Pasing Grades
  • Start Selling
  • Blog
  • Contact
  • 0

    Your cart is empty!

English

  • English
  • Spanish
  • Arabic
Create Account Sign In
  • Library
    • New Prep Guides
    • Featured Prep Guides
    • Free Exam Prep Guides
    • Best sellers
  • General
  • Nursing
    • Research Paper
    • Case Study
    • Discussion Post
    • Assignment
    • Exam
    • Practice Questions and Answers
    • Test Bank
    • solutions manual
    • study guide
  • Accounting
    • Case Study
    • Thesis
    • Study Guide
    • Summary
    • Research Paper
    • test bank
  • English
    • Creative Writing
    • Research Paper
    • Summary
    • Rhetorics
    • Literature
    • Journal
    • Exam
    • Grammar
    • Discussion Post
    • Essay
  • Psychology
    • Hesi
    • Presentation
    • Essay
    • Summary
    • Study Guide
    • Essay
    • Solution Manual
    • Final Exam Review
    • Class Notes
    • test bank
  • Business
    • Lecture Notes
    • Solution Manual
    • Presentation
    • Business Plan
    • Class Notes
    • Experiment
    • Summary
    • Practice Questions
    • Study Guide
    • Case Study
    • test bank
    • Exam
  • More
    • Computer Science
    • Economics
    • Statistics
    • Engineering
    • Biology
    • Religious Studies
    • Physics
    • Chemistry
    • Mathematics
    • History
    • Sociology
    • Science
    • Philosophy
    • Law
  • Pages
    • About Us
    • Selling Tips
    • Delivery Policy
    • Faq
    • Privacy Policy
  • Flash Sale
  • Home
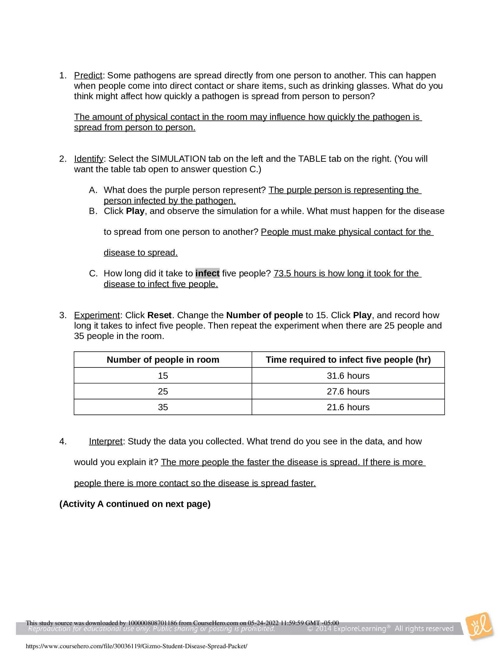
  • Gizmos - Student Disease Spread - Answer sheet 2022

Gizmos - Student Disease Spread - Answer sheet 2022

Preview page 1 Preview page 2 Preview page 3
Add To Favorites

Share this item Share this item

  • Item Details
  • Comments (0)
  • Reviews (0)
  • Contact Seller
Gizmos - Student Disease Spread - Answer sheet 2022

Contact the Seller

Please Sign In to contact this seller.


  • 👎  Report Copyright Violation

Frequently Asked Questions

What Do I Get When I Buy This Study Material?

+

When you buy a study material on Passing Grades, an instant download link will be sent directly to your email, giving you access to the file anytime after payment is completed.

Is Passing Grades a Trusted Platform?

+

Yes, Passing Grades is a reputable students’ marketplace with a secure payment system and reliable customer support. You can trust us to ensure a safe and seamless transaction experience.

Will I Be Stuck with a Subscription?

+

No, all purchases on Passing Grades are one-time transactions. You only pay for the notes you choose to buy, with no subscriptions or hidden fees attached.

Who Am I Buying These Study Materials From?

+

Passing Grades is a marketplace, which means you are purchasing the document from an individual vendor, not directly from us. We facilitate the payment and delivery process between you and the vendor.

Does Passing Grades Offer Free Study Materials?

+

Yes, sellers on Passing Grades have uploaded numerous free test banks, exams, practice questions, and class notes that can be downloaded at no cost.

Pasinggrades - Quality Study Materials

USD 7

    • Quality checked by Pasing Grades
    • 100% satisfaction guarantee
    • Seller: evekendra3
Buy PDF $7

Seller Information

evekendra3

Member since January 2022

  • icon
View Profile
  • total sales

    0
  • Favourites

    0
  • Comments

    0
    ( 0 Ratings )

Item Information

  • Uploaded

    24 May 2022

  • Updated

    17 October 2025

  • Category

    General

  • Item Type

    questions & answers

  • Tags

    Gizmos Student Disease Spread Answer sheet 2022

Related Exam Prep Guides by evekendra3

PSYCHIATRIC MENTAL HEALTH NURSING 9TH EDITION TOWNSEND TEST BANK |Test Bank - Psychiatric Mental Health Nursing by Mary Townsend (9th Edition, 2017)
View Document

PSYCHIATRIC MENTAL H...

  • evekendra3

    evekendra3

  • questions & answers

PSYCHIATRIC MENTAL HEALTH NURSING 9TH EDITION TOWNSEND TEST BANK |Test Bank - Psychiatric Mental Hea...

7 USD

0

0

NR 452 ATI RN COMPREHENSIVE EXIT EXAM 2020 Chamberlain College of Nursing,  ATI RN COMPREHENSIVE EXIT EXAM Questions and Answers
View Document

NR 452 ATI RN COMPRE...

  • evekendra3

    evekendra3

  • questions & answers

NR 452 ATI RN COMPREHENSIVE EXIT EXAM 2020 Chamberlain College of Nursing, ATI RN COMPREHENSIVE EXI...

7 USD

0

0

Test bank for Macroeconomics Sixteenth Canadian Edition:16th Canadian Edition by Christopher Ragan.
View Document

Test bank for Macroe...

  • evekendra3

    evekendra3

  • questions & answers

Test bank for Macroeconomics Sixteenth Canadian Edition:16th Canadian Edition by Christopher Ragan. ...

7 USD

0

0

Purchase

Download link will be sent to this email immediately after purchase.

IMPORTANT LINKS

  • How To Upload Class Notes
  • Selling Tips
  • Passing Grades's Study Materials
  • Scholarships for International Students 2026

POPULAR CATEGORIES

  • Law
  • Accounting
  • English
  • Psychology
  • Business
  • Nursing
  • Computer Science
  • General

View Document

  • Blog
  • Contact
  • Delivery Policy
  • Latest Scholarships Around the World
  • How to Pass Bar Exams: Passing Grades’ Strategies
  • How to Study and Pass the CPA Exam
  • All Test Banks
  • Faq
  • Copyright Claims
  • Privacy Policy
  • Terms of Use

KNOWLEDGE BASE

  • How to Write A+ Grade Good Research Paper
  • How to Manage Stress During Exam Period
  • Best Time to Study
  • How to Pass NCLEX-RN Exam
  • How To Effectively Utilize Test Banks
  • Popular Shadow Health Exam Assessments
  • Popular HESI Case Studies
  • How to Prepare for a Nursing Career
  • The Importance Of Summaries in Exam Revisvion

© 2026 Pasing Grades. All rights reserved.