Pasing Grades
  • Start Selling
  • Blog
  • Contact
  • 0

    Your cart is empty!

English

  • English
  • Spanish
  • Arabic
Create Account Sign In
  • Library
    • New Prep Guides
    • Featured Prep Guides
    • Free Exam Prep Guides
    • Best sellers
  • General
  • Nursing
    • Research Paper
    • Case Study
    • Discussion Post
    • Assignment
    • Exam
    • Practice Questions and Answers
    • Test Bank
    • solutions manual
    • study guide
  • Accounting
    • Case Study
    • Thesis
    • Study Guide
    • Summary
    • Research Paper
    • test bank
  • English
    • Creative Writing
    • Research Paper
    • Summary
    • Rhetorics
    • Literature
    • Journal
    • Exam
    • Grammar
    • Discussion Post
    • Essay
  • Psychology
    • Hesi
    • Presentation
    • Essay
    • Summary
    • Study Guide
    • Essay
    • Solution Manual
    • Final Exam Review
    • Class Notes
    • test bank
  • Business
    • Lecture Notes
    • Solution Manual
    • Presentation
    • Business Plan
    • Class Notes
    • Experiment
    • Summary
    • Practice Questions
    • Study Guide
    • Case Study
    • test bank
    • Exam
  • More
    • Computer Science
    • Economics
    • Statistics
    • Engineering
    • Biology
    • Religious Studies
    • Physics
    • Chemistry
    • Mathematics
    • History
    • Sociology
    • Science
    • Philosophy
    • Law
  • Pages
    • About Us
    • Selling Tips
    • Delivery Policy
    • Faq
    • Privacy Policy
  • Flash Sale
  • Home
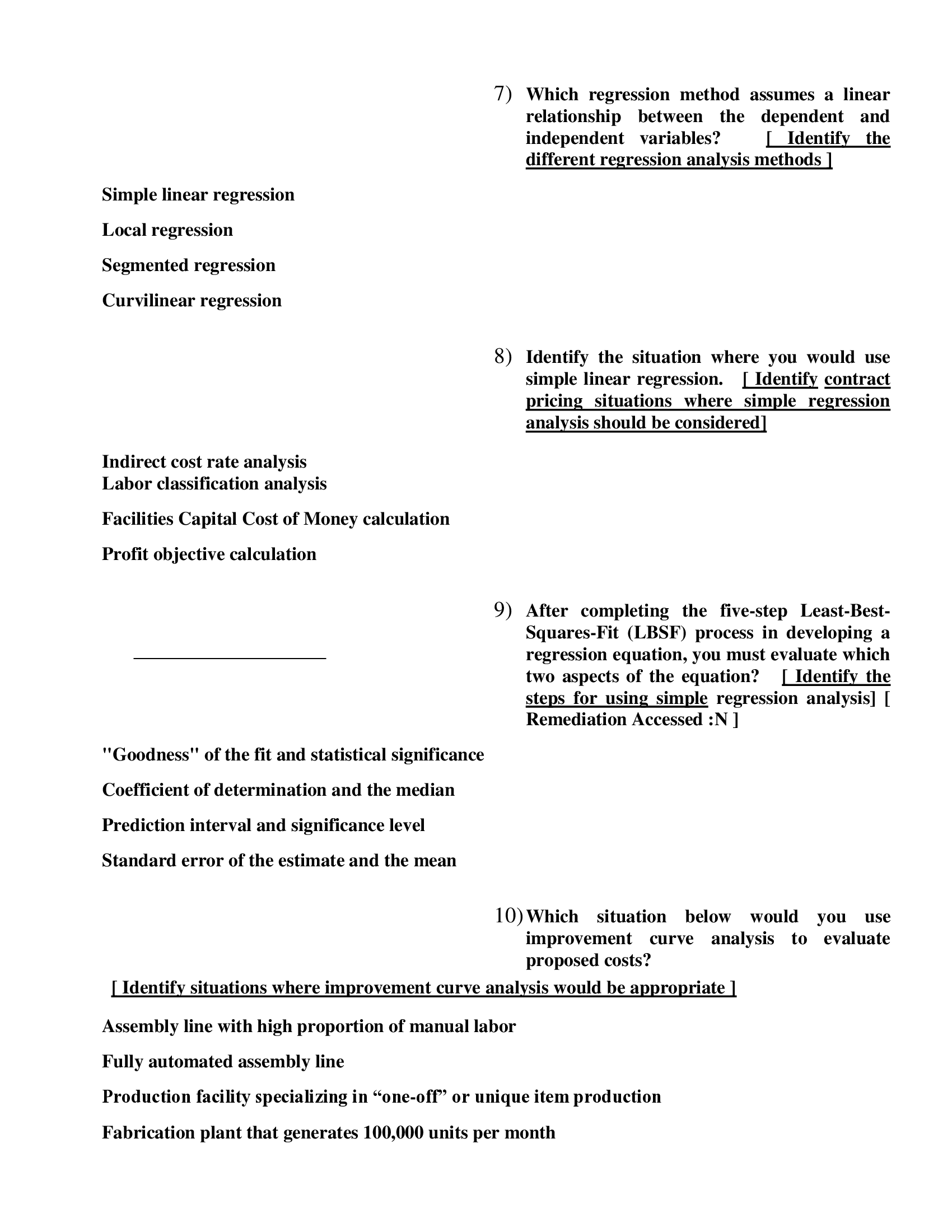
  • NEW!!! CLC 056| CLC 056 Defense Acquisition University CLC2023-2024 (7 sets for the final exams) Complete questions and answers.

NEW!!! CLC 056| CLC 056 Defense Acquisition University CLC2023-2024 (7 sets for the final exams) Complete questions and answers.

Preview page 1 Preview page 2 Preview page 3
Add To Favorites

Share this item Share this item

  • Item Details
  • Comments (0)
  • Reviews (0)
  • Contact Seller
NEW!!! CLC 056| CLC 056 Defense Acquisition University CLC2023-2024 (7 sets for the final exams) Complete questions and answers. NEW!!! CLC 056| CLC 056 Defense Acquisition University CLC2023-2024 (7 sets for the final exams) Complete questions and answers. NEW!!! CLC 056| CLC 056 Defense Acquisition University CLC2023-2024 (7 sets for the final exams) Complete questions and answers. NEW!!! CLC 056| CLC 056 Defense Acquisition University CLC2023-2024 (7 sets for the final exams) Complete questions and answers. NEW!!! CLC 056| CLC 056 Defense Acquisition University CLC2023-2024 (7 sets for the final exams) Complete questions and answers. NEW!!! CLC 056| CLC 056 Defense Acquisition University CLC2023-2024 (7 sets for the final exams) Complete questions and answers. NEW!!! CLC 056| CLC 056 Defense Acquisition University CLC2023-2024 (7 sets for the final exams) Complete questions and answers. NEW!!! CLC 056| CLC 056 Defense Acquisition University CLC2023-2024 (7 sets for the final exams) Complete questions and answers. NEW!!! CLC 056| CLC 056 Defense Acquisition University CLC2023-2024 (7 sets for the final exams) Complete questions and answers. NEW!!! CLC 056| CLC 056 Defense Acquisition University CLC2023-2024 (7 sets for the final exams) Complete questions and answers. NEW!!! CLC 056| CLC 056 Defense Acquisition University CLC2023-2024 (7 sets for the final exams) Complete questions and answers. NEW!!! CLC 056| CLC 056 Defense Acquisition University CLC2023-2024 (7 sets for the final exams) Complete questions and answers.

Contact the Seller

Please Sign In to contact this seller.


  • 👎  Report Copyright Violation

Frequently Asked Questions

What Do I Get When I Buy This Study Material?

+

When you buy a study material on Passing Grades, an instant download link will be sent directly to your email, giving you access to the file anytime after payment is completed.

Is Passing Grades a Trusted Platform?

+

Yes, Passing Grades is a reputable students’ marketplace with a secure payment system and reliable customer support. You can trust us to ensure a safe and seamless transaction experience.

Will I Be Stuck with a Subscription?

+

No, all purchases on Passing Grades are one-time transactions. You only pay for the notes you choose to buy, with no subscriptions or hidden fees attached.

Who Am I Buying These Study Materials From?

+

Passing Grades is a marketplace, which means you are purchasing the document from an individual vendor, not directly from us. We facilitate the payment and delivery process between you and the vendor.

Does Passing Grades Offer Free Study Materials?

+

Yes, sellers on Passing Grades have uploaded numerous free test banks, exams, practice questions, and class notes that can be downloaded at no cost.

Pasinggrades - Quality Study Materials

USD 22

    • Quality checked by Pasing Grades
    • 100% satisfaction guarantee
    • Seller: Alkseltzer
Buy PDF $22

Seller Information

Alkseltzer

Member since January 2024

  • icon
  • icon
View Profile
  • total sales

    0
  • Favourites

    0
  • Comments

    0
    ( 0 Ratings )

Item Information

  • Uploaded

    20 January 2024

  • Updated

    17 October 2025

  • Category

    No category

  • Item Type

    exam

  • Tags

    NEW!!! CLC 056| CLC 056 Defense Acquisition University CLC2023 2024 (7 sets for the final exams) Complete questions and answers. NEW!!! CLC 056| CLC 056 Defense Acquisition University CLC2023 2024 NEW!!! CLC 056| CLC 056 Defense Acquisition University NEW!!! CLC 056| CLC 056 CLC 056 NEW!!! CLC 056| CLC 056 Defense Acquisition University CLC2023 2024 (7 sets for the final exams) Complete questions and answers.

Related Exam Prep Guides by Alkseltzer

ATI MED-SURG FOR 2024 EXAM (REAL)
View Document

ATI MED-SURG FOR 202...

  • Alkseltzer

    Alkseltzer

  • exam

ATI MED-SURG FOR 2024 EXAM (REAL) – Download PDF...

22 USD

0

0

2023 ATI Nursing Care of Children Proctored Exam NGN  QUESTIONS AND ANSWERS
View Document

2023 ATI Nursing Car...

  • Alkseltzer

    Alkseltzer

  • exam

2023 ATI Nursing Care of Children Proctored Exam NGN QUESTIONS AND ANSWERS – Download PDF...

22 USD

0

0

2023 CLC 056 | CLC 056 Analyzing Contract  Costs Exam QUESTIONS AND ANSWERS  GRADED A+.
View Document

2023 CLC 056 | CLC 0...

  • Alkseltzer

    Alkseltzer

  • exam

2023 CLC 056 | CLC 056 Analyzing Contract Costs Exam QUESTIONS AND ANSWERS GRADED A+. – Download...

22 USD

0

0

Purchase

Download link will be sent to this email immediately after purchase.

IMPORTANT LINKS

  • How To Upload Class Notes
  • Selling Tips
  • Passing Grades's Study Materials
  • Scholarships for International Students 2026

POPULAR CATEGORIES

  • Law
  • Accounting
  • English
  • Psychology
  • Business
  • Nursing
  • Computer Science
  • General

View Document

  • Blog
  • Contact
  • Delivery Policy
  • Latest Scholarships Around the World
  • How to Pass Bar Exams: Passing Grades’ Strategies
  • How to Study and Pass the CPA Exam
  • All Test Banks
  • Faq
  • Copyright Claims
  • Privacy Policy
  • Terms of Use

KNOWLEDGE BASE

  • How to Write A+ Grade Good Research Paper
  • How to Manage Stress During Exam Period
  • Best Time to Study
  • How to Pass NCLEX-RN Exam
  • How To Effectively Utilize Test Banks
  • Popular Shadow Health Exam Assessments
  • Popular HESI Case Studies
  • How to Prepare for a Nursing Career
  • The Importance Of Summaries in Exam Revisvion

© 2026 Pasing Grades. All rights reserved.