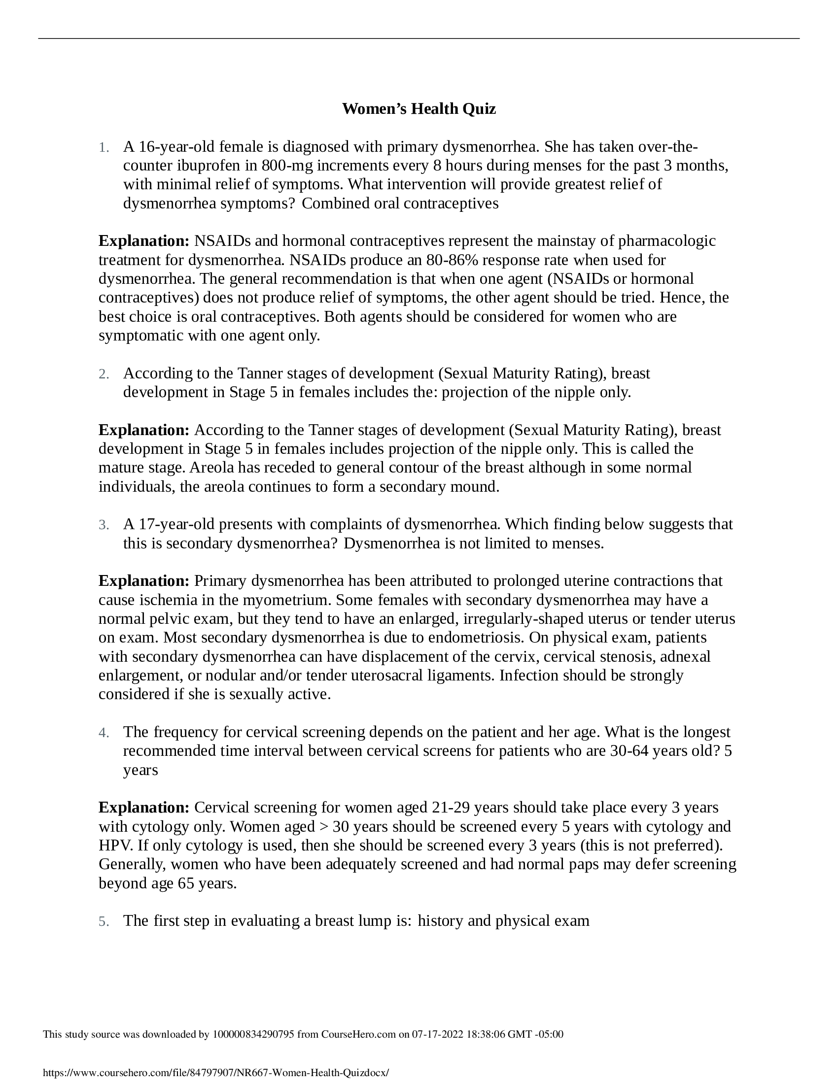
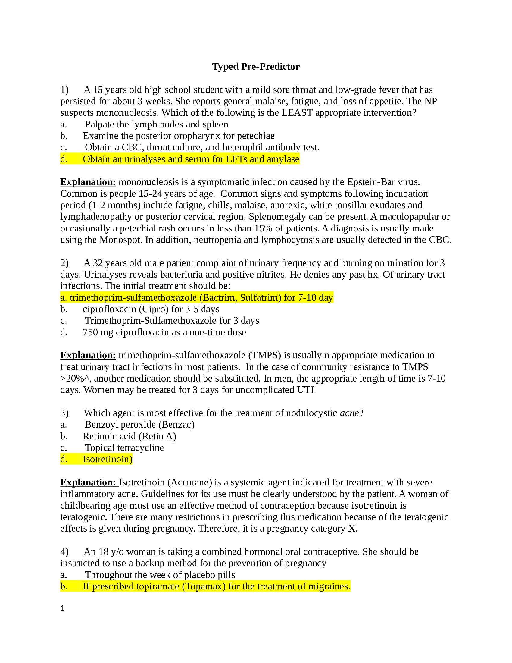
Pasing Grades
  • Start Selling
  • Blog
  • Contact
  • 0

    Your cart is empty!

English

  • English
  • Spanish
  • Arabic
Create Account Sign In
  • Library
    • New Prep Guides
    • Featured Prep Guides
    • Free Exam Prep Guides
    • Best sellers
  • General
  • Nursing
    • Research Paper
    • Case Study
    • Discussion Post
    • Assignment
    • Exam
    • Practice Questions and Answers
    • Test Bank
    • solutions manual
    • study guide
  • Accounting
    • Case Study
    • Thesis
    • Study Guide
    • Summary
    • Research Paper
    • test bank
  • English
    • Creative Writing
    • Research Paper
    • Summary
    • Rhetorics
    • Literature
    • Journal
    • Exam
    • Grammar
    • Discussion Post
    • Essay
  • Psychology
    • Hesi
    • Presentation
    • Essay
    • Summary
    • Study Guide
    • Essay
    • Solution Manual
    • Final Exam Review
    • Class Notes
    • test bank
  • Business
    • Lecture Notes
    • Solution Manual
    • Presentation
    • Business Plan
    • Class Notes
    • Experiment
    • Summary
    • Practice Questions
    • Study Guide
    • Case Study
    • test bank
    • Exam
  • More
    • Computer Science
    • Economics
    • Statistics
    • Engineering
    • Biology
    • Religious Studies
    • Physics
    • Chemistry
    • Mathematics
    • History
    • Sociology
    • Science
    • Philosophy
    • Law
  • Pages
    • About Us
    • Selling Tips
    • Delivery Policy
    • Faq
    • Privacy Policy
  • Flash Sale
  • Home
  • Tags

2022

ATI Medical-Surgical Nursing: Renal and Urinary System Exam Review Latest Update  20226/ 2027
View Document

ATI Medical-Surgical Nursing: Renal and Urinary System Exam Review Latest Update 20226/ 2027

  • Rosalyne

    Rosalyne

  • exam

ATI Medical-Surgical Nursing: Renal and Urinary System Exam Latest Update 20226/ 2027...

12 USD

0

0

ATI Medical-Surgical Nursing: Renal and Urinary System Exam Latest Update  20226/ 2027
View Document

ATI Medical-Surgical Nursing: Renal and Urinary System Exam Latest Update 20226/ 2027

  • Rosalyne

    Rosalyne

  • exam

ATI Medical-Surgical Nursing: Renal and Urinary System Exam Latest Update 20226/ 2027...

12 USD

0

0

SOCIOLOGY 1101 - CGTC 2022 2026 UPDATE WITH CORRECT SOLUTIONS!!
View Document

SOCIOLOGY 1101 - CGTC 2022 2026 UPDATE WITH CORRECT SOLUTIONS!!

  • brook

    brook

  • exam

SOCIOLOGY 1101 - CGTC 2022 2025 UPDATE WITH CORRECT SOLUTIONS!!...

20 USD

0

0

HESI PHARMACOLOGY VERSION 1 (V1)  EXIT EXAM 2022- C  LEAR SCREENSHOT FOR  ALL QUESTIONS  LATEST AND COMPLETE UPDATE WITH  100% CERTIFIED SOLUTIONS TOP SCORE  2026-2026 ||ASSURED PASS!!!
View Document

HESI PHARMACOLOGY VERSION 1 (V1) EXIT EXAM 2022- C LEAR SCREENSHOT FOR ALL QUESTIONS LATEST AND COMPLETE UPDATE WITH 100% CERTIFIED SOLUTIONS TOP SCORE 2026-2026 ||ASSURED PASS!!!

  • ALLGENIUS

    ALLGENIUS

  • hesi

HESI PHARMACOLOGY VERSION 1 (V1) EXIT EXAM 2022- C LEAR SCREENSHOT FOR ALL QUESTIONS LATEST AND COMPLETE UPDATE ...

18 USD

0

0

Test Bank for Hill’s Taxation of Individuals and Business Entities 2022 Edition 13th Edition Spilker
View Document

Test Bank for Hill’s Taxation of Individuals and Business Entities 2022 Edition 13th Edition Spilker

  • mentor2000

    mentor2000

  • test bank

Test Bank for Hill’s Taxation of Individuals and Business Entities 2022 Edition 13th Edition Spilker...

14 USD

0

0

NRNP 6645 Final Exam (Latest, 100 Q & A)NRNP 6645N Final Exam | NRNP6645 Final Exam | NRNP-6645N Final Exam: Walden University | 100% Verified Q & A
View Document

NRNP 6645 Final Exam (Latest, 100 Q & A)NRNP 6645N Final Exam | NRNP6645 Final Exam | NRNP-6645N Final Exam: Walden University | 100% Verified Q & A

  • studypal

    studypal

  • questions & answers

NRNP 6645 Final Exam (Latest-2022/2023, 100 Q & A) / NRNP 6645N Final Exam / NRNP6645 Final Exam / NRNP-6645N Final Exam...

15 USD

0

0

TNCC final exam test 2022 open book Questions and Answers
View Document

TNCC final exam test 2022 open book Questions and Answers

  • tutor_gesco

    tutor_gesco

  • study guide

TNCC final exam test 2022 open book Questions and Answers...

6 USD

0

0

Cardiology Fisdap Exam Questions and Answers Study Guide
View Document

Cardiology Fisdap Exam Questions and Answers Study Guide

  • Daniel-Onyapidi

    Daniel-Onyapidi

  • test bank

Prepare for the Cardiology Fisdap Exam with our study guide. Access detailed questions and answers, covering key concept...

7 USD

0

0

(C228) ATI-Community Health Nursing Book Questions
View Document

(C228) ATI-Community Health Nursing Book Questions

  • Daniel-Onyapidi

    Daniel-Onyapidi

  • test bank

Prepare for the ATI Community Health Nursing exam with our comprehensive book of questions. Updated for 2024, it include...

9 USD

0

0

Test Bank - Psychiatric Nursing Contemporary Practice, 7th Edition (Ann Boyd), Chapter 1-43
View Document

Test Bank - Psychiatric Nursing Contemporary Practice, 7th Edition (Ann Boyd), Chapter 1-43

  • Kaponga

    Kaponga

  • test bank

Get the Test Bank for Psychiatric Nursing 7th Ed. by Boyd & Luebbert 2022. Includes all chapters, detailed answers, and ...

16 USD

0

0

NR 599 NURSING INFORMATICS FINAL EXAM 2022/2023.
View Document

NR 599 NURSING INFORMATICS FINAL EXAM 2022/2023.

  • studypal

    studypal

  • questions & answers

NR 599 NURSING INFORMATICS FINAL EXAM 2022/2023. – Download PDF...

14 USD

0

0

SSI Open Water Diver Final Exam 2022 Graded A+(Actual  test 100% verified)
View Document

SSI Open Water Diver Final Exam 2022 Graded A+(Actual test 100% verified)

  • TITUS

    TITUS

  • questions & answers

SSI Open Water Diver Final Exam 2022 Graded A+(Actual test 100% verified)...

20 USD

0

0

SSI Open Water Diver Final Exam 2022 Graded A+(Actual  test 100% verified)
View Document

SSI Open Water Diver Final Exam 2022 Graded A+(Actual test 100% verified)

  • TITUS

    TITUS

  • questions & answers

SSI Open Water Diver Final Exam 2022 Graded A+(Actual test 100% verified)...

20 USD

0

0

ATI NURSING CARE OF CHILDREN PROCTORED EXAM LATEST 2022-2024  /  NURSING CARE OF  CHILDREN ATI PROCTORED 300+ EXAMQUESTIONS AND CORRECT ANSWERS | VERIFIED ANSWERS  *1. A nurse is assessing a school-age child who has heart failure and is taking furosemide. Which of the following findings should the nurse identify as an indication that the medication is effective?
View Document

ATI NURSING CARE OF CHILDREN PROCTORED EXAM LATEST 2022-2024 / NURSING CARE OF CHILDREN ATI PROCTORED 300+ EXAMQUESTIONS AND CORRECT ANSWERS | VERIFIED ANSWERS *1. A nurse is assessing a school-age child who has heart failure and is taking furosemide. Which of the following findings should the nurse identify as an indication that the medication is effective?

  • DRDMG

    DRDMG

  • ati medical surgical

ATI NURSING CARE OF CHILDREN PROCTORED EXAM LATEST 2022-2024 / NURSING CARE OF CHILDREN ATI PROCTORED 300+ EXAMQUESTI...

48 USD

0

0

BIO 256 (BIO256) EXAMS; ATI ANATOMY & PHYSIOLOGY LATEST UPDATE  2022-2024  ALL 150 QUESTIONS AND CORRECT ANSWERS | CHAMBERLAIN COLLEGE OF NURSING  A+ blood is characterized by the absence of
View Document

BIO 256 (BIO256) EXAMS; ATI ANATOMY & PHYSIOLOGY LATEST UPDATE 2022-2024 ALL 150 QUESTIONS AND CORRECT ANSWERS | CHAMBERLAIN COLLEGE OF NURSING A+ blood is characterized by the absence of

  • DRDMG

    DRDMG

  • ati

BIO 256 (BIO256) EXAMS; ATI ANATOMY & PHYSIOLOGY LATEST UPDATE 2022-2024 ALL 150 QUESTIONS AND CORRECT ANSWERS | CHAMB...

32 USD

0

0

COMMUNITY HEALTH EXIT HESI UPDATED 2022, 2023 & COMMUNITY PROCTORED EXAM QUESTIONS AND ANSWERS (100% CORRECT ANSWERS TWO  DIFFERENT VERSIONS )ALREADY GRADED A+
View Document

COMMUNITY HEALTH EXIT HESI UPDATED 2022, 2023 & COMMUNITY PROCTORED EXAM QUESTIONS AND ANSWERS (100% CORRECT ANSWERS TWO DIFFERENT VERSIONS )ALREADY GRADED A+

  • DRDMG

    DRDMG

  • study guide

COMMUNITY HEALTH EXIT HESI UPDATED 2022, 2023 & COMMUNITY PROCTORED EXAM QUESTIONS AND ANSWERS (100% CORRECT ANSWERS TWO...

34 USD

0

0

CNA WRITTEN EXAM (PROMETRIC PRACTICE TEST) LATEST 2022-2023 EXAM WITH  300+ QUESTIONS  AND ANSWERS  (VERIFIED ANSWERS)
View Document

CNA WRITTEN EXAM (PROMETRIC PRACTICE TEST) LATEST 2022-2023 EXAM WITH 300+ QUESTIONS AND ANSWERS (VERIFIED ANSWERS)

  • DRDMG

    DRDMG

  • study guide

CNA WRITTEN EXAM (PROMETRIC PRACTICE TEST) LATEST 2022-2023 EXAM WITH 300+ QUESTIONS AND ANSWERS (VERIFIED ANSWERS)...

28 USD

0

0

CMS PHARMACOLOGY PROCTORED (250 QS & ANS )EXAM 2022-2023  QUESTIONS AND CORRECT ANSWERS (100% COMPLETE)AGRADE
View Document

CMS PHARMACOLOGY PROCTORED (250 QS & ANS )EXAM 2022-2023 QUESTIONS AND CORRECT ANSWERS (100% COMPLETE)AGRADE

  • DRDMG

    DRDMG

  • study guide

CMS PHARMACOLOGY PROCTORED (250 QS & ANS )EXAM 2022-2023 QUESTIONS AND CORRECT ANSWERS (100% COMPLETE)AGRADE...

32 USD

0

0

CMS FUNDAMENTALS  PROCTORED EXAM 2022-2023 QUESTIONS AND  CORRECT ANSWERS (100% COMPLETE)AGRADE
View Document

CMS FUNDAMENTALS PROCTORED EXAM 2022-2023 QUESTIONS AND CORRECT ANSWERS (100% COMPLETE)AGRADE

  • DRDMG

    DRDMG

  • study guide

CMS FUNDAMENTALS PROCTORED EXAM 2022-2023 QUESTIONS AND CORRECT ANSWERS (100% COMPLETE)AGRADE...

30 USD

0

0

hesi-exit-v2-exam-160-c0-rrectly-answered-questions-latest-2022
View Document

hesi-exit-v2-exam-160-c0-rrectly-answered-questions-latest-2022

  • TITUS

    TITUS

  • exam

hesi-exit-v2-exam-160-c0-rrectly-answered-questions-latest-2022...

20 USD

0

0

NRNP 6675 Week 11 Final Exam  LATEST 2022 } 2023 GRADED A+  (Q&A)
View Document

NRNP 6675 Week 11 Final Exam LATEST 2022 } 2023 GRADED A+ (Q&A)

  • Alkseltzer

    Alkseltzer

  • exam

NRNP 6675 Week 11 Final Exam LATEST 2022 } 2023 GRADED A+ (Q&A) – Download PDF...

12 USD

0

0

ATLS Post Test 2022-2023 QUESTIONS AND  ANSWERS LATEST UPDATE GRADED, A  COMPLETE SOLUTIONS
View Document

ATLS Post Test 2022-2023 QUESTIONS AND ANSWERS LATEST UPDATE GRADED, A COMPLETE SOLUTIONS

  • Alkseltzer

    Alkseltzer

  • exam

ATLS Post Test 2022-2023 QUESTIONS AND ANSWERS LATEST UPDATE GRADED, A COMPLETE SOLUTIONS – Download PDF...

14 USD

0

0

OCR AS LEVEL JUNE 2022 BIOLOGY A PAPER 1 QUESTION PAPER  Real exam 2023, 2024 update
View Document

OCR AS LEVEL JUNE 2022 BIOLOGY A PAPER 1 QUESTION PAPER Real exam 2023, 2024 update

  • Alkseltzer

    Alkseltzer

  • exam

OCR AS LEVEL JUNE 2022 BIOLOGY A PAPER 1 QUESTION PAPER Real exam 2023, 2024 update – Download PDF...

13 USD

0

0

NURSING MSN 571 PHARM-MIDTERM-FINAL  EXAM Q & A ALL ANSWERS 100% CORRECT  LATEST UPDATE 2022-2023 GRADED A+.
View Document

NURSING MSN 571 PHARM-MIDTERM-FINAL EXAM Q & A ALL ANSWERS 100% CORRECT LATEST UPDATE 2022-2023 GRADED A+.

  • Alkseltzer

    Alkseltzer

  • exam

NURSING MSN 571 PHARM-MIDTERM-FINAL EXAM Q & A ALL ANSWERS 100% CORRECT LATEST UPDATE 2022-2023 GRADED A+....

14 USD

0

0

BETTY BURNS ,CHANA KUMAR  ,CARLOTTA A. RUSSE, MABEL JOHNSON,  PATRICIA DOYLE, JANET RILEY AND  JUSTIN. J0HNSON I HUMAN CASE STUDIES WITH  VERIFIED ANSWERS -2022-2023.
View Document

BETTY BURNS ,CHANA KUMAR ,CARLOTTA A. RUSSE, MABEL JOHNSON, PATRICIA DOYLE, JANET RILEY AND JUSTIN. J0HNSON I HUMAN CASE STUDIES WITH VERIFIED ANSWERS -2022-2023.

  • Alkseltzer

    Alkseltzer

  • exam

BETTY BURNS ,CHANA KUMAR ,CARLOTTA A. RUSSE, MABEL JOHNSON, PATRICIA DOYLE, JANET RILEY AND JUSTIN. J0HNSON I HUMAN C...

17 USD

0

0

Maryville NURS 620 Exam 3 Maryville NURS 620  Exam 3 with complete solution latest 2022, 2023  graded A
View Document

Maryville NURS 620 Exam 3 Maryville NURS 620 Exam 3 with complete solution latest 2022, 2023 graded A

  • Alkseltzer

    Alkseltzer

  • exam

Maryville NURS 620 Exam 3 Maryville NURS 620 Exam 3 with complete solution latest 2022, 2023 graded A – Download PDF...

9 USD

0

0

NRNP 6665-01,  Week 11 Final  Exam 2022 (100%  Correct Answers &  Explanations
View Document

NRNP 6665-01, Week 11 Final Exam 2022 (100% Correct Answers & Explanations

  • Alkseltzer

    Alkseltzer

  • exam

NRNP 6665-01, Week 11 Final Exam 2022 (100% Correct Answers & Explanations...

14 USD

0

0

NRNP 6675-15; NRNP 6675 Week 6  Midterm Exam 2022, 23  solved - Graded A+.
View Document

NRNP 6675-15; NRNP 6675 Week 6 Midterm Exam 2022, 23 solved - Graded A+.

  • Alkseltzer

    Alkseltzer

  • exam

NRNP 6675-15; NRNP 6675 Week 6 Midterm Exam 2022, 23 solved - Graded A+. – Download PDF...

17 USD

0

0

ATI PN COMPREHENSIVE PREDICTOR TEST BANK FORM A,BandC LATEST UPDATE 2022- 2023
View Document

ATI PN COMPREHENSIVE PREDICTOR TEST BANK FORM A,BandC LATEST UPDATE 2022- 2023

  • Alkseltzer

    Alkseltzer

  • exam

ATI PN COMPREHENSIVE PREDICTOR TEST BANK FORM A,BandC LATEST UPDATE 2022- 2023...

19 USD

0

0

All 2022 NCCT Medical Assistant –MORE THAN  3000 QUESTIONS.
View Document

All 2022 NCCT Medical Assistant –MORE THAN 3000 QUESTIONS.

  • Alkseltzer

    Alkseltzer

  • exam

All 2022 NCCT Medical Assistant –MORE THAN 3000 QUESTIONS....

17 USD

0

0

Ati Pediatric Proctored Latest Test Bank 2022| 2023, Uworld PEDDIATRY A A A TEST  BANK LATEST 2022, 2023
View Document

Ati Pediatric Proctored Latest Test Bank 2022| 2023, Uworld PEDDIATRY A A A TEST BANK LATEST 2022, 2023

  • Alkseltzer

    Alkseltzer

  • exam

Ati Pediatric Proctored Latest Test Bank 2022| 2023, Uworld PEDDIATRY A A A TEST BANK LATEST 2022, 2023 – Download PD...

36 USD

0

0

PMHP ANCC EXAM LATEST VERIFIED A+ 2022
View Document

PMHP ANCC EXAM LATEST VERIFIED A+ 2022

  • Alkseltzer

    Alkseltzer

  • exam

PMHP ANCC EXAM LATEST VERIFIED A+ 2022...

14 USD

0

0

PMHNP CERTIFICATION EXAM 2022 ACTUAL  TEST VERIFIED A+.
View Document

PMHNP CERTIFICATION EXAM 2022 ACTUAL TEST VERIFIED A+.

  • Alkseltzer

    Alkseltzer

  • exam

PMHNP CERTIFICATION EXAM 2022 ACTUAL TEST VERIFIED A+....

17 USD

0

0

LMR GEORGETTES PMHNP CERTIFICATION  EXAM 2022-2023 LATEST UPDATE.
View Document

LMR GEORGETTES PMHNP CERTIFICATION EXAM 2022-2023 LATEST UPDATE.

  • Alkseltzer

    Alkseltzer

  • exam

LMR GEORGETTES PMHNP CERTIFICATION EXAM 2022-2023 LATEST UPDATE....

21 USD

0

0

ATI RN VATI Comprehensive Predictor REVIEW  Fall 2022, 2023; All 160 questions already solved  100% correctly.Fall 2022, 2023; All 160 questions  already solved 100 percent correctly.
View Document

ATI RN VATI Comprehensive Predictor REVIEW Fall 2022, 2023; All 160 questions already solved 100% correctly.Fall 2022, 2023; All 160 questions already solved 100 percent correctly.

  • Alkseltzer

    Alkseltzer

  • exam

ATI RN VATI Comprehensive Predictor REVIEW Fall 2022, 2023; All 160 questions already solved 100% correctly.Fall 2022,...

21 USD

0

0

i Human: Andrew Chen Walden University NRNP 6541 C8 Dr. Lisa Rinsdale November 6, 2022
View Document

i Human: Andrew Chen Walden University NRNP 6541 C8 Dr. Lisa Rinsdale November 6, 2022

  • Alkseltzer

    Alkseltzer

  • exam

i Human: Andrew Chen Walden University NRNP 6541 C8 Dr. Lisa Rinsdale November 6, 2022...

9 USD

0

0

C214 OA Financial Management  Concepts Version Exam with verified answers-2022  gradedA+
View Document

C214 OA Financial Management Concepts Version Exam with verified answers-2022 gradedA+

  • Alkseltzer

    Alkseltzer

  • exam

C214 OA Financial Management Concepts Version Exam with verified answers-2022 gradedA+ – Download PDF...

18 USD

0

0

ATI Comprehensive Predictor Exam 2022
View Document

ATI Comprehensive Predictor Exam 2022

  • Alkseltzer

    Alkseltzer

  • exam

ATI Comprehensive Predictor Exam 2022...

14 USD

0

0

PEDIATRIC EXAM TEST BANK 2022-2023 EVERYTHING  ON ATI  PEDIATRICS INCLUDING NCLEX QUESTIONS AND  CORRECT  ANSWERS GRADED A+
View Document

PEDIATRIC EXAM TEST BANK 2022-2023 EVERYTHING ON ATI PEDIATRICS INCLUDING NCLEX QUESTIONS AND CORRECT ANSWERS GRADED A+

  • Alkseltzer

    Alkseltzer

  • exam

PEDIATRIC EXAM TEST BANK 2022-2023 EVERYTHING ON ATI PEDIATRICS INCLUDING NCLEX QUESTIONS AND CORRECT ANSWERS GRADED...

19 USD

0

0

PEDIATRIC EXAM TEST BANK 2022-2023 EVERYTHING  ON ATI  PEDIATRICS INCLUDING NCLEX QUESTIONS AND  CORRECT  ANSWERS GRADED A+
View Document

PEDIATRIC EXAM TEST BANK 2022-2023 EVERYTHING ON ATI PEDIATRICS INCLUDING NCLEX QUESTIONS AND CORRECT ANSWERS GRADED A+

  • Alkseltzer

    Alkseltzer

  • exam

PEDIATRIC EXAM TEST BANK 2022-2023 EVERYTHING ON ATI PEDIATRICS INCLUDING NCLEX QUESTIONS AND CORRECT ANSWERS GRADED...

19 USD

0

0

PEDIATRIC EXAM TEST BANK 2022-2023 EVERYTHING  ON ATI  PEDIATRICS INCLUDING NCLEX QUESTIONS AND  CORRECT  ANSWERS GRADED A+
View Document

PEDIATRIC EXAM TEST BANK 2022-2023 EVERYTHING ON ATI PEDIATRICS INCLUDING NCLEX QUESTIONS AND CORRECT ANSWERS GRADED A+

  • Alkseltzer

    Alkseltzer

  • exam

PEDIATRIC EXAM TEST BANK 2022-2023 EVERYTHING ON ATI PEDIATRICS INCLUDING NCLEX QUESTIONS AND CORRECT ANSWERS GRADED...

19 USD

0

0

TEFL ACADEMY ASSIGMENTS  A,B,AND C 2021-2022 Vocabular y  Teaching
View Document

TEFL ACADEMY ASSIGMENTS A,B,AND C 2021-2022 Vocabular y Teaching

  • Alkseltzer

    Alkseltzer

  • exam

TEFL ACADEMY ASSIGMENTS A,B,AND C 2021-2022 Vocabular y Teaching...

16 USD

0

0

RN ATI MATERNAL NEWBORN PROCTORED EXAM (36 EXAM SETS), ATI RN EXAMS 2022,  LATEST MULTIPLE VERSIONS
View Document

RN ATI MATERNAL NEWBORN PROCTORED EXAM (36 EXAM SETS), ATI RN EXAMS 2022, LATEST MULTIPLE VERSIONS

  • Alkseltzer

    Alkseltzer

  • exam

RN ATI MATERNAL NEWBORN PROCTORED EXAM (36 EXAM SETS), ATI RN EXAMS 2022, LATEST MULTIPLE VERSIONS...

53 USD

0

0

GLOBAL ECONOMICS FOR MANAGERS  WITH COMPLETE SOLUTION 2022\2023  UPDATE-WGU C211
View Document

GLOBAL ECONOMICS FOR MANAGERS WITH COMPLETE SOLUTION 2022\2023 UPDATE-WGU C211

  • Alkseltzer

    Alkseltzer

  • exam

GLOBAL ECONOMICS FOR MANAGERS WITH COMPLETE SOLUTION 2022\2023 UPDATE-WGU C211...

25 USD

0

0

Ati Pediatric Proctored Latest Test Bank 2022 2023, Uworld PEDDIATRY A A A TEST  BANK LATEST
View Document

Ati Pediatric Proctored Latest Test Bank 2022 2023, Uworld PEDDIATRY A A A TEST BANK LATEST

  • Alkseltzer

    Alkseltzer

  • questions & answers

Ati Pediatric Proctored Latest Test Bank 2022 2023, Uworld PEDDIATRY A A A TEST BANK LATEST – Download PDF...

27 USD

0

0

ANCC PMHNP Cert Exam Review  Questions and Answers 2022
View Document

ANCC PMHNP Cert Exam Review Questions and Answers 2022

  • Alkseltzer

    Alkseltzer

  • questions & answers

ANCC PMHNP Cert Exam Review Questions and Answers 2022...

27 USD

0

0

PMHNP CERTIFICATION EXAM 2022 ACTUAL  TEST VERIFIED A+.
View Document

PMHNP CERTIFICATION EXAM 2022 ACTUAL TEST VERIFIED A+.

  • Alkseltzer

    Alkseltzer

  • questions & answers

PMHNP CERTIFICATION EXAM 2022 ACTUAL TEST VERIFIED A+....

24 USD

0

0

PMHP ANCC EXAM LATEST VERIFIED A+ 2022
View Document

PMHP ANCC EXAM LATEST VERIFIED A+ 2022

  • Alkseltzer

    Alkseltzer

  • questions & answers

PMHP ANCC EXAM LATEST VERIFIED A+ 2022...

26 USD

0

0

PMHNP EXAM REPORTED QUESTIONS  AND ANSWERS 2022-2023
View Document

PMHNP EXAM REPORTED QUESTIONS AND ANSWERS 2022-2023

  • Alkseltzer

    Alkseltzer

  • questions & answers

PMHNP EXAM REPORTED QUESTIONS AND ANSWERS 2022-2023...

26 USD

0

0

LMR GEORGETTES PMHNP CERTIFICATION  EXAM 2022-2023 LATEST UPDATE.
View Document

LMR GEORGETTES PMHNP CERTIFICATION EXAM 2022-2023 LATEST UPDATE.

  • Alkseltzer

    Alkseltzer

  • questions & answers

LMR GEORGETTES PMHNP CERTIFICATION EXAM 2022-2023 LATEST UPDATE....

23 USD

0

0

VATI Comprehensive Predictor REVIEW  Fall 2022, 2023; All 160 questions already  solved correctly.
View Document

VATI Comprehensive Predictor REVIEW Fall 2022, 2023; All 160 questions already solved correctly.

  • Alkseltzer

    Alkseltzer

  • questions & answers

VATI Comprehensive Predictor REVIEW Fall 2022, 2023; All 160 questions already solved correctly. – Download PDF...

27 USD

0

0

AHIP - Final Examination (Latest Update 2022)
View Document

AHIP - Final Examination (Latest Update 2022)

  • Oscar

    Oscar

  • exam

AHIP - Final Examination (Latest Update 2022)...

18 USD

0

0

NUR 212 Final Exam-with 100% verified answers-2022- 2023 GRADED A
View Document

NUR 212 Final Exam-with 100% verified answers-2022- 2023 GRADED A

  • Oscar

    Oscar

  • exam

NUR 212 Final Exam-with 100% verified answers-2022- 2023 GRADED A...

15 USD

0

0

ATI PN COMPREHENSIVE PREDICTOR 2022 RETAKE GUIDE RATED A+
View Document

ATI PN COMPREHENSIVE PREDICTOR 2022 RETAKE GUIDE RATED A+

  • TITUS

    TITUS

  • questions & answers

ATI PN COMPREHENSIVE PREDICTOR 2022 RETAKE GUIDE RATED A+...

20 USD

0

0

ATI TEAS 7 MATH EXAM LATEST 2022-2023  PRACTICE TEST WITH ANSWER KEY
View Document

ATI TEAS 7 MATH EXAM LATEST 2022-2023 PRACTICE TEST WITH ANSWER KEY

  • DRDMG

    DRDMG

  • questions & answers

ATI TEAS 7 MATH EXAM LATEST 2022-2023 PRACTICE TEST WITH ANSWER KEY...

15 USD

0

0

ATI RN NURSING CARE OF CHILDREN NUR 212 PROCTORED EXAM  Q& A GURANTEED SUCCESS LATEST UPDATE 2022, 2023 HIGHLY RATED A+ SCORE
View Document

ATI RN NURSING CARE OF CHILDREN NUR 212 PROCTORED EXAM Q& A GURANTEED SUCCESS LATEST UPDATE 2022, 2023 HIGHLY RATED A+ SCORE

  • Alkseltzer

    Alkseltzer

  • exam

ATI RN NURSING CARE OF CHILDREN NUR 212 PROCTORED EXAM Q& A GURANTEED SUCCESS LATEST UPDATE 2022, 2023 HIGHLY RATED A+ ...

28 USD

0

0

NRNP 6675 Week 11 Final Exam  LATEST 2022, 2023 GRADED A+  (Q&A)
View Document

NRNP 6675 Week 11 Final Exam LATEST 2022, 2023 GRADED A+ (Q&A)

  • Alkseltzer

    Alkseltzer

  • exam

NRNP 6675 Week 11 Final Exam LATEST 2022, 2023 GRADED A+ (Q&A) – Download PDF...

21 USD

0

0

ATI COMPREHENSIVE PREDICTOR 2022  UPDATED VERSION  REAL EXAM QUESTIONS AND CORRECT  ANSWERS  TOP GRADE SCORE GUARANTEE, A+
View Document

ATI COMPREHENSIVE PREDICTOR 2022 UPDATED VERSION REAL EXAM QUESTIONS AND CORRECT ANSWERS TOP GRADE SCORE GUARANTEE, A+

  • Maggie

    Maggie

  • ati

ATI COMPREHENSIVE PREDICTOR 2022 UPDATED VERSION REAL EXAM QUESTIONS AND CORRECT ANSWERS TOP GRADE SCORE GUARANTEE, ...

18 USD

0

0

AGILE SAFE 5.1 2022 WITH UPDATED  ANSWERS  REAL EXAM QUESTIONS AND CORRECT  ANSWERS  TOP GRADE SCORE GUARANTEE
View Document

AGILE SAFE 5.1 2022 WITH UPDATED ANSWERS REAL EXAM QUESTIONS AND CORRECT ANSWERS TOP GRADE SCORE GUARANTEE

  • Maggie

    Maggie

  • ati

AGILE SAFE 5.1 2022 WITH UPDATED ANSWERS REAL EXAM QUESTIONS AND CORRECT ANSWERS TOP GRADE SCORE GUARANTEE...

14 USD

0

0

HESI HEALTH ASSESSMENT 2022- 2024 TEST BANK REAL EXAM  QUESTIONS AND ANSWERS 100%  CORRECT.100% SUCCESS  GUARANTEE, GRADED A+
View Document

HESI HEALTH ASSESSMENT 2022- 2024 TEST BANK REAL EXAM QUESTIONS AND ANSWERS 100% CORRECT.100% SUCCESS GUARANTEE, GRADED A+

  • Maggie

    Maggie

  • hesi

HESI HEALTH ASSESSMENT 2022- 2024 TEST BANK REAL EXAM QUESTIONS AND ANSWERS 100% CORRECT.100% SUCCESS GUARANTEE, GRAD...

23 USD

0

0

NUR 6665 FINAL EXAM 2022 UPDATED  VERSION  REAL EXAM QUESTIONS AND CORRECT  ANSWERS  TOP RATED, GRADED A+
View Document

NUR 6665 FINAL EXAM 2022 UPDATED VERSION REAL EXAM QUESTIONS AND CORRECT ANSWERS TOP RATED, GRADED A+

  • Maggie

    Maggie

  • exam

NUR 6665 FINAL EXAM 2022 UPDATED VERSION REAL EXAM QUESTIONS AND CORRECT ANSWERS TOP RATED, GRADED A+...

8 USD

0

0

HESI RN EXIT V2 2022 LATEST UPDATE  REAL EXAM QUESTIONS AND CORRECT  ANSWERS  TOP GRADE SCORE GUARANTEE, GRADED  A+
View Document

HESI RN EXIT V2 2022 LATEST UPDATE REAL EXAM QUESTIONS AND CORRECT ANSWERS TOP GRADE SCORE GUARANTEE, GRADED A+

  • Maggie

    Maggie

  • hesi

HESI RN EXIT V2 2022 LATEST UPDATE REAL EXAM QUESTIONS AND CORRECT ANSWERS TOP GRADE SCORE GUARANTEE, GRADED A+...

13 USD

0

0

HESI RN MENTAL HEALTH V1- V3 2022  TEST BANK EXAM LATEST UPDATE  EXAM QUESTIONS AND CORRECT  ANSWERS  TOP GRADE SCORE GUARANTEE, GRADED  A+
View Document

HESI RN MENTAL HEALTH V1- V3 2022 TEST BANK EXAM LATEST UPDATE EXAM QUESTIONS AND CORRECT ANSWERS TOP GRADE SCORE GUARANTEE, GRADED A+

  • Maggie

    Maggie

  • hesi

HESI RN MENTAL HEALTH V1- V3 2022 TEST BANK EXAM LATEST UPDATE EXAM QUESTIONS AND CORRECT ANSWERS TOP GRADE SCORE GU...

17 USD

0

0

West Coast EMT Block 4 Study Guide _Questions And Answers 2022\2023
View Document

West Coast EMT Block 4 Study Guide _Questions And Answers 2022\2023

  • studypal

    studypal

  • questions & answers

West Coast EMT Block 4 Study Guide _Questions And Answers 2022\2023...

7 USD

0

0

West Coast EMT Block 1 Exam with Correct Answers 2022, 2023
View Document

West Coast EMT Block 1 Exam with Correct Answers 2022, 2023

  • studypal

    studypal

  • questions & answers

West Coast EMT Block 1 Exam with Correct Answers 2022, 2023 – Download PDF...

10 USD

0

0

ATI Fundamentals Proctored Exam | (402 Questions and Answers) with Rationales CORRECT| LATEST 2021, 2022l  GRADED A+
View Document

ATI Fundamentals Proctored Exam | (402 Questions and Answers) with Rationales CORRECT| LATEST 2021, 2022l GRADED A+

  • Alkseltzer

    Alkseltzer

  • exam

ATI Fundamentals Proctored Exam | (402 Questions and Answers) with Rationales CORRECT| LATEST 2021, 2022l GRADED A+ –...

23 USD

0

0

ATI PHARMACOLOGY FINAL EXAM LATEST UPDATE 2022-2023  PROCTORED EXAM STUDY GUIDE QUESTION AND CORRECTLY  ANSWERED 100 PERCENT VERIFIED GRADED A.
View Document

ATI PHARMACOLOGY FINAL EXAM LATEST UPDATE 2022-2023 PROCTORED EXAM STUDY GUIDE QUESTION AND CORRECTLY ANSWERED 100 PERCENT VERIFIED GRADED A.

  • Alkseltzer

    Alkseltzer

  • exam

ATI PHARMACOLOGY FINAL EXAM LATEST UPDATE 2022-2023 PROCTORED EXAM STUDY GUIDE QUESTION AND CORRECTLY ANSWERED 100 PER...

24 USD

0

0

West Coast EMT Block Exam 1(Questions And Answers 2022,2023)
View Document

West Coast EMT Block Exam 1(Questions And Answers 2022,2023)

  • studypal

    studypal

  • questions & answers

West Coast EMT Block Exam 1(Questions And Answers 2022,2023) – Download PDF...

13 USD

0

0

HESI PN EXIT EXAM V3 LATEST VERSION 2022-2024  ALL 110 . QUESTIONS AND VERIFIED RATIONALED ANSWERS  GRADED A.
View Document

HESI PN EXIT EXAM V3 LATEST VERSION 2022-2024 ALL 110 . QUESTIONS AND VERIFIED RATIONALED ANSWERS GRADED A.

  • Alkseltzer

    Alkseltzer

  • exam

HESI PN EXIT EXAM V3 LATEST VERSION 2022-2024 ALL 110 . QUESTIONS AND VERIFIED RATIONALED ANSWERS GRADED A....

22 USD

0

0

ATI Fundamentals Proctored Exam |  Questions and Answers with Rationales |  LATEST 2022, 2023 .
View Document

ATI Fundamentals Proctored Exam | Questions and Answers with Rationales | LATEST 2022, 2023 .

  • Alkseltzer

    Alkseltzer

  • exam

ATI Fundamentals Proctored Exam | Questions and Answers with Rationales | LATEST 2022, 2023 . – Download PDF...

19 USD

0

0

ATI RN NURSING CARE OF CHILDREN NUR 212 PROCTORED  EXAM QANDA GUARANTEED SUCCESS LATEST UPDATE 2022  HIGHLY RATED A+ SCORE.
View Document

ATI RN NURSING CARE OF CHILDREN NUR 212 PROCTORED EXAM QANDA GUARANTEED SUCCESS LATEST UPDATE 2022 HIGHLY RATED A+ SCORE.

  • Alkseltzer

    Alkseltzer

  • exam

ATI RN NURSING CARE OF CHILDREN NUR 212 PROCTORED EXAM QANDA GUARANTEED SUCCESS LATEST UPDATE 2022 HIGHLY RATED A+ SCO...

19 USD

0

0

ATI Fundamentals Proctored Exam | (402 Questions and Answers) with Rationales
View Document

ATI Fundamentals Proctored Exam | (402 Questions and Answers) with Rationales

  • Alkseltzer

    Alkseltzer

  • exam

ATI Fundamentals Proctored Exam | (402 Questions and Answers) with Rationales – Download PDF...

18 USD

0

0

HESI OB 2022-2023 MATERNITY TB QUESTIONS &  ANSWERS (PICS) INCLUDED!!  Version 1 (V1)  GUARANTEED A+  (All 55 Q’s)
View Document

HESI OB 2022-2023 MATERNITY TB QUESTIONS & ANSWERS (PICS) INCLUDED!! Version 1 (V1) GUARANTEED A+ (All 55 Q’s)

  • Alkseltzer

    Alkseltzer

  • hesi

HESI OB 2022-2023 MATERNITY TB QUESTIONS & ANSWERS (PICS) INCLUDED!! Version 1 (V1) GUARANTEED A+ (All 55 Q’s)...

19 USD

0

0

A HIP –FINAL EXAMINATION(LATEST UPDATE 2022-2023.
View Document

A HIP –FINAL EXAMINATION(LATEST UPDATE 2022-2023.

  • Alkseltzer

    Alkseltzer

  • questions & answers

A HIP –FINAL EXAMINATION(LATEST UPDATE 2022-2023....

17 USD

0

0

HESI RN EXIT EXAM VI SCREENSHOTS 2022-2023 INET PROCTORED EXAM
View Document

HESI RN EXIT EXAM VI SCREENSHOTS 2022-2023 INET PROCTORED EXAM

  • Alkseltzer

    Alkseltzer

  • questions & answers

HESI RN EXIT EXAM VI SCREENSHOTS 2022-2023 INET PROCTORED EXAM...

18 USD

0

0

NUR 212 Final Exam-with 100 Percent verified answers-2022- 2023 GRADED A+
View Document

NUR 212 Final Exam-with 100 Percent verified answers-2022- 2023 GRADED A+

  • Alkseltzer

    Alkseltzer

  • questions & answers

NUR 212 Final Exam-with 100 Percent verified answers-2022- 2023 GRADED A+ – Download PDF...

19 USD

0

0

HESI PN EXIT EXAM V3 LATEST VERSION 2022-2024 ALL  110 QUESTIONS AND VERIFIED RATIONALED ANSWERS GRADED A
View Document

HESI PN EXIT EXAM V3 LATEST VERSION 2022-2024 ALL 110 QUESTIONS AND VERIFIED RATIONALED ANSWERS GRADED A

  • Hp24

    Hp24

  • exam

HESI PN EXIT EXAM V3 LATEST VERSION 2022-2024 ALL 110 QUESTIONS AND VERIFIED RATIONALED ANSWERS GRADED A – Download P...

12 USD

0

0

TEST BANK-WILKINS’ CLINICAL ASSESSMENT IN RESPIRATORY CARE 8TH EDITION BY HEUER-LATEST-2022-2023 .
View Document

TEST BANK-WILKINS’ CLINICAL ASSESSMENT IN RESPIRATORY CARE 8TH EDITION BY HEUER-LATEST-2022-2023 .

  • Kiboi

    Kiboi

  • questions & answers

TEST BANK-WILKINS’ CLINICAL ASSESSMENT IN RESPIRATORY CARE 8TH EDITION BY HEUER-LATEST-2022-2023 ....

25 USD

0

0

HESI RN EXIT EXAM-EXAM PACKCOMBINED FROM 2021,2022,2023 ACTUAL EXAMS BEST FOR 2022 EXIT EXAM REVIEW
View Document

HESI RN EXIT EXAM-EXAM PACKCOMBINED FROM 2021,2022,2023 ACTUAL EXAMS BEST FOR 2022 EXIT EXAM REVIEW

  • Kiboi

    Kiboi

  • questions & answers

HESI RN EXIT EXAM-EXAM PACKCOMBINED FROM 2021,2022,2023 ACTUAL EXAMS BEST FOR 2022 EXIT EXAM REVIEW...

25 USD

0

0

PAX Prep Vocabulary NLN Testbank 2022 Questions and Answers
View Document

PAX Prep Vocabulary NLN Testbank 2022 Questions and Answers

  • studypal

    studypal

  • questions & answers

PAX Prep Vocabulary NLN Testbank 2022 Questions and Answers – Download PDF...

10 USD

0

0

ATI RN ADULT MEDICAL SURGICAL PROCTORED  2019 EXAM WITH ALL FORMS 2022 VERSIONS  WITH REAL QUESTIONS AND CORRECT ANSWERS  (VERIFIED ANSWERS) A NEW UPDATED VERSION LATEST 2023   | ALL GRADED A+
View Document

ATI RN ADULT MEDICAL SURGICAL PROCTORED 2019 EXAM WITH ALL FORMS 2022 VERSIONS WITH REAL QUESTIONS AND CORRECT ANSWERS (VERIFIED ANSWERS) A NEW UPDATED VERSION LATEST 2023 | ALL GRADED A+

  • wiseman

    wiseman

  • questions & answers

ATI RN ADULT MEDICAL SURGICAL PROCTORED 2019 EXAM WITH ALL FORMS 2022 VERSIONS WITH REAL QUESTIONS AND CORRECT ANSWERS...

16 USD

0

0

ATI Med-Surg 1 Final Exam Review; Adult Health 2022 Proctored Exam - Answers Provided.
View Document

ATI Med-Surg 1 Final Exam Review; Adult Health 2022 Proctored Exam - Answers Provided.

  • studypal

    studypal

  • ati medical surgical

ATI Med-Surg 1 Final Exam Review; Adult Health 2022 Proctored Exam - Answers Provided....

9 USD

0

0

Med-Surg 1 Final Exam; Adult Health 2022 Proctored Exam - Answers Provided.
View Document

Med-Surg 1 Final Exam; Adult Health 2022 Proctored Exam - Answers Provided.

  • studypal

    studypal

  • ati medical surgical

Med-Surg 1 Final Exam; Adult Health 2022 Proctored Exam - Answers Provided....

14 USD

0

0

MED TERM 101 - Cumulative Midterm Medical Terminology Exam With Answers - Straighterline; 2022,2023
View Document

MED TERM 101 - Cumulative Midterm Medical Terminology Exam With Answers - Straighterline; 2022,2023

  • studypal

    studypal

  • questions & answers

MED TERM 101 - Cumulative Midterm Medical Terminology Exam With Answers - Straighterline; 2022,2023 – Download PDF...

14 USD

0

0

[Answered] UTI NCLEX PEARSON QUESTIONS WITH ANSWERS, 2022, 2023
View Document

[Answered] UTI NCLEX PEARSON QUESTIONS WITH ANSWERS, 2022, 2023

  • studypal

    studypal

  • ati medical surgical

[Answered] UTI NCLEX PEARSON QUESTIONS WITH ANSWERS, 2022, 2023 – Download PDF...

14 USD

0

0

ATI Nursing HESI Practice Exam Answers - Detailed Answer Key 2022
View Document

ATI Nursing HESI Practice Exam Answers - Detailed Answer Key 2022

  • studypal

    studypal

  • ati medical surgical

ATI Nursing HESI Practice Exam Answers - Detailed Answer Key 2022...

14 USD

0

0

(NUR280) NUR 280 COMPREHENSIVE REVIEW - Comp 1, Comp 2, Comp 3 - 2022 Galen.
View Document

(NUR280) NUR 280 COMPREHENSIVE REVIEW - Comp 1, Comp 2, Comp 3 - 2022 Galen.

  • studypal

    studypal

  • study guide

(NUR280) NUR 280 COMPREHENSIVE REVIEW - Comp 1, Comp 2, Comp 3 - 2022 Galen. – Download PDF...

14 USD

0

0

ACCUPLACER Reading Test Questions and Answers 2022 - Already Graded A
View Document

ACCUPLACER Reading Test Questions and Answers 2022 - Already Graded A

  • studypal

    studypal

  • questions & answers

ACCUPLACER Reading Test Questions and Answers 2022 - Already Graded A...

7 USD

0

0

SAFe Advanced Scrum Master Real Exam 5.1, Questions and Answers 2022, 2023
View Document

SAFe Advanced Scrum Master Real Exam 5.1, Questions and Answers 2022, 2023

  • studypal

    studypal

  • questions & answers

SAFe Advanced Scrum Master Real Exam 5.1, Questions and Answers 2022, 2023 – Download PDF...

12 USD

0

0

Social, Personal and Health Education (SPHE) 320 Week 4 quiz answer key 2022, 2023
View Document

Social, Personal and Health Education (SPHE) 320 Week 4 quiz answer key 2022, 2023

  • studypal

    studypal

  • questions & answers

Social, Personal and Health Education (SPHE) 320 Week 4 quiz answer key 2022, 2023 – Download PDF...

9 USD

0

0

NRNP 6531 Mabel Johnson IHUMAN Full Report 2022
View Document

NRNP 6531 Mabel Johnson IHUMAN Full Report 2022

  • mentor2000

    mentor2000

  • study guide

NRNP 6531 Mabel Johnson IHUMAN Full Report 2022...

8 USD

0

0

ATLS post test QUESTIONS AND ANSWERS
View Document

ATLS post test QUESTIONS AND ANSWERS

  • mentor2000

    mentor2000

  • study guide

ATLS post test QUESTIONS AND ANSWERS...

10 USD

0

0

CPHQ-Certified Professional in Healthcare Quality Certification Exam A (correct answers are displayed in bold) 2022
View Document

CPHQ-Certified Professional in Healthcare Quality Certification Exam A (correct answers are displayed in bold) 2022

  • studypal

    studypal

  • questions & answers

CPHQ-Certified Professional in Healthcare Quality Certification Exam A (correct answers are displayed in bold) 2022...

9 USD

0

0

Certified Professional in Healthcare Quality Certification Exam B (correct answers are displayed in bold) 2022
View Document

Certified Professional in Healthcare Quality Certification Exam B (correct answers are displayed in bold) 2022

  • studypal

    studypal

  • questions & answers

Certified Professional in Healthcare Quality Certification Exam B (correct answers are displayed in bold) 2022...

14 USD

0

0

The Scaled Agile Framework (SAFe) 5.0 Scrum Master (SSM) Quiz 4 Version 2 -Questions and Answers 2022 [All Correct Answers] Complete Solution
View Document

The Scaled Agile Framework (SAFe) 5.0 Scrum Master (SSM) Quiz 4 Version 2 -Questions and Answers 2022 [All Correct Answers] Complete Solution

  • studypal

    studypal

  • questions & answers

The Scaled Agile Framework (SAFe) 5.0 Scrum Master (SSM) Quiz 4 Version 2 -Questions and Answers 2022 [All Correct Answe...

9 USD

0

0

The Scaled Agile Framework (SAFe) 5.0 Scrum Master (SSM) Quiz 4 -Questions and Answers 2022 [All Correct Answers] Complete Solution
View Document

The Scaled Agile Framework (SAFe) 5.0 Scrum Master (SSM) Quiz 4 -Questions and Answers 2022 [All Correct Answers] Complete Solution

  • studypal

    studypal

  • questions & answers

The Scaled Agile Framework (SAFe) 5.0 Scrum Master (SSM) Quiz 4 -Questions and Answers 2022 [All Correct Answers] Comple...

9 USD

0

0

The Scaled Agile Framework (SAFe) 5.0 Scrum Master (SSM) Quiz 2 -Questions and Answers 2022 [All Correct Answers] Complete Solution
View Document

The Scaled Agile Framework (SAFe) 5.0 Scrum Master (SSM) Quiz 2 -Questions and Answers 2022 [All Correct Answers] Complete Solution

  • studypal

    studypal

  • questions & answers

The Scaled Agile Framework (SAFe) 5.0 Scrum Master (SSM) Quiz 2 -Questions and Answers 2022 [All Correct Answers] Comple...

7 USD

0

0

The Scaled Agile Framework (SAFe) 5.0 Scrum Master (SSM) Quiz 10 -Questions and Answers 2022 [All Correct Answers]
View Document

The Scaled Agile Framework (SAFe) 5.0 Scrum Master (SSM) Quiz 10 -Questions and Answers 2022 [All Correct Answers]

  • studypal

    studypal

  • questions & answers

The Scaled Agile Framework (SAFe) 5.0 Scrum Master (SSM) Quiz 10 -Questions and Answers 2022 [All Correct Answers]...

14 USD

0

0

The Scaled Agile Framework (SAFe) 5.0 Agilist Quiz 6-Questions and Answers 2022 [All Correct Answers]
View Document

The Scaled Agile Framework (SAFe) 5.0 Agilist Quiz 6-Questions and Answers 2022 [All Correct Answers]

  • studypal

    studypal

  • questions & answers

The Scaled Agile Framework (SAFe) 5.0 Agilist Quiz 6-Questions and Answers 2022 [All Correct Answers]...

9 USD

0

0

The Scaled Agile Framework (SAFe) 5 Agilist Exam (5.1) Questions and Answers 2022 [All Correct Answers]
View Document

The Scaled Agile Framework (SAFe) 5 Agilist Exam (5.1) Questions and Answers 2022 [All Correct Answers]

  • studypal

    studypal

  • questions & answers

The Scaled Agile Framework (SAFe) 5 Agilist Exam (5.1) Questions and Answers 2022 [All Correct Answers]...

14 USD

0

0

CNA FINAL EXAM -answered questions for CNA exam 2022, Certified Nursing Assistant | (CNA) Exam
View Document

CNA FINAL EXAM -answered questions for CNA exam 2022, Certified Nursing Assistant | (CNA) Exam

  • studypal

    studypal

  • questions & answers

CNA FINAL EXAM -answered questions for CNA exam 2022, Certified Nursing Assistant | (CNA) Exam – Download PDF...

9 USD

0

0

ATI RN Concept-Based Assessment Study Guide 2022
View Document

ATI RN Concept-Based Assessment Study Guide 2022

  • Emily

    Emily

  • ati

ATI RN Concept-Based Assessment Study Guide 2022...

15 USD

0

0

Care of the elderly c475 Competency 1 Study Guide 2022
View Document

Care of the elderly c475 Competency 1 Study Guide 2022

  • Emily

    Emily

  • questions & answers

Care of the elderly c475 Competency 1 Study Guide 2022...

10 USD

0

0

C787 OA WGU NUTRITION EXAM 2022  135 QUESTIONWITH 100 CORRECT ANSWERS
View Document

C787 OA WGU NUTRITION EXAM 2022 135 QUESTIONWITH 100 CORRECT ANSWERS

  • Emily

    Emily

  • questions & answers

C787 OA WGU NUTRITION EXAM 2022 135 QUESTIONWITH 100 CORRECT ANSWERS...

12 USD

0

0

AMLS Post Test answered and distinction level graded latest 2022
View Document

AMLS Post Test answered and distinction level graded latest 2022

  • Emily

    Emily

  • questions & answers

AMLS Post Test answered and distinction level graded latest 2022...

10 USD

0

0

(answered)Relias ED RN A, Complete Test Fall 2023
View Document

(answered)Relias ED RN A, Complete Test Fall 2023

  • Emily

    Emily

  • questions & answers

(answered)Relias ED RN A, Complete Test Fall 2023 – Download PDF...

10 USD

0

0

APEA 3P Retest Questions and Answers 2022
View Document

APEA 3P Retest Questions and Answers 2022

  • Emily

    Emily

  • exam

APEA 3P Retest Questions and Answers 2022 – Download PDF...

10 USD

0

0

HESI RN CAT Exam 2022 V1 & V2 Questions and Answers
View Document

HESI RN CAT Exam 2022 V1 & V2 Questions and Answers

  • Emily

    Emily

  • exam

HESI RN CAT Exam 2022 V1 & V2 Questions and Answers...

12 USD

0

0

APEA 2022 Predictor Test Exam Pack
View Document

APEA 2022 Predictor Test Exam Pack

  • Emily

    Emily

  • exam

APEA 2022 Predictor Test Exam Pack...

15 USD

0

0

MED SURG 201 Section 3 Final Exam Practice Questions 2022.2023
View Document

MED SURG 201 Section 3 Final Exam Practice Questions 2022.2023

  • Emily

    Emily

  • exam

MED SURG 201 Section 3 Final Exam Practice Questions 2022.2023...

10 USD

0

0

MED SURG 201 Section 2 Final Exam Practice Questions 2022.2023
View Document

MED SURG 201 Section 2 Final Exam Practice Questions 2022.2023

  • Emily

    Emily

  • exam

MED SURG 201 Section 2 Final Exam Practice Questions 2022.2023...

10 USD

0

0

NUR 631- Patho Final Exam 2022, 2023
View Document

NUR 631- Patho Final Exam 2022, 2023

  • Emily

    Emily

  • test bank

NUR 631- Patho Final Exam 2022, 2023...

7 USD

0

0

ATI FUNDAMENTALS PROCTORED PRACTICE A & B COMPLETE SOLUTIONS 2022, 2023
View Document

ATI FUNDAMENTALS PROCTORED PRACTICE A & B COMPLETE SOLUTIONS 2022, 2023

  • Emily

    Emily

  • ati

ATI FUNDAMENTALS PROCTORED PRACTICE A & B COMPLETE SOLUTIONS 2022, 2023...

10 USD

0

0

ONCC Test (OCN - Care Continuum) 2022-2023
View Document

ONCC Test (OCN - Care Continuum) 2022-2023

  • Emily

    Emily

  • study guide

ONCC Test (OCN - Care Continuum) 2022-2023 – Download PDF...

3 USD

0

0

ATI RN Leadership 2022 (Real Exam)
View Document

ATI RN Leadership 2022 (Real Exam)

  • Emily

    Emily

  • ati proctored

ATI RN Leadership 2022 (Real Exam)...

15 USD

0

0

NURS 6635 MIDTERM PMHNPNURS 6635MIDTERM-PMHNP Newly Updated Exam Elaborations Questions with Answers Explanations
View Document

NURS 6635 MIDTERM PMHNPNURS 6635MIDTERM-PMHNP Newly Updated Exam Elaborations Questions with Answers Explanations

  • Emily

    Emily

  • exam

NURS 6635 MIDTERM PMHNPNURS 6635MIDTERM-PMHNP Newly Updated Exam Elaborations Questions with Answers Explanations...

10 USD

0

0

NR 503 Week 4 Midterm Exam 2023
View Document

NR 503 Week 4 Midterm Exam 2023

  • Emily

    Emily

  • exam

NR 503 Week 4 Midterm Exam 2023 – Download PDF...

11 USD

0

0

NR 452 Mental Health VATI RN Remediation Week 6 {Questions With Elaborated Answers} 2022
View Document

NR 452 Mental Health VATI RN Remediation Week 6 {Questions With Elaborated Answers} 2022

  • Emily

    Emily

  • exam

NR 452 Mental Health VATI RN Remediation Week 6 {Questions With Elaborated Answers} 2022...

12 USD

0

0

NR 328 Exam 2 Study Guide (Latest 2022.2023) Pediatric Nursing
View Document

NR 328 Exam 2 Study Guide (Latest 2022.2023) Pediatric Nursing

  • Emily

    Emily

  • exam

NR 328 Exam 2 Study Guide (Latest 2022.2023) Pediatric Nursing...

12 USD

0

0

MBC BC3020 certification 2 week 5 answers Q & As 2022
View Document

MBC BC3020 certification 2 week 5 answers Q & As 2022

  • Emily

    Emily

  • exam

MBC BC3020 certification 2 week 5 answers Q & As 2022 – Download PDF...

10 USD

0

0

CPC Final Exam ANSWERS.
View Document

CPC Final Exam ANSWERS.

  • Emily

    Emily

  • exam

CPC Final Exam ANSWERS....

10 USD

0

0

VATI-Exit RN Comprehensive Predictor 2022- 180 Questions and Answers
View Document

VATI-Exit RN Comprehensive Predictor 2022- 180 Questions and Answers

  • mentor2000

    mentor2000

  • exam

VATI-Exit RN Comprehensive Predictor 2022- 180 Questions and Answers...

15 USD

0

0

NCLEX RN 2026 REAL EXAM REAL QUESTIONS & ANSWERS TEST BANK
View Document

NCLEX RN 2026 REAL EXAM REAL QUESTIONS & ANSWERS TEST BANK

  • mentor2000

    mentor2000

  • exam

NCLEX RN 2025 REAL EXAM REAL QUESTIONS & ANSWERS TEST BANK...

15 USD

0

1

TNCC Final Exam Test 2022 Open Book
View Document

TNCC Final Exam Test 2022 Open Book

  • mentor2000

    mentor2000

  • exam

TNCC Final Exam Test 2022 Open Book...

6 USD

0

0

ITIL 4 Foundation Practice Exam with Rationale 2022
View Document

ITIL 4 Foundation Practice Exam with Rationale 2022

  • mentor2000

    mentor2000

  • exam

ITIL 4 Foundation Practice Exam with Rationale 2022...

7 USD

0

0

ITIL 4 Foundation Certification Exam Answered 2022
View Document

ITIL 4 Foundation Certification Exam Answered 2022

  • mentor2000

    mentor2000

  • exam

ITIL 4 Foundation Certification Exam Answered 2022...

9 USD

0

0

CLG 0010 Exam All Answers Correct_ Spring 2022
View Document

CLG 0010 Exam All Answers Correct_ Spring 2022

  • mentor2000

    mentor2000

  • exam

CLG 0010 Exam All Answers Correct_ Spring 2022...

8 USD

0

0

ANCC Georgette Review for boards 2022
View Document

ANCC Georgette Review for boards 2022

  • mentor2000

    mentor2000

  • exam

ANCC Georgette Review for boards 2022...

7 USD

0

0

AMLS Pretest questions and answers 2022
View Document

AMLS Pretest questions and answers 2022

  • mentor2000

    mentor2000

  • exam

AMLS Pretest questions and answers 2022...

10 USD

0

0

AMLS Pretest II questions and answers (All Correct) 2022
View Document

AMLS Pretest II questions and answers (All Correct) 2022

  • mentor2000

    mentor2000

  • exam

AMLS Pretest II questions and answers (All Correct) 2022...

10 USD

0

0

Additional Duty Safety Course Exam 2022
View Document

Additional Duty Safety Course Exam 2022

  • mentor2000

    mentor2000

  • exam

Additional Duty Safety Course Exam 2022...

7 USD

0

0

RCE2601 EXAM PORTFOLIO OCTOBER 2022
View Document

RCE2601 EXAM PORTFOLIO OCTOBER 2022

  • Eddah-Nafula

    Eddah-Nafula

  • exam

RCE2601 EXAM PORTFOLIO OCTOBER 2022 – Download PDF...

1 USD

0

2

Portage Learning, A&P 1 Module 6 Exam Questions and Answers 2022
View Document

Portage Learning, A&P 1 Module 6 Exam Questions and Answers 2022

  • Eddah-Nafula

    Eddah-Nafula

  • exam

Portage Learning, A&P 1 Module 6 Exam Questions and Answers 2022...

10 USD

0

0

NURSING 3345 HESI CAPSTONE EXAM REVIEW 2022
View Document

NURSING 3345 HESI CAPSTONE EXAM REVIEW 2022

  • Eddah-Nafula

    Eddah-Nafula

  • exam

NURSING 3345 HESI CAPSTONE EXAM REVIEW 2022...

15 USD

0

0

JB LEARNING, EMT FINAL EXAM 2022
View Document

JB LEARNING, EMT FINAL EXAM 2022

  • Eddah-Nafula

    Eddah-Nafula

  • exam

JB LEARNING, EMT FINAL EXAM 2022...

10 USD

0

0

FISDAP Trauma Questions with Answers 2022
View Document

FISDAP Trauma Questions with Answers 2022

  • Eddah-Nafula

    Eddah-Nafula

  • exam

FISDAP Trauma Questions with Answers 2022...

12 USD

0

0

FISDAP Medical Questions with Answers 2022
View Document

FISDAP Medical Questions with Answers 2022

  • Eddah-Nafula

    Eddah-Nafula

  • exam

FISDAP Medical Questions with Answers 2022...

15 USD

0

0

EMT FISDAP FINAL EXAM 2022
View Document

EMT FISDAP FINAL EXAM 2022

  • Eddah-Nafula

    Eddah-Nafula

  • exam

EMT FISDAP FINAL EXAM 2022...

10 USD

0

0

EMT Final Practice FISDAP 2022
View Document

EMT Final Practice FISDAP 2022

  • Eddah-Nafula

    Eddah-Nafula

  • exam

EMT Final Practice FISDAP 2022...

12 USD

0

0

EMT Final Exam 2022
View Document

EMT Final Exam 2022

  • Eddah-Nafula

    Eddah-Nafula

  • exam

EMT Final Exam 2022...

10 USD

0

0

EMT 104 Final Exam Questions and Answers 2022
View Document

EMT 104 Final Exam Questions and Answers 2022

  • Eddah-Nafula

    Eddah-Nafula

  • exam

EMT 104 Final Exam Questions and Answers 2022...

10 USD

0

0

BIOD 151  Molue 1-7 All exams answer key with complete solution(Latest update 2022)
View Document

BIOD 151 Molue 1-7 All exams answer key with complete solution(Latest update 2022)

  • Eddah-Nafula

    Eddah-Nafula

  • exam

BIOD 151 Molue 1-7 All exams answer key with complete solution(Latest update 2022)...

12 USD

0

0

ATI COMPREHENSIVE EXIT EXAM 2022 COMPLETE SOLUTION
View Document

ATI COMPREHENSIVE EXIT EXAM 2022 COMPLETE SOLUTION

  • Eddah-Nafula

    Eddah-Nafula

  • exam

ATI COMPREHENSIVE EXIT EXAM 2022 COMPLETE SOLUTION...

15 USD

0

0

National Dental Assisting Examining Board(NDAEB) Multiple Exams With Answers (NEW UPDATE) 2022
View Document

National Dental Assisting Examining Board(NDAEB) Multiple Exams With Answers (NEW UPDATE) 2022

  • studypal

    studypal

  • questions & answers

National Dental Assisting Examining Board(NDAEB) Multiple Exams With Answers (NEW UPDATE) 2022...

14 USD

0

0

adult-gerontology nurse practitioner (AGNP) Practice Test 1 and 2 With Answers, Complete solution Pack 2022
View Document

adult-gerontology nurse practitioner (AGNP) Practice Test 1 and 2 With Answers, Complete solution Pack 2022

  • studypal

    studypal

  • questions & answers

adult-gerontology nurse practitioner (AGNP) Practice Test 1 and 2 With Answers, Complete solution Pack 2022...

14 USD

0

0

Master of Science in Nursing, Family Nurse Practitioner (MSN - FNP) Practice Test 1,2 and 3 With Answers. Complete Solution Pack 2022
View Document

Master of Science in Nursing, Family Nurse Practitioner (MSN - FNP) Practice Test 1,2 and 3 With Answers. Complete Solution Pack 2022

  • studypal

    studypal

  • questions & answers

Master of Science in Nursing, Family Nurse Practitioner (MSN - FNP) Practice Test 1,2 and 3 With Answers. Complete Solut...

16 USD

0

0

NAPSRx® Final Exam Quiz Solution 2021-2022 Rated A+ 144 Correct Answers out of 160
View Document

NAPSRx® Final Exam Quiz Solution 2021-2022 Rated A+ 144 Correct Answers out of 160

  • Angelicer

    Angelicer

  • exam

NAPSRx® Final Exam Quiz Solution 2021-2022 Rated A+ 144 Correct Answers out of 160...

15 USD

0

0

NAPRxs CNPR Exam 2022
View Document

NAPRxs CNPR Exam 2022

  • Angelicer

    Angelicer

  • exam

NAPRxs CNPR Exam 2022 – Download PDF...

10 USD

0

0

NAPRX, CNPR Exam 2022 (160 Questions & Answers)
View Document

NAPRX, CNPR Exam 2022 (160 Questions & Answers)

  • Angelicer

    Angelicer

  • exam

NAPRX, CNPR Exam 2022 (160 Questions & Answers)...

15 USD

0

0

CNPR, NAPSR Exam Pack 2022 (ANSWERED)
View Document

CNPR, NAPSR Exam Pack 2022 (ANSWERED)

  • Angelicer

    Angelicer

  • exam

CNPR, NAPSR Exam Pack 2022 (ANSWERED)...

15 USD

0

0

ATI FUNDAMENTALS PROCTORED EXAM  TEST BANK 2020 - 2022
View Document

ATI FUNDAMENTALS PROCTORED EXAM TEST BANK 2020 - 2022

  • Eddah-Nafula

    Eddah-Nafula

  • exam

ATI FUNDAMENTALS PROCTORED EXAM TEST BANK 2020 - 2022...

15 USD

0

0

Combination of DSE OSCE Test Prep questions Latest 2022
View Document

Combination of DSE OSCE Test Prep questions Latest 2022

  • mentor2000

    mentor2000

  • exam

Combination of DSE OSCE Test Prep questions Latest 2022...

10 USD

0

0

CHES Practice Exam Questions (From 7th edition) Latest 2022
View Document

CHES Practice Exam Questions (From 7th edition) Latest 2022

  • mentor2000

    mentor2000

  • exam

CHES Practice Exam Questions (From 7th edition) Latest 2022...

10 USD

0

0

Certified in Public Health, Exam Review Guide, CPH Exam Practice Test Bank Prep Latest 2022
View Document

Certified in Public Health, Exam Review Guide, CPH Exam Practice Test Bank Prep Latest 2022

  • mentor2000

    mentor2000

  • exam

Certified in Public Health, Exam Review Guide, CPH Exam Practice Test Bank Prep Latest 2022...

10 USD

0

0

EYoung Cardiovascular SOAP Note Harvey Hoya Latest 2026
View Document

EYoung Cardiovascular SOAP Note Harvey Hoya Latest 2026

  • mentor2000

    mentor2000

  • exam

EYoung Cardiovascular SOAP Note Harvey Hoya Latest 2025...

11 USD

0

0

CLC 106 COR with a Mission Focus DAU Latest 2026
View Document

CLC 106 COR with a Mission Focus DAU Latest 2026

  • mentor2000

    mentor2000

  • exam

CLC 106 COR with a Mission Focus DAU Latest 2025...

11 USD

0

0

CHEM 103 MODULE 1 –MODULE 6 Exam 2022(Portage Learning)
View Document

CHEM 103 MODULE 1 –MODULE 6 Exam 2022(Portage Learning)

  • mentor2000

    mentor2000

  • exam

CHEM 103 MODULE 1 –MODULE 6 Exam 2022(Portage Learning)...

10 USD

0

0

ASVAB Pre-screening, internet-delivered computer adaptive test (PiCAT) Science Practice Questions (Answers Provided) Complete Solution Pack - 2022
View Document

ASVAB Pre-screening, internet-delivered computer adaptive test (PiCAT) Science Practice Questions (Answers Provided) Complete Solution Pack - 2022

  • studypal

    studypal

  • questions & answers

ASVAB Pre-screening, internet-delivered computer adaptive test (PiCAT) Science Practice Questions (Answers Provided) Com...

13 USD

0

0

NUR 4590 Final Exam 2022, Rasmussen Final Exam Review
View Document

NUR 4590 Final Exam 2022, Rasmussen Final Exam Review

  • Angelicer

    Angelicer

  • study guide

NUR 4590 Final Exam 2022, Rasmussen Final Exam Review...

10 USD

0

0

Prophecy general ICU A V3 Questions & Answers, Distinction Level Assignment: Fall 2022.
View Document

Prophecy general ICU A V3 Questions & Answers, Distinction Level Assignment: Fall 2022.

  • studypal

    studypal

  • questions & answers

Prophecy general ICU A V3 Questions & Answers, Distinction Level Assignment: Fall 2022....

13 USD

0

0

SAFe 4 Agilist Exam (4.6) Questions With Correct Answers. 2022 Revision.
View Document

SAFe 4 Agilist Exam (4.6) Questions With Correct Answers. 2022 Revision.

  • studypal

    studypal

  • questions & answers

SAFe 4 Agilist Exam (4.6) Questions With Correct Answers. 2022 Revision. – Download PDF...

7 USD

0

0

The Scaled Agile Framework (SAFe) Program Consultant (SPC), MAR 335 - New Product Development and Marketing; Test 1&2, UDEMY Test 1-4. Verified Answers - 2022.
View Document

The Scaled Agile Framework (SAFe) Program Consultant (SPC), MAR 335 - New Product Development and Marketing; Test 1&2, UDEMY Test 1-4. Verified Answers - 2022.

  • studypal

    studypal

  • questions & answers

The Scaled Agile Framework (SAFe) Program Consultant (SPC), MAR 335 - New Product Development and Marketing; Test 1&2, U...

14 USD

0

0

The Scaled Agile Framework (SAFe) Program Consultant (SPC) Flash Cards 82 Pages (DETAILED GUIDE) 2022
View Document

The Scaled Agile Framework (SAFe) Program Consultant (SPC) Flash Cards 82 Pages (DETAILED GUIDE) 2022

  • studypal

    studypal

  • study guide

The Scaled Agile Framework (SAFe) Program Consultant (SPC) Flash Cards 82 Pages (DETAILED GUIDE) 2022...

13 USD

0

0

Community Public Health Nursing, 7th Edition by Nies test bank 2022 updated
View Document

Community Public Health Nursing, 7th Edition by Nies test bank 2022 updated

  • Kaponga

    Kaponga

  • exam

Community Public Health Nursing, 7th Edition by Nies test bank 2022 updated...

17 USD

0

0

NUR109 EXAM 1 QUESTIONS WITH ANSWERS (Excelsior School 2022)
View Document

NUR109 EXAM 1 QUESTIONS WITH ANSWERS (Excelsior School 2022)

  • Kaponga

    Kaponga

  • nclex

NUR109 EXAM 1 QUESTIONS WITH ANSWERS (Excelsior School 2022)...

10 USD

0

0

NUR109 EXAM 2 QUESTIONS WITH ANSWERS (Excelsior School 2022)
View Document

NUR109 EXAM 2 QUESTIONS WITH ANSWERS (Excelsior School 2022)

  • Kaponga

    Kaponga

  • nclex

NUR109 EXAM 2 QUESTIONS WITH ANSWERS (Excelsior School 2022)...

10 USD

0

0

SEJPME II Module Test Bank: From Module 3 to 22 with Verified Answers Latest (2022)
View Document

SEJPME II Module Test Bank: From Module 3 to 22 with Verified Answers Latest (2022)

  • Kaponga

    Kaponga

  • nclex

SEJPME II Module Test Bank: From Module 3 to 22 with Verified Answers Latest (2022)...

15 USD

0

0

Hesi fundamentals V1 questions with answers and rationales
View Document

Hesi fundamentals V1 questions with answers and rationales

  • mentor2000

    mentor2000

  • hesi

Hesi fundamentals V1 questions with answers and rationales...

15 USD

0

0

MGMT 681 Strategic Management; SAFe 5 Program Consultant Real Test Upgrade 5.0 (Correct Answers) 2022
View Document

MGMT 681 Strategic Management; SAFe 5 Program Consultant Real Test Upgrade 5.0 (Correct Answers) 2022

  • studypal

    studypal

  • questions & answers

MGMT 681 Strategic Management; SAFe 5 Program Consultant Real Test Upgrade 5.0 (Correct Answers) 2022 – Download PDF...

9 USD

0

0

Analyzing Contract Costs CLC 056 Study Guide Latest 2022
View Document

Analyzing Contract Costs CLC 056 Study Guide Latest 2022

  • Angelicer

    Angelicer

  • test bank

Analyzing Contract Costs CLC 056 Study Guide Latest 2022...

12 USD

0

0

Scaled Agile Framework (SAFe) 5.0 Quiz Answers, Updated June 2022 Guaranteed A+
View Document

Scaled Agile Framework (SAFe) 5.0 Quiz Answers, Updated June 2022 Guaranteed A+

  • studypal

    studypal

  • questions & answers

Scaled Agile Framework (SAFe) 5.0 Quiz Answers, Updated June 2022 Guaranteed A+...

14 USD

0

0

ATI Pharmacology Proctored Exam Retake 2 Updated 2022
View Document

ATI Pharmacology Proctored Exam Retake 2 Updated 2022

  • jaysondavis

    jaysondavis

  • ati

ATI Pharmacology Proctored Exam Retake 2 Updated 2022...

10 USD

0

0

NORWICH NR552 Week 1 Quiz Latest 2022
View Document

NORWICH NR552 Week 1 Quiz Latest 2022

  • Techma

    Techma

  • questions & answers

NORWICH NR552 Week 1 Quiz Latest 2022...

7 USD

0

0

ATI Pharmacology Proctored Exam (Real Exam) 2022
View Document

ATI Pharmacology Proctored Exam (Real Exam) 2022

  • Opati-Kaka

    Opati-Kaka

  • ati

ATI Pharmacology Proctored Exam (Real Exam) 2022...

16 USD

0

0

SCI 225 Week 16  Pathophysiology Final Exam (Proctored) 2022
View Document

SCI 225 Week 16 Pathophysiology Final Exam (Proctored) 2022

  • mentor2000

    mentor2000

  • exam

SCI 225 Week 16 Pathophysiology Final Exam (Proctored) 2022...

12 USD

0

0

HESI PN EXIT V1 (2022: 160 Questions and Answers)
View Document

HESI PN EXIT V1 (2022: 160 Questions and Answers)

  • Opati-Kaka

    Opati-Kaka

  • hesi

HESI PN EXIT V1 (2022: 160 Questions and Answers)...

16 USD

0

0

ATI RN Comprehensive Online Practice Exam (150 Questions with Verified Answers) 2022
View Document

ATI RN Comprehensive Online Practice Exam (150 Questions with Verified Answers) 2022

  • studypal

    studypal

  • ati

ATI RN Comprehensive Online Practice Exam (150 Questions with Verified Answers) 2022...

14 USD

0

0

AHIP 2022 Medicare Plus Fraud, Waste and Abuse Training - Questions with All Correct Answers
View Document

AHIP 2022 Medicare Plus Fraud, Waste and Abuse Training - Questions with All Correct Answers

  • studypal

    studypal

  • questions & answers

AHIP 2022 Medicare Plus Fraud, Waste and Abuse Training - Questions with All Correct Answers...

14 USD

0

0

ALL APEA EXAM PACKAGE - Questions And Answers Test Bank 2022
View Document

ALL APEA EXAM PACKAGE - Questions And Answers Test Bank 2022

  • studypal

    studypal

  • test bank

ALL APEA EXAM PACKAGE - Questions And Answers Test Bank 2022 – Download PDF...

15 USD

0

0

AHIP Final Exam Test Questions and Answers 2022
View Document

AHIP Final Exam Test Questions and Answers 2022

  • mentor2000

    mentor2000

  • exam

AHIP Final Exam Test Questions and Answers 2022...

10 USD

0

0

LVN EXIT EXAM 2022
View Document

LVN EXIT EXAM 2022

  • mentor2000

    mentor2000

  • hesi

LVN EXIT EXAM 2022...

15 USD

0

0

HESI PN EXIT EXAM 2022
View Document

HESI PN EXIT EXAM 2022

  • mentor2000

    mentor2000

  • hesi

HESI PN EXIT EXAM 2022...

15 USD

0

0

NCLEX UWORLD STUDY GUIDE 2022
View Document

NCLEX UWORLD STUDY GUIDE 2022

  • mentor2000

    mentor2000

  • exam

NCLEX UWORLD STUDY GUIDE 2022...

15 USD

0

0

NUR 240- Online Clinical Week 3 Patricia Brenner (Answered 2022)
View Document

NUR 240- Online Clinical Week 3 Patricia Brenner (Answered 2022)

  • mentor2000

    mentor2000

  • exam

NUR 240- Online Clinical Week 3 Patricia Brenner (Answered 2022)...

10 USD

0

0

NUR 240 EXAM 1 Study Guide 2022
View Document

NUR 240 EXAM 1 Study Guide 2022

  • mentor2000

    mentor2000

  • exam

NUR 240 EXAM 1 Study Guide 2022...

10 USD

0

0

NRNP 6635 FINAL EXAM 2022
View Document

NRNP 6635 FINAL EXAM 2022

  • mentor2000

    mentor2000

  • exam

NRNP 6635 FINAL EXAM 2022...

10 USD

0

0

NRNP 6531 midterm exam 2022
View Document

NRNP 6531 midterm exam 2022

  • mentor2000

    mentor2000

  • exam

NRNP 6531 midterm exam 2022...

10 USD

0

0

NR667 Women Health Quiz Answered 2022
View Document

NR667 Women Health Quiz Answered 2022

  • mentor2000

    mentor2000

  • exam

NR667 Women Health Quiz Answered 2022...

10 USD

0

0

NR667 Wk6 Concept Map 2022
View Document

NR667 Wk6 Concept Map 2022

  • mentor2000

    mentor2000

  • exam

NR667 Wk6 Concept Map 2022...

10 USD

0

0

NR667 Sexually Transmitted Diseases Quiz Answered 2022
View Document

NR667 Sexually Transmitted Diseases Quiz Answered 2022

  • mentor2000

    mentor2000

  • exam

NR667 Sexually Transmitted Diseases Quiz Answered 2022...

10 USD

0

0

NR667 Mens Health Quiz Answered 2022
View Document

NR667 Mens Health Quiz Answered 2022

  • mentor2000

    mentor2000

  • exam

NR667 Mens Health Quiz Answered 2022...

10 USD

0

0

NR667 Endocrine Quiz Answered 2022
View Document

NR667 Endocrine Quiz Answered 2022

  • mentor2000

    mentor2000

  • exam

NR667 Endocrine Quiz Answered 2022...

10 USD

0

0

NR509 Mid-Term Study Guide 2022
View Document

NR509 Mid-Term Study Guide 2022

  • mentor2000

    mentor2000

  • exam

NR509 Mid-Term Study Guide 2022...

10 USD

0

0

NR 599 Week 4 Midterm Exam Study Guide 2022
View Document

NR 599 Week 4 Midterm Exam Study Guide 2022

  • mentor2000

    mentor2000

  • exam

NR 599 Week 4 Midterm Exam Study Guide 2022...

10 USD

0

0

NR 509 Final Study Guide 2022
View Document

NR 509 Final Study Guide 2022

  • mentor2000

    mentor2000

  • exam

NR 509 Final Study Guide 2022...

10 USD

0

0

HESI RN MENTAL HEALTH 2022 V1, V2, V3, QUESTIONS AND ANSWERS
View Document

HESI RN MENTAL HEALTH 2022 V1, V2, V3, QUESTIONS AND ANSWERS

  • mentor2000

    mentor2000

  • exam

HESI RN MENTAL HEALTH 2022 V1, V2, V3, QUESTIONS AND ANSWERS...

15 USD

0

0

DAD 220 Module 3 Lab 2022
View Document

DAD 220 Module 3 Lab 2022

  • mentor2000

    mentor2000

  • exam

DAD 220 Module 3 Lab 2022...

10 USD

0

0

AHIP 2022 Exam bank (Questions and Answers)
View Document

AHIP 2022 Exam bank (Questions and Answers)

  • mentor2000

    mentor2000

  • exam

AHIP 2022 Exam bank (Questions and Answers)...

10 USD

0

0

AHIP 2021, 2022 Exam bank (answered) Elaborated.
View Document

AHIP 2021, 2022 Exam bank (answered) Elaborated.

  • mentor2000

    mentor2000

  • exam

AHIP 2021, 2022 Exam bank (answered) Elaborated....

10 USD

0

0

NURSING MS NR509 Physical Assessment Study Guide 2022 Chamberlain
View Document

NURSING MS NR509 Physical Assessment Study Guide 2022 Chamberlain

  • mentor2000

    mentor2000

  • exam

NURSING MS NR509 Physical Assessment Study Guide 2022 Chamberlain...

10 USD

0

0

NSG 6440 Predictor Test 2022
View Document

NSG 6440 Predictor Test 2022

  • mentor2000

    mentor2000

  • exam

NSG 6440 Predictor Test 2022...

10 USD

0

0

MENTAL HEALTH (PSYCH) HESI – FINAL EXAM 2022
View Document

MENTAL HEALTH (PSYCH) HESI – FINAL EXAM 2022

  • mentor2000

    mentor2000

  • exam

MENTAL HEALTH (PSYCH) HESI – FINAL EXAM 2022...

12 USD

0

0

NCLEX ACTUAL EXAM PREDICTION QUESTIONS 2022 TEST BANK. A++ GUARANTEED
View Document

NCLEX ACTUAL EXAM PREDICTION QUESTIONS 2022 TEST BANK. A++ GUARANTEED

  • studypal

    studypal

  • nclex

NCLEX ACTUAL EXAM PREDICTION QUESTIONS 2022 TEST BANK. A++ GUARANTEED...

10 USD

0

0

MAT1503 ASSIGNMENT 03 SOLUTIONS, SEMESTER 1, 2022
View Document

MAT1503 ASSIGNMENT 03 SOLUTIONS, SEMESTER 1, 2022

  • mentor2000

    mentor2000

  • exam

MAT1503 ASSIGNMENT 03 SOLUTIONS, SEMESTER 1, 2022...

10 USD

0

0

MAT1503 ASSIGNMENT 02 SOLUTIONS, 2022
View Document

MAT1503 ASSIGNMENT 02 SOLUTIONS, 2022

  • mentor2000

    mentor2000

  • exam

MAT1503 ASSIGNMENT 02 SOLUTIONS, 2022...

10 USD

0

0

HESI EXIT RN (REAL EXAM) 2022 V3 QUESTIONS AND ANSWERS
View Document

HESI EXIT RN (REAL EXAM) 2022 V3 QUESTIONS AND ANSWERS

  • mentor2000

    mentor2000

  • exam

HESI EXIT RN (REAL EXAM) 2022 V3 QUESTIONS AND ANSWERS...

15 USD

0

1

HESI EXIT RN (REAL EXAM) 2022 V6 QUESTIONS AND ANSWERS
View Document

HESI EXIT RN (REAL EXAM) 2022 V6 QUESTIONS AND ANSWERS

  • mentor2000

    mentor2000

  • exam

HESI EXIT RN (REAL EXAM) 2022 V6 QUESTIONS AND ANSWERS...

15 USD

0

0

HESI EXIT RN (REAL EXAM) 2022 V5 QUESTIONS AND ANSWERS
View Document

HESI EXIT RN (REAL EXAM) 2022 V5 QUESTIONS AND ANSWERS

  • mentor2000

    mentor2000

  • exam

HESI EXIT RN (REAL EXAM) 2022 V5 QUESTIONS AND ANSWERS...

15 USD

0

0

HESI EXIT RN (REAL EXAM) 2022 V4 QUESTIONS AND ANSWERS
View Document

HESI EXIT RN (REAL EXAM) 2022 V4 QUESTIONS AND ANSWERS

  • mentor2000

    mentor2000

  • exam

HESI EXIT RN (REAL EXAM) 2022 V4 QUESTIONS AND ANSWERS...

15 USD

0

0

HESI EXIT RN (REAL EXAM) 2022 V2 QUESTIONS AND ANSWERS
View Document

HESI EXIT RN (REAL EXAM) 2022 V2 QUESTIONS AND ANSWERS

  • mentor2000

    mentor2000

  • exam

HESI EXIT RN (REAL EXAM) 2022 V2 QUESTIONS AND ANSWERS...

15 USD

0

0

HESI EXIT RN (REAL EXAM) 2022 V1 QUESTIONS AND ANSWERS
View Document

HESI EXIT RN (REAL EXAM) 2022 V1 QUESTIONS AND ANSWERS

  • mentor2000

    mentor2000

  • exam

HESI EXIT RN (REAL EXAM) 2022 V1 QUESTIONS AND ANSWERS...

15 USD

0

0

Cyber Awareness Challenge Latest 2022 Exam
View Document

Cyber Awareness Challenge Latest 2022 Exam

  • Namwaki

    Namwaki

  • exam

Cyber Awareness Challenge Latest 2022 Exam...

10 USD

0

0

Annual DoD Cyber Awareness Challenge Exam 2022
View Document

Annual DoD Cyber Awareness Challenge Exam 2022

  • Namwaki

    Namwaki

  • exam

Annual DoD Cyber Awareness Challenge Exam 2022...

12 USD

0

0

ATI TEAS 7 TEST BANK QUESTION BANK 300+ QUESTIONS & ANSWERS LATEST SUMMER 2022
View Document

ATI TEAS 7 TEST BANK QUESTION BANK 300+ QUESTIONS & ANSWERS LATEST SUMMER 2022

  • studypal

    studypal

  • nclex

ATI TEAS 7 TEST BANK QUESTION BANK 300+ QUESTIONS & ANSWERS LATEST SUMMER 2022...

17 USD

0

0

NRS 103 Integrative Nursing Midterm Exam 2022
View Document

NRS 103 Integrative Nursing Midterm Exam 2022

  • mentor2000

    mentor2000

  • exam

NRS 103 Integrative Nursing Midterm Exam 2022...

15 USD

0

0

NRS 103 Final Exam Integrative Nursing II 2022 (Questions and Answers)
View Document

NRS 103 Final Exam Integrative Nursing II 2022 (Questions and Answers)

  • mentor2000

    mentor2000

  • exam

NRS 103 Final Exam Integrative Nursing II 2022 (Questions and Answers)...

15 USD

0

0

NRS 103 MED SURG FINAL EXAM 2022 (Questions and Answers)
View Document

NRS 103 MED SURG FINAL EXAM 2022 (Questions and Answers)

  • mentor2000

    mentor2000

  • exam

NRS 103 MED SURG FINAL EXAM 2022 (Questions and Answers)...

15 USD

0

0

NRS 103 Final Exam Integrative Nursing I 2022 (Questions and Answers)
View Document

NRS 103 Final Exam Integrative Nursing I 2022 (Questions and Answers)

  • mentor2000

    mentor2000

  • exam

NRS 103 Final Exam Integrative Nursing I 2022 (Questions and Answers)...

15 USD

0

0

NRS 103 Final Exam Integrative Nursing 2022 (Questions and Answers)
View Document

NRS 103 Final Exam Integrative Nursing 2022 (Questions and Answers)

  • mentor2000

    mentor2000

  • exam

NRS 103 Final Exam Integrative Nursing 2022 (Questions and Answers)...

15 USD

0

0

NRS 102 Integrative Nursing Final Exam 2022
View Document

NRS 102 Integrative Nursing Final Exam 2022

  • mentor2000

    mentor2000

  • exam

NRS 102 Integrative Nursing Final Exam 2022...

10 USD

0

0

Integrative Nursing Midterm Exam Winter 2022
View Document

Integrative Nursing Midterm Exam Winter 2022

  • mentor2000

    mentor2000

  • exam

Integrative Nursing Midterm Exam Winter 2022...

10 USD

0

0

Super 10 Mock Tests for NTA JEE Main with Optional Questions 5th Edition 2022 - 248pages ISBN 10: 9391551963 ISBN 13: 9789391551964
View Document

Super 10 Mock Tests for NTA JEE Main with Optional Questions 5th Edition 2022 - 248pages ISBN 10: 9391551963 ISBN 13: 9789391551964

  • studypal

    studypal

  • book

Super 10 Mock Tests for NTA JEE Main with Optional Questions 5th Edition 2022 - 248pages ISBN 10: 9391551963 ISBN 13: 97...

14 USD

0

0

(NHA) Certified Clinical Medical Assistant (CCMA) 2022
View Document

(NHA) Certified Clinical Medical Assistant (CCMA) 2022

  • tutor_gesco

    tutor_gesco

  • exam

(NHA) Certified Clinical Medical Assistant (CCMA) 2022...

12 USD

0

0

Certified Nursing Assistant (CNA) Exam_Distinction level guide 2022 (Answered)
View Document

Certified Nursing Assistant (CNA) Exam_Distinction level guide 2022 (Answered)

  • tutor_gesco

    tutor_gesco

  • exam

Certified Nursing Assistant (CNA) Exam_Distinction level guide 2022 (Answered)...

12 USD

0

0

Certified Nursing Assistant examination (CNA) Written Test Answered 2022
View Document

Certified Nursing Assistant examination (CNA) Written Test Answered 2022

  • tutor_gesco

    tutor_gesco

  • exam

Certified Nursing Assistant examination (CNA) Written Test Answered 2022...

12 USD

0

0

CNA Questions and Answers– Prometric Questions and Answers 2022
View Document

CNA Questions and Answers– Prometric Questions and Answers 2022

  • tutor_gesco

    tutor_gesco

  • exam

CNA Questions and Answers– Prometric Questions and Answers 2022...

12 USD

0

0

CNA Written Exam ( prometric test ) Latest 2022
View Document

CNA Written Exam ( prometric test ) Latest 2022

  • tutor_gesco

    tutor_gesco

  • exam

CNA Written Exam ( prometric test ) Latest 2022...

12 USD

0

0

Davita Final Exam (Study Guide) complete A+ guide, updated 2022
View Document

Davita Final Exam (Study Guide) complete A+ guide, updated 2022

  • tutor_gesco

    tutor_gesco

  • exam

Davita Final Exam (Study Guide) complete A+ guide, updated 2022...

12 USD

0

0

NHA Medical Assistant (CCMA) Exam solution Test bank Latest 2022
View Document

NHA Medical Assistant (CCMA) Exam solution Test bank Latest 2022

  • tutor_gesco

    tutor_gesco

  • exam

NHA Medical Assistant (CCMA) Exam solution Test bank Latest 2022...

12 USD

0

0

Prometric CNA Latest  Exam Answers 2022
View Document

Prometric CNA Latest Exam Answers 2022

  • tutor_gesco

    tutor_gesco

  • exam

Prometric CNA Latest Exam Answers 2022...

12 USD

0

0

Summary LPC Notes CLIP (Commercial Law and IP) Revision Notes 2022
View Document

Summary LPC Notes CLIP (Commercial Law and IP) Revision Notes 2022

  • tutor_gesco

    tutor_gesco

  • hesi

Summary LPC Notes CLIP (Commercial Law and IP) Revision Notes 2022...

10 USD

0

0

HMPYC80 Research Methodology Assignment 2 Research Review Inventory (R.R.I) Revised 2022
View Document

HMPYC80 Research Methodology Assignment 2 Research Review Inventory (R.R.I) Revised 2022

  • tutor_gesco

    tutor_gesco

  • hesi

HMPYC80 Research Methodology Assignment 2 Research Review Inventory (R.R.I) Revised 2022...

12 USD

0

0

ATI RN COMPREHENSIVE EXIT EXAM 2022
View Document

ATI RN COMPREHENSIVE EXIT EXAM 2022

  • mentor2000

    mentor2000

  • ati

ATI RN COMPREHENSIVE EXIT EXAM 2022...

16 USD

0

0

NURS 125 Final Exam 2022
View Document

NURS 125 Final Exam 2022

  • tutor_gesco

    tutor_gesco

  • exam

NURS 125 Final Exam 2022...

10 USD

0

0

NAPSR FINAL 2022 EXAM (ALL ANSWERS CORRECT)
View Document

NAPSR FINAL 2022 EXAM (ALL ANSWERS CORRECT)

  • tutor_gesco

    tutor_gesco

  • exam

NAPSR FINAL 2022 EXAM (ALL ANSWERS CORRECT)...

10 USD

0

0

GIZMOs, Genetic Engineering - Answer key (TOP RATED) 2022
View Document

GIZMOs, Genetic Engineering - Answer key (TOP RATED) 2022

  • evekendra3

    evekendra3

  • questions & answers

GIZMOs, Genetic Engineering - Answer key (TOP RATED) 2022...

9 USD

0

0

GIZMOs -DNA Profiling updated answer key ( 2022) A+ Guide
View Document

GIZMOs -DNA Profiling updated answer key ( 2022) A+ Guide

  • evekendra3

    evekendra3

  • questions & answers

GIZMOs -DNA Profiling updated answer key ( 2022) A+ Guide...

10 USD

0

0

GIZMOS -Free-Fall (SE) Complete Answer key 2022
View Document

GIZMOS -Free-Fall (SE) Complete Answer key 2022

  • evekendra3

    evekendra3

  • questions & answers

GIZMOS -Free-Fall (SE) Complete Answer key 2022...

11 USD

0

0

GIZMOS - Disease Spread - Answer key ( 2022) A+ Guide
View Document

GIZMOS - Disease Spread - Answer key ( 2022) A+ Guide

  • evekendra3

    evekendra3

  • questions & answers

GIZMOS - Disease Spread - Answer key ( 2022) A+ Guide...

6 USD

0

0

Gizmos -Mouse Genetics (One Trait) - answer key 2022
View Document

Gizmos -Mouse Genetics (One Trait) - answer key 2022

  • evekendra3

    evekendra3

  • questions & answers

Gizmos -Mouse Genetics (One Trait) - answer key 2022...

6 USD

0

0

Gizmos -Erosion Rates - updated answer key 2022
View Document

Gizmos -Erosion Rates - updated answer key 2022

  • evekendra3

    evekendra3

  • questions & answers

Gizmos -Erosion Rates - updated answer key 2022...

13 USD

0

0

Gizmos -Copy of Building DNA - complete worksheet 2022
View Document

Gizmos -Copy of Building DNA - complete worksheet 2022

  • evekendra3

    evekendra3

  • questions & answers

Gizmos -Copy of Building DNA - complete worksheet 2022...

5 USD

0

0

Gizmos -Half-life  Answer key 2022
View Document

Gizmos -Half-life Answer key 2022

  • evekendra3

    evekendra3

  • questions & answers

Gizmos -Half-life Answer key 2022...

10 USD

0

0

Gizmos -Mineral Identification Updated answer key 2022
View Document

Gizmos -Mineral Identification Updated answer key 2022

  • evekendra3

    evekendra3

  • questions & answers

Gizmos -Mineral Identification Updated answer key 2022...

6 USD

0

0

HESI EXIT RN EXAM V3 2022
View Document

HESI EXIT RN EXAM V3 2022

  • elitesolutions

    elitesolutions

  • hesi

HESI EXIT RN EXAM V3 2022...

23 USD

0

0

NURS 6501N Final Exam 1 August 2022;PREDICTOR EXAM GRADED A
View Document

NURS 6501N Final Exam 1 August 2022;PREDICTOR EXAM GRADED A

  • elitesolutions

    elitesolutions

  • exam

NURS 6501N Final Exam 1 August 2022;PREDICTOR EXAM GRADED A...

16 USD

0

0

(answered)Prophecy Assessments - Core Mandatory Part I  Prophecy Core Mandatory Part 1 Winter 2022, all answered 100% correct.
View Document

(answered)Prophecy Assessments - Core Mandatory Part I Prophecy Core Mandatory Part 1 Winter 2022, all answered 100% correct.

  • studypal

    studypal

  • questions & answers

(answered)Prophecy Assessments - Core Mandatory Part I Prophecy Core Mandatory Part 1 Winter 2022, all answered 100% co...

10 USD

0

0

NCLEX-PN Test-Bank 2022 (200 Questions with Answers and Explanation)
View Document

NCLEX-PN Test-Bank 2022 (200 Questions with Answers and Explanation)

  • elitesolutions

    elitesolutions

  • nclex

NCLEX-PN Test-Bank 2022 (200 Questions with Answers and Explanation)...

20 USD

0

0

Gizmos - Pith Ball - Updated Answer Key 2022
View Document

Gizmos - Pith Ball - Updated Answer Key 2022

  • evekendra3

    evekendra3

  • questions & answers

Gizmos - Pith Ball - Updated Answer Key 2022...

7 USD

0

0

Gizmos - Student Disease Spread - Answer sheet 2022
View Document

Gizmos - Student Disease Spread - Answer sheet 2022

  • evekendra3

    evekendra3

  • questions & answers

Gizmos - Student Disease Spread - Answer sheet 2022...

7 USD

0

0

Gizmos  Sound Beats and Sine Waves - Answer Key 2022
View Document

Gizmos Sound Beats and Sine Waves - Answer Key 2022

  • evekendra3

    evekendra3

  • questions & answers

Gizmos Sound Beats and Sine Waves - Answer Key 2022...

7 USD

0

0

GIZMOS Human Homeostasis Activity (updated answer key) 2022
View Document

GIZMOS Human Homeostasis Activity (updated answer key) 2022

  • evekendra3

    evekendra3

  • questions & answers

GIZMOS Human Homeostasis Activity (updated answer key) 2022...

6 USD

0

0

Gizmos Cell Structure Worksheet answers (updated answer key) 2022
View Document

Gizmos Cell Structure Worksheet answers (updated answer key) 2022

  • evekendra3

    evekendra3

  • questions & answers

Gizmos Cell Structure Worksheet answers (updated answer key) 2022...

5 USD

0

0

UHC Ethics & Compliance Answered 2022
View Document

UHC Ethics & Compliance Answered 2022

  • mentor2000

    mentor2000

  • exam

UHC Ethics & Compliance Answered 2022...

10 USD

0

0

NHA CBCS EXAM REVIEW ANSWERED 2022
View Document

NHA CBCS EXAM REVIEW ANSWERED 2022

  • mentor2000

    mentor2000

  • exam

NHA CBCS EXAM REVIEW ANSWERED 2022...

10 USD

0

0

HIPAA and Privacy Act Training (CHALLENGE EXAM) (DHA-US001) Questions and Answers 2022
View Document

HIPAA and Privacy Act Training (CHALLENGE EXAM) (DHA-US001) Questions and Answers 2022

  • mentor2000

    mentor2000

  • exam

HIPAA and Privacy Act Training (CHALLENGE EXAM) (DHA-US001) Questions and Answers 2022...

10 USD

0

0

CITI training includes, Responsible Conduct, Ethics, RCR, Law, HTH & IRB Exam 2022
View Document

CITI training includes, Responsible Conduct, Ethics, RCR, Law, HTH & IRB Exam 2022

  • mentor2000

    mentor2000

  • exam

CITI training includes, Responsible Conduct, Ethics, RCR, Law, HTH & IRB Exam 2022...

10 USD

0

0

C724 (Information Systems Management) - WGU 2022 Study Guide
View Document

C724 (Information Systems Management) - WGU 2022 Study Guide

  • mentor2000

    mentor2000

  • exam

C724 (Information Systems Management) - WGU 2022 Study Guide...

10 USD

0

0

NHA CBCS EXAM REVIEW ANSWERED 2022
View Document

NHA CBCS EXAM REVIEW ANSWERED 2022

  • tutor_gesco

    tutor_gesco

  • exam

NHA CBCS EXAM REVIEW ANSWERED 2022...

12 USD

0

0

IV Therapy Final Exam: Questions and Answers Updated 2022
View Document

IV Therapy Final Exam: Questions and Answers Updated 2022

  • tutor_gesco

    tutor_gesco

  • exam

IV Therapy Final Exam: Questions and Answers Updated 2022...

12 USD

0

1

ATI - NUR 406NUR406 PHARMACOLOGY ASSESSMENT 1 AND 2 COMPLETE. LATEST 2022
View Document

ATI - NUR 406NUR406 PHARMACOLOGY ASSESSMENT 1 AND 2 COMPLETE. LATEST 2022

  • mentor2000

    mentor2000

  • ati

ATI - NUR 406NUR406 PHARMACOLOGY ASSESSMENT 1 AND 2 COMPLETE. LATEST 2022...

15 USD

0

0

Multidimensional Care I,  MDC 1 Exam 2 Latest 2022
View Document

Multidimensional Care I, MDC 1 Exam 2 Latest 2022

  • mentor2000

    mentor2000

  • test bank

Multidimensional Care I, MDC 1 Exam 2 Latest 2022...

12 USD

0

0

NREMT Exam Questions and Answers EMR Exam Prep 2022
View Document

NREMT Exam Questions and Answers EMR Exam Prep 2022

  • tutor_gesco

    tutor_gesco

  • exam

NREMT Exam Questions and Answers EMR Exam Prep 2022...

12 USD

0

0

NBCOT (National Board for Certification of Occupational Therapy) Latest Exam 2022
View Document

NBCOT (National Board for Certification of Occupational Therapy) Latest Exam 2022

  • tutor_gesco

    tutor_gesco

  • exam

NBCOT (National Board for Certification of Occupational Therapy) Latest Exam 2022...

12 USD

0

0

MDC2 Test 2 (Latest) 50 Questions with Answers 2022
View Document

MDC2 Test 2 (Latest) 50 Questions with Answers 2022

  • tutor_gesco

    tutor_gesco

  • exam

MDC2 Test 2 (Latest) 50 Questions with Answers 2022...

12 USD

0

0

LPN N154 IV Therapy Exam 2022
View Document

LPN N154 IV Therapy Exam 2022

  • tutor_gesco

    tutor_gesco

  • exam

LPN N154 IV Therapy Exam 2022...

12 USD

0

0

Intravenous IV Therapy Adults Exam 1 Solutions 2022
View Document

Intravenous IV Therapy Adults Exam 1 Solutions 2022

  • tutor_gesco

    tutor_gesco

  • exam

Intravenous IV Therapy Adults Exam 1 Solutions 2022...

12 USD

0

0

CMS pharmacology Proctored 2022
View Document

CMS pharmacology Proctored 2022

  • tutor_gesco

    tutor_gesco

  • exam

CMS pharmacology Proctored 2022...

12 USD

0

0

ACLS Recertification Test 2022
View Document

ACLS Recertification Test 2022

  • tutor_gesco

    tutor_gesco

  • exam

ACLS Recertification Test 2022...

12 USD

0

0

NURS-6512N-53,Advanced Health Assessment Midterm Exam 2022
View Document

NURS-6512N-53,Advanced Health Assessment Midterm Exam 2022

  • Namwaki

    Namwaki

  • exam

NURS-6512N-53,Advanced Health Assessment Midterm Exam 2022...

10 USD

0

0

NUR307 All Quizzes Questions & Answers 2022, Mercer University
View Document

NUR307 All Quizzes Questions & Answers 2022, Mercer University

  • Namwaki

    Namwaki

  • exam

NUR307 All Quizzes Questions & Answers 2022, Mercer University...

10 USD

0

0

NRP 7th edition Part 1 Section 2, answered, latest 2022
View Document

NRP 7th edition Part 1 Section 2, answered, latest 2022

  • Namwaki

    Namwaki

  • exam

NRP 7th edition Part 1 Section 2, answered, latest 2022...

10 USD

0

0

Emergency Medicine Red Cross Lifeguarding Test latest 2022
View Document

Emergency Medicine Red Cross Lifeguarding Test latest 2022

  • Namwaki

    Namwaki

  • exam

Emergency Medicine Red Cross Lifeguarding Test latest 2022...

10 USD

0

0

ACLS PreTest Pharmacology and Practical Application 2022
View Document

ACLS PreTest Pharmacology and Practical Application 2022

  • Namwaki

    Namwaki

  • exam

ACLS PreTest Pharmacology and Practical Application 2022...

10 USD

0

0

ACLS Exam Version B Questions And Answers 2022
View Document

ACLS Exam Version B Questions And Answers 2022

  • tutor_gesco

    tutor_gesco

  • exam

ACLS Exam Version B Questions And Answers 2022...

10 USD

0

1

NURS-6512N-53, Advanced Health Assessment Final Exam 2022
View Document

NURS-6512N-53, Advanced Health Assessment Final Exam 2022

  • mentor2000

    mentor2000

  • exam

NURS-6512N-53, Advanced Health Assessment Final Exam 2022...

10 USD

0

0

NRNP 6635 Week 11 Final Exam 2022
View Document

NRNP 6635 Week 11 Final Exam 2022

  • mentor2000

    mentor2000

  • exam

NRNP 6635 Week 11 Final Exam 2022...

10 USD

0

0

NRNP 6635 FINAL EXAM 2022
View Document

NRNP 6635 FINAL EXAM 2022

  • mentor2000

    mentor2000

  • exam

NRNP 6635 FINAL EXAM 2022...

10 USD

0

0

HESI Med Surg Exit Exam (V1 Version 1) 2021, 2022
View Document

HESI Med Surg Exit Exam (V1 Version 1) 2021, 2022

  • mentor2000

    mentor2000

  • exam

HESI Med Surg Exit Exam (V1 Version 1) 2021, 2022...

15 USD

0

0

(Answered) NURS-6512 Advanced Health Assessment 2022
View Document

(Answered) NURS-6512 Advanced Health Assessment 2022

  • mentor2000

    mentor2000

  • exam

(Answered) NURS-6512 Advanced Health Assessment 2022...

10 USD

0

0

RNC-OB Exam test bank 2022 , Inpatient Obstetric Nurse Exam Prep 2022
View Document

RNC-OB Exam test bank 2022 , Inpatient Obstetric Nurse Exam Prep 2022

  • mentor2000

    mentor2000

  • exam

RNC-OB Exam test bank 2022 , Inpatient Obstetric Nurse Exam Prep 2022...

15 USD

0

0

Prophecy medical surgical-telemetry exam test 2022
View Document

Prophecy medical surgical-telemetry exam test 2022

  • mentor2000

    mentor2000

  • exam

Prophecy medical surgical-telemetry exam test 2022...

10 USD

0

0

NRP 7TH EDITION PART 1 SECTION 1 QUESTIONS AND ANSWERS 2022
View Document

NRP 7TH EDITION PART 1 SECTION 1 QUESTIONS AND ANSWERS 2022

  • mentor2000

    mentor2000

  • exam

NRP 7TH EDITION PART 1 SECTION 1 QUESTIONS AND ANSWERS 2022...

10 USD

0

0

LPN,LVN A Prophecy Exam 2022
View Document

LPN,LVN A Prophecy Exam 2022

  • mentor2000

    mentor2000

  • exam

LPN,LVN A Prophecy Exam 2022...

10 USD

0

0

HESI Computerized Adaptive Testing (CAT) Test Bank With Rationales 2022
View Document

HESI Computerized Adaptive Testing (CAT) Test Bank With Rationales 2022

  • mentor2000

    mentor2000

  • exam

HESI Computerized Adaptive Testing (CAT) Test Bank With Rationales 2022...

15 USD

0

0

FINAL BIOD 152 Portage Learning (Answered)
View Document

FINAL BIOD 152 Portage Learning (Answered)

  • mentor2000

    mentor2000

  • exam

FINAL BIOD 152 Portage Learning (Answered)...

10 USD

0

0

Emergency Department RN A prophecy Exam 2022
View Document

Emergency Department RN A prophecy Exam 2022

  • mentor2000

    mentor2000

  • exam

Emergency Department RN A prophecy Exam 2022...

10 USD

0

0

Nurse Logic 2.0, Knowledge and Clinical Judgement - 2022 Advanced Test
View Document

Nurse Logic 2.0, Knowledge and Clinical Judgement - 2022 Advanced Test

  • mentor2000

    mentor2000

  • exam

Nurse Logic 2.0, Knowledge and Clinical Judgement - 2022 Advanced Test...

10 USD

0

0

NSG6020 Final exam 2022
View Document

NSG6020 Final exam 2022

  • mentor2000

    mentor2000

  • exam

NSG6020 Final exam 2022...

10 USD

0

0

IBCLC Exam Bank, Questions & Answers (NEW) 2022
View Document

IBCLC Exam Bank, Questions & Answers (NEW) 2022

  • mentor2000

    mentor2000

  • exam

IBCLC Exam Bank, Questions & Answers (NEW) 2022...

10 USD

0

0

HESI EXIT RN V4 (NEW!) 2022
View Document

HESI EXIT RN V4 (NEW!) 2022

  • mentor2000

    mentor2000

  • exam

HESI EXIT RN V4 (NEW!) 2022...

13 USD

0

0

B&HL Anatomy Exam Review 2022
View Document

B&HL Anatomy Exam Review 2022

  • mentor2000

    mentor2000

  • exam

B&HL Anatomy Exam Review 2022...

10 USD

0

0

ATI Priority setting frameworks advanced test TC 2022 (Answered)
View Document

ATI Priority setting frameworks advanced test TC 2022 (Answered)

  • mentor2000

    mentor2000

  • exam

ATI Priority setting frameworks advanced test TC 2022 (Answered)...

14 USD

0

0

(IBCLC) Certification Exam Review 2022, All you need to pass with distinction!
View Document

(IBCLC) Certification Exam Review 2022, All you need to pass with distinction!

  • mentor2000

    mentor2000

  • exam

(IBCLC) Certification Exam Review 2022, All you need to pass with distinction!...

8 USD

0

0

NCSBN Online review Complete with Answers 2022
View Document

NCSBN Online review Complete with Answers 2022

  • mentor2000

    mentor2000

  • nclex

NCSBN Online review Complete with Answers 2022...

12 USD

0

0

NCSBN ON-LINE REVIEW {QUESTIONS AND VERIFIED ANSWERS} 2022
View Document

NCSBN ON-LINE REVIEW {QUESTIONS AND VERIFIED ANSWERS} 2022

  • mentor2000

    mentor2000

  • nclex

NCSBN ON-LINE REVIEW {QUESTIONS AND VERIFIED ANSWERS} 2022...

12 USD

0

0

NCLEX-RN Final Exam Predictor Study Guide (Verified And Correct Answers,865 Question Secure Highscore) Latest 2022
View Document

NCLEX-RN Final Exam Predictor Study Guide (Verified And Correct Answers,865 Question Secure Highscore) Latest 2022

  • mentor2000

    mentor2000

  • nclex

NCLEX-RN Final Exam Predictor Study Guide (Verified And Correct Answers,865 Question Secure Highscore) Latest 2022...

14 USD

0

0

NCLEX-PN HESI COMPREHENSIVE 2022
View Document

NCLEX-PN HESI COMPREHENSIVE 2022

  • mentor2000

    mentor2000

  • nclex

NCLEX-PN HESI COMPREHENSIVE 2022...

12 USD

0

0

NCLEX LIPPINCOTT FINAL EXAM 2O22
View Document

NCLEX LIPPINCOTT FINAL EXAM 2O22

  • mentor2000

    mentor2000

  • nclex

NCLEX LIPPINCOTT FINAL EXAM 2O22...

12 USD

0

0

HESI RN PHARMACOLOGY PROCTORED EXAM 2022
View Document

HESI RN PHARMACOLOGY PROCTORED EXAM 2022

  • mentor2000

    mentor2000

  • exam

HESI RN PHARMACOLOGY PROCTORED EXAM 2022...

14 USD

0

0

HESI RN EXIT EXAM V2 WITH COMPLETE SOLUTION 2022
View Document

HESI RN EXIT EXAM V2 WITH COMPLETE SOLUTION 2022

  • mentor2000

    mentor2000

  • exam

HESI RN EXIT EXAM V2 WITH COMPLETE SOLUTION 2022...

15 USD

0

0

Tcfp HazMat Operations Possible 2022 Questions and Answers
View Document

Tcfp HazMat Operations Possible 2022 Questions and Answers

  • mentor2000

    mentor2000

  • exam

Tcfp HazMat Operations Possible 2022 Questions and Answers...

10 USD

0

0

ISYE 6501X  FULL SOLUTION PACK EXAMS 2022 (8 DIFFERENT VERSIONS OF EXAMS)
View Document

ISYE 6501X FULL SOLUTION PACK EXAMS 2022 (8 DIFFERENT VERSIONS OF EXAMS)

  • mentor2000

    mentor2000

  • exam

ISYE 6501X FULL SOLUTION PACK EXAMS 2022 (8 DIFFERENT VERSIONS OF EXAMS)...

15 USD

0

0

HESI Advanced Clinical Concepts 2022
View Document

HESI Advanced Clinical Concepts 2022

  • mentor2000

    mentor2000

  • exam

HESI Advanced Clinical Concepts 2022...

14 USD

0

0

ENPC exam answers 2022
View Document

ENPC exam answers 2022

  • mentor2000

    mentor2000

  • exam

ENPC exam answers 2022...

14 USD

0

0

WGU C785 Biochemistry Unit Exam Questions & Answers Latest 2022
View Document

WGU C785 Biochemistry Unit Exam Questions & Answers Latest 2022

  • mentor2000

    mentor2000

  • exam

WGU C785 Biochemistry Unit Exam Questions & Answers Latest 2022...

10 USD

0

0

WGU C468 Information Management and Application of Technology Latest 2025/2026
View Document

WGU C468 Information Management and Application of Technology Latest 2025/2026

  • mentor2000

    mentor2000

  • exam

This exam prepation material will help you if you are wondering how to pass c468. The document contains c468 Western Gov...

8 USD

0

0

BIOCHEM C785 Final Exam Latest update With Complete Solution 2022
View Document

BIOCHEM C785 Final Exam Latest update With Complete Solution 2022

  • mentor2000

    mentor2000

  • exam

BIOCHEM C785 Final Exam Latest update With Complete Solution 2022...

10 USD

0

0

PSI FNP EXAM 2 Predictor Answered Latest 2022; 2023
View Document

PSI FNP EXAM 2 Predictor Answered Latest 2022; 2023

  • mentor2000

    mentor2000

  • exam

PSI FNP EXAM 2 Predictor Answered Latest 2022; 2023...

10 USD

0

0

NR511 Final Exam Study Guide 2022
View Document

NR511 Final Exam Study Guide 2022

  • jean-judy

    jean-judy

  • exam

NR511 Final Exam Study Guide 2022...

10 USD

0

0

NR511 Midterm Exam 2022
View Document

NR511 Midterm Exam 2022

  • jean-judy

    jean-judy

  • exam

NR511 Midterm Exam 2022...

10 USD

0

0

NR511 Final Exam Review 2022
View Document

NR511 Final Exam Review 2022

  • jean-judy

    jean-judy

  • exam

NR511 Final Exam Review 2022...

10 USD

0

0

Progressive Care RN A Exam, all answered correctly Summer 2022
View Document

Progressive Care RN A Exam, all answered correctly Summer 2022

  • jean-judy

    jean-judy

  • exam

Progressive Care RN A Exam, all answered correctly Summer 2022...

10 USD

0

0

LMSW LICENSING EXAM TEST BANK 2022
View Document

LMSW LICENSING EXAM TEST BANK 2022

  • jean-judy

    jean-judy

  • exam

LMSW LICENSING EXAM TEST BANK 2022 – Download PDF...

15 USD

0

0

LMSW Exam Solution Guide, Test Bank Distinction level Exam Guide 2022.
View Document

LMSW Exam Solution Guide, Test Bank Distinction level Exam Guide 2022.

  • jean-judy

    jean-judy

  • exam

LMSW Exam Solution Guide, Test Bank Distinction level Exam Guide 2022. – Download PDF...

15 USD

0

0

LMSW EXAM - Bootcamp!, LMSW, LMSW  A+ guide 2022
View Document

LMSW EXAM - Bootcamp!, LMSW, LMSW A+ guide 2022

  • jean-judy

    jean-judy

  • exam

LMSW EXAM - Bootcamp!, LMSW, LMSW A+ guide 2022...

10 USD

0

0

HOSA BOWL Test: Answered 2022
View Document

HOSA BOWL Test: Answered 2022

  • jean-judy

    jean-judy

  • exam

HOSA BOWL Test: Answered 2022...

8 USD

0

0

Emergency Medicine RED CROSS LIFEGUARDING ONLINE ANSWERS_ Updated Summer 2022
View Document

Emergency Medicine RED CROSS LIFEGUARDING ONLINE ANSWERS_ Updated Summer 2022

  • jean-judy

    jean-judy

  • exam

Emergency Medicine RED CROSS LIFEGUARDING ONLINE ANSWERS_ Updated Summer 2022...

10 USD

0

0

ASWB LMSW Test solution guide: questions and answers 2022
View Document

ASWB LMSW Test solution guide: questions and answers 2022

  • jean-judy

    jean-judy

  • exam

ASWB LMSW Test solution guide: questions and answers 2022...

10 USD

0

0

NRS 428VN Topic 1 DQ 1 2022
View Document

NRS 428VN Topic 1 DQ 1 2022

  • Yna

    Yna

  • exam

NRS 428VN Topic 1 DQ 1 2022...

5 USD

0

0

NRS 410V Week 3 Assignment Case Study, Managing Congestive Heart Failure 2022
View Document

NRS 410V Week 3 Assignment Case Study, Managing Congestive Heart Failure 2022

  • Yna

    Yna

  • exam

NRS 410V Week 3 Assignment Case Study, Managing Congestive Heart Failure 2022...

10 USD

0

0

NRS 410V MrsJ Case Study 2022
View Document

NRS 410V MrsJ Case Study 2022

  • Yna

    Yna

  • exam

NRS 410V MrsJ Case Study 2022...

10 USD

0

0

NR 602 midterm exam 2022 (Real exam)
View Document

NR 602 midterm exam 2022 (Real exam)

  • Yna

    Yna

  • exam

NR 602 midterm exam 2022 (Real exam)...

9 USD

0

0

BIO CHEM 100 Final Study Guide 2022 with complete solution
View Document

BIO CHEM 100 Final Study Guide 2022 with complete solution

  • Yna

    Yna

  • exam

BIO CHEM 100 Final Study Guide 2022 with complete solution...

10 USD

0

0

Prophecy RN Pharmacology A, latest 2022 I scored 95%
View Document

Prophecy RN Pharmacology A, latest 2022 I scored 95%

  • mentor2000

    mentor2000

  • exam

Prophecy RN Pharmacology A, latest 2022 I scored 95%...

10 USD

0

0

Prophecy PACU RN A v1- complete solution guide 2022
View Document

Prophecy PACU RN A v1- complete solution guide 2022

  • mentor2000

    mentor2000

  • exam

Prophecy PACU RN A v1- complete solution guide 2022...

10 USD

0

0

Pediatric Growth and Development Exam, NCLEX Questions & Answers
View Document

Pediatric Growth and Development Exam, NCLEX Questions & Answers

  • mentor2000

    mentor2000

  • exam

Pediatric Growth and Development Exam, NCLEX Questions & Answers...

10 USD

0

0

Medical-Surgical RN A Prophecy Test, Relias Learning Answered 2022
View Document

Medical-Surgical RN A Prophecy Test, Relias Learning Answered 2022

  • mentor2000

    mentor2000

  • exam

Medical-Surgical RN A Prophecy Test, Relias Learning Answered 2022...

10 USD

0

0

Emergency Nursing Pediatric Course (ENPC) TEST with Answers
View Document

Emergency Nursing Pediatric Course (ENPC) TEST with Answers

  • mentor2000

    mentor2000

  • exam

Emergency Nursing Pediatric Course (ENPC) TEST with Answers...

10 USD

0

1

CNA Exam questions and answers 2022
View Document

CNA Exam questions and answers 2022

  • mentor2000

    mentor2000

  • exam

CNA Exam questions and answers 2022...

8 USD

0

0

HESI EXIT RN V2 EXAM 2022 (REAL EXAM) 160 QUESTIONS WITH ANSWERS
View Document

HESI EXIT RN V2 EXAM 2022 (REAL EXAM) 160 QUESTIONS WITH ANSWERS

  • mentor2000

    mentor2000

  • hesi

HESI EXIT RN V2 EXAM 2022 (REAL EXAM) 160 QUESTIONS WITH ANSWERS...

20 USD

0

0

HESI EXIT RN V2 EXAM 2020 (REAL EXAM) 160 QUESTIONS WITH ANSWERS
View Document

HESI EXIT RN V2 EXAM 2020 (REAL EXAM) 160 QUESTIONS WITH ANSWERS

  • mentor2000

    mentor2000

  • hesi

HESI EXIT RN V2 EXAM 2020 (REAL EXAM) 160 QUESTIONS WITH ANSWERS...

10 USD

0

0

West-MEC Medical Assisting ADE 2022,Complete Solution guide
View Document

West-MEC Medical Assisting ADE 2022,Complete Solution guide

  • Namwaki

    Namwaki

  • exam

West-MEC Medical Assisting ADE 2022,Complete Solution guide...

8 USD

0

0

TEAS Science Practice Tests 2022
View Document

TEAS Science Practice Tests 2022

  • Namwaki

    Namwaki

  • exam

TEAS Science Practice Tests 2022...

10 USD

0

0

TEAS Science Exam Pack 2022
View Document

TEAS Science Exam Pack 2022

  • Namwaki

    Namwaki

  • exam

TEAS Science Exam Pack 2022...

9 USD

0

0

TEAS Nursing Entrance Exam 2022
View Document

TEAS Nursing Entrance Exam 2022

  • Namwaki

    Namwaki

  • exam

TEAS Nursing Entrance Exam 2022 – Download PDF...

10 USD

0

0

Rn Concept Based Assessment Level 1 Exam Pack 2022
View Document

Rn Concept Based Assessment Level 1 Exam Pack 2022

  • Namwaki

    Namwaki

  • exam

Rn Concept Based Assessment Level 1 Exam Pack 2022...

12 USD

0

0

RN A v2 Prophecy- Core Mandatory (Nursing) Exam 2022
View Document

RN A v2 Prophecy- Core Mandatory (Nursing) Exam 2022

  • Namwaki

    Namwaki

  • exam

RN A v2 Prophecy- Core Mandatory (Nursing) Exam 2022...

9 USD

0

0

NHA® CCMA Exam Pretests 1-7 latest spring 2022
View Document

NHA® CCMA Exam Pretests 1-7 latest spring 2022

  • Namwaki

    Namwaki

  • exam

NHA® CCMA Exam Pretests 1-7 latest spring 2022...

10 USD

0

0

NHA PCT Study Guide Latest 2022
View Document

NHA PCT Study Guide Latest 2022

  • Namwaki

    Namwaki

  • exam

NHA PCT Study Guide Latest 2022...

10 USD

0

0

NHA PCT Review Guide_ Verified Answers 2022
View Document

NHA PCT Review Guide_ Verified Answers 2022

  • Namwaki

    Namwaki

  • exam

NHA PCT Review Guide_ Verified Answers 2022...

9 USD

0

0

NHA PCT – Review Exam 2022 (Questions and Answers)
View Document

NHA PCT – Review Exam 2022 (Questions and Answers)

  • Namwaki

    Namwaki

  • exam

NHA PCT – Review Exam 2022 (Questions and Answers)...

10 USD

0

0

NHA CPT EXAM STUDY QUESTIONS and ANSWERS 2022
View Document

NHA CPT EXAM STUDY QUESTIONS and ANSWERS 2022

  • Namwaki

    Namwaki

  • exam

NHA CPT EXAM STUDY QUESTIONS and ANSWERS 2022...

10 USD

0

0

NHA CBCS EXAM REVIEW ANSWERED (FALL 2022)
View Document

NHA CBCS EXAM REVIEW ANSWERED (FALL 2022)

  • Namwaki

    Namwaki

  • exam

NHA CBCS EXAM REVIEW ANSWERED (FALL 2022)...

8 USD

0

0

REGIS NU650 Week 15 Final Exam Latest Spring April 2022
View Document

REGIS NU650 Week 15 Final Exam Latest Spring April 2022

  • Namwaki

    Namwaki

  • exam

REGIS NU650 Week 15 Final Exam Latest Spring April 2022...

9 USD

0

0

FIN2601 Assignment 2 Semester 1 &2 2022
View Document

FIN2601 Assignment 2 Semester 1 &2 2022

  • Namwaki

    Namwaki

  • exam

FIN2601 Assignment 2 Semester 1 &2 2022...

4 USD

0

0

FIN2601 Assignment 1 Semester 1 & 2 2022
View Document

FIN2601 Assignment 1 Semester 1 & 2 2022

  • Namwaki

    Namwaki

  • exam

FIN2601 Assignment 1 Semester 1 & 2 2022...

4 USD

0

0

CMA (AAMA) Medical Assistant Test Bank_200 questions & answers updated 2022
View Document

CMA (AAMA) Medical Assistant Test Bank_200 questions & answers updated 2022

  • Namwaki

    Namwaki

  • exam

CMA (AAMA) Medical Assistant Test Bank_200 questions & answers updated 2022 – Download PDF...

15 USD

0

0

Medical Assistant CMA,RMA exam review , Medical Assistant Exam, Preparation for the CMA and RMA Exams, Solution Guide, Updated 2022
View Document

Medical Assistant CMA,RMA exam review , Medical Assistant Exam, Preparation for the CMA and RMA Exams, Solution Guide, Updated 2022

  • Namwaki

    Namwaki

  • exam

Medical Assistant CMA,RMA exam review , Medical Assistant Exam, Preparation for the CMA and RMA Exams, Solution Guide, U...

14 USD

0

0

CLM 003 Overview of Acquisition Ethics Exam 2022
View Document

CLM 003 Overview of Acquisition Ethics Exam 2022

  • Namwaki

    Namwaki

  • exam

CLM 003 Overview of Acquisition Ethics Exam 2022...

9 USD

0

0

Bloomberg Market Concepts Complete Solution guide Latest
View Document

Bloomberg Market Concepts Complete Solution guide Latest

  • Namwaki

    Namwaki

  • exam

Bloomberg Market Concepts Complete Solution guid...

6 USD

0

0

ATI Proctored 2022 (Real Exam)
View Document

ATI Proctored 2022 (Real Exam)

  • Namwaki

    Namwaki

  • exam

ATI Proctored 2022 (Real Exam)...

12 USD

0

0

AORN Periop 101 Exam 2022
View Document

AORN Periop 101 Exam 2022

  • Namwaki

    Namwaki

  • exam

AORN Periop 101 Exam 2022...

12 USD

0

1

(Solution Guide) NHA PCT Review Guide_ Verified Answers 2022
View Document

(Solution Guide) NHA PCT Review Guide_ Verified Answers 2022

  • Namwaki

    Namwaki

  • exam

(Solution Guide) NHA PCT Review Guide_ Verified Answers 2022...

12 USD

0

0

Bloomberg Market Concepts Complete Solution guide Latest 2022
View Document

Bloomberg Market Concepts Complete Solution guide Latest 2022

  • Angelicer

    Angelicer

  • exam

Bloomberg Market Concepts Complete Solution guide Latest 2022...

5 USD

0

0

ATI Comprehensive Practice 2022 A
View Document

ATI Comprehensive Practice 2022 A

  • Angelicer

    Angelicer

  • ati

ATI Comprehensive Practice 2022 A...

12 USD

0

0

Emergency Medicine YMCA CPR Exam Answered latest spring 2022
View Document

Emergency Medicine YMCA CPR Exam Answered latest spring 2022

  • mentor2000

    mentor2000

  • exam

Emergency Medicine YMCA CPR Exam Answered latest spring 2022...

10 USD

0

0

NUR 1023 Exam 1,2 & 3 Study Guide 2022 Fluid and Electrolytes
View Document

NUR 1023 Exam 1,2 & 3 Study Guide 2022 Fluid and Electrolytes

  • Eddah-Nafula

    Eddah-Nafula

  • exam

NUR 1023 Exam 1,2 & 3 Study Guide 2022 Fluid and Electrolytes...

7 USD

0

0

WGU NURSING C228 Community Assessment Windshield Survey Sentinel City 2022
View Document

WGU NURSING C228 Community Assessment Windshield Survey Sentinel City 2022

  • Eddah-Nafula

    Eddah-Nafula

  • exam

WGU NURSING C228 Community Assessment Windshield Survey Sentinel City 2022...

8 USD

0

0

WGU BIOCHEM C785 DNA,RNA OA study Guide 2022
View Document

WGU BIOCHEM C785 DNA,RNA OA study Guide 2022

  • Eddah-Nafula

    Eddah-Nafula

  • exam

WGU BIOCHEM C785 DNA,RNA OA study Guide 2022...

7 USD

0

0

HESI Comprehensive Exit Exam Answered A+ Solution Guide; Spring 2022.
View Document

HESI Comprehensive Exit Exam Answered A+ Solution Guide; Spring 2022.

  • Eddah-Nafula

    Eddah-Nafula

  • exam

HESI Comprehensive Exit Exam Answered A+ Solution Guide; Spring 2022....

12 USD

0

0

Ati nutrition proctored questions and answers latest 2022 2023
View Document

Ati nutrition proctored questions and answers latest 2022 2023

  • Angelicer

    Angelicer

  • ati

Ati nutrition proctored questions and answers latest 2022 2023 – Download PDF...

10 USD

0

0

Ati nutrition proctored questions and answers latest 2021 2022
View Document

Ati nutrition proctored questions and answers latest 2021 2022

  • Angelicer

    Angelicer

  • ati

Ati nutrition proctored questions and answers latest 2021 2022 – Download PDF...

10 USD

0

0

Project Management Professional (Pmp) - Certification Study Guide 2022
View Document

Project Management Professional (Pmp) - Certification Study Guide 2022

  • Angelicer

    Angelicer

  • exam

Project Management Professional (Pmp) - Certification Study Guide 2022...

12 USD

0

0

PMP Exam Preparation Material For 2022
View Document

PMP Exam Preparation Material For 2022

  • Angelicer

    Angelicer

  • exam

PMP Exam Preparation Material For 2022...

15 USD

0

0

PMI CAPM Free Dumps V9.02 Project Management Exam 2022
View Document

PMI CAPM Free Dumps V9.02 Project Management Exam 2022

  • Angelicer

    Angelicer

  • exam

PMI CAPM Free Dumps V9.02 Project Management Exam 2022...

12 USD

0

0

PMI CAPM Exam Questions & Answers 2022
View Document

PMI CAPM Exam Questions & Answers 2022

  • Angelicer

    Angelicer

  • exam

PMI CAPM Exam Questions & Answers 2022...

11 USD

0

0

CAPM and PMP Exam questions and answers 2022
View Document

CAPM and PMP Exam questions and answers 2022

  • Angelicer

    Angelicer

  • exam

CAPM and PMP Exam questions and answers 2022...

7 USD

0

0

HESI EXIT RN EXAM V1-V7 (2026 Update)
View Document

HESI EXIT RN EXAM V1-V7 (2026 Update)

  • mentor2000

    mentor2000

  • exam

HESI EXIT RN EXAM V1-V7 latest actual exam questions and correct answers following discharge teaching, a male client wi...

15 USD

0

0

HESI RN EXIT V1 2022
View Document

HESI RN EXIT V1 2022

  • mentor2000

    mentor2000

  • exam

HESI RN EXIT V1 2022...

13 USD

0

0

NR 599 Week 4 Midterm Exam Study Guide 2022
View Document

NR 599 Week 4 Midterm Exam Study Guide 2022

  • mentor2000

    mentor2000

  • exam

NR 599 Week 4 Midterm Exam Study Guide 2022...

7 USD

0

0

MNG3701 Assignment 1 Semester 1 2022
View Document

MNG3701 Assignment 1 Semester 1 2022

  • Eddah-Nafula

    Eddah-Nafula

  • exam

MNG3701 Assignment 1 Semester 1 2022...

3 USD

0

0

LSK3701 Assignment 2 2022
View Document

LSK3701 Assignment 2 2022

  • Eddah-Nafula

    Eddah-Nafula

  • exam

LSK3701 Assignment 2 2022...

3 USD

0

0

LMSW LICENSING EXAM 2022 (EXAM PACK)
View Document

LMSW LICENSING EXAM 2022 (EXAM PACK)

  • GradeA

    GradeA

  • exam

LMSW LICENSING EXAM 2022 (EXAM PACK)...

8 USD

0

0

DEA1 ACC 562 EXAM PACK 2022
View Document

DEA1 ACC 562 EXAM PACK 2022

  • GradeA

    GradeA

  • exam

DEA1 ACC 562 EXAM PACK 2022...

8 USD

0

0

Gizmos, Carbon Cycle Answer key 2022
View Document

Gizmos, Carbon Cycle Answer key 2022

  • mentor2000

    mentor2000

  • exam

Gizmos, Carbon Cycle Answer key 2022...

7 USD

0

0

Gizmos: Student Exploration: Golf Range Answer Key New Update 2022
View Document

Gizmos: Student Exploration: Golf Range Answer Key New Update 2022

  • mentor2000

    mentor2000

  • exam

Gizmos: Student Exploration: Golf Range Answer Key New Update 2022...

8 USD

0

0

ATI PN COMPREHENSIVE PREDICTOR 2022 REAL EXAM 180 Questions
View Document

ATI PN COMPREHENSIVE PREDICTOR 2022 REAL EXAM 180 Questions

  • Namwaki

    Namwaki

  • ati

ATI PN COMPREHENSIVE PREDICTOR 2022 REAL EXAM 180 Questions – Download PDF...

18 USD

0

1

ACC 290 FINAL EXAM GRADED A 2022
View Document

ACC 290 FINAL EXAM GRADED A 2022

  • tutorvalentine

    tutorvalentine

  • exam

ACC 290 FINAL EXAM GRADED A 2022 – Download PDF...

6 USD

0

0

ACCT 212 Week 4 Midterm (Version 2) 2022
View Document

ACCT 212 Week 4 Midterm (Version 2) 2022

  • tutorvalentine

    tutorvalentine

  • exam

ACCT 212 Week 4 Midterm (Version 2) 2022...

6 USD

0

0

ACUTE RENAL FAILURE Q&A 2022
View Document

ACUTE RENAL FAILURE Q&A 2022

  • tutorvalentine

    tutorvalentine

  • exam

ACUTE RENAL FAILURE Q&A 2022 – Download PDF...

6 USD

0

0

Advanced Pathophysiology week 4 midterm 2022 (Real exam)
View Document

Advanced Pathophysiology week 4 midterm 2022 (Real exam)

  • tutorvalentine

    tutorvalentine

  • exam

Advanced Pathophysiology week 4 midterm 2022 (Real exam)...

7 USD

0

0

ATI nutrition proctored questions and answers latest
View Document

ATI nutrition proctored questions and answers latest

  • mentor2000

    mentor2000

  • exam

Ati nutrition proctored questions and answers latest...

8 USD

0

0

Pediatric Nursing Developmental Stages Questions And Answers NCLEX Exam 2022
View Document

Pediatric Nursing Developmental Stages Questions And Answers NCLEX Exam 2022

  • mentor2000

    mentor2000

  • exam

Pediatric Nursing Developmental Stages Questions And Answers NCLEX Exam 2022...

6 USD

0

0

Patent Ductus Arteriosus Questions And Answers NCLEX Exam 2022
View Document

Patent Ductus Arteriosus Questions And Answers NCLEX Exam 2022

  • mentor2000

    mentor2000

  • exam

Patent Ductus Arteriosus Questions And Answers NCLEX Exam 2022...

8 USD

0

0

Newborn Infant Reflexes NCLEX Nursing Questions And Answers Exam 2022
View Document

Newborn Infant Reflexes NCLEX Nursing Questions And Answers Exam 2022

  • mentor2000

    mentor2000

  • exam

Newborn Infant Reflexes NCLEX Nursing Questions And Answers Exam 2022...

6 USD

0

0

Infant Developmental Milestones Questions And Answers NCLEX Exam 2022
View Document

Infant Developmental Milestones Questions And Answers NCLEX Exam 2022

  • mentor2000

    mentor2000

  • exam

Infant Developmental Milestones Questions And Answers NCLEX Exam 2022...

8 USD

0

0

Impetigo Questions And Answers NCLEX Exam 2022
View Document

Impetigo Questions And Answers NCLEX Exam 2022

  • mentor2000

    mentor2000

  • exam

Impetigo Questions And Answers NCLEX Exam 2022...

6 USD

0

0

Epiglottitis Questions And Answers NCLEX Exam 2022
View Document

Epiglottitis Questions And Answers NCLEX Exam 2022

  • mentor2000

    mentor2000

  • exam

Epiglottitis Questions And Answers NCLEX Exam 2022...

6 USD

0

0

Coarctation of the Aorta Questions And Answers NCLEX Exam 2022
View Document

Coarctation of the Aorta Questions And Answers NCLEX Exam 2022

  • mentor2000

    mentor2000

  • exam

Coarctation of the Aorta Questions And Answers NCLEX Exam 2022...

5 USD

0

0

Car Seat Safety Questions And Answers NCLEX Exam 2022
View Document

Car Seat Safety Questions And Answers NCLEX Exam 2022

  • mentor2000

    mentor2000

  • exam

Car Seat Safety Questions And Answers NCLEX Exam 2022...

6 USD

0

0

Atrial Septal Defect Questions And Answers NCLEX Exam 2022
View Document

Atrial Septal Defect Questions And Answers NCLEX Exam 2022

  • mentor2000

    mentor2000

  • exam

Atrial Septal Defect Questions And Answers NCLEX Exam 2022...

6 USD

0

0

SEJPME Final Exam 2022
View Document

SEJPME Final Exam 2022

  • Namwaki

    Namwaki

  • exam

SEJPME Final Exam 2022...

6 USD

0

0

SEJPME Combined Exam Pack Latest 2022
View Document

SEJPME Combined Exam Pack Latest 2022

  • Namwaki

    Namwaki

  • exam

SEJPME Combined Exam Pack Latest 2022...

6 USD

0

0

(Solutions) For SEJPME Mod 3- Interagency Coordination (6 hrs) Latest 2022
View Document

(Solutions) For SEJPME Mod 3- Interagency Coordination (6 hrs) Latest 2022

  • Namwaki

    Namwaki

  • exam

(Solutions) For SEJPME Mod 3- Interagency Coordination (6 hrs) Latest 2022...

6 USD

0

0

(Solution) NCLEX-RN Review - Test 7 - The Client with Biliary Tract Disorders- Spring 2022
View Document

(Solution) NCLEX-RN Review - Test 7 - The Client with Biliary Tract Disorders- Spring 2022

  • tutor_gesco

    tutor_gesco

  • exam

(Solution) NCLEX-RN Review - Test 7 - The Client with Biliary Tract Disorders- Spring 2022...

6 USD

0

0

RN pharmacology online practice 2019 B (retake 2022)
View Document

RN pharmacology online practice 2019 B (retake 2022)

  • tutor_gesco

    tutor_gesco

  • exam

RN pharmacology online practice 2019 B (retake 2022) – Download PDF...

16 USD

0

0

Gizmos - Student Exploration: Golf Range Answer Key New Update 2022
View Document

Gizmos - Student Exploration: Golf Range Answer Key New Update 2022

  • studypal

    studypal

  • questions & answers

Gizmos - Student Exploration: Golf Range Answer Key New Update 2022...

10 USD

0

0

Gizmos : Carbon Cycle – Answer key 2026
View Document

Gizmos : Carbon Cycle – Answer key 2026

  • studypal

    studypal

  • test bank

Gizmos : Carbon Cycle – Answer key 2025...

12 USD

0

0

NURS6501 (Week 1-6) NURS 6501 Midterm Exam Study Guide (Latest 2022) Advanced Pathophysiology.
View Document

NURS6501 (Week 1-6) NURS 6501 Midterm Exam Study Guide (Latest 2022) Advanced Pathophysiology.

  • tutor_gesco

    tutor_gesco

  • exam

NURS6501 (Week 1-6) NURS 6501 Midterm Exam Study Guide (Latest 2022) Advanced Pathophysiology....

7 USD

0

0

(Solved Solution help) HESI EXIT EXAM 2021, 2022 (Answered)
View Document

(Solved Solution help) HESI EXIT EXAM 2021, 2022 (Answered)

  • tutor_gesco

    tutor_gesco

  • exam

(Solved Solution help) HESI EXIT EXAM 2021, 2022 (Answered)...

6 USD

0

0

(Answered)NURS 6050 Discussion, Presidential Agendas, Latest 2022
View Document

(Answered)NURS 6050 Discussion, Presidential Agendas, Latest 2022

  • tutor_gesco

    tutor_gesco

  • exam

(Answered)NURS 6050 Discussion, Presidential Agendas, Latest 2022...

6 USD

0

0

(Answered) NURS 6050 Politics and the Patient Protection and Affordable Care Act, Latest 2022
View Document

(Answered) NURS 6050 Politics and the Patient Protection and Affordable Care Act, Latest 2022

  • tutor_gesco

    tutor_gesco

  • exam

(Answered) NURS 6050 Politics and the Patient Protection and Affordable Care Act, Latest 2022...

7 USD

0

0

(Answered) Final Exams ECON 1580 Introduction to Economics Latest Fall 2022
View Document

(Answered) Final Exams ECON 1580 Introduction to Economics Latest Fall 2022

  • tutor_gesco

    tutor_gesco

  • exam

(Answered) Final Exams ECON 1580 Introduction to Economics Latest Fall 2022...

6 USD

0

0

Summary Unit 6 The Fachetti Group CHALLENGES and PROPOSALS (Principles of Management January 2022 exam)
View Document

Summary Unit 6 The Fachetti Group CHALLENGES and PROPOSALS (Principles of Management January 2022 exam)

  • GradeA

    GradeA

  • exam

Summary Unit 6 The Fachetti Group CHALLENGES and PROPOSALS (Principles of Management January 2022 exam)...

7 USD

0

0

Summary Unit 6 Principles of Management January 2022 EXAM STRUCTURE (The Fachetti Group)
View Document

Summary Unit 6 Principles of Management January 2022 EXAM STRUCTURE (The Fachetti Group)

  • GradeA

    GradeA

  • exam

Summary Unit 6 Principles of Management January 2022 EXAM STRUCTURE (The Fachetti Group)...

6 USD

0

0

Distinction Example of Unit 6 The Fachetti Group Part B MOCK January 2022 (Report)
View Document

Distinction Example of Unit 6 The Fachetti Group Part B MOCK January 2022 (Report)

  • mentor2000

    mentor2000

  • exam

Distinction Example of Unit 6 The Fachetti Group Part B MOCK January 2022 (Report)...

7 USD

0

1

Distinction Example of Unit 6 The Fachetti Group PART B MOCK January 2022 (Presentation)
View Document

Distinction Example of Unit 6 The Fachetti Group PART B MOCK January 2022 (Presentation)

  • mentor2000

    mentor2000

  • exam

Distinction Example of Unit 6 The Fachetti Group PART B MOCK January 2022 (Presentation)...

7 USD

0

1

Unit 6 January 2022 COMPLETE NOTES (The Fachetti Group) Principles of Management
View Document

Unit 6 January 2022 COMPLETE NOTES (The Fachetti Group) Principles of Management

  • mentor2000

    mentor2000

  • exam

Unit 6 January 2022 COMPLETE NOTES (The Fachetti Group) Principles of Management...

7 USD

0

0

NR599 final exam study guide 2022
View Document

NR599 final exam study guide 2022

  • mentor2000

    mentor2000

  • exam

NR599 final exam study guide 2022...

5 USD

0

0

Test Bank for ICD 10 CM PCS Coding Theory and Practice 2021 2022 Edition
View Document

Test Bank for ICD 10 CM PCS Coding Theory and Practice 2021 2022 Edition

  • mentor2000

    mentor2000

  • test bank

Test Bank for ICD 10 CM PCS Coding Theory and Practice...

15 USD

0

0

IMPORTANT LINKS

  • How To Upload Class Notes
  • Selling Tips
  • Passing Grades's Study Materials
  • Scholarships for International Students 2026

POPULAR CATEGORIES

  • Law
  • Accounting
  • English
  • Psychology
  • Business
  • Nursing
  • Computer Science
  • General

View Document

  • Blog
  • Contact
  • Delivery Policy
  • Latest Scholarships Around the World
  • How to Pass Bar Exams: Passing Grades’ Strategies
  • How to Study and Pass the CPA Exam
  • All Test Banks
  • Faq
  • Copyright Claims
  • Privacy Policy
  • Terms of Use

KNOWLEDGE BASE

  • How to Write A+ Grade Good Research Paper
  • How to Manage Stress During Exam Period
  • Best Time to Study
  • How to Pass NCLEX-RN Exam
  • How To Effectively Utilize Test Banks
  • Popular Shadow Health Exam Assessments
  • Popular HESI Case Studies
  • How to Prepare for a Nursing Career
  • The Importance Of Summaries in Exam Revisvion

© 2026 Pasing Grades. All rights reserved.