Pasing Grades
  • Start Selling
  • Blog
  • Contact
  • 0

    Your cart is empty!

English

  • English
  • Spanish
  • Arabic
Create Account Sign In
  • Library
    • New Prep Guides
    • Featured Prep Guides
    • Free Exam Prep Guides
    • Best sellers
  • General
  • Nursing
    • Research Paper
    • Case Study
    • Discussion Post
    • Assignment
    • Exam
    • Practice Questions and Answers
    • Test Bank
    • solutions manual
    • study guide
  • Accounting
    • Case Study
    • Thesis
    • Study Guide
    • Summary
    • Research Paper
    • test bank
  • English
    • Creative Writing
    • Research Paper
    • Summary
    • Rhetorics
    • Literature
    • Journal
    • Exam
    • Grammar
    • Discussion Post
    • Essay
  • Psychology
    • Hesi
    • Presentation
    • Essay
    • Summary
    • Study Guide
    • Essay
    • Solution Manual
    • Final Exam Review
    • Class Notes
    • test bank
  • Business
    • Lecture Notes
    • Solution Manual
    • Presentation
    • Business Plan
    • Class Notes
    • Experiment
    • Summary
    • Practice Questions
    • Study Guide
    • Case Study
    • test bank
    • Exam
  • More
    • Computer Science
    • Economics
    • Statistics
    • Engineering
    • Biology
    • Religious Studies
    • Physics
    • Chemistry
    • Mathematics
    • History
    • Sociology
    • Science
    • Philosophy
    • Law
  • Pages
    • About Us
    • Selling Tips
    • Delivery Policy
    • Faq
    • Privacy Policy
  • Flash Sale
  • Home
  • Comprehensive Module 2 Final Exam Part 1 2026 Complete Exam Solution

Comprehensive Module 2 Final Exam Part 1 2026 Complete Exam Solution

Preview page 1 Preview page 2 Preview page 3
Add To Favorites

Share this item Share this item

  • Item Details
  • Comments (0)
  • Reviews (0)
  • Contact Seller

Comprehensive Module 2 Final Exam 

1.   Don is a single parent.  His son is 19 (not a student), and his daughter is 17 (still a student).  Don claimed EIC on his tax return for both children.  He later received a letter from the Internal Revenue Service which disallowed EIC for his son.  The letter also stated that Don’s claim was an error due to reckless or intentional disregard of the EIC rules.  For how many years will Don be denied EIC?

a)   10 years

b)   5 years

c)   2 years

d)   1 year

2.   Last year Rick fraudulently claimed his cousin’s children as dependents on his return to receive earned income credit.  The IRS discovered this when Rick’s cousin also claimed the children.  Rick’s cousin was able to prove he had the right to claim his children, and the EIC was denied on Rick’s return. How long will EIC be prohibited if a taxpayer is denied EIC due to fraud?

a)   10 years

b)   5 years

c)   2 years

d)   1 year

3.   Walt was a tax preparer who neglected to complete Form 8867 or record information needed for the return Rick fraudulently claimed the children for EIC purposes.   After the IRS proved Rick had committed fraud, it was shown that Walt failed to exercise due diligence.   What penalty will a tax preparer face if it is determined that he failed to exercise due diligence?

a)   $540 per return

b)   $540 per failure to comply

c)   $540 per year

d)   $540 per taxpayer and per return

4.   In which of the following scenarios does the taxpayer fail to meet the residency test for EIC purposes?

a)   A taxpayer whose child lived with him for 5 months and 28 days b)   A taxpayer whose eligible foster child lived with him all year

c)   A taxpayer whose child lived with him all year.  He and his spouse separated on May 29.

d)   A taxpayer who is 64 years old and lived in the United States for more than half of the year

5.   Trudy lives with her two children (ages 16 and 12), and her filing status is Head of Household. Trudy’s earned income and AGI was $31,000.  Is Trudy eligible for EIC?

a)   Yes

b)   No, the taxpayer’s earned income is not within the range to receive EIC.

c)   No, the taxpayer’s children do not meet the age test to be a qualifying child. d)   No, the taxpayer is not eligible due to her filing status.

6.   Jill prepares returns for many clients who can claim the earned income credit.  To be certain she is practicing due diligence about the earned income credit, which of the following forms must Jill prepare for these clients?

a)   Form 1040

b)   Form W-5

c)   Form 8862

d)   Form 8867

7.   Danika is a single mother with three children, ages 3, 7, and 9.  They all have a valid Social Security number.  Danika’s tax return shows an AGI of $32,765, which includes earned income of $32,700 and interest income of $65.  She meets the requirements for filing status Head of Household and supports her family without any additional help from other sources.  Which of the following statements is true?

a)   Danika’s EIC will be based on her earned income alone without considering her AGI.

b)   Danika’s EIC will be the smaller of the two EIC amounts based on her AGI or her earned income. c)   Danika’s EIC will be based on her AGI without considering the earned income amount.

d)   Danika is not eligible to receive EIC.

8.            Lucy had the following income in tax year 2020: Wages $25,900, interest income of $1,300 and strike benefits paid by the union of $1,700.  For purposes of EIC, how much is considered earned income?

 

a)

$27,200

b)

$25,900

c)

$27,600

d)

$30,200

 

9.   Which of the following correctly identifies a condition of eligibility for purposes of earned income credit?

a)   The taxpayer must have wages.

b)   The taxpayer’s qualifying children must be under 25 years old. c)   The taxpayer must have only earned income.

d)   The taxpayer is not required to have a qualifying child.

10.  Which of the following meets the age test for purposes of EIC?

a)   Michael’s son turned 19 years old on March 31st  of the tax year and is living with his parents.

Michael’s son does not have a job and does not plan to attend college.

b)   Natasha’s 30-year-old daughter is permanently and totally disabled. Natasha’s daughter lived with her all year.

c)   Jacob is 22 years old. His 23-year brother has lived with him since Jacob started living on his own two years ago. Jacob’s brother is a full-time student and works odd jobs to help with his support.

d)   Stuart’s son is 23 years old and lived with him all year. His son was a full-time student and attends an online school.

11.  Which of the following situations meets the residency test requirements?

a)   Alex is 16 years old and lived with his parents until May. In May he was sent to a juvenile detention facility where he stayed through the remainder of the year.

b)   Sterling is 18 years old, a full-time student and lived with her grandmother until June 10th, when she rented an apartment and moved out on her own.

c)   Orlando is 17 years old and lived with his mother until June 28th, when he went to live with his father until December 1st. Orlando then moved in with a friend.

d)   Melissa is 18 years old and a full-time student. Melissa lived with her grandmother until May. She then moved in with her aunt and lived there until August, when she left and moved in with her father for the remainder of the year.

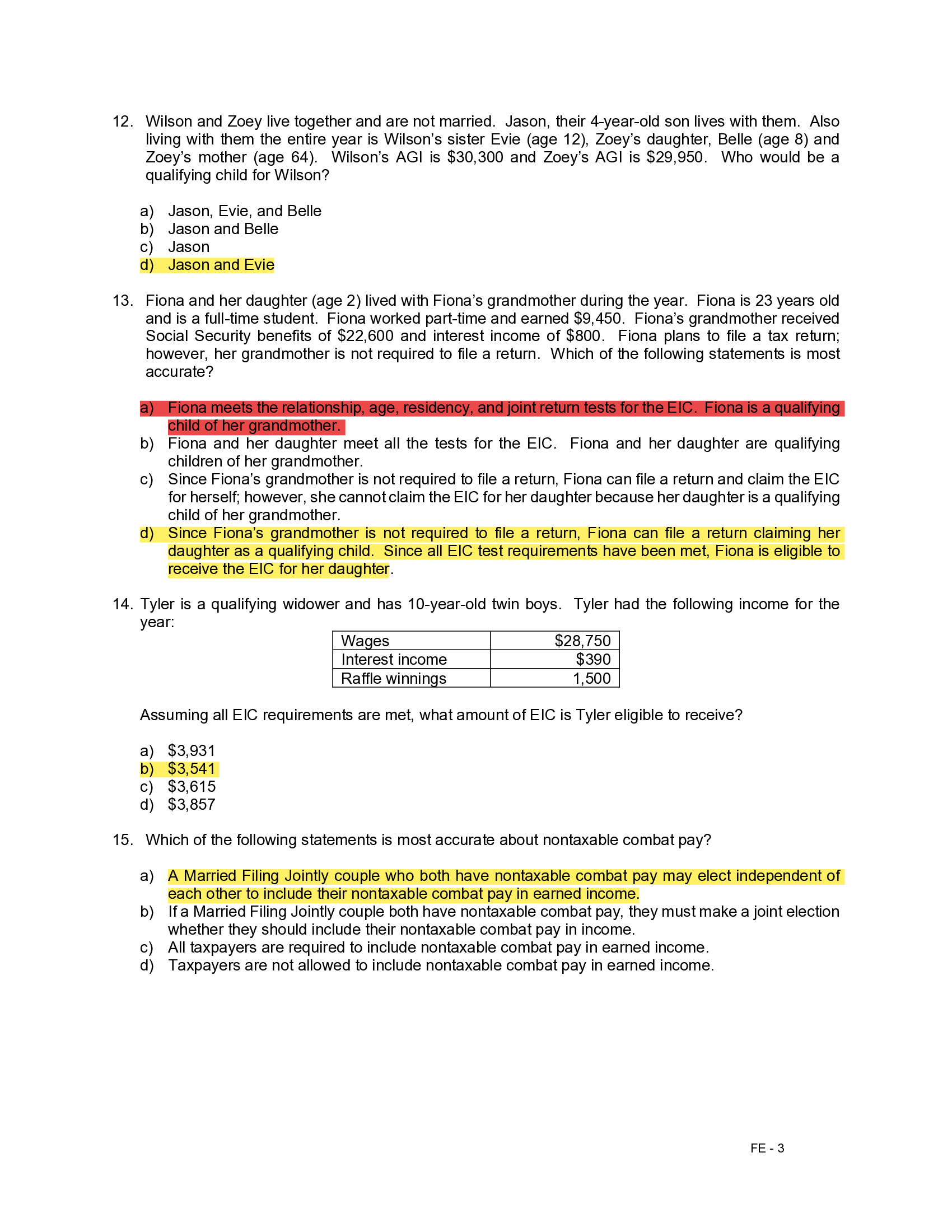
12.  Wilson and Zoey live together and are not married.  Jason, their 4-year-old son lives with them.  Also living with them the entire year is Wilson’s sister Evie (age 12), Zoey’s daughter, Belle (age 8) and Zoey’s mother (age 64).   Wilson’s AGI is $30,300 and Zoey’s AGI is $29,950.   Who would be a qualifying child for Wilson?

a)   Jason, Evie, and Belle

b)   Jason and Belle

c)   Jason

d)   Jason and Evie

13.  Fiona and her daughter (age 2) lived with Fiona’s grandmother during the year. Fiona is 23 years old and is a full-time student.  Fiona worked part-time and earned $9,450. Fiona’s grandmother received Social Security benefits of $22,600 and interest income of $800.  Fiona plans to file a tax return; however, her grandmother is not required to file a return.  Which of the following statements is most accurate?

 

a)   Fiona meets the relationship, age, residency, and joint return tests for the EIC. Fiona is a qualifying child of her grandmother.

b)   Fiona and her daughter meet all the tests for the EIC.   Fiona and her daughter are qualifying children of her grandmother.

c)   Since Fiona’s grandmother is not required to file a return, Fiona can file a return and claim the EIC

for herself; however, she cannot claim the EIC for her daughter because her daughter is a qualifying child of her grandmother.

d)   Since Fiona’s grandmother is not required to file a return, Fiona can file a return claiming her daughter as a qualifying child.  Since all EIC test requirements have been met, Fiona is eligible to receive the EIC for her daughter.

14. Tyler is a qualifying widower and has 10-year-old twin boys.  Tyler had the following income for the year:

Wages

$28,750

Interest income

$390

Raffle winnings

1,500

Assuming all EIC requirements are met, what amount of EIC is Tyler eligible to receive?

a)

$3,931

b)

$3,541

c)

$3,615

d)

$3,857

15.  Which of the following statements is most accurate about nontaxable combat pay?

a)   A Married Filing Jointly couple who both have nontaxable combat pay may elect independent of each other to include their nontaxable combat pay in earned income.

b)   If a Married Filing Jointly couple both have nontaxable combat pay, they must make a joint election whether they should include their nontaxable combat pay in income.

c)   All taxpayers are required to include nontaxable combat pay in earned income. d)   Taxpayers are not allowed to include nontaxable combat pay in earned income.

 

Contact the Seller

Please Sign In to contact this seller.


  • 👎  Report Copyright Violation

Frequently Asked Questions

What Do I Get When I Buy This Study Material?

+

When you buy a study material on Passing Grades, an instant download link will be sent directly to your email, giving you access to the file anytime after payment is completed.

Is Passing Grades a Trusted Platform?

+

Yes, Passing Grades is a reputable students’ marketplace with a secure payment system and reliable customer support. You can trust us to ensure a safe and seamless transaction experience.

Will I Be Stuck with a Subscription?

+

No, all purchases on Passing Grades are one-time transactions. You only pay for the notes you choose to buy, with no subscriptions or hidden fees attached.

Who Am I Buying These Study Materials From?

+

Passing Grades is a marketplace, which means you are purchasing the document from an individual vendor, not directly from us. We facilitate the payment and delivery process between you and the vendor.

Does Passing Grades Offer Free Study Materials?

+

Yes, sellers on Passing Grades have uploaded numerous free test banks, exams, practice questions, and class notes that can be downloaded at no cost.

Pasinggrades - Quality Study Materials

USD 9

    • Quality checked by Pasing Grades
    • 100% satisfaction guarantee
    • Seller: studypal
Buy PDF $9

Seller Information

studypal

Member since December 2021

  • icon
  • icon
View Profile
  • total sales

    3
  • Favourites

    0
  • Comments

    0
    ( 0 Ratings )

Item Information

  • Uploaded

    24 December 2023

  • Updated

    05 January 2026

  • Category

    Accounting

  • Item Type

    questions & answers

  • Tags

    Accounting Comprehensive Module 2 Final Exam Part 1

Related Exam Prep Guides by studypal

Gizmos - Student Exploration: DNA Profiling Answer key.
View Document

Gizmos - Student Exp...

  • studypal

    studypal

  • questions & answers

Find comprehensive answers with the Gizmos Student Exploration: DNA Profiling Answer Key. Perfect fo...

9 USD

0

3

BIOD 152 Module 1 Exam- Portage Learning
View Document

BIOD 152 Module 1 Ex...

  • studypal

    studypal

  • questions & answers

BIOD 152 Module 1 Exam- Portage Learning...

9 USD

0

3

Primary Professional Military Education (Enlisted) Block 1 to 7, PPME Block 1-7 TEST BANK
View Document

Primary Professional...

  • studypal

    studypal

  • questions & answers

Primary Professional Military Education (Enlisted) Block 1 to 7, PPME Block 1-7 TEST BANK...

9 USD

0

3

Purchase

Download link will be sent to this email immediately after purchase.

IMPORTANT LINKS

  • How To Upload Class Notes
  • Selling Tips
  • Passing Grades's Study Materials
  • Scholarships for International Students 2026

POPULAR CATEGORIES

  • Law
  • Accounting
  • English
  • Psychology
  • Business
  • Nursing
  • Computer Science
  • General

View Document

  • Blog
  • Contact
  • Delivery Policy
  • Latest Scholarships Around the World
  • How to Pass Bar Exams: Passing Grades’ Strategies
  • How to Study and Pass the CPA Exam
  • All Test Banks
  • Faq
  • Copyright Claims
  • Privacy Policy
  • Terms of Use

KNOWLEDGE BASE

  • How to Write A+ Grade Good Research Paper
  • How to Manage Stress During Exam Period
  • Best Time to Study
  • How to Pass NCLEX-RN Exam
  • How To Effectively Utilize Test Banks
  • Popular Shadow Health Exam Assessments
  • Popular HESI Case Studies
  • How to Prepare for a Nursing Career
  • The Importance Of Summaries in Exam Revisvion

© 2026 Pasing Grades. All rights reserved.