Pasing Grades
  • Start Selling
  • Blog
  • Contact
  • 0

    Your cart is empty!

English

  • English
  • Spanish
  • Arabic
Create Account Sign In
  • Library
    • New Prep Guides
    • Featured Prep Guides
    • Free Exam Prep Guides
    • Best sellers
  • General
  • Nursing
    • Research Paper
    • Case Study
    • Discussion Post
    • Assignment
    • Exam
    • Practice Questions and Answers
    • Test Bank
    • solutions manual
    • study guide
  • Accounting
    • Case Study
    • Thesis
    • Study Guide
    • Summary
    • Research Paper
    • test bank
  • English
    • Creative Writing
    • Research Paper
    • Summary
    • Rhetorics
    • Literature
    • Journal
    • Exam
    • Grammar
    • Discussion Post
    • Essay
  • Psychology
    • Hesi
    • Presentation
    • Essay
    • Summary
    • Study Guide
    • Essay
    • Solution Manual
    • Final Exam Review
    • Class Notes
    • test bank
  • Business
    • Lecture Notes
    • Solution Manual
    • Presentation
    • Business Plan
    • Class Notes
    • Experiment
    • Summary
    • Practice Questions
    • Study Guide
    • Case Study
    • test bank
    • Exam
  • More
    • Computer Science
    • Economics
    • Statistics
    • Engineering
    • Biology
    • Religious Studies
    • Physics
    • Chemistry
    • Mathematics
    • History
    • Sociology
    • Science
    • Philosophy
    • Law
  • Pages
    • About Us
    • Selling Tips
    • Delivery Policy
    • Faq
    • Privacy Policy
  • Flash Sale
  • Home
  • NUR 312 Introduction to Pharmacology Practice Questions highly graded

NUR 312 Introduction to Pharmacology Practice Questions highly graded

Preview page 1 Preview page 2 Preview page 3
Add To Favorites

Share this item Share this item

  • Item Details
  • Comments (0)
  • Reviews (0)
  • Contact Seller

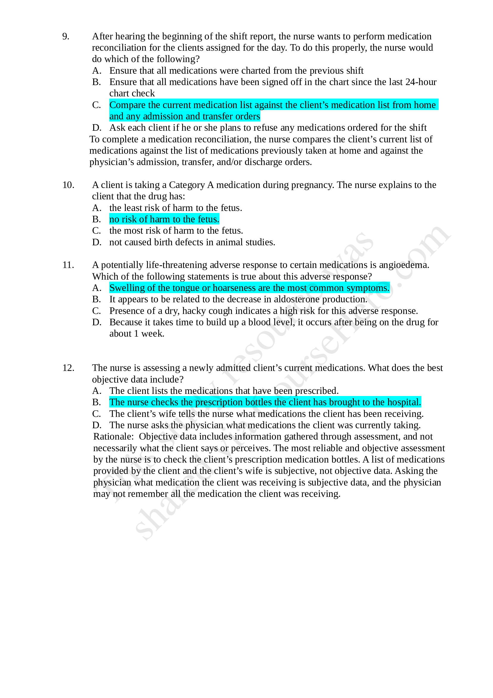
NUR 312  Introduction to Pharmacology Practice Questions NUR 312 Introduction to Pharmacology Practice Questions La Salle University School of Nursing and Health Sciences Pharmacology 1. The nurse is monitoring a 22-year-old client who is in the 26th week of pregnancy and has developed gestational diabetes and pneumonia. She is given medications that pose a possible fetal risk, but the potential benefits may warrant the use of the medications in her situation. The nurse recognizes that these medications are in which U.S. Food and Drug Administration (FDA) pregnancy safety category? A. Category B B. Category C C. Category D D. Category X Pregnancy category D fits the description given. Category B indicates no risk to animal fetus; information for humans is not available. Category C indicates adverse effects reported in animal fetus; information for humans is not available. Category X consists of drugs that should not be used in pregnant women because of reports of fetal abnormalities and positive evidence of fetal risk in humans. 2. The nurse is instructing a client about their new medication, a sedative. Considering that this client admits to occasionally having a glass of wine, which of the following instructions is critical to include? A. Alcohol and sedatives are contraindicated B. As long as liver function is normal there is no risk C. Alcohol and sedatives can have additive effect D. The client will have a paradoxical effect 3. The nurse is having difficulty transcribing one order because of the prescriber’s handwriting. Which is the best action for the nurse to take at this time? A. Ask a colleague what the order says. B. Contact the prescriber to clarify the order. C. Wait until the prescriber makes rounds again to clarify the order. D. Ask the client what medications he takes at home. Rationale: If a prescriber writes an order that is illegible, the nurse should contact the prescriber for clarification. Asking a colleague is not useful because the colleague did not write the order. Waiting for the prescriber to return is incorrect because it would delay implementation of the order. Asking the client about medications is incorrect because this question will not clarify the current order written by the prescriber. 4. When given a scheduled morning medication, the client states, “I haven’t seen that pill before. Are you sure it’s correct?” The nurse checks the medication administration record and verifies that it is listed. Which is the nurse’s best response to the client? A. “It’s listed here on the medication sheet, so you should take it.” B. “Go ahead and take it, and then I’ll check with your doctor about it.” C. “It wouldn’t be listed here if it were not ordered for you!” D. “I’ll check on the order first before you take it.” R Rationale: D, When giving medications, the nurse should always listen to and honor any concerns or doubts expressed by the client. If the client doubts an order, the nurse should check the written order and/or check with the prescriber. The other options illustrate that the nurse is not listening to the client’s concerns.

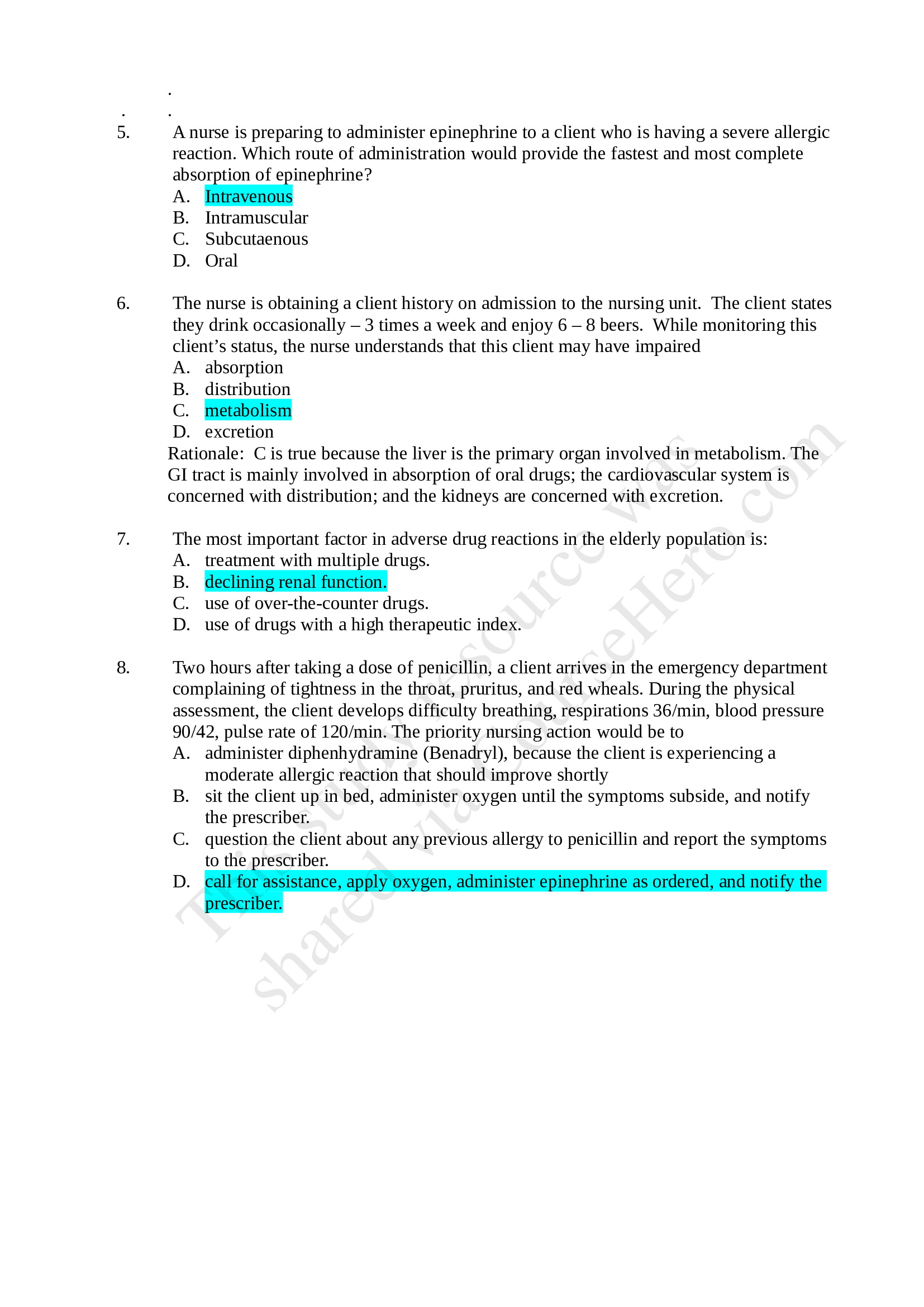
5. A nurse is preparing to administer epinephrine to a client who is having a severe allergic reaction. Which route of administration would provide the fastest and most complete absorption of epinephrine? A. Intravenous B. Intramuscular C. Subcutaenous D. Oral 6. The nurse is obtaining a client history on admission to the nursing unit. The client states they drink occasionally – 3 times a week and enjoy 6 – 8 beers. While monitoring this client’s status, the nurse understands that this client may have impaired A. absorption B. distribution C. metabolism D. excretion Rationale: C is true because the liver is the primary organ involved in metabolism. The GI tract is mainly involved in absorption of oral drugs; the cardiovascular system is concerned with distribution; and the kidneys are concerned with excretion. 7. The most important factor in adverse drug reactions in the elderly population is: A. treatment with multiple drugs. B. declining renal function. C. use of over-the-counter drugs. D. use of drugs with a high therapeutic index. 8. Two hours after taking a dose of penicillin, a client arrives in the emergency department complaining of tightness in the throat, pruritus, and red wheals. During the physical assessment, the client develops difficulty breathing, respirations 36/min, blood pressure 90/42, pulse rate of 120/min. The priority nursing action would be to A. administer diphenhydramine (Benadryl), because the client is experiencing a moderate allergic reaction that should improve shortly B. sit the client up in bed, administer oxygen until the symptoms subside, and notify the prescriber. C. question the client about any previous allergy to penicillin and report the symptoms to the prescriber. D. call for assistance, apply oxygen, administer epinephrine as ordered, and notify the prescriber.

Contact the Seller

Please Sign In to contact this seller.


  • 👎  Report Copyright Violation

Frequently Asked Questions

What Do I Get When I Buy This Study Material?

+

When you buy a study material on Passing Grades, an instant download link will be sent directly to your email, giving you access to the file anytime after payment is completed.

Is Passing Grades a Trusted Platform?

+

Yes, Passing Grades is a reputable students’ marketplace with a secure payment system and reliable customer support. You can trust us to ensure a safe and seamless transaction experience.

Will I Be Stuck with a Subscription?

+

No, all purchases on Passing Grades are one-time transactions. You only pay for the notes you choose to buy, with no subscriptions or hidden fees attached.

Who Am I Buying These Study Materials From?

+

Passing Grades is a marketplace, which means you are purchasing the document from an individual vendor, not directly from us. We facilitate the payment and delivery process between you and the vendor.

Does Passing Grades Offer Free Study Materials?

+

Yes, sellers on Passing Grades have uploaded numerous free test banks, exams, practice questions, and class notes that can be downloaded at no cost.

Pasinggrades - Quality Study Materials

USD 8

    • Quality checked by Pasing Grades
    • 100% satisfaction guarantee
    • Seller: Angelicer
Buy PDF $8

Seller Information

Angelicer

Member since April 2021

  • icon
  • icon
View Profile
  • total sales

    0
  • Favourites

    0
  • Comments

    0
    ( 0 Ratings )

Item Information

  • Uploaded

    15 January 2024

  • Updated

    24 October 2025

  • Category

    Nursing

  • Item Type

    exam

  • Tags

    NUR 312 Introduction to Pharmacology Practice Questions

Related Exam Prep Guides by Angelicer

Test Bank for Success in Practical Vocational Nursing 8th Edition by Knecht
View Document

Test Bank for Succes...

  • Angelicer

    Angelicer

  • exam

Enhance your study with the Test Bank for Success in Practical Vocational Nursing 8th Edition by Kne...

8 USD

0

0

Test Bank for Illustrated Anatomy of the Head and Neck 5th Edition by Fehrenbach
View Document

Test Bank for Illust...

  • Angelicer

    Angelicer

  • exam

Boost your understanding with the Test Bank for Illustrated Anatomy of the Head and Neck 5th Edition...

8 USD

0

0

ATI PEDS Proctored Exam Questions and Answers 2026 | Comprehensive Study Guide
View Document

ATI PEDS Proctored E...

  • Angelicer

    Angelicer

  • exam

Get the ATI PEDS Proctored Exam Questions and Answers for 2025. This comprehensive study guide offer...

8 USD

0

0

Purchase

Download link will be sent to this email immediately after purchase.

IMPORTANT LINKS

  • How To Upload Class Notes
  • Selling Tips
  • Passing Grades's Study Materials
  • Scholarships for International Students 2026

POPULAR CATEGORIES

  • Law
  • Accounting
  • English
  • Psychology
  • Business
  • Nursing
  • Computer Science
  • General

View Document

  • Blog
  • Contact
  • Delivery Policy
  • Latest Scholarships Around the World
  • How to Pass Bar Exams: Passing Grades’ Strategies
  • How to Study and Pass the CPA Exam
  • All Test Banks
  • Faq
  • Copyright Claims
  • Privacy Policy
  • Terms of Use

KNOWLEDGE BASE

  • How to Write A+ Grade Good Research Paper
  • How to Manage Stress During Exam Period
  • Best Time to Study
  • How to Pass NCLEX-RN Exam
  • How To Effectively Utilize Test Banks
  • Popular Shadow Health Exam Assessments
  • Popular HESI Case Studies
  • How to Prepare for a Nursing Career
  • The Importance Of Summaries in Exam Revisvion

© 2026 Pasing Grades. All rights reserved.