Answers
View Document

Latest SYE 6414 Final Exam 2026 | Correct A+ Answers

  • wiseman

    wiseman

  • questions & answers

SYE 6414 Final Exam 2025, ISYE 6414 Final Exam Real Exam Questions and Correct Verified Answers (Revised Exam) A New Upd...

12 USD

0

0

RN ATI Med-Surg Retake Exam 2026 | Real Questions & Verified NGN Answers
View Document

RN ATI Med-Surg Retake Exam 2026 | Real Questions & Verified NGN Answers

  • wiseman

    wiseman

  • questions & answers

RN ATI Med-Surg Retake Exam 25 Real Exam Questions and Correct Detailed Answers with NGN (Verified Answers) Latest Updat...

15 USD

0

0

ATI PEDIATRIC FINAL EXAM, ATI PEDIATRIC  ACTUAL FINAL EXAM 2023-2024 REAL EXAM    ALL 100 COMPLETE QUESTIONS AND CORRECT VERIFIED ANSWERS | GUARANTEED A+
View Document

ATI PEDIATRIC FINAL EXAM, ATI PEDIATRIC ACTUAL FINAL EXAM 2023-2024 REAL EXAM ALL 100 COMPLETE QUESTIONS AND CORRECT VERIFIED ANSWERS | GUARANTEED A+

  • wiseman

    wiseman

  • questions & answers

ATI PEDIATRIC FINAL EXAM, ATI PEDIATRIC ACTUAL FINAL EXAM 2023-2024 REAL EXAM ALL 100 COMPLETE QUESTIONS AND CORRECT...

18 USD

0

0

ATI RN VATI COMPREHENSIVE PREDICTOR 2019 FORM B NEW  VERSION LATEST UPDATES 2023 REAL QUESTIONS AND  CORRECT VERIFIED ANSWERS (ACTUAL EXAM) | GUARANTEED PASS A+
View Document

ATI RN VATI COMPREHENSIVE PREDICTOR 2019 FORM B NEW VERSION LATEST UPDATES 2023 REAL QUESTIONS AND CORRECT VERIFIED ANSWERS (ACTUAL EXAM) | GUARANTEED PASS A+

  • wiseman

    wiseman

  • questions & answers

ATI RN VATI COMPREHENSIVE PREDICTOR 2019 FORM B NEW VERSION LATEST UPDATES 2023 REAL QUESTIONS AND CORRECT VERIFIED AN...

18 USD

0

0

ALL HESI FUNDAMENTALS SPRING EXAM TEST BANK NEW UPDATED VERSION LATEST 20232024 REAL EXAM QUESTIONS AND CORRECT ANSWERS (VERIFIED ANSWERS) |RATED A+
View Document

ALL HESI FUNDAMENTALS SPRING EXAM TEST BANK NEW UPDATED VERSION LATEST 20232024 REAL EXAM QUESTIONS AND CORRECT ANSWERS (VERIFIED ANSWERS) |RATED A+

  • wiseman

    wiseman

  • test bank

ALL HESI FUNDAMENTALS SPRING EXAM TEST BANK NEW UPDATED VERSION LATEST 20232024 REAL EXAM QUESTIONS AND CORRECT ANSWERS ...

18 USD

0

0

TNCC 8TH EDITION (A NEW UPDATED VERSION) LATEST 2023-2024 ACTUAL EXAM WITH REAL QUESTIONS AND CORRECT VERIFIED ANSWERS (FULL REVISED EXAM) | ALREADY GRADED A+
View Document

TNCC 8TH EDITION (A NEW UPDATED VERSION) LATEST 2023-2024 ACTUAL EXAM WITH REAL QUESTIONS AND CORRECT VERIFIED ANSWERS (FULL REVISED EXAM) | ALREADY GRADED A+

  • wiseman

    wiseman

  • questions & answers

TNCC 8TH EDITION (A NEW UPDATED VERSION) LATEST 2023-2024 ACTUAL EXAM WITH REAL QUESTIONS AND CORRECT VERIFIED ANSWERS (...

18 USD

0

0

ATI Peds Retake Exam 2026 | Real Questions & Verified Answers for A+
View Document

ATI Peds Retake Exam 2026 | Real Questions & Verified Answers for A+

  • wiseman

    wiseman

  • questions & answers

ATI Peds Retake Exam 2025, Peds ATI Actual Retake Exam, 2025 ATI Peds Retake Exam Real Questions and Correct Answers (Ve...

15 USD

0

0

ATI RN ADULT MEDICAL SURGICAL PROCTORED  2019 EXAM WITH ALL FORMS 2022 VERSIONS  WITH REAL QUESTIONS AND CORRECT ANSWERS  (VERIFIED ANSWERS) A NEW UPDATED VERSION LATEST 2023   | ALL GRADED A+
View Document

ATI RN ADULT MEDICAL SURGICAL PROCTORED 2019 EXAM WITH ALL FORMS 2022 VERSIONS WITH REAL QUESTIONS AND CORRECT ANSWERS (VERIFIED ANSWERS) A NEW UPDATED VERSION LATEST 2023 | ALL GRADED A+

  • wiseman

    wiseman

  • questions & answers

ATI RN ADULT MEDICAL SURGICAL PROCTORED 2019 EXAM WITH ALL FORMS 2022 VERSIONS WITH REAL QUESTIONS AND CORRECT ANSWERS...

16 USD

0

0

ATI PN COMPREHENSIVE EXIT EXAM, PN COMPREHENSIVE ATI ACTUAL EXIT EXAM LATEST 2023-2024 REAL QUESTIONS AND CORRECT VERIFIED ANSWERS | ALREADY A GRADED
View Document

ATI PN COMPREHENSIVE EXIT EXAM, PN COMPREHENSIVE ATI ACTUAL EXIT EXAM LATEST 2023-2024 REAL QUESTIONS AND CORRECT VERIFIED ANSWERS | ALREADY A GRADED

  • wiseman

    wiseman

  • questions & answers

ATI PN COMPREHENSIVE EXIT EXAM, PN COMPREHENSIVE ATI ACTUAL EXIT EXAM LATEST 2023-2024 REAL QUESTIONS AND CORRECT VERIFI...

16 USD

0

0

APEA Predictor Exam 2026 | NR 603 Week 4 Actual Questions and Explained Answers
View Document

APEA Predictor Exam 2026 | NR 603 Week 4 Actual Questions and Explained Answers

  • wiseman

    wiseman

  • questions & answers

APEA PREDICTOR EXAM 2025 / NR 603 WEEK 4 APEA PREDICTOR ACTUAL EXAM 2025 QUESTIONS AND WELL ELABORATED ANSWERS (ANSWERS ...

18 USD

0

0

TNCC FINAL EXAM 2 (A NEW UPDATED VERSION)  LATEST 2023-2024 COMPLETE EXAM WITH ALL 100  REAL QUESTIONS AND WELL ELABORATED  ANSWERS | GUARANTEED PASS A+  (ACTUAL EXAM)
View Document

TNCC FINAL EXAM 2 (A NEW UPDATED VERSION) LATEST 2023-2024 COMPLETE EXAM WITH ALL 100 REAL QUESTIONS AND WELL ELABORATED ANSWERS | GUARANTEED PASS A+ (ACTUAL EXAM)

  • wiseman

    wiseman

  • questions & answers

TNCC FINAL EXAM 2 (A NEW UPDATED VERSION) LATEST 2023-2024 COMPLETE EXAM WITH ALL 100 REAL QUESTIONS AND WELL ELABORAT...

30 USD

0

0

TNCC EXAM TEST BANK ACTUAL TEST BANK 250+  COMPLETE QUESTIONS AND CORRECT VERIFIED ANSWERS LATEST 2023-2024 | RATED A+
View Document

TNCC EXAM TEST BANK ACTUAL TEST BANK 250+ COMPLETE QUESTIONS AND CORRECT VERIFIED ANSWERS LATEST 2023-2024 | RATED A+

  • wiseman

    wiseman

  • questions & answers

TNCC EXAM TEST BANK ACTUAL TEST BANK 250+ COMPLETE QUESTIONS AND CORRECT VERIFIED ANSWERS LATEST 2023-2024 | RATED A+...

18 USD

0

0

NR 293 ATI PHARMACOLOGY MIDTERM EXAM, ATI  PHARMACOLOGY MIDTERM EXAM REAL EXAM  QUESTIONS AND CORRECT DETAILED ANSWERS WITH  RATIONALES LATEST UPDATES 2023-2024 (VERIFIED  ANSWERS) ALREADY GRADED A+
View Document

NR 293 ATI PHARMACOLOGY MIDTERM EXAM, ATI PHARMACOLOGY MIDTERM EXAM REAL EXAM QUESTIONS AND CORRECT DETAILED ANSWERS WITH RATIONALES LATEST UPDATES 2023-2024 (VERIFIED ANSWERS) ALREADY GRADED A+

  • wiseman

    wiseman

  • questions & answers

NR 293 ATI PHARMACOLOGY MIDTERM EXAM, ATI PHARMACOLOGY MIDTERM EXAM REAL EXAM QUESTIONS AND CORRECT DETAILED ANSWERS W...

18 USD

0

0

NRNP 6665 MIDTERM EXAM , NRNP 6665 MIDTERM EXAM  LATEST 2023-2024 (ACTUAL EXAM) COMPLETE EXAM 100 REAL  QUESTIONS AND CORRECT DETAILED ANSWERS (FULL REVISED  EXAM) LATEST UPDATES 2023 | ALREADY GRADED A+
View Document

NRNP 6665 MIDTERM EXAM , NRNP 6665 MIDTERM EXAM LATEST 2023-2024 (ACTUAL EXAM) COMPLETE EXAM 100 REAL QUESTIONS AND CORRECT DETAILED ANSWERS (FULL REVISED EXAM) LATEST UPDATES 2023 | ALREADY GRADED A+

  • wiseman

    wiseman

  • questions & answers

NRNP 6665 MIDTERM EXAM , NRNP 6665 MIDTERM EXAM LATEST 2023-2024 (ACTUAL EXAM) COMPLETE EXAM 100 REAL QUESTIONS AND CO...

18 USD

0

0

NR 293 ATI PHARMACOLOGY FINAL EXAM A NEW UPDATED  VERSION LATEST 2023-2024 REAL EXAM QUESTION AND  CORRECT DETAILED ANSWERS WITH RATIONALES  (VERIFIED ANSWERS) ALREADY GRADED A
View Document

NR 293 ATI PHARMACOLOGY FINAL EXAM A NEW UPDATED VERSION LATEST 2023-2024 REAL EXAM QUESTION AND CORRECT DETAILED ANSWERS WITH RATIONALES (VERIFIED ANSWERS) ALREADY GRADED A

  • wiseman

    wiseman

  • questions & answers

NR 293 ATI PHARMACOLOGY FINAL EXAM A NEW UPDATED VERSION LATEST 2023-2024 REAL EXAM QUESTION AND CORRECT DETAILED ANSW...

18 USD

0

0

Tncc 9th Edition Exam / Tncc 9th Edition Real Exam Questions And Correct Detailed Answers (Well Ellaborated Answers) A New Updated Version Latest 2026-2026 Already Graded A+
View Document

Tncc 9th Edition Exam / Tncc 9th Edition Real Exam Questions And Correct Detailed Answers (Well Ellaborated Answers) A New Updated Version Latest 2026-2026 Already Graded A+

  • wiseman

    wiseman

  • questions & answers

Tncc 9th Edition Exam / Tncc 9th Edition Real Exam Questions And Correct Detailed Answers (Well Ellaborated Answers) A N...

18 USD

0

0

NATIONAL PESTICIDE APPLICATOR CERTIFICATION CORE  MANUAL PRACTICE EXAM REAL EXAM QUESTIONS AND  CORRECT DETAILED ANSWERS LATEST 2023-2024  (VERIFIED ANSWERS) ALREADY GRADED A+
View Document

NATIONAL PESTICIDE APPLICATOR CERTIFICATION CORE MANUAL PRACTICE EXAM REAL EXAM QUESTIONS AND CORRECT DETAILED ANSWERS LATEST 2023-2024 (VERIFIED ANSWERS) ALREADY GRADED A+

  • wiseman

    wiseman

  • questions & answers

NATIONAL PESTICIDE APPLICATOR CERTIFICATION CORE MANUAL PRACTICE EXAM REAL EXAM QUESTIONS AND CORRECT DETAILED ANSWERS...

18 USD

0

0

HESI A2 VERSION 2 (V2) BIOLOGY EXAM ACTUAL EXAM 2023-2024 WITH REAL QUESTIONS AND CORRECT VERIFIED ANSWERS WITH RATIONALES ( WELL  EXPLAINED ANSWERS) LATEST 2023-2024 | ALREADY  GRADED A+
View Document

HESI A2 VERSION 2 (V2) BIOLOGY EXAM ACTUAL EXAM 2023-2024 WITH REAL QUESTIONS AND CORRECT VERIFIED ANSWERS WITH RATIONALES ( WELL EXPLAINED ANSWERS) LATEST 2023-2024 | ALREADY GRADED A+

  • wiseman

    wiseman

  • questions & answers

HESI A2 VERSION 2 (V2) BIOLOGY EXAM ACTUAL EXAM 2023-2024 WITH REAL QUESTIONS AND CORRECT VERIFIED ANSWERS WITH RATIONAL...

18 USD

0

0

ATI TEAS 7 SCIENCE EXAM, TEAS 7 SCIENCE EXAM  LATEST 2023-2024 COMPLETE QUESTIONS WITH  CORRECT VERIFIED ANSWERS ( A NEW UPDATED  VERSION ) LATEST 2023 | ALREADY GRADED A+ ( ALL BRAND NEW!!)
View Document

ATI TEAS 7 SCIENCE EXAM, TEAS 7 SCIENCE EXAM LATEST 2023-2024 COMPLETE QUESTIONS WITH CORRECT VERIFIED ANSWERS ( A NEW UPDATED VERSION ) LATEST 2023 | ALREADY GRADED A+ ( ALL BRAND NEW!!)

  • wiseman

    wiseman

  • questions & answers

ATI TEAS 7 SCIENCE EXAM, TEAS 7 SCIENCE EXAM LATEST 2023-2024 COMPLETE QUESTIONS WITH CORRECT VERIFIED ANSWERS ( A NEW...

18 USD

0

0

ATI FUNDAMENTALS PROCTORED 2019 C , ATI  FUNDAMENTALS 2019C PROCTORED EXAM LATEST  2023-2024 ACTUAL EXAM QUESTIONS AND CORRECT DETAILED ANSWERS WITH RATIONALES (VERIFIED  ANSWERS) LATEST UPDATED VERSION 2023-2024  | GUARANTEED A+ ASSURED
View Document

ATI FUNDAMENTALS PROCTORED 2019 C , ATI FUNDAMENTALS 2019C PROCTORED EXAM LATEST 2023-2024 ACTUAL EXAM QUESTIONS AND CORRECT DETAILED ANSWERS WITH RATIONALES (VERIFIED ANSWERS) LATEST UPDATED VERSION 2023-2024 | GUARANTEED A+ ASSURED

  • wiseman

    wiseman

  • questions & answers

ATI FUNDAMENTALS PROCTORED 2019 C , ATI FUNDAMENTALS 2019C PROCTORED EXAM LATEST 2023-2024 ACTUAL EXAM QUESTIONS AND C...

18 USD

0

0

ATI RN MATERNAL NEWBORN PROCTORED EXAM, RN  ATI MATERNAL NEWBORN PROCTORED ACTUAL EXAM  LATEST 2023-2024 REAL EXAM QUESTIONS AND CORRECT  VERIFIED ANSWERS (NEW UPDATED VERSION) LATEST  2023-2024 | RATED A+ (BRAND NEW!!)
View Document

ATI RN MATERNAL NEWBORN PROCTORED EXAM, RN ATI MATERNAL NEWBORN PROCTORED ACTUAL EXAM LATEST 2023-2024 REAL EXAM QUESTIONS AND CORRECT VERIFIED ANSWERS (NEW UPDATED VERSION) LATEST 2023-2024 | RATED A+ (BRAND NEW!!)

  • wiseman

    wiseman

  • questions & answers

ATI RN MATERNAL NEWBORN PROCTORED EXAM, RN ATI MATERNAL NEWBORN PROCTORED ACTUAL EXAM LATEST 2023-2024 REAL EXAM QUEST...

18 USD

0

0

HESI MATH EXAM REAL QUESTIONS AND CORRECT  VERIFIED ANSWERS (ALL CORRECT) A NEW  UPDATED VERSION LATEST 2023-2024 | ALREADY GRADED A+
View Document

HESI MATH EXAM REAL QUESTIONS AND CORRECT VERIFIED ANSWERS (ALL CORRECT) A NEW UPDATED VERSION LATEST 2023-2024 | ALREADY GRADED A+

  • wiseman

    wiseman

  • questions & answers

HESI MATH EXAM REAL QUESTIONS AND CORRECT VERIFIED ANSWERS (ALL CORRECT) A NEW UPDATED VERSION LATEST 2023-2024 | ALRE...

18 USD

0

0

NR 601 Final Exam 2026 | Complete Real Questions & Verified Answers – Guaranteed Pass A+
View Document

NR 601 Final Exam 2026 | Complete Real Questions & Verified Answers – Guaranteed Pass A+

  • wiseman

    wiseman

  • questions & answers

NR 601 Final, NR 601 Final Exam Latest 2025 Complete Exam with Real Questions and Well Elaborated Answers (Correct Verif...

18 USD

0

0

BIOS 252 Comprehensive Exam Review 2026 | Real Exam Questions & Verified Answers (Revised Exam) – A New Updated Version – Latest 2026 | Already A Graded (Chamberlain University)
View Document

BIOS 252 Comprehensive Exam Review 2026 | Real Exam Questions & Verified Answers (Revised Exam) – A New Updated Version – Latest 2026 | Already A Graded (Chamberlain University)

  • wiseman

    wiseman

  • questions & answers

BIOS 252 Comprehensive Exam Review Latest 2025 Real Exam Questions and Correct Verified Answers (Revised Exam) A New Upd...

16 USD

0

0

NR 224 FUNDAMENTALS FINAL EXAM, NR224  FUNDAMENTALS FINAL EXAM LATEST 2023-2024 (actual exam) REAL EXAM ALL 100 QUESTIONS WITH  CORRECT VERIFIED ANSWERS WITH RATIONALES A  NEW UPDATED VERSION LATEST 2023-2024 | ALREADY GRADED A+ (REVISED EXAM)
View Document

NR 224 FUNDAMENTALS FINAL EXAM, NR224 FUNDAMENTALS FINAL EXAM LATEST 2023-2024 (actual exam) REAL EXAM ALL 100 QUESTIONS WITH CORRECT VERIFIED ANSWERS WITH RATIONALES A NEW UPDATED VERSION LATEST 2023-2024 | ALREADY GRADED A+ (REVISED EXAM)

  • wiseman

    wiseman

  • questions & answers

NR 224 FUNDAMENTALS FINAL EXAM, NR224 FUNDAMENTALS FINAL EXAM LATEST 2023-2024 (actual exam) REAL EXAM ALL 100 QUESTION...

18 USD

0

0

ATI PN MANAGEMENT PROCTORED EXAM , PN MANAGEMENT  ATI PROCTORED EXAM LATEST 2023-2024 REAL QUESTIONS AND  CORRECT VERIFIED ANSWERS (ACTUAL EXAM) NEW UPDATED VERSION LATEST 2023-2024 | GUARANTEED PASS A+
View Document

ATI PN MANAGEMENT PROCTORED EXAM , PN MANAGEMENT ATI PROCTORED EXAM LATEST 2023-2024 REAL QUESTIONS AND CORRECT VERIFIED ANSWERS (ACTUAL EXAM) NEW UPDATED VERSION LATEST 2023-2024 | GUARANTEED PASS A+

  • wiseman

    wiseman

  • questions & answers

ATI PN MANAGEMENT PROCTORED EXAM , PN MANAGEMENT ATI PROCTORED EXAM LATEST 2023-2024 REAL QUESTIONS AND CORRECT VERIFI...

18 USD

0

0

ATI MED SURG PROCTORED EXAM, ATI MED SURG PROCTORED  EXAM REAL EXAM QUESTIONS AND CORRECT DETAILED  ANSWERS LATEST UPDATES 2023-2024 (VERIFIED ANSWERS) |  ALREADY GRADED A+
View Document

ATI MED SURG PROCTORED EXAM, ATI MED SURG PROCTORED EXAM REAL EXAM QUESTIONS AND CORRECT DETAILED ANSWERS LATEST UPDATES 2023-2024 (VERIFIED ANSWERS) | ALREADY GRADED A+

  • wiseman

    wiseman

  • questions & answers

ATI MED SURG PROCTORED EXAM, ATI MED SURG PROCTORED EXAM REAL EXAM QUESTIONS AND CORRECT DETAILED ANSWERS LATEST UPDAT...

18 USD

0

0

ATI RN MATERNAL NEWBORN PROCTORED EXAM 2019 NGN  ATI RN MATERNAL NEWBORN PROCTORED 2019 A NEW  UPDATED VERSION 2023-2024 QUESTIONS AND CORRECT  DETAILED ANSWERS|GUARANTEED PASS A+(REVISED FULL  VERSION)
View Document

ATI RN MATERNAL NEWBORN PROCTORED EXAM 2019 NGN ATI RN MATERNAL NEWBORN PROCTORED 2019 A NEW UPDATED VERSION 2023-2024 QUESTIONS AND CORRECT DETAILED ANSWERS|GUARANTEED PASS A+(REVISED FULL VERSION)

  • wiseman

    wiseman

  • questions & answers

ATI RN MATERNAL NEWBORN PROCTORED EXAM 2019 NGN ATI RN MATERNAL NEWBORN PROCTORED 2019 A NEW UPDATED VERSION 2023-2024...

16 USD

0

0

ATI MENTAL HEALTH PROCTORED 2019A ACTUAL EXAM  REAL EXAM QUESTIONS AND CORRECT DETAILED  ANSWERS (CORRECT VERIFIED ANSWERS) A NEW UPDATED  VERSION LATEST 2023-2024 | GUARANTEED PASS A+   (ALL BRAND NEW)
View Document

ATI MENTAL HEALTH PROCTORED 2019A ACTUAL EXAM REAL EXAM QUESTIONS AND CORRECT DETAILED ANSWERS (CORRECT VERIFIED ANSWERS) A NEW UPDATED VERSION LATEST 2023-2024 | GUARANTEED PASS A+ (ALL BRAND NEW)

  • wiseman

    wiseman

  • questions & answers

ATI MENTAL HEALTH PROCTORED 2019A ACTUAL EXAM REAL EXAM QUESTIONS AND CORRECT DETAILED ANSWERS (CORRECT VERIFIED ANSWE...

18 USD

0

0

AAPC CPC FINAL AAPC CPC FINAL EXAM LATEST 2023- 2024 COMPLETE EXAM WITH ALL 100 REAL QUESTIONS  AND CORRECT ANSWERS (ACTUAL EXAM QUESTIONS  AND LATEST VERIFIED ANSWERS) A NEW UPDATED  VERSION LATEST 2023-2024 | GURANTEED PASS A+
View Document

AAPC CPC FINAL AAPC CPC FINAL EXAM LATEST 2023- 2024 COMPLETE EXAM WITH ALL 100 REAL QUESTIONS AND CORRECT ANSWERS (ACTUAL EXAM QUESTIONS AND LATEST VERIFIED ANSWERS) A NEW UPDATED VERSION LATEST 2023-2024 | GURANTEED PASS A+

  • wiseman

    wiseman

  • questions & answers

AAPC CPC FINAL AAPC CPC FINAL EXAM LATEST 2023- 2024 COMPLETE EXAM WITH ALL 100 REAL QUESTIONS AND CORRECT ANSWERS (ACT...

18 USD

0

0

NR503 NGN Final Exam Study Guide 2026 GRADED A
View Document

NR503 NGN Final Exam Study Guide 2026 GRADED A

  • ken700

    ken700

  • study guide

NR503 NGN Final Exam Study Guide 2025 GRADED A...

20 USD

0

0

ATI RN Comprehensive Predictor Exam 2026
View Document

ATI RN Comprehensive Predictor Exam 2026

  • kevv

    kevv

  • ati

ATI RN Comprehensive Predictor Exam 2025...

15 USD

0

0

Certified Defense Financial Manager-CDFM Module 1 -Exam with complete solutions 2023
View Document

Certified Defense Financial Manager-CDFM Module 1 -Exam with complete solutions 2023

  • studypal

    studypal

  • questions & answers

Certified Defense Financial Manager-CDFM Module 1 -Exam with complete solutions 2023...

9 USD

0

0

Certified Defense Financial Manager-CDFM Module 1 -Exam with complete solutions
View Document

Certified Defense Financial Manager-CDFM Module 1 -Exam with complete solutions

  • studypal

    studypal

  • questions & answers

Certified Defense Financial Manager-CDFM Module 1 -Exam with complete solutions...

9 USD

0

0

Certified Defense Financial Manager (CDFM) Module 4 Exam with Answers Graded A+
View Document

Certified Defense Financial Manager (CDFM) Module 4 Exam with Answers Graded A+

  • studypal

    studypal

  • questions & answers

Certified Defense Financial Manager (CDFM) Module 4 Exam with Answers Graded A+...

10 USD

0

0

Nuclear Medicine Technology Board Exam (ARRT) Study Guide
View Document

Nuclear Medicine Technology Board Exam (ARRT) Study Guide

  • studypal

    studypal

  • test bank

Nuclear Medicine Technology Board Exam (ARRT) Study Guide...

12 USD

0

0

ServSafe Manager Exam practice  Questions and Answers(100% Correct)
View Document

ServSafe Manager Exam practice Questions and Answers(100% Correct)

  • studypal

    studypal

  • questions & answers

ServSafe Manager Exam practice Questions and Answers(100% Correct)...

9 USD

0

0

ATI Medical-Surgical Final Exam Answers- loaded rationals provided (50 Questions)
View Document

ATI Medical-Surgical Final Exam Answers- loaded rationals provided (50 Questions)

  • studypal

    studypal

  • ati medical surgical

ATI Medical-Surgical Final Exam Answers- loaded rationals provided (50 Questions)...

9 USD

0

0

Identifying Dysrhythmias Exam Answers
View Document

Identifying Dysrhythmias Exam Answers

  • studypal

    studypal

  • questions & answers

Identifying Dysrhythmias Exam Answers...

7 USD

0

0

ServSafe Manager Exam Questions and Answers(100 Percent Correct)
View Document

ServSafe Manager Exam Questions and Answers(100 Percent Correct)

  • studypal

    studypal

  • questions & answers

ServSafe Manager Exam Questions and Answers(100 Percent Correct) – Download PDF...

13 USD

0

0

ServSafe Manager Exam 80 Questions Provided Answer Key[last page]
View Document

ServSafe Manager Exam 80 Questions Provided Answer Key[last page]

  • studypal

    studypal

  • questions & answers

ServSafe Manager Exam 80 Questions Provided Answer Key[last page]...

12 USD

0

0

ServSafe Manager Exam 80 Questions Provided Answer Key on the Last Page.
View Document

ServSafe Manager Exam 80 Questions Provided Answer Key on the Last Page.

  • studypal

    studypal

  • questions & answers

ServSafe Manager Exam 80 Questions Provided Answer Key on the Last Page....

14 USD

0

0

ServSafe Manager Exam master test bank (COMPLETE SOLUTION)
View Document

ServSafe Manager Exam master test bank (COMPLETE SOLUTION)

  • studypal

    studypal

  • questions & answers

ServSafe Manager Exam master test bank (COMPLETE SOLUTION)...

14 USD

0

0

PRN 1178 , PRN1178 Client Centered Care 2,3,4 Multiple Exam Versions, Answers Provided.
View Document

PRN 1178 , PRN1178 Client Centered Care 2,3,4 Multiple Exam Versions, Answers Provided.

  • studypal

    studypal

  • questions & answers

PRN 1178 , PRN1178 Client Centered Care 2,3,4 Multiple Exam Versions, Answers Provided. – Download PDF...

14 USD

0

0

AHIMA Registered Health Information Technician (RHIT) Mock Exam ALL sections (Answers Provided)
View Document

AHIMA Registered Health Information Technician (RHIT) Mock Exam ALL sections (Answers Provided)

  • studypal

    studypal

  • questions & answers

AHIMA Registered Health Information Technician (RHIT) Mock Exam ALL sections (Answers Provided)...

7 USD

0

0

AHIMA Certified Coding Associate (CCA) EXAM 2023 Complete Solution.
View Document

AHIMA Certified Coding Associate (CCA) EXAM 2023 Complete Solution.

  • studypal

    studypal

  • questions & answers

AHIMA Certified Coding Associate (CCA) EXAM 2023 Complete Solution....

20 USD

0

0

AHIMA RHIA Registered Health Information Administrator Exam 2023 - 100% correct Answers.
View Document

AHIMA RHIA Registered Health Information Administrator Exam 2023 - 100% correct Answers.

  • studypal

    studypal

  • questions & answers

AHIMA RHIA Registered Health Information Administrator Exam 2023 - 100% correct Answers....

14 USD

0

0

AHIMA CCS EXAM 2023 ACTUAL QUESTIONS WITH VERIFIED COMPLETE SOLUTIONS A+ SCORE
View Document

AHIMA CCS EXAM 2023 ACTUAL QUESTIONS WITH VERIFIED COMPLETE SOLUTIONS A+ SCORE

  • studypal

    studypal

  • questions & answers

AHIMA CCS EXAM 2023 ACTUAL QUESTIONS WITH VERIFIED COMPLETE SOLUTIONS A+ SCORE – Download PDF...

15 USD

0

0

NR 503, NR503 WEEK 4 MIDTERM EXAM 67 QUESTIONS WITH VERIFIED SOLUTIONS, A+ GRADE
View Document

NR 503, NR503 WEEK 4 MIDTERM EXAM 67 QUESTIONS WITH VERIFIED SOLUTIONS, A+ GRADE

  • studypal

    studypal

  • ati

NR 503, NR503 WEEK 4 MIDTERM EXAM 67 QUESTIONS WITH VERIFIED SOLUTIONS, A+ GRADE – Download PDF...

9 USD

0

0

ATI RN COMPREHENSIVE PREDICTOR EXAM 2019 WITH NGN QUESTIONS WITH VERIFIED SOLUTIONS, A+GRADE, UPDATED
View Document

ATI RN COMPREHENSIVE PREDICTOR EXAM 2019 WITH NGN QUESTIONS WITH VERIFIED SOLUTIONS, A+GRADE, UPDATED

  • studypal

    studypal

  • ati

ATI RN COMPREHENSIVE PREDICTOR EXAM 2019 WITH NGN QUESTIONS WITH VERIFIED SOLUTIONS, A+GRADE, UPDATED – Download PDF...

14 USD

0

0

NGN ATI PN, RN, PHARMACOLOGY PROCTORED EXAMS + STUDY GUIDES
View Document

NGN ATI PN, RN, PHARMACOLOGY PROCTORED EXAMS + STUDY GUIDES

  • studypal

    studypal

  • ati

NGN ATI PN, RN, PHARMACOLOGY PROCTORED EXAMS + STUDY GUIDES...

17 USD

0

0

NGN ATI RN NURSING PEDIATRIC PROCTORED EXAM 100+ QUESTIONS WITH CORRECT ANSWERS RATED 100% CORRECT..
View Document

NGN ATI RN NURSING PEDIATRIC PROCTORED EXAM 100+ QUESTIONS WITH CORRECT ANSWERS RATED 100% CORRECT..

  • studypal

    studypal

  • questions & answers

NGN ATI RN NURSING PEDIATRIC PROCTORED EXAM 100+ QUESTIONS WITH CORRECT ANSWERS RATED 100% CORRECT.....

14 USD

0

0

NGN ATI RN NURSING CARE OF CHILDREN PROCTORED EXAM QUESTIONS WITH CORRECT ANSWERS RATED 100% CORRECT!!
View Document

NGN ATI RN NURSING CARE OF CHILDREN PROCTORED EXAM QUESTIONS WITH CORRECT ANSWERS RATED 100% CORRECT!!

  • studypal

    studypal

  • questions & answers

NGN ATI RN NURSING CARE OF CHILDREN PROCTORED EXAM QUESTIONS WITH CORRECT ANSWERS RATED 100% CORRECT!!...

14 USD

0

0

NGN ATI RN NURSING CARE OF CHILDREN PROCTORED EXAM 2019 QUESTIONS WITH CORRECT ANSWERS RATED 100% CORRECT!!
View Document

NGN ATI RN NURSING CARE OF CHILDREN PROCTORED EXAM 2019 QUESTIONS WITH CORRECT ANSWERS RATED 100% CORRECT!!

  • studypal

    studypal

  • questions & answers

NGN ATI RN NURSING CARE OF CHILDREN PROCTORED EXAM 2019 QUESTIONS WITH CORRECT ANSWERS RATED 100% CORRECT!!...

17 USD

0

0

Maternal Newborn ATI Proctored Exam 2019
View Document

Maternal Newborn ATI Proctored Exam 2019

  • GradeA

    GradeA

  • shadow health

Maternal Newborn ATI Proctored Exam 2019...

14 USD

0

0

Cosmetology Theory Exam 2026
View Document

Cosmetology Theory Exam 2026

  • studypal

    studypal

  • questions & answers

Cosmetology Theory Exam 2025...

10 USD

0

0

ATI PEDS Proctored Exam 2026
View Document

ATI PEDS Proctored Exam 2026

  • Namwaki

    Namwaki

  • exam

ATI PEDS Proctored Exam 2025...

13 USD

0

0

Capstone Mental Health Assessment 2026 Exam Questions and Answers
View Document

Capstone Mental Health Assessment 2026 Exam Questions and Answers

  • Namwaki

    Namwaki

  • exam

Capstone Mental Health Assessment 2025 Exam Questions and Answers...

12 USD

0

0

NBME CBSE Real Exam 200 Questions and Answers (USMLE) Latest
View Document

NBME CBSE Real Exam 200 Questions and Answers (USMLE) Latest

  • Opati-Kaka

    Opati-Kaka

  • exam

NBME CBSE Real Exam 200 Questions and Answers (USMLE) Latest...

10 USD

0

0

NUR 200 CARE OF CLIENTS WITH LIFE THREATENING CONDITIONS - EXAM ANSWERS
View Document

NUR 200 CARE OF CLIENTS WITH LIFE THREATENING CONDITIONS - EXAM ANSWERS

  • studypal

    studypal

  • questions & answers

NUR 200 CARE OF CLIENTS WITH LIFE THREATENING CONDITIONS - EXAM ANSWERS...

12 USD

0

0

Unit 12 Assignment 1 - Examining IT support (I got Distinction)
View Document

Unit 12 Assignment 1 - Examining IT support (I got Distinction)

  • Opati-Kaka

    Opati-Kaka

  • test bank

Unit 12 Assignment 1 - Examining IT support (I got Distinction)...

7 USD

0

0

NUTR 100 Final Exam with Complete Solutions 2023 (Real Exam Grade A)
View Document

NUTR 100 Final Exam with Complete Solutions 2023 (Real Exam Grade A)

  • Opati-Kaka

    Opati-Kaka

  • questions & answers

NUTR 100 Final Exam with Complete Solutions 2023 (Real Exam Grade A)...

6 USD

0

0

Nursing 360 Adult health Exam 1 Review Answer Key with complete solution with rationale 2023 (All answers are correct)
View Document

Nursing 360 Adult health Exam 1 Review Answer Key with complete solution with rationale 2023 (All answers are correct)

  • Opati-Kaka

    Opati-Kaka

  • questions & answers

Nursing 360 Adult health Exam 1 Review Answer Key with complete solution with rationale 2023 (All answers are correct)...

8 USD

0

0

N460 Focused Exam Ms. Diaz PTSD Completed Shadow Health Education & Empathy (Solved)
View Document

N460 Focused Exam Ms. Diaz PTSD Completed Shadow Health Education & Empathy (Solved)

  • Opati-Kaka

    Opati-Kaka

  • questions & answers

N460 Focused Exam Ms. Diaz PTSD Completed Shadow Health Education & Empathy (Solved)...

10 USD

0

0

MGMT 640 Midterm Exam Part 1 with complete solutions Real Exam 2023
View Document

MGMT 640 Midterm Exam Part 1 with complete solutions Real Exam 2023

  • Opati-Kaka

    Opati-Kaka

  • questions & answers

MGMT 640 Midterm Exam Part 1 with complete solutions Real Exam 2023...

10 USD

0

0

CMIT 350 6381 Final Exam 2023
View Document

CMIT 350 6381 Final Exam 2023

  • Opati-Kaka

    Opati-Kaka

  • questions & answers

CMIT 350 6381 Final Exam 2023...

10 USD

0

0

ACCT  220 Final Exam 2 17 2023 ( Real Exam)
View Document

ACCT 220 Final Exam 2 17 2023 ( Real Exam)

  • Opati-Kaka

    Opati-Kaka

  • questions & answers

ACCT 220 Final Exam 2 17 2023 ( Real Exam)...

10 USD

0

0

(2023) MGMT 640 Final Exam Answers Part 1 and Part 2
View Document

(2023) MGMT 640 Final Exam Answers Part 1 and Part 2

  • Opati-Kaka

    Opati-Kaka

  • questions & answers

(2023) MGMT 640 Final Exam Answers Part 1 and Part 2...

8 USD

0

0

CLC 056 Frequently Tested Exam Questions with Answers
View Document

CLC 056 Frequently Tested Exam Questions with Answers

  • Opati-Kaka

    Opati-Kaka

  • questions & answers

CLC 056 Frequently Tested Exam Questions with Answers...

10 USD

0

0

CLC 056 Analyzing Contract Costs Exam 1 | Real Questions and Updated Answer Key (2026)
View Document

CLC 056 Analyzing Contract Costs Exam 1 | Real Questions and Updated Answer Key (2026)

  • Opati-Kaka

    Opati-Kaka

  • exam

Find detailed exam answers for the CLC 056 Analyzing Contract Costs Exam 1 for 2025. Learn key concepts, including exemp...

7 USD

0

2

CLC 056 exam Questions and Answers 2023
View Document

CLC 056 exam Questions and Answers 2023

  • mentor2000

    mentor2000

  • exam

CLC 056 exam Questions and Answers 2023...

10 USD

0

0

Incident Safety Officer (TCFP) Exam Questions And Answers 2024
View Document

Incident Safety Officer (TCFP) Exam Questions And Answers 2024

  • studypal

    studypal

  • questions & answers

Incident Safety Officer (TCFP) Exam Questions And Answers 2024...

13 USD

0

0

Texas Commission on Fire Protection (TCFP) Inspectors Class II Exam  Questions and Answers 2024
View Document

Texas Commission on Fire Protection (TCFP) Inspectors Class II Exam Questions and Answers 2024

  • studypal

    studypal

  • questions & answers

Texas Commission on Fire Protection (TCFP) Inspectors Class II Exam Questions and Answers 2024 – Download PDF...

10 USD

0

0

(TCFP) Texas Commission on Fire Protection FireFighter Exam 2 Questions and Answers 2024
View Document

(TCFP) Texas Commission on Fire Protection FireFighter Exam 2 Questions and Answers 2024

  • studypal

    studypal

  • questions & answers

(TCFP) Texas Commission on Fire Protection FireFighter Exam 2 Questions and Answers 2024...

12 USD

0

0

TCFP Final Exam 2026 (Questions and Answers) 100% Correct
View Document

TCFP Final Exam 2026 (Questions and Answers) 100% Correct

  • studypal

    studypal

  • questions & answers

TCFP Final Exam 2025 (Questions and Answers) 100 Percent Correct...

8 USD

0

0

Texas Commission on Fire Protection - Hazardous Materials Technician exam 2 answers 2024
View Document

Texas Commission on Fire Protection - Hazardous Materials Technician exam 2 answers 2024

  • studypal

    studypal

  • questions & answers

Texas Commission on Fire Protection - Hazardous Materials Technician exam 2 answers 2024...

7 USD

0

0

Texas Commission on Fire Protection (TCFP) Final Exam Questions And Answers 2024
View Document

Texas Commission on Fire Protection (TCFP) Final Exam Questions And Answers 2024

  • studypal

    studypal

  • questions & answers

Texas Commission on Fire Protection (TCFP) Final Exam Questions And Answers 2024...

5 USD

0

0

Texas Commission on Fire Protection TCFP Exam Review Questions and Answers 2024
View Document

Texas Commission on Fire Protection TCFP Exam Review Questions and Answers 2024

  • studypal

    studypal

  • questions & answers

Texas Commission on Fire Protection TCFP Exam Review Questions and Answers 2024...

9 USD

0

0

Texas Commission on Fire Protection (TCFP) Exam Questions and Answers 2024
View Document

Texas Commission on Fire Protection (TCFP) Exam Questions and Answers 2024

  • studypal

    studypal

  • questions & answers

Texas Commission on Fire Protection (TCFP) Exam Questions and Answers 2024...

12 USD

0

0

Final Exam Procore Questions and Answers
View Document

Final Exam Procore Questions and Answers

  • Namwaki

    Namwaki

  • exam

Final Exam Procore Questions and Answers...

6 USD

0

0

Procore Exam Practice Questions and Answers  2026
View Document

Procore Exam Practice Questions and Answers 2026

  • Namwaki

    Namwaki

  • exam

Procore Exam Practice Questions and Answers 2025...

5 USD

0

0

Procore 4202 Exam Questions and Answers 2023
View Document

Procore 4202 Exam Questions and Answers 2023

  • mentor2000

    mentor2000

  • exam

Procore 4202 Exam Questions and Answers 2023...

6 USD

0

0

NR 224 - Final Exam Practice Questions 2023
View Document

NR 224 - Final Exam Practice Questions 2023

  • mentor2000

    mentor2000

  • exam

NR 224 - Final Exam Practice Questions 2023...

7 USD

0

0

HAZWOPER 40 - Final Exam Questions and Answers 2023
View Document

HAZWOPER 40 - Final Exam Questions and Answers 2023

  • mentor2000

    mentor2000

  • exam

HAZWOPER 40 - Final Exam Questions and Answers 2023...

6 USD

0

0

Test Bank Essentials of Nursing Leadership & Management 7th Edition Sally A., Exams of Health sciences | Latest Update
View Document

Test Bank Essentials of Nursing Leadership & Management 7th Edition Sally A., Exams of Health sciences | Latest Update

  • Markel

    Markel

  • test bank

Test Bank Essentials of Nursing Leadership & Management 7th Edition Sally A., Exams of Health sciences | Latest Update...

15 USD

0

0

(Answered) Ivy Tech Anatomy and Physiology 101 Final Exam 2023
View Document

(Answered) Ivy Tech Anatomy and Physiology 101 Final Exam 2023

  • Pasing-Grades

    Pasing-Grades

  • exam

(Answered) Ivy Tech Anatomy and Physiology 101 Final Exam 2023...

7 USD

0

0

Pediatric Advanced Life Support (PALS) Certification Course Exam Answers 2023
View Document

Pediatric Advanced Life Support (PALS) Certification Course Exam Answers 2023

  • Pasing-Grades

    Pasing-Grades

  • exam

Pediatric Advanced Life Support (PALS) Certification Course Exam Answers 2023...

8 USD

0

0

PALS Precourse Self-Assessment and Precourse Work Exam Questions and Answers 2023
View Document

PALS Precourse Self-Assessment and Precourse Work Exam Questions and Answers 2023

  • Pasing-Grades

    Pasing-Grades

  • exam

PALS Precourse Self-Assessment and Precourse Work Exam Questions and Answers 2023...

8 USD

0

0

Texas Principles 1 Exam Practice Questions and Answers Champions School of Real Estate
View Document

Texas Principles 1 Exam Practice Questions and Answers Champions School of Real Estate

  • Pasing-Grades

    Pasing-Grades

  • exam

Texas Principles 1 Exam Practice Questions and Answers Champions School of Real Estate...

7 USD

0

0

Texas Real Estate Principles 1 Practice Exam questions and answers 2023
View Document

Texas Real Estate Principles 1 Practice Exam questions and answers 2023

  • Pasing-Grades

    Pasing-Grades

  • exam

Texas Real Estate Principles 1 Practice Exam questions and answers 2023...

5 USD

0

0

Texas State Portion Real Estate Exam Part 1 and 2 Questions and Answers 2023
View Document

Texas State Portion Real Estate Exam Part 1 and 2 Questions and Answers 2023

  • Pasing-Grades

    Pasing-Grades

  • exam

Texas State Portion Real Estate Exam Part 1 and 2 Questions and Answers 2023...

7 USD

0

1

Building Industry Consulting Service International (BICSI) Exam; Registered Communications Distribution Designer (RCDD) Version: 6.0 - Complete solution 2023
View Document

Building Industry Consulting Service International (BICSI) Exam; Registered Communications Distribution Designer (RCDD) Version: 6.0 - Complete solution 2023

  • studypal

    studypal

  • questions & answers

Building Industry Consulting Service International (BICSI) Exam; Registered Communications Distribution Designer (RCDD) ...

14 USD

0

0

CALT Exam Study Guide, 400+ Questions, 100 Correct Answers
View Document

CALT Exam Study Guide, 400+ Questions, 100 Correct Answers

  • studypal

    studypal

  • case study

CALT Exam Study Guide, 400+ Questions, 100 Correct Answers – Download PDF...

14 USD

0

0

RN Adult Medical Surgical Proctored EXAM 2019 B
View Document

RN Adult Medical Surgical Proctored EXAM 2019 B

  • studypal

    studypal

  • ati

RN Adult Medical Surgical Proctored EXAM 2019 B...

14 USD

0

0

NCLEX Preparation Center Nepal (NPCN) Exam Questions and Answers, Texas Jurisprudence Exam Question Collection
View Document

NCLEX Preparation Center Nepal (NPCN) Exam Questions and Answers, Texas Jurisprudence Exam Question Collection

  • studypal

    studypal

  • questions & answers

NCLEX Preparation Center Nepal (NPCN) Exam Questions and Answers, Texas Jurisprudence Exam Question Collection – Downl...

12 USD

0

0

Minnesota Board of Dentistrys Jurisprudence Exam Questions and Answers 2023, 2024
View Document

Minnesota Board of Dentistrys Jurisprudence Exam Questions and Answers 2023, 2024

  • studypal

    studypal

  • questions & answers

Minnesota Board of Dentistrys Jurisprudence Exam Questions and Answers 2023, 2024 – Download PDF...

9 USD

0

0

Texas Esthetician Written State Board Exam Review 2023, 2024
View Document

Texas Esthetician Written State Board Exam Review 2023, 2024

  • studypal

    studypal

  • questions & answers

Texas Esthetician Written State Board Exam Review 2023, 2024 – Download PDF...

9 USD

0

1

Yoga Renew YTT Final Exam Practice Questions and Answers 2023
View Document

Yoga Renew YTT Final Exam Practice Questions and Answers 2023

  • mentor2000

    mentor2000

  • exam

Yoga Renew YTT Final Exam Practice Questions and Answers 2023...

6 USD

0

0

Yoga Renew Final Exam Questions and Answers 2023
View Document

Yoga Renew Final Exam Questions and Answers 2023

  • mentor2000

    mentor2000

  • exam

Yoga Renew Final Exam Questions and Answers 2023...

5 USD

0

0

VA-BC Final Exam Answers
View Document

VA-BC Final Exam Answers

  • mentor2000

    mentor2000

  • test bank

VA-BC Final Exam Answers...

7 USD

0

1

Florida Fire instructor 1 Final Exam Questions and Answers 2023
View Document

Florida Fire instructor 1 Final Exam Questions and Answers 2023

  • mentor2000

    mentor2000

  • test bank

Florida Fire instructor 1 Final Exam Questions and Answers 2023...

5 USD

0

0

Florida Fire instructor 1 Exam Questions and Answers 2023
View Document

Florida Fire instructor 1 Exam Questions and Answers 2023

  • mentor2000

    mentor2000

  • test bank

Florida Fire instructor 1 Exam Questions and Answers 2023...

5 USD

0

0

Certified Professional in Healthcare Quality (CPHQ) Exam (Answers Provided) New Revision.
View Document

Certified Professional in Healthcare Quality (CPHQ) Exam (Answers Provided) New Revision.

  • studypal

    studypal

  • questions & answers

Certified Professional in Healthcare Quality (CPHQ) Exam (Answers Provided) New Revision....

14 USD

0

0

CMTO - MCQ Exam Questions and Answers 2023
View Document

CMTO - MCQ Exam Questions and Answers 2023

  • mentor2000

    mentor2000

  • exam

CMTO - MCQ Exam Questions and Answers 2023...

7 USD

0

0

NRNP 6675 Midterm Exam 2023
View Document

NRNP 6675 Midterm Exam 2023

  • mentor2000

    mentor2000

  • questions & answers

NRNP 6675 Midterm Exam 2023...

10 USD

0

0

NRNP 6665 Final Exam 2023 Questions and Answers
View Document

NRNP 6665 Final Exam 2023 Questions and Answers

  • mentor2000

    mentor2000

  • questions & answers

NRNP 6665 Final Exam 2023 Questions and Answers...

10 USD

0

0

NRNP 6660 Midterm Exam Study Guide Material 2023
View Document

NRNP 6660 Midterm Exam Study Guide Material 2023

  • mentor2000

    mentor2000

  • questions & answers

NRNP 6660 Midterm Exam Study Guide Material 2023...

10 USD

0

0

NRNP 6560 Final Exam Study Material 2023
View Document

NRNP 6560 Final Exam Study Material 2023

  • mentor2000

    mentor2000

  • questions & answers

NRNP 6560 Final Exam Study Material 2023...

8 USD

0

0

ATI Fundamentals Proctored Exam (Answered)
View Document

ATI Fundamentals Proctored Exam (Answered)

  • mentor2000

    mentor2000

  • ati proctored

ATI Fundamentals Proctored Exam (Answered)...

15 USD

0

0

ATI Maternal Newborn Proctored 2019 Exam
View Document

ATI Maternal Newborn Proctored 2019 Exam

  • mentor2000

    mentor2000

  • ati proctored

ATI Maternal Newborn Proctored 2019 Exam...

15 USD

0

4

ATI Proctored Medical Surgical Exam 2019 Exam Answers
View Document

ATI Proctored Medical Surgical Exam 2019 Exam Answers

  • Opati-Kaka

    Opati-Kaka

  • questions & answers

ATI Proctored Medical Surgical Exam 2019 Exam Answers – Download PDF...

15 USD

0

0

Wyoming Real Estate Law Broker Exam Test Prep Questions and Answers
View Document

Wyoming Real Estate Law Broker Exam Test Prep Questions and Answers

  • Opati-Kaka

    Opati-Kaka

  • exam

Wyoming Real Estate Law Broker Exam Test Prep Questions and Answers...

6 USD

0

0

Wyoming Real Estate Exam Practice Questions and Answers 2023
View Document

Wyoming Real Estate Exam Practice Questions and Answers 2023

  • Opati-Kaka

    Opati-Kaka

  • exam

Wyoming Real Estate Exam Practice Questions and Answers 2023...

6 USD

0

0

Wyoming Real Estate Exam Pack Tests 2023
View Document

Wyoming Real Estate Exam Pack Tests 2023

  • Opati-Kaka

    Opati-Kaka

  • exam

Wyoming Real Estate Exam Pack Tests 2023...

7 USD

0

0

Wisconsin WI Real Estate Practice Exam Questions and Answers 2023
View Document

Wisconsin WI Real Estate Practice Exam Questions and Answers 2023

  • Opati-Kaka

    Opati-Kaka

  • exam

Wisconsin WI Real Estate Practice Exam Questions and Answers 2023...

7 USD

0

0

Wisconsin Real Estate Exam Questions and Answers 2023
View Document

Wisconsin Real Estate Exam Questions and Answers 2023

  • Opati-Kaka

    Opati-Kaka

  • exam

Wisconsin Real Estate Exam Questions and Answers 2023...

8 USD

0

0

Wisconsin Real Estate Exam Prep Questions and Answers 2023
View Document

Wisconsin Real Estate Exam Prep Questions and Answers 2023

  • Opati-Kaka

    Opati-Kaka

  • exam

Wisconsin Real Estate Exam Prep Questions and Answers 2023...

7 USD

0

0

Wisconsin Real Estate Exam Pack 2023
View Document

Wisconsin Real Estate Exam Pack 2023

  • Opati-Kaka

    Opati-Kaka

  • exam

Wisconsin Real Estate Exam Pack 2023...

6 USD

0

0

West Virginia (WV) Real Estate Exam Practice Questions and Answers 2023
View Document

West Virginia (WV) Real Estate Exam Practice Questions and Answers 2023

  • Opati-Kaka

    Opati-Kaka

  • exam

West Virginia (WV) Real Estate Exam Practice Questions and Answers 2023...

7 USD

0

0

West Virginia (WV) Real Estate Exam Practice Questions and Answers 2023
View Document

West Virginia (WV) Real Estate Exam Practice Questions and Answers 2023

  • Opati-Kaka

    Opati-Kaka

  • exam

West Virginia (WV) Real Estate Exam Practice Questions and Answers 2023...

7 USD

0

0

West Virginia Real Estate Exam 2023 Answers
View Document

West Virginia Real Estate Exam 2023 Answers

  • Opati-Kaka

    Opati-Kaka

  • exam

West Virginia Real Estate Exam 2023 Answers...

7 USD

0

0

Washington state Real Estate exam 1 questions and answers 2023
View Document

Washington state Real Estate exam 1 questions and answers 2023

  • Opati-Kaka

    Opati-Kaka

  • exam

Washington state Real Estate exam 1 questions and answers 2023...

8 USD

0

0

Washington Real Estate Exam Practice Questions with Answers 2023
View Document

Washington Real Estate Exam Practice Questions with Answers 2023

  • Opati-Kaka

    Opati-Kaka

  • exam

Washington Real Estate Exam Practice Questions with Answers 2023...

8 USD

0

0

Virginia VA Real Estate State Practice Exam 1 Q & As 2023
View Document

Virginia VA Real Estate State Practice Exam 1 Q & As 2023

  • Opati-Kaka

    Opati-Kaka

  • exam

Virginia VA Real Estate State Practice Exam 1 Q & As 2023...

7 USD

0

0

Virginia VA Real Estate Practice Exam Q & As
View Document

Virginia VA Real Estate Practice Exam Q & As

  • Opati-Kaka

    Opati-Kaka

  • exam

Virginia VA Real Estate Practice Exam Q & As...

7 USD

0

0

Virginia VA Real Estate Practice Exam 2023
View Document

Virginia VA Real Estate Practice Exam 2023

  • Opati-Kaka

    Opati-Kaka

  • exam

Virginia VA Real Estate Practice Exam 2023...

8 USD

0

0

Virginia VA Real Estate Exam Prep Questions and Answers 2023
View Document

Virginia VA Real Estate Exam Prep Questions and Answers 2023

  • Opati-Kaka

    Opati-Kaka

  • exam

Virginia VA Real Estate Exam Prep Questions and Answers 2023...

7 USD

0

0

Virginia Real Estate License Exam Questions and Answers 2023
View Document

Virginia Real Estate License Exam Questions and Answers 2023

  • Opati-Kaka

    Opati-Kaka

  • exam

Virginia Real Estate License Exam Questions and Answers 2023...

8 USD

0

0

Virginia Real Estate Exam Questions and Answers 2023
View Document

Virginia Real Estate Exam Questions and Answers 2023

  • Opati-Kaka

    Opati-Kaka

  • exam

Virginia Real Estate Exam Questions and Answers 2023...

7 USD

0

0

Kaplan Real Exam Questions and Answers 2023
View Document

Kaplan Real Exam Questions and Answers 2023

  • Eddah-Nafula

    Eddah-Nafula

  • exam

Kaplan Real Exam Questions and Answers 2023...

8 USD

0

0

Kaplan Exam Predictor B Questions with Answers 2023
View Document

Kaplan Exam Predictor B Questions with Answers 2023

  • Eddah-Nafula

    Eddah-Nafula

  • exam

Kaplan Exam Predictor B Questions with Answers 2023...

8 USD

0

0

Kaplan Exam Predictor A Questions with Answers 2023
View Document

Kaplan Exam Predictor A Questions with Answers 2023

  • Eddah-Nafula

    Eddah-Nafula

  • exam

Kaplan Exam Predictor A Questions with Answers 2023...

8 USD

0

0

IFSTA 2023 Exam Questions and Answers
View Document

IFSTA 2023 Exam Questions and Answers

  • Eddah-Nafula

    Eddah-Nafula

  • exam

IFSTA 2023 Exam Questions and Answers...

5 USD

0

0

Test Bank for Theory Practice and Trends in Human Services 6th Edition Neukrug
View Document

Test Bank for Theory Practice and Trends in Human Services 6th Edition Neukrug

  • Namwaki

    Namwaki

  • test bank

Test Bank for Theory Practice and Trends in Human Services 6th Edition Neukrug – Download PDF...

15 USD

0

0

LMR - Georgettes 2023 Question bank | Georgettes PMHNP Certification Exam Review 2023.
View Document

LMR - Georgettes 2023 Question bank | Georgettes PMHNP Certification Exam Review 2023.

  • studypal

    studypal

  • questions & answers

LMR - Georgettes 2023 Question bank | Georgettes PMHNP Certification Exam Review 2023. – Download PDF...

14 USD

0

0

Test Bank for Success in Practical Vocational Nursing 10th Edition by Knecht
View Document

Test Bank for Success in Practical Vocational Nursing 10th Edition by Knecht

  • Namwaki

    Namwaki

  • test bank

Study essential exam questions for success in practical and vocational nursing with the 'Test Bank for Success in Practi...

15 USD

0

0

Oral Medications 2023 Exam Test Answered
View Document

Oral Medications 2023 Exam Test Answered

  • Opati-Kaka

    Opati-Kaka

  • exam

Oral Medications 2023 Exam Test Answered...

5 USD

0

0

WGU C785 Biochemistry Final Exam Study Guide 2023
View Document

WGU C785 Biochemistry Final Exam Study Guide 2023

  • Emily

    Emily

  • exam

WGU C785 Biochemistry Final Exam Study Guide 2023 – Download PDF...

5 USD

0

0

ATI PN Nursing Care Of Children Proctored 2023 Exam
View Document

ATI PN Nursing Care Of Children Proctored 2023 Exam

  • Angelicer

    Angelicer

  • ati proctored

ATI PN Nursing Care Of Children Proctored 2023 Exam – Download PDF...

15 USD

0

1

Hartmans Nursing Assistant Care Final Exam with Correct Answers
View Document

Hartmans Nursing Assistant Care Final Exam with Correct Answers

  • Passingmaster

    Passingmaster

  • questions & answers

Hartmans Nursing Assistant Care Final Exam with Correct Answers – Download PDF...

20 USD

0

0

HESI RN Exit Exam
View Document

HESI RN Exit Exam

  • mentor2000

    mentor2000

  • exam

HESI RN Exit Exam...

15 USD

0

0

Immunology Exam 1
View Document

Immunology Exam 1

  • Namwaki

    Namwaki

  • exam

Immunology Exam 1...

5 USD

0

0

Immunology Final Exam Study Guide 2023
View Document

Immunology Final Exam Study Guide 2023

  • Namwaki

    Namwaki

  • exam

Immunology Final Exam Study Guide 2023...

8 USD

0

0

2023 HESI Med Surg Version 1 (v1) exit exam – Brand New Q&As! Guaranteed Pass A+
View Document

2023 HESI Med Surg Version 1 (v1) exit exam – Brand New Q&As! Guaranteed Pass A+

  • NASHON

    NASHON

  • hesi

2023 HESI Med Surg Version 1 (v1) exit exam – Brand New Q&As! Guaranteed Pass A+ – Download PDF...

20 USD

0

0

2023 NGN RN HESI EXIT EXAM- Version 1 (V1) All 160Qs& As Included - Guaranteed Pass A+!!! (All BrandNewQ&APics Included)
View Document

2023 NGN RN HESI EXIT EXAM- Version 1 (V1) All 160Qs& As Included - Guaranteed Pass A+!!! (All BrandNewQ&APics Included)

  • NASHON

    NASHON

  • hesi

2023 NGN RN HESI EXIT EXAM- Version 1 (V1) All 160Qs& As Included - Guaranteed Pass A+!!! (All BrandNewQ&APics Included)...

25 USD

0

0

ATI Comprehensive Predictor Exam 2021
View Document

ATI Comprehensive Predictor Exam 2021

  • Denoh001

    Denoh001

  • ati

ATI Comprehensive Predictor Exam 2021...

13 USD

0

0

ATI COMPREHENSIVE EXIT EXAM 2023 WITH NGN  LATEST UPDATE WITH SOLUTION
View Document

ATI COMPREHENSIVE EXIT EXAM 2023 WITH NGN LATEST UPDATE WITH SOLUTION

  • testbank

    testbank

  • ati proctored

ATI COMPREHENSIVE EXIT EXAM 2023 WITH NGN LATEST UPDATE WITH SOLUTION – Download PDF...

24 USD

0

0

NR 326 – EXAM 1 REVIEW MENTAL; latest (2022, 23), All Answers correct
View Document

NR 326 – EXAM 1 REVIEW MENTAL; latest (2022, 23), All Answers correct

  • NASHON

    NASHON

  • questions & answers

NR 326 – EXAM 1 REVIEW MENTAL; latest (2022, 23), All Answers correct – Download PDF...

10 USD

0

0

PN VATI Comprehensive Predictor 2020 Green Light Exam Study Questions and answers
View Document

PN VATI Comprehensive Predictor 2020 Green Light Exam Study Questions and answers

  • NASHON

    NASHON

  • hesi

PN VATI Comprehensive Predictor 2020 Green Light Exam Study Questions and answers...

12 USD

0

0

Bus Law Exam 1 Questions and Answers 2023
View Document

Bus Law Exam 1 Questions and Answers 2023

  • mentor2000

    mentor2000

  • exam

Bus Law Exam 1 Questions and Answers 2023...

5 USD

0

0

Business Law - Final Exam 2023 Answered (Real Exam)
View Document

Business Law - Final Exam 2023 Answered (Real Exam)

  • mentor2000

    mentor2000

  • exam

Business Law - Final Exam 2023 Answered (Real Exam)...

5 USD

0

0

NJ Real Estate Final Examination For 2023 (Answered)
View Document

NJ Real Estate Final Examination For 2023 (Answered)

  • mentor2000

    mentor2000

  • exam

NJ Real Estate Final Examination For 2023 (Answered)...

5 USD

0

0

Civil Law 1 - Bar Examination (Actual Test 2023)
View Document

Civil Law 1 - Bar Examination (Actual Test 2023)

  • mentor2000

    mentor2000

  • exam

Civil Law 1 - Bar Examination (Actual Test 2023)...

5 USD

0

0

Mastering New Jersey Criminal Law, A Comprehensive Guide to the Final Exam
View Document

Mastering New Jersey Criminal Law, A Comprehensive Guide to the Final Exam

  • mentor2000

    mentor2000

  • exam

Mastering New Jersey Criminal Law, A Comprehensive Guide to the Final Exam...

8 USD

0

0

New Jersey Criminal Law Final Exam 2023 Answered
View Document

New Jersey Criminal Law Final Exam 2023 Answered

  • mentor2000

    mentor2000

  • exam

New Jersey Criminal Law Final Exam 2023 Answered...

7 USD

0

0

New Jersey (NJ) State Jurisprudence Exam 2023 (Answered)
View Document

New Jersey (NJ) State Jurisprudence Exam 2023 (Answered)

  • mentor2000

    mentor2000

  • exam

New Jersey (NJ) State Jurisprudence Exam 2023 (Answered)...

9 USD

0

0

New Jersey Jurisprudence Final Exam (Real Exam) 2023
View Document

New Jersey Jurisprudence Final Exam (Real Exam) 2023

  • mentor2000

    mentor2000

  • exam

New Jersey Jurisprudence Final Exam (Real Exam) 2023...

8 USD

0

0

NJ (NEW JERSEY) BAR Exam (Comprehensive FINAL EXAM Study Guide)
View Document

NJ (NEW JERSEY) BAR Exam (Comprehensive FINAL EXAM Study Guide)

  • mentor2000

    mentor2000

  • exam

NJ (NEW JERSEY) BAR Exam (Comprehensive FINAL EXAM Study Guide)...

10 USD

0

0

NFPT Exam questions and answers 2026
View Document

NFPT Exam questions and answers 2026

  • Passingmaster

    Passingmaster

  • questions & answers

NFPT Exam questions and answers 2025...

14 USD

0

0

GCU MKT 315 Final Exam Questions With Answers (2023)
View Document

GCU MKT 315 Final Exam Questions With Answers (2023)

  • Namwaki

    Namwaki

  • exam

GCU MKT 315 Final Exam Questions With Answers (2023) – Download PDF...

5 USD

0

0

GCU MKT 315 Final Exam Questions With Answers 2023, 2024
View Document

GCU MKT 315 Final Exam Questions With Answers 2023, 2024

  • Passingmaster

    Passingmaster

  • test bank

GCU MKT 315 Final Exam Questions With Answers 2023, 2024 – Download PDF...

14 USD

0

0

All hesi fundamentals exam test bank updated 2023
View Document

All hesi fundamentals exam test bank updated 2023

  • NASHON

    NASHON

  • hesi

All hesi fundamentals exam test bank updated 2023...

15 USD

0

0

PSI NJ Real Estate Practice Exam Study Guide 2023
View Document

PSI NJ Real Estate Practice Exam Study Guide 2023

  • Pasing-Grades

    Pasing-Grades

  • test bank

PSI NJ Real Estate Practice Exam Study Guide 2023...

10 USD

0

0

PSI New Jersey NJ Real Estate Exam, PSI Practice Test 2023
View Document

PSI New Jersey NJ Real Estate Exam, PSI Practice Test 2023

  • Pasing-Grades

    Pasing-Grades

  • test bank

PSI New Jersey NJ Real Estate Exam, PSI Practice Test 2023...

10 USD

0

0

Test Bank for Williams’ Basic Nutrition & Diet Therapy, 16th Edition, Staci Nix McIntosh
View Document

Test Bank for Williams’ Basic Nutrition & Diet Therapy, 16th Edition, Staci Nix McIntosh

  • Pasing-Grades

    Pasing-Grades

  • test bank

Get the complete test bank for Williams’ Nutrition & Diet Therapy, 16th Ed. NCLEX-ready, with rationales, all chapters...

15 USD

0

0

NEW JERSEY (NJ) Real Estate Final Exam with Answers 2023
View Document

NEW JERSEY (NJ) Real Estate Final Exam with Answers 2023

  • mentor2000

    mentor2000

  • test bank

NEW JERSEY (NJ) Real Estate Final Exam with Answers 2023...

7 USD

0

0

NEW JERSEY (NJ) Real Estate Final Exam with Answers 2023
View Document

NEW JERSEY (NJ) Real Estate Final Exam with Answers 2023

  • mentor2000

    mentor2000

  • exam

NEW JERSEY (NJ) Real Estate Final Exam with Answers 2023...

8 USD

0

0

RN VATI Fundamentals Assessment Exam with Answers
View Document

RN VATI Fundamentals Assessment Exam with Answers

  • mentor2000

    mentor2000

  • questions & answers

RN VATI Fundamentals Assessment Exam with Answers...

8 USD

0

0

RN VATI Pharmacology 2019 Exam with Answers
View Document

RN VATI Pharmacology 2019 Exam with Answers

  • mentor2000

    mentor2000

  • questions & answers

RN VATI Pharmacology 2019 Exam with Answers...

9 USD

0

0

VATI Mental Health Exam with Answers and Rationales
View Document

VATI Mental Health Exam with Answers and Rationales

  • mentor2000

    mentor2000

  • questions & answers

VATI Mental Health Exam with Answers and Rationales...

10 USD

0

0

VATI Fundamentals Exam Questions and Answers 2023
View Document

VATI Fundamentals Exam Questions and Answers 2023

  • mentor2000

    mentor2000

  • questions & answers

VATI Fundamentals Exam Questions and Answers 2023...

10 USD

0

0

BioChem 210 Final Exam - Portage Learning Real Exam 2026
View Document

BioChem 210 Final Exam - Portage Learning Real Exam 2026

  • mentor2000

    mentor2000

  • exam

BioChem 210 Final Exam - Portage Learning...

11 USD

0

0

Bio 256 Final Exam 2023 Questions and Answers
View Document

Bio 256 Final Exam 2023 Questions and Answers

  • Eddah-Nafula

    Eddah-Nafula

  • exam

Bio 256 Final Exam 2023 Questions and Answers...

10 USD

0

0

BIO 256 EXAM 1 Real Exam 2023
View Document

BIO 256 EXAM 1 Real Exam 2023

  • Eddah-Nafula

    Eddah-Nafula

  • exam

BIO 256 EXAM 1 Real Exam 2023...

10 USD

0

0

BIO 256 Final Exam 2023
View Document

BIO 256 Final Exam 2023

  • Eddah-Nafula

    Eddah-Nafula

  • exam

BIO 256 Final Exam 2023...

10 USD

0

0

ANCC FNP Board Real exam with answers 2023
View Document

ANCC FNP Board Real exam with answers 2023

  • Eddah-Nafula

    Eddah-Nafula

  • exam

ANCC FNP Board Real exam with answers 2023...

8 USD

0

0

BIO 256 Exam 2 Real Exam 2023
View Document

BIO 256 Exam 2 Real Exam 2023

  • Eddah-Nafula

    Eddah-Nafula

  • exam

BIO 256 Exam 2 Real Exam 2023...

9 USD

0

0

NUR 004 Final Exam 2023
View Document

NUR 004 Final Exam 2023

  • Eddah-Nafula

    Eddah-Nafula

  • exam

NUR 004 Final Exam 2023...

10 USD

0

0

NUR 213 - Exam 3 Questions and Answers 2023
View Document

NUR 213 - Exam 3 Questions and Answers 2023

  • Eddah-Nafula

    Eddah-Nafula

  • exam

NUR 213 - Exam 3 Questions and Answers 2023...

10 USD

0

0

Nurs 311 Final Exam 2023
View Document

Nurs 311 Final Exam 2023

  • Eddah-Nafula

    Eddah-Nafula

  • exam

Nurs 311 Final Exam 2023...

10 USD

0

0

Fundamentals of Nursing Exam Study Guide 2023
View Document

Fundamentals of Nursing Exam Study Guide 2023

  • Eddah-Nafula

    Eddah-Nafula

  • exam

Fundamentals of Nursing Exam Study Guide 2023...

13 USD

0

0

National Council For Therapeutic Recreation Certification (NCTRC) Real Exam 2023
View Document

National Council For Therapeutic Recreation Certification (NCTRC) Real Exam 2023

  • Eddah-Nafula

    Eddah-Nafula

  • exam

National Council For Therapeutic Recreation Certification (NCTRC) Real Exam 2023...

12 USD

0

0

NCTRC National Council for Therapeutic Recreation Certification Final Real Exam Answered
View Document

NCTRC National Council for Therapeutic Recreation Certification Final Real Exam Answered

  • Eddah-Nafula

    Eddah-Nafula

  • exam

NCTRC National Council for Therapeutic Recreation Certification Final Real Exam Answered...

10 USD

0

0

NUR 302 – Final Exam Questions and Answers 2023
View Document

NUR 302 – Final Exam Questions and Answers 2023

  • Eddah-Nafula

    Eddah-Nafula

  • exam

NUR 302 – Final Exam Questions and Answers 2023...

10 USD

0

0

NURS101 HESI Real Exam Questions and Answers 2023
View Document

NURS101 HESI Real Exam Questions and Answers 2023

  • Eddah-Nafula

    Eddah-Nafula

  • exam

NURS101 HESI Real Exam Questions and Answers 2023...

10 USD

0

0

CDM Final Exam NCLEX Questions with Answers (Real Exam 2023)
View Document

CDM Final Exam NCLEX Questions with Answers (Real Exam 2023)

  • Eddah-Nafula

    Eddah-Nafula

  • exam

CDM Final Exam NCLEX Questions with Answers (Real Exam 2023)...

10 USD

0

0

(NCTRC) Study Guide for the Therapeutic Recreation Specialist Certification Examination 2023
View Document

(NCTRC) Study Guide for the Therapeutic Recreation Specialist Certification Examination 2023

  • Eddah-Nafula

    Eddah-Nafula

  • exam

(NCTRC) Study Guide for the Therapeutic Recreation Specialist Certification Examination 2023...

10 USD

0

0

CDM Credentialing Final Exam (Real Exam with Answers) 2023
View Document

CDM Credentialing Final Exam (Real Exam with Answers) 2023

  • Eddah-Nafula

    Eddah-Nafula

  • exam

CDM Credentialing Final Exam (Real Exam with Answers) 2023...

8 USD

0

0

Therapeutic Recreation Exam 1 with Answers 2023
View Document

Therapeutic Recreation Exam 1 with Answers 2023

  • Eddah-Nafula

    Eddah-Nafula

  • exam

Therapeutic Recreation Exam 1 with Answers 2023...

9 USD

0

0

Teas 7 Exam Answers Created on 3rd July 2023
View Document

Teas 7 Exam Answers Created on 3rd July 2023

  • mentor2000

    mentor2000

  • ati

Teas 7 Exam Answers Created on 3rd July 2023...

10 USD

0

0

ATI TEAS 7 Science Exam Test Bank For 2026 Exam, All Questions Answered
View Document

ATI TEAS 7 Science Exam Test Bank For 2026 Exam, All Questions Answered

  • mentor2000

    mentor2000

  • ati

ATI TEAS 7 Science Exam Test Bank For 2025 Exam, All Questions Answered...

12 USD

0

0

HESI Exit Exam V6 Questions & Answers
View Document

HESI Exit Exam V6 Questions & Answers

  • mentor2000

    mentor2000

  • hesi

HESI Exit Exam V6 Questions & Answers...

15 USD

0

0

Certified Information Technology Manager (CITM) Information System Security and Privacy, Module 2 Exam with Answers. 100% Correct
View Document

Certified Information Technology Manager (CITM) Information System Security and Privacy, Module 2 Exam with Answers. 100% Correct

  • studypal

    studypal

  • questions & answers

Certified Information Technology Manager (CITM) Information System Security and Privacy, Module 2 Exam with Answers. 100...

14 USD

0

0

HESI Comprehensive Exit for NCLEX-RN Examination 2023
View Document

HESI Comprehensive Exit for NCLEX-RN Examination 2023

  • mentor2000

    mentor2000

  • exam

HESI Comprehensive Exit for NCLEX-RN Examination 2023...

15 USD

0

0

HESI RN EXIT Exam Questions and Answers 2023
View Document

HESI RN EXIT Exam Questions and Answers 2023

  • mentor2000

    mentor2000

  • exam

HESI RN EXIT Exam Questions and Answers 2023...

15 USD

0

0

Latest HESI Exit Exam Updated 2023
View Document

Latest HESI Exit Exam Updated 2023

  • mentor2000

    mentor2000

  • exam

Latest HESI Exit Exam Updated 2023...

15 USD

0

0

HESI Comprehensive Exit Exam questions and answers (latest)
View Document

HESI Comprehensive Exit Exam questions and answers (latest)

  • mentor2000

    mentor2000

  • exam

HESI Comprehensive Exit Exam questions and answers (latest)...

15 USD

0

0

Capstone HESI Exit 1 on Evolve Real Exam
View Document

Capstone HESI Exit 1 on Evolve Real Exam

  • mentor2000

    mentor2000

  • exam

Capstone HESI Exit 1 on Evolve Real Exam...

15 USD

0

0

EXIT HESI - Comprehensive PN Exam A Practice Questions and Answers
View Document

EXIT HESI - Comprehensive PN Exam A Practice Questions and Answers

  • Angelicer

    Angelicer

  • exam

EXIT HESI - Comprehensive PN Exam A Practice Questions and Answers...

13 USD

0

0

HESI RN Exit Exam (All VersionsI)
View Document

HESI RN Exit Exam (All VersionsI)

  • Angelicer

    Angelicer

  • exam

HESI RN Exit Exam (All VersionsI)...

15 USD

0

0

NSG6001 Week 5 Final Exam 2023
View Document

NSG6001 Week 5 Final Exam 2023

  • claratutor1

    claratutor1

  • hesi

NSG6001 Week 5 Final Exam 2023...

15 USD

0

0

ATI Med Surg Proctored Exam Practice Qs & As
View Document

ATI Med Surg Proctored Exam Practice Qs & As

  • claratutor1

    claratutor1

  • hesi

ATI Med Surg Proctored Exam Practice Qs & As...

12 USD

0

0

HESI Exit Exam Final Capstone 160 Questions 2023
View Document

HESI Exit Exam Final Capstone 160 Questions 2023

  • claratutor1

    claratutor1

  • hesi

HESI Exit Exam Final Capstone 160 Questions 2023...

15 USD

0

0

HESI Exit 5 Real Exam 160 Questions and Answers
View Document

HESI Exit 5 Real Exam 160 Questions and Answers

  • claratutor1

    claratutor1

  • hesi

HESI Exit 5 Real Exam 160 Questions and Answers...

15 USD

0

0

HESI Exit Actual Final Exam
View Document

HESI Exit Actual Final Exam

  • claratutor1

    claratutor1

  • hesi

HESI Exit Actual Final Exam...

13 USD

0

0

BUSML 3250 Exam 3 Questions and Answers 2023
View Document

BUSML 3250 Exam 3 Questions and Answers 2023

  • Eddah-Nafula

    Eddah-Nafula

  • exam

BUSML 3250 Exam 3 Questions and Answers 2023...

5 USD

0

0

BUSI 3250 Final Exam 2023 (Real Exam) International Business Auburn University
View Document

BUSI 3250 Final Exam 2023 (Real Exam) International Business Auburn University

  • Eddah-Nafula

    Eddah-Nafula

  • exam

BUSI 3250 Final Exam 2023 (Real Exam) International Business Auburn University...

5 USD

0

0

FINC 3250 Exam 3 Tomlinson Questions with Answers 2023
View Document

FINC 3250 Exam 3 Tomlinson Questions with Answers 2023

  • Eddah-Nafula

    Eddah-Nafula

  • exam

FINC 3250 Exam 3 Tomlinson Questions with Answers 2023...

5 USD

0

1

FINC 3250 Exam 2 Questions and Answers Tomlinson 2023
View Document

FINC 3250 Exam 2 Questions and Answers Tomlinson 2023

  • Eddah-Nafula

    Eddah-Nafula

  • exam

FINC 3250 Exam 2 Questions and Answers Tomlinson 2023...

7 USD

0

0

BUSI 3250 Exam 2 Questions and Answers Real Exam 2023
View Document

BUSI 3250 Exam 2 Questions and Answers Real Exam 2023

  • Eddah-Nafula

    Eddah-Nafula

  • exam

BUSI 3250 Exam 2 Questions and Answers Real Exam 2023...

5 USD

0

0

ATI RN Medsurg 2019 Proctored Exam (Real Exam with Answers)
View Document

ATI RN Medsurg 2019 Proctored Exam (Real Exam with Answers)

  • Eddah-Nafula

    Eddah-Nafula

  • exam

ATI RN Medsurg 2019 Proctored Exam (Real Exam with Answers)...

14 USD

0

0

ATI Med Surg Proctored Exam Retake (Real Exam)
View Document

ATI Med Surg Proctored Exam Retake (Real Exam)

  • Eddah-Nafula

    Eddah-Nafula

  • exam

ATI Med Surg Proctored Exam Retake (Real Exam)...

13 USD

0

0

NSG 6001 Midterm Real Exam 2023
View Document

NSG 6001 Midterm Real Exam 2023

  • Eddah-Nafula

    Eddah-Nafula

  • exam

NSG 6001 Midterm Real Exam 2023...

9 USD

0

0

NSG6001 Final Exam 2023 (Answered)
View Document

NSG6001 Final Exam 2023 (Answered)

  • Eddah-Nafula

    Eddah-Nafula

  • exam

NSG6001 Final Exam 2023 (Answered)...

7 USD

0

0

NR 566 Final Exam Week 5 Review Questions with Answers 2023
View Document

NR 566 Final Exam Week 5 Review Questions with Answers 2023

  • Eddah-Nafula

    Eddah-Nafula

  • exam

NR 566 Final Exam Week 5 Review Questions with Answers 2023...

7 USD

0

0

NR 566 Final Exam Questions with Answers 2023
View Document

NR 566 Final Exam Questions with Answers 2023

  • Eddah-Nafula

    Eddah-Nafula

  • exam

NR 566 Final Exam Questions with Answers 2023...

9 USD

0

0

NSG6001 Week 5 Final Exam Real exam 2023
View Document

NSG6001 Week 5 Final Exam Real exam 2023

  • Eddah-Nafula

    Eddah-Nafula

  • exam

NSG6001 Week 5 Final Exam Real exam 2023...

7 USD

0

0

NSG6001 Final Exam 2023  Real exam (60 Questions with Answers)
View Document

NSG6001 Final Exam 2023 Real exam (60 Questions with Answers)

  • Eddah-Nafula

    Eddah-Nafula

  • exam

NSG6001 Final Exam 2023 Real exam (60 Questions with Answers)...

14 USD

0

0

NR 503 Week 4 Midterm Exam 2023
View Document

NR 503 Week 4 Midterm Exam 2023

  • tutorvalentine

    tutorvalentine

  • exam

NR 503 Week 4 Midterm Exam 2023...

7 USD

0

0

HESI Pharmacology Questions and Answers 2023 Real Exam
View Document

HESI Pharmacology Questions and Answers 2023 Real Exam

  • tutorvalentine

    tutorvalentine

  • exam

HESI Pharmacology Questions and Answers 2023 Real Exam...

13 USD

0

0

HESI Pharmacology Final Exam Questions and Answers 2023 Real Exam
View Document

HESI Pharmacology Final Exam Questions and Answers 2023 Real Exam

  • tutorvalentine

    tutorvalentine

  • exam

HESI Pharmacology Final Exam Questions and Answers 2023 Real Exam...

13 USD

0

0

NR 503 Final Exam Latest Study Guide Chapter 1-20 (2023)
View Document

NR 503 Final Exam Latest Study Guide Chapter 1-20 (2023)

  • tutorvalentine

    tutorvalentine

  • exam

NR 503 Final Exam Latest Study Guide Chapter 1-20 (2023)...

10 USD

0

0

BUSI 3250 Exam 1 Common Questions and Important Concepts
View Document

BUSI 3250 Exam 1 Common Questions and Important Concepts

  • tutorvalentine

    tutorvalentine

  • exam

BUSI 3250 Exam 1 Common Questions and Important Concepts...

10 USD

0

0

BUSI 3250 Final Exam Questions and Answers 2023
View Document

BUSI 3250 Final Exam Questions and Answers 2023

  • tutorvalentine

    tutorvalentine

  • exam

BUSI 3250 Final Exam Questions and Answers 2023...

10 USD

0

0

BUSML 3250 Exam 2 Study Guide 2023
View Document

BUSML 3250 Exam 2 Study Guide 2023

  • tutorvalentine

    tutorvalentine

  • exam

BUSML 3250 Exam 2 Study Guide 2023...

10 USD

0

0

FINC 3250 Final Exam Questions and Answers 2023
View Document

FINC 3250 Final Exam Questions and Answers 2023

  • tutorvalentine

    tutorvalentine

  • exam

FINC 3250 Final Exam Questions and Answers 2023...

10 USD

0

0

FINC 3250 Exam 1 Questions and Answers 2023 Real Exam
View Document

FINC 3250 Exam 1 Questions and Answers 2023 Real Exam

  • tutorvalentine

    tutorvalentine

  • exam

FINC 3250 Exam 1 Questions and Answers 2023 Real Exam...

10 USD

0

0

BUSI 3250 Auburn Exam 3 Study Guide 2023
View Document

BUSI 3250 Auburn Exam 3 Study Guide 2023

  • tutorvalentine

    tutorvalentine

  • exam

BUSI 3250 Auburn Exam 3 Study Guide 2023...

10 USD

0

0

BUSI 3250 Auburn Exam 1 Questions and Answers Real Exam 2023
View Document

BUSI 3250 Auburn Exam 1 Questions and Answers Real Exam 2023

  • tutorvalentine

    tutorvalentine

  • exam

BUSI 3250 Auburn Exam 1 Questions and Answers Real Exam 2023...

10 USD

0

0

MDC 2 Exam 1  Multidimensional Care II Rasmussen 2023
View Document

MDC 2 Exam 1 Multidimensional Care II Rasmussen 2023

  • Namwaki

    Namwaki

  • exam

MDC 2 Exam 1 Multidimensional Care II Rasmussen 2023...

6 USD

0

0

Rasmussen MDC 2 Exam 2 Multidimensional care II (2023)
View Document

Rasmussen MDC 2 Exam 2 Multidimensional care II (2023)

  • Namwaki

    Namwaki

  • exam

Rasmussen MDC 2 Exam 2 Multidimensional care II (2023)...

6 USD

0

0

Rasmussen MDC 2 Final Exam Questions 2023
View Document

Rasmussen MDC 2 Final Exam Questions 2023

  • Namwaki

    Namwaki

  • exam

Rasmussen MDC 2 Final Exam Questions 2023...

7 USD

0

0

Regis NU 641 Clinical Adv Pharmacology final Exam 2023
View Document

Regis NU 641 Clinical Adv Pharmacology final Exam 2023

  • Namwaki

    Namwaki

  • exam

Regis NU 641 Clinical Adv Pharmacology final Exam 2023...

5 USD

0

0

2023 HESI OB Maternity Version 1 (V1) Exit Exam (All 55 Qs) TB w-Pics Included!!
View Document

2023 HESI OB Maternity Version 1 (V1) Exit Exam (All 55 Qs) TB w-Pics Included!!

  • Angelicer

    Angelicer

  • exam

2023 HESI OB Maternity Version 1 (V1) Exit Exam (All 55 Qs) TB w-Pics Included!!...

12 USD

0

0

LAS MAS MUS 337 Final Exam 2023
View Document

LAS MAS MUS 337 Final Exam 2023

  • Angelicer

    Angelicer

  • exam

LAS MAS MUS 337 Final Exam 2023...

5 USD

0

0

NSG 5003 Midterm exam 2023
View Document

NSG 5003 Midterm exam 2023

  • Angelicer

    Angelicer

  • exam

NSG 5003 Midterm exam 2023...

8 USD

0

0

Elementary Statistics- Final Exam Review 2023
View Document

Elementary Statistics- Final Exam Review 2023

  • Angelicer

    Angelicer

  • exam

Elementary Statistics- Final Exam Review 2023...

8 USD

0

0

Elementary Statistics - Final Exam 2023
View Document

Elementary Statistics - Final Exam 2023

  • Angelicer

    Angelicer

  • exam

Elementary Statistics - Final Exam 2023...

8 USD

0

0

(2023) New Jersey (NJ) Real Estate Practice Exam with Answers
View Document

(2023) New Jersey (NJ) Real Estate Practice Exam with Answers

  • Yna

    Yna

  • exam

(2023) New Jersey (NJ) Real Estate Practice Exam with Answers...

8 USD

0

0

AANP FNP Certification Exam Study Guide 2023
View Document

AANP FNP Certification Exam Study Guide 2023

  • Namwaki

    Namwaki

  • questions & answers

AANP FNP Certification Exam Study Guide 2023...

8 USD

0

0

AANP FNP Certification with Real Exam Questions and Correct Answers Latest 2023-2024
View Document

AANP FNP Certification with Real Exam Questions and Correct Answers Latest 2023-2024

  • Namwaki

    Namwaki

  • questions & answers

AANP FNP Certification with Real Exam Questions and Correct Answers Latest 2023-2024...

8 USD

0

0

Family Nurse Practitioner-questions for FNP Exam 2023
View Document

Family Nurse Practitioner-questions for FNP Exam 2023

  • Namwaki

    Namwaki

  • questions & answers

Family Nurse Practitioner-questions for FNP Exam 2023...

7 USD

0

0

AANP FNP practice exam 2023
View Document

AANP FNP practice exam 2023

  • Namwaki

    Namwaki

  • questions & answers

AANP FNP practice exam 2023...

7 USD

0

0

NRNP 6665 Week 6 Midterm Exam 2023
View Document

NRNP 6665 Week 6 Midterm Exam 2023

  • Angelicer

    Angelicer

  • exam

NRNP 6665 Week 6 Midterm Exam 2023...

10 USD

0

0

EFDA Exam Review (EFDA - Expanded Function Dental Auxiliary) 2023
View Document

EFDA Exam Review (EFDA - Expanded Function Dental Auxiliary) 2023

  • tutorvalentine

    tutorvalentine

  • questions & answers

EFDA Exam Review (EFDA - Expanded Function Dental Auxiliary) 2023...

8 USD

0

0

EFDA Final Exam Questions and Answers 2023
View Document

EFDA Final Exam Questions and Answers 2023

  • tutorvalentine

    tutorvalentine

  • questions & answers

EFDA Final Exam Questions and Answers 2023...

8 USD

0

0

PA EFDA Exam Prep Questions and Answers 2023
View Document

PA EFDA Exam Prep Questions and Answers 2023

  • tutorvalentine

    tutorvalentine

  • questions & answers

PA EFDA Exam Prep Questions and Answers 2023...

8 USD

0

0

Practice Mid Term Exam (DA)  questions and answers
View Document

Practice Mid Term Exam (DA) questions and answers

  • tutorvalentine

    tutorvalentine

  • questions & answers

Practice Mid Term Exam (DA) questions and answers...

8 USD

0

0

Dental Hygiene - Nitrous Oxide Complete Examination Questions and Answers 2023
View Document

Dental Hygiene - Nitrous Oxide Complete Examination Questions and Answers 2023

  • Angelicer

    Angelicer

  • exam

Dental Hygiene - Nitrous Oxide Complete Examination Questions and Answers 2023...

8 USD

0

0

Florida Laws & Rules (Dental Exam ADEX CDCA) Complete Study Review Guide 2023
View Document

Florida Laws & Rules (Dental Exam ADEX CDCA) Complete Study Review Guide 2023

  • Angelicer

    Angelicer

  • exam

Florida Laws & Rules (Dental Exam ADEX CDCA) Complete Study Review Guide 2023...

8 USD

0

0

DENTIN Florida Dental Laws Dentists - Florida Dental Laws and Rules exam Review Guide 2023
View Document

DENTIN Florida Dental Laws Dentists - Florida Dental Laws and Rules exam Review Guide 2023

  • Angelicer

    Angelicer

  • exam

DENTIN Florida Dental Laws Dentists - Florida Dental Laws and Rules exam Review Guide 2023...

8 USD

0

0

Florida Dental Laws and Rules Exam Questions and Answers 2023
View Document

Florida Dental Laws and Rules Exam Questions and Answers 2023

  • Angelicer

    Angelicer

  • exam

Florida Dental Laws and Rules Exam Questions and Answers 2023...

8 USD

0

0

Practice Exam, National Pesticide Applicator Certification Core Manual Questions and Answers
View Document

Practice Exam, National Pesticide Applicator Certification Core Manual Questions and Answers

  • Namwaki

    Namwaki

  • exam

Practice Exam, National Pesticide Applicator Certification Core Manual Questions and Answers...

10 USD

0

0

NUR 2474 Pharmacology Final Exam 2023 Questions and Answers
View Document

NUR 2474 Pharmacology Final Exam 2023 Questions and Answers

  • Eddah-Nafula

    Eddah-Nafula

  • test bank

NUR 2474 Pharmacology Final Exam 2023 Questions and Answers...

12 USD

0

0

NUR2474 Pharmacology for Professional Nursing Final Examination Blue Print Questions and answers
View Document

NUR2474 Pharmacology for Professional Nursing Final Examination Blue Print Questions and answers

  • Eddah-Nafula

    Eddah-Nafula

  • test bank

NUR2474 Pharmacology for Professional Nursing Final Examination Blue Print Questions and answers...

8 USD

0

0

NUR 2063 Final Exam Answered Essentials of Pathophysiology - Rasmussen
View Document

NUR 2063 Final Exam Answered Essentials of Pathophysiology - Rasmussen

  • Eddah-Nafula

    Eddah-Nafula

  • test bank

NUR 2063 Final Exam Answered Essentials of Pathophysiology - Rasmussen...

9 USD

0

0

NUR2474 Final Exam - Pharmacology for Professional Nursing Final Exam 2023
View Document

NUR2474 Final Exam - Pharmacology for Professional Nursing Final Exam 2023

  • Eddah-Nafula

    Eddah-Nafula

  • test bank

NUR2474 Final Exam - Pharmacology for Professional Nursing Final Exam 2023...

12 USD

0

0

NUR 2063, NUR2063 Essentials of Pathophysiology Final Exam (Latest 2023, 2024) Rasmussen
View Document

NUR 2063, NUR2063 Essentials of Pathophysiology Final Exam (Latest 2023, 2024) Rasmussen

  • Eddah-Nafula

    Eddah-Nafula

  • test bank

NUR 2063, NUR2063 Essentials of Pathophysiology Final Exam (Latest 2023, 2024) Rasmussen...

12 USD

0

0

ATI Comprehensive Exit Exam 2023 with NGN (REAL EXAM)
View Document

ATI Comprehensive Exit Exam 2023 with NGN (REAL EXAM)

  • mentor2000

    mentor2000

  • ati

ATI Comprehensive Exit Exam 2023 with NGN (REAL EXAM)...

17 USD

0

0

ATI Comprehensive Exit Exam Retake 2023 (REAL EXAM)
View Document

ATI Comprehensive Exit Exam Retake 2023 (REAL EXAM)

  • mentor2000

    mentor2000

  • ati

ATI Comprehensive Exit Exam Retake 2023 (REAL EXAM)...

17 USD

0

0

DCF - Child Growth and Development (CGDR) exam questions and answers
View Document

DCF - Child Growth and Development (CGDR) exam questions and answers

  • tutorvalentine

    tutorvalentine

  • exam

DCF - Child Growth and Development (CGDR) exam questions and answers...

10 USD

0

0

Students With Disabilities CST NYSTCE (060) exam questions with answers
View Document

Students With Disabilities CST NYSTCE (060) exam questions with answers

  • tutorvalentine

    tutorvalentine

  • exam

Students With Disabilities CST NYSTCE (060) exam questions with answers...

10 USD

0

0

NYSTCE Students with Disabilities CST [060] exam answered
View Document

NYSTCE Students with Disabilities CST [060] exam answered

  • tutorvalentine

    tutorvalentine

  • exam

NYSTCE Students with Disabilities CST [060] exam answered...

10 USD

0

0

Students With Disabilities CST NYSTCE (060) actual exam questions with answers
View Document

Students With Disabilities CST NYSTCE (060) actual exam questions with answers

  • tutorvalentine

    tutorvalentine

  • exam

Students With Disabilities CST NYSTCE (060) actual exam questions with answers...

10 USD

0

0

NYSTCE_ Educating All Students (EAS) Exam Study Review
View Document

NYSTCE_ Educating All Students (EAS) Exam Study Review

  • tutorvalentine

    tutorvalentine

  • exam

NYSTCE_ Educating All Students (EAS) Exam Study Review...

10 USD

0

0

Test bank for Introduction to Critical Care Nursing 8th Edition Sole Klein Moseley
View Document

Test bank for Introduction to Critical Care Nursing 8th Edition Sole Klein Moseley

  • Darling

    Darling

  • test bank

Test bank for Introduction to Critical Care Nursing 8th Edition Sole Klein Moseley...

17 USD

0

0

Wall Street Prep Exam Questions and Answers
View Document

Wall Street Prep Exam Questions and Answers

  • Angelicer

    Angelicer

  • study guide

Wall Street Prep Exam Questions and Answers...

10 USD

0

0

Wall Street Prep Premium Exam Questions and Answers 2023
View Document

Wall Street Prep Premium Exam Questions and Answers 2023

  • Angelicer

    Angelicer

  • study guide

Wall Street Prep Premium Exam Questions and Answers 2023...

13 USD

0

0

Test Bank for Physical Examination and Health Assessment 7th edition by Jarvis
View Document

Test Bank for Physical Examination and Health Assessment 7th edition by Jarvis

  • Eddah-Nafula

    Eddah-Nafula

  • test bank

Test Bank for Physical Examination and Health Assessment 7th edition by Jarvis...

17 USD

0

0

ATI Medical Surgical Proctored Exam 2020 (Real Exam)
View Document

ATI Medical Surgical Proctored Exam 2020 (Real Exam)

  • mentor2000

    mentor2000

  • ati proctored

ATI Medical Surgical Proctored Exam 2020 (Real Exam)...

15 USD

0

0

ATI Mental Health Proctored Exam 2020 (Real Exam)
View Document

ATI Mental Health Proctored Exam 2020 (Real Exam)

  • mentor2000

    mentor2000

  • ati proctored

ATI Mental Health Proctored Exam 2020 (Real Exam)...

15 USD

0

0

Prophecy medical surgical telemetry test exam for 2023
View Document

Prophecy medical surgical telemetry test exam for 2023

  • tutorvalentine

    tutorvalentine

  • study guide

Prophecy medical surgical telemetry test exam for 2023...

8 USD

0

0

Prophecy general ICU A V3 Test 2023
View Document

Prophecy general ICU A V3 Test 2023

  • tutorvalentine

    tutorvalentine

  • study guide

Prophecy general ICU A V3 Test 2023...

6 USD

0

0

USPS 421 Window Clerk Exam Study Guide 2023
View Document

USPS 421 Window Clerk Exam Study Guide 2023

  • tutorvalentine

    tutorvalentine

  • study guide

USPS 421 Window Clerk Exam Study Guide 2023...

6 USD

0

0

ASCP CG Certification Practice Exam Questions and Answers
View Document

ASCP CG Certification Practice Exam Questions and Answers

  • Clinton-Wanjala

    Clinton-Wanjala

  • exam

ASCP CG Certification Practice Exam Questions and Answers...

10 USD

0

0

Exit Exam File A B C D E F RN Comprehensive Predictor 2019
View Document

Exit Exam File A B C D E F RN Comprehensive Predictor 2019

  • tutorvalentine

    tutorvalentine

  • questions & answers

Exit Exam File A B C D E F RN Comprehensive Predictor 2019...

15 USD

0

0

TEAS 7 Science Exam Questions and Answers
View Document

TEAS 7 Science Exam Questions and Answers

  • tutorvalentine

    tutorvalentine

  • questions & answers

TEAS 7 Science Exam Questions and Answers...

7 USD

0

0

TEAS 7 Reading Exam Questions 2 (Correct Answers)
View Document

TEAS 7 Reading Exam Questions 2 (Correct Answers)

  • tutorvalentine

    tutorvalentine

  • questions & answers

TEAS 7 Reading Exam Questions 2 (Correct Answers)...

8 USD

0

0

Teas 7 Math exam answered
View Document

Teas 7 Math exam answered

  • tutorvalentine

    tutorvalentine

  • questions & answers

Teas 7 Math exam answered...

8 USD

0

0

TEAS 7 English and Language Usage Exam Questions with Answers
View Document

TEAS 7 English and Language Usage Exam Questions with Answers

  • tutorvalentine

    tutorvalentine

  • questions & answers

TEAS 7 English and Language Usage Exam Questions with Answers...

10 USD

0

0

Science Teas 7 questions and answers exam review
View Document

Science Teas 7 questions and answers exam review

  • tutorvalentine

    tutorvalentine

  • questions & answers

Science Teas 7 questions and answers exam review...

8 USD

0

0

ATI TEAS Reading Section (Test 2) Questions and Answers Exam Review
View Document

ATI TEAS Reading Section (Test 2) Questions and Answers Exam Review

  • tutorvalentine

    tutorvalentine

  • questions & answers

ATI TEAS Reading Section (Test 2) Questions and Answers Exam Review...

8 USD

0

0

ATI TEAS 7 math exam 2 questions and answers
View Document

ATI TEAS 7 math exam 2 questions and answers

  • tutorvalentine

    tutorvalentine

  • questions & answers

ATI TEAS 7 math exam 2 questions and answers...

8 USD

0

0

A&P1 - Module 1 Exam Study Guide
View Document

A&P1 - Module 1 Exam Study Guide

  • Angelicer

    Angelicer

  • questions & answers

A&P1 - Module 1 Exam Study Guide...

7 USD

0

0

Portage Learning, A&P 1 Module 3 Exam Questions And Answers
View Document

Portage Learning, A&P 1 Module 3 Exam Questions And Answers

  • Angelicer

    Angelicer

  • questions & answers

Portage Learning, A&P 1 Module 3 Exam Questions And Answers...

7 USD

0

0

A&P 1 101 Module 7 Exam Integumentary System- Portage Learning
View Document

A&P 1 101 Module 7 Exam Integumentary System- Portage Learning

  • Angelicer

    Angelicer

  • questions & answers

A&P 1 101 Module 7 Exam Integumentary System- Portage Learning...

7 USD

0

0

A&P 1 101 Module 2 Exam Questions and Answers- Portage Learning
View Document

A&P 1 101 Module 2 Exam Questions and Answers- Portage Learning

  • Angelicer

    Angelicer

  • questions & answers

A&P 1 101 Module 2 Exam Questions and Answers- Portage Learning...

7 USD

0

0

Portage learning A&P2 Module 1 exam
View Document

Portage learning A&P2 Module 1 exam

  • Angelicer

    Angelicer

  • questions & answers

Portage learning A&P2 Module 1 exam...

7 USD

0

0

Portage A&P Exam 1 (Answered)
View Document

Portage A&P Exam 1 (Answered)

  • Angelicer

    Angelicer

  • questions & answers

Portage A&P Exam 1 (Answered)...

7 USD

0

0

Portage Learning, A&P 1 Module 1 Exam Questions And Answers
View Document

Portage Learning, A&P 1 Module 1 Exam Questions And Answers

  • Angelicer

    Angelicer

  • questions & answers

Portage Learning, A&P 1 Module 1 Exam Questions And Answers...

8 USD

0

0

ATI Fundamentals Practice A, B, & Final, ATI Fundamentals Exam 2020
View Document

ATI Fundamentals Practice A, B, & Final, ATI Fundamentals Exam 2020

  • mentor2000

    mentor2000

  • exam

ATI Fundamentals Practice A, B, & Final, ATI Fundamentals Exam 2020...

15 USD

0

0

ATI Fundamentals exam questions and answers 2023, 2024 (Best Study Material)
View Document

ATI Fundamentals exam questions and answers 2023, 2024 (Best Study Material)

  • mentor2000

    mentor2000

  • exam

ATI Fundamentals exam questions and answers 2023, 2024 (Best Study Material)...

15 USD

0

0

ATI PN Fundamentals 2020 180 Questions and Answers (Real Exam)
View Document

ATI PN Fundamentals 2020 180 Questions and Answers (Real Exam)

  • mentor2000

    mentor2000

  • exam

ATI PN Fundamentals 2020 180 Questions and Answers (Real Exam)...

15 USD

0

0

SCI 225 Week 16 Pathophysiology Final Exam (Proctored) 2023
View Document

SCI 225 Week 16 Pathophysiology Final Exam (Proctored) 2023

  • mentor2000

    mentor2000

  • exam

SCI 225 Week 16 Pathophysiology Final Exam (Proctored) 2023...

10 USD

0

0

NURS 4827 - ATI Leadership Nursing 1 Predictor Exit Exam| NURS 4827 Leadership Nursing Predictor Exit Exam; Answers Provided.
View Document

NURS 4827 - ATI Leadership Nursing 1 Predictor Exit Exam| NURS 4827 Leadership Nursing Predictor Exit Exam; Answers Provided.

  • studypal

    studypal

  • questions & answers

NURS 4827 - ATI Leadership Nursing 1 Predictor Exit Exam| NURS 4827 Leadership Nursing Predictor Exit Exam; Answers Prov...

14 USD

0

0

ATI Med-Surg 1 Final Exam Review; Adult Health 2022 Proctored Exam - Answers Provided.
View Document

ATI Med-Surg 1 Final Exam Review; Adult Health 2022 Proctored Exam - Answers Provided.

  • studypal

    studypal

  • ati medical surgical

ATI Med-Surg 1 Final Exam Review; Adult Health 2022 Proctored Exam - Answers Provided....

9 USD

0

0

Med-Surg 1 Final Exam; Adult Health 2022 Proctored Exam - Answers Provided.
View Document

Med-Surg 1 Final Exam; Adult Health 2022 Proctored Exam - Answers Provided.

  • studypal

    studypal

  • ati medical surgical

Med-Surg 1 Final Exam; Adult Health 2022 Proctored Exam - Answers Provided....

14 USD

0

0

Milady Esthetics Final Exam Questions and Answers
View Document

Milady Esthetics Final Exam Questions and Answers

  • Eddah-Nafula

    Eddah-Nafula

  • questions & answers

Milady Esthetics Final Exam Questions and Answers...

5 USD

0

0

PMHNP certification Exam KM questions and answers
View Document

PMHNP certification Exam KM questions and answers

  • Eddah-Nafula

    Eddah-Nafula

  • questions & answers

PMHNP certification Exam KM questions and answers – Download PDF...

9 USD

0

0

PMHNP board exam non-pharmacological treatment test questions and answers
View Document

PMHNP board exam non-pharmacological treatment test questions and answers

  • Eddah-Nafula

    Eddah-Nafula

  • questions & answers

PMHNP board exam non-pharmacological treatment test questions and answers...

10 USD

0

0

PMHNP Exam Reported Questions and answers
View Document

PMHNP Exam Reported Questions and answers

  • Eddah-Nafula

    Eddah-Nafula

  • questions & answers

PMHNP Exam Reported Questions and answers...

9 USD

0

0

AANP FNP Certification Exam Study Guide
View Document

AANP FNP Certification Exam Study Guide

  • Eddah-Nafula

    Eddah-Nafula

  • questions & answers

AANP FNP Certification Exam Study Guide...

7 USD

0

0

Family Nurse Practitioner Exam ANCC (Study guide Solutions)
View Document

Family Nurse Practitioner Exam ANCC (Study guide Solutions)

  • Eddah-Nafula

    Eddah-Nafula

  • questions & answers

Family Nurse Practitioner Exam ANCC (Study guide Solutions)...

7 USD

0

0

PSI FNP Practice Exam Questions and Answers
View Document

PSI FNP Practice Exam Questions and Answers

  • Eddah-Nafula

    Eddah-Nafula

  • questions & answers

PSI FNP Practice Exam Questions and Answers...

7 USD

0

0

FNP Board Review exam- Psychology (Fitzgerald) questions and answers
View Document

FNP Board Review exam- Psychology (Fitzgerald) questions and answers

  • Eddah-Nafula

    Eddah-Nafula

  • questions & answers

FNP Board Review exam- Psychology (Fitzgerald) questions and answers...

8 USD

0

0

AANP FNP Certification Exam Questions and Answers
View Document

AANP FNP Certification Exam Questions and Answers

  • Eddah-Nafula

    Eddah-Nafula

  • questions & answers

AANP FNP Certification Exam Questions and Answers...

9 USD

0

0

ANCC FNP Exam Review Questions LEIK part 1 (Answered)
View Document

ANCC FNP Exam Review Questions LEIK part 1 (Answered)

  • Eddah-Nafula

    Eddah-Nafula

  • questions & answers

ANCC FNP Exam Review Questions LEIK part 1 (Answered)...

10 USD

0

0

NSG 3600 Exam 1 Pediatric Nursing Galen College of Nursing
View Document

NSG 3600 Exam 1 Pediatric Nursing Galen College of Nursing

  • mentor2000

    mentor2000

  • questions & answers

NSG 3600 Exam 1 Pediatric Nursing Galen College of Nursing...

8 USD

0

0

Florida Funeral Laws and Rules Exam
View Document

Florida Funeral Laws and Rules Exam

  • mentor2000

    mentor2000

  • questions & answers

Florida Funeral Laws and Rules Exam...

7 USD

0

0

PA Notary Public Exam Questions and Answers
View Document

PA Notary Public Exam Questions and Answers

  • mentor2000

    mentor2000

  • questions & answers

PA Notary Public Exam Questions and Answers...

8 USD

0

0

Pennsylvania Notary Public Examination (Answered)
View Document

Pennsylvania Notary Public Examination (Answered)

  • mentor2000

    mentor2000

  • questions & answers

Pennsylvania Notary Public Examination (Answered)...

10 USD

0

0

APhA Immunization Certification exam questions and answers
View Document

APhA Immunization Certification exam questions and answers

  • mentor2000

    mentor2000

  • questions & answers

APhA Immunization Certification exam questions and answers...

8 USD

0

0

C787 OA WGU Nutrition Exam Questions and Answers
View Document

C787 OA WGU Nutrition Exam Questions and Answers

  • mentor2000

    mentor2000

  • questions & answers

C787 OA WGU Nutrition Exam Questions and Answers...

7 USD

0

0

AANP 2023 Final Exam Study Guide
View Document

AANP 2023 Final Exam Study Guide

  • mentor2000

    mentor2000

  • questions & answers

AANP 2023 Final Exam Study Guide...

9 USD

0

0

Pediatrics- Exam 1 Galen College of Nursing (Answered)
View Document

Pediatrics- Exam 1 Galen College of Nursing (Answered)

  • mentor2000

    mentor2000

  • questions & answers

Pediatrics- Exam 1 Galen College of Nursing (Answered)...

10 USD

0

0

NSG 3600 Exam 1 Pediatric Nursing Galen College of Nursing (Study Guide)
View Document

NSG 3600 Exam 1 Pediatric Nursing Galen College of Nursing (Study Guide)

  • mentor2000

    mentor2000

  • questions & answers

NSG 3600 Exam 1 Pediatric Nursing Galen College of Nursing (Study Guide)...

7 USD

0

0

Simulation Course (S7) Exam 50 Questions and Answers (Real Exam)
View Document

Simulation Course (S7) Exam 50 Questions and Answers (Real Exam)

  • Namwaki

    Namwaki

  • exam

Simulation Course (S7) Exam 50 Questions and Answers (Real Exam)...

7 USD

0

0

NC BLET State Exam Study Guide
View Document

NC BLET State Exam Study Guide

  • Namwaki

    Namwaki

  • exam

NC BLET State Exam Study Guide...

7 USD

0

0

NC BLET State Exam Test Study Guide
View Document

NC BLET State Exam Test Study Guide

  • Namwaki

    Namwaki

  • exam

NC BLET State Exam Test Study Guide...

7 USD

0

0

NC BLET State Exam
View Document

NC BLET State Exam

  • Namwaki

    Namwaki

  • exam

NC BLET State Exam...

7 USD

0

0

NC BLET Final Exam Review
View Document

NC BLET Final Exam Review

  • Namwaki

    Namwaki

  • exam

NC BLET Final Exam Review...

7 USD

0

0

NC BLET State Exam (Answered)
View Document

NC BLET State Exam (Answered)

  • Namwaki

    Namwaki

  • exam

NC BLET State Exam (Answered)...

7 USD

0

0

BLET State Exam Study guide
View Document

BLET State Exam Study guide

  • Namwaki

    Namwaki

  • exam

BLET State Exam Study guide...

7 USD

0

0

NC BLET State Exam - Law Enforcement Communication Unit Sg (Answered)
View Document

NC BLET State Exam - Law Enforcement Communication Unit Sg (Answered)

  • Namwaki

    Namwaki

  • exam

NC BLET State Exam - Law Enforcement Communication Unit Sg (Answered)...

7 USD

0

0

S7 Assessment Exam Questions and Answers with Rationale
View Document

S7 Assessment Exam Questions and Answers with Rationale

  • Namwaki

    Namwaki

  • exam

S7 Assessment Exam Questions and Answers with Rationale...

5 USD

0

0

ATI Mental Health Proctored Exam (Answered)
View Document

ATI Mental Health Proctored Exam (Answered)

  • tutorvalentine

    tutorvalentine

  • exam

ATI Mental Health Proctored Exam (Answered)...

12 USD

0

1

ATI Proctored Mental Health Exam (Questions and Answers)
View Document

ATI Proctored Mental Health Exam (Questions and Answers)

  • tutorvalentine

    tutorvalentine

  • exam

ATI Proctored Mental Health Exam (Questions and Answers)...

12 USD

0

0

ATI Mental Health Proctored Exam (Best Review)
View Document

ATI Mental Health Proctored Exam (Best Review)

  • tutorvalentine

    tutorvalentine

  • exam

ATI Mental Health Proctored Exam (Best Review)...

12 USD

0

0

ATI Mental Health Proctored Exam 2020 with complete solution Graded A
View Document

ATI Mental Health Proctored Exam 2020 with complete solution Graded A

  • tutorvalentine

    tutorvalentine

  • exam

ATI Mental Health Proctored Exam 2020 with complete solution Graded A...

14 USD

0

0

ATI Mental Health Exam 2020 B (All Answers Correct)
View Document

ATI Mental Health Exam 2020 B (All Answers Correct)

  • tutorvalentine

    tutorvalentine

  • exam

ATI Mental Health Exam 2020 B (All Answers Correct)...

13 USD

0

0

New Jersey (NJ) Real Estate Practice Exam with Answers 2026
View Document

New Jersey (NJ) Real Estate Practice Exam with Answers 2026

  • mentor2000

    mentor2000

  • exam

New Jersey (NJ) Real Estate Practice Exam with Answers 2026...

10 USD

0

0

MED TERM 101 - Cumulative Midterm Medical Terminology Exam With Answers - Straighterline; 2022,2023
View Document

MED TERM 101 - Cumulative Midterm Medical Terminology Exam With Answers - Straighterline; 2022,2023

  • studypal

    studypal

  • questions & answers

MED TERM 101 - Cumulative Midterm Medical Terminology Exam With Answers - Straighterline; 2022,2023 – Download PDF...

14 USD

0

0

ATI Nursing HESI Practice Exam Answers - Detailed Answer Key 2022
View Document

ATI Nursing HESI Practice Exam Answers - Detailed Answer Key 2022

  • studypal

    studypal

  • ati medical surgical

ATI Nursing HESI Practice Exam Answers - Detailed Answer Key 2022...

14 USD

0

0

NURS 6521 Pharmacy Midterm Exam Questions with Answers 2026
View Document

NURS 6521 Pharmacy Midterm Exam Questions with Answers 2026

  • wangeci

    wangeci

  • exam

NURS 6521 Pharmacy Midterm Exam Questions with Answers 2025...

8 USD

0

1

NURS 6521 Pharmacy Final Exam 2023
View Document

NURS 6521 Pharmacy Final Exam 2023

  • wangeci

    wangeci

  • exam

NURS 6521 Pharmacy Final Exam 2023...

10 USD

0

0

NURS 6521 Midterm Exam (Walden University) 2023
View Document

NURS 6521 Midterm Exam (Walden University) 2023

  • wangeci

    wangeci

  • exam

NURS 6521 Midterm Exam (Walden University) 2023...

8 USD

0

0

ATI Comprehensive Predictor Retake
View Document

ATI Comprehensive Predictor Retake

  • mentor2000

    mentor2000

  • exam

ATI Comprehensive Predictor Retake...

15 USD

0

0

Mental Health Exam 1 Complete Study Guide
View Document

Mental Health Exam 1 Complete Study Guide

  • mentor2000

    mentor2000

  • exam

Mental Health Exam 1 Complete Study Guide...

8 USD

0

0

NUR2488 Mental Health Nursing Exam 1 (2023)
View Document

NUR2488 Mental Health Nursing Exam 1 (2023)

  • mentor2000

    mentor2000

  • exam

NUR2488 Mental Health Nursing Exam 1 (2023)...

10 USD

0

0

NU211, NUR2115 Fundamentals of Professional Nursing Exam 2
View Document

NU211, NUR2115 Fundamentals of Professional Nursing Exam 2

  • mentor2000

    mentor2000

  • exam

NU211, NUR2115 Fundamentals of Professional Nursing Exam 2...

10 USD

0

0

NU211, NUR2115 Fundamentals of Professional Nursing Exam 1
View Document

NU211, NUR2115 Fundamentals of Professional Nursing Exam 1

  • mentor2000

    mentor2000

  • exam

NU211, NUR2115 Fundamentals of Professional Nursing Exam 1...

10 USD

0

0

NUR 2488 Exam 3 Latest 2026 Mental Health Nursing Rasmussen Complete Exam
View Document

NUR 2488 Exam 3 Latest 2026 Mental Health Nursing Rasmussen Complete Exam

  • Namwaki

    Namwaki

  • exam

NUR 2488 Exam 3 Latest 2025 Mental Health Nursing Rasmussen Complete Exam...

7 USD

0

0

Maryville University Patho NURS 611 Exam 3 QUESTIONS AND ANSWERS
View Document

Maryville University Patho NURS 611 Exam 3 QUESTIONS AND ANSWERS

  • Namwaki

    Namwaki

  • exam

Maryville University Patho NURS 611 Exam 3 QUESTIONS AND ANSWERS...

10 USD

0

0

Mental Health Final Exam Study Guide
View Document

Mental Health Final Exam Study Guide

  • Namwaki

    Namwaki

  • exam

Mental Health Final Exam Study Guide...

10 USD

0

0

CEBS - GBA Practice Exam 2 Questions and Answers
View Document

CEBS - GBA Practice Exam 2 Questions and Answers

  • Namwaki

    Namwaki

  • exam

CEBS - GBA Practice Exam 2 Questions and Answers...

8 USD

0

0

CEBS - GBA Practice Exam 1 Questions and Answers
View Document

CEBS - GBA Practice Exam 1 Questions and Answers

  • Namwaki

    Namwaki

  • exam

CEBS - GBA Practice Exam 1 Questions and Answers...

8 USD

0

0

NUR 2058 Dimensions of NursingFinal Exam (Answered)
View Document

NUR 2058 Dimensions of NursingFinal Exam (Answered)

  • tutor_gesco

    tutor_gesco

  • exam

NUR 2058 Dimensions of NursingFinal Exam (Answered)...

10 USD

0

0

NURS-6501N-32, Advanced Pathophysiology Midterm Exam
View Document

NURS-6501N-32, Advanced Pathophysiology Midterm Exam

  • Eddah-Nafula

    Eddah-Nafula

  • study guide

NURS-6501N-32, Advanced Pathophysiology Midterm Exam...

10 USD

0

0

State Farm Property Exam Review
View Document

State Farm Property Exam Review

  • Eddah-Nafula

    Eddah-Nafula

  • study guide

State Farm Property Exam Review...

10 USD

0

0

State Farm Estimatics Exam Questions and Answers
View Document

State Farm Estimatics Exam Questions and Answers

  • Eddah-Nafula

    Eddah-Nafula

  • study guide

State Farm Estimatics Exam Questions and Answers...

10 USD

0

0

Lenovo Warranty Service Authorization Exam (RWST016) Questions and Answers with complete solutions
View Document

Lenovo Warranty Service Authorization Exam (RWST016) Questions and Answers with complete solutions

  • Eddah-Nafula

    Eddah-Nafula

  • study guide

Lenovo Warranty Service Authorization Exam (RWST016) Questions and Answers with complete solutions...

10 USD

0

0

CHEMISTRY 104 General chemistry 2; MODULE 3 Exam Answers - Portage Learning[Quiz Score: 94 out of 100]
View Document

CHEMISTRY 104 General chemistry 2; MODULE 3 Exam Answers - Portage Learning[Quiz Score: 94 out of 100]

  • studypal

    studypal

  • questions & answers

CHEMISTRY 104 General chemistry 2; MODULE 3 Exam Answers - Portage Learning[Quiz Score: 94 out of 100]...

7 USD

0

0

CHEMISTRY 104 General chemistry 2; MODULE 1 –MODULE 6 Exam Answers 2026 - Portage Learning
View Document

CHEMISTRY 104 General chemistry 2; MODULE 1 –MODULE 6 Exam Answers 2026 - Portage Learning

  • studypal

    studypal

  • questions & answers

CHEMISTRY 104 General chemistry 2; MODULE 1 –MODULE 6 Exam Answers 2025 - Portage Learning...

13 USD

0

0

PCI-DSS ISA Exam QUESTIONS AND ANSWERS 2026
View Document

PCI-DSS ISA Exam QUESTIONS AND ANSWERS 2026

  • studypal

    studypal

  • questions & answers

PCI-DSS ISA Exam QUESTIONS AND ANSWERS 2025...

7 USD

0

0

CPHQ-Certified Professional in Healthcare Quality Certification Exam Form A and B 2023 - All Answers Provided.
View Document

CPHQ-Certified Professional in Healthcare Quality Certification Exam Form A and B 2023 - All Answers Provided.

  • studypal

    studypal

  • questions & answers

CPHQ-Certified Professional in Healthcare Quality Certification Exam Form A and B 2023 - All Answers Provided. – Downl...

14 USD

0

0

SAFe Advanced Scrum Master Real Exam 5.1, Questions and Answers 2022, 2023
View Document

SAFe Advanced Scrum Master Real Exam 5.1, Questions and Answers 2022, 2023

  • studypal

    studypal

  • questions & answers

SAFe Advanced Scrum Master Real Exam 5.1, Questions and Answers 2022, 2023 – Download PDF...

12 USD

0

0

HSCO 506 exam 4 Questions and Answers
View Document

HSCO 506 exam 4 Questions and Answers

  • mentor2000

    mentor2000

  • exam

HSCO 506 exam 4 Questions and Answers...

1 USD

0

1

Med Surg 2 All Exam Questions Exam 1, 2 & 3.
View Document

Med Surg 2 All Exam Questions Exam 1, 2 & 3.

  • mentor2000

    mentor2000

  • book

Med Surg 2 All Exam Questions Exam 1, 2 & 3....

10 USD

0

0

Portage Final Exam BIOD 171
View Document

Portage Final Exam BIOD 171

  • Emily

    Emily

  • exam

Portage Final Exam BIOD 171...

10 USD

0

0

Microbiology (BIO 171) Final Exam (All answers correct)
View Document

Microbiology (BIO 171) Final Exam (All answers correct)

  • Emily

    Emily

  • exam

Microbiology (BIO 171) Final Exam (All answers correct)...

10 USD

0

0

BIOD 171 Module 1-6 Exams Questions With Answers
View Document

BIOD 171 Module 1-6 Exams Questions With Answers

  • Emily

    Emily

  • exam

BIOD 171 Module 1-6 Exams Questions With Answers...

10 USD

0

0

BIOD 171 Lab Exams 1-9 (Answered)
View Document

BIOD 171 Lab Exams 1-9 (Answered)

  • Emily

    Emily

  • exam

BIOD 171 Lab Exams 1-9 (Answered)...

10 USD

0

0

BIOD 171 Final Exam Quiz
View Document

BIOD 171 Final Exam Quiz

  • Emily

    Emily

  • exam

BIOD 171 Final Exam Quiz...

10 USD

0

0

BIOD 171 Final Exam (Answered)
View Document

BIOD 171 Final Exam (Answered)

  • Emily

    Emily

  • exam

BIOD 171 Final Exam (Answered)...

10 USD

0

0

ATI PEDS Proctored Exam
View Document

ATI PEDS Proctored Exam

  • Emily

    Emily

  • exam

ATI PEDS Proctored Exam...

10 USD

0

0

MATH 221 Week 8 Final Exam
View Document

MATH 221 Week 8 Final Exam

  • Leo37

    Leo37

  • questions & answers

MATH 221 Week 8 Final Exam...

7 USD

0

0

ServSafe Manager Exam (2022, 2023) With Correct Answers, Already Graded A
View Document

ServSafe Manager Exam (2022, 2023) With Correct Answers, Already Graded A

  • studypal

    studypal

  • questions & answers

ServSafe Manager Exam (2022, 2023) With Correct Answers, Already Graded A – Download PDF...

10 USD

0

0

(Answered) C215 WGU Operations Mgmt- Post Exam
View Document

(Answered) C215 WGU Operations Mgmt- Post Exam

  • mentor2000

    mentor2000

  • questions & answers

(Answered) C215 WGU Operations Mgmt- Post Exam...

7 USD

0

0

VN 210 PM-GROUP Midterm proctored Exam 2023 (Answered)
View Document

VN 210 PM-GROUP Midterm proctored Exam 2023 (Answered)

  • Emily

    Emily

  • exam

VN 210 PM-GROUP Midterm proctored Exam 2023 (Answered)...

7 USD

0

0

Pharmacology HESI Practice Exam 3
View Document

Pharmacology HESI Practice Exam 3

  • mentor2000

    mentor2000

  • study guide

Pharmacology HESI Practice Exam 3...

10 USD

0

0

NR 341 Final Exam 2023
View Document

NR 341 Final Exam 2023

  • mentor2000

    mentor2000

  • study guide

NR 341 Final Exam 2023...

10 USD

0

0

Answer key for 16th Edition CNPR Pharmaceutical Sales Reps Exam NAPSRx® Final Exam Quiz Solution
View Document

Answer key for 16th Edition CNPR Pharmaceutical Sales Reps Exam NAPSRx® Final Exam Quiz Solution

  • mentor2000

    mentor2000

  • study guide

Answer key for 16th Edition CNPR Pharmaceutical Sales Reps Exam NAPSRx® Final Exam Quiz Solution...

10 USD

0

0

Nurs 6635 Psychotherapy Midterm Exam Answered 2023
View Document

Nurs 6635 Psychotherapy Midterm Exam Answered 2023

  • Opati-Kaka

    Opati-Kaka

  • test bank

Nurs 6635 Psychotherapy Midterm Exam Answered 2023...

10 USD

0

0

CPHQ-Certified Professional in Healthcare Quality Certification Exam A (correct answers are displayed in bold) 2022
View Document

CPHQ-Certified Professional in Healthcare Quality Certification Exam A (correct answers are displayed in bold) 2022

  • studypal

    studypal

  • questions & answers

CPHQ-Certified Professional in Healthcare Quality Certification Exam A (correct answers are displayed in bold) 2022...

9 USD

0

0

ATI RN Comprehensive Exit Predictor 2019B (Real Exam)
View Document

ATI RN Comprehensive Exit Predictor 2019B (Real Exam)

  • mentor2000

    mentor2000

  • ati

ATI RN Comprehensive Exit Predictor 2019B (Real Exam)...

15 USD

0

0

ATI RN Capstone Comprehensive Assessment Proctored Test 2019B (Real Exam)
View Document

ATI RN Capstone Comprehensive Assessment Proctored Test 2019B (Real Exam)

  • mentor2000

    mentor2000

  • ati

ATI RN Capstone Comprehensive Assessment Proctored Test 2019B (Real Exam)...

15 USD

0

0

ATI RN Capstone Comprehensive Assessment Proctored Test 2019A (Real Exam)
View Document

ATI RN Capstone Comprehensive Assessment Proctored Test 2019A (Real Exam)

  • mentor2000

    mentor2000

  • ati

ATI RN Capstone Comprehensive Assessment Proctored Test 2019A (Real Exam)...

15 USD

0

0

Ati Exit exam RN Comprehensive Predictor 2019D
View Document

Ati Exit exam RN Comprehensive Predictor 2019D

  • mentor2000

    mentor2000

  • ati

Ati Exit exam RN Comprehensive Predictor 2019D...

15 USD

0

0

ATI Comprehensive Exit Predictor 2019A (Real Exam)
View Document

ATI Comprehensive Exit Predictor 2019A (Real Exam)

  • mentor2000

    mentor2000

  • ati

ATI Comprehensive Exit Predictor 2019A (Real Exam)...

15 USD

0

0

Certified Professional in Healthcare Quality Certification Exam B (correct answers are displayed in bold) 2022
View Document

Certified Professional in Healthcare Quality Certification Exam B (correct answers are displayed in bold) 2022

  • studypal

    studypal

  • questions & answers

Certified Professional in Healthcare Quality Certification Exam B (correct answers are displayed in bold) 2022...

14 USD

0

0

NRS 509 Final Exam 2023 (Verified)
View Document

NRS 509 Final Exam 2023 (Verified)

  • Angelicer

    Angelicer

  • exam

NRS 509 Final Exam 2023 (Verified)...

10 USD

0

0

NR 509 Midterm Exam 2023
View Document

NR 509 Midterm Exam 2023

  • Angelicer

    Angelicer

  • exam

NR 509 Midterm Exam 2023...

10 USD

0

0

NR 509 Final Exam 2023 Test Bank
View Document

NR 509 Final Exam 2023 Test Bank

  • Angelicer

    Angelicer

  • exam

NR 509 Final Exam 2023 Test Bank...

10 USD

0

0

NR 509 Final Exam Review Guide 2023
View Document

NR 509 Final Exam Review Guide 2023

  • Angelicer

    Angelicer

  • exam

NR 509 Final Exam Review Guide 2023...

10 USD

0

0

NR 509 Final Exam Preparation Study Guide
View Document

NR 509 Final Exam Preparation Study Guide

  • Angelicer

    Angelicer

  • exam

NR 509 Final Exam Preparation Study Guide...

10 USD

0

0

NR 509 Final Exam 2023
View Document

NR 509 Final Exam 2023

  • Angelicer

    Angelicer

  • exam

NR 509 Final Exam 2023...

10 USD

0

0

The Scaled Agile Framework (SAFe) 5 Agilist Exam (5.1) Questions and Answers 2022 [All Correct Answers]
View Document

The Scaled Agile Framework (SAFe) 5 Agilist Exam (5.1) Questions and Answers 2022 [All Correct Answers]

  • studypal

    studypal

  • questions & answers

The Scaled Agile Framework (SAFe) 5 Agilist Exam (5.1) Questions and Answers 2022 [All Correct Answers]...

14 USD

0

0

MATH 110 Introduction to Statistics - Portage Learning All Exam Questions and Correct Answers
View Document

MATH 110 Introduction to Statistics - Portage Learning All Exam Questions and Correct Answers

  • Namwaki

    Namwaki

  • questions & answers

MATH 110 Introduction to Statistics - Portage Learning All Exam Questions and Correct Answers...

10 USD

0

0

CNA FINAL EXAM -answered questions for CNA exam 2022, Certified Nursing Assistant | (CNA) Exam
View Document

CNA FINAL EXAM -answered questions for CNA exam 2022, Certified Nursing Assistant | (CNA) Exam

  • studypal

    studypal

  • questions & answers

CNA FINAL EXAM -answered questions for CNA exam 2022, Certified Nursing Assistant | (CNA) Exam – Download PDF...

9 USD

0

0

NR 509 Midterm Exam Questions & Answers 2023
View Document

NR 509 Midterm Exam Questions & Answers 2023

  • Nkosi

    Nkosi

  • questions & answers

NR 509 Midterm Exam Questions & Answers 2023...

8 USD

0

0

NR 509 Final Exam Test Bank 2023
View Document

NR 509 Final Exam Test Bank 2023

  • Nkosi

    Nkosi

  • questions & answers

NR 509 Final Exam Test Bank 2023...

12 USD

0

0

NR 509 Final Exam Study Guide 2023 (162 Questions + Answers)
View Document

NR 509 Final Exam Study Guide 2023 (162 Questions + Answers)

  • Nkosi

    Nkosi

  • questions & answers

NR 509 Final Exam Study Guide 2023 (162 Questions + Answers)...

8 USD

0

0

NR 509 Final Exam Questions & Answers 2023
View Document

NR 509 Final Exam Questions & Answers 2023

  • Nkosi

    Nkosi

  • questions & answers

NR 509 Final Exam Questions & Answers 2023...

8 USD

0

0

NR 509 Final Exam 2023 (Real Exam)
View Document

NR 509 Final Exam 2023 (Real Exam)

  • Nkosi

    Nkosi

  • questions & answers

NR 509 Final Exam 2023 (Real Exam)...

8 USD

0

0

Chamberlain NR 509 Final Exam 2023
View Document

Chamberlain NR 509 Final Exam 2023

  • Nkosi

    Nkosi

  • questions & answers

Chamberlain NR 509 Final Exam 2023...

8 USD

0

0

C787 OA WGU NUTRITION EXAM 2022  135 QUESTIONWITH 100 CORRECT ANSWERS
View Document

C787 OA WGU NUTRITION EXAM 2022 135 QUESTIONWITH 100 CORRECT ANSWERS

  • Emily

    Emily

  • questions & answers

C787 OA WGU NUTRITION EXAM 2022 135 QUESTIONWITH 100 CORRECT ANSWERS...

12 USD

0

0

BIOS 256 Final Exam 86 Questions And Answers Latest2022
View Document

BIOS 256 Final Exam 86 Questions And Answers Latest2022

  • Emily

    Emily

  • questions & answers

BIOS 256 Final Exam 86 Questions And Answers Latest2022...

10 USD

0

0

AUBF LAB EXAMS M1-M2 ASSESSMENT
View Document

AUBF LAB EXAMS M1-M2 ASSESSMENT

  • Emily

    Emily

  • questions & answers

AUBF LAB EXAMS M1-M2 ASSESSMENT...

10 USD

0

0

WGU C182 Practice Exam B Questions and Answer
View Document

WGU C182 Practice Exam B Questions and Answer

  • Eddah-Nafula

    Eddah-Nafula

  • test bank

WGU C182 Practice Exam B Questions and Answer...

10 USD

0

0

PGA PGM Associate Qualifying 3.0 Exam Questions and Answers
View Document

PGA PGM Associate Qualifying 3.0 Exam Questions and Answers

  • Emily

    Emily

  • exam

PGA PGM Associate Qualifying 3.0 Exam Questions and Answers...

10 USD

0

0

HESI RN CAT Exam 2022 V1 & V2 Questions and Answers
View Document

HESI RN CAT Exam 2022 V1 & V2 Questions and Answers

  • Emily

    Emily

  • exam

HESI RN CAT Exam 2022 V1 & V2 Questions and Answers...

12 USD

0

0

Hesi Exit Exam Prep Questions and Answers
View Document

Hesi Exit Exam Prep Questions and Answers

  • Emily

    Emily

  • exam

Hesi Exit Exam Prep Questions and Answers...

12 USD

0

0

APEA 2022 Predictor Test Exam Pack
View Document

APEA 2022 Predictor Test Exam Pack

  • Emily

    Emily

  • exam

APEA 2022 Predictor Test Exam Pack...

15 USD

0

0

MED SURG 201 Section 3 Final Exam Practice Questions 2022.2023
View Document

MED SURG 201 Section 3 Final Exam Practice Questions 2022.2023

  • Emily

    Emily

  • exam

MED SURG 201 Section 3 Final Exam Practice Questions 2022.2023...

10 USD

0

0

MED SURG 201 Section 2 Final Exam Practice Questions 2022.2023
View Document

MED SURG 201 Section 2 Final Exam Practice Questions 2022.2023

  • Emily

    Emily

  • exam

MED SURG 201 Section 2 Final Exam Practice Questions 2022.2023...

10 USD

0

0

NUR-631 Final Exam Study Guide (Grand Canyon University) GCU
View Document

NUR-631 Final Exam Study Guide (Grand Canyon University) GCU

  • Emily

    Emily

  • test bank

NUR-631 Final Exam Study Guide (Grand Canyon University) GCU...

10 USD

0

0

NUR-631 Final Exam Study Guide (Download to pass)
View Document

NUR-631 Final Exam Study Guide (Download to pass)

  • Emily

    Emily

  • test bank

NUR-631 Final Exam Study Guide (Download to pass)...

10 USD

0

0

NUR 631- Patho Final Exam 2022, 2023
View Document

NUR 631- Patho Final Exam 2022, 2023

  • Emily

    Emily

  • test bank

NUR 631- Patho Final Exam 2022, 2023...

7 USD

0

0

Computer Science AZ-900 Exam- Questions and Answers (Examiners Marking Scheme)100% Verified
View Document

Computer Science AZ-900 Exam- Questions and Answers (Examiners Marking Scheme)100% Verified

  • studypal

    studypal

  • questions & answers

Computer Science AZ-900 Exam- Questions and Answers (Examiners Marking Scheme)100% Verified – Download PDF...

12 USD

0

0

TCOLE Practice Jailer exam, practice for Texas Basic Jailer
View Document

TCOLE Practice Jailer exam, practice for Texas Basic Jailer

  • Emily

    Emily

  • study guide

TCOLE Practice Jailer exam, practice for Texas Basic Jailer...

8 USD

0

0

SSI ITC Final Exam Questions & Answers
View Document

SSI ITC Final Exam Questions & Answers

  • Emily

    Emily

  • ati proctored

SSI ITC Final Exam Questions & Answers – Download PDF...

10 USD

0

0

AZ-104 Renewal Final Exam, Verified Questions and Answers
View Document

AZ-104 Renewal Final Exam, Verified Questions and Answers

  • Emily

    Emily

  • ati proctored

AZ-104 Renewal Final Exam, Verified Questions and Answers...

16 USD

0

0

ATI RN Leadership 2022 (Real Exam)
View Document

ATI RN Leadership 2022 (Real Exam)

  • Emily

    Emily

  • ati proctored

ATI RN Leadership 2022 (Real Exam)...

15 USD

0

0

ATI RN Leadership 2019 (Real Exam)
View Document

ATI RN Leadership 2019 (Real Exam)

  • Emily

    Emily

  • ati proctored

ATI RN Leadership 2019 (Real Exam)...

15 USD

0

0

Psychiatric-Mental Health Nurse Practitioner (PMHNP) board certification exam - Question Bank
View Document

Psychiatric-Mental Health Nurse Practitioner (PMHNP) board certification exam - Question Bank

  • studypal

    studypal

  • questions & answers

Psychiatric-Mental Health Nurse Practitioner (PMHNP) board certification exam - Question Bank...

9 USD

0

0

OB FISDAP Exam Questions and Answers Latest Update
View Document

OB FISDAP Exam Questions and Answers Latest Update

  • Emily

    Emily

  • exam

OB FISDAP Exam Questions and Answers Latest Update...

9 USD

0

0

ATI NUTRITION PROCTORED EXAM RETAKE 2019
View Document

ATI NUTRITION PROCTORED EXAM RETAKE 2019

  • Emily

    Emily

  • exam

ATI NUTRITION PROCTORED EXAM RETAKE 2019...

16 USD

0

0

ATI Mental Health Proctored Exam 2019
View Document

ATI Mental Health Proctored Exam 2019

  • Emily

    Emily

  • exam

ATI Mental Health Proctored Exam 2019...

16 USD

0

0

NURS 6635 MIDTERM PMHNPNURS 6635MIDTERM-PMHNP Newly Updated Exam Elaborations Questions with Answers Explanations
View Document

NURS 6635 MIDTERM PMHNPNURS 6635MIDTERM-PMHNP Newly Updated Exam Elaborations Questions with Answers Explanations

  • Emily

    Emily

  • exam

NURS 6635 MIDTERM PMHNPNURS 6635MIDTERM-PMHNP Newly Updated Exam Elaborations Questions with Answers Explanations...

10 USD

0

0

NR325 Adult Health II Exam 1 ROK
View Document

NR325 Adult Health II Exam 1 ROK

  • Emily

    Emily

  • exam

NR325 Adult Health II Exam 1 ROK...

10 USD

0

0

NR 503 Week 4 Midterm Exam 2023
View Document

NR 503 Week 4 Midterm Exam 2023

  • Emily

    Emily

  • exam

NR 503 Week 4 Midterm Exam 2023 – Download PDF...

11 USD

0

0

NR 328 Exam 2 Study Guide (Latest 2022.2023) Pediatric Nursing
View Document

NR 328 Exam 2 Study Guide (Latest 2022.2023) Pediatric Nursing

  • Emily

    Emily

  • exam

NR 328 Exam 2 Study Guide (Latest 2022.2023) Pediatric Nursing...

12 USD

0

0

NR 325 Med Surge II exam 3
View Document

NR 325 Med Surge II exam 3

  • Emily

    Emily

  • exam

NR 325 Med Surge II exam 3...

12 USD

0

0

NR 325 Med Surg 2 Exam 1 Review (Latest update)
View Document

NR 325 Med Surg 2 Exam 1 Review (Latest update)

  • Emily

    Emily

  • exam

NR 325 Med Surg 2 Exam 1 Review (Latest update)...

12 USD

0

0

NR 222 RN HESI Exit Exam Remediation Question With Elaborated Answers
View Document

NR 222 RN HESI Exit Exam Remediation Question With Elaborated Answers

  • Emily

    Emily

  • exam

NR 222 RN HESI Exit Exam Remediation Question With Elaborated Answers...

14 USD

0

0

CPC Final Exam ANSWERS.
View Document

CPC Final Exam ANSWERS.

  • Emily

    Emily

  • exam

CPC Final Exam ANSWERS....

10 USD

0

0

ATI RN MEDSURG PROCTORED EXAM {All Questions Answered And Elaborated}
View Document

ATI RN MEDSURG PROCTORED EXAM {All Questions Answered And Elaborated}

  • Emily

    Emily

  • exam

ATI RN MEDSURG PROCTORED EXAM {All Questions Answered And Elaborated}...

15 USD

0

0

ATI Care of Children RN 2019 Proctored Exam - Level 3!. Peds 2019. All 70 Questions correctly Answered
View Document

ATI Care of Children RN 2019 Proctored Exam - Level 3!. Peds 2019. All 70 Questions correctly Answered

  • Emily

    Emily

  • exam

ATI Care of Children RN 2019 Proctored Exam - Level 3!. Peds 2019. All 70 Questions correctly Answered...

15 USD

0

0

NCLEX RN ACTUAL EXAM TEST BANK OF REAL QUESTIONS & ANSWERS
View Document

NCLEX RN ACTUAL EXAM TEST BANK OF REAL QUESTIONS & ANSWERS

  • mentor2000

    mentor2000

  • exam

NCLEX RN ACTUAL EXAM TEST BANK OF REAL QUESTIONS & ANSWERS...

15 USD

0

0

NCLEX RN 2026 REAL EXAM REAL QUESTIONS & ANSWERS TEST BANK
View Document

NCLEX RN 2026 REAL EXAM REAL QUESTIONS & ANSWERS TEST BANK

  • mentor2000

    mentor2000

  • exam

NCLEX RN 2025 REAL EXAM REAL QUESTIONS & ANSWERS TEST BANK...

15 USD

0

1

FIN 320- Exam Paper 3 (2022)
View Document

FIN 320- Exam Paper 3 (2022)

  • mentor2000

    mentor2000

  • exam

FIN 320- Exam Paper 3 (2022)...

10 USD

0

0

FIN 320- Exam Paper 3 (2022) - The Only Study Guide You Need To Pass
View Document

FIN 320- Exam Paper 3 (2022) - The Only Study Guide You Need To Pass

  • mentor2000

    mentor2000

  • exam

FIN 320- Exam Paper 3 (2022) - The Only Study Guide You Need To Pass...

8 USD

0

0

NURSING MISC 3P EXAM QUESTIONS AND ANSWERS (2022)
View Document

NURSING MISC 3P EXAM QUESTIONS AND ANSWERS (2022)

  • Kaponga

    Kaponga

  • exam

NURSING MISC 3P EXAM QUESTIONS AND ANSWERS (2022)...

15 USD

0

0

TNCC Final Exam Test 2022 Open Book
View Document

TNCC Final Exam Test 2022 Open Book

  • mentor2000

    mentor2000

  • exam

TNCC Final Exam Test 2022 Open Book...

6 USD

0

0

LMR Georgette’s PMHNP Certification Exam
View Document

LMR Georgette’s PMHNP Certification Exam

  • mentor2000

    mentor2000

  • exam

LMR Georgette’s PMHNP Certification Exam...

5 USD

0

0

ITIL 4 Foundation Practice Exam with Rationale 2022
View Document

ITIL 4 Foundation Practice Exam with Rationale 2022

  • mentor2000

    mentor2000

  • exam

ITIL 4 Foundation Practice Exam with Rationale 2022...

7 USD

0

0

ITIL 4 Foundation Complete Exam Review Guide
View Document

ITIL 4 Foundation Complete Exam Review Guide

  • mentor2000

    mentor2000

  • exam

ITIL 4 Foundation Complete Exam Review Guide...

7 USD

0

0

ITIL 4 Foundation Certification Exam Answered 2022
View Document

ITIL 4 Foundation Certification Exam Answered 2022

  • mentor2000

    mentor2000

  • exam

ITIL 4 Foundation Certification Exam Answered 2022...

9 USD

0

0

CLG 0010 Exam All Answers Correct_ Spring 2022
View Document

CLG 0010 Exam All Answers Correct_ Spring 2022

  • mentor2000

    mentor2000

  • exam

CLG 0010 Exam All Answers Correct_ Spring 2022...

8 USD

0

0

Additional Duty Safety Course Exam 2022
View Document

Additional Duty Safety Course Exam 2022

  • mentor2000

    mentor2000

  • exam

Additional Duty Safety Course Exam 2022...

7 USD

0

0

HESI A2|Evolve Reach  LEVEL 3 PRACTICE EXAM Comprehensive Review ( Screenshots) 209 Questions And Revised Answers.
View Document

HESI A2|Evolve Reach LEVEL 3 PRACTICE EXAM Comprehensive Review ( Screenshots) 209 Questions And Revised Answers.

  • studypal

    studypal

  • hesi

HESI A2|Evolve Reach LEVEL 3 PRACTICE EXAM Comprehensive Review ( Screenshots) 209 Questions And Revised Answers....

14 USD

0

1

RCE2601 EXAM PORTFOLIO OCTOBER 2022
View Document

RCE2601 EXAM PORTFOLIO OCTOBER 2022

  • Eddah-Nafula

    Eddah-Nafula

  • exam

RCE2601 EXAM PORTFOLIO OCTOBER 2022 – Download PDF...

1 USD

0

2

Portage Learning, A&P 1 Module 6 Exam Questions and Answers 2022
View Document

Portage Learning, A&P 1 Module 6 Exam Questions and Answers 2022

  • Eddah-Nafula

    Eddah-Nafula

  • exam

Portage Learning, A&P 1 Module 6 Exam Questions and Answers 2022...

10 USD

0

0

NURSING 3345 HESI CAPSTONE EXAM REVIEW 2022
View Document

NURSING 3345 HESI CAPSTONE EXAM REVIEW 2022

  • Eddah-Nafula

    Eddah-Nafula

  • exam

NURSING 3345 HESI CAPSTONE EXAM REVIEW 2022...

15 USD

0

0

JB LEARNING, EMT FINAL EXAM 2022
View Document

JB LEARNING, EMT FINAL EXAM 2022

  • Eddah-Nafula

    Eddah-Nafula

  • exam

JB LEARNING, EMT FINAL EXAM 2022...

10 USD

0

0

EMT FISDAP FINAL EXAM 2022
View Document

EMT FISDAP FINAL EXAM 2022

  • Eddah-Nafula

    Eddah-Nafula

  • exam

EMT FISDAP FINAL EXAM 2022...

10 USD

0

0

EMT Final Exam 2022
View Document

EMT Final Exam 2022

  • Eddah-Nafula

    Eddah-Nafula

  • exam

EMT Final Exam 2022...

10 USD

0

0

EMT 104 Final Exam Questions and Answers 2022
View Document

EMT 104 Final Exam Questions and Answers 2022

  • Eddah-Nafula

    Eddah-Nafula

  • exam

EMT 104 Final Exam Questions and Answers 2022...

10 USD

0

0

BIOD 151  Molue 1-7 All exams answer key with complete solution(Latest update 2022)
View Document

BIOD 151 Molue 1-7 All exams answer key with complete solution(Latest update 2022)

  • Eddah-Nafula

    Eddah-Nafula

  • exam

BIOD 151 Molue 1-7 All exams answer key with complete solution(Latest update 2022)...

12 USD

0

0

ATI COMPREHENSIVE EXIT EXAM 2022 COMPLETE SOLUTION
View Document

ATI COMPREHENSIVE EXIT EXAM 2022 COMPLETE SOLUTION

  • Eddah-Nafula

    Eddah-Nafula

  • exam

ATI COMPREHENSIVE EXIT EXAM 2022 COMPLETE SOLUTION...

15 USD

0

0

National Dental Assisting Examining Board(NDAEB) Multiple Exams With Answers (NEW UPDATE) 2022
View Document

National Dental Assisting Examining Board(NDAEB) Multiple Exams With Answers (NEW UPDATE) 2022

  • studypal

    studypal

  • questions & answers

National Dental Assisting Examining Board(NDAEB) Multiple Exams With Answers (NEW UPDATE) 2022...

14 USD

0

0

NAPSRx® Final Exam Quiz Solution 2021-2022 Rated A+ 144 Correct Answers out of 160
View Document

NAPSRx® Final Exam Quiz Solution 2021-2022 Rated A+ 144 Correct Answers out of 160

  • Angelicer

    Angelicer

  • exam

NAPSRx® Final Exam Quiz Solution 2021-2022 Rated A+ 144 Correct Answers out of 160...

15 USD

0

0

NAPRxs CNPR Exam 2022
View Document

NAPRxs CNPR Exam 2022

  • Angelicer

    Angelicer

  • exam

NAPRxs CNPR Exam 2022 – Download PDF...

10 USD

0

0

NAPRX, CNPR Exam 2022 (160 Questions & Answers)
View Document

NAPRX, CNPR Exam 2022 (160 Questions & Answers)

  • Angelicer

    Angelicer

  • exam

NAPRX, CNPR Exam 2022 (160 Questions & Answers)...

15 USD

0

0

CNPR, NAPSR Exam Pack 2022 (ANSWERED)
View Document

CNPR, NAPSR Exam Pack 2022 (ANSWERED)

  • Angelicer

    Angelicer

  • exam

CNPR, NAPSR Exam Pack 2022 (ANSWERED)...

15 USD

0

0

(VERIFIED!!) CNA Chapter 7 Exam Questions and Answers (2022, 2023)
View Document

(VERIFIED!!) CNA Chapter 7 Exam Questions and Answers (2022, 2023)

  • Angelicer

    Angelicer

  • exam

(VERIFIED!!) CNA Chapter 7 Exam Questions and Answers (2022, 2023)...

15 USD

0

0

(SOLVED) CNPR PHARMACEUTICAL SALES REPS EXAM (16TH EDITION ANSWER KEY). NAPRX, CNPR Exam Questions & Answers
View Document

(SOLVED) CNPR PHARMACEUTICAL SALES REPS EXAM (16TH EDITION ANSWER KEY). NAPRX, CNPR Exam Questions & Answers

  • Angelicer

    Angelicer

  • exam

(SOLVED) CNPR PHARMACEUTICAL SALES REPS EXAM (16TH EDITION ANSWER KEY). NAPRX, CNPR Exam Questions & Answers...

15 USD

0

0

Health Appraisal for NPs; Dermatology & Psych, Behavioral Health quiz with answers
View Document

Health Appraisal for NPs; Dermatology & Psych, Behavioral Health quiz with answers

  • studypal

    studypal

  • questions & answers

Health Appraisal for NPs; Dermatology & Psych, Behavioral Health quiz with answers – Download PDF...

9 USD

0

0

IHP HESI RN EXIT EXAM ANSWERS
View Document

IHP HESI RN EXIT EXAM ANSWERS

  • studypal

    studypal

  • hesi

IHP HESI RN EXIT EXAM ANSWERS – Download PDF...

9 USD

0

0

HESI Practice Test Comprehensive Exam Assessment Performance 100% Correct - 2021
View Document

HESI Practice Test Comprehensive Exam Assessment Performance 100% Correct - 2021

  • studypal

    studypal

  • hesi

HESI Practice Test Comprehensive Exam Assessment Performance 100% Correct - 2021...

14 USD

0

0

ATI FUNDAMENTALS PROCTORED EXAM  TEST BANK 2020 - 2022
View Document

ATI FUNDAMENTALS PROCTORED EXAM TEST BANK 2020 - 2022

  • Eddah-Nafula

    Eddah-Nafula

  • exam

ATI FUNDAMENTALS PROCTORED EXAM TEST BANK 2020 - 2022...

15 USD

0

0

HESI V3 EXIT EXAM 2021 (160 QUESTIONS AND ANSWERS) 100% CORRECT ANSWERS
View Document

HESI V3 EXIT EXAM 2021 (160 QUESTIONS AND ANSWERS) 100% CORRECT ANSWERS

  • studypal

    studypal

  • hesi

HESI V3 EXIT EXAM 2021 (160 QUESTIONS AND ANSWERS) 100% CORRECT ANSWERS...

15 USD

0

0

HESI V3 EXIT EXAM 2021 (160 QUESTIONS AND ANSWERS) 100% CORRECT ANSWERS
View Document

HESI V3 EXIT EXAM 2021 (160 QUESTIONS AND ANSWERS) 100% CORRECT ANSWERS

  • studypal

    studypal

  • hesi

HESI V3 EXIT EXAM 2021 (160 QUESTIONS AND ANSWERS) 100% CORRECT ANSWERS...

15 USD

0

0

ATI HESI Practice Exam - Detailed Answer Key Fall 2019 (150 Questions and Answers) 2021 Revised Update.
View Document

ATI HESI Practice Exam - Detailed Answer Key Fall 2019 (150 Questions and Answers) 2021 Revised Update.

  • studypal

    studypal

  • hesi

ATI HESI Practice Exam - Detailed Answer Key Fall 2019 (150 Questions and Answers) 2021 Revised Update....

14 USD

0

0

CHES Practice Exam Questions (From 7th edition) Latest 2022
View Document

CHES Practice Exam Questions (From 7th edition) Latest 2022

  • mentor2000

    mentor2000

  • exam

CHES Practice Exam Questions (From 7th edition) Latest 2022...

10 USD

0

0

Certified in Public Health, Exam Review Guide, CPH Exam Practice Test Bank Prep Latest 2022
View Document

Certified in Public Health, Exam Review Guide, CPH Exam Practice Test Bank Prep Latest 2022

  • mentor2000

    mentor2000

  • exam

Certified in Public Health, Exam Review Guide, CPH Exam Practice Test Bank Prep Latest 2022...

10 USD

0

0

CHEM 104: MODULE 1-MODULE 6 Exam (Portage Learning)
View Document

CHEM 104: MODULE 1-MODULE 6 Exam (Portage Learning)

  • mentor2000

    mentor2000

  • exam

CHEM 104: MODULE 1-MODULE 6 Exam (Portage Learning)...

8 USD

0

0

CHEM 103 MODULE 1 –MODULE 6 Exam 2022(Portage Learning)
View Document

CHEM 103 MODULE 1 –MODULE 6 Exam 2022(Portage Learning)

  • mentor2000

    mentor2000

  • exam

CHEM 103 MODULE 1 –MODULE 6 Exam 2022(Portage Learning)...

10 USD

0

0

Exam 4 bio 171 QUESTION AND ANSWERS- SCORE 98 out of 100 (Already Graded A+)
View Document

Exam 4 bio 171 QUESTION AND ANSWERS- SCORE 98 out of 100 (Already Graded A+)

  • studypal

    studypal

  • questions & answers

Exam 4 bio 171 QUESTION AND ANSWERS- SCORE 98 out of 100 (Already Graded A+)...

9 USD

0

0

NUR 4590 Final Exam 2022, Rasmussen Final Exam Review
View Document

NUR 4590 Final Exam 2022, Rasmussen Final Exam Review

  • Angelicer

    Angelicer

  • study guide

NUR 4590 Final Exam 2022, Rasmussen Final Exam Review...

10 USD

0

0

SAFe 4 Agilist Exam (4.6) Questions With Correct Answers. 2022 Revision.
View Document

SAFe 4 Agilist Exam (4.6) Questions With Correct Answers. 2022 Revision.

  • studypal

    studypal

  • questions & answers

SAFe 4 Agilist Exam (4.6) Questions With Correct Answers. 2022 Revision. – Download PDF...

7 USD

0

0

NUR 105 Week 4 Midterm Exam (Excelsior School 2026)
View Document

NUR 105 Week 4 Midterm Exam (Excelsior School 2026)

  • Kaponga

    Kaponga

  • exam

Prepare for your NUR 105 midterm with this complete 2025 exam from Excelsior School, featuring 80 multiple-choice questi...

10 USD

0

0

NUR 105, Nursing 105 Exam 2 with answers (Excelsior School)
View Document

NUR 105, Nursing 105 Exam 2 with answers (Excelsior School)

  • Kaponga

    Kaponga

  • exam

NUR 105, Nursing 105 Exam 2 with answers (Excelsior School)...

10 USD

0

0

NUR105: ESSENTIALS OF NURSING CARE HEALTH DIFFERENCES 8WK EXAM
View Document

NUR105: ESSENTIALS OF NURSING CARE HEALTH DIFFERENCES 8WK EXAM

  • Kaponga

    Kaponga

  • nclex

NUR105: ESSENTIALS OF NURSING CARE HEALTH DIFFERENCES 8WK EXAM...

10 USD

0

0

NUR109 EXAM 1 QUESTIONS WITH ANSWERS (Excelsior School 2022)
View Document

NUR109 EXAM 1 QUESTIONS WITH ANSWERS (Excelsior School 2022)

  • Kaponga

    Kaponga

  • nclex

NUR109 EXAM 1 QUESTIONS WITH ANSWERS (Excelsior School 2022)...

10 USD

0

0

NUR109 EXAM 2 QUESTIONS WITH ANSWERS (Excelsior School 2022)
View Document

NUR109 EXAM 2 QUESTIONS WITH ANSWERS (Excelsior School 2022)

  • Kaponga

    Kaponga

  • nclex

NUR109 EXAM 2 QUESTIONS WITH ANSWERS (Excelsior School 2022)...

10 USD

0

0

Scaled Agile Framework (SAFe) Program Consultant (SPC) Exam Questions with Verified Answers.
View Document

Scaled Agile Framework (SAFe) Program Consultant (SPC) Exam Questions with Verified Answers.

  • studypal

    studypal

  • questions & answers

Scaled Agile Framework (SAFe) Program Consultant (SPC) Exam Questions with Verified Answers....

9 USD

0

0

Nursing Fundamentals for NCLEX: The Only Study Guide You Need To PASS NCLEX Exam | 2026
View Document

Nursing Fundamentals for NCLEX: The Only Study Guide You Need To PASS NCLEX Exam | 2026

  • Kaponga

    Kaponga

  • nclex

Nursing Fundamentals for NCLEX; The Only Study Guide You Need to Pass NCLEX Exam, 2025, Comprehensive Nursing Study Guid...

12 USD

0

0

Hesi fundamentals V1 questions with answers and rationales
View Document

Hesi fundamentals V1 questions with answers and rationales

  • mentor2000

    mentor2000

  • hesi

Hesi fundamentals V1 questions with answers and rationales...

15 USD

0

0

The Scaled Agile Framework (SAFe) Final Exam Questions with 100% Correct Answers.
View Document

The Scaled Agile Framework (SAFe) Final Exam Questions with 100% Correct Answers.

  • studypal

    studypal

  • questions & answers

The Scaled Agile Framework (SAFe) Final Exam Questions with 100% Correct Answers. – Download PDF...

14 USD

0

0

ATI Pharmacology Proctored Exam Retake 2 Updated 2022
View Document

ATI Pharmacology Proctored Exam Retake 2 Updated 2022

  • jaysondavis

    jaysondavis

  • ati

ATI Pharmacology Proctored Exam Retake 2 Updated 2022...

10 USD

0

0

A Complete Test Bank For Bates’ Guide to Physical Examination and History Taking, 11th Edition Lynn S. Bickley, Peter G. Szilagyi
View Document

A Complete Test Bank For Bates’ Guide to Physical Examination and History Taking, 11th Edition Lynn S. Bickley, Peter G. Szilagyi

  • mentor2000

    mentor2000

  • test bank

A Complete Test Bank For Bates’ Guide to Physical Examination and History Taking, 11th Edition Lynn S. Bickley, Peter ...

17 USD

0

0

MUS 354 Exam 2 (Questions With All Answers)
View Document

MUS 354 Exam 2 (Questions With All Answers)

  • ExpertGirl

    ExpertGirl

  • questions & answers

MUS 354 Exam 2 (Questions With All Answers)...

9 USD

0

0

MUS 354 Exam 1 (Questions With All Correct Answers)
View Document

MUS 354 Exam 1 (Questions With All Correct Answers)

  • ExpertGirl

    ExpertGirl

  • questions & answers

MUS 354 Exam 1 (Questions With All Correct Answers)...

9 USD

0

0

MUS 44507 American Music Final Exam (Questions With All Correct Answers) A+ Guide
View Document

MUS 44507 American Music Final Exam (Questions With All Correct Answers) A+ Guide

  • ExpertGirl

    ExpertGirl

  • questions & answers

MUS 44507 American Music Final Exam (Questions With All Correct Answers) A+ Guide...

17 USD

0

0

ATI RN Comprehensive Predictor 2019 (Real Exam) 180 Questions And Answers
View Document

ATI RN Comprehensive Predictor 2019 (Real Exam) 180 Questions And Answers

  • Opati-Kaka

    Opati-Kaka

  • ati

ATI RN Comprehensive Predictor 2019 (Real Exam) 180 Questions And Answers...

18 USD

0

0

ATI Pharmacology Proctored Exam (Real Exam) 2022
View Document

ATI Pharmacology Proctored Exam (Real Exam) 2022

  • Opati-Kaka

    Opati-Kaka

  • ati

ATI Pharmacology Proctored Exam (Real Exam) 2022...

16 USD

0

0

ATI TEAS 7 SCIENCE EXAM 2022-2023 ( Latest Download To Score A+ )
View Document

ATI TEAS 7 SCIENCE EXAM 2022-2023 ( Latest Download To Score A+ )

  • studypal

    studypal

  • ati

ATI TEAS 7 SCIENCE EXAM 2022-2023 ( Latest Download To Score A+ )...

14 USD

0

0

SCI 225 Week 16  Pathophysiology Final Exam (Proctored) 2022
View Document

SCI 225 Week 16 Pathophysiology Final Exam (Proctored) 2022

  • mentor2000

    mentor2000

  • exam

SCI 225 Week 16 Pathophysiology Final Exam (Proctored) 2022...

12 USD

0

0

HESI RN EXIT EXAM V1_V7
View Document

HESI RN EXIT EXAM V1_V7

  • jaysondavis

    jaysondavis

  • hesi

HESI RN EXIT EXAM V1_V7...

8 USD

0

0

Therapist Multiple Choice Self Assessment Examination 2020 B
View Document

Therapist Multiple Choice Self Assessment Examination 2020 B

  • studypal

    studypal

  • questions & answers

Therapist Multiple Choice Self Assessment Examination 2020 B...

14 USD

0

0

NURS 190 Physical Assessment Final EXAM Questions and Answers (Already Graded A)
View Document

NURS 190 Physical Assessment Final EXAM Questions and Answers (Already Graded A)

  • studypal

    studypal

  • questions & answers

NURS 190 Physical Assessment Final EXAM Questions and Answers (Already Graded A)...

10 USD

0

0

AZ-303 Exam Questions And Answers (version 20.081)
View Document

AZ-303 Exam Questions And Answers (version 20.081)

  • studypal

    studypal

  • questions & answers

AZ-303 Exam Questions And Answers (version 20.081)...

14 USD

0

0

ATI RN Comprehensive Online Practice Exam (150 Questions with Verified Answers) 2022
View Document

ATI RN Comprehensive Online Practice Exam (150 Questions with Verified Answers) 2022

  • studypal

    studypal

  • ati

ATI RN Comprehensive Online Practice Exam (150 Questions with Verified Answers) 2022...

14 USD

0

0

AHIP Final Exam Test Questions and Answers; 100 Percent Revised Solutions
View Document

AHIP Final Exam Test Questions and Answers; 100 Percent Revised Solutions

  • studypal

    studypal

  • questions & answers

AHIP Final Exam Test Questions and Answers; 100 Percent Revised Solutions – Download PDF...

10 USD

0

0

ALL APEA EXAM PACKAGE - Questions And Answers Test Bank 2022
View Document

ALL APEA EXAM PACKAGE - Questions And Answers Test Bank 2022

  • studypal

    studypal

  • test bank

ALL APEA EXAM PACKAGE - Questions And Answers Test Bank 2022 – Download PDF...

15 USD

0

0

Registered Respiratory Therapist (RRT) Self-Assessment Examination (100 Questions With All Correct Answers) Complete solution
View Document

Registered Respiratory Therapist (RRT) Self-Assessment Examination (100 Questions With All Correct Answers) Complete solution

  • studypal

    studypal

  • questions & answers

Registered Respiratory Therapist (RRT) Self-Assessment Examination (100 Questions With All Correct Answers) Complete sol...

15 USD

0

0

(Test Bank) Respiratory Care Practice Exam Gary Persing, TMC Questions And Answers Plus Rationale
View Document

(Test Bank) Respiratory Care Practice Exam Gary Persing, TMC Questions And Answers Plus Rationale

  • studypal

    studypal

  • test bank

(Test Bank) Respiratory Care Practice Exam Gary Persing, TMC Questions And Answers Plus Rationale...

14 USD

0

0

TMC Test Bank 1001 Practice Questions With Answers for TMC Exam
View Document

TMC Test Bank 1001 Practice Questions With Answers for TMC Exam

  • studypal

    studypal

  • test bank

TMC Test Bank 1001 Practice Questions With Answers for TMC Exam...

14 USD

0

0

TMC Exam Review Sheet for 2020
View Document

TMC Exam Review Sheet for 2020

  • studypal

    studypal

  • questions & answers

TMC Exam Review Sheet for 2020...

15 USD

0

0

ATI COMPREHENSIVE EXAM, QUESTIONS WITH ANSWERS (100% Verified) Already Graded A
View Document

ATI COMPREHENSIVE EXAM, QUESTIONS WITH ANSWERS (100% Verified) Already Graded A

  • studypal

    studypal

  • ati medical surgical

ATI COMPREHENSIVE EXAM, QUESTIONS WITH ANSWERS (100% Verified) Already Graded A...

15 USD

0

0

AHIP Final Exam Test Questions and Answers 2022
View Document

AHIP Final Exam Test Questions and Answers 2022

  • mentor2000

    mentor2000

  • exam

AHIP Final Exam Test Questions and Answers 2022...

10 USD

0

0

LVN EXIT EXAM 2022
View Document

LVN EXIT EXAM 2022

  • mentor2000

    mentor2000

  • hesi

LVN EXIT EXAM 2022...

15 USD

0

0

LPN EXIT Exam 2026 Questions and Answers
View Document

LPN EXIT Exam 2026 Questions and Answers

  • mentor2000

    mentor2000

  • hesi

LPN EXIT Exam 2025 Questions and Answers...

10 USD

0

0

HESI PN EXIT EXAM 2022
View Document

HESI PN EXIT EXAM 2022

  • mentor2000

    mentor2000

  • hesi

HESI PN EXIT EXAM 2022...

15 USD

0

0

NUR 240 EXAM 1 Study Guide 2022
View Document

NUR 240 EXAM 1 Study Guide 2022

  • mentor2000

    mentor2000

  • exam

NUR 240 EXAM 1 Study Guide 2022...

10 USD

0

0

NRNP 6635 FINAL EXAM 2022
View Document

NRNP 6635 FINAL EXAM 2022

  • mentor2000

    mentor2000

  • exam

NRNP 6635 FINAL EXAM 2022...

10 USD

0

0

NRNP 6531 midterm exam 2022
View Document

NRNP 6531 midterm exam 2022

  • mentor2000

    mentor2000

  • exam

NRNP 6531 midterm exam 2022...

10 USD

0

0

NR509 Focused Exam, Cough Results,  Advanced Health Assessment - Chamberlain
View Document

NR509 Focused Exam, Cough Results, Advanced Health Assessment - Chamberlain

  • mentor2000

    mentor2000

  • exam

NR509 Focused Exam, Cough Results, Advanced Health Assessment - Chamberlain...

10 USD

0

0

NR 599 Week 4 Midterm Exam Study Guide 2022
View Document

NR 599 Week 4 Midterm Exam Study Guide 2022

  • mentor2000

    mentor2000

  • exam

NR 599 Week 4 Midterm Exam Study Guide 2022...

10 USD

0

0

NR 599 Week 4 Midterm Exam Complete Questions & Answers All Answers Correct
View Document

NR 599 Week 4 Midterm Exam Complete Questions & Answers All Answers Correct

  • mentor2000

    mentor2000

  • exam

NR 599 Week 4 Midterm Exam Complete Questions & Answers All Answers Correct...

10 USD

0

0

NR 509 Final Exam Practice Questions | Best for Test Prepation
View Document

NR 509 Final Exam Practice Questions | Best for Test Prepation

  • mentor2000

    mentor2000

  • exam

Study for NR 509 Final Exam Study Guide with this comprehensive exam elaborations guide....

10 USD

0

0

AHIP 2022 Exam bank (Questions and Answers)
View Document

AHIP 2022 Exam bank (Questions and Answers)

  • mentor2000

    mentor2000

  • exam

AHIP 2022 Exam bank (Questions and Answers)...

10 USD

0

0

AHIP 2021, 2022 Exam bank (answered) Elaborated.
View Document

AHIP 2021, 2022 Exam bank (answered) Elaborated.

  • mentor2000

    mentor2000

  • exam

AHIP 2021, 2022 Exam bank (answered) Elaborated....

10 USD

0

0

NUR 2063, NUR2063, Essentials of Pathophysiology Exam 2 Review Sheet
View Document

NUR 2063, NUR2063, Essentials of Pathophysiology Exam 2 Review Sheet

  • mentor2000

    mentor2000

  • exam

NUR 2063, NUR2063, Essentials of Pathophysiology Exam 2 Review Sheet...

10 USD

0

0

NRNP 6531 final exam 1 (2022)
View Document

NRNP 6531 final exam 1 (2022)

  • mentor2000

    mentor2000

  • exam

NRNP 6531 final exam 1 (2022)...

10 USD

0

0

NR 509 Mid-Term Exam Study Guide (2022)
View Document

NR 509 Mid-Term Exam Study Guide (2022)

  • mentor2000

    mentor2000

  • exam

NR 509 Mid-Term Exam Study Guide (2022)...

10 USD

0

0

MENTAL HEALTH (PSYCH) HESI – FINAL EXAM 2022
View Document

MENTAL HEALTH (PSYCH) HESI – FINAL EXAM 2022

  • mentor2000

    mentor2000

  • exam

MENTAL HEALTH (PSYCH) HESI – FINAL EXAM 2022...

12 USD

0

0

NCLEX ACTUAL EXAM PREDICTION QUESTIONS 2022 TEST BANK. A++ GUARANTEED
View Document

NCLEX ACTUAL EXAM PREDICTION QUESTIONS 2022 TEST BANK. A++ GUARANTEED

  • studypal

    studypal

  • nclex

NCLEX ACTUAL EXAM PREDICTION QUESTIONS 2022 TEST BANK. A++ GUARANTEED...

10 USD

0

0

ATI NR293 Pharmacology; Complex Oxygenation - ATI Practice Exam 9 Detailed Answer Key
View Document

ATI NR293 Pharmacology; Complex Oxygenation - ATI Practice Exam 9 Detailed Answer Key

  • studypal

    studypal

  • ati

ATI NR293 Pharmacology; Complex Oxygenation - ATI Practice Exam 9 Detailed Answer Key...

14 USD

0

0

Kayla Weber Maternity, Pediatric First Exam Week 1& 3 Growth and development
View Document

Kayla Weber Maternity, Pediatric First Exam Week 1& 3 Growth and development

  • studypal

    studypal

  • questions & answers

Kayla Weber Maternity, Pediatric First Exam Week 1& 3 Growth and development – Download PDF...

14 USD

0

0

BIOD 121 M3 Exam - Requires Respondus LockDown Browser + Webcam: Essentials in Nutrition-2021- Martinez
View Document

BIOD 121 M3 Exam - Requires Respondus LockDown Browser + Webcam: Essentials in Nutrition-2021- Martinez

  • studypal

    studypal

  • essay

BIOD 121 M3 Exam - Requires Respondus LockDown Browser + Webcam: Essentials in Nutrition-2021- Martinez...

14 USD

0

0

ATI PN FUNDAMENTALS PROCTORED EXAM (2022 ANSWERED)
View Document

ATI PN FUNDAMENTALS PROCTORED EXAM (2022 ANSWERED)

  • mentor2000

    mentor2000

  • exam

ATI PN FUNDAMENTALS PROCTORED EXAM (2022 ANSWERED)...

15 USD

0

0

HESI EXIT RN (REAL EXAM) 2022 V3 QUESTIONS AND ANSWERS
View Document

HESI EXIT RN (REAL EXAM) 2022 V3 QUESTIONS AND ANSWERS

  • mentor2000

    mentor2000

  • exam

HESI EXIT RN (REAL EXAM) 2022 V3 QUESTIONS AND ANSWERS...

15 USD

0

1

HESI EXIT RN (REAL EXAM) 2022 V6 QUESTIONS AND ANSWERS
View Document

HESI EXIT RN (REAL EXAM) 2022 V6 QUESTIONS AND ANSWERS

  • mentor2000

    mentor2000

  • exam

HESI EXIT RN (REAL EXAM) 2022 V6 QUESTIONS AND ANSWERS...

15 USD

0

0

HESI EXIT RN (REAL EXAM) 2022 V5 QUESTIONS AND ANSWERS
View Document

HESI EXIT RN (REAL EXAM) 2022 V5 QUESTIONS AND ANSWERS

  • mentor2000

    mentor2000

  • exam

HESI EXIT RN (REAL EXAM) 2022 V5 QUESTIONS AND ANSWERS...

15 USD

0

0

HESI EXIT RN (REAL EXAM) 2022 V4 QUESTIONS AND ANSWERS
View Document

HESI EXIT RN (REAL EXAM) 2022 V4 QUESTIONS AND ANSWERS

  • mentor2000

    mentor2000

  • exam

HESI EXIT RN (REAL EXAM) 2022 V4 QUESTIONS AND ANSWERS...

15 USD

0

0

HESI EXIT RN (REAL EXAM) 2022 V2 QUESTIONS AND ANSWERS
View Document

HESI EXIT RN (REAL EXAM) 2022 V2 QUESTIONS AND ANSWERS

  • mentor2000

    mentor2000

  • exam

HESI EXIT RN (REAL EXAM) 2022 V2 QUESTIONS AND ANSWERS...

15 USD

0

0

HESI EXIT RN (REAL EXAM) 2022 V1 QUESTIONS AND ANSWERS
View Document

HESI EXIT RN (REAL EXAM) 2022 V1 QUESTIONS AND ANSWERS

  • mentor2000

    mentor2000

  • exam

HESI EXIT RN (REAL EXAM) 2022 V1 QUESTIONS AND ANSWERS...

15 USD

0

0

HESI MED SURG EXAM (all correct answers) Already Graded A
View Document

HESI MED SURG EXAM (all correct answers) Already Graded A

  • studypal

    studypal

  • hesi

HESI MED SURG EXAM (all correct answers) Already Graded A...

14 USD

0

0

Basic Life Support Exam A (25 questions and answers) 100% Correct 2020; PASSED.
View Document

Basic Life Support Exam A (25 questions and answers) 100% Correct 2020; PASSED.

  • studypal

    studypal

  • questions & answers

Basic Life Support Exam A (25 questions and answers) 100% Correct 2020; PASSED....

10 USD

0

0

Cyber Awareness Challenge Latest 2022 Exam
View Document

Cyber Awareness Challenge Latest 2022 Exam

  • Namwaki

    Namwaki

  • exam

Cyber Awareness Challenge Latest 2022 Exam...

10 USD

0

0

Annual DoD Cyber Awareness Challenge Exam 2022
View Document

Annual DoD Cyber Awareness Challenge Exam 2022

  • Namwaki

    Namwaki

  • exam

Annual DoD Cyber Awareness Challenge Exam 2022...

12 USD

0

0

FNP HEENT EXAM - QUESTIONS AND ANSWERS 100 Percent CORRECT (Graded A)
View Document

FNP HEENT EXAM - QUESTIONS AND ANSWERS 100 Percent CORRECT (Graded A)

  • studypal

    studypal

  • questions & answers

FNP HEENT EXAM - QUESTIONS AND ANSWERS 100 Percent CORRECT (Graded A) – Download PDF...

14 USD

0

0

ISYE 6501 Midterm Exam all the Correct Answers(Graded A+) - Copy
View Document

ISYE 6501 Midterm Exam all the Correct Answers(Graded A+) - Copy

  • mentor2000

    mentor2000

  • exam

ISYE 6501 Midterm Exam all the Correct Answers(Graded A+) - Copy...

10 USD

0

0

NRS 103 Integrative Nursing Midterm Exam 2022
View Document

NRS 103 Integrative Nursing Midterm Exam 2022

  • mentor2000

    mentor2000

  • exam

NRS 103 Integrative Nursing Midterm Exam 2022...

15 USD

0

0

NRS 103 INTEGRATIVE NURSING FINAL EXAM
View Document

NRS 103 INTEGRATIVE NURSING FINAL EXAM

  • mentor2000

    mentor2000

  • exam

NRS 103 INTEGRATIVE NURSING FINAL EXAM...

15 USD

0

0

NRS 103 Final Exam Integrative Nursing II 2022 (Questions and Answers)
View Document

NRS 103 Final Exam Integrative Nursing II 2022 (Questions and Answers)

  • mentor2000

    mentor2000

  • exam

NRS 103 Final Exam Integrative Nursing II 2022 (Questions and Answers)...

15 USD

0

0

NRS 103 MED SURG FINAL EXAM 2022 (Questions and Answers)
View Document

NRS 103 MED SURG FINAL EXAM 2022 (Questions and Answers)

  • mentor2000

    mentor2000

  • exam

NRS 103 MED SURG FINAL EXAM 2022 (Questions and Answers)...

15 USD

0

0

NRS 103 Final Exam Integrative Nursing I 2022 (Questions and Answers)
View Document

NRS 103 Final Exam Integrative Nursing I 2022 (Questions and Answers)

  • mentor2000

    mentor2000

  • exam

NRS 103 Final Exam Integrative Nursing I 2022 (Questions and Answers)...

15 USD

0

0

NRS 103 Final Exam Integrative Nursing 2022 (Questions and Answers)
View Document

NRS 103 Final Exam Integrative Nursing 2022 (Questions and Answers)

  • mentor2000

    mentor2000

  • exam

NRS 103 Final Exam Integrative Nursing 2022 (Questions and Answers)...

15 USD

0

0

Final Exam Practice Questions Med Surg (2022) Distinction Level
View Document

Final Exam Practice Questions Med Surg (2022) Distinction Level

  • mentor2000

    mentor2000

  • exam

Final Exam Practice Questions Med Surg (2022) Distinction Level...

15 USD

0

0

Encyclopedia of Counseling the purple book Exam Solved for counseling Exam NCE And CPCE
View Document

Encyclopedia of Counseling the purple book Exam Solved for counseling Exam NCE And CPCE

  • Namwaki

    Namwaki

  • exam

Encyclopedia of Counseling the purple book Exam Solved for counseling Exam NCE And CPCE...

10 USD

0

0

NRS 102 Integrative Nursing Final Exam 2022
View Document

NRS 102 Integrative Nursing Final Exam 2022

  • mentor2000

    mentor2000

  • exam

NRS 102 Integrative Nursing Final Exam 2022...

10 USD

0

0

Integrative Nursing Midterm Exam Winter 2022
View Document

Integrative Nursing Midterm Exam Winter 2022

  • mentor2000

    mentor2000

  • exam

Integrative Nursing Midterm Exam Winter 2022...

10 USD

0

0

NRS 103 FINAL EXAM  STUDY GUIDE
View Document

NRS 103 FINAL EXAM STUDY GUIDE

  • mentor2000

    mentor2000

  • exam

NRS 103 FINAL EXAM STUDY GUIDE...

10 USD

0

0

(answered) HESI RN EXIT EXAM V1
View Document

(answered) HESI RN EXIT EXAM V1

  • studypal

    studypal

  • hesi

(answered) HESI RN EXIT EXAM V1...

10 USD

0

0

HIT 220 Health Informatics and EHR FINAL EXAM study guide QUESTIONS AND ALL CORRECT SOLUTIONS [GRADED A+]
View Document

HIT 220 Health Informatics and EHR FINAL EXAM study guide QUESTIONS AND ALL CORRECT SOLUTIONS [GRADED A+]

  • Leo37

    Leo37

  • study guide

HIT 220 Health Informatics and EHR FINAL EXAM study guide QUESTIONS AND ALL CORRECT SOLUTIONS [GRADED A+]...

10 USD

0

0

ATI PN Pharmacology Proctored Exam 2020
View Document

ATI PN Pharmacology Proctored Exam 2020

  • mentor2000

    mentor2000

  • ati proctored

ATI PN Pharmacology Proctored Exam 2020...

10 USD

0

2

HIT 220 Health Informatics and EHR Final Exam Study Guide (Question And Answers) A+ Guide
View Document

HIT 220 Health Informatics and EHR Final Exam Study Guide (Question And Answers) A+ Guide

  • studypal

    studypal

  • test bank

HIT 220 Health Informatics and EHR Final Exam Study Guide (Question And Answers) A+ Guide...

10 USD

0

0

Certified Nursing Assistant (CNA) Exam_Distinction level guide 2022 (Answered)
View Document

Certified Nursing Assistant (CNA) Exam_Distinction level guide 2022 (Answered)

  • tutor_gesco

    tutor_gesco

  • exam

Certified Nursing Assistant (CNA) Exam_Distinction level guide 2022 (Answered)...

12 USD

0

0

Certified Nursing Assistant examination (CNA) Written Test Answered 2022
View Document

Certified Nursing Assistant examination (CNA) Written Test Answered 2022

  • tutor_gesco

    tutor_gesco

  • exam

Certified Nursing Assistant examination (CNA) Written Test Answered 2022...

12 USD

0

0

CNA Written Exam ( prometric test ) Latest 2022
View Document

CNA Written Exam ( prometric test ) Latest 2022

  • tutor_gesco

    tutor_gesco

  • exam

CNA Written Exam ( prometric test ) Latest 2022...

12 USD

0

0

Davita Final Exam (Study Guide) complete A+ guide, updated 2022
View Document

Davita Final Exam (Study Guide) complete A+ guide, updated 2022

  • tutor_gesco

    tutor_gesco

  • exam

Davita Final Exam (Study Guide) complete A+ guide, updated 2022...

12 USD

0

0

Davita PCT Exam, Final Exam Davita Questions And Answers
View Document

Davita PCT Exam, Final Exam Davita Questions And Answers

  • tutor_gesco

    tutor_gesco

  • exam

Davita PCT Exam, Final Exam Davita Questions And Answers...

12 USD

0

0

NHA Medical Assistant (CCMA) Exam solution Test bank Latest 2022
View Document

NHA Medical Assistant (CCMA) Exam solution Test bank Latest 2022

  • tutor_gesco

    tutor_gesco

  • exam

NHA Medical Assistant (CCMA) Exam solution Test bank Latest 2022...

12 USD

0

0

Prometric CNA Latest  Exam Answers 2022
View Document

Prometric CNA Latest Exam Answers 2022

  • tutor_gesco

    tutor_gesco

  • exam

Prometric CNA Latest Exam Answers 2022...

12 USD

0

0

ATI PN Comprehensive Exam Question Bank
View Document

ATI PN Comprehensive Exam Question Bank

  • mentor2000

    mentor2000

  • ati

ATI PN Comprehensive Exam Question Bank...

30 USD

0

0

Essentials in Nutrition EXAM QUESTION AND ANSWERS [ALL CORRECT SOLUTIONS]
View Document

Essentials in Nutrition EXAM QUESTION AND ANSWERS [ALL CORRECT SOLUTIONS]

  • Leo37

    Leo37

  • questions & answers

Essentials in Nutrition EXAM QUESTION AND ANSWERS [ALL CORRECT SOLUTIONS]...

9 USD

0

0

Physics 194 Exams Practice Problems With Complete Solutions.
View Document

Physics 194 Exams Practice Problems With Complete Solutions.

  • studypal

    studypal

  • questions & answers

Physics 194 Exams Practice Problems With Complete Solutions....

10 USD

0

0

Physics 194: Exam 1 - Question And Answers, Complete Solutions 2026
View Document

Physics 194: Exam 1 - Question And Answers, Complete Solutions 2026

  • studypal

    studypal

  • questions & answers

Physics 194: Exam 1 - Question And Answers, Complete Solutions 2025...

10 USD

0

0

ATI PHARMACOLOGY 2020 PROCTORED EXAM (REAL EXAM)
View Document

ATI PHARMACOLOGY 2020 PROCTORED EXAM (REAL EXAM)

  • Namwaki

    Namwaki

  • ati proctored

ATI PHARMACOLOGY 2020 PROCTORED EXAM (REAL EXAM)...

18 USD

0

0

Test Bank for Advanced Health Assessment and Clinical Diagnosis in Primary Care, 6th Edition by Joyce Dains
View Document

Test Bank for Advanced Health Assessment and Clinical Diagnosis in Primary Care, 6th Edition by Joyce Dains

  • tutor_gesco

    tutor_gesco

  • hesi

Download the Test Bank for Advanced Health Assessment & Clinical Diagnosis in Primary Care, 6th Edition by Dains. Verifi...

15 USD

0

0

ATI RN COMPREHENSIVE EXIT EXAM 2022
View Document

ATI RN COMPREHENSIVE EXIT EXAM 2022

  • mentor2000

    mentor2000

  • ati

ATI RN COMPREHENSIVE EXIT EXAM 2022...

16 USD

0

0

ATI RN COMPREHENSIVE EXIT EXAM 2021
View Document

ATI RN COMPREHENSIVE EXIT EXAM 2021

  • mentor2000

    mentor2000

  • ati

ATI RN COMPREHENSIVE EXIT EXAM 2021...

16 USD

0

0

ATI RN COMPREHENSIVE EXIT EXAM 2020
View Document

ATI RN COMPREHENSIVE EXIT EXAM 2020

  • mentor2000

    mentor2000

  • ati

ATI RN COMPREHENSIVE EXIT EXAM 2020...

16 USD

0

0

ATI RN COMPREHENSIVE EXIT EXAM 2019
View Document

ATI RN COMPREHENSIVE EXIT EXAM 2019

  • mentor2000

    mentor2000

  • ati

ATI RN COMPREHENSIVE EXIT EXAM 2019...

16 USD

0

0

NURS 125 Final Exam 2022
View Document

NURS 125 Final Exam 2022

  • tutor_gesco

    tutor_gesco

  • exam

NURS 125 Final Exam 2022...

10 USD

0

0

NAPSR FINAL 2022 EXAM (ALL ANSWERS CORRECT)
View Document

NAPSR FINAL 2022 EXAM (ALL ANSWERS CORRECT)

  • tutor_gesco

    tutor_gesco

  • exam

NAPSR FINAL 2022 EXAM (ALL ANSWERS CORRECT)...

10 USD

0

0

Critical Thinking Cards For ATI Proctored Exam (Solved)
View Document

Critical Thinking Cards For ATI Proctored Exam (Solved)

  • tutor_gesco

    tutor_gesco

  • exam

Critical Thinking Cards For ATI Proctored Exam (Solved)...

10 USD

0

0

CNA State Exam Questions and Answers 2026
View Document

CNA State Exam Questions and Answers 2026

  • tutor_gesco

    tutor_gesco

  • exam

Get fully prepared for the 2025 CNA State Exam with this complete set of 70 practice questions and answers. Covers key n...

10 USD

0

0

NRNP 6645 MIDTERM REVIEW
View Document

NRNP 6645 MIDTERM REVIEW

  • sciss

    sciss

  • nclex

NRNP 6645 MIDTERM REVIEW...

-10 USD

0

0

NRNP 6645 MIDTERM REVIEW
View Document

NRNP 6645 MIDTERM REVIEW

  • sciss

    sciss

  • nclex

NRNP 6645 MIDTERM REVIEW...

-10 USD

0

0

Test Bank For Pediatric Physical Examination An Illustrated Handbook 3rd Edition Duderstadt
View Document

Test Bank For Pediatric Physical Examination An Illustrated Handbook 3rd Edition Duderstadt

  • mentor2000

    mentor2000

  • test bank

Test Bank For Pediatric Physical Examination An Illustrated Handbook 3rd Edition Duderstadt...

17 USD

0

0

ATI PN MEDICAL SURGICAL PROCTORED EXAM 2020
View Document

ATI PN MEDICAL SURGICAL PROCTORED EXAM 2020

  • tutor_gesco

    tutor_gesco

  • ati medical surgical

ATI PN MEDICAL SURGICAL PROCTORED EXAM 2020 – Download PDF...

18 USD

0

0

HESI PHARMACOLOGY 2019 FINAL EXAM
View Document

HESI PHARMACOLOGY 2019 FINAL EXAM

  • tutor_gesco

    tutor_gesco

  • hesi

HESI PHARMACOLOGY 2019 FINAL EXAM...

15 USD

0

0

ATI PN PHARMACOLOGY PROCTORED 2020 EXAM
View Document

ATI PN PHARMACOLOGY PROCTORED 2020 EXAM

  • tutor_gesco

    tutor_gesco

  • ati proctored

ATI PN PHARMACOLOGY PROCTORED 2020 EXAM – Download PDF...

16 USD

0

1

HESI RN EXIT EXAM V2 WITH COMPLETE SOLUTION
View Document

HESI RN EXIT EXAM V2 WITH COMPLETE SOLUTION

  • studypal

    studypal

  • hesi

HESI RN EXIT EXAM V2 WITH COMPLETE SOLUTION...

10 USD

0

0

NGRK 520 Beginner Greek 1 Exam 2 (100 Percent correct answers)
View Document

NGRK 520 Beginner Greek 1 Exam 2 (100 Percent correct answers)

  • studypal

    studypal

  • questions & answers

NGRK 520 Beginner Greek 1 Exam 2 (100 Percent correct answers)...

14 USD

0

0

Prophecy RN Pharmacology Exam A (Accurate Answers) A+ Guide
View Document

Prophecy RN Pharmacology Exam A (Accurate Answers) A+ Guide

  • studypal

    studypal

  • questions & answers

Prophecy RN Pharmacology Exam A (Accurate Answers) A+ Guide...

7 USD

0

0

HESI EXIT RN EXAM V3 2022
View Document

HESI EXIT RN EXAM V3 2022

  • elitesolutions

    elitesolutions

  • hesi

HESI EXIT RN EXAM V3 2022...

23 USD

0

0

Week 10 Final Exam NSG 6420;2021-2022(WITH 55 QUESTIONS AND ANSWERS)
View Document

Week 10 Final Exam NSG 6420;2021-2022(WITH 55 QUESTIONS AND ANSWERS)

  • elitesolutions

    elitesolutions

  • hesi

Week 10 Final Exam NSG 6420;2021-2022(WITH 55 QUESTIONS AND ANSWERS)...

25 USD

0

0

HESI Dosage Calculations Exam, Hesi Pharmacology Review_2022, A+ GUIDE
View Document

HESI Dosage Calculations Exam, Hesi Pharmacology Review_2022, A+ GUIDE

  • elitesolutions

    elitesolutions

  • hesi

HESI Dosage Calculations Exam, Hesi Pharmacology Review_2022, A+ GUIDE – Download PDF...

17 USD

0

0

NURS 6501N Final Exam 1 August 2022;PREDICTOR EXAM GRADED A
View Document

NURS 6501N Final Exam 1 August 2022;PREDICTOR EXAM GRADED A

  • elitesolutions

    elitesolutions

  • exam

NURS 6501N Final Exam 1 August 2022;PREDICTOR EXAM GRADED A...

16 USD

0

0

HESI EXIT EXAM (180 Questions and Answers) Graded A
View Document

HESI EXIT EXAM (180 Questions and Answers) Graded A

  • studypal

    studypal

  • hesi

HESI EXIT EXAM (180 Questions and Answers) Graded A...

14 USD

0

0

BIO 142 Anatomy and Physiology Exam 4-summer 2026 review version-Section A MC, Complete Solution
View Document

BIO 142 Anatomy and Physiology Exam 4-summer 2026 review version-Section A MC, Complete Solution

  • studypal

    studypal

  • exam

BIO 142 Anatomy and Physiology Exam 4-summer 2025 review version-Section A MC, Complete Solution...

14 USD

0

0

HESI Exit Exam RN Version 3 - Already Graded A, 2026
View Document

HESI Exit Exam RN Version 3 - Already Graded A, 2026

  • studypal

    studypal

  • hesi

HESI Exit Exam RN Version 3 - Already Graded A, 2025...

15 USD

0

0

HESI Exam Preparation Study Guide (2019-2026)
View Document

HESI Exam Preparation Study Guide (2019-2026)

  • studypal

    studypal

  • hesi

HESI Exam Preparation Study Guide (2019-2025)...

15 USD

0

0

Physician Assistant National Certifying Exam (PANCE) Exam Preparation Study Guide.
View Document

Physician Assistant National Certifying Exam (PANCE) Exam Preparation Study Guide.

  • studypal

    studypal

  • study guide

Physician Assistant National Certifying Exam (PANCE) Exam Preparation Study Guide....

14 USD

0

0

Test Bank for Fundamental Concepts and Skills for Nursing 6th Edition by Williams
View Document

Test Bank for Fundamental Concepts and Skills for Nursing 6th Edition by Williams

  • mentor2000

    mentor2000

  • test bank

Enhance your nursing knowledge with the Test Bank for Fundamental Concepts and Skills for Nursing, 6th Edition by Willia...

16 USD

0

10

Exam (elaborations) WALDEN UNIVERSITY, NURS 6635 EXAM FINAL, WINTER 2021-22 Exam Elaborations Questions With Answers deep Explanations Provided Newly Updated Exam Review Guide (100%) Correct
View Document

Exam (elaborations) WALDEN UNIVERSITY, NURS 6635 EXAM FINAL, WINTER 2021-22 Exam Elaborations Questions With Answers deep Explanations Provided Newly Updated Exam Review Guide (100%) Correct

  • elitesolutions

    elitesolutions

  • exam

Exam (elaborations) WALDEN UNIVERSITY, NURS 6635 EXAM FINAL, WINTER 2021-22 Exam Elaborations Questions With Answers dee...

13 USD

0

0

Lewis: Medical-Surgical Nursing, 10th Edition EXAM TEST BANK Chap 1-68 Complete Questions with answers Graded A+
View Document

Lewis: Medical-Surgical Nursing, 10th Edition EXAM TEST BANK Chap 1-68 Complete Questions with answers Graded A+

  • elitesolutions

    elitesolutions

  • exam

Lewis: Medical-Surgical Nursing, 10th Edition EXAM TEST BANK Chap 1-68 Complete Questions with answers Graded A+...

12 USD

0

0

MN 580 PEDIATRIC MIDTERM EXAM MN580 PEDIATRIC MIDTERM EXAM (LATEST)| COMPLETE SOLUTION: KAPLAN UNIVERSITY
View Document

MN 580 PEDIATRIC MIDTERM EXAM MN580 PEDIATRIC MIDTERM EXAM (LATEST)| COMPLETE SOLUTION: KAPLAN UNIVERSITY

  • studypal

    studypal

  • questions & answers

MN 580 PEDIATRIC MIDTERM EXAM MN580 PEDIATRIC MIDTERM EXAM (LATEST)| COMPLETE SOLUTION: KAPLAN UNIVERSITY...

14 USD

0

0

Comprehensive Module 2 Final Exam Part 1 2026 Complete Exam Solution
View Document

Comprehensive Module 2 Final Exam Part 1 2026 Complete Exam Solution

  • studypal

    studypal

  • questions & answers

Comprehensive Module 2 Final Exam Part 1 2025 Complete Exam Solution...

9 USD

0

3

Test bank for Database Systems Design, Implementation and Management 13th Edition Carlos Coronel, Steven Morris.
View Document

Test bank for Database Systems Design, Implementation and Management 13th Edition Carlos Coronel, Steven Morris.

  • evekendra3

    evekendra3

  • test bank

Test bank for Database Systems Design, Implementation and Management 13th Edition Carlos Coronel, Steven Morris....

15 USD

0

0

United HealthCare - Ethics and Compliance Exam
View Document

United HealthCare - Ethics and Compliance Exam

  • mentor2000

    mentor2000

  • exam

United HealthCare - Ethics and Compliance Exam...

10 USD

0

0

NHA CBCS EXAM REVIEW ANSWERED 2022
View Document

NHA CBCS EXAM REVIEW ANSWERED 2022

  • mentor2000

    mentor2000

  • exam

NHA CBCS EXAM REVIEW ANSWERED 2022...

10 USD

0

0

NATIONAL BOARD FOR CERTIFICATION IN OCCUPATIONAL THERAPY (NBCOT®) EXAM.
View Document

NATIONAL BOARD FOR CERTIFICATION IN OCCUPATIONAL THERAPY (NBCOT®) EXAM.

  • mentor2000

    mentor2000

  • exam

NATIONAL BOARD FOR CERTIFICATION IN OCCUPATIONAL THERAPY (NBCOT®) EXAM....

10 USD

0

0

HIPAA and Privacy Act Training (CHALLENGE EXAM) (DHA-US001) Questions and Answers 2022
View Document

HIPAA and Privacy Act Training (CHALLENGE EXAM) (DHA-US001) Questions and Answers 2022

  • mentor2000

    mentor2000

  • exam

HIPAA and Privacy Act Training (CHALLENGE EXAM) (DHA-US001) Questions and Answers 2022...

10 USD

0

0

CITI training includes, Responsible Conduct, Ethics, RCR, Law, HTH & IRB Exam 2022
View Document

CITI training includes, Responsible Conduct, Ethics, RCR, Law, HTH & IRB Exam 2022

  • mentor2000

    mentor2000

  • exam

CITI training includes, Responsible Conduct, Ethics, RCR, Law, HTH & IRB Exam 2022...

10 USD

0

0

NHA CBCS EXAM REVIEW ANSWERED 2022
View Document

NHA CBCS EXAM REVIEW ANSWERED 2022

  • tutor_gesco

    tutor_gesco

  • exam

NHA CBCS EXAM REVIEW ANSWERED 2022...

12 USD

0

0

IV Therapy Final Exam: Questions and Answers Updated 2022
View Document

IV Therapy Final Exam: Questions and Answers Updated 2022

  • tutor_gesco

    tutor_gesco

  • exam

IV Therapy Final Exam: Questions and Answers Updated 2022...

12 USD

0

1

NUR2058 Dimensions of Nursing Exam 2 with all correct answers.
View Document

NUR2058 Dimensions of Nursing Exam 2 with all correct answers.

  • evekendra3

    evekendra3

  • questions & answers

NUR2058 Dimensions of Nursing Exam 2 with all correct answers....

7 USD

0

0

University of Missouri - MPP 3202 Exam 4. With All Correct Answers. 100%
View Document

University of Missouri - MPP 3202 Exam 4. With All Correct Answers. 100%

  • elitesolutions

    elitesolutions

  • study guide

University of Missouri - MPP 3202 Exam 4. With All Correct Answers. 100%...

15 USD

0

0

Certified Emergency Nurse Exam Review Fifth Edition by Jeff Solheim. A study guide to help in preparing for the final exam.
View Document

Certified Emergency Nurse Exam Review Fifth Edition by Jeff Solheim. A study guide to help in preparing for the final exam.

  • studypal

    studypal

  • study guide

Certified Emergency Nurse Exam Review Fifth Edition by Jeff Solheim. A study guide to help in preparing for the final ex...

14 USD

0

0

TNCC Practice exam test 2021 Questions And Answers.
View Document

TNCC Practice exam test 2021 Questions And Answers.

  • studypal

    studypal

  • questions & answers

TNCC Practice exam test 2021 Questions And Answers....

7 USD

0

0

Multidimensional Care I,  MDC 1 Exam 2 Latest 2022
View Document

Multidimensional Care I, MDC 1 Exam 2 Latest 2022

  • mentor2000

    mentor2000

  • test bank

Multidimensional Care I, MDC 1 Exam 2 Latest 2022...

12 USD

0

0

NR 545 Exam 1 Study Guide (Week 1 EENT)
View Document

NR 545 Exam 1 Study Guide (Week 1 EENT)

  • studypal

    studypal

  • study guide

NR 545 Exam 1 Study Guide (Week 1 EENT)...

14 USD

0

0

Nursing 251 Intravenous Therapy Exam 2 (2022)
View Document

Nursing 251 Intravenous Therapy Exam 2 (2022)

  • tutor_gesco

    tutor_gesco

  • exam

Nursing 251 Intravenous Therapy Exam 2 (2022)...

12 USD

0

0

NREMT Exam Questions and Answers EMR Exam Prep 2022
View Document

NREMT Exam Questions and Answers EMR Exam Prep 2022

  • tutor_gesco

    tutor_gesco

  • exam

NREMT Exam Questions and Answers EMR Exam Prep 2022...

12 USD

0

0

NBCOT (National Board for Certification of Occupational Therapy) Latest Exam 2022
View Document

NBCOT (National Board for Certification of Occupational Therapy) Latest Exam 2022

  • tutor_gesco

    tutor_gesco

  • exam

NBCOT (National Board for Certification of Occupational Therapy) Latest Exam 2022...

12 USD

0

0

LPN N154 IV Therapy Exam 2022
View Document

LPN N154 IV Therapy Exam 2022

  • tutor_gesco

    tutor_gesco

  • exam

LPN N154 IV Therapy Exam 2022...

12 USD

0

0

Intravenous IV Therapy Adults Exam 1 Solutions 2022
View Document

Intravenous IV Therapy Adults Exam 1 Solutions 2022

  • tutor_gesco

    tutor_gesco

  • exam

Intravenous IV Therapy Adults Exam 1 Solutions 2022...

12 USD

0

0

GIZMO Solubility Temperature [TOP RATED]
View Document

GIZMO Solubility Temperature [TOP RATED]

  • Leo37

    Leo37

  • case study

GIZMO Solubility Temperature [TOP RATED]...

6 USD

0

0

NURS-6512N-53,Advanced Health Assessment Midterm Exam 2022
View Document

NURS-6512N-53,Advanced Health Assessment Midterm Exam 2022

  • Namwaki

    Namwaki

  • exam

NURS-6512N-53,Advanced Health Assessment Midterm Exam 2022...

10 USD

0

0

NURS-6512N-34, Review Test Submission- Final Exam - Week 11
View Document

NURS-6512N-34, Review Test Submission- Final Exam - Week 11

  • Namwaki

    Namwaki

  • exam

NURS-6512N-34, Review Test Submission- Final Exam - Week 11...

10 USD

0

0

ACLS Exam Version B Questions And Answers 2022
View Document

ACLS Exam Version B Questions And Answers 2022

  • tutor_gesco

    tutor_gesco

  • exam

ACLS Exam Version B Questions And Answers 2022...

10 USD

0

1

NURS-6512N-53, Advanced Health Assessment Final Exam 2022
View Document

NURS-6512N-53, Advanced Health Assessment Final Exam 2022

  • mentor2000

    mentor2000

  • exam

NURS-6512N-53, Advanced Health Assessment Final Exam 2022...

10 USD

0

0

NRNP 6635 Week 11 Final Exam 2022
View Document

NRNP 6635 Week 11 Final Exam 2022

  • mentor2000

    mentor2000

  • exam

NRNP 6635 Week 11 Final Exam 2022...

10 USD

0

0

NRNP 6635 Week 11  Final Exam
View Document

NRNP 6635 Week 11 Final Exam

  • mentor2000

    mentor2000

  • exam

NRNP 6635 Week 11 Final Exam...

10 USD

0

0

NRNP 6635 FINAL EXAM 2022
View Document

NRNP 6635 FINAL EXAM 2022

  • mentor2000

    mentor2000

  • exam

NRNP 6635 FINAL EXAM 2022...

10 USD

0

0

HESI Med Surg Exit Exam (V1 Version 1)
View Document

HESI Med Surg Exit Exam (V1 Version 1)

  • mentor2000

    mentor2000

  • exam

HESI Med Surg Exit Exam (V1 Version 1)...

15 USD

0

0

HESI Med Surg Exit Exam (V1 Version 1) 2021
View Document

HESI Med Surg Exit Exam (V1 Version 1) 2021

  • mentor2000

    mentor2000

  • exam

HESI Med Surg Exit Exam (V1 Version 1) 2021...

12 USD

0

0

HESI Med Surg Exit Exam (V1 Version 1) 2021, 2022
View Document

HESI Med Surg Exit Exam (V1 Version 1) 2021, 2022

  • mentor2000

    mentor2000

  • exam

HESI Med Surg Exit Exam (V1 Version 1) 2021, 2022...

15 USD

0

0

HESI Med Surg Exit Exam (V1 Version 1) 2020
View Document

HESI Med Surg Exit Exam (V1 Version 1) 2020

  • mentor2000

    mentor2000

  • exam

HESI Med Surg Exit Exam (V1 Version 1) 2020...

13 USD

0

0

HESI Med Surg Exit Exam (V1 Version 1) 2019
View Document

HESI Med Surg Exit Exam (V1 Version 1) 2019

  • mentor2000

    mentor2000

  • exam

HESI Med Surg Exit Exam (V1 Version 1) 2019...

13 USD

0

0

RNC-OB Exam test bank 2022 , Inpatient Obstetric Nurse Exam Prep 2022
View Document

RNC-OB Exam test bank 2022 , Inpatient Obstetric Nurse Exam Prep 2022

  • mentor2000

    mentor2000

  • exam

RNC-OB Exam test bank 2022 , Inpatient Obstetric Nurse Exam Prep 2022...

15 USD

0

0

Prophecy medical surgical-telemetry exam test 2022
View Document

Prophecy medical surgical-telemetry exam test 2022

  • mentor2000

    mentor2000

  • exam

Prophecy medical surgical-telemetry exam test 2022...

10 USD

0

0

LPN,LVN A Prophecy Exam 2022
View Document

LPN,LVN A Prophecy Exam 2022

  • mentor2000

    mentor2000

  • exam

LPN,LVN A Prophecy Exam 2022...

10 USD

0

0

Emergency Department RN A prophecy Exam 2022
View Document

Emergency Department RN A prophecy Exam 2022

  • mentor2000

    mentor2000

  • exam

Emergency Department RN A prophecy Exam 2022...

10 USD

0

0

ACLS Practical Application Exam (Questions and Answers) 2022
View Document

ACLS Practical Application Exam (Questions and Answers) 2022

  • mentor2000

    mentor2000

  • exam

ACLS Practical Application Exam (Questions and Answers) 2022...

10 USD

0

0

ACLS Exam Version A Questions and Answers 2026
View Document

ACLS Exam Version A Questions and Answers 2026

  • mentor2000

    mentor2000

  • exam

ACLS Exam Version A Questions and Answers 2025...

10 USD

0

1

ACLS Exam Version A  2021
View Document

ACLS Exam Version A 2021

  • mentor2000

    mentor2000

  • exam

ACLS Exam Version A 2021...

10 USD

0

0

ATI PN NURSING CARE OF CHILDREN PROCTORED 2020 EXAM
View Document

ATI PN NURSING CARE OF CHILDREN PROCTORED 2020 EXAM

  • mentor2000

    mentor2000

  • ati proctored

ATI PN NURSING CARE OF CHILDREN PROCTORED 2020 EXAM...

16 USD

0

3

ATI PN MENTAL HEALTH PROCTORED EXAM 2020
View Document

ATI PN MENTAL HEALTH PROCTORED EXAM 2020

  • mentor2000

    mentor2000

  • ati proctored

ATI PN MENTAL HEALTH PROCTORED EXAM 2020...

18 USD

0

0

NSG6020 Final exam 2022
View Document

NSG6020 Final exam 2022

  • mentor2000

    mentor2000

  • exam

NSG6020 Final exam 2022...

10 USD

0

0

IBCLC Exam Bank, Questions & Answers (NEW) 2022
View Document

IBCLC Exam Bank, Questions & Answers (NEW) 2022

  • mentor2000

    mentor2000

  • exam

IBCLC Exam Bank, Questions & Answers (NEW) 2022...

10 USD

0

0

B&HL Anatomy Exam Review 2022
View Document

B&HL Anatomy Exam Review 2022

  • mentor2000

    mentor2000

  • exam

B&HL Anatomy Exam Review 2022...

10 USD

0

0

2022 International Board Certified Lactation Consultant (IBCLC) Certification Exam Study Guide
View Document

2022 International Board Certified Lactation Consultant (IBCLC) Certification Exam Study Guide

  • mentor2000

    mentor2000

  • exam

2022 International Board Certified Lactation Consultant (IBCLC) Certification Exam Study Guide...

10 USD

0

0

(IBCLC) Certification Exam Review 2022, All you need to pass with distinction!
View Document

(IBCLC) Certification Exam Review 2022, All you need to pass with distinction!

  • mentor2000

    mentor2000

  • exam

(IBCLC) Certification Exam Review 2022, All you need to pass with distinction!...

8 USD

0

0

NCSBN Online review Complete with Answers 2022
View Document

NCSBN Online review Complete with Answers 2022

  • mentor2000

    mentor2000

  • nclex

NCSBN Online review Complete with Answers 2022...

12 USD

0

0

NCLEX-RN Final Exam Predictor Study Guide (Verified And Correct Answers,865 Question Secure Highscore) Latest 2022
View Document

NCLEX-RN Final Exam Predictor Study Guide (Verified And Correct Answers,865 Question Secure Highscore) Latest 2022

  • mentor2000

    mentor2000

  • nclex

NCLEX-RN Final Exam Predictor Study Guide (Verified And Correct Answers,865 Question Secure Highscore) Latest 2022...

14 USD

0

0

NCLEX-RN 515Q Exam A - Questions And Correct Answers Version 1 (Score 800 points) A+ Solution.
View Document

NCLEX-RN 515Q Exam A - Questions And Correct Answers Version 1 (Score 800 points) A+ Solution.

  • mentor2000

    mentor2000

  • nclex

NCLEX-RN 515Q Exam A - Questions And Correct Answers Version 1 (Score 800 points) A+ Solution....

12 USD

0

0

NCLEX-PN Final Exam Predictor Study Guide 2022 Exam
View Document

NCLEX-PN Final Exam Predictor Study Guide 2022 Exam

  • mentor2000

    mentor2000

  • nclex

NCLEX-PN Final Exam Predictor Study Guide 2022 Exam...

12 USD

0

0

NCLEX LIPPINCOTT FINAL EXAM 2O22
View Document

NCLEX LIPPINCOTT FINAL EXAM 2O22

  • mentor2000

    mentor2000

  • nclex

NCLEX LIPPINCOTT FINAL EXAM 2O22...

12 USD

0

0

HESI RN PHARMACOLOGY PROCTORED EXAM 2022
View Document

HESI RN PHARMACOLOGY PROCTORED EXAM 2022

  • mentor2000

    mentor2000

  • exam

HESI RN PHARMACOLOGY PROCTORED EXAM 2022...

14 USD

0

0

HESI RN EXIT EXAM V2 WITH COMPLETE SOLUTION 2022
View Document

HESI RN EXIT EXAM V2 WITH COMPLETE SOLUTION 2022

  • mentor2000

    mentor2000

  • exam

HESI RN EXIT EXAM V2 WITH COMPLETE SOLUTION 2022...

15 USD

0

0

HESI RN EXIT EXAM V2 WITH COMPLETE SOLUTION 2020
View Document

HESI RN EXIT EXAM V2 WITH COMPLETE SOLUTION 2020

  • mentor2000

    mentor2000

  • exam

HESI RN EXIT EXAM V2 WITH COMPLETE SOLUTION 2020...

15 USD

0

0

ISYE 6501X  FULL SOLUTION PACK EXAMS 2022 (8 DIFFERENT VERSIONS OF EXAMS)
View Document

ISYE 6501X FULL SOLUTION PACK EXAMS 2022 (8 DIFFERENT VERSIONS OF EXAMS)

  • mentor2000

    mentor2000

  • exam

ISYE 6501X FULL SOLUTION PACK EXAMS 2022 (8 DIFFERENT VERSIONS OF EXAMS)...

15 USD

0

0

ENPC exam answers 2022
View Document

ENPC exam answers 2022

  • mentor2000

    mentor2000

  • exam

ENPC exam answers 2022...

14 USD

0

0

NR503 Epidemiology Final Exam Population Health, Epidemiology & Statistical Principles (New)
View Document

NR503 Epidemiology Final Exam Population Health, Epidemiology & Statistical Principles (New)

  • mentor2000

    mentor2000

  • exam

NR503 Epidemiology Final Exam Population Health, Epidemiology & Statistical Principles (New)...

10 USD

0

1

WGU C785 Biochemistry Unit Exam Questions & Answers Latest 2022
View Document

WGU C785 Biochemistry Unit Exam Questions & Answers Latest 2022

  • mentor2000

    mentor2000

  • exam

WGU C785 Biochemistry Unit Exam Questions & Answers Latest 2022...

10 USD

0

0

BIOCHEM C785 Final Exam Latest update With Complete Solution 2022
View Document

BIOCHEM C785 Final Exam Latest update With Complete Solution 2022

  • mentor2000

    mentor2000

  • exam

BIOCHEM C785 Final Exam Latest update With Complete Solution 2022...

10 USD

0

0

Ati Exit exam RN Comprehensive Predictor 2019 Form D
View Document

Ati Exit exam RN Comprehensive Predictor 2019 Form D

  • mentor2000

    mentor2000

  • exam

Ati Exit exam RN Comprehensive Predictor 2019 Form D...

15 USD

0

0

PSI FNP EXAM 2 Predictor Answered Latest 2022; 2023
View Document

PSI FNP EXAM 2 Predictor Answered Latest 2022; 2023

  • mentor2000

    mentor2000

  • exam

PSI FNP EXAM 2 Predictor Answered Latest 2022; 2023...

10 USD

0

0

All Med Surge Exams and Quizzes
View Document

All Med Surge Exams and Quizzes

  • jean-judy

    jean-judy

  • exam

All Med Surge Exams and Quizzes...

15 USD

0

0

NR511 Final Exam Study Guide 2022
View Document

NR511 Final Exam Study Guide 2022

  • jean-judy

    jean-judy

  • exam

NR511 Final Exam Study Guide 2022...

10 USD

0

0

NR511 Midterm Exam 2022
View Document

NR511 Midterm Exam 2022

  • jean-judy

    jean-judy

  • exam

NR511 Midterm Exam 2022...

10 USD

0

0

NR511 Final Exam Review 2022
View Document

NR511 Final Exam Review 2022

  • jean-judy

    jean-judy

  • exam

NR511 Final Exam Review 2022...

10 USD

0

0

NR 511 Final Exam 2022
View Document

NR 511 Final Exam 2022

  • jean-judy

    jean-judy

  • exam

NR 511 Final Exam 2022...

10 USD

0

0

Progressive Care RN A Exam, all answered correctly Summer 2022
View Document

Progressive Care RN A Exam, all answered correctly Summer 2022

  • jean-judy

    jean-judy

  • exam

Progressive Care RN A Exam, all answered correctly Summer 2022...

10 USD

0

0

LMSW LICENSING EXAM TEST BANK 2022
View Document

LMSW LICENSING EXAM TEST BANK 2022

  • jean-judy

    jean-judy

  • exam

LMSW LICENSING EXAM TEST BANK 2022 – Download PDF...

15 USD

0

0

LMSW Exam Solution Guide, Test Bank Distinction level Exam Guide 2022.
View Document

LMSW Exam Solution Guide, Test Bank Distinction level Exam Guide 2022.

  • jean-judy

    jean-judy

  • exam

LMSW Exam Solution Guide, Test Bank Distinction level Exam Guide 2022. – Download PDF...

15 USD

0

0

LMSW EXAM - Bootcamp!, LMSW, LMSW  A+ guide 2022
View Document

LMSW EXAM - Bootcamp!, LMSW, LMSW A+ guide 2022

  • jean-judy

    jean-judy

  • exam

LMSW EXAM - Bootcamp!, LMSW, LMSW A+ guide 2022...

10 USD

0

0

NR 545 Final Exam Study Guide 2020 Week 7 : renal and urological disorders
View Document

NR 545 Final Exam Study Guide 2020 Week 7 : renal and urological disorders

  • studypal

    studypal

  • study guide

NR 545 Final Exam Study Guide 2020 Week 7 : renal and urological disorders...

9 USD

0

0

NR 602 midterm exam 2022 (Real exam)
View Document

NR 602 midterm exam 2022 (Real exam)

  • Yna

    Yna

  • exam

NR 602 midterm exam 2022 (Real exam)...

9 USD

0

0

GOVT 404 Final Exam   Attempt Score 154 out of 220 points(spring 2020 real exam)
View Document

GOVT 404 Final Exam Attempt Score 154 out of 220 points(spring 2020 real exam)

  • Yna

    Yna

  • exam

GOVT 404 Final Exam Attempt Score 154 out of 220 points(spring 2020 real exam)...

10 USD

0

0

BUSI 409  Final exam, Nonprofit Management Principles and Practice 2020
View Document

BUSI 409 Final exam, Nonprofit Management Principles and Practice 2020

  • Yna

    Yna

  • exam

BUSI 409 Final exam, Nonprofit Management Principles and Practice 2020...

10 USD

0

0

Pediatric Growth and Development Exam, NCLEX Questions & Answers
View Document

Pediatric Growth and Development Exam, NCLEX Questions & Answers

  • mentor2000

    mentor2000

  • exam

Pediatric Growth and Development Exam, NCLEX Questions & Answers...

10 USD

0

0

CNA Exam questions and answers 2022
View Document

CNA Exam questions and answers 2022

  • mentor2000

    mentor2000

  • exam

CNA Exam questions and answers 2022...

8 USD

0

0

Certified Postanesthesia Nurse CPAN Exams Forms 1-4
View Document

Certified Postanesthesia Nurse CPAN Exams Forms 1-4

  • mentor2000

    mentor2000

  • exam

Certified Postanesthesia Nurse CPAN Exams Forms 1-4...

8 USD

0

0

HESI EXIT RN V2 EXAM 2022 (REAL EXAM) 160 QUESTIONS WITH ANSWERS
View Document

HESI EXIT RN V2 EXAM 2022 (REAL EXAM) 160 QUESTIONS WITH ANSWERS

  • mentor2000

    mentor2000

  • hesi

HESI EXIT RN V2 EXAM 2022 (REAL EXAM) 160 QUESTIONS WITH ANSWERS...

20 USD

0

0

TEAS Science Exam Pack 2022
View Document

TEAS Science Exam Pack 2022

  • Namwaki

    Namwaki

  • exam

TEAS Science Exam Pack 2022...

9 USD

0

0

TEAS Nursing Entrance Exam 2022
View Document

TEAS Nursing Entrance Exam 2022

  • Namwaki

    Namwaki

  • exam

TEAS Nursing Entrance Exam 2022 – Download PDF...

10 USD

0

0

Rn Concept Based Assessment Level 1 Exam Pack 2022
View Document

Rn Concept Based Assessment Level 1 Exam Pack 2022

  • Namwaki

    Namwaki

  • exam

Rn Concept Based Assessment Level 1 Exam Pack 2022...

12 USD

0

0

RN A v2 Prophecy- Core Mandatory (Nursing) Exam 2022
View Document

RN A v2 Prophecy- Core Mandatory (Nursing) Exam 2022

  • Namwaki

    Namwaki

  • exam

RN A v2 Prophecy- Core Mandatory (Nursing) Exam 2022...

9 USD

0

0

NHA® CCMA Exam Pretests 1-7 latest spring 2022
View Document

NHA® CCMA Exam Pretests 1-7 latest spring 2022

  • Namwaki

    Namwaki

  • exam

NHA® CCMA Exam Pretests 1-7 latest spring 2022...

10 USD

0

0

NHA Phlebotomy Practice Examination Solution Guide
View Document

NHA Phlebotomy Practice Examination Solution Guide

  • Namwaki

    Namwaki

  • exam

NHA Phlebotomy Practice Examination Solution Guide...

8 USD

0

0

NHA PCT – Review Exam 2022 (Questions and Answers)
View Document

NHA PCT – Review Exam 2022 (Questions and Answers)

  • Namwaki

    Namwaki

  • exam

NHA PCT – Review Exam 2022 (Questions and Answers)...

10 USD

0

0

NHA CPT EXAM STUDY QUESTIONS and ANSWERS 2022
View Document

NHA CPT EXAM STUDY QUESTIONS and ANSWERS 2022

  • Namwaki

    Namwaki

  • exam

NHA CPT EXAM STUDY QUESTIONS and ANSWERS 2022...

10 USD

0

0

NHA CBCS EXAM REVIEW ANSWERED (FALL 2022)
View Document

NHA CBCS EXAM REVIEW ANSWERED (FALL 2022)

  • Namwaki

    Namwaki

  • exam

NHA CBCS EXAM REVIEW ANSWERED (FALL 2022)...

8 USD

0

0

REGIS NU650 Week 15 Final Exam Latest Spring April 2022
View Document

REGIS NU650 Week 15 Final Exam Latest Spring April 2022

  • Namwaki

    Namwaki

  • exam

REGIS NU650 Week 15 Final Exam Latest Spring April 2022...

9 USD

0

0

CMA (AAMA) Exam AAMA Prep Test - 758 Questions and Answers, Distinction Level Assignment Has everything Fall 2021,2022.
View Document

CMA (AAMA) Exam AAMA Prep Test - 758 Questions and Answers, Distinction Level Assignment Has everything Fall 2021,2022.

  • Namwaki

    Namwaki

  • exam

CMA (AAMA) Exam AAMA Prep Test - 758 Questions and Answers, Distinction Level Assignment Has everything Fall 2021,2022....

9 USD

0

0

CLM 023 DAU Ability One Training Exams (2 versions) Solution Guide
View Document

CLM 023 DAU Ability One Training Exams (2 versions) Solution Guide

  • Namwaki

    Namwaki

  • exam

CLM 023 DAU Ability One Training Exams (2 versions) Solution Guide...

9 USD

0

0

Medical Assistant CMA,RMA exam review , Medical Assistant Exam, Preparation for the CMA and RMA Exams, Solution Guide, Updated 2022
View Document

Medical Assistant CMA,RMA exam review , Medical Assistant Exam, Preparation for the CMA and RMA Exams, Solution Guide, Updated 2022

  • Namwaki

    Namwaki

  • exam

Medical Assistant CMA,RMA exam review , Medical Assistant Exam, Preparation for the CMA and RMA Exams, Solution Guide, U...

14 USD

0

0

CLM 003 Overview of Acquisition Ethics Exam 2022
View Document

CLM 003 Overview of Acquisition Ethics Exam 2022

  • Namwaki

    Namwaki

  • exam

CLM 003 Overview of Acquisition Ethics Exam 2022...

9 USD

0

0

CLG 0010 DoD Governmentwide Commercial Card Exam
View Document

CLG 0010 DoD Governmentwide Commercial Card Exam

  • Namwaki

    Namwaki

  • exam

CLG 0010 DoD Governmentwide Commercial Card Exam...

10 USD

0

0

CLG 001 DoD Government Commercial Purchase Card Overview Exam
View Document

CLG 001 DoD Government Commercial Purchase Card Overview Exam

  • Namwaki

    Namwaki

  • exam

CLG 001 DoD Government Commercial Purchase Card Overview Exam...

13 USD

0

0

ATI Proctored 2022 (Real Exam)
View Document

ATI Proctored 2022 (Real Exam)

  • Namwaki

    Namwaki

  • exam

ATI Proctored 2022 (Real Exam)...

12 USD

0

0

AORN Periop 101 Exam 2022
View Document

AORN Periop 101 Exam 2022

  • Namwaki

    Namwaki

  • exam

AORN Periop 101 Exam 2022...

12 USD

0

1

Bloomberg Market Concepts Complete Solution guide Latest 2022
View Document

Bloomberg Market Concepts Complete Solution guide Latest 2022

  • Angelicer

    Angelicer

  • exam

Bloomberg Market Concepts Complete Solution guide Latest 2022...

5 USD

0

0

Answer Key for AP English Literature and Composition Practice Exam, Section I (Latest Update) 2021
View Document

Answer Key for AP English Literature and Composition Practice Exam, Section I (Latest Update) 2021

  • studypal

    studypal

  • questions & answers

Enhance your AP English Literature and Composition prep with this comprehensive Answer Key for the Practice Exam. Ideal ...

14 USD

0

0

HESI PEDS FINAL EXAM, Correct Answers Are Marked In Yellow.
View Document

HESI PEDS FINAL EXAM, Correct Answers Are Marked In Yellow.

  • studypal

    studypal

  • hesi

HESI PEDS FINAL EXAM, Correct Answers Are Marked In Yellow....

12 USD

0

0

BUS 526 NEGOTIATION & CONFLICT RESOLUTION SOPHIA EXAM WITH 100% CORRECT ANSWERS
View Document

BUS 526 NEGOTIATION & CONFLICT RESOLUTION SOPHIA EXAM WITH 100% CORRECT ANSWERS

  • studypal

    studypal

  • questions & answers

BUS 526 NEGOTIATION & CONFLICT RESOLUTION SOPHIA EXAM WITH 100% CORRECT ANSWERS...

10 USD

0

0

CHPN - Certified Hospice Palliative Nurse Exam by Guiomar Goransson, CHPN - Certified Hospice  Palliative Nurse Exam Study Guide by Guiomar Goransson For Exam Preparation
View Document

CHPN - Certified Hospice Palliative Nurse Exam by Guiomar Goransson, CHPN - Certified Hospice Palliative Nurse Exam Study Guide by Guiomar Goransson For Exam Preparation

  • studypal

    studypal

  • study guide

CHPN - Certified Hospice Palliative Nurse Exam by Guiomar Goransson, CHPN - Certified Hospice Palliative Nurse Exam Stu...

10 USD

0

0

CLG 001 DoD Governmentwide Commercial Purchase Card Overview Exam 100% Correct Answers
View Document

CLG 001 DoD Governmentwide Commercial Purchase Card Overview Exam 100% Correct Answers

  • studypal

    studypal

  • questions & answers

CLG 001 DoD Governmentwide Commercial Purchase Card Overview Exam 100% Correct Answers...

9 USD

0

0

Nur6665 FINAL EXAM Questions and Answers Walden University
View Document

Nur6665 FINAL EXAM Questions and Answers Walden University

  • mentor2000

    mentor2000

  • exam

Nur6665 FINAL EXAM Questions and Answers Walden University...

10 USD

0

0

Emergency Medicine YMCA CPR Exams II & III Latest 2026
View Document

Emergency Medicine YMCA CPR Exams II & III Latest 2026

  • mentor2000

    mentor2000

  • exam

Emergency Medicine YMCA CPR Exams II & III Latest 2025...

10 USD

0

0

Emergency Medicine YMCA CPR Exam Answered latest spring 2022
View Document

Emergency Medicine YMCA CPR Exam Answered latest spring 2022

  • mentor2000

    mentor2000

  • exam

Emergency Medicine YMCA CPR Exam Answered latest spring 2022...

10 USD

0

0

(Answer Key) Dosage Calculations FINAL Exam Version 2
View Document

(Answer Key) Dosage Calculations FINAL Exam Version 2

  • mentor2000

    mentor2000

  • exam

(Answer Key) Dosage Calculations FINAL Exam Version 2...

10 USD

0

0

(Answer Key) Dosage Calculations FINAL Exam Version 1
View Document

(Answer Key) Dosage Calculations FINAL Exam Version 1

  • mentor2000

    mentor2000

  • exam

(Answer Key) Dosage Calculations FINAL Exam Version 1...

10 USD

0

0

YMCA Exam II Latest 2026
View Document

YMCA Exam II Latest 2026

  • mentor2000

    mentor2000

  • exam

YMCA Exam II Latest 2025 You are a newly trained first aid provider responding at work to a report of someone who has co...

10 USD

0

0

Complete Priority Patient Activity Part 1,2 and 3 Herbie Saunders, 62 years old David Mueller, 71 years old Gladys Parker, 92 years old
View Document

Complete Priority Patient Activity Part 1,2 and 3 Herbie Saunders, 62 years old David Mueller, 71 years old Gladys Parker, 92 years old

  • Yna

    Yna

  • case study

Complete Priority Patient Activity Part 1,2 and 3 Herbie Saunders, 62 years old David Mueller, 71 years old Gladys Parke...

12 USD

0

0

NUR 1023 Exam 1,2 & 3 Study Guide 2022 Fluid and Electrolytes
View Document

NUR 1023 Exam 1,2 & 3 Study Guide 2022 Fluid and Electrolytes

  • Eddah-Nafula

    Eddah-Nafula

  • exam

NUR 1023 Exam 1,2 & 3 Study Guide 2022 Fluid and Electrolytes...

7 USD

0

0

NUR 1023 Exam 3 Review BASIC FLUID BALANCE, BASIC ELECTROLYTE BALANCE
View Document

NUR 1023 Exam 3 Review BASIC FLUID BALANCE, BASIC ELECTROLYTE BALANCE

  • Eddah-Nafula

    Eddah-Nafula

  • exam

NUR 1023 Exam 3 Review BASIC FLUID BALANCE, BASIC ELECTROLYTE BALANCE...

8 USD

0

0

WGU NURSING C228 Task 2 Final Exam 2021
View Document

WGU NURSING C228 Task 2 Final Exam 2021

  • Eddah-Nafula

    Eddah-Nafula

  • exam

WGU NURSING C228 Task 2 Final Exam 2021...

10 USD

0

0

HESI Comprehensive Exit Exam Answered A+ Solution Guide; Spring 2022.
View Document

HESI Comprehensive Exit Exam Answered A+ Solution Guide; Spring 2022.

  • Eddah-Nafula

    Eddah-Nafula

  • exam

HESI Comprehensive Exit Exam Answered A+ Solution Guide; Spring 2022....

12 USD

0

0

HESI ENTRANCE EXAMINATION STUDY GUIDE - VNSG RNSG 1227 Transition to Professional Nursing
View Document

HESI ENTRANCE EXAMINATION STUDY GUIDE - VNSG RNSG 1227 Transition to Professional Nursing

  • studypal

    studypal

  • test bank

HESI ENTRANCE EXAMINATION STUDY GUIDE - VNSG RNSG 1227 Transition to Professional Nursing...

14 USD

0

0

Dosage Calculations FINAL Exam Version 2 ANSWER KEY
View Document

Dosage Calculations FINAL Exam Version 2 ANSWER KEY

  • studypal

    studypal

  • questions & answers

Dosage Calculations FINAL Exam Version 2 ANSWER KEY...

10 USD

0

0

Dosage Calculations FINAL Exam Version 1 ANSWER KEY
View Document

Dosage Calculations FINAL Exam Version 1 ANSWER KEY

  • studypal

    studypal

  • questions & answers

Dosage Calculations FINAL Exam Version 1 ANSWER KEY...

14 USD

0

0

PMP Exam Preparation Material For 2022
View Document

PMP Exam Preparation Material For 2022

  • Angelicer

    Angelicer

  • exam

PMP Exam Preparation Material For 2022...

15 USD

0

0

PMI CAPM Free Dumps V9.02 Project Management Exam 2022
View Document

PMI CAPM Free Dumps V9.02 Project Management Exam 2022

  • Angelicer

    Angelicer

  • exam

PMI CAPM Free Dumps V9.02 Project Management Exam 2022...

12 USD

0

0

PMI CAPM Exam Questions & Answers 2022
View Document

PMI CAPM Exam Questions & Answers 2022

  • Angelicer

    Angelicer

  • exam

PMI CAPM Exam Questions & Answers 2022...

11 USD

0

0

Hesi A2 entrance exam
View Document

Hesi A2 entrance exam

  • Angelicer

    Angelicer

  • exam

Get Hesi A2 entrance exam. Instant PDF download...

10 USD

0

0

CAPM and PMP Exam questions and answers 2022
View Document

CAPM and PMP Exam questions and answers 2022

  • Angelicer

    Angelicer

  • exam

CAPM and PMP Exam questions and answers 2022...

7 USD

0

0

NRNP 6645 Psychotherapy with Multiple Modalities Midterm Exam - Week 6
View Document

NRNP 6645 Psychotherapy with Multiple Modalities Midterm Exam - Week 6

  • mentor2000

    mentor2000

  • test bank

NRNP 6645 Psychotherapy with Multiple Modalities Midterm Exam - Week 6...

7 USD

0

0

HESI EXIT RN EXAM V1-V7 (2026 Update)
View Document

HESI EXIT RN EXAM V1-V7 (2026 Update)

  • mentor2000

    mentor2000

  • exam

HESI EXIT RN EXAM V1-V7 latest actual exam questions and correct answers following discharge teaching, a male client wi...

15 USD

0

0

HESI EXIT RN EXAM V3 LATEST 2026
View Document

HESI EXIT RN EXAM V3 LATEST 2026

  • mentor2000

    mentor2000

  • exam

HESI EXIT RN EXAM V3 LATEST 2025 A male client with hypertension, who received new antihypertensive prescriptions at hi...

8 USD

0

22

NR 599 Week 4 Midterm Exam Complete Questions & Answers All Answers Correct
View Document

NR 599 Week 4 Midterm Exam Complete Questions & Answers All Answers Correct

  • mentor2000

    mentor2000

  • exam

NR 599 Week 4 Midterm Exam Complete Questions & Answers All Answers Correct...

8 USD

0

0

NR 599 Week 4 Midterm Exam Study Guide 2022
View Document

NR 599 Week 4 Midterm Exam Study Guide 2022

  • mentor2000

    mentor2000

  • exam

NR 599 Week 4 Midterm Exam Study Guide 2022...

7 USD

0

0

SCI 225 Week 16  Pathophysiology Final Exam (Proctored) 2021
View Document

SCI 225 Week 16 Pathophysiology Final Exam (Proctored) 2021

  • Gorski

    Gorski

  • exam

SCI 225 Week 16 Pathophysiology Final Exam (Proctored) 2021...

6 USD

0

1

Test Bank for Buttaro Primary Care A Collaborative Practice, 6th Edition
View Document

Test Bank for Buttaro Primary Care A Collaborative Practice, 6th Edition

  • studypal

    studypal

  • test bank

Test Bank for Buttaro Primary Care A Collaborative Practice, 6th Edition...

24 USD

0

0

Advanced Cardiovascular Life Support Written Exam Version A and B with Answer key plus Reference sheet (100 Questions)
View Document

Advanced Cardiovascular Life Support Written Exam Version A and B with Answer key plus Reference sheet (100 Questions)

  • studypal

    studypal

  • questions & answers

Advanced Cardiovascular Life Support Written Exam Version A and B with Answer key plus Reference sheet (100 Questions)...

14 USD

0

0

ATI Community Health Proctored Exam 2019 Form C
View Document

ATI Community Health Proctored Exam 2019 Form C

  • Gorski

    Gorski

  • ati proctored

ATI Community Health Proctored Exam 2019 Form C...

10 USD

0

0

ATI Community Health Proctored Exam 2019 Form B
View Document

ATI Community Health Proctored Exam 2019 Form B

  • Gorski

    Gorski

  • ati proctored

ATI Community Health Proctored Exam 2019 Form B...

12 USD

0

0

ATI Community Health Proctored Exam Form A 2019
View Document

ATI Community Health Proctored Exam Form A 2019

  • Gorski

    Gorski

  • ati proctored

ATI Community Health Proctored Exam Form A 2019...

10 USD

0

0

NR 222 Exam 3 Review Questions
View Document

NR 222 Exam 3 Review Questions

  • Namwaki

    Namwaki

  • exam

NR 222 Exam 3 Review Questions...

8 USD

0

0

LMSW LICENSING EXAM 2022 (EXAM PACK)
View Document

LMSW LICENSING EXAM 2022 (EXAM PACK)

  • GradeA

    GradeA

  • exam

LMSW LICENSING EXAM 2022 (EXAM PACK)...

8 USD

0

0

DEA1 ACC 562 EXAM PACK 2022
View Document

DEA1 ACC 562 EXAM PACK 2022

  • GradeA

    GradeA

  • exam

DEA1 ACC 562 EXAM PACK 2022...

8 USD

0

0

Auditing MCQ Exam Review (2022)
View Document

Auditing MCQ Exam Review (2022)

  • GradeA

    GradeA

  • exam

Auditing MCQ Exam Review (2022)...

7 USD

0

0

AS101 Final Exam Test Bank
View Document

AS101 Final Exam Test Bank

  • GradeA

    GradeA

  • exam

AS101 Final Exam Test Bank – Download PDF...

15 USD

0

0

ACC707 -Auditing and Assurance Services  - Final Exam
View Document

ACC707 -Auditing and Assurance Services - Final Exam

  • GradeA

    GradeA

  • exam

ACC707 -Auditing and Assurance Services - Final Exam...

8 USD

0

0

ATI Peds proctored exam 2020 NURS 211L
View Document

ATI Peds proctored exam 2020 NURS 211L

  • Angelicer

    Angelicer

  • ati

ATI Peds proctored exam 2020 NURS 211L...

8 USD

0

0

Series 10 Exam Study Guide+ Test Bank by The Securities Institute of America
View Document

Series 10 Exam Study Guide+ Test Bank by The Securities Institute of America

  • studypal

    studypal

  • test bank

Series 10 Exam Study Guide+ Test Bank by The Securities Institute of America...

15 USD

0

0

Test Bank for Microbiology: The Human Experience, 2nd Edition by Foster
View Document

Test Bank for Microbiology: The Human Experience, 2nd Edition by Foster

  • mentor2000

    mentor2000

  • test bank

Download the official test bank for Microbiology: The Human Experience, 2nd Edition. Ideal for nursing exam prep, quizze...

15 USD

0

0

NR501 Week 8: Nursing Theory Quiz| NR 501 Week 8 Nursing Theory Quiz (Solutions).
View Document

NR501 Week 8: Nursing Theory Quiz| NR 501 Week 8 Nursing Theory Quiz (Solutions).

  • studypal

    studypal

  • test bank

NR501 Week 8: Nursing Theory Quiz| NR 501 Week 8 Nursing Theory Quiz (Solutions)....

10 USD

0

0

NURS 6152 B Section 200 Mabel Johnson (completed) latest spring 2021.
View Document

NURS 6152 B Section 200 Mabel Johnson (completed) latest spring 2021.

  • studypal

    studypal

  • test bank

NURS 6152 B Section 200 Mabel Johnson (completed) latest spring 2021....

14 USD

0

0

ATI PN COMPREHENSIVE PREDICTOR 2021 REAL EXAM 160 Questions and Answers
View Document

ATI PN COMPREHENSIVE PREDICTOR 2021 REAL EXAM 160 Questions and Answers

  • mentor2000

    mentor2000

  • exam

ATI PN COMPREHENSIVE PREDICTOR 2021 REAL EXAM 160 Questions and Answers...

18 USD

0

0

ATI PN COMPREHENSIVE PREDICTOR 2022 REAL EXAM 180 Questions
View Document

ATI PN COMPREHENSIVE PREDICTOR 2022 REAL EXAM 180 Questions

  • Namwaki

    Namwaki

  • ati

ATI PN COMPREHENSIVE PREDICTOR 2022 REAL EXAM 180 Questions – Download PDF...

18 USD

0

1

ATI PN COMPREHENSIVE PREDICTOR 2021 REAL EXAM 180 Questions
View Document

ATI PN COMPREHENSIVE PREDICTOR 2021 REAL EXAM 180 Questions

  • Namwaki

    Namwaki

  • ati

ATI PN COMPREHENSIVE PREDICTOR 2021 REAL EXAM 180 Questions – Download PDF...

18 USD

0

2

ATI PN COMPREHENSIVE PREDICTOR 2020 (REAL EXAM)
View Document

ATI PN COMPREHENSIVE PREDICTOR 2020 (REAL EXAM)

  • Namwaki

    Namwaki

  • ati

ATI PN COMPREHENSIVE PREDICTOR 2020 (REAL EXAM) – Download PDF...

16 USD

0

6

Test Bank Stahls Essential Psychopharmacology:Neuroscientific Basis & Practical Applications 4th Edition
View Document

Test Bank Stahls Essential Psychopharmacology:Neuroscientific Basis & Practical Applications 4th Edition

  • studypal

    studypal

  • test bank

Test Bank Stahls Essential Psychopharmacology:Neuroscientific Basis & Practical Applications 4th Edition...

15 USD

0

0

CON 280 EXAM 2 ANSWERS
View Document

CON 280 EXAM 2 ANSWERS

  • studypal

    studypal

  • questions & answers

CON 280 EXAM 2 ANSWERS...

9 USD

0

0

Pediatric Physical Examination An Illustrated Handbook 3rd Edition Duderstadt Test Bank
View Document

Pediatric Physical Examination An Illustrated Handbook 3rd Edition Duderstadt Test Bank

  • Namwaki

    Namwaki

  • exam

Pediatric Physical Examination An Illustrated Handbook 3rd Edition Duderstadt Test Bank...

12 USD

0

0

NR 452 ATI RN COMPREHENSIVE EXIT EXAM 2020 Chamberlain College of Nursing,  ATI RN COMPREHENSIVE EXIT EXAM Questions and Answers
View Document

NR 452 ATI RN COMPREHENSIVE EXIT EXAM 2020 Chamberlain College of Nursing, ATI RN COMPREHENSIVE EXIT EXAM Questions and Answers

  • evekendra3

    evekendra3

  • questions & answers

NR 452 ATI RN COMPREHENSIVE EXIT EXAM 2020 Chamberlain College of Nursing, ATI RN COMPREHENSIVE EXIT EXAM Questions and...

17 USD

0

0

Pediatric Physical Examination An Illustrated Handbook 3rd Edition Duderstadt Test Bank
View Document

Pediatric Physical Examination An Illustrated Handbook 3rd Edition Duderstadt Test Bank

  • tutor_gesco

    tutor_gesco

  • test bank

Pediatric Physical Examination An Illustrated Handbook 3rd Edition Duderstadt Test Bank...

15 USD

0

0

2022 NUR 634 Final Exam
View Document

2022 NUR 634 Final Exam

  • tutorvalentine

    tutorvalentine

  • exam

2022 NUR 634 Final Exam...

8 USD

0

0

ACC 290 FINAL EXAM GRADED A 2022
View Document

ACC 290 FINAL EXAM GRADED A 2022

  • tutorvalentine

    tutorvalentine

  • exam

ACC 290 FINAL EXAM GRADED A 2022 – Download PDF...

6 USD

0

0

ACC5TAX FINAL SAMPLE PAPER
View Document

ACC5TAX FINAL SAMPLE PAPER

  • tutorvalentine

    tutorvalentine

  • exam

ACC5TAX FINAL SAMPLE PAPER...

5 USD

0

0

ADL2601 Exam Papers and Memos
View Document

ADL2601 Exam Papers and Memos

  • tutorvalentine

    tutorvalentine

  • exam

ADL2601 Exam Papers and Memos...

5 USD

0

0

Advanced Pathophysiology week 4 midterm 2022 (Real exam)
View Document

Advanced Pathophysiology week 4 midterm 2022 (Real exam)

  • tutorvalentine

    tutorvalentine

  • exam

Advanced Pathophysiology week 4 midterm 2022 (Real exam)...

7 USD

0

0

HESI EXIT RN EXAM V1-V7 LATEST UPDATE (2022)
View Document

HESI EXIT RN EXAM V1-V7 LATEST UPDATE (2022)

  • tutorvalentine

    tutorvalentine

  • exam

HESI EXIT RN EXAM V1-V7 LATEST UPDATE (2022) – Download PDF...

15 USD

0

1

2021 CRW2602 EXAM PACK QUESTIONS AND ANSWERS 100 Percent VERIFIED.
View Document

2021 CRW2602 EXAM PACK QUESTIONS AND ANSWERS 100 Percent VERIFIED.

  • tutorvalentine

    tutorvalentine

  • exam

2021 CRW2602 EXAM PACK QUESTIONS AND ANSWERS 100 Percent VERIFIED. – Download PDF...

8 USD

0

0

[2022] ALL EXAMS MASTER DOCUMENT FOR PHYSICIAN CODING FOR CPC PREPARATION (Q-S)
View Document

[2022] ALL EXAMS MASTER DOCUMENT FOR PHYSICIAN CODING FOR CPC PREPARATION (Q-S)

  • tutorvalentine

    tutorvalentine

  • exam

[2022] ALL EXAMS MASTER DOCUMENT FOR PHYSICIAN CODING FOR CPC PREPARATION (Q-S)...

12 USD

0

0

BSC 2085 anatomy and Physiology NCLEX Final Exam Predictor Study Guide
View Document

BSC 2085 anatomy and Physiology NCLEX Final Exam Predictor Study Guide

  • Gorski

    Gorski

  • exam

BSC 2085 anatomy and Physiology NCLEX Final Exam Predictor Study Guide...

7 USD

0

0

NUR 3145 Pharmacotherapeutics Pharm quiz (Final Exam)
View Document

NUR 3145 Pharmacotherapeutics Pharm quiz (Final Exam)

  • mentor2000

    mentor2000

  • exam

NUR 3145 Pharmacotherapeutics Pharm quiz (Final Exam)...

8 USD

0

0

HESI Exit RN Exam More than 700 Questions, Answers Rationale New 2019, 2020, 2021 latest
View Document

HESI Exit RN Exam More than 700 Questions, Answers Rationale New 2019, 2020, 2021 latest

  • mentor2000

    mentor2000

  • exam

HESI Exit RN Exam More than 700 Questions, Answers Rationale New 2019, 2020, 2021 latest...

8 USD

0

0

Focused Exam Respiratory Syncytial Virus Results Completed Shadow Health Patient Eden Wu
View Document

Focused Exam Respiratory Syncytial Virus Results Completed Shadow Health Patient Eden Wu

  • mentor2000

    mentor2000

  • exam

Focused Exam Respiratory Syncytial Virus Results Completed Shadow Health Patient Eden Wu...

8 USD

0

0

ATI Nutrition exam A and B Complete Solution Latest Update
View Document

ATI Nutrition exam A and B Complete Solution Latest Update

  • mentor2000

    mentor2000

  • exam

ATI Nutrition exam A and B Complete Solution Latest Update...

8 USD

0

0

ATI Capstone Med Surg Exam Test Bank Latest Update
View Document

ATI Capstone Med Surg Exam Test Bank Latest Update

  • mentor2000

    mentor2000

  • exam

ATI Capstone Med Surg Exam Test Bank Latest Update...

15 USD

0

0

Ventricular Septal Defect (VSD) Questions And Answers NCLEX Exam
View Document

Ventricular Septal Defect (VSD) Questions And Answers NCLEX Exam

  • mentor2000

    mentor2000

  • exam

Ventricular Septal Defect (VSD) Questions And Answers NCLEX Exam...

6 USD

0

0

Truncus Arteriosus Questions And Answers NCLEX Exam
View Document

Truncus Arteriosus Questions And Answers NCLEX Exam

  • mentor2000

    mentor2000

  • exam

Truncus Arteriosus Questions And Answers NCLEX Exam...

6 USD

0

0

Transposition of the Great Arteries (TGA) Questions And Answers NCLEX Exam
View Document

Transposition of the Great Arteries (TGA) Questions And Answers NCLEX Exam

  • mentor2000

    mentor2000

  • exam

Transposition of the Great Arteries (TGA) Questions And Answers NCLEX Exam...

6 USD

0

0

Toddler Developmental Milestones Questions And Answers NCLEX Exam 2022
View Document

Toddler Developmental Milestones Questions And Answers NCLEX Exam 2022

  • mentor2000

    mentor2000

  • exam

Toddler Developmental Milestones Questions And Answers NCLEX Exam...

7 USD

0

0

Tetralogy of Fallot Questions And Answers NCLEX Exam
View Document

Tetralogy of Fallot Questions And Answers NCLEX Exam

  • mentor2000

    mentor2000

  • exam

Tetralogy of Fallot Questions And Answers NCLEX Exam...

7 USD

0

0

Safe Dosage Calculation for Pediatric Patients Questions And Answers NCLEX Exam
View Document

Safe Dosage Calculation for Pediatric Patients Questions And Answers NCLEX Exam

  • mentor2000

    mentor2000

  • exam

Safe Dosage Calculation for Pediatric Patients Questions And Answers NCLEX Exam...

7 USD

0

0

Pediatric Nursing for Metabolic & Endocrine Disorders Questions And Answers NCLEX Exam
View Document

Pediatric Nursing for Metabolic & Endocrine Disorders Questions And Answers NCLEX Exam

  • mentor2000

    mentor2000

  • exam

Pediatric Nursing for Metabolic & Endocrine Disorders Questions And Answers NCLEX Exam...

6 USD

0

0

Pediatric Nursing Developmental Stages Questions And Answers NCLEX Exam 2022
View Document

Pediatric Nursing Developmental Stages Questions And Answers NCLEX Exam 2022

  • mentor2000

    mentor2000

  • exam

Pediatric Nursing Developmental Stages Questions And Answers NCLEX Exam 2022...

6 USD

0

0

Patent Ductus Arteriosus Questions And Answers NCLEX Exam 2022
View Document

Patent Ductus Arteriosus Questions And Answers NCLEX Exam 2022

  • mentor2000

    mentor2000

  • exam

Patent Ductus Arteriosus Questions And Answers NCLEX Exam 2022...

8 USD

0

0

Newborn Infant Reflexes NCLEX Nursing Questions And Answers Exam 2022
View Document

Newborn Infant Reflexes NCLEX Nursing Questions And Answers Exam 2022

  • mentor2000

    mentor2000

  • exam

Newborn Infant Reflexes NCLEX Nursing Questions And Answers Exam 2022...

6 USD

0

0

Infant Developmental Milestones Questions And Answers NCLEX Exam 2022
View Document

Infant Developmental Milestones Questions And Answers NCLEX Exam 2022

  • mentor2000

    mentor2000

  • exam

Infant Developmental Milestones Questions And Answers NCLEX Exam 2022...

8 USD

0

0

Impetigo Questions And Answers NCLEX Exam 2022
View Document

Impetigo Questions And Answers NCLEX Exam 2022

  • mentor2000

    mentor2000

  • exam

Impetigo Questions And Answers NCLEX Exam 2022...

6 USD

0

0

Immunization Schedule  (Ages 0 to 6 years) Questions And Answers NCLEX Exam | 2026
View Document

Immunization Schedule (Ages 0 to 6 years) Questions And Answers NCLEX Exam | 2026

  • mentor2000

    mentor2000

  • exam

Immunization Schedule (Ages 0 to 6 years) Questions And Answers NCLEX Exam...

7 USD

0

0

Epiglottitis Questions And Answers NCLEX Exam 2022
View Document

Epiglottitis Questions And Answers NCLEX Exam 2022

  • mentor2000

    mentor2000

  • exam

Epiglottitis Questions And Answers NCLEX Exam 2022...

6 USD

0

0

Cystic Fibrosis Questions And Answers NCLEX Exam (Latest)
View Document

Cystic Fibrosis Questions And Answers NCLEX Exam (Latest)

  • mentor2000

    mentor2000

  • exam

Prepare for your NCLEX exam with the latest Cystic Fibrosis Questions and Answers. Comprehensive, accurate, and up-to-da...

6 USD

0

1

Coarctation of the Aorta Questions And Answers NCLEX Exam 2022
View Document

Coarctation of the Aorta Questions And Answers NCLEX Exam 2022

  • mentor2000

    mentor2000

  • exam

Coarctation of the Aorta Questions And Answers NCLEX Exam 2022...

5 USD

0

0

Car Seat Safety Questions And Answers NCLEX Exam 2022
View Document

Car Seat Safety Questions And Answers NCLEX Exam 2022

  • mentor2000

    mentor2000

  • exam

Car Seat Safety Questions And Answers NCLEX Exam 2022...

6 USD

0

0

Atrial Septal Defect Questions And Answers NCLEX Exam 2022
View Document

Atrial Septal Defect Questions And Answers NCLEX Exam 2022

  • mentor2000

    mentor2000

  • exam

Atrial Septal Defect Questions And Answers NCLEX Exam 2022...

6 USD

0

0

Warfarin (Coumadin) Questions With Answers NCLEX Exam 2026
View Document

Warfarin (Coumadin) Questions With Answers NCLEX Exam 2026

  • Gorski

    Gorski

  • nclex

Warfarin (Coumadin) Questions With Answers NCLEX Exam 2025...

6 USD

0

0

Thiazide Diuretics Pharmacology NCLEX Questions (NCLEX EXAM 2026)
View Document

Thiazide Diuretics Pharmacology NCLEX Questions (NCLEX EXAM 2026)

  • Gorski

    Gorski

  • nclex

Thiazide Diuretics Pharmacology NCLEX Questions (NCLEX EXAM 2025)...

6 USD

0

0

Rights of Medication Administration Nursing Quiz (NCLEX EXAM 2026)
View Document

Rights of Medication Administration Nursing Quiz (NCLEX EXAM 2026)

  • Gorski

    Gorski

  • nclex

Rights of Medication Administration Nursing Quiz (NCLEX EXAM 2025)...

5 USD

0

0

Potassium-Sparing Diuretics NCLEX Questions Pharmacology (NCLEX EXAM 2026)
View Document

Potassium-Sparing Diuretics NCLEX Questions Pharmacology (NCLEX EXAM 2026)

  • Gorski

    Gorski

  • nclex

Potassium-Sparing Diuretics NCLEX Questions Pharmacology,NCLEX EXAM...

5 USD

0

0

Medications Administration Routes and Abbreviations Nursing Quiz (NCLEX EXAM 2026)
View Document

Medications Administration Routes and Abbreviations Nursing Quiz (NCLEX EXAM 2026)

  • Gorski

    Gorski

  • nclex

Medications Administration Routes and Abbreviations Nursing Quiz (NCLEX EXAM 2025)...

5 USD

0

0

Loop Diuretics NCLEX Questions (NCLEX EXAM 2026)
View Document

Loop Diuretics NCLEX Questions (NCLEX EXAM 2026)

  • Gorski

    Gorski

  • nclex

Loop Diuretics NCLEX Questions (NCLEX EXAM 2025)...

6 USD

0

0

Heparin NCLEX Questions (Anticoagulation) NCLEX EXAM 2026
View Document

Heparin NCLEX Questions (Anticoagulation) NCLEX EXAM 2026

  • Gorski

    Gorski

  • nclex

Heparin NCLEX Questions (Anticoagulation) NCLEX EXAM 2025...

5 USD

0

0

Calcium Channel Blockers NCLEX Questions (NCLEX EXAM 2026)
View Document

Calcium Channel Blockers NCLEX Questions (NCLEX EXAM 2026)

  • Gorski

    Gorski

  • nclex

Calcium Channel Blockers NCLEX Questions (NCLEX EXAM 2025)...

5 USD

0

0

Beta Blockers NCLEX Questions (NCLEX EXAM 2026)
View Document

Beta Blockers NCLEX Questions (NCLEX EXAM 2026)

  • Gorski

    Gorski

  • nclex

Beta Blockers NCLEX Questions (NCLEX EXAM 2025)...

5 USD

0

0

Benzodiazepines (Anxiolytic and Sedative-Hypnotic) NCLEX Nursing Questions With Answers,NCLEX EXAM
View Document

Benzodiazepines (Anxiolytic and Sedative-Hypnotic) NCLEX Nursing Questions With Answers,NCLEX EXAM

  • Gorski

    Gorski

  • nclex

Benzodiazepines (Anxiolytic and Sedative-Hypnotic) NCLEX Nursing Questions With Answers,NCLEX EXAM...

5 USD

0

0

Barbiturates (Anxiolytic and Sedative-Hypnotic) NCLEX Nursing Questions (NCLEX EXAM 2026)
View Document

Barbiturates (Anxiolytic and Sedative-Hypnotic) NCLEX Nursing Questions (NCLEX EXAM 2026)

  • Gorski

    Gorski

  • nclex

Barbiturates (Anxiolytic and Sedative-Hypnotic) NCLEX Nursing Questions (NCLEX EXAM 2025)...

5 USD

0

0

ARBs Angiotensin II Receptor Blockers NCLEX Questions (NCLEX EXAM 2026)
View Document

ARBs Angiotensin II Receptor Blockers NCLEX Questions (NCLEX EXAM 2026)

  • Gorski

    Gorski

  • nclex

ARBs Angiotensin II Receptor Blockers NCLEX Questions (NCLEX EXAM 2025)...

5 USD

0

0

Antidotes for Medications NCLEX Quiz Questions (NCLEX EXAM 2026)
View Document

Antidotes for Medications NCLEX Quiz Questions (NCLEX EXAM 2026)

  • Gorski

    Gorski

  • nclex

Antidotes for Medications NCLEX Quiz Questions (NCLEX EXAM 2025)...

5 USD

0

0

ACE Inhibitors NCLEX Questions NCLEX EXAM 2026
View Document

ACE Inhibitors NCLEX Questions NCLEX EXAM 2026

  • Gorski

    Gorski

  • nclex

ACE Inhibitors NCLEX Questions NCLEX EXAM 2025...

6 USD

0

0

(Questions and Answers) SSRIs (Selective-Serotonin Reuptake Inhibitors) NCLEX EXAM 2026
View Document

(Questions and Answers) SSRIs (Selective-Serotonin Reuptake Inhibitors) NCLEX EXAM 2026

  • Gorski

    Gorski

  • nclex

(Questions and Answers) SSRIs (Selective-Serotonin Reuptake Inhibitors) NCLEX EXAM 2025...

5 USD

0

0

(Questions and Answers) Medication Abbreviation Frequencies Time and Orders (NCLEX EXAM 2022)
View Document

(Questions and Answers) Medication Abbreviation Frequencies Time and Orders (NCLEX EXAM 2022)

  • Gorski

    Gorski

  • nclex

(Questions and Answers) Medication Abbreviation Frequencies Time and Orders (NCLEX EXAM 2025)...

5 USD

0

0

NURS 6660 mid term Exam For 2026 with Answers
View Document

NURS 6660 mid term Exam For 2026 with Answers

  • Gorski

    Gorski

  • exam

NURS 6660 mid term Exam For 2025 with Answers...

5 USD

0

0

MNG3701 EXAM PACK 2026
View Document

MNG3701 EXAM PACK 2026

  • Gorski

    Gorski

  • exam

MNG3701 EXAM PACK 2025...

6 USD

0

0

BIOL101 FINAL EXAM-ONLINE UNIVERSITY OF MARYLAND UNIVERSITY COLLEGE
View Document

BIOL101 FINAL EXAM-ONLINE UNIVERSITY OF MARYLAND UNIVERSITY COLLEGE

  • Gorski

    Gorski

  • exam

BIOL101 FINAL EXAM-ONLINE UNIVERSITY OF MARYLAND UNIVERSITY COLLEGE...

8 USD

0

0

CON 237 Simplified Acquisition Procedures Course Exam [Answers Provided] REVISED
View Document

CON 237 Simplified Acquisition Procedures Course Exam [Answers Provided] REVISED

  • studypal

    studypal

  • questions & answers

CON 237 Simplified Acquisition Procedures Course Exam [Answers Provided] REVISED...

10 USD

0

0

NUR 4010 Pediatric Exam 2 Study Guide And NUR 4010 Pediatric Final Exam Blueprint
View Document

NUR 4010 Pediatric Exam 2 Study Guide And NUR 4010 Pediatric Final Exam Blueprint

  • studypal

    studypal

  • study guide

NUR 4010 Pediatric Exam 2 Study Guide And NUR 4010 Pediatric Final Exam Blueprint...

10 USD

0

0

Test Bank - Psychiatric Mental Health Nursing by Mary Townsend 9th Edition [All 38 Chapters fully covered]
View Document

Test Bank - Psychiatric Mental Health Nursing by Mary Townsend 9th Edition [All 38 Chapters fully covered]

  • studypal

    studypal

  • test bank

Comprehensive test bank for Psychiatric Mental Health Nursing by Mary Townsend (9th Edition), featuring NCLEX-style ques...

15 USD

0

0

SEJPME Final Exam 2022
View Document

SEJPME Final Exam 2022

  • Namwaki

    Namwaki

  • exam

SEJPME Final Exam 2022...

6 USD

0

0

SEJPME Combined Exam Pack Latest 2022
View Document

SEJPME Combined Exam Pack Latest 2022

  • Namwaki

    Namwaki

  • exam

SEJPME Combined Exam Pack Latest 2022...

6 USD

0

0

(Answered) Growth and Development 2019 Proctored exam review Elaborated Distinctively,,,,.
View Document

(Answered) Growth and Development 2019 Proctored exam review Elaborated Distinctively,,,,.

  • tutor_gesco

    tutor_gesco

  • exam

(Answered) Growth and Development 2019 Proctored exam review Elaborated Distinctively,,,,....

6 USD

0

0

Test Bank for Campbell Biology 12th Edition :The Ultimate Study Companion by Urry
View Document

Test Bank for Campbell Biology 12th Edition :The Ultimate Study Companion by Urry

  • tutor_gesco

    tutor_gesco

  • exam

Test Bank for Campbell Biology, 12th Edition by Urry – 55 chapters, detailed explanations, and NCLEX-style exam questi...

16 USD

0

3

NURS6501 (Week 1-6) NURS 6501 Midterm Exam Study Guide (Latest 2022) Advanced Pathophysiology.
View Document

NURS6501 (Week 1-6) NURS 6501 Midterm Exam Study Guide (Latest 2022) Advanced Pathophysiology.

  • tutor_gesco

    tutor_gesco

  • exam

NURS6501 (Week 1-6) NURS 6501 Midterm Exam Study Guide (Latest 2022) Advanced Pathophysiology....

7 USD

0

0

NRNP 6645 MIDTERM EXAM
View Document

NRNP 6645 MIDTERM EXAM

  • tutor_gesco

    tutor_gesco

  • exam

NRNP 6645 MIDTERM EXAM...

6 USD

0

1

BIOL 1001 FINAL EXAM WEEK 6 – QUESTION AND ANSWERS
View Document

BIOL 1001 FINAL EXAM WEEK 6 – QUESTION AND ANSWERS

  • tutor_gesco

    tutor_gesco

  • exam

BIOL 1001 FINAL EXAM WEEK 6 – QUESTION AND ANSWERS...

6 USD

0

0

(Solved Solution help) HESI EXIT EXAM 2021, 2022 (Answered)
View Document

(Solved Solution help) HESI EXIT EXAM 2021, 2022 (Answered)

  • tutor_gesco

    tutor_gesco

  • exam

(Solved Solution help) HESI EXIT EXAM 2021, 2022 (Answered)...

6 USD

0

0

(Answered) Final Exams ECON 1580 Introduction to Economics Latest Fall 2022
View Document

(Answered) Final Exams ECON 1580 Introduction to Economics Latest Fall 2022

  • tutor_gesco

    tutor_gesco

  • exam

(Answered) Final Exams ECON 1580 Introduction to Economics Latest Fall 2022...

6 USD

0

0

NUR 6665 FINAL EXAM |NUR6665 FINAL EXAM Questions and Answers - 100% correct (2022) New Update.
View Document

NUR 6665 FINAL EXAM |NUR6665 FINAL EXAM Questions and Answers - 100% correct (2022) New Update.

  • studypal

    studypal

  • questions & answers

NUR 6665 FINAL EXAM |NUR6665 FINAL EXAM Questions and Answers - 100% correct (2022) New Update....

14 USD

0

0

CON 121 Contract Planning Exam, Part A and CON 121 Contract Planning Exam, Part B Complete Solution.
View Document

CON 121 Contract Planning Exam, Part A and CON 121 Contract Planning Exam, Part B Complete Solution.

  • studypal

    studypal

  • questions & answers

CON 121 Contract Planning Exam, Part A and CON 121 Contract Planning Exam, Part B Complete Solution....

10 USD

0

0

CON 237 Simplified Acquisition Procedures Course Exam Complete Solution
View Document

CON 237 Simplified Acquisition Procedures Course Exam Complete Solution

  • studypal

    studypal

  • questions & answers

CON 237 Simplified Acquisition Procedures Course Exam Complete Solution...

10 USD

0

0

Summary Unit 6 The Fachetti Group CHALLENGES and PROPOSALS (Principles of Management January 2022 exam)
View Document

Summary Unit 6 The Fachetti Group CHALLENGES and PROPOSALS (Principles of Management January 2022 exam)

  • GradeA

    GradeA

  • exam

Summary Unit 6 The Fachetti Group CHALLENGES and PROPOSALS (Principles of Management January 2022 exam)...

7 USD

0

0

Summary Unit 6 Principles of Management January 2022 EXAM STRUCTURE (The Fachetti Group)
View Document

Summary Unit 6 Principles of Management January 2022 EXAM STRUCTURE (The Fachetti Group)

  • GradeA

    GradeA

  • exam

Summary Unit 6 Principles of Management January 2022 EXAM STRUCTURE (The Fachetti Group)...

6 USD

0

0

Distinction Example of Unit 6 The Fachetti Group Part B MOCK January 2022 (Report)
View Document

Distinction Example of Unit 6 The Fachetti Group Part B MOCK January 2022 (Report)

  • mentor2000

    mentor2000

  • exam

Distinction Example of Unit 6 The Fachetti Group Part B MOCK January 2022 (Report)...

7 USD

0

1

Distinction Example of Unit 6 The Fachetti Group PART B MOCK January 2022 (Presentation)
View Document

Distinction Example of Unit 6 The Fachetti Group PART B MOCK January 2022 (Presentation)

  • mentor2000

    mentor2000

  • exam

Distinction Example of Unit 6 The Fachetti Group PART B MOCK January 2022 (Presentation)...

7 USD

0

1

Quickbooks ProAdvisor Certification Exam All section Passed 2021
View Document

Quickbooks ProAdvisor Certification Exam All section Passed 2021

  • harrie

    harrie

  • exam

Quickbooks ProAdvisor Certification Exam All section Passed 2021...

8 USD

0

0

OPS 571 Final Exam 2021 (All Answered Questions)
View Document

OPS 571 Final Exam 2021 (All Answered Questions)

  • harrie

    harrie

  • exam

OPS 571 Final Exam 2021 (All Answered Questions)...

8 USD

0

0

MATH 1280 Introduction to Statistics FINAL EXAM 100% correct answers
View Document

MATH 1280 Introduction to Statistics FINAL EXAM 100% correct answers

  • studypal

    studypal

  • questions & answers

MATH 1280 Introduction to Statistics FINAL EXAM 100% correct answers...

5 USD

0

0

University of the People. CS2203 FINAL EXAM With All Correct Answers, Top Rated
View Document

University of the People. CS2203 FINAL EXAM With All Correct Answers, Top Rated

  • studypal

    studypal

  • questions & answers

University of the People. CS2203 FINAL EXAM With All Correct Answers, Top Rated 100%....

14 USD

0

0

ATI RN Nursing Care of Children Proctored Exam
View Document

ATI RN Nursing Care of Children Proctored Exam

  • mentor2000

    mentor2000

  • ati proctored

ATI RN Nursing Care of Children Proctored Exam...

16 USD

0

1

BIOS 390 Molecular Biology Week 1-7 Exam Study Guide with Lab Reports- Complete Guide (Download to score an A) 2021
View Document

BIOS 390 Molecular Biology Week 1-7 Exam Study Guide with Lab Reports- Complete Guide (Download to score an A) 2021

  • studypal

    studypal

  • questions & answers

BIOS 390 Molecular Biology Week 1-7 Exam Study Guide with Lab Reports- Complete Guide (Download to score an A) 2021...

15 USD

0

0

CLC 222 module 4 exam contract monitoring - performance exam
View Document

CLC 222 module 4 exam contract monitoring - performance exam

  • studypal

    studypal

  • questions & answers

CLC 222 module 4 exam contract monitoring - performance exam...

12 USD

0

0

BIO 171 essential microbiology - M2: Module 2 Exam Graded A - Score 96 out of 100 (Portage Learning)
View Document

BIO 171 essential microbiology - M2: Module 2 Exam Graded A - Score 96 out of 100 (Portage Learning)

  • studypal

    studypal

  • questions & answers

BIO 171 essential microbiology - M2: Module 2 Exam Graded A - Score 96 out of 100 (Portage Learning)...

12 USD

0

0

BIOLOGY 245 Anatomy and Physiology; AP II - Module 2 Exam Graded A (Complete solution) LATEST
View Document

BIOLOGY 245 Anatomy and Physiology; AP II - Module 2 Exam Graded A (Complete solution) LATEST

  • studypal

    studypal

  • questions & answers

BIOLOGY 245 Anatomy and Physiology; AP II - Module 2 Exam Graded A (Complete solution) LATEST...

10 USD

0

0

BIOLOGY 245 Anatomy and Physiology; AP II - Module 1 Exam Graded A (Complete solution) LATEST
View Document

BIOLOGY 245 Anatomy and Physiology; AP II - Module 1 Exam Graded A (Complete solution) LATEST

  • studypal

    studypal

  • questions & answers

BIOLOGY 245 Anatomy and Physiology; AP II - Module 1 Exam Graded A (Complete solution) LATEST...

10 USD

0

0

BIOLOGY 245 Anatomy and Physiology; AP II - Module 4 Exam Graded A (Complete solution) LATEST
View Document

BIOLOGY 245 Anatomy and Physiology; AP II - Module 4 Exam Graded A (Complete solution) LATEST

  • studypal

    studypal

  • questions & answers

BIOLOGY 245 Anatomy and Physiology; AP II - Module 4 Exam Graded A (Complete solution) LATEST...

10 USD

0

0

ATI Med-Surg proctored Exam Questions & Answers A Grade (Complete Version) Latest Updated Solution
View Document

ATI Med-Surg proctored Exam Questions & Answers A Grade (Complete Version) Latest Updated Solution

  • studypal

    studypal

  • ati proctored

ATI Med-Surg proctored Exam Questions & Answers A Grade (Complete Version) Latest Updated Solution...

13 USD

0

0

TEST BANK FOR PHYSICAL EXAMINATION AND HEATH ASSESMENT 8TH EDITOION BY JARVIS
View Document

TEST BANK FOR PHYSICAL EXAMINATION AND HEATH ASSESMENT 8TH EDITOION BY JARVIS

  • Angelicer

    Angelicer

  • exam

TEST BANK FOR PHYSICAL EXAMINATION AND HEATH ASSESMENT 8TH EDITOION BY JARVIS – Download PDF...

15 USD

0

0

PEDS Exam 1 Chamberlain University Lecture Notes
View Document

PEDS Exam 1 Chamberlain University Lecture Notes

  • mentor2000

    mentor2000

  • exam

PEDS Exam 1 Chamberlain University Lecture Notes...

5 USD

0

0

NR599 Week 8 Final Exam study Guide
View Document

NR599 Week 8 Final Exam study Guide

  • mentor2000

    mentor2000

  • exam

NR599 Week 8 Final Exam study Guide...

5 USD

0

0

NR599 final exam study guide 2022
View Document

NR599 final exam study guide 2022

  • mentor2000

    mentor2000

  • exam

NR599 final exam study guide 2022...

5 USD

0

0

NR328 Pediatrics Exam 1 Study Guide
View Document

NR328 Pediatrics Exam 1 Study Guide

  • mentor2000

    mentor2000

  • exam

NR328 Pediatrics Exam 1 Study Guide...

5 USD

0

0

NR 601 Final Exam Questions and Answers
View Document

NR 601 Final Exam Questions and Answers

  • mentor2000

    mentor2000

  • exam

NR 601 Final Exam Questions and Answers...

5 USD

0

0

Advanced health assessment- NR 509: Focused Exam- Abdominal Pain Results | Turned In for Esther Park 78yrs (SH) Shadow Health.
View Document

Advanced health assessment- NR 509: Focused Exam- Abdominal Pain Results | Turned In for Esther Park 78yrs (SH) Shadow Health.

  • studypal

    studypal

  • shadow health

Advanced health assessment- NR 509: Focused Exam- Abdominal Pain Results | Turned In for Esther Park 78yrs (SH) Shadow H...

15 USD

0

0

TEST BANK - NCLEX EXAM REVIEW - TEST BANK (COMPLETE SOLUTION) Revised Fully, UPDATED VERSION.
View Document

TEST BANK - NCLEX EXAM REVIEW - TEST BANK (COMPLETE SOLUTION) Revised Fully, UPDATED VERSION.

  • studypal

    studypal

  • test bank

TEST BANK - NCLEX EXAM REVIEW - TEST BANK (COMPLETE SOLUTION) Revised Fully, UPDATED VERSION....

16 USD

0

0

NCLEX-RN 515Q Exam A - Questions And Correct Answers Version 1 (Score: 800 points) A+ Solution.
View Document

NCLEX-RN 515Q Exam A - Questions And Correct Answers Version 1 (Score: 800 points) A+ Solution.

  • studypal

    studypal

  • questions & answers

NCLEX-RN 515Q Exam A - Questions And Correct Answers Version 1 (Score: 800 points) A+ Solution....

15 USD

0

0

BIOD 152 Module 1 Exam- Portage Learning
View Document

BIOD 152 Module 1 Exam- Portage Learning

  • studypal

    studypal

  • questions & answers

BIOD 152 Module 1 Exam- Portage Learning...

14 USD

0

0

Dental Pharmacology Exam 1
View Document

Dental Pharmacology Exam 1

  • Angelicer

    Angelicer

  • exam

Dental Pharmacology Exam 1...

5 USD

0

0

ATI PN COMPREHENSIVE PREDICTOR
View Document

ATI PN COMPREHENSIVE PREDICTOR

  • Angelicer

    Angelicer

  • exam

ATI PN COMPREHENSIVE PREDICTOR – Download PDF...

15 USD

0

0

PN COMPREHENSIVE EXIT EXAM180 Questions with Answers
View Document

PN COMPREHENSIVE EXIT EXAM180 Questions with Answers

  • Angelicer

    Angelicer

  • test bank

PN COMPREHENSIVE EXIT EXAM180 Questions with Answers...

10 USD

0

0

MNB1601 EXAM PACK 2021
View Document

MNB1601 EXAM PACK 2021

  • Eddah-Nafula

    Eddah-Nafula

  • exam

MNB1601 EXAM PACK 2021...

5 USD

0

0

CLC 056 Exam questions and answers Analyzing Contract Costs Exam Latest 2023
View Document

CLC 056 Exam questions and answers Analyzing Contract Costs Exam Latest 2023

  • Eddah-Nafula

    Eddah-Nafula

  • exam

CLC 056 Exam questions and answers Analyzing Contract Costs Exam Latest 2023 – Download PDF...

8 USD

0

1

BTM110 Notes for Exam 2
View Document

BTM110 Notes for Exam 2

  • Eddah-Nafula

    Eddah-Nafula

  • exam

BTM110 Notes for Exam 2...

5 USD

0

0

BTM110 Notes for Exam 3
View Document

BTM110 Notes for Exam 3

  • Eddah-Nafula

    Eddah-Nafula

  • exam

BTM110 Notes for Exam 3...

5 USD

0

0

BMC EXAM PACK
View Document

BMC EXAM PACK

  • Eddah-Nafula

    Eddah-Nafula

  • test bank

BMC EXAM PACK...

5 USD

0

0

Bloomberg Core Exam questions (Exam Predictor)
View Document

Bloomberg Core Exam questions (Exam Predictor)

  • Eddah-Nafula

    Eddah-Nafula

  • test bank

Bloomberg Core Exam questions (Exam Predictor)...

5 USD

0

0

Advanced Med Surg Exam 3
View Document

Advanced Med Surg Exam 3

  • GradeA

    GradeA

  • exam

Advanced Med Surg Exam 3...

7 USD

0

0

ACCT 505 FEDERAL TAX FINAL EXAM Federal Taxes and Decisions.
View Document

ACCT 505 FEDERAL TAX FINAL EXAM Federal Taxes and Decisions.

  • harrie

    harrie

  • exam

ACCT 505 FEDERAL TAX FINAL EXAM Federal Taxes and Decisions....

8 USD

0

0

ACCT 505 FINAL EXAM GUIDE (NEW) SET 3.
View Document

ACCT 505 FINAL EXAM GUIDE (NEW) SET 3.

  • harrie

    harrie

  • exam

ACCT 505 FINAL EXAM GUIDE (NEW) SET 3....

8 USD

0

0

ACCT 505 FINAL EXAM.
View Document

ACCT 505 FINAL EXAM.

  • harrie

    harrie

  • exam

ACCT 505 FINAL EXAM....

8 USD

0

0

ACCT 505 MIDTERM EXAM QUESTIONS AND ANSWERS.
View Document

ACCT 505 MIDTERM EXAM QUESTIONS AND ANSWERS.

  • harrie

    harrie

  • exam

ACCT 505 MIDTERM EXAM QUESTIONS AND ANSWERS....

7 USD

0

0

ADV PHARM FINALS PREDICTONS EXAM TEST BANK.
View Document

ADV PHARM FINALS PREDICTONS EXAM TEST BANK.

  • harrie

    harrie

  • exam

ADV PHARM FINALS PREDICTONS EXAM TEST BANK....

6 USD

0

0

ALL 4 SETS ACCT505 MIDTERM EXAM
View Document

ALL 4 SETS ACCT505 MIDTERM EXAM

  • harrie

    harrie

  • exam

ALL 4 SETS ACCT505 MIDTERM EXAM...

8 USD

0

0

BUSI 2001 FINAL EXAM Predictions - QUESTION AND ANSWERS.
View Document

BUSI 2001 FINAL EXAM Predictions - QUESTION AND ANSWERS.

  • harrie

    harrie

  • exam

BUSI 2001 FINAL EXAM Predictions - QUESTION AND ANSWERS....

7 USD

0

0

BUSI 2001 FINAL EXAM WEEK 6 WITH ANSWERS.
View Document

BUSI 2001 FINAL EXAM WEEK 6 WITH ANSWERS.

  • harrie

    harrie

  • exam

BUSI 2001 FINAL EXAM WEEK 6 WITH ANSWERS....

6 USD

0

0

BUSI 3007 – MGMT 3103 – BUSI 3001 FINAL EXAM.
View Document

BUSI 3007 – MGMT 3103 – BUSI 3001 FINAL EXAM.

  • harrie

    harrie

  • exam

BUSI 3007 – MGMT 3103 – BUSI 3001 FINAL EXAM....

7 USD

0

0

BUSI 3007- BUSI 3001- MGMT 3103 MIDTERM EXAM WEEK 3.
View Document

BUSI 3007- BUSI 3001- MGMT 3103 MIDTERM EXAM WEEK 3.

  • harrie

    harrie

  • exam

BUSI 3007- BUSI 3001- MGMT 3103 MIDTERM EXAM WEEK 3....

7 USD

0

0

BUSI 3007 FINAL EXAM WEEK 6 - QUESTION AND ANSWERS.
View Document

BUSI 3007 FINAL EXAM WEEK 6 - QUESTION AND ANSWERS.

  • harrie

    harrie

  • exam

BUSI 3007 FINAL EXAM WEEK 6 - QUESTION AND ANSWERS....

7 USD

0

0

BUSI 3007 MIDTERM EXAM - QUESTION AND ANSWERS.
View Document

BUSI 3007 MIDTERM EXAM - QUESTION AND ANSWERS.

  • harrie

    harrie

  • exam

BUSI 3007 MIDTERM EXAM - QUESTION AND ANSWERS....

7 USD

0

0

BUSI 3007 MIDTERM EXAM WEEK 3 - QUESTION AND ANSWERS WEEK 3 MIDTERM BUSINESS 3007 KNOWLEDGE MANAGEMENT
View Document

BUSI 3007 MIDTERM EXAM WEEK 3 - QUESTION AND ANSWERS WEEK 3 MIDTERM BUSINESS 3007 KNOWLEDGE MANAGEMENT

  • harrie

    harrie

  • exam

BUSI 3007 MIDTERM EXAM WEEK 3 - QUESTION AND ANSWERS WEEK 3 MIDTERM BUSINESS 3007 KNOWLEDGE MANAGEMENT...

5 USD

0

0

CISP 400 FINAL EXAM PREDICTED QUESTIONS AND ANSWERS.
View Document

CISP 400 FINAL EXAM PREDICTED QUESTIONS AND ANSWERS.

  • harrie

    harrie

  • exam

CISP 400 FINAL EXAM PREDICTED QUESTIONS AND ANSWERS....

8 USD

0

0

CSIS 212 FINAL EXAM - QUESTION AND ANSWERS.
View Document

CSIS 212 FINAL EXAM - QUESTION AND ANSWERS.

  • harrie

    harrie

  • exam

CSIS 212 FINAL EXAM - QUESTION AND ANSWERS....

10 USD

0

0

MGT 302 EXAM 2 QUESTIONS AND ANSWERS.
View Document

MGT 302 EXAM 2 QUESTIONS AND ANSWERS.

  • harrie

    harrie

  • exam

MGT 302 EXAM 2 QUESTIONS AND ANSWERS....

8 USD

0

0

MGT 302 FINAL EXAM QUESTIONS AND ANSWERS.
View Document

MGT 302 FINAL EXAM QUESTIONS AND ANSWERS.

  • harrie

    harrie

  • exam

MGT 302 FINAL EXAM QUESTIONS AND ANSWERS....

7 USD

0

0

MGT 302 FINAL EXAM STUDY GUIDE.
View Document

MGT 302 FINAL EXAM STUDY GUIDE.

  • harrie

    harrie

  • exam

MGT 302 FINAL EXAM STUDY GUIDE....

8 USD

0

0

MGT 302 STUDY GUIDE EXAM 2.
View Document

MGT 302 STUDY GUIDE EXAM 2.

  • harrie

    harrie

  • exam

MGT 302 STUDY GUIDE EXAM 2....

7 USD

0

0

NSG 310 TOPIC 12 FINAL EXAMS.
View Document

NSG 310 TOPIC 12 FINAL EXAMS.

  • harrie

    harrie

  • exam

NSG 310 TOPIC 12 FINAL EXAMS....

8 USD

0

0

NSG 401 OB EXAM ONE NOTES.
View Document

NSG 401 OB EXAM ONE NOTES.

  • harrie

    harrie

  • exam

NSG 401 OB EXAM ONE NOTES....

5 USD

0

0

NURSING 660 midterm exam 2020(Real exam Graded A)
View Document

NURSING 660 midterm exam 2020(Real exam Graded A)

  • Namwaki

    Namwaki

  • exam

NURSING 660 midterm exam 2020(Real exam Graded A)...

6 USD

0

0

ATI FUNDAMENTALS PROCTORED EXAM 2019
View Document

ATI FUNDAMENTALS PROCTORED EXAM 2019

  • Eddah-Nafula

    Eddah-Nafula

  • ati

ATI FUNDAMENTALS PROCTORED EXAM 2019 – Download PDF...

15 USD

0

0

ECON 700 Test 1 & 2 Final Exam Prediction
View Document

ECON 700 Test 1 & 2 Final Exam Prediction

  • mentor2000

    mentor2000

  • exam

ECON 700 Test 1 & 2 Final Exam Prediction...

5 USD

0

0

NUR 108 Final exam questions and answers
View Document

NUR 108 Final exam questions and answers

  • Yna

    Yna

  • test bank

NUR 108 Final exam questions and answers...

7 USD

0

1

ATI Nursing Care of Children Proctored Exam 2021
View Document

ATI Nursing Care of Children Proctored Exam 2021

  • Yna

    Yna

  • test bank

ATI Nursing Care of Children Proctored Exam 2021 – Download PDF...

17 USD

0

0

PN COMPREHENSIVE EXIT EXAM-180 Questions with Answers Updated
View Document

PN COMPREHENSIVE EXIT EXAM-180 Questions with Answers Updated

  • Yna

    Yna

  • test bank

PN COMPREHENSIVE EXIT EXAM-180 Questions with Answers Updated...

8 USD

0

0

ATI PN COMPREHENSIVE PREDICTOR 2020 REAL EXAM
View Document

ATI PN COMPREHENSIVE PREDICTOR 2020 REAL EXAM

  • mentor2000

    mentor2000

  • exam

Prepare for success with the ATI PN Comprehensive Predictor 2020 Real Exam. Access authentic exam questions and answers ...

18 USD

0

24

RN Comprehensive Final Exam Predictor Nursing Study Guide (Over 300+ Questions And Answers)
View Document

RN Comprehensive Final Exam Predictor Nursing Study Guide (Over 300+ Questions And Answers)

  • Namwaki

    Namwaki

  • exam

RN Comprehensive Final Exam Predictor Nursing Study Guide (Over 300+ Questions And Answers)...

5 USD

0

0

NURS 421 NCLEX Kaplan Final Exam Predictor Test
View Document

NURS 421 NCLEX Kaplan Final Exam Predictor Test

  • Namwaki

    Namwaki

  • exam

NURS 421 NCLEX Kaplan Final Exam Predictor Test...

5 USD

0

0

NUR 3225 Mock NCLEX exam Frequently Asked Questions And Final Exam Predictor
View Document

NUR 3225 Mock NCLEX exam Frequently Asked Questions And Final Exam Predictor

  • Namwaki

    Namwaki

  • exam

NUR 3225 Mock NCLEX exam Frequently Asked Questions And Final Exam Predictor – Download PDF...

5 USD

0

0

NUR 113 Tina Jones CARDIOVASCULAR EXAM Digital Clinical Experience
View Document

NUR 113 Tina Jones CARDIOVASCULAR EXAM Digital Clinical Experience

  • Namwaki

    Namwaki

  • exam

NUR 113 Tina Jones CARDIOVASCULAR EXAM Digital Clinical Experience...

6 USD

0

0

NSG 330  NCLEX Kaplan Med surg 2 Final Exam Predictor Test
View Document

NSG 330 NCLEX Kaplan Med surg 2 Final Exam Predictor Test

  • Namwaki

    Namwaki

  • exam

NSG 330 NCLEX Kaplan Med surg 2 Final Exam Predictor Test...

5 USD

0

0

NCLEX-RN Final Exam Predictor Study Guide Latest 2021
View Document

NCLEX-RN Final Exam Predictor Study Guide Latest 2021

  • Namwaki

    Namwaki

  • exam

NCLEX-RN Final Exam Predictor Study Guide Latest 2021...

6 USD

0

0

NCLEX-PN Final Exam Predictor Study Guide
View Document

NCLEX-PN Final Exam Predictor Study Guide

  • Namwaki

    Namwaki

  • exam

NCLEX-PN Final Exam Predictor Study Guide...

6 USD

0

0

MHSM LEVEL 4 Med Surg Pediatric Prepu,, Final Exam Predictor
View Document

MHSM LEVEL 4 Med Surg Pediatric Prepu,, Final Exam Predictor

  • Namwaki

    Namwaki

  • exam

MHSM LEVEL 4 Med Surg Pediatric Prepu,, Final Exam Predictor...

5 USD

0

0

BSC 2085 anatomy and Physiology NCLEX Final Exam Predictor Study Guide
View Document

BSC 2085 anatomy and Physiology NCLEX Final Exam Predictor Study Guide

  • Namwaki

    Namwaki

  • exam

BSC 2085 anatomy and Physiology NCLEX Final Exam Predictor Study Guide...

5 USD

0

0

MN580 Unit 10 Final Exam 2019 KAPLAN
View Document

MN580 Unit 10 Final Exam 2019 KAPLAN

  • Angelicer

    Angelicer

  • exam

MN580 Unit 10 Final Exam 2019 KAPLAN...

5 USD

0

0

KAPLAN MN580 Unit 10 Final Exam Latest 2021
View Document

KAPLAN MN580 Unit 10 Final Exam Latest 2021

  • Angelicer

    Angelicer

  • exam

KAPLAN MN580 Unit 10 Final Exam Latest 2021...

5 USD

0

0

KAPLAN MN580 Unit 10 Final Exam Latest 2020
View Document

KAPLAN MN580 Unit 10 Final Exam Latest 2020

  • Angelicer

    Angelicer

  • exam

KAPLAN MN580 Unit 10 Final Exam Latest 2020...

5 USD

0

0

LRM2601 EXAM PACK 2021
View Document

LRM2601 EXAM PACK 2021

  • Angelicer

    Angelicer

  • exam

LRM2601 EXAM PACK 2021...

5 USD

0

0

IOP3703 EXAM PACK
View Document

IOP3703 EXAM PACK

  • GradeA

    GradeA

  • exam

IOP3703 EXAM PACK...

8 USD

0

0

ATI RN FUNDAMENTALS 2019 PROCTORED EXAM
View Document

ATI RN FUNDAMENTALS 2019 PROCTORED EXAM

  • GradeA

    GradeA

  • exam

ATI RN FUNDAMENTALS 2019 PROCTORED EXAM – Download PDF...

15 USD

0

0

Nr 601 Midterm Exam 1 Questions With Answers
View Document

Nr 601 Midterm Exam 1 Questions With Answers

  • mentor2000

    mentor2000

  • exam

Nr 601 Midterm Exam 1 Questions With Answers...

5 USD

0

0

MDC 3 – EXAM 1 BLUEPRINT 2021 Highly Graded
View Document

MDC 3 – EXAM 1 BLUEPRINT 2021 Highly Graded

  • mentor2000

    mentor2000

  • exam

MDC 3 – EXAM 1 BLUEPRINT 2021 Highly Graded...

6 USD

0

0

HESI RN PEDIATRIC EXAM GUIDE 2021
View Document

HESI RN PEDIATRIC EXAM GUIDE 2021

  • mentor2000

    mentor2000

  • exam

HESI RN PEDIATRIC EXAM GUIDE 2021...

7 USD

0

0

FNAN522-020 Final exam 2021 highly graded.
View Document

FNAN522-020 Final exam 2021 highly graded.

  • mentor2000

    mentor2000

  • exam

FNAN522-020 Final exam 2021 highly graded....

7 USD

0

0

Final Exam (Remotely Proctored) BIOL100C-93543 (ONL) Intro to Biology Lecture Lab
View Document

Final Exam (Remotely Proctored) BIOL100C-93543 (ONL) Intro to Biology Lecture Lab

  • mentor2000

    mentor2000

  • exam

Final Exam (Remotely Proctored) BIOL100C-93543 (ONL) Intro to Biology Lecture Lab...

5 USD

0

0

Final Exam (Module 9-16) (Remotely Proctored) BUS110-93751 (F2F) Bus Law Legal Environment
View Document

Final Exam (Module 9-16) (Remotely Proctored) BUS110-93751 (F2F) Bus Law Legal Environment

  • mentor2000

    mentor2000

  • exam

Final Exam (Module 9-16) (Remotely Proctored) BUS110-93751 (F2F) Bus Law Legal Environment...

6 USD

0

0

ATI MATERNAL NEWBORN PROCTORED EXAM 2020, 2021
View Document

ATI MATERNAL NEWBORN PROCTORED EXAM 2020, 2021

  • mentor2000

    mentor2000

  • exam

ATI MATERNAL NEWBORN PROCTORED EXAM 2020, 2021...

16 USD

0

0

ATI FUNDAMENTALS EXAM ANSWERED LATEST 2020,,2021 COMPLETE SOLUTIONS.
View Document

ATI FUNDAMENTALS EXAM ANSWERED LATEST 2020,,2021 COMPLETE SOLUTIONS.

  • mentor2000

    mentor2000

  • exam

ATI FUNDAMENTALS EXAM ANSWERED LATEST 2020,,2021 COMPLETE SOLUTIONS....

7 USD

0

1

PSY 255 QUIZ 4 QUESTION AND ANSWERS complete exam solution
View Document

PSY 255 QUIZ 4 QUESTION AND ANSWERS complete exam solution

  • GradeA

    GradeA

  • exam

PSY 255 QUIZ 4 QUESTION AND ANSWERS complete exam solution...

6 USD

0

0

PSY 255 QUIZ 3 QUESTION AND ANSWERS complete exam solution
View Document

PSY 255 QUIZ 3 QUESTION AND ANSWERS complete exam solution

  • GradeA

    GradeA

  • exam

PSY 255 QUIZ 3 QUESTION AND ANSWERS complete exam solution...

6 USD

0

0

PSY 255 QUIZ 2 QUESTION AND ANSWERS complete exam solution
View Document

PSY 255 QUIZ 2 QUESTION AND ANSWERS complete exam solution

  • GradeA

    GradeA

  • exam

PSY 255 QUIZ 2 QUESTION AND ANSWERS complete exam solution...

6 USD

0

0

PSY 255 QUIZ 1 QUESTION AND ANSWERS complete exam solution
View Document

PSY 255 QUIZ 1 QUESTION AND ANSWERS complete exam solution

  • GradeA

    GradeA

  • exam

PSY 255 QUIZ 1 QUESTION AND ANSWERS complete exam solution...

6 USD

0

0

NUR HEALTH ASS Focused Exam End of Life  Completed  Shadow Health
View Document

NUR HEALTH ASS Focused Exam End of Life Completed Shadow Health

  • GradeA

    GradeA

  • exam

NUR HEALTH ASS Focused Exam End of Life Completed Shadow Health...

6 USD

0

0

NUR HEALTH ASS Focused Exam Cognition  Completed Shadow Health
View Document

NUR HEALTH ASS Focused Exam Cognition Completed Shadow Health

  • GradeA

    GradeA

  • exam

NUR HEALTH ASS Focused Exam Cognition Completed Shadow Health...

6 USD

0

0

HRMT 413 Final Exam With Complete Solution Graded A Exam(Latest 2021)
View Document

HRMT 413 Final Exam With Complete Solution Graded A Exam(Latest 2021)

  • GradeA

    GradeA

  • exam

HRMT 413 Final Exam With Complete Solution Graded A Exam(Latest 2021)...

6 USD

0

0

CSL2601 EXAM PACK 2021 QUESTION PAPERS AND SOLUTIONS
View Document

CSL2601 EXAM PACK 2021 QUESTION PAPERS AND SOLUTIONS

  • GradeA

    GradeA

  • exam

CSL2601 EXAM PACK 2021 QUESTION PAPERS AND SOLUTIONS...

6 USD

0

0

CSL 2601 Final Exam Typical Exam Questions 2021
View Document

CSL 2601 Final Exam Typical Exam Questions 2021

  • GradeA

    GradeA

  • exam

CSL 2601 Final Exam Typical Exam Questions 2021...

6 USD

0

0

CSL 2601 Constitutional Law Exam Notes  Study Guide 2021
View Document

CSL 2601 Constitutional Law Exam Notes Study Guide 2021

  • GradeA

    GradeA

  • exam

CSL 2601 Constitutional Law Exam Notes Study Guide 2021...

5 USD

0

0

ATI PN Comprehensive Predictor Exam Latest 2021
View Document

ATI PN Comprehensive Predictor Exam Latest 2021

  • harrie

    harrie

  • exam

ATI PN Comprehensive Predictor Exam Latest 2021 – Download PDF...

14 USD

0

0

RSK3701 EXAM PACK
View Document

RSK3701 EXAM PACK

  • GradeA

    GradeA

  • exam

RSK3701 EXAM PACK...

5 USD

0

0

PVL 3701 LATEST EXAM  PACK 2021
View Document

PVL 3701 LATEST EXAM PACK 2021

  • GradeA

    GradeA

  • exam

PVL 3701 LATEST EXAM PACK 2021...

5 USD

0

0

LML4807 EXAM PACK 2021
View Document

LML4807 EXAM PACK 2021

  • GradeA

    GradeA

  • exam

LML4807 EXAM PACK 2021...

5 USD

0

0

IOP 2601 EXAM PACK
View Document

IOP 2601 EXAM PACK

  • GradeA

    GradeA

  • exam

IOP 2601 EXAM PACK...

6 USD

0

0

FAC2601 EXAM PACK 2021
View Document

FAC2601 EXAM PACK 2021

  • GradeA

    GradeA

  • exam

FAC2601 EXAM PACK 2021...

5 USD

0

0

DVA2601 EXAM PACK
View Document

DVA2601 EXAM PACK

  • GradeA

    GradeA

  • exam

DVA2601 EXAM PACK...

5 USD

0

0

BSM1602 Exam Pack 2021
View Document

BSM1602 Exam Pack 2021

  • GradeA

    GradeA

  • test bank

BSM1602 Exam Pack 2021...

5 USD

0

0

AUI 2601 EXAM PACK 2021
View Document

AUI 2601 EXAM PACK 2021

  • GradeA

    GradeA

  • test bank

AUI 2601 EXAM PACK 2021...

5 USD

0

0

NUR 101 > NCSBN TEST BANK - for the NCLEX-RN & NCLEX-PN Examination > Latest Update (2020) A Rated.
View Document

NUR 101 > NCSBN TEST BANK - for the NCLEX-RN & NCLEX-PN Examination > Latest Update (2020) A Rated.

  • harrie

    harrie

  • exam

NUR 101 > NCSBN TEST BANK - for the NCLEX-RN & NCLEX-PN Examination > Latest Update (2020) A Rated....

12 USD

0

0

NURS 6501 Advanced Pathophysiology Midterm & Final Exam Part 1.
View Document

NURS 6501 Advanced Pathophysiology Midterm & Final Exam Part 1.

  • harrie

    harrie

  • exam

NURS 6501 Advanced Pathophysiology Midterm & Final Exam Part 1....

10 USD

0

0

NURS 6512 FINAL EXAM 2 2020(real exam with well explained answers).
View Document

NURS 6512 FINAL EXAM 2 2020(real exam with well explained answers).

  • harrie

    harrie

  • exam

NURS 6512 FINAL EXAM 2 2020(real exam with well explained answers)....

10 USD

0

0

NURS 6501 Advanced Pathophysiology Midterm & Final Exam Part 1 26 of the 100 Questions on the Multiple Choice Test WITH ALL THE CORRECT ANSWERS(GRADED A)
View Document

NURS 6501 Advanced Pathophysiology Midterm & Final Exam Part 1 26 of the 100 Questions on the Multiple Choice Test WITH ALL THE CORRECT ANSWERS(GRADED A)

  • harrie

    harrie

  • exam

NURS 6501 Advanced Pathophysiology Midterm & Final Exam Part 1 26 of the 100 Questions on the Multiple Choice Test WITH ...

10 USD

0

0

NURS 6501 Advanced Pathophysiology Midterm & Final Exam Part 1.
View Document

NURS 6501 Advanced Pathophysiology Midterm & Final Exam Part 1.

  • harrie

    harrie

  • exam

NURS 6501 Advanced Pathophysiology Midterm & Final Exam Part 1....

10 USD

0

0

NURS 6521N Final Exam Question and Answers Feb 2020 All Correct.
View Document

NURS 6521N Final Exam Question and Answers Feb 2020 All Correct.

  • harrie

    harrie

  • exam

NURS 6521N Final Exam Question and Answers Feb 2020 All Correct....

10 USD

0

0

NURS 6512 FINAL EXAM 2 2020(real exam with well explained answers).
View Document

NURS 6512 FINAL EXAM 2 2020(real exam with well explained answers).

  • harrie

    harrie

  • exam

NURS 6512 FINAL EXAM 2 2020(real exam with well explained answers)....

10 USD

0

0

NURS 6521N Final Exam Question and Answers Feb 2020 All Correct.
View Document

NURS 6521N Final Exam Question and Answers Feb 2020 All Correct.

  • harrie

    harrie

  • exam

NURS 6521N Final Exam Question and Answers Feb 2020 All Correct....

10 USD

0

0

NURSING 312 MH Pharm 1 EXAM 2020 WITH ALL THE CORRECT ANSWERS(Graded A).
View Document

NURSING 312 MH Pharm 1 EXAM 2020 WITH ALL THE CORRECT ANSWERS(Graded A).

  • harrie

    harrie

  • exam

NURSING 312 MH Pharm 1 EXAM 2020 WITH ALL THE CORRECT ANSWERS(Graded A)....

10 USD

0

0

NURSING NSG 6005 pharmacology Midterm 2020 with all the correct answers(Real exam).
View Document

NURSING NSG 6005 pharmacology Midterm 2020 with all the correct answers(Real exam).

  • harrie

    harrie

  • exam

NURSING NSG 6005 pharmacology Midterm 2020 with all the correct answers(Real exam)....

10 USD

0

0

[2021] ALL EXAMS MASTER DOCUMENT FOR PHYSICIAN CODING FOR CPC PREPARATION (Q-S)
View Document

[2021] ALL EXAMS MASTER DOCUMENT FOR PHYSICIAN CODING FOR CPC PREPARATION (Q-S)

  • jktechub

    jktechub

  • exam

[2021] ALL EXAMS MASTER DOCUMENT FOR PHYSICIAN CODING FOR CPC PREPARATION (Q-S)...

5 USD

0

0

OB Exam 1 Study Guide (The Bible) Concepts Of Maternal-Child Nursing And Families
View Document

OB Exam 1 Study Guide (The Bible) Concepts Of Maternal-Child Nursing And Families

  • Angelicer

    Angelicer

  • exam

OB Exam 1 Study Guide (The Bible) Concepts Of Maternal-Child Nursing And Families...

6 USD

0

0

NURS 6501N Sample, practice exam Summer 2020, questions and answers
View Document

NURS 6501N Sample, practice exam Summer 2020, questions and answers

  • Angelicer

    Angelicer

  • exam

NURS 6501N Sample, practice exam Summer 2020, questions and answers...

7 USD

0

0

MIST 4620 SYSTEMS ANALYSIS AND DESIGN Spring 2020  EXAM 1 STUDY GUIDE(working 100%)
View Document

MIST 4620 SYSTEMS ANALYSIS AND DESIGN Spring 2020 EXAM 1 STUDY GUIDE(working 100%)

  • Angelicer

    Angelicer

  • exam

MIST 4620 SYSTEMS ANALYSIS AND DESIGN Spring 2020 EXAM 1 STUDY GUIDE(working 100%)...

6 USD

0

0

BIOL 1108 Exam 2 Study Guide Spring 2020 - (Works 100%)
View Document

BIOL 1108 Exam 2 Study Guide Spring 2020 - (Works 100%)

  • Angelicer

    Angelicer

  • exam

BIOL 1108 Exam 2 Study Guide Spring 2020 - (Works 100%)...

8 USD

0

0

ATI Mental Health Proctored Exam 2020.
View Document

ATI Mental Health Proctored Exam 2020.

  • harrie

    harrie

  • exam

ATI Mental Health Proctored Exam 2020....

10 USD

0

0

BIOL 101 Final Exam 2020 Chamberlain college.
View Document

BIOL 101 Final Exam 2020 Chamberlain college.

  • harrie

    harrie

  • exam

BIOL 101 Final Exam 2020 Chamberlain college....

10 USD

0

0

BIOS 242 Week 8 Final Exam Study Guide.
View Document

BIOS 242 Week 8 Final Exam Study Guide.

  • harrie

    harrie

  • exam

BIOS 242 Week 8 Final Exam Study Guide....

10 USD

0

0

BSOP 326 Week 8 Final Exam 2020.
View Document

BSOP 326 Week 8 Final Exam 2020.

  • harrie

    harrie

  • exam

BSOP 326 Week 8 Final Exam 2020....

10 USD

0

0

Chamberlain College of Nursing - BIOS 252 Final Exam –Latest 2019 Questions and Answers.{already Graded a Clean A}
View Document

Chamberlain College of Nursing - BIOS 252 Final Exam –Latest 2019 Questions and Answers.{already Graded a Clean A}

  • harrie

    harrie

  • exam

Chamberlain College of Nursing - BIOS 252 Final Exam –Latest 2019 Questions and Answers.{already Graded a Clean A}...

10 USD

0

0

ENGL 147N Final Exam latest 2020(with well explained answers).
View Document

ENGL 147N Final Exam latest 2020(with well explained answers).

  • harrie

    harrie

  • exam

ENGL 147N Final Exam latest 2020(with well explained answers)....

10 USD

0

0

FIN 564 Week 8 Final Exam 2020 with well explained answers(Real exam graded A).
View Document

FIN 564 Week 8 Final Exam 2020 with well explained answers(Real exam graded A).

  • harrie

    harrie

  • exam

FIN 564 Week 8 Final Exam 2020 with well explained answers(Real exam graded A)....

10 USD

0

0

HIM 335 Week 8 Final Exam (Versions 2020).
View Document

HIM 335 Week 8 Final Exam (Versions 2020).

  • harrie

    harrie

  • exam

HIM 335 Week 8 Final Exam (Versions 2020)....

10 USD

0

0

HOSP 585 Week 4 : Hotel Marketing & Sales & the Importance of Yield Management - Midterm Exam 2020 with correct and well explained answersGraded A
View Document

HOSP 585 Week 4 : Hotel Marketing & Sales & the Importance of Yield Management - Midterm Exam 2020 with correct and well explained answersGraded A

  • harrie

    harrie

  • exam

HOSP 585 Week 4 : Hotel Marketing & Sales & the Importance of Yield Management - Midterm Exam 2020 with correct and well...

10 USD

0

0

HIST 410N Final Exam 1 – Question and Answers 2020(Graded A).
View Document

HIST 410N Final Exam 1 – Question and Answers 2020(Graded A).

  • harrie

    harrie

  • exam

HIST 410N Final Exam 1 – Question and Answers 2020(Graded A)....

10 USD

0

0

HOSP 585 Week 4 : Hotel Marketing & Sales & the Importance of Yield Management - Midterm Exam 2020 with correct and well explained answers(Graded A).
View Document

HOSP 585 Week 4 : Hotel Marketing & Sales & the Importance of Yield Management - Midterm Exam 2020 with correct and well explained answers(Graded A).

  • harrie

    harrie

  • exam

HOSP 585 Week 4 : Hotel Marketing & Sales & the Importance of Yield Management - Midterm Exam 2020 with correct and well...

10 USD

0

0

Module I Study Guide for Introductory Material Related to Exam 1 2020.
View Document

Module I Study Guide for Introductory Material Related to Exam 1 2020.

  • harrie

    harrie

  • exam

Module I Study Guide for Introductory Material Related to Exam 1 2020....

10 USD

0

0

MDC EXAM 2 REVIEW updated 2020.
View Document

MDC EXAM 2 REVIEW updated 2020.

  • harrie

    harrie

  • exam

MDC EXAM 2 REVIEW updated 2020....

10 USD

0

0

Module I Study Guide for Introductory Material Related to Exam 1 2020.
View Document

Module I Study Guide for Introductory Material Related to Exam 1 2020.

  • harrie

    harrie

  • exam

Module I Study Guide for Introductory Material Related to Exam 1 2020....

10 USD

0

0

NEW ATI TEAS 6 FILES
View Document

NEW ATI TEAS 6 FILES

  • 33KRIS

    33KRIS

  • ati

NEW ATI TEAS 6 FILES...

65 USD

0

0

CMY1501 EXAM PACK 620 QUESTIONS LATEST
View Document

CMY1501 EXAM PACK 620 QUESTIONS LATEST

  • Eddah-Nafula

    Eddah-Nafula

  • questions & answers

Revise past papers for CMY1501 in this 620 questions and answers exam pack as you prepare for your oncoming UNISA exams....

7 USD

0

0

ATI FUNDAMENTALS PROCTORED EXAM 2019 RETAKE GUIDE
View Document

ATI FUNDAMENTALS PROCTORED EXAM 2019 RETAKE GUIDE

  • mentor2000

    mentor2000

  • exam

ATI FUNDAMENTALS PROCTORED EXAM 2019 RETAKE GUIDE...

10 USD

0

5

ATI Maternal Newborn Proctored Exam 2021
View Document

ATI Maternal Newborn Proctored Exam 2021

  • mentor2000

    mentor2000

  • exam

ATI Maternal Newborn Proctored Exam 2021...

7 USD

0

0

ATI Med-SURG Proctored Exam 2026
View Document

ATI Med-SURG Proctored Exam 2026

  • mentor2000

    mentor2000

  • exam

ATI Med-SURG Proctored Exam 2025...

10 USD

0

0

ATI PN MENTAL HEALTH PROCTORED EXAM UPDATED 2026
View Document

ATI PN MENTAL HEALTH PROCTORED EXAM UPDATED 2026

  • mentor2000

    mentor2000

  • exam

ATI PN MENTAL HEALTH PROCTORED EXAM UPDATED 2025...

10 USD

0

0

ATI Proctored Nutrition Exam Notes ( latest 2026) 100% verified
View Document

ATI Proctored Nutrition Exam Notes ( latest 2026) 100% verified

  • mentor2000

    mentor2000

  • exam

ATI Proctored Nutrition Exam Notes ( latest 2025) 100% verified...

7 USD

0

0

ATI RN Adult Medical Surgical Proctored 2019 A Exam
View Document

ATI RN Adult Medical Surgical Proctored 2019 A Exam

  • mentor2000

    mentor2000

  • exam

ATI RN Adult Medical Surgical Proctored 2019 A Exam...

18 USD

0

0

BIOD 151 BIOD151 Exam 4 A&P1 Questions
View Document

BIOD 151 BIOD151 Exam 4 A&P1 Questions

  • mentor2000

    mentor2000

  • exam

BIOD 151 BIOD151 Exam 4 A&P1 Questions...

5 USD

0

0

BIOD 151 FINAL EXAM A&P 1 (Questions and Answers)
View Document

BIOD 151 FINAL EXAM A&P 1 (Questions and Answers)

  • mentor2000

    mentor2000

  • exam

BIOD 151 FINAL EXAM A&P 1 (Questions and Answers)...

6 USD

0

0

Chamberlain College of Nursing NR283 Test Question Bank (Exam 1, Exam 2, Exam 3, Final Exam, 300 QA) Pathophysiology 100 % Verified Answers, Already
View Document

Chamberlain College of Nursing NR283 Test Question Bank (Exam 1, Exam 2, Exam 3, Final Exam, 300 QA) Pathophysiology 100 % Verified Answers, Already

  • mentor2000

    mentor2000

  • exam

Chamberlain College of Nursing NR283 Test Question Bank (Exam 1, Exam 2, Exam 3, Final Exam, 300 QA) Pathophysiology 100...

6 USD

0

0

HESI A2 Biology Real Exam Questions & Answers V1 and V2
View Document

HESI A2 Biology Real Exam Questions & Answers V1 and V2

  • mentor2000

    mentor2000

  • exam

Get ready for the HESI A2 Biology exam with 90+ real-style questions and answers from Versions 1 and 2. Perfect for 2025...

6 USD

0

0

Landon Smith Focused Exam Long Bone Fracture Shadow Health
View Document

Landon Smith Focused Exam Long Bone Fracture Shadow Health

  • mentor2000

    mentor2000

  • exam

Landon Smith Focused Exam Long Bone Fracture Shadow Health...

6 USD

0

0

NR 511 Final Exam Study Guide( LATEST)
View Document

NR 511 Final Exam Study Guide( LATEST)

  • mentor2000

    mentor2000

  • exam

NR 511 Final Exam Study Guide( LATEST)...

6 USD

0

0

NR 511 MIDTERM EXAM NR511 MIDTERM EXAM (LATEST-2020)
View Document

NR 511 MIDTERM EXAM NR511 MIDTERM EXAM (LATEST-2020)

  • mentor2000

    mentor2000

  • exam

NR 511 MIDTERM EXAM NR511 MIDTERM EXAM (LATEST-2020)...

5 USD

0

0

Nu 448 Exam 3 Notes
View Document

Nu 448 Exam 3 Notes

  • mentor2000

    mentor2000

  • exam

Nu 448 Exam 3 Notes...

6 USD

0

0

NURS 6222 - Final Exam Health Assessment Study Guide
View Document

NURS 6222 - Final Exam Health Assessment Study Guide

  • mentor2000

    mentor2000

  • exam

NURS 6222 - Final Exam Health Assessment Study Guide...

6 USD

0

0

NURS 6501N Week 11 Final Exam Latest 2021, Walden University
View Document

NURS 6501N Week 11 Final Exam Latest 2021, Walden University

  • mentor2000

    mentor2000

  • exam

NURS 6501N Week 11 Final Exam Latest 2021, Walden University...

6 USD

0

0

Pharmacology Exam 2 Review Highly Rated Guide
View Document

Pharmacology Exam 2 Review Highly Rated Guide

  • mentor2000

    mentor2000

  • exam

Pharmacology Exam 2 Review Highly Rated Guide...

6 USD

0

0

Physical Examination and Health Assessment 8th Edition Test Bank
View Document

Physical Examination and Health Assessment 8th Edition Test Bank

  • mentor2000

    mentor2000

  • exam

Physical Examination and Health Assessment 8th Edition Test Bank...

11 USD

0

0

HESI ENTRANCE EXAMINATION STUDY GUIDE
View Document

HESI ENTRANCE EXAMINATION STUDY GUIDE

  • Angelicer

    Angelicer

  • exam

HESI Study Packet Page Introduction HESI Test Overview (Math, Reading, Comprehension, Vocabulary, Grammar) 1-2 Math...

10 USD

0

0

Tutorial Letter 101, 3, 2021 Law of Sale and Lease LPL4801 MCQ EXAM PACK 2026
View Document

Tutorial Letter 101, 3, 2021 Law of Sale and Lease LPL4801 MCQ EXAM PACK 2026

  • mentor2000

    mentor2000

  • exam

Tutorial Letter 101, 3, 2021 Law of Sale and Lease LPL4801 MCQ EXAM PACK 2025...

3 USD

0

0

NSG 6020 WEEK 8 QUIZ – QUESTION AND ANSWERS
View Document

NSG 6020 WEEK 8 QUIZ – QUESTION AND ANSWERS

  • professorchue

    professorchue

  • questions & answers

NSG 6020 WEEK 8 QUIZ – QUESTION AND ANSWERS...

10 USD

0

0

HESI Exit RN Exam Over 700 Questions, Answers Rationale New 2019, 2020 latest
View Document

HESI Exit RN Exam Over 700 Questions, Answers Rationale New 2019, 2020 latest

  • professorchue

    professorchue

  • hesi

HESI Exit RN Exam Over 700 Questions, Answers Rationale New 2019, 2020 latest – Download PDF...

10 USD

0

0

Pass ISC ISSEP Exam Pack 2026
View Document

Pass ISC ISSEP Exam Pack 2026

  • mentor2000

    mentor2000

  • exam

Pass ISC ISSEP Exam Pack 2025...

4 USD

0

0

Test Bank for Health Assessment and Physical Examination 3rd Edition by Forbes
View Document

Test Bank for Health Assessment and Physical Examination 3rd Edition by Forbes

  • mentor2000

    mentor2000

  • test bank

Test Bank for Health Assessment and Physical Examination 3rd Edition by Forbes...

15 USD

0

0

Test Bank for Health Assessment and Physical Examination 2nd Australian and New Zealand Edition by Zastor Estes
View Document

Test Bank for Health Assessment and Physical Examination 2nd Australian and New Zealand Edition by Zastor Estes

  • mentor2000

    mentor2000

  • test bank

Test Bank for Health Assessment and Physical Examination 2nd Australian and New Zealand Edition by Zastor Estes...

15 USD

0

0

NR 511 Final Exam Study Guide
View Document

NR 511 Final Exam Study Guide

  • GradeA

    GradeA

  • exam

NR 511 Final Exam Study Guide...

10 USD

0

0

MN 551 Advanced Pathophysiology Final Exam spring 2020(Graded A)
View Document

MN 551 Advanced Pathophysiology Final Exam spring 2020(Graded A)

  • GradeA

    GradeA

  • exam

MN 551 Advanced Pathophysiology Final Exam spring 2020(Graded A)...

7 USD

0

0

FOS3042 all Exams and Quiz summer 2020 with complete solution All answers are correct and are well explained
View Document

FOS3042 all Exams and Quiz summer 2020 with complete solution All answers are correct and are well explained

  • GradeA

    GradeA

  • exam

FOS3042 all Exams and Quiz summer 2020 with complete solution All answers are correct and are well explained...

7 USD

0

0

Focused Exam_ Hypertension and Type 2 Diabetes - Week 10 NURS 615 Shadow Health
View Document

Focused Exam_ Hypertension and Type 2 Diabetes - Week 10 NURS 615 Shadow Health

  • GradeA

    GradeA

  • exam

Focused Exam_ Hypertension and Type 2 Diabetes - Week 10 NURS 615 Shadow Health...

8 USD

0

0

Focused Exam; Abdominal Pain , Esther Park shadow health assignment , Complete Solution, Graded A+
View Document

Focused Exam; Abdominal Pain , Esther Park shadow health assignment , Complete Solution, Graded A+

  • GradeA

    GradeA

  • exam

Focused Exam; Abdominal Pain , Esther Park shadow health assignment , Complete Solution, Graded A+...

7 USD

0

0

Focused Exam , Shadow Health Eric Ford- Schizophrenia , complete.
View Document

Focused Exam , Shadow Health Eric Ford- Schizophrenia , complete.

  • GradeA

    GradeA

  • exam

Focused Exam , Shadow Health Eric Ford- Schizophrenia , complete....

9 USD

0

0

ATI PN Comprehensive Exit Exam 2020 with all the correct answers (Graded A)
View Document

ATI PN Comprehensive Exit Exam 2020 with all the correct answers (Graded A)

  • GradeA

    GradeA

  • exam

ATI PN Comprehensive Exit Exam 2020 with all the correct answers (Graded A) – Download PDF...

15 USD

0

0

ATI Pharmacology Proctored Exam
View Document

ATI Pharmacology Proctored Exam

  • GradeA

    GradeA

  • exam

ATI Pharmacology Proctored Exam – Download PDF...

15 USD

0

0

ATI Pediatric Proctored Exam 2020
View Document

ATI Pediatric Proctored Exam 2020

  • GradeA

    GradeA

  • exam

ATI Pediatric Proctored Exam 2020...

6 USD

0

0

ATI Mental Health Proctored Exam 2020 with complete solution Graded A
View Document

ATI Mental Health Proctored Exam 2020 with complete solution Graded A

  • GradeA

    GradeA

  • exam

ATI Mental Health Proctored Exam 2020 with complete solution Graded A...

7 USD

0

0

Asthma clinical presentation spring
View Document

Asthma clinical presentation spring

  • GradeA

    GradeA

  • exam

Asthma clinical presentation spring...

8 USD

0

0

1.1PHARM STUDY QUESTIONS Updated 2020
View Document

1.1PHARM STUDY QUESTIONS Updated 2020

  • GradeA

    GradeA

  • exam

1.1PHARM STUDY QUESTIONS Updated 2020...

8 USD

0

0

NUR280 ROLE AND SCOPE FINAL QUESTIONS EXAM 3....
View Document

NUR280 ROLE AND SCOPE FINAL QUESTIONS EXAM 3....

  • harrie

    harrie

  • exam

NUR280 ROLE AND SCOPE FINAL QUESTIONS EXAM 3.......

10 USD

0

0

NUR280 ROLE AND SCOPE FINAL QUESTIONS EXAM 3...
View Document

NUR280 ROLE AND SCOPE FINAL QUESTIONS EXAM 3...

  • harrie

    harrie

  • exam

NUR280 ROLE AND SCOPE FINAL QUESTIONS EXAM 3......

10 USD

0

0

NURS-6501N-32,ADVANCED PATHOPHYSIOLOGY MIDTERM EXAM REVIEW 2021..
View Document

NURS-6501N-32,ADVANCED PATHOPHYSIOLOGY MIDTERM EXAM REVIEW 2021..

  • harrie

    harrie

  • exam

NURS-6501N-32,ADVANCED PATHOPHYSIOLOGY MIDTERM EXAM REVIEW 2021.....

10 USD

0

0

NURSING 1015C NCLEX Module 3 Exam 2021.
View Document

NURSING 1015C NCLEX Module 3 Exam 2021.

  • harrie

    harrie

  • exam

NURSING 1015C NCLEX Module 3 Exam 2021....

10 USD

0

0

NURSING 1015C NCLEX Module 4 Exam 2021...
View Document

NURSING 1015C NCLEX Module 4 Exam 2021...

  • harrie

    harrie

  • exam

NURSING 1015C NCLEX Module 4 Exam 2021......

10 USD

0

0

NURSING 1015C NCLEX Module 5 Exam...
View Document

NURSING 1015C NCLEX Module 5 Exam...

  • harrie

    harrie

  • exam

NURSING 1015C NCLEX Module 5 Exam......

10 USD

0

0

NURSING 1015C NCLEX Module 10 Exam 2021...
View Document

NURSING 1015C NCLEX Module 10 Exam 2021...

  • harrie

    harrie

  • exam

NURSING 1015C NCLEX Module 10 Exam 2021......

10 USD

0

0

PHARMACY TECHNICIAN EXAMS 1-15 2021...
View Document

PHARMACY TECHNICIAN EXAMS 1-15 2021...

  • harrie

    harrie

  • exam

PHARMACY TECHNICIAN EXAMS 1-15 2021......

10 USD

0

0

PN-3 Exam 1 Study Guide 2021...
View Document

PN-3 Exam 1 Study Guide 2021...

  • harrie

    harrie

  • exam

PN-3 Exam 1 Study Guide 2021......

10 USD

0

0

PROPHECY EMERGENCY DEPARTMENT RN EXAM CONTENT OUTLINE...
View Document

PROPHECY EMERGENCY DEPARTMENT RN EXAM CONTENT OUTLINE...

  • harrie

    harrie

  • exam

PROPHECY EMERGENCY DEPARTMENT RN EXAM CONTENT OUTLINE......

12 USD

0

0

Test Bank for Pharmacology for Nurses A Pathophysiologic Approach 5th Edition by Adams with rationale
View Document

Test Bank for Pharmacology for Nurses A Pathophysiologic Approach 5th Edition by Adams with rationale

  • GradeA

    GradeA

  • test bank

Test Bank for Pharmacology for Nurses A Pathophysiologic Approach 5th Edition by Adams with rationale – Download PDF...

15 USD

0

0

Test Bank for Pharmacology for Nurses: A Pathophysiologic Approach 6th Edition Michael P. Adams Norman Holland Carol Urban
View Document

Test Bank for Pharmacology for Nurses: A Pathophysiologic Approach 6th Edition Michael P. Adams Norman Holland Carol Urban

  • GradeA

    GradeA

  • test bank

Test Bank for Pharmacology for Nurses: A Pathophysiologic Approach 6th Edition Michael P. Adams Norman Holland Carol Urb...

15 USD

0

0

ATI Dosage Calculations Practice Exam Answers 2021.
View Document

ATI Dosage Calculations Practice Exam Answers 2021.

  • harrie

    harrie

  • exam

ATI Dosage Calculations Practice Exam Answers 2021....

12 USD

0

0

ATI math questions to review For Final exams.
View Document

ATI math questions to review For Final exams.

  • harrie

    harrie

  • exam

ATI math questions to review For Final exams....

12 USD

0

0

ATI PN Comprehensive Exit Exam 2020, 2021..
View Document

ATI PN Comprehensive Exit Exam 2020, 2021..

  • harrie

    harrie

  • exam

ATI PN Comprehensive Exit Exam 2020, 2021.. – Download PDF...

17 USD

0

0

Primary Care; Art and Science of Advanced Practice Nursing - An Interprofessional Approach 5th edition Dunphy Test Bank
View Document

Primary Care; Art and Science of Advanced Practice Nursing - An Interprofessional Approach 5th edition Dunphy Test Bank

  • GradeA

    GradeA

  • exam

Primary Care; Art and Science of Advanced Practice Nursing - An Interprofessional Approach 5th edition Dunphy Test Bank ...

10 USD

0

0

Pharm Midterm exam 2020 with complete solution(100 correct, Graded A)
View Document

Pharm Midterm exam 2020 with complete solution(100 correct, Graded A)

  • GradeA

    GradeA

  • exam

Pharm Midterm exam 2020 with complete solution(100 correct, Graded A) – Download PDF...

7 USD

0

0

PATHO EXAM 4 WE ARE OUT THE DOOR Q&A 2021
View Document

PATHO EXAM 4 WE ARE OUT THE DOOR Q&A 2021

  • GradeA

    GradeA

  • exam

PATHO EXAM 4 WE ARE OUT THE DOOR Q&A 2021 – Download PDF...

7 USD

0

0

NR 340 Week 7 Exam Three 2020 with all the correct answers(Real Exam Graded A)
View Document

NR 340 Week 7 Exam Three 2020 with all the correct answers(Real Exam Graded A)

  • GradeA

    GradeA

  • exam

NR 340 Week 7 Exam Three 2020 with all the correct answers(Real Exam Graded A) – Download PDF...

9 USD

0

0

GLO-BUS Decisions & Reports years 6, GLOBUS Decisions & Reports years; Latest 2019;20 Complete Guide, Already Graded A.
View Document

GLO-BUS Decisions & Reports years 6, GLOBUS Decisions & Reports years; Latest 2019;20 Complete Guide, Already Graded A.

  • GradeA

    GradeA

  • exam

GLO-BUS Decisions & Reports years 6, GLOBUS Decisions & Reports years; Latest 2019;20 Complete Guide, Already Graded A. ...

6 USD

0

0

Case 02; Focused Exam; Hypertension and Type 2 Diabetes Results , Completed Pharmacotherapeutics for Advanced Nursing Practice Spring 2026, NGR 6172
View Document

Case 02; Focused Exam; Hypertension and Type 2 Diabetes Results , Completed Pharmacotherapeutics for Advanced Nursing Practice Spring 2026, NGR 6172

  • GradeA

    GradeA

  • exam

Case 02; Focused Exam; Hypertension and Type 2 Diabetes Results , Completed Pharmacotherapeutics for Advanced Nursing Pr...

7 USD

0

0

Case 01; Focused Exam; Pain Management Results, Tanner Bailey, complete shadow health guide
View Document

Case 01; Focused Exam; Pain Management Results, Tanner Bailey, complete shadow health guide

  • GradeA

    GradeA

  • exam

Case 01; Focused Exam; Pain Management Results, Tanner Bailey, complete shadow health guide...

7 USD

0

0

FIN 564 Week 8 Final Exam 2020 with well explained answers(Real exam graded A)
View Document

FIN 564 Week 8 Final Exam 2020 with well explained answers(Real exam graded A)

  • GradeA

    GradeA

  • exam

FIN 564 Week 8 Final Exam 2020 with well explained answers(Real exam graded A) – Download PDF...

9 USD

0

0

BIOS 242 Week 8 Final Exam Study Guide
View Document

BIOS 242 Week 8 Final Exam Study Guide

  • GradeA

    GradeA

  • exam

BIOS 242 Week 8 Final Exam Study Guide – Download PDF...

6 USD

0

0

Test Bank For Primary Care Interprofessional Collaborative Practice 6th Edition Buttaro
View Document

Test Bank For Primary Care Interprofessional Collaborative Practice 6th Edition Buttaro

  • GradeA

    GradeA

  • exam

Test Bank For Primary Care Interprofessional Collaborative Practice 6th Edition Buttaro – Download PDF...

17 USD

0

3

NRSE 4560 Focused Exam; Pain . Completed . Shadow Health , Focused Exam; Pain Results; Edward Carter
View Document

NRSE 4560 Focused Exam; Pain . Completed . Shadow Health , Focused Exam; Pain Results; Edward Carter

  • GradeA

    GradeA

  • exam

NRSE 4560 Focused Exam; Pain . Completed . Shadow Health , Focused Exam; Pain Results; Edward Carter...

6 USD

0

0

Excelsior College NURS 104 Final Exam 1. 2021, 2022. 100 Correct
View Document

Excelsior College NURS 104 Final Exam 1. 2021, 2022. 100 Correct

  • GradeA

    GradeA

  • exam

Excelsior College NURS 104 Final Exam 1. 2021, 2022. 100 Correct...

6 USD

0

0

BST 322 Final Exam
View Document

BST 322 Final Exam

  • GradeA

    GradeA

  • exam

BST 322 Final Exam...

5 USD

0

0

Primary Care Interprofessional Collaborative Practice 6th Edition Buttaro Test Bank
View Document

Primary Care Interprofessional Collaborative Practice 6th Edition Buttaro Test Bank

  • GradeA

    GradeA

  • test bank

Prepare for NP exams with the Primary Care: Interprofessional Collaborative Practice 6th Edition Test Bank: verified que...

15 USD

0

4

Childhood Obesity Research Paper (University Assignment)
View Document

Childhood Obesity Research Paper (University Assignment)

  • Angelicer

    Angelicer

  • exam

Childhood Obesity Research Paper Problem It is patently clear that trends or patterns regarding childhood obesity have s...

5 USD

0

0

Advanced Pharmacology Week 1 updated quiz 2020
View Document

Advanced Pharmacology Week 1 updated quiz 2020

  • Angelicer

    Angelicer

  • exam

Advanced Pharmacology Week 1 updated quiz 2020...

8 USD

0

0

NR508 Final Exam Questions & Answers (Verified) Test Bank
View Document

NR508 Final Exam Questions & Answers (Verified) Test Bank

  • mentor2000

    mentor2000

  • exam

NR508 Final Exam Questions & Answers (Verified) Test Bank...

7 USD

0

0

NR 508 Final Exam updated
View Document

NR 508 Final Exam updated

  • mentor2000

    mentor2000

  • exam

NR 508 Final Exam updated...

7 USD

0

0

Module I Study Guide for Introductory Material Related to Exam 1
View Document

Module I Study Guide for Introductory Material Related to Exam 1

  • mentor2000

    mentor2000

  • exam

Module I Study Guide for Introductory Material Related to Exam 1...

6 USD

0

0

PSYC 290 week 8- Final Exam 2020(Real exam with well explained answers)
View Document

PSYC 290 week 8- Final Exam 2020(Real exam with well explained answers)

  • mentor2000

    mentor2000

  • exam

PSYC 290 week 8- Final Exam 2020(Real exam with well explained answers)...

7 USD

0

0

PSYC  304  Final exam 2020 with well explained correct answers(Real exam)
View Document

PSYC 304 Final exam 2020 with well explained correct answers(Real exam)

  • mentor2000

    mentor2000

  • exam

PSYC 304 Final exam 2020 with well explained correct answers(Real exam)...

7 USD

0

0

PHI 208 Final Exam 2 2020 with well explained answers(Graded A)
View Document

PHI 208 Final Exam 2 2020 with well explained answers(Graded A)

  • mentor2000

    mentor2000

  • exam

PHI 208 Final Exam 2 2020 with well explained answers(Graded A)...

7 USD

0

0

PHARMACOLOGY MIDTERM EXAM WITH ALL CORRECT ANSWERS (Real  exam) 2021
View Document

PHARMACOLOGY MIDTERM EXAM WITH ALL CORRECT ANSWERS (Real exam) 2021

  • Angelicer

    Angelicer

  • exam

PHARMACOLOGY MIDTERM EXAM WITH ALL CORRECT ANSWERS (Real exam) 2021...

8 USD

0

0

PVL2601 Exam Memos
View Document

PVL2601 Exam Memos

  • Eddah-Nafula

    Eddah-Nafula

  • exam

PVL2601 Exam Memos...

7 USD

0

0

PVL2601 - Exam Papers and Memos
View Document

PVL2601 - Exam Papers and Memos

  • Eddah-Nafula

    Eddah-Nafula

  • exam

PVL2601 - Exam Papers and Memos...

7 USD

0

0

GGH1501 EXAM PREP STUDY NOTES
View Document

GGH1501 EXAM PREP STUDY NOTES

  • Eddah-Nafula

    Eddah-Nafula

  • exam

GGH1501 EXAM PREP STUDY NOTES...

8 USD

0

0

ADL2601 Exam Papers and Memos From 2012
View Document

ADL2601 Exam Papers and Memos From 2012

  • Eddah-Nafula

    Eddah-Nafula

  • exam

ADL2601 Exam Papers and Memos From 2012...

7 USD

0

0

NURS 6501 Advanced Pathophysiology Midterm & Final Exam Part 1
View Document

NURS 6501 Advanced Pathophysiology Midterm & Final Exam Part 1

  • Yna

    Yna

  • exam

NURS 6501 Advanced Pathophysiology Midterm & Final Exam Part 1...

7 USD

0

0

NURS 6501 Advanced Pathophysiology Midterm & Final Exam Part 1 26 of the 100 Questions on the Multiple Choice Test WITH ALL THE CORRECT ANSWERS(GRADED A)
View Document

NURS 6501 Advanced Pathophysiology Midterm & Final Exam Part 1 26 of the 100 Questions on the Multiple Choice Test WITH ALL THE CORRECT ANSWERS(GRADED A)

  • Yna

    Yna

  • exam

NURS 6501 Advanced Pathophysiology Midterm & Final Exam Part 1 26 of the 100 Questions on the Multiple Choice Test WITH ...

7 USD

0

0

NUR  2115  Final Exam – Fundamentals of Professional Nursing – Final Exam Concept Review- Fall 2020 (Rasmussen College)
View Document

NUR 2115 Final Exam – Fundamentals of Professional Nursing – Final Exam Concept Review- Fall 2020 (Rasmussen College)

  • Yna

    Yna

  • exam

NUR 2115 Final Exam – Fundamentals of Professional Nursing – Final Exam Concept Review- Fall 2020 (Rasmussen Colle...

8 USD

0

0

NSG6005 Final Exam ; NSG 6005 Final Exam (Version-1, New, 2020); South University (Correct Q & A) (SATISFACTION GUARANTEED, Check REVIEWS of my 1000 Plus Clients)
View Document

NSG6005 Final Exam ; NSG 6005 Final Exam (Version-1, New, 2020); South University (Correct Q & A) (SATISFACTION GUARANTEED, Check REVIEWS of my 1000 Plus Clients)

  • Yna

    Yna

  • exam

NSG6005 Final Exam ; NSG 6005 Final Exam (Version-1, New, 2020); South University (Correct Q & A) (SATISFACTION GUARANTE...

7 USD

0

1

NSG 6330 Final EXAM QUESTIONS AND ANSWERS , SOUTH UNIVERSITY , LATEST VERSION 100% CORRECT
View Document

NSG 6330 Final EXAM QUESTIONS AND ANSWERS , SOUTH UNIVERSITY , LATEST VERSION 100% CORRECT

  • Yna

    Yna

  • exam

NSG 6330 Final EXAM QUESTIONS AND ANSWERS , SOUTH UNIVERSITY , LATEST VERSION 100% CORRECT...

7 USD

0

0

NSG 6320 AGNP BOARD EXAM QUESTIONS EYE EAR NOSE THROAT Prescription (102 Questions  2020 WITH ALL THE CORRECT  ANSWERS)
View Document

NSG 6320 AGNP BOARD EXAM QUESTIONS EYE EAR NOSE THROAT Prescription (102 Questions 2020 WITH ALL THE CORRECT ANSWERS)

  • Yna

    Yna

  • exam

NSG 6320 AGNP BOARD EXAM QUESTIONS EYE EAR NOSE THROAT Prescription (102 Questions 2020 WITH ALL THE CORRECT ANSWERS)...

7 USD

0

0

NSG 6005 Array Final exam pharm 2020 LATEST UPDATE GRADED A
View Document

NSG 6005 Array Final exam pharm 2020 LATEST UPDATE GRADED A

  • Yna

    Yna

  • exam

NSG 6005 Array Final exam pharm 2020 LATEST UPDATE GRADED A...

7 USD

0

0

NSG  6430 Women’s Health Final EXAM 2020 with well explained answers Graded A
View Document

NSG 6430 Women’s Health Final EXAM 2020 with well explained answers Graded A

  • Yna

    Yna

  • exam

NSG 6430 Women’s Health Final EXAM 2020 with well explained answers Graded A...

7 USD

0

0

NSG  6320  AGNP BOARD EXAM QUESTIONS Prescription of Endocrinology (89 Questions with all the correct answers 2020 )
View Document

NSG 6320 AGNP BOARD EXAM QUESTIONS Prescription of Endocrinology (89 Questions with all the correct answers 2020 )

  • Yna

    Yna

  • exam

NSG 6320 AGNP BOARD EXAM QUESTIONS Prescription of Endocrinology (89 Questions with all the correct answers 2020 )...

7 USD

0

0

NSG  6320  AGNP BOARD EXAM  2020 QUESTIONS  Prescription Gastroenterology (85 Questions with well explained answers)
View Document

NSG 6320 AGNP BOARD EXAM 2020 QUESTIONS Prescription Gastroenterology (85 Questions with well explained answers)

  • Yna

    Yna

  • exam

NSG 6320 AGNP BOARD EXAM 2020 QUESTIONS Prescription Gastroenterology (85 Questions with well explained answers)...

7 USD

0

0

NR599 Week 8 Final Exam study Guide (Latest 2020) Nursing Informatics for Advanced Practice Chamberlain College of Nursing
View Document

NR599 Week 8 Final Exam study Guide (Latest 2020) Nursing Informatics for Advanced Practice Chamberlain College of Nursing

  • Yna

    Yna

  • exam

NR599 Week 8 Final Exam study Guide (Latest 2020) Nursing Informatics for Advanced Practice Chamberlain College of Nursi...

7 USD

0

0

NR 661 Ears, Eyes, Nose, and Throat (EENT) Exam 2020 (Real Exam)
View Document

NR 661 Ears, Eyes, Nose, and Throat (EENT) Exam 2020 (Real Exam)

  • Yna

    Yna

  • exam

NR 661 Ears, Eyes, Nose, and Throat (EENT) Exam 2020 (Real Exam)...

7 USD

0

0

NR 601 Week 8 Final Exam 2020 with all the correct answers (Graded A)
View Document

NR 601 Week 8 Final Exam 2020 with all the correct answers (Graded A)

  • Yna

    Yna

  • exam

NR 601 Week 8 Final Exam 2020 with all the correct answers (Graded A)...

8 USD

0

0

NR 601 Week 4 Midterm Exam 2020(Q and A)
View Document

NR 601 Week 4 Midterm Exam 2020(Q and A)

  • Yna

    Yna

  • exam

NR 601 Week 4 Midterm Exam 2020(Q and A)...

7 USD

0

0

NR 601 Final Exam 1- Question and Answers(REAL EXAM 2020)
View Document

NR 601 Final Exam 1- Question and Answers(REAL EXAM 2020)

  • Yna

    Yna

  • exam

NR 601 Final Exam 1- Question and Answers(REAL EXAM 2020)...

8 USD

0

0

NR 599 Week 8 Final Exam study guide edited 2021
View Document

NR 599 Week 8 Final Exam study guide edited 2021

  • Yna

    Yna

  • exam

NR 599 Week 8 Final Exam study guide edited 2021...

7 USD

0

0

NR 599 Week 8 Final Exam 2020 (Real exam)
View Document

NR 599 Week 8 Final Exam 2020 (Real exam)

  • Yna

    Yna

  • exam

NR 599 Week 8 Final Exam 2020 (Real exam)...

8 USD

0

0

NR 511 Midterm Exam AND Final Exam Package 2020 with all the correct answers Graded A
View Document

NR 511 Midterm Exam AND Final Exam Package 2020 with all the correct answers Graded A

  • Yna

    Yna

  • exam

NR 511 Midterm Exam AND Final Exam Package 2020 with all the correct answers Graded A...

8 USD

0

0

NR 511 FINAL EXAM 2 2020 with all the correct answers (Graded A)
View Document

NR 511 FINAL EXAM 2 2020 with all the correct answers (Graded A)

  • Yna

    Yna

  • exam

NR 511 FINAL EXAM 2 2020 with all the correct answers (Graded A)...

7 USD

0

0

NR 510 Final Exam Week 8 – Question and Answers 2021
View Document

NR 510 Final Exam Week 8 – Question and Answers 2021

  • Yna

    Yna

  • exam

NR 510 Final Exam Week 8 – Question and Answers 2021...

7 USD

0

0

NR 509 WEEK 4 Midterm EXAM LATEST UPDATE 2020
View Document

NR 509 WEEK 4 Midterm EXAM LATEST UPDATE 2020

  • Yna

    Yna

  • exam

NR 509 WEEK 4 Midterm EXAM LATEST UPDATE 2020...

7 USD

0

0

NR 509 FINAL EXAM 2020. All ANSWERS ARE VERIFIED (Real Exam)
View Document

NR 509 FINAL EXAM 2020. All ANSWERS ARE VERIFIED (Real Exam)

  • Yna

    Yna

  • exam

NR 509 FINAL EXAM 2020. All ANSWERS ARE VERIFIED (Real Exam)...

8 USD

0

2

NR 508 Week 4 Midterm Exam; Possible Questions & Answers; Summer 2019 and 2020
View Document

NR 508 Week 4 Midterm Exam; Possible Questions & Answers; Summer 2019 and 2020

  • Yna

    Yna

  • exam

NR 508 Week 4 Midterm Exam; Possible Questions & Answers; Summer 2019 and 2020...

8 USD

0

0

MN580 Midterm Exam: Kaplan University ( Updated , 2020, 100% Correct)
View Document

MN580 Midterm Exam: Kaplan University ( Updated , 2020, 100% Correct)

  • Yna

    Yna

  • exam

MN580 Midterm Exam: Kaplan University ( Updated , 2020, 100% Correct)...

8 USD

0

0

MN566 Unit 10 Final Exam , MN 566 Unit 10 Final Exam 2020 (Latest) ; chamberlain college
View Document

MN566 Unit 10 Final Exam , MN 566 Unit 10 Final Exam 2020 (Latest) ; chamberlain college

  • Yna

    Yna

  • exam

MN566 Unit 10 Final Exam , MN 566 Unit 10 Final Exam 2020 (Latest) ; chamberlain college...

7 USD

0

0

MN 580 Final Exam 2020; Kaplan University ( 100 percent CORRECT ANSWERS)
View Document

MN 580 Final Exam 2020; Kaplan University ( 100 percent CORRECT ANSWERS)

  • Yna

    Yna

  • exam

MN 580 Final Exam 2020; Kaplan University ( 100 percent CORRECT ANSWERS) – Download PDF...

7 USD

0

0

Focused Exam: Abdominal Pain Results , Turned In
View Document

Focused Exam: Abdominal Pain Results , Turned In

  • Yna

    Yna

  • exam

Focused Exam: Abdominal Pain Results , Turned In...

7 USD

0

0

Chamberlain College of Nursing - BIOS 252 Final Exam – Latest 2019 Questions and Answers.{already Graded a Clean A}
View Document

Chamberlain College of Nursing - BIOS 252 Final Exam – Latest 2019 Questions and Answers.{already Graded a Clean A}

  • Yna

    Yna

  • exam

Chamberlain College of Nursing - BIOS 252 Final Exam – Latest 2019 Questions and Answers.{already Graded a Clean A}...

8 USD

0

0

BIOL 101 Final Exam 2020   Chamberlain college
View Document

BIOL 101 Final Exam 2020 Chamberlain college

  • Yna

    Yna

  • exam

BIOL 101 Final Exam 2020 Chamberlain college...

7 USD

0

0

ATI Mental Health Proctored Exam 2020
View Document

ATI Mental Health Proctored Exam 2020

  • Yna

    Yna

  • exam

ATI Mental Health Proctored Exam 2020...

9 USD

0

0

Test Bank: Jarvis Physical Examination Health Assessment 8 Edition.
View Document

Test Bank: Jarvis Physical Examination Health Assessment 8 Edition.

  • harrie

    harrie

  • test bank

Test Bank: Jarvis Physical Examination Health Assessment 8 Edition....

13 USD

0

0

Test Bank For Physical Examination and Health Assessment 8th Edition Authors: Jarvis..
View Document

Test Bank For Physical Examination and Health Assessment 8th Edition Authors: Jarvis..

  • harrie

    harrie

  • test bank

Test Bank For Physical Examination and Health Assessment 8th Edition Authors: Jarvis.....

14 USD

0

0

Test bank for Intermediate Microeconomics A Modern Approach – 9th Edition HAL-R-varian
View Document

Test bank for Intermediate Microeconomics A Modern Approach – 9th Edition HAL-R-varian

  • Angelicer

    Angelicer

  • test bank

Test bank for Intermediate Microeconomics A Modern Approach – 9th Edition HAL-R-varian – Download PDF...

15 USD

0

0

NR 508 Advanced pharmacology Quiz questions  from quiz 1 to quiz 5 2020 (with well explained answers)
View Document

NR 508 Advanced pharmacology Quiz questions from quiz 1 to quiz 5 2020 (with well explained answers)

  • Angelicer

    Angelicer

  • test bank

NR 508 Advanced pharmacology Quiz questions from quiz 1 to quiz 5 2020 (with well explained answers)...

7 USD

0

0

NR 503 Final Exam Study Info updated
View Document

NR 503 Final Exam Study Info updated

  • Angelicer

    Angelicer

  • test bank

NR 503 Final Exam Study Info updated – Download PDF...

6 USD

0

0

NR 228 Week 1 Exam 1 (MCQs – Practice Quizlet 2020)
View Document

NR 228 Week 1 Exam 1 (MCQs – Practice Quizlet 2020)

  • Angelicer

    Angelicer

  • test bank

NR 228 Week 1 Exam 1 (MCQs – Practice Quizlet 2020)...

7 USD

0

0

NCSBN Online review Complete with Answers
View Document

NCSBN Online review Complete with Answers

  • Angelicer

    Angelicer

  • test bank

NCSBN Online review Complete with Answers – Download PDF...

7 USD

0

0

Module 10 Written Assignment – Pharmacological Treatments for Arthritis
View Document

Module 10 Written Assignment – Pharmacological Treatments for Arthritis

  • Angelicer

    Angelicer

  • test bank

Module 10 Written Assignment – Pharmacological Treatments for Arthritis...

6 USD

0

0

MDC EXAM 2 REVIEW updated 2020
View Document

MDC EXAM 2 REVIEW updated 2020

  • Angelicer

    Angelicer

  • test bank

MDC EXAM 2 REVIEW updated 2020...

7 USD

0

0

HIST 410N  Final Exam 1 – Question and Answers 2020 (Graded A)
View Document

HIST 410N Final Exam 1 – Question and Answers 2020 (Graded A)

  • Angelicer

    Angelicer

  • test bank

HIST 410N Final Exam 1 – Question and Answers 2020 (Graded A)...

5 USD

0

0

HIM 335 Week 8 Final Exam (Versions 2020)
View Document

HIM 335 Week 8 Final Exam (Versions 2020)

  • Angelicer

    Angelicer

  • test bank

HIM 335 Week 8 Final Exam (Versions 2020)...

5 USD

0

0

Hesi A2 Reading 2021 Questions Answers with Rationale
View Document

Hesi A2 Reading 2021 Questions Answers with Rationale

  • Angelicer

    Angelicer

  • test bank

Hesi A2 Reading 2021 Questions Answers with Rationale...

7 USD

0

0

Hesi A2 Reading 2020
View Document

Hesi A2 Reading 2020

  • Angelicer

    Angelicer

  • test bank

Hesi A2 Reading 2020...

7 USD

0

0

ENGL 147N  Final Exam latest 2020 (with well explained answers)
View Document

ENGL 147N Final Exam latest 2020 (with well explained answers)

  • Angelicer

    Angelicer

  • test bank

ENGL 147N Final Exam latest 2020 (with well explained answers)...

6 USD

0

0

Drug Card Infliximab Week 8 Simulation: Multidimensional Care II Clinical
View Document

Drug Card Infliximab Week 8 Simulation: Multidimensional Care II Clinical

  • Angelicer

    Angelicer

  • test bank

Drug Card Infliximab Week 8 Simulation: Multidimensional Care II Clinical...

6 USD

0

0

BSOP 326 Week 8 Final Exam 2020
View Document

BSOP 326 Week 8 Final Exam 2020

  • Angelicer

    Angelicer

  • test bank

BSOP 326 Week 8 Final Exam 2020...

6 USD

0

0

BSNC 363 Culture and Vulnerability in Nursing Practice final exam answers 2023
View Document

BSNC 363 Culture and Vulnerability in Nursing Practice final exam answers 2023

  • Angelicer

    Angelicer

  • test bank

BSNC 363 Culture and Vulnerability in Nursing Practice final exam answers 2023 – Download PDF...

10 USD

0

0

BIOS  260 Course Quizzes Week 1 – 7(Real  quizzes 2020 with all the correct answers
View Document

BIOS 260 Course Quizzes Week 1 – 7(Real quizzes 2020 with all the correct answers

  • Angelicer

    Angelicer

  • test bank

BIOS 260 Course Quizzes Week 1 – 7(Real quizzes 2020 with all the correct answers...

10 USD

0

0

Test Bank For Advanced Practive Nursing: Essential Knowledge for the Profession 3rd Edition Denisco
View Document

Test Bank For Advanced Practive Nursing: Essential Knowledge for the Profession 3rd Edition Denisco

  • Angelicer

    Angelicer

  • test bank

Test Bank For Advanced Practive Nursing: Essential Knowledge for the Profession 3rd Edition Denisco – Download PDF...

15 USD

0

0

Test bank for wilkins clinical assessment in respiratory care 8th edition by huber
View Document

Test bank for wilkins clinical assessment in respiratory care 8th edition by huber

  • mentor2000

    mentor2000

  • exam

Test bank for wilkins clinical assessment in respiratory care 8th edition by huber...

15 USD

0

0

Virtual Case Study Look and Sound-Alike Medication
View Document

Virtual Case Study Look and Sound-Alike Medication

  • Angelicer

    Angelicer

  • exam

Virtual Case Study Look and Sound-Alike Medication...

7 USD

0

0

Virtual Case Study Adverse Reactions to Medication
View Document

Virtual Case Study Adverse Reactions to Medication

  • Angelicer

    Angelicer

  • exam

Virtual Case Study Adverse Reactions to Medication...

7 USD

0

0

Ticket to Exam 2-Childbearing
View Document

Ticket to Exam 2-Childbearing

  • Angelicer

    Angelicer

  • exam

Ticket to Exam 2-Childbearing...

7 USD

0

0

TEST ATI SAFE DOSAGE 2021
View Document

TEST ATI SAFE DOSAGE 2021

  • Angelicer

    Angelicer

  • exam

TEST ATI SAFE DOSAGE 2021...

7 USD

0

0

SQ, ID, vial, insulin Medication Administration Check Off Scenario Rasmussen College
View Document

SQ, ID, vial, insulin Medication Administration Check Off Scenario Rasmussen College

  • Angelicer

    Angelicer

  • exam

SQ, ID, vial, insulin Medication Administration Check Off Scenario Rasmussen College...

7 USD

0

0

SI IMMUNE AND ONCOLOGY REVIEW QUESTIONS WO ANSWERS 2021
View Document

SI IMMUNE AND ONCOLOGY REVIEW QUESTIONS WO ANSWERS 2021

  • Angelicer

    Angelicer

  • exam

SI IMMUNE AND ONCOLOGY REVIEW QUESTIONS WO ANSWERS 2021...

7 USD

0

0

SI CARDIAC REVIEW QUESTIONS WITH ANSWERS  2021
View Document

SI CARDIAC REVIEW QUESTIONS WITH ANSWERS 2021

  • Angelicer

    Angelicer

  • exam

SI CARDIAC REVIEW QUESTIONS WITH ANSWERS 2021...

7 USD

0

0

Renal Simulation, ATI Real Life 3.0 – Learning Objectives
View Document

Renal Simulation, ATI Real Life 3.0 – Learning Objectives

  • Angelicer

    Angelicer

  • exam

Renal Simulation, ATI Real Life 3.0 – Learning Objectives...

7 USD

0

0

Reflective Questions Civility Mentor Civility and Patient Safety in the Clinical Environment
View Document

Reflective Questions Civility Mentor Civility and Patient Safety in the Clinical Environment

  • Angelicer

    Angelicer

  • exam

Reflective Questions Civility Mentor Civility and Patient Safety in the Clinical Environment...

7 USD

0

0

PROPHECY EMERGENCY DEPARTMENT RN EXAM CONTENT OUTLINE
View Document

PROPHECY EMERGENCY DEPARTMENT RN EXAM CONTENT OUTLINE

  • Angelicer

    Angelicer

  • exam

PROPHECY EMERGENCY DEPARTMENT RN EXAM CONTENT OUTLINE...

5 USD

0

0

Postpartum Vaginal Delivery SKINNY Reasoning Suggested Answer Guidelines
View Document

Postpartum Vaginal Delivery SKINNY Reasoning Suggested Answer Guidelines

  • Angelicer

    Angelicer

  • exam

Postpartum Vaginal Delivery SKINNY Reasoning Suggested Answer Guidelines...

7 USD

0

0

PHYS-1307 6172-21542  Waves Gizmo  Knowledge Q A  100 Correct
View Document

PHYS-1307 6172-21542 Waves Gizmo Knowledge Q A 100 Correct

  • Angelicer

    Angelicer

  • exam

PHYS-1307 6172-21542 Waves Gizmo Knowledge Q A 100 Correct – Download PDF...

7 USD

0

0

PETER CANEPA CLINICAL CASE STUDY 30 CHRONIC RENAL FAILURE
View Document

PETER CANEPA CLINICAL CASE STUDY 30 CHRONIC RENAL FAILURE

  • Angelicer

    Angelicer

  • exam

PETER CANEPA CLINICAL CASE STUDY 30 CHRONIC RENAL FAILURE...

7 USD

0

0

OB EXAM 3 POSTPARTUM AND NEWBORN STUDY GUIDE
View Document

OB EXAM 3 POSTPARTUM AND NEWBORN STUDY GUIDE

  • Angelicer

    Angelicer

  • exam

OB EXAM 3 POSTPARTUM AND NEWBORN STUDY GUIDE...

7 USD

0

0

NURSE’S TOUCH THE COMMUNICATOR (CLIENT COMFORT AND END-OF-LIFE CARE Worksheet)
View Document

NURSE’S TOUCH THE COMMUNICATOR (CLIENT COMFORT AND END-OF-LIFE CARE Worksheet)

  • Angelicer

    Angelicer

  • exam

NURSE’S TOUCH THE COMMUNICATOR (CLIENT COMFORT AND END-OF-LIFE CARE Worksheet)...

7 USD

0

0

NUR 3102 HEART FAILURE QUESTION 2021
View Document

NUR 3102 HEART FAILURE QUESTION 2021

  • Angelicer

    Angelicer

  • exam

NUR 3102 HEART FAILURE QUESTION 2021...

7 USD

0

0

NUR 211 Reflective Questions 2021
View Document

NUR 211 Reflective Questions 2021

  • Angelicer

    Angelicer

  • exam

NUR 211 Reflective Questions 2021...

7 USD

0

0

Medication Administration Simulation – Extend Assignment
View Document

Medication Administration Simulation – Extend Assignment

  • Angelicer

    Angelicer

  • exam

Medication Administration Simulation – Extend Assignment...

8 USD

0

0

ATI VIDEO CASE STUDIES 2021
View Document

ATI VIDEO CASE STUDIES 2021

  • Angelicer

    Angelicer

  • exam

ATI VIDEO CASE STUDIES 2021...

6 USD

0

0

ATI RN COMPREHENSIVE PREDICTOR RETAKE 2021
View Document

ATI RN COMPREHENSIVE PREDICTOR RETAKE 2021

  • Angelicer

    Angelicer

  • exam

ATI RN COMPREHENSIVE PREDICTOR RETAKE 2021 – Download PDF...

10 USD

0

0

ATI PHARMACOLOGY PROCTORED MAIN 2021
View Document

ATI PHARMACOLOGY PROCTORED MAIN 2021

  • Angelicer

    Angelicer

  • exam

ATI PHARMACOLOGY PROCTORED MAIN 2021 – Download PDF...

15 USD

0

0

ATI – The Communicator Client Comfort and End of Life Care Assignment 1 2021
View Document

ATI – The Communicator Client Comfort and End of Life Care Assignment 1 2021

  • Angelicer

    Angelicer

  • exam

ATI – The Communicator Client Comfort and End of Life Care Assignment 1 2021...

6 USD

0

0

ANSWER KEY Fetal Heart Tones Strip Interpretation
View Document

ANSWER KEY Fetal Heart Tones Strip Interpretation

  • Angelicer

    Angelicer

  • exam

ANSWER KEY Fetal Heart Tones Strip Interpretation...

6 USD

0

0

Advanced Summer 2021 Clinicals Week 5
View Document

Advanced Summer 2021 Clinicals Week 5

  • Angelicer

    Angelicer

  • exam

Advanced Summer 2021 Clinicals Week 5 – Download PDF...

6 USD

0

0

100 Questions Module 7 Exam: HESI; Saunders Online Review for the NCLEX-RN Examination (2 Year), 2nd Edition
View Document

100 Questions Module 7 Exam: HESI; Saunders Online Review for the NCLEX-RN Examination (2 Year), 2nd Edition

  • Angelicer

    Angelicer

  • test bank

Module 7 Exam: HESI; Saunders Online Review for the NCLEX-RN Examination. Instant PDF Download....

7 USD

0

0

Test Bank for An Introduction to Genetic Analysis Eleventh Edition Anthony JF. Griffiths
View Document

Test Bank for An Introduction to Genetic Analysis Eleventh Edition Anthony JF. Griffiths

  • Angelicer

    Angelicer

  • test bank

Test Bank for An Introduction to Genetic Analysis Eleventh Edition Anthony JF. Griffiths – Download PDF...

15 USD

0

0

Test Bank for Aging and Older Adulthood 3rd Edition Joan T Erber
View Document

Test Bank for Aging and Older Adulthood 3rd Edition Joan T Erber

  • Angelicer

    Angelicer

  • test bank

Test Bank for Aging and Older Adulthood 3rd Edition Joan T Erber – Download PDF...

15 USD

0

0

Test Bank for Advertising Promotion, and other aspects of Integrated Marketing Communications, 10th Edition, J. Craig Andrews, Terence A. Shim
View Document

Test Bank for Advertising Promotion, and other aspects of Integrated Marketing Communications, 10th Edition, J. Craig Andrews, Terence A. Shim

  • Angelicer

    Angelicer

  • test bank

Test Bank for Advertising Promotion, and other aspects of Integrated Marketing Communications, 10th Edition, J. Craig An...

15 USD

0

0

PVL3703 Law of Delict Past exam answers from May June 2016 - Oct Nov 2026
View Document

PVL3703 Law of Delict Past exam answers from May June 2016 - Oct Nov 2026

  • mentor2000

    mentor2000

  • exam

PVL3703 Law of Delict Past exam answers from May June 2016 - Oct Nov 2025...

8 USD

0

0

HESI A2 CRITICAL THINKING LATEST UPDATE 2026
View Document

HESI A2 CRITICAL THINKING LATEST UPDATE 2026

  • mentor2000

    mentor2000

  • exam

HESI A2 CRITICAL THINKING LATEST UPDATE 2025...

7 USD

0

0

BASIC GERIATRIC NURSING 7TH EDITION WILLIAMS TEST BANK 100 PERCENT CORRECT ANSWERS
View Document

BASIC GERIATRIC NURSING 7TH EDITION WILLIAMS TEST BANK 100 PERCENT CORRECT ANSWERS

  • mentor2000

    mentor2000

  • exam

BASIC GERIATRIC NURSING 7TH EDITION WILLIAMS TEST BANK 100 PERCENT CORRECT ANSWERS...

15 USD

0

0

ATI PROCTORED PEDS 3, QUESTIONS AND ANSWERS
View Document

ATI PROCTORED PEDS 3, QUESTIONS AND ANSWERS

  • mentor2000

    mentor2000

  • test bank

ATI PROCTORED PEDS 3, QUESTIONS AND ANSWERS...

7 USD

0

0

ATI PEDS PROCTORED QUESTIONS AND ANSWERS
View Document

ATI PEDS PROCTORED QUESTIONS AND ANSWERS

  • mentor2000

    mentor2000

  • test bank

ATI PEDS PROCTORED QUESTIONS AND ANSWERS...

6 USD

0

0

Module 8 Exam HESI Saunders Online Review : NCLEX-RN 2026 Exam Answered
View Document

Module 8 Exam HESI Saunders Online Review : NCLEX-RN 2026 Exam Answered

  • Gorski

    Gorski

  • questions & answers

Module 8 Exam HESI Saunders Online Review : NCLEX-RN 2025 Exam Answered...

7 USD

0

0

Module 1 Exam HESI Saunders Online Review for the NCLEX-RN Examination 2 Year, 2nd Edition
View Document

Module 1 Exam HESI Saunders Online Review for the NCLEX-RN Examination 2 Year, 2nd Edition

  • Gorski

    Gorski

  • questions & answers

Module 1 Exam HESI Saunders Online Review for the NCLEX-RN Examination 2 Year, 2nd Edition...

7 USD

0

0

Portage Learning BIOD 171 Microbiology Lecture Exam Key 1-6
View Document

Portage Learning BIOD 171 Microbiology Lecture Exam Key 1-6

  • tutor_gesco

    tutor_gesco

  • exam

Portage Learning BIOD 171 Microbiology Lecture Exam Key 1-6...

7 USD

0

0

Microbiology Micropath pre exam module exams and labs answers
View Document

Microbiology Micropath pre exam module exams and labs answers

  • tutor_gesco

    tutor_gesco

  • exam

Microbiology Micropath pre exam module exams and labs answers...

7 USD

0

0

MGT201  Final Exam  Principles of Management 100% scored
View Document

MGT201 Final Exam Principles of Management 100% scored

  • tutor_gesco

    tutor_gesco

  • exam

MGT201 Final Exam Principles of Management 100 percent scored...

7 USD

0

0

BIOD 171 LECTURE exams  lab exams 1-8 for 2026
View Document

BIOD 171 LECTURE exams lab exams 1-8 for 2026

  • tutor_gesco

    tutor_gesco

  • exam

BIOD 171 LECTURE exams lab exams 1-8 for 2025...

7 USD

0

0

BIOD 171 lab exams 1-9 for 2026
View Document

BIOD 171 lab exams 1-9 for 2026

  • tutor_gesco

    tutor_gesco

  • exam

BIOD 171 lab exams 1-9 for 2025...

8 USD

0

0

Biod 171 all exams  2021 Exam Pack
View Document

Biod 171 all exams 2021 Exam Pack

  • tutor_gesco

    tutor_gesco

  • exam

Biod 171 all exams 2021 Exam Pack...

7 USD

0

0

Bio 171 all exams Exam Pack
View Document

Bio 171 all exams Exam Pack

  • tutor_gesco

    tutor_gesco

  • exam

Bio 171 all exams Exam Pack...

8 USD

0

0

Bio 171 module 1 exam 2026
View Document

Bio 171 module 1 exam 2026

  • tutor_gesco

    tutor_gesco

  • exam

Bio 171 module 1 exam 2025...

5 USD

0

0

Ati Fundamental Proctored Exam Rationaled (400 question & answers)
View Document

Ati Fundamental Proctored Exam Rationaled (400 question & answers)

  • tutor_gesco

    tutor_gesco

  • exam

Ati Fundamental Proctored Exam Rationaled (400 question & answers)...

10 USD

0

1

NURS6521 Advanced Pharmacology Midterm Exam Latest 2026
View Document

NURS6521 Advanced Pharmacology Midterm Exam Latest 2026

  • tutor_gesco

    tutor_gesco

  • exam

NURS6521 Advanced Pharmacology Midterm Exam Latest 2025...

8 USD

0

0

NURS-6521 Advanced Pharmacology Midterm Exam 2026
View Document

NURS-6521 Advanced Pharmacology Midterm Exam 2026

  • tutor_gesco

    tutor_gesco

  • exam

NURS-6521 Advanced Pharmacology Midterm Exam 2025...

7 USD

0

0

NURS 6521 pharmacology Midterm Exam Questions and Answers 2026
View Document

NURS 6521 pharmacology Midterm Exam Questions and Answers 2026

  • tutor_gesco

    tutor_gesco

  • exam

NURS 6521 pharmacology Midterm Exam Questions and Answers 2025...

7 USD

0

0

LEV 3701 Law of Evidence Admissibility of Evidence Summary Exam Notes
View Document

LEV 3701 Law of Evidence Admissibility of Evidence Summary Exam Notes

  • tutor_gesco

    tutor_gesco

  • exam

LEV 3701 Law of Evidence Admissibility of Evidence Summary Exam Notes...

6 USD

0

0

NURS 6521 Pharmacology Midterm Test 2026
View Document

NURS 6521 Pharmacology Midterm Test 2026

  • tutor_gesco

    tutor_gesco

  • exam

NURS 6521 Pharmacology Midterm Test 2025...

6 USD

0

0

LCP4804 - Advanced Indigenous Law Summary Notes Trial Exam and Answers 2021
View Document

LCP4804 - Advanced Indigenous Law Summary Notes Trial Exam and Answers 2021

  • Yna

    Yna

  • exam

LCP4804 - Advanced Indigenous Law Summary Notes Trial Exam and Answers 2021...

7 USD

0

0

LCP4804 Advanced Indigenous Law Exam 2021
View Document

LCP4804 Advanced Indigenous Law Exam 2021

  • Yna

    Yna

  • exam

LCP4804 Advanced Indigenous Law Exam 2021...

7 USD

0

0

Sophia Haddad Focused Exam Pediatric GAS Pharyngitis Completed Shadow Health-Transcript 2021
View Document

Sophia Haddad Focused Exam Pediatric GAS Pharyngitis Completed Shadow Health-Transcript 2021

  • Yna

    Yna

  • test bank

Sophia Haddad Focused Exam Pediatric GAS Pharyngitis Completed Shadow Health-Transcript 2021...

7 USD

0

0

NR601 Final Exam NR 601 Final Exam (New, 2020) Chamberlain College of Nursing (100 Correct Q & A)
View Document

NR601 Final Exam NR 601 Final Exam (New, 2020) Chamberlain College of Nursing (100 Correct Q & A)

  • Yna

    Yna

  • test bank

NR601 Final Exam NR 601 Final Exam (New, 2020) Chamberlain College of Nursing (100 Correct Q & A)...

7 USD

0

0

Law of Delict (PVL3703) Past exam answers from MayJune 2016 - OctNov 2020
View Document

Law of Delict (PVL3703) Past exam answers from MayJune 2016 - OctNov 2020

  • Yna

    Yna

  • test bank

Law of Delict (PVL3703) Past exam answers from MayJune 2016 - OctNov 2020...

8 USD

0

0

NR 511 Midterm Exam Test Bank Questions and Answers (explained); latest Spring 2021.
View Document

NR 511 Midterm Exam Test Bank Questions and Answers (explained); latest Spring 2021.

  • Yna

    Yna

  • exam

NR 511 Midterm Exam Test Bank Questions and Answers (explained); latest Spring 2021. – Download PDF...

15 USD

0

0

NR 509 Week 7 Shadow Health Focused Exam Case
View Document

NR 509 Week 7 Shadow Health Focused Exam Case

  • Yna

    Yna

  • exam

Explore the NR 509 Week 7 Shadow Health Focused Exam Case for Daniel Rivera, an 8-year-old with a cough, ear pain, and a...

7 USD

0

0

Health Science 2250 final exam notes
View Document

Health Science 2250 final exam notes

  • Yna

    Yna

  • exam

Health Science 2250 final exam notes...

7 USD

0

0

Experience Overview FOCUSED EXAM COUGH Patient Danny Rivera Digital Clinical Experience Score 100%
View Document

Experience Overview FOCUSED EXAM COUGH Patient Danny Rivera Digital Clinical Experience Score 100%

  • Yna

    Yna

  • exam

Experience Overview FOCUSED EXAM COUGH Patient Danny Rivera Digital Clinical Experience Score 100%...

7 USD

0

0

PYC4804 MOCK EXAM 2026
View Document

PYC4804 MOCK EXAM 2026

  • Eddah-Nafula

    Eddah-Nafula

  • exam

PYC4804 MOCK EXAM 2025...

8 USD

0

0

Nursing 330 peds ati proctored final exam study guide
View Document

Nursing 330 peds ati proctored final exam study guide

  • Darling

    Darling

  • exam

Nursing 330 peds ati proctored final exam study guide...

7 USD

0

0

NURS 211L ATI Peds proctored exam 2020.
View Document

NURS 211L ATI Peds proctored exam 2020.

  • Darling

    Darling

  • exam

NURS 211L ATI Peds proctored exam 2020....

7 USD

0

0

NUR 2790 Exam 2 Focus Points 2021
View Document

NUR 2790 Exam 2 Focus Points 2021

  • tutorvalentine

    tutorvalentine

  • exam

NUR 2790 Exam 2 Focus Points 2021...

8 USD

0

0

NR511 Consolidated Midterm and Final Exam Guide 2021
View Document

NR511 Consolidated Midterm and Final Exam Guide 2021

  • tutorvalentine

    tutorvalentine

  • exam

NR511 Consolidated Midterm and Final Exam Guide 2021...

7 USD

0

0

MATH 225 Final Exam Practice Problems
View Document

MATH 225 Final Exam Practice Problems

  • tutorvalentine

    tutorvalentine

  • exam

MATH 225 Final Exam Practice Problems...

7 USD

0

0

ENGL 430  202040  Fall 2020 ENGL 000-P19 LUO English Assessment highly graded
View Document

ENGL 430 202040 Fall 2020 ENGL 000-P19 LUO English Assessment highly graded

  • tutorvalentine

    tutorvalentine

  • exam

ENGL 430 202040 Fall 2020 ENGL 000-P19 LUO English Assessment highly graded...

10 USD

0

0

MRL3701 EXAM PACK 2021
View Document

MRL3701 EXAM PACK 2021

  • mentor2000

    mentor2000

  • exam

MRL3701 EXAM PACK 2021...

7 USD

0

0

C269 Task 1 - Lesson plan and structured assignment
View Document

C269 Task 1 - Lesson plan and structured assignment

  • claratutor1

    claratutor1

  • exam

C269 Task 1 - Lesson plan and structured assignment...

6 USD

0

0

BSBSUS501 V2 Assessment Task 2 with complete solution
View Document

BSBSUS501 V2 Assessment Task 2 with complete solution

  • claratutor1

    claratutor1

  • exam

BSBSUS501 V2 Assessment Task 2 with complete solution...

6 USD

0

0

BSBSUS 501 Assessment Task 3 with complete solution latest 2021
View Document

BSBSUS 501 Assessment Task 3 with complete solution latest 2021

  • claratutor1

    claratutor1

  • exam

BSBSUS 501 Assessment Task 3 with complete solution latest 2021...

6 USD

0

0

AZOQD 101 ENGLISH FINAL EXAM WITH COMPLETE SOLUTION.(latest 2021)
View Document

AZOQD 101 ENGLISH FINAL EXAM WITH COMPLETE SOLUTION.(latest 2021)

  • claratutor1

    claratutor1

  • exam

AZOQD 101 ENGLISH FINAL EXAM WITH COMPLETE SOLUTION.(latest 2021)...

6 USD

0

0

NURSING 555 Leik-s Exam Tips-AANP
View Document

NURSING 555 Leik-s Exam Tips-AANP

  • GradeA

    GradeA

  • exam

NURSING 555 Leik-s Exam Tips-AANP...

7 USD

0

0

NUR 577 AANP Exam Pearls 2021
View Document

NUR 577 AANP Exam Pearls 2021

  • GradeA

    GradeA

  • exam

NUR 577 AANP Exam Pearls 2021...

7 USD

0

0

NSG 531 the relationship between health policy and legislation, regulation, finance and practice(answered)
View Document

NSG 531 the relationship between health policy and legislation, regulation, finance and practice(answered)

  • GradeA

    GradeA

  • exam

NSG 531 the relationship between health policy and legislation, regulation, finance and practice(answered)...

7 USD

0

0

NURSING INFORMATICS AND THE FOUNDATION OF KNOWLEDGE 4TH EDITION MCGONIGLE TEST BANK
View Document

NURSING INFORMATICS AND THE FOUNDATION OF KNOWLEDGE 4TH EDITION MCGONIGLE TEST BANK

  • professorchue

    professorchue

  • test bank

NURSING INFORMATICS AND THE FOUNDATION OF KNOWLEDGE 4TH EDITION MCGONIGLE TEST BANK...

10 USD

0

0

CON 237 Simplified Acquisition Procedures Exam Complete Solution
View Document

CON 237 Simplified Acquisition Procedures Exam Complete Solution

  • professorchue

    professorchue

  • questions & answers

CON 237 Simplified Acquisition Procedures Exam Complete Solution...

10 USD

0

0

Walden University NURS6501 Advanced Pathophysiology Midterm & Final Exam Part 1 Updated April 2020
View Document

Walden University NURS6501 Advanced Pathophysiology Midterm & Final Exam Part 1 Updated April 2020

  • professorchue

    professorchue

  • test bank

Walden University NURS6501 Advanced Pathophysiology Midterm & Final Exam Part 1 Updated April 2020...

10 USD

0

0

Focused Exam: Abdominal Pain Esther Park shadow health assignment answers Rated A+
View Document

Focused Exam: Abdominal Pain Esther Park shadow health assignment answers Rated A+

  • professorchue

    professorchue

  • test bank

Study this Focused Exam: Abdominal Pain Esther Park shadow health assignment answers Rated A+. This is the best study ma...

10 USD

0

0

NR566 Advanced Pharmacology Care of the Family Midterm Exam Rated A  Latest, 2020, 2021, Chamberlain College
View Document

NR566 Advanced Pharmacology Care of the Family Midterm Exam Rated A Latest, 2020, 2021, Chamberlain College

  • professorchue

    professorchue

  • test bank

NR566 Advanced Pharmacology Care of the Family Midterm Exam Rated A Latest, 2020, 2021, Chamberlain College – Downloa...

10 USD

0

0

Test Bank for Auditing: The Art and Science of Assurance Engagements, Fourteenth Canadian Edition 14th edition Alvin A. Arens, Randal J. Elder, Mark S. Beasley, Chris E. Hogan, Joanne C. Jones
View Document

Test Bank for Auditing: The Art and Science of Assurance Engagements, Fourteenth Canadian Edition 14th edition Alvin A. Arens, Randal J. Elder, Mark S. Beasley, Chris E. Hogan, Joanne C. Jones

  • GradeA

    GradeA

  • test bank

Test Bank for Auditing: The Art and Science of Assurance Engagements, Fourteenth Canadian Edition 14th edition Alvin A. ...

15 USD

0

0

NR 451 Evidence Based Practice Change Process 2021
View Document

NR 451 Evidence Based Practice Change Process 2021

  • Darling

    Darling

  • test bank

NR 451 Evidence Based Practice Change Process 2021...

7 USD

0

0

TEST BANK FOR LOCAL ANESTHESIA FOR THE DENTAL HYGIENIST 2ND ED BY LOGOTHETIS
View Document

TEST BANK FOR LOCAL ANESTHESIA FOR THE DENTAL HYGIENIST 2ND ED BY LOGOTHETIS

  • Darling

    Darling

  • test bank

TEST BANK FOR LOCAL ANESTHESIA FOR THE DENTAL HYGIENIST 2ND ED BY LOGOTHETIS...

15 USD

0

0

TEST BANK FOR NEONATAL AND PEDIATRIC RESPIRATORY CARE 5TH EDITION BY WALSH
View Document

TEST BANK FOR NEONATAL AND PEDIATRIC RESPIRATORY CARE 5TH EDITION BY WALSH

  • Darling

    Darling

  • test bank

TEST BANK FOR NEONATAL AND PEDIATRIC RESPIRATORY CARE 5TH EDITION BY WALSH...

15 USD

0

0

Test Bank for Mosby’s Canadian Manual of Diagnostic and Laboratory Tests 2nd Edition by Pagana
View Document

Test Bank for Mosby’s Canadian Manual of Diagnostic and Laboratory Tests 2nd Edition by Pagana

  • Darling

    Darling

  • test bank

Test Bank for Mosby’s Canadian Manual of Diagnostic and Laboratory Tests 2nd Edition by Pagana...

16 USD

0

0

NUR 602 MIDTERM EXAM 2021 QUESTIONS AND ANSWERS
View Document

NUR 602 MIDTERM EXAM 2021 QUESTIONS AND ANSWERS

  • Darling

    Darling

  • test bank

NUR 602 MIDTERM EXAM 2021 QUESTIONS AND ANSWERS...

10 USD

0

0

NUR 114 PHARM FINAL EXAM STUDY GUIDE
View Document

NUR 114 PHARM FINAL EXAM STUDY GUIDE

  • Darling

    Darling

  • test bank

NUR 114 PHARM FINAL EXAM STUDY GUIDE...

10 USD

0

0

INTRODUCTORY MATERNITY AND PEDIATRIC NURSING 4TH EDITION HATFIELD TEST BANK
View Document

INTRODUCTORY MATERNITY AND PEDIATRIC NURSING 4TH EDITION HATFIELD TEST BANK

  • Darling

    Darling

  • test bank

INTRODUCTORY MATERNITY AND PEDIATRIC NURSING 4TH EDITION HATFIELD TEST BANK...

10 USD

0

0

HESI DOSAGES QUESTIONS AND ANSWERS LATEST 2021
View Document

HESI DOSAGES QUESTIONS AND ANSWERS LATEST 2021

  • Darling

    Darling

  • test bank

HESI DOSAGES QUESTIONS AND ANSWERS LATEST 2021...

8 USD

0

0

Test Bank – Potter & Perry Fundamentals of Nursing 10th Edition | Verified, All Chapters
View Document

Test Bank – Potter & Perry Fundamentals of Nursing 10th Edition | Verified, All Chapters

  • Darling

    Darling

  • test bank

Fundamentals of nursing 10th edition potter perry test bank. Instant PDF Download....

14 USD

0

0

Case Study 70 Benign Prostatic Hyperplasia
View Document

Case Study 70 Benign Prostatic Hyperplasia

  • Darling

    Darling

  • test bank

Find the solutions to Case Study 70 Benign Prostatic Hyperplasia...

10 USD

0

0

Test Bank for Bates’ Guide to Physical Examination and History Taking 13th Edition Bickley All Chapters
View Document

Test Bank for Bates’ Guide to Physical Examination and History Taking 13th Edition Bickley All Chapters

  • Darling

    Darling

  • test bank

Test Bank for Bates’ Guide to Physical Examination and History Taking 13th Edition Bickley All Chapters...

17 USD

0

0

COMPLETE TEST BANK FOR STRUCTURES OF THE HEAD AND NECK, 1ST EDITION, FRANK J. WEAKER
View Document

COMPLETE TEST BANK FOR STRUCTURES OF THE HEAD AND NECK, 1ST EDITION, FRANK J. WEAKER

  • Darling

    Darling

  • test bank

COMPLETE TEST BANK FOR STRUCTURES OF THE HEAD AND NECK, 1ST EDITION, FRANK J. WEAKER...

15 USD

0

0

TEST BANK FOR RADIOGRAPHIC PATHOLOGY FOR TECHNOLOGISTS, 7TH EDITION, NINA KOWALCZYK ALL CHAPTERS
View Document

TEST BANK FOR RADIOGRAPHIC PATHOLOGY FOR TECHNOLOGISTS, 7TH EDITION, NINA KOWALCZYK ALL CHAPTERS

  • Darling

    Darling

  • test bank

TEST BANK FOR RADIOGRAPHIC PATHOLOGY FOR TECHNOLOGISTS, 7TH EDITION, NINA KOWALCZYK ALL CHAPTERS...

15 USD

0

0

COMPLETE TEST BANK FOR NUTRITION CONCEPTS AND CONTROVERSIES, 5TH EDITION, FRANCES SIZER, ELLIE WHITNEY, LEONARD PICHÉ
View Document

COMPLETE TEST BANK FOR NUTRITION CONCEPTS AND CONTROVERSIES, 5TH EDITION, FRANCES SIZER, ELLIE WHITNEY, LEONARD PICHÉ

  • Darling

    Darling

  • test bank

COMPLETE TEST BANK FOR NUTRITION CONCEPTS AND CONTROVERSIES, 5TH EDITION, FRANCES SIZER, ELLIE WHITNEY, LEONARD PICHÉ...

15 USD

0

0

Complete Test Bank For Nursing A Concept-Based Approach To Learning, Volumes I, Ii & Iii, 3rd Edition, Pearson Education
View Document

Complete Test Bank For Nursing A Concept-Based Approach To Learning, Volumes I, Ii & Iii, 3rd Edition, Pearson Education

  • Darling

    Darling

  • test bank

Complete Test Bank For Nursing A Concept-Based Approach To Learning, Volumes I, Ii & Iii, 3rd Edition, Pearson Education...

15 USD

0

0

COMPLETE TEST BANK FOR MICROECONOMICS PRINCIPLES FOR A CHANGING WORLD, 5TH EDITION, ERIC CHIANG
View Document

COMPLETE TEST BANK FOR MICROECONOMICS PRINCIPLES FOR A CHANGING WORLD, 5TH EDITION, ERIC CHIANG

  • Darling

    Darling

  • test bank

COMPLETE TEST BANK FOR MICROECONOMICS PRINCIPLES FOR A CHANGING WORLD, 5TH EDITION, ERIC CHIANG...

15 USD

0

0

COMPLETE TEST BANK FOR METHODS IN PSYCHOLOGICAL RESEARCH, 4TH EDITION, BRYAN J. ROONEY, ANNABEL NESS EVANS
View Document

COMPLETE TEST BANK FOR METHODS IN PSYCHOLOGICAL RESEARCH, 4TH EDITION, BRYAN J. ROONEY, ANNABEL NESS EVANS

  • Darling

    Darling

  • test bank

COMPLETE TEST BANK FOR METHODS IN PSYCHOLOGICAL RESEARCH, 4TH EDITION, BRYAN J. ROONEY, ANNABEL NESS EVANS...

15 USD

0

0

TEST BANK FOR INVESTIGATING CHEMISTRY, 4TH EDITION, MATTHEW JOHLL ALL CHAPTERS
View Document

TEST BANK FOR INVESTIGATING CHEMISTRY, 4TH EDITION, MATTHEW JOHLL ALL CHAPTERS

  • Darling

    Darling

  • test bank

TEST BANK FOR INVESTIGATING CHEMISTRY, 4TH EDITION, MATTHEW JOHLL ALL CHAPTERS...

15 USD

0

0

COMPLETE TEST BANK FOR INTRODUCTION TO WOMEN’S AND GENDER STUDIES AN INTERDISCIPLINARY APPROACH, 2ND EDITION, MELISSA J. GILLIS, ANDREW T. JACOBS
View Document

COMPLETE TEST BANK FOR INTRODUCTION TO WOMEN’S AND GENDER STUDIES AN INTERDISCIPLINARY APPROACH, 2ND EDITION, MELISSA J. GILLIS, ANDREW T. JACOBS

  • Darling

    Darling

  • test bank

COMPLETE TEST BANK FOR INTRODUCTION TO WOMEN’S AND GENDER STUDIES AN INTERDISCIPLINARY APPROACH, 2ND EDITION, MELISSA ...

15 USD

0

0

COMPLETE TEST BANK FOR INTRODUCTION TO LEADERSHIP CONCEPTS AND PRACTICE, 5TH EDITION, PETER G. NORTHOUSE
View Document

COMPLETE TEST BANK FOR INTRODUCTION TO LEADERSHIP CONCEPTS AND PRACTICE, 5TH EDITION, PETER G. NORTHOUSE

  • Darling

    Darling

  • test bank

COMPLETE TEST BANK FOR INTRODUCTION TO LEADERSHIP CONCEPTS AND PRACTICE, 5TH EDITION, PETER G. NORTHOUSE...

15 USD

0

2

TEST BANK FOR INTRODUCTION TO JAVA PROGRAMMING AND DATA STRUCTURES COMPREHENSIVE, 12ED DANIEL LIANG
View Document

TEST BANK FOR INTRODUCTION TO JAVA PROGRAMMING AND DATA STRUCTURES COMPREHENSIVE, 12ED DANIEL LIANG

  • Darling

    Darling

  • test bank

TEST BANK FOR INTRODUCTION TO JAVA PROGRAMMING AND DATA STRUCTURES COMPREHENSIVE, 12ED DANIEL LIANG...

15 USD

0

0

TEST BANK FOR INFORMATION TECHNOLOGY PROJECT MANAGEMENT, 9TH EDITION, KATHY SCHWALBE
View Document

TEST BANK FOR INFORMATION TECHNOLOGY PROJECT MANAGEMENT, 9TH EDITION, KATHY SCHWALBE

  • Darling

    Darling

  • test bank

TEST BANK FOR INFORMATION TECHNOLOGY PROJECT MANAGEMENT, 9TH EDITION, KATHY SCHWALBE...

15 USD

0

0

TEST BANK FOR HUMAN SEXUALITY IN A CHANGING WORLD, 10TH EDITION, SPENCER A. RATHUS, JEFF NEVID, JEFFREY S. NEVID, LOIS FICHNER-RATHUS
View Document

TEST BANK FOR HUMAN SEXUALITY IN A CHANGING WORLD, 10TH EDITION, SPENCER A. RATHUS, JEFF NEVID, JEFFREY S. NEVID, LOIS FICHNER-RATHUS

  • Darling

    Darling

  • test bank

TEST BANK FOR HUMAN SEXUALITY IN A CHANGING WORLD, 10TH EDITION, SPENCER A. RATHUS, JEFF NEVID, JEFFREY S. NEVID, LOIS F...

15 USD

0

0

TEST BANK FOR HUMAN RELATIONS, 6TH EDITION, LOWELL LAMBERTON, LESLIE MINOR-EVANS
View Document

TEST BANK FOR HUMAN RELATIONS, 6TH EDITION, LOWELL LAMBERTON, LESLIE MINOR-EVANS

  • Darling

    Darling

  • test bank

TEST BANK FOR HUMAN RELATIONS, 6TH EDITION, LOWELL LAMBERTON, LESLIE MINOR-EVANS...

15 USD

0

0

TEST BANK FOR HUMAN PHYSIOLOGY, 2ND EDITION, BRYAN H. DERRICKSON
View Document

TEST BANK FOR HUMAN PHYSIOLOGY, 2ND EDITION, BRYAN H. DERRICKSON

  • Darling

    Darling

  • test bank

TEST BANK FOR HUMAN PHYSIOLOGY, 2ND EDITION, BRYAN H. DERRICKSON...

15 USD

0

0

Test bank for Health Behavior and Health Education Theory, Research, and Practice, 4th Edition, Karen Glanz, Barbara K. Rimer, K. Viswanath
View Document

Test bank for Health Behavior and Health Education Theory, Research, and Practice, 4th Edition, Karen Glanz, Barbara K. Rimer, K. Viswanath

  • Darling

    Darling

  • test bank

Test bank for Health Behavior and Health Education Theory, Research, and Practice, 4th Edition, Karen Glanz, Barbara K. ...

15 USD

0

0

Test bank for for Lives Across Cultures Cross-Cultural Human Development, 6th Edition, Harry W. Gardiner
View Document

Test bank for for Lives Across Cultures Cross-Cultural Human Development, 6th Edition, Harry W. Gardiner

  • Darling

    Darling

  • test bank

Test bank for for Lives Across Cultures Cross-Cultural Human Development, 6th Edition, Harry W. Gardiner...

15 USD

0

0

TEST BANK FOR FOR ESSENTIAL HEALTH ASSESSMENT, 1ST EDITION, JANICE THOMPSON
View Document

TEST BANK FOR FOR ESSENTIAL HEALTH ASSESSMENT, 1ST EDITION, JANICE THOMPSON

  • Darling

    Darling

  • test bank

TEST BANK FOR FOR ESSENTIAL HEALTH ASSESSMENT, 1ST EDITION, JANICE THOMPSON...

15 USD

0

1

Test bank for Essential Statistics, 3rd Edition, Robert N. Gould, Colleen Ryan, Rebecca Wong
View Document

Test bank for Essential Statistics, 3rd Edition, Robert N. Gould, Colleen Ryan, Rebecca Wong

  • Darling

    Darling

  • test bank

Test bank for Essential Statistics, 3rd Edition, Robert N. Gould, Colleen Ryan, Rebecca Wong...

15 USD

0

0

TEST BANK FOR EMERGENCY CARE IN ATHLETIC TRAINING, 1ST EDITION, KEITH M. GORSE, FRANCIS FELD, ROBERT BLANC, MATTHEW RADELET
View Document

TEST BANK FOR EMERGENCY CARE IN ATHLETIC TRAINING, 1ST EDITION, KEITH M. GORSE, FRANCIS FELD, ROBERT BLANC, MATTHEW RADELET

  • Darling

    Darling

  • test bank

TEST BANK FOR EMERGENCY CARE IN ATHLETIC TRAINING, 1ST EDITION, KEITH M. GORSE, FRANCIS FELD, ROBERT BLANC, MATTHEW RADE...

15 USD

0

0

Test Bank for Electrocardiography for Healthcare Professionals 6th Edition | All Chapters Questions & Verified Solutions
View Document

Test Bank for Electrocardiography for Healthcare Professionals 6th Edition | All Chapters Questions & Verified Solutions

  • Darling

    Darling

  • test bank

Get Test Bank PDF for Electrocardiography for Healthcare Professionals 6th Edition– All Chapters Questions & Verified ...

15 USD

0

0

TEST BANK FOR EARLY CHILDHOOD EXPERIENCES IN LANGUAGE ARTS EARLY LITERACY, 11TH EDITION, JEANNE M. MACHADO
View Document

TEST BANK FOR EARLY CHILDHOOD EXPERIENCES IN LANGUAGE ARTS EARLY LITERACY, 11TH EDITION, JEANNE M. MACHADO

  • Darling

    Darling

  • test bank

TEST BANK FOR EARLY CHILDHOOD EXPERIENCES IN LANGUAGE ARTS EARLY LITERACY, 11TH EDITION, JEANNE M. MACHADO...

15 USD

0

0

TEST BANK FOR DISCOVERING THE LIFE SPAN, 4TH EDITION, ROBERT S. FELDMAN
View Document

TEST BANK FOR DISCOVERING THE LIFE SPAN, 4TH EDITION, ROBERT S. FELDMAN

  • Darling

    Darling

  • test bank

TEST BANK FOR DISCOVERING THE LIFE SPAN, 4TH EDITION, ROBERT S. FELDMAN...

15 USD

0

0

Test bank for Children’s Thinking, 5th Edition, Robert Siegler, Martha Alibali
View Document

Test bank for Children’s Thinking, 5th Edition, Robert Siegler, Martha Alibali

  • Darling

    Darling

  • test bank

Test bank for Children’s Thinking, 5th Edition, Robert Siegler, Martha Alibali...

15 USD

0

0

Test Bank for Child Development an Active Learning Approach, 3rd Edition, Laura E. Levine, Joyce Munsch
View Document

Test Bank for Child Development an Active Learning Approach, 3rd Edition, Laura E. Levine, Joyce Munsch

  • Darling

    Darling

  • test bank

Test Bank for Child Development an Active Learning Approach, 3rd Edition, Laura E. Levine, Joyce Munsch...

15 USD

0

0

TEST BANK FOR CHILD DEVELOPMENT A CULTURAL APPROACH, 3RD EDITION, JEFFERY JENSEN ARNETT, LENE ARNETT JENSEN
View Document

TEST BANK FOR CHILD DEVELOPMENT A CULTURAL APPROACH, 3RD EDITION, JEFFERY JENSEN ARNETT, LENE ARNETT JENSEN

  • Darling

    Darling

  • test bank

TEST BANK FOR CHILD DEVELOPMENT A CULTURAL APPROACH, 3RD EDITION, JEFFERY JENSEN ARNETT, LENE ARNETT JENSEN...

15 USD

0

0

CRW2602 - LATEST MCQ EXAM PACK 2020 (VERIFIED) BEST FOR REVISION
View Document

CRW2602 - LATEST MCQ EXAM PACK 2020 (VERIFIED) BEST FOR REVISION

  • Eddah-Nafula

    Eddah-Nafula

  • exam

CRW2602 - LATEST MCQ EXAM PACK 2020 (VERIFIED) BEST FOR REVISION...

7 USD

0

0

Assessment of Gastrointestinal System    Lewis: Medical-Surgical Nursing, 10th Edition
View Document

Assessment of Gastrointestinal System Lewis: Medical-Surgical Nursing, 10th Edition

  • Charlsy

    Charlsy

  • questions & answers

Assessment of Gastrointestinal System Lewis: Medical-Surgical Nursing, 10th Edition...

18 USD

0

0

NR327 Maternal-Child Exam No. 1 Study Guide
View Document

NR327 Maternal-Child Exam No. 1 Study Guide

  • Charlsy

    Charlsy

  • questions & answers

NR327 Maternal-Child Exam No. 1 Study Guide – Download PDF...

9 USD

0

0

: Nursing Practice in the Clinical Setting
View Document

: Nursing Practice in the Clinical Setting

  • Charlsy

    Charlsy

  • questions & answers

: Nursing Practice in the Clinical Setting...

11 USD

0

0

NURS 6512 FINAL EXAM
View Document

NURS 6512 FINAL EXAM

  • Charlsy

    Charlsy

  • questions & answers

NURS 6512 FINAL EXAM...

11 USD

0

0

PHI208 Week 2 Quiz
View Document

PHI208 Week 2 Quiz

  • Charlsy

    Charlsy

  • questions & answers

PHI208 Week 2 Quiz...

-9 USD

0

0

Cost Terms, Concepts, and Classifications
View Document

Cost Terms, Concepts, and Classifications

  • rolex

    rolex

  • test bank

Cost Terms, Concepts, and Classifications...

10 USD

0

0

Analyzing and Recording Business Transactions
View Document

Analyzing and Recording Business Transactions

  • rolex

    rolex

  • test bank

Analyzing and Recording Business Transactions...

10 USD

0

0

NURS 6640 Final Exam Test Bank 300 Questions with Answers
View Document

NURS 6640 Final Exam Test Bank 300 Questions with Answers

  • Eddah-Nafula

    Eddah-Nafula

  • exam

NURS 6640 Final Exam Test Bank 300 Questions with Answers...

15 USD

0

0

SCI 228 Final Exam 2020 with all the correct answers(Real exam)
View Document

SCI 228 Final Exam 2020 with all the correct answers(Real exam)

  • Angelicer

    Angelicer

  • exam

SCI 228 Final Exam 2020 with all the correct answers(Real exam)...

5 USD

0

0

Psyc 304 Midterm Exam Part 2 2021 With All Correct Answers (Real Exam)
View Document

Psyc 304 Midterm Exam Part 2 2021 With All Correct Answers (Real Exam)

  • Angelicer

    Angelicer

  • exam

Psyc 304 Midterm Exam Part 2 2021 With All Correct Answers (Real Exam)...

6 USD

0

0

PSYC 304 Midterm Exam part 1 2021 with all correct answers(Real exam)
View Document

PSYC 304 Midterm Exam part 1 2021 with all correct answers(Real exam)

  • Angelicer

    Angelicer

  • exam

PSYC 304 Midterm Exam part 1 2021 with all correct answers(Real exam)...

6 USD

0

0

PHI 208 (Week 5 Final Exam) 2021 with all the correct answers(Graded A)
View Document

PHI 208 (Week 5 Final Exam) 2021 with all the correct answers(Graded A)

  • Angelicer

    Angelicer

  • exam

PHI 208 (Week 5 Final Exam) 2021 with all the correct answers(Graded A)...

5 USD

0

0

NURS 6512 FINAL EXAM 2020 with all the correct answers(real exam)
View Document

NURS 6512 FINAL EXAM 2020 with all the correct answers(real exam)

  • Angelicer

    Angelicer

  • exam

NURS 6512 FINAL EXAM 2020 with all the correct answers(real exam)...

6 USD

0

0

NR 507 Week 4 Midterm  exam(Real exam 2021)
View Document

NR 507 Week 4 Midterm exam(Real exam 2021)

  • Angelicer

    Angelicer

  • exam

NR 507 Week 4 Midterm exam(Real exam 2021)...

5 USD

0

0

MGT312 Final Exam 2021 Graded A(Real exam)
View Document

MGT312 Final Exam 2021 Graded A(Real exam)

  • Angelicer

    Angelicer

  • exam

MGT312 Final Exam 2021 Graded A(Real exam)...

6 USD

0

0

MGT 312 Final Exam 2021 Real exam
View Document

MGT 312 Final Exam 2021 Real exam

  • Angelicer

    Angelicer

  • exam

MGT 312 Final Exam 2021 Real exam...

6 USD

0

0

Hosp 590 Midterm Exam 2021 With All Correct Answers(Real Exam)
View Document

Hosp 590 Midterm Exam 2021 With All Correct Answers(Real Exam)

  • Angelicer

    Angelicer

  • exam

Hosp 590 Midterm Exam 2021 With All Correct Answers(Real Exam)...

5 USD

0

0

ECO 561 Final Exam 2020 (100 Correct)
View Document

ECO 561 Final Exam 2020 (100 Correct)

  • Angelicer

    Angelicer

  • exam

ECO 561 Final Exam 2020 (100 Correct)...

5 USD

0

0

Bus 119 Quiz 1 with all the correct answers(real quiz)
View Document

Bus 119 Quiz 1 with all the correct answers(real quiz)

  • Angelicer

    Angelicer

  • exam

Bus 119 Quiz 1 with all the correct answers(real quiz)...

5 USD

0

0

ATI Pharmacology Pre-Assessment practice questions and answers 100% solved exam solution
View Document

ATI Pharmacology Pre-Assessment practice questions and answers 100% solved exam solution

  • yongsm

    yongsm

  • test bank

ATI Pharmacology Pre-Assessment practice questions and answers 100% solved exam solution...

10 USD

0

0

NURS 231 Final Exam Complete Final Exam Questions and Solved Answers
View Document

NURS 231 Final Exam Complete Final Exam Questions and Solved Answers

  • yongsm

    yongsm

  • test bank

NURS 231 Final Exam Complete Final Exam Questions and Solved Answers...

10 USD

0

0

NURS 6630 Midterm 76,76 ALL COMPLETE EXAM QUESTIONS AND ANSWERS When an unstable patient asks why it is necessary to add medications to his current regimen, the PMHNP’s best response would be:
View Document

NURS 6630 Midterm 76,76 ALL COMPLETE EXAM QUESTIONS AND ANSWERS When an unstable patient asks why it is necessary to add medications to his current regimen, the PMHNP’s best response would be:

  • yongsm

    yongsm

  • test bank

NURS 6630 Midterm 76,76 ALL COMPLETE EXAM QUESTIONS AND ANSWERS When an unstable patient asks why it is necessary to add...

13 USD

0

0

Pharmacology new exam questions and answers  2021  Chamberlain College Of Nursing
View Document

Pharmacology new exam questions and answers 2021 Chamberlain College Of Nursing

  • yongsm

    yongsm

  • questions & answers

Pharmacology new exam questions and answers 2021 Chamberlain College Of Nursing...

10 USD

0

0

PSYC304 - Midterm Exam 2021 with updated questions and answers (Real exam)
View Document

PSYC304 - Midterm Exam 2021 with updated questions and answers (Real exam)

  • GradeA

    GradeA

  • exam

PSYC304 - Midterm Exam 2021 with updated questions and answers (Real exam)...

5 USD

0

0

NR 510 Week 8 Final Exam 2021 (Real exam)
View Document

NR 510 Week 8 Final Exam 2021 (Real exam)

  • GradeA

    GradeA

  • exam

NR 510 Week 8 Final Exam 2021 (Real exam)...

5 USD

0

0

NR 507 Week 4 Midterm: Exam Specific Study Guide: Summer 2021
View Document

NR 507 Week 4 Midterm: Exam Specific Study Guide: Summer 2021

  • GradeA

    GradeA

  • exam

NR 507 Week 4 Midterm: Exam Specific Study Guide: Summer 2021...

5 USD

0

0

MGT312 Final Exam 2021 (Real exam)
View Document

MGT312 Final Exam 2021 (Real exam)

  • GradeA

    GradeA

  • exam

MGT312 Final Exam 2021 (Real exam)...

5 USD

0

0

MGT 317 Final Exam 2021 (Real exam 100 percent)
View Document

MGT 317 Final Exam 2021 (Real exam 100 percent)

  • GradeA

    GradeA

  • exam

MGT 317 Final Exam 2021 (Real exam 100 percent) – Download PDF...

5 USD

0

0

HRM 531 Final Exam (2021 latest with well explained answers)
View Document

HRM 531 Final Exam (2021 latest with well explained answers)

  • GradeA

    GradeA

  • exam

HRM 531 Final Exam (2021 latest with well explained answers)...

5 USD

0

0

HEALTH ASSESSMENT HESI EXAM 2021 ALREADY GRADED A 100 SCORED
View Document

HEALTH ASSESSMENT HESI EXAM 2021 ALREADY GRADED A 100 SCORED

  • GradeA

    GradeA

  • hesi

HEALTH ASSESSMENT HESI EXAM 2021 ALREADY GRADED A 100 SCORED...

8 USD

0

0

NR 599 Week 8 Final Exam (Summer 2021)
View Document

NR 599 Week 8 Final Exam (Summer 2021)

  • Eddah-Nafula

    Eddah-Nafula

  • exam

NR 599 Week 8 Final Exam (Summer 2021)...

6 USD

0

0

NR 508 Final Exam 2021
View Document

NR 508 Final Exam 2021

  • Eddah-Nafula

    Eddah-Nafula

  • exam

NR 508 Final Exam 2021...

6 USD

0

0

NR 507 Week 4 Midterm  exam 2021 with correct answers
View Document

NR 507 Week 4 Midterm exam 2021 with correct answers

  • Eddah-Nafula

    Eddah-Nafula

  • exam

NR 507 Week 4 Midterm exam 2021 with correct answers...

7 USD

0

0

NR 507 Week 4 Midterm  exam 2021 with answers
View Document

NR 507 Week 4 Midterm exam 2021 with answers

  • Eddah-Nafula

    Eddah-Nafula

  • exam

NR 507 Week 4 Midterm exam 2021 with answers...

7 USD

0

0

NR 507 Patho MIDTERM  EXAM 2021 WITH CORRECT ANSWERS
View Document

NR 507 Patho MIDTERM EXAM 2021 WITH CORRECT ANSWERS

  • Eddah-Nafula

    Eddah-Nafula

  • exam

NR 507 Patho MIDTERM EXAM 2021 WITH CORRECT ANSWERS...

7 USD

0

0

NR 507 Final Exam Week 8 Study Guide
View Document

NR 507 Final Exam Week 8 Study Guide

  • Eddah-Nafula

    Eddah-Nafula

  • exam

NR 507 Final Exam Week 8 Study Guide...

6 USD

0

0

NR 507 Final Exam Week 8 Study Guide  2021
View Document

NR 507 Final Exam Week 8 Study Guide 2021

  • Eddah-Nafula

    Eddah-Nafula

  • exam

NR 507 Final Exam Week 8 Study Guide 2021...

7 USD

0

0

NR 222 Exam 2 Unit 6 (Addition Q & A) 2021
View Document

NR 222 Exam 2 Unit 6 (Addition Q & A) 2021

  • Eddah-Nafula

    Eddah-Nafula

  • exam

NR 222 Exam 2 Unit 6 (Addition Q & A) 2021...

6 USD

0

0

NR 222 Exam 1 Study guide 2021 (100% accurate)
View Document

NR 222 Exam 1 Study guide 2021 (100% accurate)

  • Eddah-Nafula

    Eddah-Nafula

  • exam

NR 222 Exam 1 Study guide 2021 (100% accurate)...

7 USD

0

0

RELI 448N Week 8 Final Exam 2021
View Document

RELI 448N Week 8 Final Exam 2021

  • Eddah-Nafula

    Eddah-Nafula

  • exam

RELI 448N Week 8 Final Exam 2021/ RELI 448N Week 8 Final Exam 2021/ RELI 448N Week 8 Final Exam 2021/ RELI 448N Week 8 F...

6 USD

0

0

RELI 448N Week 4 Midterm Exam (Summer 2021)
View Document

RELI 448N Week 4 Midterm Exam (Summer 2021)

  • Eddah-Nafula

    Eddah-Nafula

  • exam

RELI 448N Week 4 Midterm Exam (Summer 2021)...

5 USD

0

0

Advanced Pathophysiology week 4 midterm 2021
View Document

Advanced Pathophysiology week 4 midterm 2021

  • Eddah-Nafula

    Eddah-Nafula

  • exam

Advanced Pathophysiology week 4 midterm 2021 (Real exam)...

6 USD

0

4

PLS2601 CRITICAL REASONING EXAM WITH ANSWERS
View Document

PLS2601 CRITICAL REASONING EXAM WITH ANSWERS

  • Eddah-Nafula

    Eddah-Nafula

  • exam

CRITICAL REASONING EXAM WITH ANSWERS...

5 USD

0

0

NSG 420 Community Health Nursing final Exam- Straighterline
View Document

NSG 420 Community Health Nursing final Exam- Straighterline

  • Eddah-Nafula

    Eddah-Nafula

  • exam

Community Health Nursing final Exam- Straighterline...

8 USD

0

0

HEALTH ASSESSMENT HESI EXAM ALREADY GRADED A 100% SCORED
View Document

HEALTH ASSESSMENT HESI EXAM ALREADY GRADED A 100% SCORED

  • mentor2000

    mentor2000

  • hesi

HEALTH ASSESSMENT HESI EXAM...

8 USD

0

1

BUSN 278 Week 8 Final Exam 2021..
View Document

BUSN 278 Week 8 Final Exam 2021..

  • Angelicer

    Angelicer

  • exam

BUSN 278 Week 8 Final Exam 2021BUSN 278 Week 8 Final Exam 2021BUSN 278 Week 8 Final Exam 2021BUSN 278 Week 8 Final Exam ...

7 USD

0

4

BSOP 326 Week 8 Final Exam 2026 Grades A (Real exam)
View Document

BSOP 326 Week 8 Final Exam 2026 Grades A (Real exam)

  • Angelicer

    Angelicer

  • exam

BSOP 326 Week 8 Final Exam 2025 Grades A (Real exam)...

7 USD

0

3

BIOS 255 Week 4 Midterm Exam Graded A..
View Document

BIOS 255 Week 4 Midterm Exam Graded A..

  • Angelicer

    Angelicer

  • exam

BIOS 255 WeekBIOS 255 Week 4 Midterm Exam Graded ABIOS 255 Week 4 Midterm Exam Graded ABIOS 255 Week 4 Midterm Exam Grad...

7 USD

0

3

BIOS 255 Week 1 Exam 2021..
View Document

BIOS 255 Week 1 Exam 2021..

  • Angelicer

    Angelicer

  • exam

BIOS 255 Week 1 Exam 2021BIOS 255 Week 1 Exam 2021BIOS 255 Week 1 Exam 2021BIOS 255 Week 1 Exam 2021BIOS 255 Week 1 Exam...

8 USD

0

2

Advanced Pathophysiology week 4 midterm 2021 (Real exam)
View Document

Advanced Pathophysiology week 4 midterm 2021 (Real exam)

  • Angelicer

    Angelicer

  • exam

Advanced Pathophysiology week 4 midterm 2021 (Real exam)Advanced Pathophysiology week 4 midterm 2021 (Real exam)Advanced...

7 USD

0

2

ACC 290 FINAL EXAM GRADED A 2021..
View Document

ACC 290 FINAL EXAM GRADED A 2021..

  • Angelicer

    Angelicer

  • exam

ACC 290 FINAL EXAM GRADED A 2021ACC 290 FINAL EXAM GRADED A 2021ACC 290 FINAL EXAM GRADED A 2021ACC 290 FINAL EXAM GRADE...

7 USD

0

2

NURSING 2362 Module 10 Exam with rationale
View Document

NURSING 2362 Module 10 Exam with rationale

  • mentor2000

    mentor2000

  • exam

NURSING 2362 Module 10 Exam with rationale...

8 USD

0

0

NURSING 2362 Module 6 Exam with rationale
View Document

NURSING 2362 Module 6 Exam with rationale

  • mentor2000

    mentor2000

  • exam

NURSING 2362 Module 6 Exam with rationale...

10 USD

0

0

NURSING 2362 Module 5 Exam with Rationale
View Document

NURSING 2362 Module 5 Exam with Rationale

  • mentor2000

    mentor2000

  • exam

NURSING 2362 Module 5 Exam with Rationale...

10 USD

0

0

NURSING 2362 Module 3 Exam
View Document

NURSING 2362 Module 3 Exam

  • mentor2000

    mentor2000

  • exam

NURSING 2362 Module 3 Exam...

10 USD

0

0

NURSING 2362 Module 2 Exam with complete solution and Rationale
View Document

NURSING 2362 Module 2 Exam with complete solution and Rationale

  • mentor2000

    mentor2000

  • exam

NURSING 2362 Module 2 Exam with complete solution and Rationale...

10 USD

0

0

HESI Exit Exam RN (Updated) Over 500 Questions
View Document

HESI Exit Exam RN (Updated) Over 500 Questions

  • mentor2000

    mentor2000

  • exam

HESI Exit Exam RN (Updated) Over 500 Questions...

8 USD

0

2

NUR280 ROLE AND SCOPE FINAL QUESTIONS EXAM 3..
View Document

NUR280 ROLE AND SCOPE FINAL QUESTIONS EXAM 3..

  • Angelicer

    Angelicer

  • exam

NUR280 ROLE AND SCOPE FINAL QUESTIONS EXAM 3...

8 USD

0

2

NUR 2868 ROLE AND SCOPE STUDY GUIDE FOR EXAM 3..
View Document

NUR 2868 ROLE AND SCOPE STUDY GUIDE FOR EXAM 3..

  • Angelicer

    Angelicer

  • exam

NUR 2868 ROLE AND SCOPE STUDY GUIDE FOR EXAM 3...

10 USD

0

0

NUR 2868 ROLE AND SCOPE STUDY GUIDE FOR EXAM 2..
View Document

NUR 2868 ROLE AND SCOPE STUDY GUIDE FOR EXAM 2..

  • Angelicer

    Angelicer

  • exam

NUR 2868 ROLE AND SCOPE STUDY GUIDE FOR EXAM 2...

8 USD

0

0

Robert Hall Mobility Shadow Health Focused Exam- TRANSCRIPT (GRADED A, 2021
View Document

Robert Hall Mobility Shadow Health Focused Exam- TRANSCRIPT (GRADED A, 2021

  • Namwaki

    Namwaki

  • exam

Robert Hall Mobility Shadow Health Focused Exam- TRANSCRIPT (GRADED A, 2021...

8 USD

0

0

Robert Hall Mobility Shadow Health Exam: Comprehensive Graded Transcript
View Document

Robert Hall Mobility Shadow Health Exam: Comprehensive Graded Transcript

  • Namwaki

    Namwaki

  • exam

Get the Robert Hall Mobility Shadow Health Focused Exam Transcript (Graded A). Perfect for nursing students, it includes...

8 USD

0

0

NRSE 4560 Focused Exam_ Pain _ Completed _ Shadow Health objective
View Document

NRSE 4560 Focused Exam_ Pain _ Completed _ Shadow Health objective

  • Namwaki

    Namwaki

  • exam

NRSE 4560 Focused Exam_ Pain _ Completed _ Shadow Health objective...

8 USD

0

0

NRSE 4560 Focused Exam Pain Completed Shadow Health education empathy with complete solution
View Document

NRSE 4560 Focused Exam Pain Completed Shadow Health education empathy with complete solution

  • Namwaki

    Namwaki

  • exam

NRSE 4560 Focused Exam Pain Completed Shadow Health education empathy with complete solution – Download PDF...

8 USD

0

0

Focused Exam  Pain  Completed Shadow Health objective 2020 Graded A
View Document

Focused Exam Pain Completed Shadow Health objective 2020 Graded A

  • Namwaki

    Namwaki

  • exam

Focused Exam Pain Completed Shadow Health objective 2020 Graded A...

7 USD

0

0

COMP 230 Final Exam 3; Latest update 2021
View Document

COMP 230 Final Exam 3; Latest update 2021

  • Namwaki

    Namwaki

  • exam

COMP 230 Final Exam 3; Latest update 2021...

7 USD

0

0

NUR2063 Pathophysiology Final Exam Study Guide Modules 1-10
View Document

NUR2063 Pathophysiology Final Exam Study Guide Modules 1-10

  • Angelicer

    Angelicer

  • exam

NUR2063 Pathophysiology Final Exam Study Guide Modules 1-10 – Download PDF...

8 USD

0

0

NUR2063 Final REVISED Final Exam Study Guide Patho Spring 2021 HIGHLY GRADED..
View Document

NUR2063 Final REVISED Final Exam Study Guide Patho Spring 2021 HIGHLY GRADED..

  • Angelicer

    Angelicer

  • exam

NUR2063 Final REVISED Final Exam Study Guide Patho Spring 2021 HIGHLY GRADED.. – Download PDF...

10 USD

0

0

NUR2063 Final Exam module 7,8,9 Focused Review graded A+
View Document

NUR2063 Final Exam module 7,8,9 Focused Review graded A+

  • Angelicer

    Angelicer

  • exam

NUR2063 Final Exam module 7,8,9 Focused Review graded A+ – Download PDF...

8 USD

0

0

NR222 final exam  questions and answers (Real Exam)
View Document

NR222 final exam questions and answers (Real Exam)

  • Angelicer

    Angelicer

  • exam

NR222 final exam questions and answers (Real Exam) – Download PDF...

8 USD

0

0

2021 NUR 634 Final Exam (Test Preparation) GCU NUR-634 Final Test Prep NUR-634 Final Exam (Test Preparation) Advanced Health Assessment And Diagnostic Reasoning With Skills Lab (ALREADY GRADED A)
View Document

2021 NUR 634 Final Exam (Test Preparation) GCU NUR-634 Final Test Prep NUR-634 Final Exam (Test Preparation) Advanced Health Assessment And Diagnostic Reasoning With Skills Lab (ALREADY GRADED A)

  • Angelicer

    Angelicer

  • exam

2021 NUR 634 Final Exam (Test Preparation) GCU NUR-634 Final Test Prep NUR-634 Final Exam (Test Preparation) Advanced He...

10 USD

0

0

2021 NUR280 ROLE AND SCOPE FINAL QUESTIONS EXAM 3
View Document

2021 NUR280 ROLE AND SCOPE FINAL QUESTIONS EXAM 3

  • Eddah-Nafula

    Eddah-Nafula

  • exam

NUR280 ROLE AND SCOPE FINAL QUESTIONS EXAM 3...

7 USD

0

0

NUR 2868 ROLE AND SCOPE STUDY GUIDE FOR EXAM 3
View Document

NUR 2868 ROLE AND SCOPE STUDY GUIDE FOR EXAM 3

  • Eddah-Nafula

    Eddah-Nafula

  • exam

NUR 2868 ROLE AND SCOPE STUDY GUIDE FOR EXAM 3...

8 USD

0

0

NUR 265 Med Surg exam 2021
View Document

NUR 265 Med Surg exam 2021

  • Eddah-Nafula

    Eddah-Nafula

  • exam

NUR 265 Med Surg exam 2021...

7 USD

0

0

NUR 265 - Exam 2 Study Guide (100% correct)
View Document

NUR 265 - Exam 2 Study Guide (100% correct)

  • Eddah-Nafula

    Eddah-Nafula

  • exam

NUR 265 - Exam 2 Study Guide (100 percent correct)...

7 USD

0

0

NSG 6005 midterm exam 2021 highly graded scored A
View Document

NSG 6005 midterm exam 2021 highly graded scored A

  • Eddah-Nafula

    Eddah-Nafula

  • exam

NSG 6005 midterm exam 2021 highly graded scored A...

7 USD

0

0

NR 293 - Pharmacology Final Exam Review (Latest 2021).
View Document

NR 293 - Pharmacology Final Exam Review (Latest 2021).

  • Eddah-Nafula

    Eddah-Nafula

  • exam

NR 293 - Pharmacology Final Exam Review (Latest 2021)....

7 USD

0

0

NR 283 Pathophysiology Final Exam Concept Review
View Document

NR 283 Pathophysiology Final Exam Concept Review

  • Eddah-Nafula

    Eddah-Nafula

  • exam

NR 283 Pathophysiology Final Exam Concept Review...

7 USD

0

0

Danny Rivera.Focused Exam_ Cough _ Subjective Data_ Shadow Health
View Document

Danny Rivera.Focused Exam_ Cough _ Subjective Data_ Shadow Health

  • Eddah-Nafula

    Eddah-Nafula

  • exam

Danny Rivera.Focused Exam_ Cough _ Subjective Data_ Shadow Health...

7 USD

0

0

Sophia Haddad Focused Exam Pediatric GAS Pharyngitis Completed Shadow Health-Transcript
View Document

Sophia Haddad Focused Exam Pediatric GAS Pharyngitis Completed Shadow Health-Transcript

  • mentor2000

    mentor2000

  • test bank

Sophia Haddad Focused Exam Pediatric GAS Pharyngitis Completed Shadow Health-Transcript...

5 USD

0

0

NR 293 Pharmacology for Nursing Content Areas to Review for Exam 1 (Latest 2021)
View Document

NR 293 Pharmacology for Nursing Content Areas to Review for Exam 1 (Latest 2021)

  • Namwaki

    Namwaki

  • exam

NR 293 Pharmacology for Nursing Content Areas to Review for Exam 1 (Latest 2021)...

7 USD

0

0

Pediatrics Exam Pack (Latest 2021)
View Document

Pediatrics Exam Pack (Latest 2021)

  • Namwaki

    Namwaki

  • exam

Pediatrics Exam Pack 2021 Kaplan University...

5 USD

0

0

Pediatrics Exam Pack 2021 Kaplan University
View Document

Pediatrics Exam Pack 2021 Kaplan University

  • Namwaki

    Namwaki

  • exam

Pediatrics Exam Pack 2021 Kaplan University...

5 USD

0

0

2021 CRW2602 EXAM PACK QUESTIONS AND ANSWERS 100 percent VERIFIED
View Document

2021 CRW2602 EXAM PACK QUESTIONS AND ANSWERS 100 percent VERIFIED

  • GradeA

    GradeA

  • exam

2021 CRW2602 EXAM PACK QUESTIONS AND ANSWERS 100 percent VERIFIED – Download PDF...

10 USD

0

0

AIN2601 PAST EXAM PAPERS, BEST FOR REVISION LATEST COMPILATION 2021
View Document

AIN2601 PAST EXAM PAPERS, BEST FOR REVISION LATEST COMPILATION 2021

  • GradeA

    GradeA

  • exam

AIN2601 PAST EXAM PAPERS, BEST FOR REVISION LATEST COMPILATION 2021...

6 USD

0

0

CRW2602 - LATEST MCQ EXAM PACK 2020 (VERIFIED)
View Document

CRW2602 - LATEST MCQ EXAM PACK 2020 (VERIFIED)

  • GradeA

    GradeA

  • exam

CRW2602 - LATEST MCQ EXAM PACK 2020 (VERIFIED)...

10 USD

0

0

HRM 2603 NEW ASSIGNMENTS COMPILED FOR 2021 EXAMS DOWNLOAD TO SCORE HIGHLY.
View Document

HRM 2603 NEW ASSIGNMENTS COMPILED FOR 2021 EXAMS DOWNLOAD TO SCORE HIGHLY.

  • GradeA

    GradeA

  • exam

HRM 2603 NEW ASSIGNMENTS COMPILED FOR 2021 EXAMS DOWNLOAD TO SCORE HIGHLY...

7 USD

0

0

HRM 2603 NEW ASSIGNMENTS COMPILED FOR 2021 EXAMS DOWNLOAD TO SCORE HIGHLY
View Document

HRM 2603 NEW ASSIGNMENTS COMPILED FOR 2021 EXAMS DOWNLOAD TO SCORE HIGHLY

  • GradeA

    GradeA

  • exam

HRM 2603 NEW ASSIGNMENTS COMPILED FOR 2021 EXAMS DOWNLOAD TO SCORE HIGHLY...

8 USD

0

0

PVL3704 -2021 EXAM PACK
View Document

PVL3704 -2021 EXAM PACK

  • claratutor1

    claratutor1

  • exam

PVL3704 -2021 EXAM PACK...

8 USD

0

2

PVL3703 FINAL EXAM PACK 2026
View Document

PVL3703 FINAL EXAM PACK 2026

  • mentor2000

    mentor2000

  • exam

PVL3703 FINAL EXAM PACK 2025...

5 USD

0

0

Law of Delict (PVL3703) Past exam answers from May June 2016 - Oct Nov 2020
View Document

Law of Delict (PVL3703) Past exam answers from May June 2016 - Oct Nov 2020

  • mentor2000

    mentor2000

  • exam

Law of Delict (PVL3703) Past exam answers from May/June 2016 - Oct/Nov 2020...

5 USD

0

0

Final Exam GOVT 404 Undergraduate Contracts
View Document

Final Exam GOVT 404 Undergraduate Contracts

  • mentor2000

    mentor2000

  • exam

Final Exam GOVT 404 Undergraduate Contracts...

5 USD

0

2

MDC EXAM 3 REVIEW LATEST  WELL ELABORATED
View Document

MDC EXAM 3 REVIEW LATEST WELL ELABORATED

  • mentor2000

    mentor2000

  • exam

MDC EXAM 3 REVIEW LATEST WELL ELABORATED...

5 USD

0

0

FAC1502 EXAM PACK LATEST
View Document

FAC1502 EXAM PACK LATEST

  • mentor2000

    mentor2000

  • exam

FAC1502 EXAM PACK LATEST...

3 USD

0

0

FAC1502 EXAM PACK QUESTIONS+ANSWERS+RATIONALE
View Document

FAC1502 EXAM PACK QUESTIONS+ANSWERS+RATIONALE

  • mentor2000

    mentor2000

  • exam

FAC1502 EXAM PACK QUESTIONS+ANSWERS+RATIONALE...

5 USD

0

0

FAC1502 Exam Pack Semester 2 LATEST 2021
View Document

FAC1502 Exam Pack Semester 2 LATEST 2021

  • mentor2000

    mentor2000

  • exam

FAC1502 Exam Pack Semester 2 LATEST 2021 – Download PDF...

8 USD

0

0

NCLEX-PN PRACTICE EXAM 725 QUESTIONS (GRADED A+)
View Document

NCLEX-PN PRACTICE EXAM 725 QUESTIONS (GRADED A+)

  • mentor2000

    mentor2000

  • test bank

NCLEX-PN PRACTICE EXAM 725 QUESTIONS (GRADED A+)...

6 USD

0

0

HESI Pharmacology Exam Practice
View Document

HESI Pharmacology Exam Practice

  • Kelvin

    Kelvin

  • hesi

HESI Pharmacology Exam Practice – Download PDF...

15 USD

0

1

PVL3702 LAW OF CONTRACT FINAL EXAM REVIEW, BEST FOR REVISION, ALL ANSWERS 100% CORRECT (VERIFIED)
View Document

PVL3702 LAW OF CONTRACT FINAL EXAM REVIEW, BEST FOR REVISION, ALL ANSWERS 100% CORRECT (VERIFIED)

  • mentor2000

    mentor2000

  • exam

PVL3702 LAW OF CONTRACT FINAL EXAM REVIEW, BEST FOR REVISION, ALL ANSWERS 100% CORRECT (VERIFIED)...

8 USD

0

0

PVL3702 EXAM PACK 2016-2021 100 percent CORRECT, BEST FOR EXAM REVISION
View Document

PVL3702 EXAM PACK 2016-2021 100 percent CORRECT, BEST FOR EXAM REVISION

  • mentor2000

    mentor2000

  • exam

PVL3702 EXAM PACK 2016-2021 100 percent CORRECT, BEST FOR EXAM REVISION – Download PDF...

5 USD

0

0

HESI A2 BIOLOGY 2026 | 2026
View Document

HESI A2 BIOLOGY 2026 | 2026

  • Angelicer

    Angelicer

  • questions & answers

HESI A2 BIOLOGY 2025 | 2026...

8 USD

0

0

Hesi A2 entrance exam 2026
View Document

Hesi A2 entrance exam 2026

  • Angelicer

    Angelicer

  • questions & answers

Hesi A2 entrance exam...

10 USD

0

0

HESI A2 Math 2026 Actual Exam | Verified Questions and Answers
View Document

HESI A2 Math 2026 Actual Exam | Verified Questions and Answers

  • Angelicer

    Angelicer

  • questions & answers

Get access to HESI A2 Math Actual Exam for 2025...

10 USD

0

0

NUR 425 PHARM PSYCH FINAL STUDY GUIDE NOTES EXAM
View Document

NUR 425 PHARM PSYCH FINAL STUDY GUIDE NOTES EXAM

  • claratutor1

    claratutor1

  • study guide

NUR 425 PHARM PSYCH FINAL STUDY GUIDE NOTES EXAM...

1 USD

0

0

ATI PN Mental Health Proctored Exam 2026 | Questions and Answers
View Document

ATI PN Mental Health Proctored Exam 2026 | Questions and Answers

  • Angelicer

    Angelicer

  • exam

Prepare effectively with the ATI PN Mental Health Proctored Exam 2024. Get access to a comprehensive collection of quest...

13 USD

0

0

SS21-CJ-801-731 - Crime Cause Prevent & Control Final Exam
View Document

SS21-CJ-801-731 - Crime Cause Prevent & Control Final Exam

  • mentor2000

    mentor2000

  • exam

SS21-CJ-801-731 - Crime Cause Prevent & Control Final Exam...

8 USD

0

0

FAC1502 Exam Pack Semester 2 (2026)
View Document

FAC1502 Exam Pack Semester 2 (2026)

  • mentor2000

    mentor2000

  • exam

FAC1502 Exam Pack Semester 2...

4 USD

0

0

Community Public Health NCLEX module 5 exam
View Document

Community Public Health NCLEX module 5 exam

  • mentor2000

    mentor2000

  • exam

NCLEX Module 5 Exam A client with leukemia is being considered for a bone marrow transplant. The healthcare team is disc...

8 USD

0

0

MRL3701 EXAM PACK 2026
View Document

MRL3701 EXAM PACK 2026

  • mentor2000

    mentor2000

  • test bank

MRL3701 2025 EXAM a) Inability to pay debts is, at most merely evidence of insolvency. (page 3) b) Brenda’s applicatio...

4 USD

0

0

NUR 2502 Multidimensional Care Exam 2 / 2026
View Document

NUR 2502 Multidimensional Care Exam 2 / 2026

  • mentor2000

    mentor2000

  • exam

NUR 2502 Multidimensional Care Exam 2 / 2025 What do you think are the main contributors to MS trauma ? o Aging of the n...

7 USD

0

0

ATI PN MENTAL HEALTH PROCTORED EXAM (ACTUAL TEST)
View Document

ATI PN MENTAL HEALTH PROCTORED EXAM (ACTUAL TEST)

  • mentor2000

    mentor2000

  • exam

Prepare thoroughly with the ATI PN Mental Health Proctored Exam. Access the actual test questions to enhance your exam r...

16 USD

0

0

NR-507 Final Exam Study Guide and practice questions
View Document

NR-507 Final Exam Study Guide and practice questions

  • mentor2000

    mentor2000

  • study guide

Prepare effectively for the NR-507 final exam with our study guide and practice questions. Master key concepts and ensur...

12 USD

0

0

Med Surg Practice Exam Best Revision Material for Upcoming Exams
View Document

Med Surg Practice Exam Best Revision Material for Upcoming Exams

  • mentor2000

    mentor2000

  • test bank

Boost your exam readiness with the Med Surg Practice Exam. Access top revision material to excel in your upcoming exams ...

14 USD

0

0

HESI RN EXIT EXAM V1--V7 Best Revision Material for Upcoming Exams
View Document

HESI RN EXIT EXAM V1--V7 Best Revision Material for Upcoming Exams

  • mentor2000

    mentor2000

  • test bank

HESI RN EXIT EXAM V1--V7 Best Revision Material for Upcoming Exams...

16 USD

0

0

HESI Practice Test Comprehensive Exam Best Revision Material for Upcoming Exams
View Document

HESI Practice Test Comprehensive Exam Best Revision Material for Upcoming Exams

  • mentor2000

    mentor2000

  • test bank

HESI Practice Test Comprehensive Exam Best Revision Material for Upcoming Exams...

12 USD

0

0

Test Bank for Physical Examination and Health Assessment (8th Edition) by Carolyn Jarvis | Complete Chapters | Verified Edition
View Document

Test Bank for Physical Examination and Health Assessment (8th Edition) by Carolyn Jarvis | Complete Chapters | Verified Edition

  • mentor2000

    mentor2000

  • test bank

Get the full test bank for Physical Examination and Health Assessment, 8th Edition by Carolyn Jarvis. Includes comprehen...

15 USD

0

0

ATI Comprehensive Predictor Exam Questions and Answers 2026
View Document

ATI Comprehensive Predictor Exam Questions and Answers 2026

  • mentor2000

    mentor2000

  • ati

Get the ATI Comprehensive Predictor Exam Questions and Answers 2025...

15 USD

0

0

Walden University NURS6501 Advanced Pathophysiology Midterm & Final Exam Part 1 Updated April 2026
View Document

Walden University NURS6501 Advanced Pathophysiology Midterm & Final Exam Part 1 Updated April 2026

  • mentor2000

    mentor2000

  • exam

Walden University NURS6501 Advanced Pathophysiology Midterm & Final Exam Part 1 Updated April 2025...

7 USD

0

0

BSN 1004 Evolve+ Test Bank 2026 Exam Pack
View Document

BSN 1004 Evolve+ Test Bank 2026 Exam Pack

  • mentor2000

    mentor2000

  • test bank

BSN 1004 Evolve+ Test Bank 2025 Exam Pack Which of the following is a characteristic of a malignant tumour?...

15 USD

0

0

NR 601 Final Exam Study Guide  2026
View Document

NR 601 Final Exam Study Guide 2026

  • eddukapis6

    eddukapis6

  • study guide

NR 601 Final Exam Study Guide 2025...

12 USD

0

0

NURS 6551 Midterm Exam 2026
View Document

NURS 6551 Midterm Exam 2026

  • vincie21

    vincie21

  • study guide

NURS 6551 Midterm Exam 2025...

10 USD

0

0

NR 601 Final Exam 2 (2026)
View Document

NR 601 Final Exam 2 (2026)

  • eddukapis6

    eddukapis6

  • study guide

NR 601 Final Exam 2 (2025) NR 601 Final Exam 2 NEW Chamberlain College of Nursing (100 Correct Q & A) (SATISFACTION GUAR...

12 USD

0

0

NURS 6551 MIDTERM EXAM (2026)
View Document

NURS 6551 MIDTERM EXAM (2026)

  • vincie21

    vincie21

  • study guide

NURS 6551 MIDTERM EXAM (2025)...

10 USD

0

0

NR 565 Final Exam Study Guide 2026
View Document

NR 565 Final Exam Study Guide 2026

  • eddukapis6

    eddukapis6

  • study guide

NR 565 Final Exam Study Guide 2025...

10 USD

0

0

NR601 midterm study guide | Latest 2026
View Document

NR601 midterm study guide | Latest 2026

  • vincie21

    vincie21

  • study guide

NR601 midterm study guide 2026...

10 USD

0

0

NR601 Final Exam NR 601 Final Exam (New, 2026)
View Document

NR601 Final Exam NR 601 Final Exam (New, 2026)

  • vincie21

    vincie21

  • study guide

NR601 Final Exam NR 601 Final Exam (New, 2026)...

8 USD

0

1

ATI PN Comprehensive Predictor Exam 2026 (Verified 100 Correct)
View Document

ATI PN Comprehensive Predictor Exam 2026 (Verified 100 Correct)

  • mentor2000

    mentor2000

  • ati

ATI PN Comprehensive Predictor Exam 2026 (Verified 100 Correct)...

10 USD

0

1

ATI Teas 6 Exam Study Guide 2026
View Document

ATI Teas 6 Exam Study Guide 2026

  • mentor2000

    mentor2000

  • ati

ATI Teas 6 Exam Study Guide 2026...

8 USD

0

1

ATI PN Comprehensive Exit Exam Latest Solutions Verified 2026
View Document

ATI PN Comprehensive Exit Exam Latest Solutions Verified 2026

  • mentor2000

    mentor2000

  • ati

Get the latest ATI PN Comprehensive Exit Exam solutions, verified for 2024. Accurate answers to help you pass with confi...

20 USD

0

1

ATI Nursing Care Of Children Proctored Exam Latest 2026
View Document

ATI Nursing Care Of Children Proctored Exam Latest 2026

  • mentor2000

    mentor2000

  • ati

Get the latest ATI Nursing Care of Children Proctored Exam with verified 2025 solutions. Accurate answers to help you su...

16 USD

0

1

ATI Maternal Newborn Proctored Exam (2026) Download to get A
View Document

ATI Maternal Newborn Proctored Exam (2026) Download to get A

  • mentor2000

    mentor2000

  • ati

ATI Maternal Newborn Proctored Exam (2026) Download to get A...

15 USD

0

2

ATI Leadership Proctored Exam questions and answers latest test solution 2024
View Document

ATI Leadership Proctored Exam questions and answers latest test solution 2024

  • mentor2000

    mentor2000

  • ati

Access the latest ATI Leadership Proctored Exam questions and answers with verified 2024 solutions. Study with confidenc...

15 USD

0

1

ATI Fundamentals Proctored Exam 2026 (Rationalized Graded A)
View Document

ATI Fundamentals Proctored Exam 2026 (Rationalized Graded A)

  • mentor2000

    mentor2000

  • ati

ATI Fundamentals Proctored Exam 2026 (Rationalized Graded A)...

15 USD

0

1

ATI PN Comprehensive Predictor Exam 2026
View Document

ATI PN Comprehensive Predictor Exam 2026

  • mentor2000

    mentor2000

  • ati

Prepare effectively with the ATI PN Comprehensive Predictor Exam 2025. Access essential practice questions to gauge and ...

15 USD

0

1

ATI Comprehensive Predictor Exam 2026
View Document

ATI Comprehensive Predictor Exam 2026

  • mentor2000

    mentor2000

  • ati

Prepare for success with the ATI Comprehensive Predictor Exam 2026. Access key practice questions to forecast your exam ...

16 USD

0

3

Test Bank for Success in Practical Vocational Nursing 8th Edition by Knecht
View Document

Test Bank for Success in Practical Vocational Nursing 8th Edition by Knecht

  • Angelicer

    Angelicer

  • test bank

Enhance your study with the Test Bank for Success in Practical Vocational Nursing 8th Edition by Knecht. This comprehens...

16 USD

0

3

IMPORTANT LINKS

  • How To Upload Class Notes
  • Selling Tips
  • Passing Grades's Study Materials
  • Scholarships for International Students 2025

POPULAR CATEGORIES

  • Law
  • Accounting
  • English
  • Psychology
  • Business
  • Nursing
  • Computer Science
  • General

View Document

  • Blog
  • Contact
  • Delivery Policy
  • Latest Scholarships Around the World
  • How to Pass Bar Exams: Passing Grades’ Strategies
  • How to Study and Pass the CPA Exam
  • All Test Banks
  • Faq
  • Copyright Claims
  • Privacy Policy
  • Terms of Use

KNOWLEDGE BASE

  • How to Write A+ Grade Good Research Paper
  • How to Manage Stress During Exam Period
  • Best Time to Study
  • How to Pass NCLEX-RN Exam
  • How To Effectively Utilize Test Banks
  • Popular Shadow Health Exam Assessments
  • Popular HESI Case Studies
  • How to Prepare for a Nursing Career
  • The Importance Of Summaries in Exam Revisvion

© 2026 Pasing Grades. All rights reserved.