Pasing Grades
  • Start Selling
  • Blog
  • Contact
  • 0

    Your cart is empty!

English

  • English
  • Spanish
  • Arabic
Create Account Sign In
  • Library
    • New Prep Guides
    • Featured Prep Guides
    • Free Exam Prep Guides
    • Best sellers
  • General
  • Nursing
    • Research Paper
    • Case Study
    • Discussion Post
    • Assignment
    • Exam
    • Practice Questions and Answers
    • Test Bank
    • solutions manual
    • study guide
  • Accounting
    • Case Study
    • Thesis
    • Study Guide
    • Summary
    • Research Paper
    • test bank
  • English
    • Creative Writing
    • Research Paper
    • Summary
    • Rhetorics
    • Literature
    • Journal
    • Exam
    • Grammar
    • Discussion Post
    • Essay
  • Psychology
    • Hesi
    • Presentation
    • Essay
    • Summary
    • Study Guide
    • Essay
    • Solution Manual
    • Final Exam Review
    • Class Notes
    • test bank
  • Business
    • Lecture Notes
    • Solution Manual
    • Presentation
    • Business Plan
    • Class Notes
    • Experiment
    • Summary
    • Practice Questions
    • Study Guide
    • Case Study
    • test bank
    • Exam
  • More
    • Computer Science
    • Economics
    • Statistics
    • Engineering
    • Biology
    • Religious Studies
    • Physics
    • Chemistry
    • Mathematics
    • History
    • Sociology
    • Science
    • Philosophy
    • Law
  • Pages
    • About Us
    • Selling Tips
    • Delivery Policy
    • Faq
    • Privacy Policy
  • Flash Sale
  • Home
  • AP Macroeconomics Final Exam Revision Material

AP Macroeconomics Final Exam Revision Material

Preview page 1 Preview page 2 Preview page 3
Add To Favorites

Share this item Share this item

  • Item Details
  • Comments (0)
  • Reviews (0)
  • Contact Seller

AP Macroeconomics Final Exam Revision Material

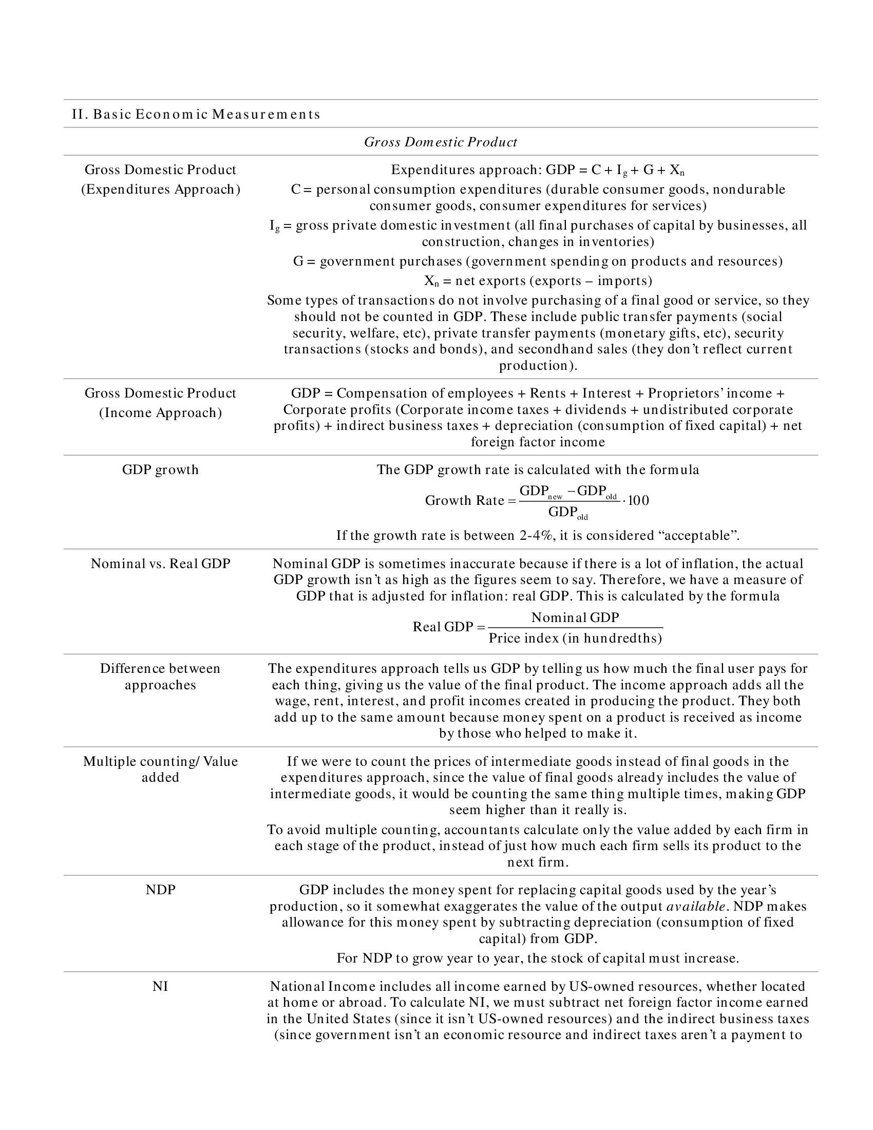
AP Macroeconomics I. Basic Economic Concepts Economic Goals 1. Economic growth – produce more and better goods and services 2. Full employment – suitable jobs for all citizens who are willing and able to work 3. Economic efficiency – achieve the maximum production using available resources 4. Price-level stability – avoid large fluctuations in the price level (inflation + deflation) 5. Economic freedom – businesses, workers, consumers have a high degree of freedom in economic activities 6. Equitable distribution of income – try to minimize gap between rich and poor 7. Economic security – provide for those who are not able to earn sufficient income 8. Balance of trade – try to seek a trade balance with the rest of the world Basic Economic Problem 1. Society’s material wants, that is, the material wants of its citizens and institutions, are virtually unlimited and insatiable. 2. Economic resources—the means of producing goods and services—are limited or scarce. Types of resources Land – all natural resources usable in the production process Capital – all manufactured aids to production (tools, machinery, equipment, and factory, storage, transportation, and distribution facilities used in producing goods and services Labor – physical and mental talents of individuals available and usable in producing goods and services Entrepreneurial ability – the entrepreneur 1) takes the initiative in combining the other resources to produce a good or service, 2) makes basic business-policy decisions, 3) is an innovator, and 4) is a risk bearer. Factors of production Several objectives must be satisfied to reach full production: 1) Full employment – use all available resources 2) Full production – use resources efficiently (productive efficiency – production in least costly way, allocative efficiency – production of goods and services most wanted by society) Production Possibilities Curve The production possibilities curve represents the combinations of maximum output that can be reached in the economy. It is a frontier because it shows the limit of output. Anything under the curve is attainable, but involves inefficient use of resources. Anything outside the curve is unattainable with current resources. Usually, the curve is some type of consumer goods versus some type of capital goods. Each point on the curve represents a maximum output of the two goods. Different points on the curve mean different production combinations of the two goods. The curve bows outwards because of the Law of Increasing Opportunity Cost, which states that the amount of a good which has to be sacrificed for each additional unit of another good is more than was sacrificed for the previous unit. The rationale for this law is that some economic resources are not completely adaptable to alternative uses, so the resources will yield less of one product. Shifts in this curve can be caused by increases in resource supplies or advances in technology. Also, if an economy favors “future goods” (technology, etc), the curve will shift faster because of more economic growth. Determinants for Production One must compare marginal benefits and marginal costs to determine the best or optimal output mix on the Production Possibilities Curve. II. Basic Economic Measurements Gross Domestic Product Gross Domestic Product (Expenditures Approach) Expenditures approach: GDP = C + Ig + G + Xn C = personal consumption expenditures (durable consumer goods, nondurable consumer goods, consumer expenditures for services) Ig = gross private domestic investment (all final purchases of capital by businesses, all construction, changes in inventories) G = government purchases (government spending on products and resources) Xn = net exports (exports – imports) Some types of transactions do not involve purchasing of a final good or service, so they should not be counted in GDP. These include public transfer payments (social security, welfare, etc), private transfer payments (monetary gifts, etc), security transactions (stocks and bonds), and secondhand sales (they don’t reflect current production). Gross Domestic Product (Income Approach) GDP = Compensation of employees + Rents + Interest + Proprietors’ income + Corporate profits (Corporate income taxes + dividends + undistributed corporate profits) + indirect business taxes + depreciation (consumption of fixed capital) + net foreign factor income GDP growth The GDP growth rate is calculated with the formula new old old GDP GDP Growth Rate 100 GDP − = ⋅ If the growth rate is between 2-4%, it is considered “acceptable”. Nominal vs. Real GDP Nominal GDP is sometimes inaccurate because if there is a lot of inflation, the actual GDP growth isn’t as high as the figures seem to say. Therefore, we have a measure of GDP that is adjusted for inflation: real GDP. This is calculated by the formula Nominal GDP Real GDP Price index (in hundredths) = Difference between approaches The expenditures approach tells us GDP by telling us how much the final user pays for each thing, giving us the value of the final product. The income approach adds all the wage, rent, interest, and profit incomes created in producing the product. They both add up to the same amount because money spent on a product is received as income by those who helped to make it. Multiple counting/Value added If we were to count the prices of intermediate goods instead of final goods in the expenditures approach, since the value of final goods already includes the value of intermediate goods, it would be counting the same thing multiple times, making GDP seem higher than it really is. To avoid multiple counting, accountants calculate only the value added by each firm in each stage of the product, instead of just how much each firm sells its product to the next firm. NDP GDP includes the money spent for replacing capital goods used by the year’s production, so it somewhat exaggerates the value of the output available. NDP makes allowance for this money spent by subtracting depreciation (consumption of fixed capital) from GDP. For NDP to grow year to year, the stock of capital must increase. NI National Income includes all income earned by US-owned resources, whether located at home or abroad. To calculate NI, we must subtract net foreign factor income earned in the United States (since it isn’t US-owned resources) and the indirect business taxes (since government isn’t an economic resource and indirect taxes aren’t a payment to resources). PI Personal Income includes all income received, whether earned or unearned. This is NI – social security contributions – corporate income taxes – undistributed corporate profits + transfer payments.

Contact the Seller

Please Sign In to contact this seller.


  • 👎  Report Copyright Violation

Frequently Asked Questions

What Do I Get When I Buy This Study Material?

+

When you buy a study material on Passing Grades, an instant download link will be sent directly to your email, giving you access to the file anytime after payment is completed.

Is Passing Grades a Trusted Platform?

+

Yes, Passing Grades is a reputable students’ marketplace with a secure payment system and reliable customer support. You can trust us to ensure a safe and seamless transaction experience.

Will I Be Stuck with a Subscription?

+

No, all purchases on Passing Grades are one-time transactions. You only pay for the notes you choose to buy, with no subscriptions or hidden fees attached.

Who Am I Buying These Study Materials From?

+

Passing Grades is a marketplace, which means you are purchasing the document from an individual vendor, not directly from us. We facilitate the payment and delivery process between you and the vendor.

Does Passing Grades Offer Free Study Materials?

+

Yes, sellers on Passing Grades have uploaded numerous free test banks, exams, practice questions, and class notes that can be downloaded at no cost.

Pasinggrades - Quality Study Materials

USD 8

    • Quality checked by Pasing Grades
    • 100% satisfaction guarantee
    • Seller: mentor2000
Buy PDF $8

Seller Information

mentor2000

Member since April 2021

  • icon
  • icon
View Profile
  • total sales

    0
  • Favourites

    0
  • Comments

    0
    ( 0 Ratings )

Item Information

  • Uploaded

    08 May 2024

  • Updated

    29 September 2025

  • Category

    General

  • Item Type

    exam

  • Tags

    AP Macroeconomics Final Exam Revision Material

Related Exam Prep Guides by mentor2000

Test Bank for Essentials for Nursing Practice 8th Edition by Potter | All Chapters
View Document

Test Bank for Essent...

  • mentor2000

    mentor2000

  • exam

Master nursing concepts with this study material; Test Bank for Essentials for Nursing Practice, 8th...

8 USD

0

0

A &P 1 MA278 BSC2 Final Module II Questions & Answers 2026 Update
View Document

A &P 1 MA278 BSC2 Fi...

  • mentor2000

    mentor2000

  • exam

Prepare for success with A&P 1 MA278 BSC2 Final Module II 2024 Q&A. Boost your grades with this comp...

8 USD

0

0

ATI Comprehensive Predictor Exam 2026
View Document

ATI Comprehensive Pr...

  • mentor2000

    mentor2000

  • exam

Prepare for success with the ATI Comprehensive Predictor Exam 2026. Access key practice questions to...

8 USD

0

0

Purchase

Download link will be sent to this email immediately after purchase.

IMPORTANT LINKS

  • How To Upload Class Notes
  • Selling Tips
  • Passing Grades's Study Materials
  • Scholarships for International Students 2026

POPULAR CATEGORIES

  • Law
  • Accounting
  • English
  • Psychology
  • Business
  • Nursing
  • Computer Science
  • General

View Document

  • Blog
  • Contact
  • Delivery Policy
  • Latest Scholarships Around the World
  • How to Pass Bar Exams: Passing Grades’ Strategies
  • How to Study and Pass the CPA Exam
  • All Test Banks
  • Faq
  • Copyright Claims
  • Privacy Policy
  • Terms of Use

KNOWLEDGE BASE

  • How to Write A+ Grade Good Research Paper
  • How to Manage Stress During Exam Period
  • Best Time to Study
  • How to Pass NCLEX-RN Exam
  • How To Effectively Utilize Test Banks
  • Popular Shadow Health Exam Assessments
  • Popular HESI Case Studies
  • How to Prepare for a Nursing Career
  • The Importance Of Summaries in Exam Revisvion

© 2026 Pasing Grades. All rights reserved.