Pasing Grades
  • Start Selling
  • Blog
  • Contact
  • 0

    Your cart is empty!

English

  • English
  • Spanish
  • Arabic
Create Account Sign In
  • Library
    • New Prep Guides
    • Featured Prep Guides
    • Free Exam Prep Guides
    • Best sellers
  • General
  • Nursing
    • Research Paper
    • Case Study
    • Discussion Post
    • Assignment
    • Exam
    • Practice Questions and Answers
    • Test Bank
    • solutions manual
    • study guide
  • Accounting
    • Case Study
    • Thesis
    • Study Guide
    • Summary
    • Research Paper
    • test bank
  • English
    • Creative Writing
    • Research Paper
    • Summary
    • Rhetorics
    • Literature
    • Journal
    • Exam
    • Grammar
    • Discussion Post
    • Essay
  • Psychology
    • Hesi
    • Presentation
    • Essay
    • Summary
    • Study Guide
    • Essay
    • Solution Manual
    • Final Exam Review
    • Class Notes
    • test bank
  • Business
    • Lecture Notes
    • Solution Manual
    • Presentation
    • Business Plan
    • Class Notes
    • Experiment
    • Summary
    • Practice Questions
    • Study Guide
    • Case Study
    • test bank
    • Exam
  • More
    • Computer Science
    • Economics
    • Statistics
    • Engineering
    • Biology
    • Religious Studies
    • Physics
    • Chemistry
    • Mathematics
    • History
    • Sociology
    • Science
    • Philosophy
    • Law
  • Pages
    • About Us
    • Selling Tips
    • Delivery Policy
    • Faq
    • Privacy Policy
  • Flash Sale
  • Home
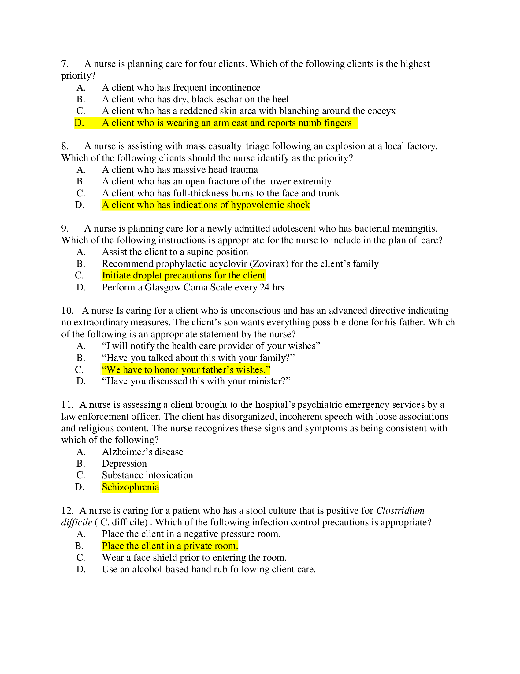
  • ATI RN COMPREHENSIVE PREDICTOR 2023-2026 FORM B ALL 180 ACTUAL QUESTIONS WITH CORRECT ANSWERS (ACTUAL EXAM) | ALREADY GRADED A+

ATI RN COMPREHENSIVE PREDICTOR 2023-2026 FORM B ALL 180 ACTUAL QUESTIONS WITH CORRECT ANSWERS (ACTUAL EXAM) | ALREADY GRADED A+

Preview page 1 Preview page 2 Preview page 3
Add To Favorites

Share this item Share this item

  • Item Details
  • Comments (0)
  • Reviews (0)
  • Contact Seller

ATI RN COMPREHENSIVE PREDICTOR 2023-2024 FORM B ALL 180 ACTUAL QUESTIONS WITH CORRECT ANSWERS (ACTUAL EXAM) | ALREADY GRADED A+

Contact the Seller

Please Sign In to contact this seller.


  • 👎  Report Copyright Violation

Frequently Asked Questions

What Do I Get When I Buy This Study Material?

+

When you buy a study material on Passing Grades, an instant download link will be sent directly to your email, giving you access to the file anytime after payment is completed.

Is Passing Grades a Trusted Platform?

+

Yes, Passing Grades is a reputable students’ marketplace with a secure payment system and reliable customer support. You can trust us to ensure a safe and seamless transaction experience.

Will I Be Stuck with a Subscription?

+

No, all purchases on Passing Grades are one-time transactions. You only pay for the notes you choose to buy, with no subscriptions or hidden fees attached.

Who Am I Buying These Study Materials From?

+

Passing Grades is a marketplace, which means you are purchasing the document from an individual vendor, not directly from us. We facilitate the payment and delivery process between you and the vendor.

Does Passing Grades Offer Free Study Materials?

+

Yes, sellers on Passing Grades have uploaded numerous free test banks, exams, practice questions, and class notes that can be downloaded at no cost.

Pasinggrades - Quality Study Materials

USD 14

    • Quality checked by Pasing Grades
    • 100% satisfaction guarantee
    • Seller: wiseman
Buy PDF $14

Seller Information

wiseman

Member since December 2023

  • icon
View Profile
  • total sales

    0
  • Favourites

    0
  • Comments

    0
    ( 0 Ratings )

Item Information

  • Uploaded

    22 December 2023

  • Updated

    05 January 2026

  • Category

    Accounting

  • Item Type

    questions & answers

  • Tags

    ATI RN ATI RN COMPREHENSIVE PREDICTOR 2023 2024 FORM B ALL 180 ACTUAL QUESTIONS WITH CORRECT ANSWERS (ACTUAL EXAM) | ALREADY GRADED A+ 2025

Related Exam Prep Guides by wiseman

AAPC CPC FINAL AAPC CPC FINAL EXAM LATEST 2023- 2024 COMPLETE EXAM WITH ALL 100 REAL QUESTIONS  AND CORRECT ANSWERS (ACTUAL EXAM QUESTIONS  AND LATEST VERIFIED ANSWERS) A NEW UPDATED  VERSION LATEST 2023-2024 | GURANTEED PASS A+
View Document

AAPC CPC FINAL AAPC ...

  • wiseman

    wiseman

  • questions & answers

AAPC CPC FINAL AAPC CPC FINAL EXAM LATEST 2023- 2024 COMPLETE EXAM WITH ALL 100 REAL QUESTIONS AND ...

14 USD

0

0

ATI MENTAL HEALTH PROCTORED 2019A ACTUAL EXAM  REAL EXAM QUESTIONS AND CORRECT DETAILED  ANSWERS (CORRECT VERIFIED ANSWERS) A NEW UPDATED  VERSION LATEST 2023-2024 | GUARANTEED PASS A+   (ALL BRAND NEW)
View Document

ATI MENTAL HEALTH PR...

  • wiseman

    wiseman

  • questions & answers

ATI MENTAL HEALTH PROCTORED 2019A ACTUAL EXAM REAL EXAM QUESTIONS AND CORRECT DETAILED ANSWERS (CO...

14 USD

0

0

Well Care Mastery 2026 Test Questions With Correct Verified (Actual Exam Questions and Latest Verified Answers) Latest Version | Already Graded A+
View Document

Well Care Mastery 20...

  • wiseman

    wiseman

  • questions & answers

Well Care Mastery 2025 Test Questions With Correct Verified (Actual Exam Questions and Latest Verifi...

14 USD

0

0

Purchase

Download link will be sent to this email immediately after purchase.

IMPORTANT LINKS

  • How To Upload Class Notes
  • Selling Tips
  • Passing Grades's Study Materials
  • Scholarships for International Students 2026

POPULAR CATEGORIES

  • Law
  • Accounting
  • English
  • Psychology
  • Business
  • Nursing
  • Computer Science
  • General

View Document

  • Blog
  • Contact
  • Delivery Policy
  • Latest Scholarships Around the World
  • How to Pass Bar Exams: Passing Grades’ Strategies
  • How to Study and Pass the CPA Exam
  • All Test Banks
  • Faq
  • Copyright Claims
  • Privacy Policy
  • Terms of Use

KNOWLEDGE BASE

  • How to Write A+ Grade Good Research Paper
  • How to Manage Stress During Exam Period
  • Best Time to Study
  • How to Pass NCLEX-RN Exam
  • How To Effectively Utilize Test Banks
  • Popular Shadow Health Exam Assessments
  • Popular HESI Case Studies
  • How to Prepare for a Nursing Career
  • The Importance Of Summaries in Exam Revisvion

© 2026 Pasing Grades. All rights reserved.