Pasing Grades
  • Start Selling
  • Blog
  • Contact
  • 0

    Your cart is empty!

English

  • English
  • Spanish
  • Arabic
Create Account Sign In
  • Library
    • New Prep Guides
    • Featured Prep Guides
    • Free Exam Prep Guides
    • Best sellers
  • General
  • Nursing
    • Research Paper
    • Case Study
    • Discussion Post
    • Assignment
    • Exam
    • Practice Questions and Answers
    • Test Bank
    • solutions manual
    • study guide
  • Accounting
    • Case Study
    • Thesis
    • Study Guide
    • Summary
    • Research Paper
    • test bank
  • English
    • Creative Writing
    • Research Paper
    • Summary
    • Rhetorics
    • Literature
    • Journal
    • Exam
    • Grammar
    • Discussion Post
    • Essay
  • Psychology
    • Hesi
    • Presentation
    • Essay
    • Summary
    • Study Guide
    • Essay
    • Solution Manual
    • Final Exam Review
    • Class Notes
    • test bank
  • Business
    • Lecture Notes
    • Solution Manual
    • Presentation
    • Business Plan
    • Class Notes
    • Experiment
    • Summary
    • Practice Questions
    • Study Guide
    • Case Study
    • test bank
    • Exam
  • More
    • Computer Science
    • Economics
    • Statistics
    • Engineering
    • Biology
    • Religious Studies
    • Physics
    • Chemistry
    • Mathematics
    • History
    • Sociology
    • Science
    • Philosophy
    • Law
  • Pages
    • About Us
    • Selling Tips
    • Delivery Policy
    • Faq
    • Privacy Policy
  • Flash Sale
  • Home
  • CLG 001 DoD Governmentwide Commercial Purchase Card Overview Exam 100% Correct Answers

CLG 001 DoD Governmentwide Commercial Purchase Card Overview Exam 100% Correct Answers

Preview page 1 Preview page 2 Preview page 3
Add To Favorites

Share this item Share this item

  • Item Details
  • Comments (0)
  • Reviews (0)
  • Contact Seller
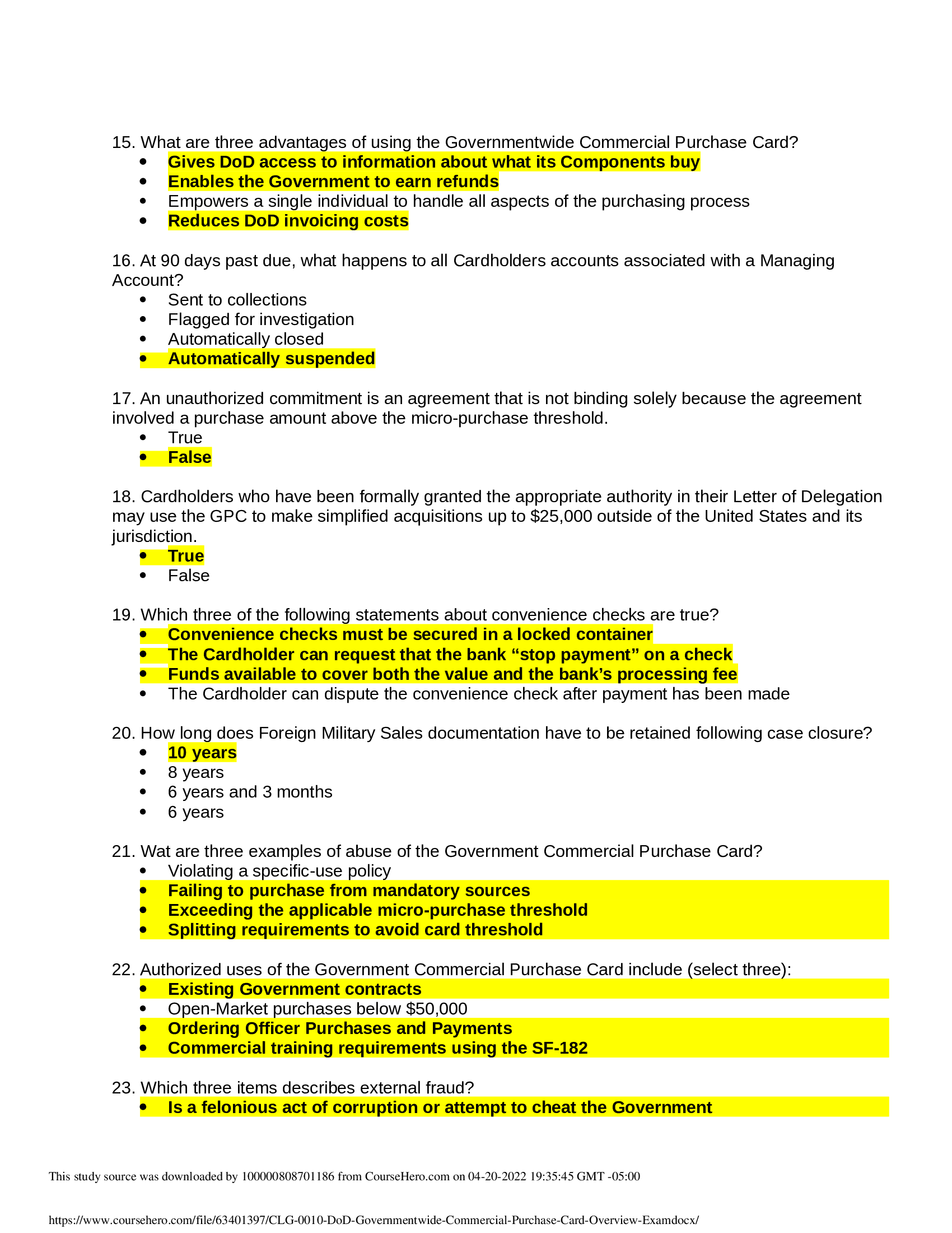
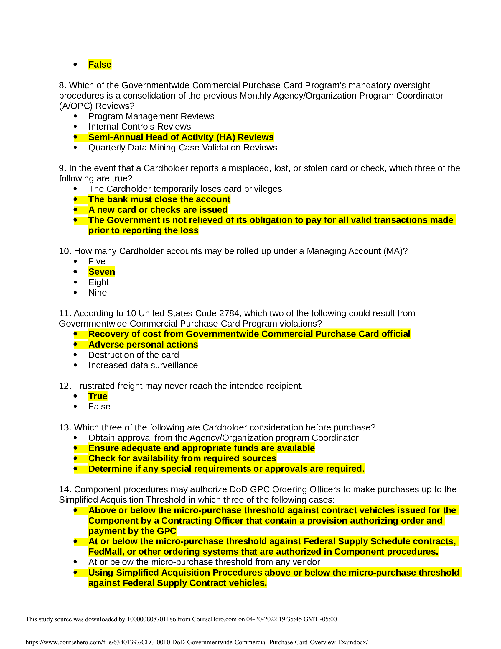
CLG 001 DoD Governmentwide Commercial Purchase Card Overview Exam 100% 1. The Government Commercial Purchase Card _________ used as the method of payment for commercial training request using the SF -182, valued at or below $25,000, in lieu of an employee reimbursement by miscellaneous payment. ď‚· Must not be ď‚· Must be ď‚· Is occasionally ď‚· None of these 2. Who is the individual for ensuring the existence, accuracy, and legality of information on an Managing Account Billing Statement. ď‚· Certifying Officer ď‚· Agency/Organization Program Coordinator ď‚· Resource Manager ď‚· Approving/Billing Official 3. You use your Governmentwide Commercial Purchase Card to purchase a case of envelopes from a merchant. When you get back to the office, you realize that the envelope size will not meet the requirement, so you return the item to the merchant. Which of the following are you authorized to accept? ď‚· Vouchers ď‚· Credit to your Cardholder account ď‚· In-store credit ď‚· Gift cards 4. Suspected ethics violations should be reported to: ď‚· The Supervisor ď‚· No one, since there is no requirement to report ethics violations ď‚· The card-issuing bank ď‚· The violating individual 5. A best practice calls for the Cardholder to reconcile transactions in the Statement of Account within how many days of the billing cycle end date? ď‚· 30 ď‚· 10 ď‚· 15 ď‚· 3 6. What is the artificial intelligence Data Mining platform that automatically analyzes DoD's Governmentwide Commercial Purchase Card data to identify high-risk transactions? ď‚· Insight on Demand (IOD) ď‚· Procurement Business Intelligence Service (PBIS) ď‚· Joint Appointment Module (JAM) ď‚· Access Online 7. The Secretary of Defense authorizes an increase in the micro-purchase threshold to $20,000 to support declared contingency operations in Afghanistan. Several personnel in your office have been needing new laptops, so this is a good time to take advantage of the increase and purchase 20 laptops at $500 each for a total price of $10,000. ď‚· True

Contact the Seller

Please Sign In to contact this seller.


  • 👎  Report Copyright Violation

Frequently Asked Questions

What Do I Get When I Buy This Study Material?

+

When you buy a study material on Passing Grades, an instant download link will be sent directly to your email, giving you access to the file anytime after payment is completed.

Is Passing Grades a Trusted Platform?

+

Yes, Passing Grades is a reputable students’ marketplace with a secure payment system and reliable customer support. You can trust us to ensure a safe and seamless transaction experience.

Will I Be Stuck with a Subscription?

+

No, all purchases on Passing Grades are one-time transactions. You only pay for the notes you choose to buy, with no subscriptions or hidden fees attached.

Who Am I Buying These Study Materials From?

+

Passing Grades is a marketplace, which means you are purchasing the document from an individual vendor, not directly from us. We facilitate the payment and delivery process between you and the vendor.

Does Passing Grades Offer Free Study Materials?

+

Yes, sellers on Passing Grades have uploaded numerous free test banks, exams, practice questions, and class notes that can be downloaded at no cost.

Pasinggrades - Quality Study Materials

USD 9

    • Quality checked by Pasing Grades
    • 100% satisfaction guarantee
    • Seller: studypal
Buy PDF $9

Seller Information

studypal

Member since December 2021

  • icon
  • icon
View Profile
  • total sales

    0
  • Favourites

    0
  • Comments

    0
    ( 0 Ratings )

Item Information

  • Uploaded

    20 April 2022

  • Updated

    01 October 2025

  • Category

    General

  • Item Type

    questions & answers

  • Tags

    CLG 001 DoD Governmentwide Commercial Purchase Card Overview Exam 100% Correct Answers

Related Exam Prep Guides by studypal

Gizmos - Student Exploration: DNA Profiling Answer key.
View Document

Gizmos - Student Exp...

  • studypal

    studypal

  • questions & answers

Find comprehensive answers with the Gizmos Student Exploration: DNA Profiling Answer Key. Perfect fo...

9 USD

0

0

BIOD 152 Module 1 Exam- Portage Learning
View Document

BIOD 152 Module 1 Ex...

  • studypal

    studypal

  • questions & answers

BIOD 152 Module 1 Exam- Portage Learning...

9 USD

0

0

Primary Professional Military Education (Enlisted) Block 1 to 7, PPME Block 1-7 TEST BANK
View Document

Primary Professional...

  • studypal

    studypal

  • questions & answers

Primary Professional Military Education (Enlisted) Block 1 to 7, PPME Block 1-7 TEST BANK...

9 USD

0

0

Purchase

Download link will be sent to this email immediately after purchase.

IMPORTANT LINKS

  • How To Upload Class Notes
  • Selling Tips
  • Passing Grades's Study Materials
  • Scholarships for International Students 2026

POPULAR CATEGORIES

  • Law
  • Accounting
  • English
  • Psychology
  • Business
  • Nursing
  • Computer Science
  • General

View Document

  • Blog
  • Contact
  • Delivery Policy
  • Latest Scholarships Around the World
  • How to Pass Bar Exams: Passing Grades’ Strategies
  • How to Study and Pass the CPA Exam
  • All Test Banks
  • Faq
  • Copyright Claims
  • Privacy Policy
  • Terms of Use

KNOWLEDGE BASE

  • How to Write A+ Grade Good Research Paper
  • How to Manage Stress During Exam Period
  • Best Time to Study
  • How to Pass NCLEX-RN Exam
  • How To Effectively Utilize Test Banks
  • Popular Shadow Health Exam Assessments
  • Popular HESI Case Studies
  • How to Prepare for a Nursing Career
  • The Importance Of Summaries in Exam Revisvion

© 2026 Pasing Grades. All rights reserved.