Pasing Grades
  • Start Selling
  • Blog
  • Contact
  • 0

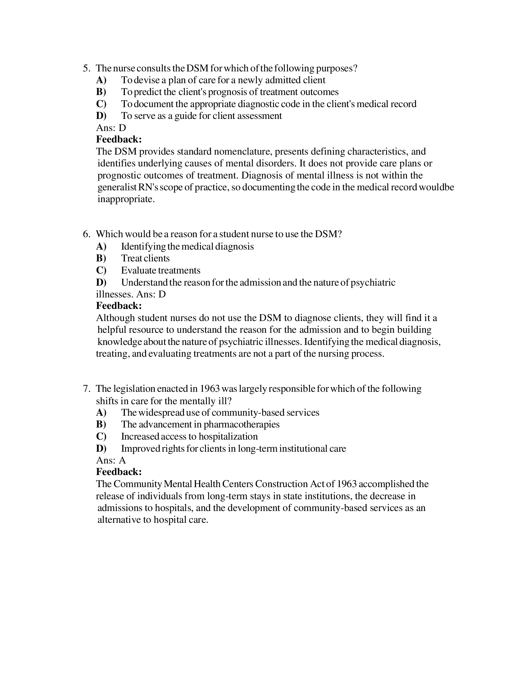
    Your cart is empty!

English

  • English
  • Spanish
  • Arabic
Create Account Sign In
  • Library
    • New Prep Guides
    • Featured Prep Guides
    • Free Exam Prep Guides
    • Best sellers
  • General
  • Nursing
    • Research Paper
    • Case Study
    • Discussion Post
    • Assignment
    • Exam
    • Practice Questions and Answers
    • Test Bank
    • solutions manual
    • study guide
  • Accounting
    • Case Study
    • Thesis
    • Study Guide
    • Summary
    • Research Paper
    • test bank
  • English
    • Creative Writing
    • Research Paper
    • Summary
    • Rhetorics
    • Literature
    • Journal
    • Exam
    • Grammar
    • Discussion Post
    • Essay
  • Psychology
    • Hesi
    • Presentation
    • Essay
    • Summary
    • Study Guide
    • Essay
    • Solution Manual
    • Final Exam Review
    • Class Notes
    • test bank
  • Business
    • Lecture Notes
    • Solution Manual
    • Presentation
    • Business Plan
    • Class Notes
    • Experiment
    • Summary
    • Practice Questions
    • Study Guide
    • Case Study
    • test bank
    • Exam
  • More
    • Computer Science
    • Economics
    • Statistics
    • Engineering
    • Biology
    • Religious Studies
    • Physics
    • Chemistry
    • Mathematics
    • History
    • Sociology
    • Science
    • Philosophy
    • Law
  • Pages
    • About Us
    • Selling Tips
    • Delivery Policy
    • Faq
    • Privacy Policy
  • Flash Sale
  • Home
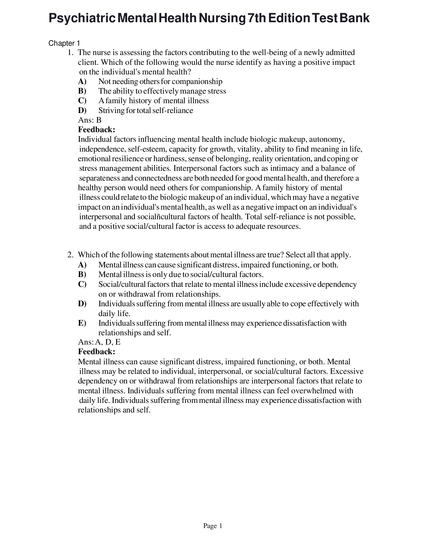
  • TEST BANK FOR PSYCHIATRIC MENTAL HEALTH NURSING 7TH EDITION BY VIDEBECK

TEST BANK FOR PSYCHIATRIC MENTAL HEALTH NURSING 7TH EDITION BY VIDEBECK

Preview page 1 Preview page 2 Preview page 3
Add To Favorites

Share this item Share this item

  • Item Details
  • Comments (0)
  • Reviews (0)
  • Contact Seller
Chapter 01: Personal Resources of an Adult Learner Knecht: Success in Practical/Vocational Nursing, 8th Edition MULTIPLE CHOICE 1. Which individual in a practical/vocational nursing class would be identified as a traditional adult learner? a. One who has been out of school for many years b. One who has children and grandchildren c. One who knows the routine of education d. One who is in his or her early 20s ANS: D Traditional adult learners are individuals who come to the educational program directly from high school or another program of study. They are usually in their late teens or early 20s. The learner who has been out of school for many years and the learner who has children and grandchildren would be identified as a returning adult learner. The learner who knows the routine of education does not provide sufficient information for classification. DIF: Cognitive Level: Application TOP: Adult Learner REF: p. 3 OBJ: 1 KEY: Nursing Process Step: N/A MSC: NCLEX: N/A 2. A student enrolled in an LPN/LVN program states, “I’m fresh out of high school and living alone for the first time in my life. I’m learning how to take care of myself as well as learning to care for my patients.” This statement identifies the student as a. a traditional adult learner. b. a returning adult learner. c. someone in need of counseling. d. someone who is not accustomed to formal education. ANS: A Traditional adult learners are individuals who are in their late teens or early 20s who have come to the practical/vocational program directly from high school or another program of study. A returning adult learner is someone who has been out of school for several years. A person in needed of counseling is commonly a student who has been evaluated by the instructor as having areas that need improvement. This student is a traditional adult learner, and traditional adult learners are accustomed to formal education. DIF: Cognitive Level: Analysis TOP: Adult Learner MSC: NCLEX: N/A REF: p. 3 OBJ: 1 KEY: Nursing Process Step: N/A 3. A nursing student states, “I have taken advantage of informal learning experiences.” Another student asks, “Could you give me an example?” The best example of an informal learning experience is a. caring for a disabled family member. b. taking a continuing education course. c. enrolling in an academic program. d. attending credit classes at the mall. ANS: A Informal learning experiences are those that take place outside a formal educational setting. A person who cares for a disabled family member would gain knowledge and skill in providing personal care. An education course, academic program, and credited classes all take place in a formal educational setting. DIF: Cognitive Level: Comprehension TOP: Informal educational experience MSC: NCLEX: N/A REF: p. 3 OBJ: 2 KEY: Nursing Process Step: N/A 4. What strategy can be used by a nursing student to effectively combat a fear of failure? a. Picture in your mind the rewards of succeeding b. Positive self-talk c. Create a mental script of positive thoughts d. All of the above ANS: D Picturing the rewards of succeeding, positive self-talk, and a mental script of positive thoughts all contribute a positive mental attitude and are all ways to combat the fear of failure. DIF: Cognitive Level: Comprehension REF: p. 4 TOP: Promoting success in the program of study MSC: NCLEX: N/A OBJ: 2 KEY: Nursing Process Step: N/A 5. An example of a self-talk “script” that promotes success in a practical/vocational nursing program is a. “I get sick from smelling bad odors.” b. “What if I’m ‘all thumbs’ in practice lab?” c. “I don’t think the instructor likes me.” d. “I work well with my hands.” ANS: D The statement “I work well with my hands” is a positive thought. It focuses on a strength and promotes the expectation that the individual will succeed. All other options are examples of negative thinking that create expectations for problems and failure. DIF: Cognitive Level: Analysis TOP: Hidden dangers REF: p. 3 OBJ: 2 KEY: Nursing Process Step: N/A

Contact the Seller

Please Sign In to contact this seller.


  • 👎  Report Copyright Violation

Frequently Asked Questions

What Do I Get When I Buy This Study Material?

+

When you buy a study material on Passing Grades, an instant download link will be sent directly to your email, giving you access to the file anytime after payment is completed.

Is Passing Grades a Trusted Platform?

+

Yes, Passing Grades is a reputable students’ marketplace with a secure payment system and reliable customer support. You can trust us to ensure a safe and seamless transaction experience.

Will I Be Stuck with a Subscription?

+

No, all purchases on Passing Grades are one-time transactions. You only pay for the notes you choose to buy, with no subscriptions or hidden fees attached.

Who Am I Buying These Study Materials From?

+

Passing Grades is a marketplace, which means you are purchasing the document from an individual vendor, not directly from us. We facilitate the payment and delivery process between you and the vendor.

Does Passing Grades Offer Free Study Materials?

+

Yes, sellers on Passing Grades have uploaded numerous free test banks, exams, practice questions, and class notes that can be downloaded at no cost.

Pasinggrades - Quality Study Materials

USD 21

    • Quality checked by Pasing Grades
    • 100% satisfaction guarantee
    • Seller: mumbi
Buy PDF $21

Seller Information

mumbi

Member since December 2023

  • icon
View Profile
  • total sales

    0
  • Favourites

    0
  • Comments

    0
    ( 0 Ratings )

Item Information

  • Uploaded

    04 January 2024

  • Updated

    21 April 2025

  • Category

    No category

  • Item Type

    test bank

  • Tags

Related Exam Prep Guides by mumbi

2023 RELIAS DYSRHYTHMIA BASIC B 35 QUESTIONS WITH ANSWERS Course Relias dysrhythmia Institution Relias Dysrhythmia Document includes name of rhythm and picture of EKG strip from Relias exam - see description
View Document

2023 RELIAS DYSRHYTH...

  • mumbi

    mumbi

  • test bank

2023 RELIAS DYSRHYTHMIA BASIC B 35 QUESTIONS WITH ANSWERS Course Relias dysrhythmia Institution Reli...

21 USD

0

0

ATI MEDICAL SURGICAL  EXAM  RETAKE  ACTUAL  TEST 2023 ALREADY GRADED A+
View Document

ATI MEDICAL SURGICAL...

  • mumbi

    mumbi

  • test bank

ATI MEDICAL SURGICAL EXAM RETAKE ACTUAL TEST 2023 ALREADY GRADED A+...

21 USD

0

0

CREST CPSA EXAM 300 QUESTIONS AND CORRECT ANSWERS LATEST (VERIFIED ANSWERS)
View Document

CREST CPSA EXAM 300 ...

  • mumbi

    mumbi

  • test bank

CREST CPSA EXAM 300 QUESTIONS AND CORRECT ANSWERS LATEST (VERIFIED ANSWERS)...

21 USD

0

0

Purchase

Download link will be sent to this email immediately after purchase.

IMPORTANT LINKS

  • How To Upload Class Notes
  • Selling Tips
  • Passing Grades's Study Materials
  • Scholarships for International Students 2026

POPULAR CATEGORIES

  • Law
  • Accounting
  • English
  • Psychology
  • Business
  • Nursing
  • Computer Science
  • General

View Document

  • Blog
  • Contact
  • Delivery Policy
  • Latest Scholarships Around the World
  • How to Pass Bar Exams: Passing Grades’ Strategies
  • How to Study and Pass the CPA Exam
  • All Test Banks
  • Faq
  • Copyright Claims
  • Privacy Policy
  • Terms of Use

KNOWLEDGE BASE

  • How to Write A+ Grade Good Research Paper
  • How to Manage Stress During Exam Period
  • Best Time to Study
  • How to Pass NCLEX-RN Exam
  • How To Effectively Utilize Test Banks
  • Popular Shadow Health Exam Assessments
  • Popular HESI Case Studies
  • How to Prepare for a Nursing Career
  • The Importance Of Summaries in Exam Revisvion

© 2026 Pasing Grades. All rights reserved.