Pasing Grades
  • Start Selling
  • Blog
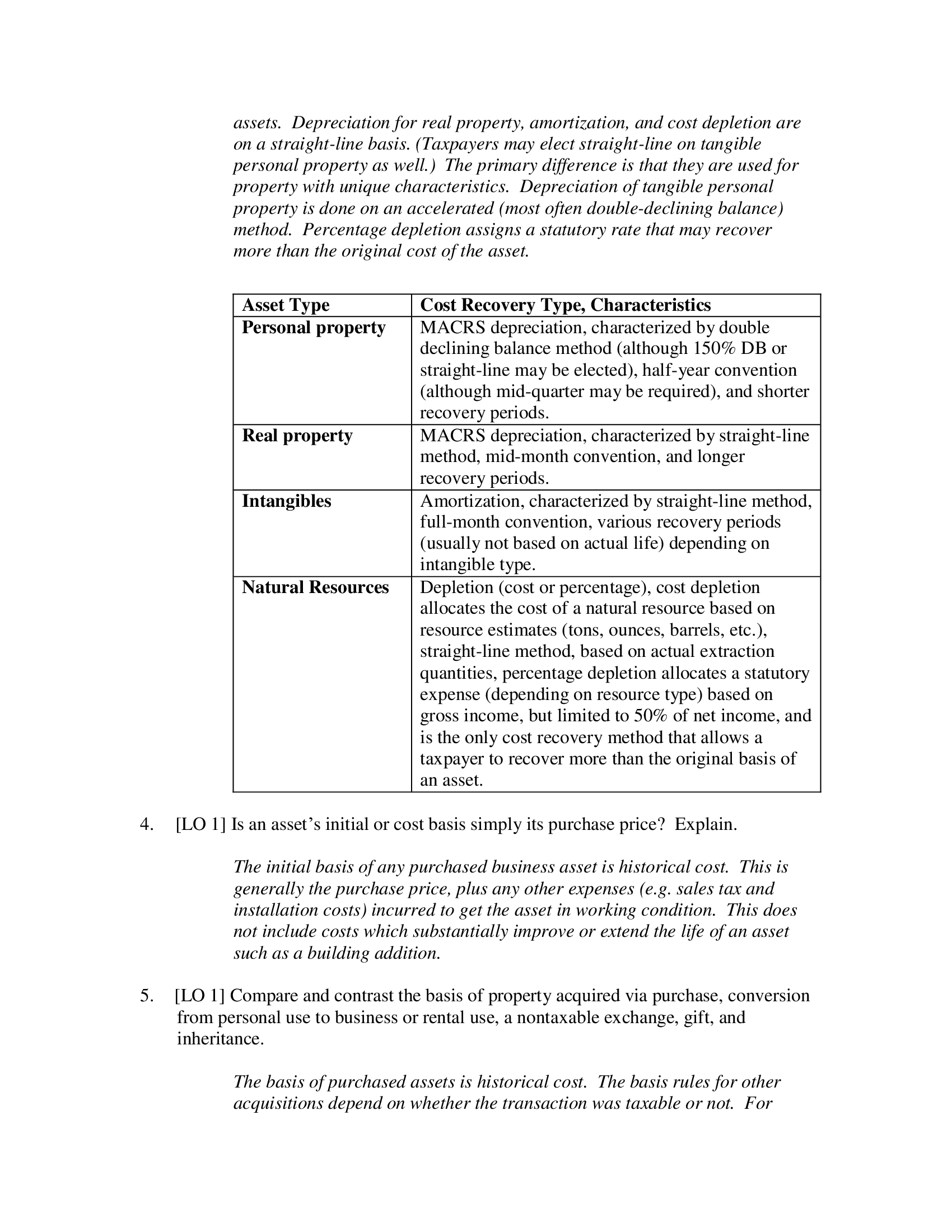
  • Contact
  • 0

    Your cart is empty!

English

  • English
  • Spanish
  • Arabic
Create Account Sign In
  • Library
    • New Prep Guides
    • Featured Prep Guides
    • Free Exam Prep Guides
    • Best sellers
  • General
  • Nursing
    • Research Paper
    • Case Study
    • Discussion Post
    • Assignment
    • Exam
    • Practice Questions and Answers
    • Test Bank
    • solutions manual
    • study guide
  • Accounting
    • Case Study
    • Thesis
    • Study Guide
    • Summary
    • Research Paper
    • test bank
  • English
    • Creative Writing
    • Research Paper
    • Summary
    • Rhetorics
    • Literature
    • Journal
    • Exam
    • Grammar
    • Discussion Post
    • Essay
  • Psychology
    • Hesi
    • Presentation
    • Essay
    • Summary
    • Study Guide
    • Essay
    • Solution Manual
    • Final Exam Review
    • Class Notes
    • test bank
  • Business
    • Lecture Notes
    • Solution Manual
    • Presentation
    • Business Plan
    • Class Notes
    • Experiment
    • Summary
    • Practice Questions
    • Study Guide
    • Case Study
    • test bank
    • Exam
  • More
    • Computer Science
    • Economics
    • Statistics
    • Engineering
    • Biology
    • Religious Studies
    • Physics
    • Chemistry
    • Mathematics
    • History
    • Sociology
    • Science
    • Philosophy
    • Law
  • Pages
    • About Us
    • Selling Tips
    • Delivery Policy
    • Faq
    • Privacy Policy
  • Flash Sale
  • Home
  • Taxation of Business Entities 2016 Edition 7th Edition Spilker Solutions Manual

Taxation of Business Entities 2016 Edition 7th Edition Spilker Solutions Manual

Preview page 1 Preview page 2 Preview page 3
Add To Favorites

Share this item Share this item

  • Item Details
  • Comments (0)
  • Reviews (0)
  • Contact Seller
TAXATION OF BUSINESS ENTITIES 2016 EDITION 7TH EDITION SPILKER SOLUTIONS MANUAL Chapter 2 Property Acquisition and Cost Recovery SOLUTIONS MANUAL Discussion Questions 1. [LO 1] Explain the reasoning why the tax laws require the cost of certain assets to be capitalized and recovered over time rather than immediately expensed. Assets with an expected life of more than one year must be capitalized and recovered through depreciation, amortization, or depletion deductions— depending on the type of underlying asset. The policy attempts to match the revenues and expenses for these assets because the assets have a useful life of more than one year. 2. [LO 1] Explain the differences and similarities between personal property, real property, intangible property, and natural resources. Also, provide an example of each type of asset. Personal property, real property, and natural resources are all tangible property than can be seen and touched. Natural resources are assets that occur naturally (e.g. timber or coal). Real property is land and all property that is attached to land (e.g. buildings). Personal property is all tangible property that is not a natural resource or real property. Intangibles are all intellectual property rights (e.g. patents and copyrights) and any other value not assigned as a tangible asset during a purchase (e.g. goodwill). Each of these has an expected useful life of more than one year. Asset Type Examples Personal property Automobiles, equipment, furniture, and machinery Real property Land and items attached to land such as buildings (warehouse, office building, and residential dwellings) Intangibles Start-up and organizational costs, copyrights, patents, covenants not to compete and goodwill Natural Resources Commodities such as oil, coal, copper, timber, and gold 3. [LO 1] Explain the similarities and dissimilarities between depreciation, amortization, and depletion. Describe the cost recovery method used for each of the four asset types (personal property, real property, intangible property, and natural resources). There are three types of cost recovery: depreciation, amortization, and depletion. Each is similar in that they recover the cost basis of long-lived assets. Depreciation for real property, amortization, and cost depletion are on a straight-line basis. (Taxpayers may elect straight-line on tangible personal property as well.) The primary difference is that they are used for property with unique characteristics. Depreciation of tangible personal property is done on an accelerated (most often double-declining balance) method. Percentage depletion assigns a statutory rate that may recover more than the original cost of the asset. Asset Type Cost Recovery Type, Characteristics Personal property MACRS depreciation, characterized by double declining balance method (although 150% DB or straight-line may be elected), half-year convention (although mid-quarter may be required), and shorter recovery periods. Real property MACRS depreciation, characterized by straight-line method, mid-month convention, and longer recovery periods. Intangibles Amortization, characterized by straight-line method, full-month convention, various recovery periods (usually not based on actual life) depending on intangible type. Natural Resources Depletion (cost or percentage), cost depletion allocates the cost of a natural resource based on resource estimates (tons, ounces, barrels, etc.), straight-line method, based on actual extraction quantities, percentage depletion allocates a statutory expense (depending on resource type) based on gross income, but limited to 50% of net income, and is the only cost recovery method that allows a taxpayer to recover more than the original basis of an asset. 4. [LO 1] Is an asset’s initial or cost basis simply its purchase price? Explain. The initial basis of any purchased business asset is historical cost. This is generally the purchase price, plus any other expenses (e.g. sales tax and installation costs) incurred to get the asset in working condition. This does not include costs which substantially improve or extend the life of an asset such as a building addition. 5. [LO 1] Compare and contrast the basis of property acquired via purchase, conversion from personal use to business or rental use, a nontaxable exchange, gift, and inheritance. The basis of purchased assets is historical cost. The basis rules for other acquisitions depend on whether the transaction was taxable or not. For taxable transactions there is usually a step-up in basis to fair market value. For non-taxable transactions, there is usually a carryover basis. Conversion of assets from personal use gets the lesser of the two values. The specific rules are as follows: Acquisition Type Basis Rules Purchase The initial basis is historical cost plus all costs incurred to get the asset to its destination and in working order. Conversion from personal use The depreciable basis would be the lesser of the fair market value of the asset on the date of conversion or the adjusted basis of the transferor. Non-taxable exchange The basis is a carryover basis of the transferor since there is no recognition of gain or loss on the transfer (not a taxable transaction). Gift The basis is generally a carryover basis, because these transactions usually aren’t taxable. If gift tax is paid, the basis may be increased by a portion of the gift tax paid. Inheritance The basis is the fair market value on the date of death or the alternate valuation date six months later (if elected by the estate). The fair market value is used because the transfer arises from a taxable transaction. 6. [LO 1] Explain why the expenses incurred to get an asset in place and operable should be included in the asset’s basis. Additional expenses, including sales tax, shipping, installation costs, and the like are capitalized into an asset’s basis because all costs required to place an asset into service are required to be included into its basis. That is, without these costs, the taxpayer would not be able to place in service or use the asset in a business. 7. [LO 1] Graber Corporation runs a long-haul trucking business. Graber incurs the following expenses: replacement tires, oil changes, and a transmission overhaul. Which of these expenditures may be deducted currently and which must be capitalized? Explain. An expense that extends the useful life of an asset will be capitalized as a new asset—depreciated over the same MACRS recovery period of the original asset rather than the remaining life of the existing asset. Alternatively, expenses that constitute routine maintenance should be expensed immediately. An engine overhaul is likely to be a capitalized expense. Tires and oil changes are likely to be expensed currently. However, all expenses are subject to a facts and circumstances test. 8. [LO 2] MACRS depreciation requires the use of a recovery period, method, and convention to depreciate tangible personal property assets. Briefly explain why each is important to the calculation. MACRS depreciation calculations are straightforward once you know the recovery period (life), method, and convention for the asset. Recovery period is the statutory life or the period over which a taxpayer will allocate the depreciation expense. Profitable taxpayers prefer the recovery period to be as short as possible so that they may recoup the basis as quickly as possible. The method is generally the double-declining (200% DB) method. However, taxpayers may elect to use either the 150% DB method (useful if they are subject to AMT, to avoid calculating both regular and AMT depreciation) or straight-line method (to lengthen depreciation expense for taxpayers in an expiring NOL situation). The convention determines how much depreciation is taken in both the year of acquisition and the year of disposition. The half-year convention is used to simplify calculating depreciation based on the number of days an asset was owned during the year, but the mid-quarter convention is required if more than 40% of the tangible personal property placed in service during the year was placed in service during the fourth quarter. 9. [LO 2] Can a taxpayer with very little current year income choose to not claim any depreciation expense for the current year and thus save depreciation deductions for the future when the taxpayer expects to be more profitable? Taxpayers must reduce the basis of depreciable property by the depreciation allowed or allowable (§1011). Therefore, taxpayers must reduce their basis whether or not they claim the depreciation expense. As a result, taxpayers are better off taking the depreciation expense even if it creates a net operating loss or is taxed at a relatively low marginal tax rate. 10. [LO 2] [Planning] What depreciation methods are available for tangible personal property? Explain the characteristics of a business likely to adopt each method. Taxpayers may elect to use the 200% DB, 150% DB, or the straight-line method for tangible personal property. It is important to note that all three methods allow the same depreciation expense over the same recovery period. Nevertheless, profitable taxpayers will elect to use the 200% DB method because it minimizes the after-tax cost of the asset by maximizing the present value of the depreciation expenses—through accelerating the depreciation expenses. Taxpayers traditionally subject to the AMT may elect to use the 150% DB method because it saves them the administrative inconvenience of calculating depreciation under both methods when the resulting expense under the 150% DB method required by AMT. Taxpayers may elect to use the straight-line method if they want to slow down depreciation expense— which is counterintuitive but often occurs for companies that regularly incur NOLs and would like to preserve these losses for a time when they expect profitability or will be acquired by another taxpayer that may be able to utilize the NOLs. 11. [LO 2] If a business places several different assets in service during the year, must it use the same depreciation method for all assets? If not, what restrictions apply to the business’s choices of depreciation methods? Taxpayers may generally choose the depreciation method used for assets placed in service. The MACRS general depreciation system generally uses the 200% DB method for tangible personal property and the straight line method for real property. However, taxpayers may elect either the 150% DB or straight-line method for tangible personal property on an asset class by asset class basis (§168(g)(7)). For example, if a taxpayer places in service a computer (5-year property), a delivery truck (5-year property), and machinery (7-year property) an election could be made to use the straight- line method for all 5 year property and continue to use the 200% DB method for the 7-year property. Alternatively, an election could be made to use the straight line method for only the 7-year property or all tangible personal property placed in service during the year. Once made, the method choice is an accounting method election and is irrevocable. 12. [LO 2] Describe how you would determine the MACRS recovery period for an asset if you did not already know it. Rev. Proc. 87-56 is the definitive authority for determining the recovery period of all assets under MACRS. This guidance divides assets into asset classes (groups of similar property) upon which the recovery period is determined as the midpoint of the asset depreciation range (ADR) (the system developed by the IRS for pre-ACRS property). However, the “87” in the citation indicates that the Rev. Proc. was issued in 1987. As a result, taxpayers, or their advisors, must verify that the guidance is still valid. For example, qualified restaurant property, qualified leasehold improvement property, and qualified Alaska natural gas pipeline are examples of assets to which Congress has given preferential recovery periods since 1987. 13. [LO 2] [Research] Compare and contrast the recovery periods used by MACRS and those used under generally accepted accounting principles (GAAP). Rev. Proc. 87-56 is the definitive authority for determining the recovery period of all assets under MACRS. However, Congress in §168 has recently modified the recovery period of some assets. Financial accounting rules are vague at best. FASB Concept Statement 5 indicates that assets should be recognized over the accounting period of their life. FASB Concept Statement 6 defines an asset as a probable future benefit. ARB 43 indicates that the cost should be spread over the assets useful life in a systematic and rational manner. APB 12 requires companies, through financial statement disclosure, to disclose to investors current depreciation expense, depreciation method, and recovery period used for assets. As a result, companies could use any rational recovery period for financial accounting purposes. 14. [LO 2] What are the two depreciation conventions that apply to tangible personal property under MACRS? Explain why Congress provides two methods. The two depreciation conventions that apply to tangible personal property under MACRS are the half-year convention and the mid-quarter convention. MACRS uses a simplifying half-year convention. The half-year convention allows one-half of a full year’s depreciation in the year the asset is placed in service, regardless of when it was actually placed in service. For example, when the half-year convention applies, an asset placed in service on either January 30 or December 17 is treated as though it was placed in service on July 1 which is the middle of the calendar year. The original ACRS system included only the half-year convention; however, Congress felt that some taxpayers were abusing the system by purposely acquiring assets at the end of the year that they otherwise would have acquired at the beginning of the next taxable year (allowable tax planning under ACRS). In 1987, as part of MACRS, the mid-quarter convention was implemented. The mid-quarter convention treats assets as though they were placed in service during the middle of the quarter in which the business actually placed the asset into service. For example, when the mid-quarter convention applies, if a business places an asset in service on December 1 (in the fourth quarter) it must treat the asset as though it was placed in service on November 15, which is the middle of the fourth quarter. 15. [LO 2] A business buys two identical tangible personal property assets for the same identical price. It buys one at the beginning of the year and one at the end of year. Under what conditions would the taxpayer’s depreciation on each asset be exactly the same? Under what conditions would it be different? MACRS has two conventions: half-year and mid-quarter conventions. The half-year convention is the general rule and simplifies the depreciation process by allowing one half year of depreciation taken on all assets placed in service during the year. The mid-quarter convention is required if more than 40% of a taxpayer’s tangible personal property is placed in service during the fourth quarter of the year. The depreciation on the two assets would be the same if the taxpayer was using the half-year convention—which would apply if the taxpayer purchased and placed in service other assets during the year so that the 40% placed in service fourth quarter test is failed. The depreciation on the two assets would be different if the two assets were the only assets placed in service during the year—so that 50% was placed in service during the 4 th quarter and the mid-quarter convention was required to be used. 16. [LO 2] AAA, Inc., acquired a machine in year 1. In May of year 3, it sold the asset. Can AAA find its year 3 depreciation percentage for the machine on the MACRS table? If not, what adjustment must AAA make to its full year depreciation percentage to determine its year 3 depreciation? The applicable depreciation convention applies in the year of disposal as well as the year of acquisition. The MACRS tables cannot anticipate an assets disposal and therefore assume the asset was used in a trade or business for the entire year. As a result, AAA must apply the applicable convention to the table percentage upon disposal to arrive at the correct percentage. If the half-year convention applies, then multiplying the MARCRS table full year depreciation by 50% (one-half of a year’s depreciation) will help you arrive at the correct percentage. Alternatively, if the mid-quarter convention applies, the asset is treated as though it is sold in the middle of the quarter of which it was actually sold. The simplest process for calculating mid-quarter convention depreciation for the year of sale is to use the following four step approach: (1) determine the amount of depreciation expense for the asset as if the asset were held for the entire year; (2) subtract one-half of a quarter from the quarter in which the asset was sold (if sold in 3rd quarter subtract .5 from 3 to get 2.5); (3) divide the outcome from Step 2 by 4 (quarters) (2.5/4) this is the fraction of the full year’s depreciation the taxpayer is eligible to deduct, and (4) multiply the Step (3) outcome by the full depreciation determined in Step (1). 17. [LO 2] There are two recovery period classifications for real property. What reasons might Congress have to allow residential real estate a shorter recovery period than nonresidential real property? Non-residential property currently has a recovery period of 39 years while residential property has a recovery period of 27.5 years. Non-residential has longer lives because the construction methods are more substantial which results in longer lives. For example, non-residential often uses steel frame with concrete and/or block floors and walls. In contrast, residential uses balloon construction using 2x4 timbers for structure. The non- residential components often are built with more substantial materials as well. Some argue that residential property receives higher use percentages and is subject to more wear and tear. 18. [LO 2] Discuss why Congress has instructed taxpayers that real property be depreciated using the mid-month convention as opposed to the half-year or mid- quarter conventions used for tangible personal property. The purpose of MACRS conventions is to simplify the calculation of depreciation. Real property is characterized by higher basis and less frequent acquisition than tangible personal property. These two reasons suggest that mid-month convention approximates actual wear and tear on real property better than the half-year and mid-quarter conventions would. For example, if a building was purchased in January or December it would be entitled to 11.5 or .5 months, respectively, of depreciation under the mid- month convention--which is close to the actual time the asset was placed in service. This contrasts with the half-year convention that would allow 6 months or the mid-quarter convention that would allow 10.5 or 1.5 months, respectively, of depreciation. 19. [LO 2] [Research] If a taxpayer has owned a building for 10 years and decides that it should make significant improvements to the building, what is the recovery period for the improvements? MACRS generally classifies additions to property as a new asset placed in service subject to the same depreciable life as the original asset. For example, if a $2,000,000 addition is made to an office building (non- residential property) then the asset’s basis is $2,000,000 and its recovery period is 39 years. However, if the improvements are in the form of minor repairs that simply maintain the integrity of the structure they would be expensed. A third alternative is that all or a portion of the improvements could represent non-structural components (such as leasehold improvements) of the non-residential property and, therefore, qualify as tangible personal property which is generally subject to accelerated methods and shorter recovery periods. 20. [LO 2] Compare and contrast the differences between computing depreciation expense for tangible personal property and depreciation expense for real property under both the regular tax and alternative tax systems. MACRS allows the 200% DB method to be used whereas AMT requires the 150% DB method to be used for tangible personal property. Both MACRS and AMT require the straight-line method for real property. Therefore, the AMT adjustment for tangible personal property is the difference between depreciation calculated under the 200% DB and the 150% DB methods. There is no AMT adjustment required for real property. For taxpayers that elect either the 150% DB or straight-line method for tangible personal property there is no AMT adjustment required with respect to that property. 21. [LO 3] Discuss why a small business might be able to deduct a greater percentage of the assets it places in service during the year than a larger business. The tax law allows for expensing of tangible personal property for certain businesses. The deduction is phased out for taxpayers that place more than a certain amount of property in service during the year. Since most large businesses place more than the limit of property in service, they are ineligible for the §179 deduction. 22. [LO 3] Explain the two limitations placed on the §179 deduction. How are they similar? How are they different? The §179 deduction has two limitations: the property placed in service and the taxable income limitation. The property placed in service limitation phases out the maximum deduction amount dollar for dollar for property placed in service over the $2,000,000 limit (limit in 2014, which we assume will be extended to 2015). After being limited by the property placed in service limitation, the §179 deduction is further limited to the taxpayer’s taxable income after regular MACRS depreciation but before deducting any §179 expense. The two limitations are similar in that they both limit the §179 deduction. However, the first limitation was designed to limit the amount of property that can be expensed as a means of defining small businesses while the second limitation prevents the expense from creating a loss for the taxable year. 23. [LO 3] Compare and contrast the types of businesses that would benefit from and those that would not benefit from the §179 expense. The availability of the §179 expense is limited by the property placed in service and income limitations. The property placed in service limitation phases out the §179 expense ($500,000) dollar for dollar for tangible personal property placed in service over the $2,000,000 threshold. (These are 2014 limits, which we assume to be extended into 2015. The §179 expense reverts back to $25,000 absent Congressional action, and the investment threshold reverts back to $200,000.) Thus, firms that place $2,500,000 of property in service during the year are ineligible to deduct any §179 expense. As a result, firms that place in service smaller amounts of property are eligible for the expensing election while those that place large amounts of property in service are ineligible. The second limitation is that firms can only currently expense assets up to net income (before the §179 expense, but after the regular MACRS depreciation expense). As a result, profitable firms are eligible for the §179 expense while firms in a loss position are currently ineligible but may carry the amount forward. Consequently, profitable firms that place a relatively small amount of property in service are able to elect the §179 expense. In contrast, firms that place in service too much property or are unprofitable are unable to currently expense property under § 179. 24. [LO 3] What strategies will help a business maximize its current depreciation deductions (including §179)? Why might a taxpayer choose not to maximize its current depreciation deductions? There are several planning strategies that will help a taxpayer maximize its current depreciation deductions. For example, if a taxpayer is close to exceeding the 4th quarter placed in service limitation, which would require the mid-quarter convention resulting in less depreciation, the taxpayer could put off purchases to the beginning of the next taxable year. A taxpayer can elect to expense under §179 assets that are 7-year assets rather than 5-year assets because the first year depreciation percentage is lower for 7-year assets (14.29% versus 20%). As another example, a taxpayer otherwise eligible for §179 expensing can elect to expense assets placed in service during the 4th quarter because expensed assets are not included in the mid- quarter test. 25. [LO 3] Why might a business elect only the §179 expense it can deduct in the current year rather than claiming the full amount available? Businesses can elect to expense §179 currently, and carry over the expense to future years if they meet the placed- in- service limitation but do not have sufficient income to expense the assets currently. However, a business may elect to expense only the amount it can currently deduct if it believes that maximizes the present value of current and future depreciation expenses. This may occur because carryovers of §179 expense are subject to future placed- in- service and income limitations. For example, a business could elect the expense in the current year (which reduces current and future MACRS depreciation expenses) and not be able to deduct the expense under §179 because the business is also limited in future years—so businesses that are generally limited would be wise not to make the election. Additionally, if taxpayers typically elect the maximum §179 expense annually, the amount would be suspended anyway. 26. [LO3] Describe assets that are considered to be listed property. Why do you think the Internal Revenue Service requires them to be “listed”? Listed property comprises business assets that taxpayers may wish to use for both business and personal purposes. For example, automobiles, planes, boats, recreation vehicles, and computer equipment and peripherals are considered to be listed property. The IRS wants to track both the personal and business use of these assets to limit depreciation to the business use portion. Additionally, if the business use portion dips below 50%, then taxpayers must use the straight-line method and potentially recapture excess depreciation deductions. 27. [LO 3] Are taxpayers allowed to claim depreciation expense on assets they use for both business and personal purposes? What are the tax consequences if the business use drops from above 50 percent in one year to below 50 percent in the next? Yes, taxpayers may depreciate mixed use assets (those used for both business and personal use). However, the otherwise allowable depreciation is reduced by the non-business use, so that depreciation is only allowed to the extent of the business use. If the business use falls below 50% in any subsequent year, then the taxpayer must re-compute depreciation for all prior years as if it had been using the straight line method over the ADS recovery period. If the prior depreciation expenses exceed both the prior depreciation expenses and the current year expense then the taxpayer must recapture the difference into income during the current year. 28. [LO 3] Discuss why Congress limits the amount of depreciation expense businesses may claim on certain automobiles. Automobiles have historically been the most abused, as well as expensive, type of listed property. To prevent subsidizing business owners’ automobiles through deductible depreciation expenses, Congress decided to place a maximum allowable depreciation amount on them. One exception to this rule is bonus depreciation. Congress allows an additional expense of $8,000 in the first year for automobiles placed into service during 2015 (assuming bonus depreciation is extended to 2015). However, one important exception from the luxury auto rules are that vehicles weighing more than 6,000 pounds are not subject to the limit and are also allowed to expense up to $25,000 during the first year under §179. 29. [LO 3] Compare and contrast how a Land Rover SUV and a Mercedes Benz sedan are treated under the luxury auto rules. Also include a discussion of the similarities and differences in available §179 expense. A Mercedes Benz sedan is less than 6,000 pounds and qualifies as a luxury automobile. This limits depreciation to the restrictive luxury auto amounts. In contrast, the Land Rover is more than 6,000 pounds and escapes the luxury auto rules. This is advantageous for two reasons: (1) the buyer may currently expense $25,000 under §179 and (2) the property is not subject to the luxury auto limits. 30. [LO 4] What is a §197 intangible? How do taxpayers recover the costs of these intangibles? How do taxpayers recover the cost of a §197 intangible that expires (such as a covenant not to compete)? A §197 intangible is a purchased intangible including: goodwill, going concern value, workforce in place, patents, customer lists, and similar assets. §197 intangibles are amortized over 180 months (15 years) using the straight-line method, and the full-month convention. To prevent game- playing among the basis allocations of various §197 intangibles acquired together, no loss is allowed on a §197 intangible until the last intangible purchased together is disposed of. For example, in the past, taxpayers would allocate substantial basis to a 3-year covenant not to compete or some other short-live intangible rather than goodwill (with a longer recovery period). If a §197 intangible expires or is disposed of before the 180 month amortization period expires any remaining basis of the disposed intangible is allocated among the remaining intangibles purchased at the same time. 31. [LO 4] Compare and contrast the tax and financial accounting treatment of goodwill. Are taxpayers allowed to deduct amounts associated with self-created goodwill? US GAAP requires goodwill to be capitalized and tested annually for impairment. If and when the goodwill is impaired, the difference between the book value and the new fair value will be expensed. For tax purposes, goodwill is treated like any other §197 intangible. §197 intangibles are amortized over 180 months (15 years) using the straight-line method, and the full-month convention. With respect to self-created assets taxpayers must amortize any capitalized costs (any unamortized research and experimentation expenses and with fees necessary to create the asset) over the life of the asset. For financial accounting these costs are normally expensed. 32. [LO 4] Compare and contrast the similarities and differences between organizational expenditures and start-up costs for tax purposes. Organizational expenditures and start-up costs are sometimes confused because both expense types are similar in that they are both incurred about the time the business begins. However, the expenses relate to different concerns. Start-up costs are costs that would be deductible as ordinary trade or business expense under §162, except for the fact that the trade or business had not started. An example of start-up costs is employee wages incurred before actual production begins at the factory. Alternatively, organizational expenditures relate to professional fees related to creating the entity. An example of organizational expenditures is attorney fees incurred for preparation of the corporate charter or partnership agreement. Additionally, all businesses can deduct start-up costs, but only corporations and partnerships can deduct organizational expenditures. 33. [LO 4] Discuss the methodology used to determine the amount of organizational expenditures or start-up costs that may be immediately expensed in the year a taxpayer begins business. Start-up costs can be expensed up to $5,000 and organizational expenditures can each be expensed, up to $5,000, in the year the business begins. However, the current expense is reduced dollar for dollar if the expenses exceed a threshold amount. The threshold for both start-up costs and organizational expenditures is $50,000. Any remaining expenses can be amortized over 15 years (180 months) for both types of costs. For example, if a taxpayer incurs $23,000 of organizational costs, it may currently expense $5,000—since the total expense is less than the $50,000 threshold. The remaining $18,000 ($23,000 - $5,000 expense) may be amortized at a rate of $100 per month ($18,000 / 180 months). 34. [LO 4] Explain the amortization convention applicable to intangible assets. MACRS uses the half-year, mid-quarter, and mid-month conventions. These simplifying conventions assume that the asset was placed in service during the middle of the year, quarter, or month, respectively. Intangibles are amortized using the full-month convention. This convention allows a full or entire month of amortization in each month the asset is owned—beginning with the month the intangible is placed in service. 35. [LO 4] Compare and contrast the recovery periods of §197 intangibles, organizational expenditures, start-up costs, and research and experimentation expenses. All intangibles are amortized using the full-month convention over the applicable recovery period. §197 assets must be amortized over a 15-year recovery period. Organizational expenditures and start-up costs are eligible for up to $5,000 of expensing in the year the business begins. This expense is reduced dollar for dollar over a $50,000 threshold. The remaining expenses are amortized over a 15-year recovery period. Research and experimentation expenses may be capitalized or amortized over the determinable useful life, or if no determinable life, not less than 60 months. Any unamortized expense that is allocable to a self-created intangible such as a patent is amortized over the intangible’s life. 36. [LO 5] Compare and contrast the cost and percentage depletion methods for recovering the costs of natural resources. What are the similarities and differences between the two methods? Both cost and percentage depletion methods are used to recoup the cost of natural resources. A taxpayer is allowed to deduct the depletion method that results in the largest deduction in the current year. Cost depletion is a cost recovery method based on the amount of the estimated raw materials used during the year. The basic premise is that a business ratably recovers the cost basis of the resource as it is used up. Cost depletion is taken until the basis of the asset is recovered. If the natural resource is exhausted before the basis is recovered then the remaining basis is expensed. In contrast, percentage depletion is a statutory method that allows an expense based on the lesser of 50% of net income from the activity or a percentage (statutorily determined) of the gross receipts from the business during the current year. Percentage depletion is allowed to continue even after the asset’s basis has been fully recovered. 37. [LO 5] Explain why percentage depletion has been referred to as a government subsidy. Percentage depletion is often referred to as a government subsidy because it is an expense designed to encourage production of specific resources. For example, oil and gas, coal, and many other natural resources are assigned specific percentage depletion rates (between 5% and 22%), while timber is excluded from resources applicable to the method. To encourage development of a certain resource, Congress can simply raise the statutory percentage for the resource type. In addition, percentage depletion expense can transcend reality. How many expenses are allowed to exceed the taxpayer’s basis in an asset? Very few expenses, if any are allowed in excess of basis. Savvy taxpayers can underestimate the estimate of a natural resource, accelerate its cost recovery through cost depletion, and then continue to receive depletion benefits through percentage depletion. For these reasons, percentage depletion is referred to as a subsidy. Problems 38. [LO 1] Jose purchased a delivery van for his business through an online auction. His winning bid for the van was $24,500. In addition, Jose incurred the following expenses before using the van: shipping costs of $650; paint to match the other fleet vehicles at a cost of $1,000; registration costs of $3,200 which included $3,000 of sales tax and a registration fee of $200; wash and detailing for $50; and an engine tune-up for $250. What is Jose’s cost basis for the delivery van? $29,150, cost basis in the delivery van, computed as follows: Description Amount Explanation* Purchase price $24,500 Shipping costs 650 Business preparation cost Paint 1,000 Business preparation cost Sales tax 3,000 Business preparation cost Total cost basis $29,150 *Note that the registration fee, washing and detailing, and engine tune-up are costs for repairs and maintenance that are not required to be capitalized. 39. [LO 1] Emily purchased a building to store inventory for her business. The purchase price was $760,000. Beyond this, Emily incurred the following necessary expenses to get the building ready for use: $10,000 to repair the roof, $5,000 to make the interior suitable for her finished goods, and $300 in legal fees. What is Emily’s cost basis in the new building? $765,300 cost basis, computed as follows: Description Amount Explanation Purchase price $760,000 Improvements 5,000 Business preparation costs Legal fees 300 Business preparation costs Cost basis in building $765,300* *Note that the $10,000 repair for the roof was not capitalized. The repair is likely a routine maintenance expenditure rather than a capitalized cost. However, if the expense improved or prolonged the life of the asset beyond what would be considered maintenance to keep it in its working condition, it would be capitalized. 40. [LO 1] Dennis contributed business assets to a new business in exchange for stock in the company. The exchange did not qualify as a nontaxable exchange. The fair market value of these assets was $287,000 on the contribution date. Dennis’s original basis in the assets he contributed was $143,000, and the accumulated depreciation on the assets was $78,000. a. What is the business’s basis in the assets it received from Dennis? b. What would be the business’s basis if the transaction qualified as a nontaxable exchange? a. Because this exchange is a fully taxable transaction, the business’s basis in Dennis’s assets is the $287,000 fair market value of the assets. b. If the transaction qualified as a nontaxable exchange, the business would take the same adjusted basis in the assets that Dennis had. That is, the business will receive an exchanged basis of $65,000 ($143,000 original basis minus accumulated depreciation of $78,000) in the assets. 41. [LO 1] Brittany started a law practice as a sole proprietor. She owned a computer, printer, desk, and file cabinet she purchased during law school (several years ago) that she is planning to use in her business. What is the depreciable basis that Brittany should use in her business for each asset, given the following information? Asset Purchase Price FMV at Time Converted to Business use Computer $2,500 $800 Printer $300 $150 Desk $1,200 $1,000 File cabinet $200 $225 The basis of assets converted from personal use to business use is the lesser of (1) fair market value on date of conversion or (2) basis on the date of conversion. The basis of each asset is as follows: Asset (1) FMV (2) Basis on Date of Conversion Lesser of (1) or (2) Depreciable Basis Computer $800 $2,500 $800 Printer $150 $300 $150 Desk $1,000 $1,200 $1,000 File cabinet $225 $200 $200 42. [LO 1] Meg O’Brien received a gift of some small-scale jewelry manufacturing equipment that her father had used for personal purposes for many years. Her father originally purchased the equipment for $1,500. Because the equipment is out of production and no longer available, the property is currently worth $4,000. Meg has decided to begin a new jewelry manufacturing trade or business. What is her depreciable basis for depreciating the equipment? The basis of a gift is a carryover basis from the donor. Therefore Meg’s depreciable basis in the property is $1,500. 43. [LO 1] Gary inherited a Maine summer cabin on 10 acres from his grandmother. His grandparents originally purchased the property for $500 in 1950 and built the cabin at a cost of $10,000 in 1965. His grandfather died in 1980 and when his grandmother recently passed away, the property was appraised at $500,000 for the land and $700,000 for the cabin. Since Gary doesn’t currently live in New England, he decided that it would be best to put the property to use as a rental. What is Gary’s basis in the land and in the cabin? The basis of inherited property is the fair market value on the date of death or, if elected by the estate, the alternate valuation date if less. Consequently, Gary’s basis will be $500,000 in the land and $700,000 for the cabin. 44. [LO 1] Wanting to finalize a sale before year-end, on December 29, WR Outfitters sold to Bob a warehouse and the land for $125,000. The appraised fair market value of the warehouse was $75,000, and the appraised value of the land was $100,000. a. What is Bob’s basis in the warehouse and in the land? b. What would be Bob’s basis in the warehouse and in the land if the appraised value of the warehouse is $50,000, and the appraised value of the land is $125,000? c. Which appraisal would Bob likely prefer? NOTE: This is a bargain purchase. The sales price is less than the appraised value. This solution uses the relative appraised values of the land and the warehouse to allocate the purchase price between these two assets. a. Bob’s cost basis in the land is $71,429. Because the purchase price is less than the appraised values for the land and the warehouse, the purchase price must be allocated between the land and the warehouse. The $71,429 basis for the land is the amount of the $125,000 purchase price that is allocated to the land based on the relative value of the land ($100,000) to the value of the land ($100,000) plus the value of the warehouse ($75,000) based on the appraisal. The formula used to determine the basis allocated to the land is $125,000 (purchase price) x $100,000/($100,000 + 75,000). Use the same process to determine that Bob’s basis in the warehouse is $53,571. b. Bob’s cost basis for the land is $89,286. Because the purchase price is less than the appraised values for the land and the warehouse, the purchase price must be allocated between the land and the warehouse. The $89,286 basis for the land is the amount of the $125,000 purchase price that is allocated to the land based on the relative value of the land ($125,000) to the value of the land ($125,000) plus the value of the warehouse ($50,000) based on the appraisal. The formula used to determine the basis allocated to the land is $125,000 (purchase price) x $125,000/($50,000 + 125,000). Use the same process to determine that Bob’s basis in the warehouse is $35,714. c. Bob would likely prefer the appraisal from part (a), because the appraisal allows him to allocate more basis to the warehouse, which is depreciable. 45. [LO 2] At the beginning of the year, Poplock began a calendar-year dog boarding business called Griff’s Palace. Poplock bought and placed in service the following assets during the year: Asset Date Acquired Cost Basis Computer equipment 3/23 $5,000 Dog grooming furniture 5/12 $7,000 Pickup truck 9/17 $10,000 5 years $5,000 20.00% $1,000 7 years $7,000 14.29% $1,000 5 years $10,000 20.00% $2,000 39 years $270,000 0.535% $1,445 $5,445 5 years $5,000 32.00% $1,600 7 years $7,000 24.49% $1,714 5 years $10,000 32.00% $3,200 39 years $270,000 2.564% $6,923 $13,437 Commercial building 10/11 $270,000 Land (one acre) 10/11 $80,000 Assuming Poplock does not elect §179 expensing or bonus depreciation, answer the following questions: a. What is Poplock’s year 1 depreciation expense for each asset? b. What is Poplock’s year 2 depreciation expense for each asset? a. $5,445, under the half-year convention for personal property, calculated as follows: Asset Computer Purchase Date Quarter Recovery period (1) Original Basis (2) Rate (1) x (2) Depreciation equipment 23-Mar 1 st Dog grooming furniture 12-May 2 nd Pickup truck 17-Sep 3 rd Building 11-Oct 4 th b. $13,437, calculated as follows: (1) Asset Computer Purchase Date Quarter Recovery period Original Basis (2) Rate (1) x (2) Depreciation equipment 23-Mar 1 st Dog grooming furniture 12-May 2 nd Pickup truck 17-Sep 3 rd Building 11-Oct 4 th 46. [LO 2] DLW Corporation acquired and placed in service the following assets during the year: Asset Date Acquired Cost Basis Computer equipment 2/17 $10,000 Furniture 5/12 $17,000 Commercial building 11/1 $270,000 Assuming DLW does not elect §179 expensing or bonus depreciation, answer the following questions: a. What is DLW’s year 1 cost recovery for each asset? 5 years $10,000 20.00% $2,000 7 years $17,000 14.29% $2,429 39 years $270,000 0.321% $867 $5,296 b. What is DLW’s year 3 cost recovery for each asset if DLW sells all of these assets on 1/23 of year 3? a. $5,296, under the half-year convention for personal property, calculated as follows: Asset Computer Purchase Date Quarter Recovery period (1) Original Basis (2) Rate (1) x (2) Depreciation equipment 17-Feb 1 st Furniture 12-May 2 nd Building 1-Nov 4 th b. $2,735, calculated as follows: Asset Original Basis Recovery period Rate Portion of Year Depreciation Expense Computer equipment $10,000 5 years 19.2% 50.00% $960 Furniture $17,000 7 years 17.49% 50.00% $1,487 Building $270,000 39 years 2.564% 4.17% $288 Total Depreciati on Expense $2,735 47. [LO 2] At the beginning of the year, Dee began a calendar-year business and placed in service the following assets during the year: Asset Date Acquired Cost Basis Computer equipment 3/23 $5,000 Furniture 5/12 $7,000 Pickup truck 11/15 $10,000 Commercial building 10/11 $270,000 Assuming Dee does not elect §179 expensing or bonus depreciation, answer the following questions: a. What is Dee’s year 1 cost recovery for each asset? b. What is Dee’s year 2 cost recovery for each asset? a. $4,945, using the mid-quarter convention for personal property, as calculated below. Dee is required to use the mid-quarter convention because more than 40 percent of the tangible personal property was placed in service during the 4 th quarter. Dee placed 45.45% ($10,000 / ($5,000 + $7,000 + $10,000)) of the tangible personal property in service during the 4th quarter. 5 years $5,000 35.00% $1,750 7 years $7,000 17.85% $1,250 5 years $10,000 5.00% $500 39 years $270,000 0.535% $1,445 $4,945 5 years $5,000 26.00% $1,300 7 years $7,000 23.47% $1,643 5 years $10,000 38.00% $3,800 39 years $270,000 2.564% $6,923 $13,666 Asset Computer Purchase Date Quarter Recovery period (1) Original Basis (2) Rate (1) x (2) Cost Recovery equipment 23-Mar 1 st Furniture 12-May 2 nd Pickup truck 15-Nov 4 th Building 11-Oct 4 th b. $13,666, using the mid-quarter convention for personal property, calculated as follows: Asset Computer Purchase Date Quarter Recovery period (1) Original Basis (2) Rate (1) x (2) Cost Recovery equipment 23-Mar 1 st Furniture 12-May 2 nd Pickup truck 15-Nov 4 th Building 11-Oct 4 th 48. [LO 2] Evergreen Corporation (calendar year end) acquired the following assets during the current year (ignore §179 expense and bonus depreciation for this problem): Asset Placed in Service Date Original Basis Machinery October 25 $70,000 Computer Equipment February 3 $10,000 Used Delivery Truck* August 17 $23,000 Furniture April 22 $150,000 *The delivery truck is not a luxury automobile. a. What is the allowable MACRS depreciation on Evergreen’s property in the current year? b. What is the allowable MACRS depreciation on Evergreen’s property in the current year if the machinery had a basis of $170,000 rather than $70,000? a. $38,038, under the half year convention, calculated as follows: (1) Asset Placed in Service Original Basis (2) Rate (1) x (2) Depreciation Computer equipment (5 year) February 3 $10,000 20.00% $2,000 Furniture (7 year) April 22 $150,000 14.29% $21,435 Used delivery truck (5 year) August 17 $23,000 20.00% $4,600 Asset Placed in Service Quarter Original Basis (2) Rate (1) x (2) Depreciation quipment (5 year) February 3 1 st $10,000 35.00% $3,500 7 year) April 22 2 nd $150,000 17.85% $26,775 ry truck (5 year) August 17 3 rd $23,000 15.00% $3,450 (7 year) October 25 4 th $170,000 3.57% $6,069 $353,000 $39,794 Machinery (7 year) October 25 $70,000 14.29% $10,003 Total $253,000 $38,038 Evergreen isn’t required to use the mid-quarter convention because only 27.67% of its tangible personal property was placed in service during the 4 th quarter (70,000/253,000). Additionally, the delivery truck is not considered to be a luxury auto. b. $39,794, under the mid-quarter convention, as computed below. Evergreen is required to use the mid-quarter convention because greater than 40 percent of tangible personal property was placed in service during the 4 th quarter. Evergreen placed 48.2% [$170,000 / ($10,000 + $23,000 + $150,000 + $170,000)] of its tangible personal property in service during the 4th quarter. (1) Computer e Furniture ( Used delive Machinery Total 49. [LO 2] Convers Corporation (June 30 year-end) acquired the following assets during the current tax year (ignore §179 expense and bonus depreciation for this problem): Asset Placed in Service Date Original Basis Machinery October 25 $70,000 Computer Equipment February 3 $10,000 Used Delivery Truck* March 17 $23,000 Furniture April 22 $150,000 Total $253,000 *The delivery truck is not a luxury automobile. What is the allowable MACRS depreciation on Convers’ property in the current year? $22,800, under the mid-quarter convention, as computed below. Convers is required to use the mid-quarter convention because greater than 40 percent of tangible personal property was placed in service during its 4 th quarter. Convers placed 59.3% [$150,000 / ($70,000 + $10,000 + $23,000 + $150,000)] of its tangible personal property in service during the 4th quarter (April – June). Asset Placed in Service Quarter (1) Original Basis (2) Rate (1) × (2) Depreciation $70,000 17.85% $12,495 $10,000 15.00% $1,500 $23,000 15.00% $3,450 $150,000 3.57% $5,355 $253,000 $22,800 Machinery (7 year) October 25 2 nd Computer Equipment (5 year) February 3 3 rd Used delivery truck (5 year) March 17 3 rd Furniture (7 year) April 22 4 th Total 50. [LO 2] Harris Corp. is a technology start-up and is in its second year of operations. The company didn’t purchase any assets this year but purchased the following assets in the prior year: Asset Placed in Service Basis Office Equipment August 14 $10,000 Manufacturing Equipment April 15 68,000 Computer System June 1 16,000 Total $94.000 Harris did not know depreciation was tax deductible until it hired an accountant this year and didn’t claim any depreciation expense in its first year of operation. a) What is the maximum amount of depreciation expense Harris Corp. can deduct in its second year of operation (ignore bonus and §179 expense)? b) What is the basis of the office equipment at the end of the second year? a) Harris is limited to the regular MACRS depreciation using the second year depreciation rates. Harris is not required to use the mid-quarter convention as it did not place more than 40 percent of its assets into service last year. Its depreciation for this year is $24,222, calculated as follows: Asset Placed in Service (1) Original Basis (2) Rate (1) x (2) Depreciation Office equipment (7 year) August 14 $10,000 24.49% $2,449 Manufacturing equipment (7 year) April 15 68,000 24.49% 16,653 Computer system (5 year) June 1 16,000 32.00% 5,120 Total $94,000 $24,222 b) The basis of the office equipment at the end of the second year is calculated by subtracting the depreciation allowable from the original basis. In this case, Harris must reduce the basis by $1,429 for the first year’s depreciation that was not taken but was allowable plus $2,449 for the second year’s depreciation. After reducing the original cost by these depreciation amounts, the remaining basis is $6,122. 51. [LO 2] {Planning} Parley needs a new truck to help him expand Parley’s Plumbing Palace. Business has been booming and Parley would like to accelerate his tax $25,000 25.00% $6,250 $22,000 5.00% $1,100 $7,350 deductions as much as possible (ignore §179 expense and bonus depreciation for this problem). On April 1, Parley purchased a new delivery van for $25,000. It is now September 26 and Parley, already in need of another vehicle, has found a deal on buying a truck for $22,000 (all fees included). The dealer tells him if he doesn’t buy the truck (Option 1), it will be gone tomorrow. There is an auction (Option 2) scheduled for October 5 where Parley believes he can get a similar truck for $21,500, but there is also a $500 auction fee. a. Which option allows Parley to generate more depreciation expense deductions this year (the vehicles are not considered to be luxury autos)? b. Assume the original facts except that the delivery van was placed in service one day earlier on March 31 rather than April 1. Which option generates more depreciation expense? a. Option 1 generates more depreciation. Option 1 generates $9,400 of depreciation and Option 2 generates $7,350. Option 1: Half-year convention applies Asset Date Placed in Service (1) Original Basis (2) Rate (1) x (2) Depreciation Delivery Van April 1 $25,000 20.00% $5,000 Option 1 September 26 $22,000 20.00% $4,400 Total $9,400 Option 2: Mid-quarter convention applies (1) (2) (1) x (2) Asset Date Placed in Service Quarter Original Basis Rate Depreciation Delivery Van April 1 2 nd Option 2 October 5 4 th Total b. Option 2 generates more depreciation expense ($9,850 vs. 9,400). Under Option 1, because the half-year convention applies, the depreciation expense is $9,400, the same as it is in part a. Under Option 2, because the mid-quarter convention applies and the Delivery Van was placed in service in the first quarter (on March 31), Parley is allowed to deduct more depreciation overall. The depreciation under Option 2 in this scenario is $9,850, computed as follows: Asset Option 2: Mid-quarter convention applies Date Placed in Service Quarter (1) Original Basis (2) Rate (1) x (2) Depreciation $25,000 35.00% $8,750 $22,000 5.00% $1,100 $9,850 Delivery truck $20,000 n/a 19.20% 50.00% $1,920 Machinery $270,000 4 th 27.55% 62.50% $46,491 Delivery van March 31 1 st Option 2 October 5 4 th Total 52. [LO 2] Way Corporation disposed of the following tangible personal property assets in the current year. Assume that the delivery truck is not a luxury auto. Calculate Way Corporation’s 2015 depreciation expense (ignore §179 expense and bonus depreciation for this problem). Asset Date acquired Date sold Conventio n Original Basis Furniture (7 year) 5/12/11 7/15/15 HY $55,000 Machinery (7 year) 3/23/12 3/15/15 MQ $72,000 Delivery truck* (5 year) 9/17/13 3/13/15 HY $20,000 Machinery (7 year) 10/11/14 8/11/15 MQ $270,000 Computer (5 year) 10/11/15 12/15/15 HY $80,000 *Used 100 percent for business. Depreciation is $51,851, calculated as follows: Quarter Original If mid Portion of Depreciation Asset Basis quarter Rate Year Expense Furniture $55,000 n/a 8.93% 50.00% $2,456 Machinery $72,000 1 st 10.93% 12.50% $984 Computer $80,000 n/a 0.00% 50.00% $0_* Total Depreciation Expense $51,851 *No depreciation for assets acquired and disposed of in the same year. 53. [LO 2] On November 10 of year 1 Javier purchased a building, including the land it was on, to assemble his new equipment. The total cost of the purchase was $1,200,000; $300,000 was allocated to the basis of the land and the remaining $900,000 was allocated to the basis of the building. a. Using MACRS, what is Javier’s depreciation expense on the building for years 1 through 3? b. What would be the year 3 depreciation expense if the building was sold on August 1 of year 3? c. Answer the question in part (a), except assume the building was purchased and placed in service on March 3 instead of November 10. d. Answer the question in part (a), except assume that the building is residential property. e. What would be the depreciation for 2015, 2016, and 2017 if the property were nonresidential property purchased and placed in service November 10, 1998 (assume the same original basis)? a. The depreciation for the 3 years is computed as follows: Year Method Recovery Period Date Placed in Service (1) Original Basis (2) Rate (1) x (2) Depreciation 1 SL 39 Nov. 10 $900,000 0.321% $2,889 2 $900,000 2.564% $23,076 3 $900,000 2.564% $23,076 b. The depreciation for year 3 would be $14,423 and is computed as follows (The building is sold in month 8 so depreciation for the year is for 8 minus one-half month =7.5 months.): Date Recovery Placed in (1) (2) (1) x (2) Year Method Period Service Basis Rate Depreciation 3 SL 39 Nov. 10 $900,000 2.564% $23,076 Partial year x 7.5/12 $14,423 c. The depreciation for years 1 – 3 is computed as follows (note that years 2 and 3 are the same): Date (1) (2) (1) x (2) Recovery Placed in Original Year Method Period Service Basis Rate Depreciation 1 SL 39 March 3 $900,000 2.033% $18,297 2 $900,000 2.564% $23,076 3 $900,000 2.564% $23,076 d. If the property was residential real property, the building is depreciated over 27.5 years instead of 39 years. The depreciation for years 1 - 3 is computed as follows: Date (1) (2) (1) x (2) Recovery Placed in Original Year 1 Method Period Service SL 27.5 Nov. 10 Basis Rate Depreciation $900,000 0.455% $4,095 2 $900,000 3.636% $32,724 3 $900,000 3.636% $32,724 e. If the property was nonresidential real property purchased in 1998, the depreciation for the 3 years is computed as follows for years 18, 19, and 20 in the depreciation table: Date (1) (2) (1) x (2) Recovery Placed in Original Year Method Period Service Basis Rate Depreciation 2015 SL 39 1997 $900,000 2.564% $23,076 2016 $900,000 2.564% $23,076 2017 $900,000 2.564% $23,076 54. [LO 2] Carl purchased an apartment complex for $1.1 million on March 17 of year 1. $300,000 of the purchase price was attributable to the land the complex sits on. He also installed new furniture into half of the units at a cost of $60,000. a. What is Carl’s allowable depreciation expense for his real property for years 1 and 2? b. What is Carl’s allowable depreciation expense for year 3 if the real property is sold on January 2 of year 3? a. The depreciation on the real property for the 2 years is computed as follows: Year Method Recovery Period Date Placed in Service (1) Original Basis (2) Rate (1) x (2) Depreciation 1 SL 27.5 March 17 $800,000 2.879% $23,032 2 $800,000 3.636% $29,088 Note that the furniture is depreciable personal property. b. The depreciation for year 3 is computed as follows: Date (1) (2) (1) x (2) Recovery Placed in Original Year Method Period Service Basis Rate Depreciation 3 SL 27.5 March 17 $800,000 3.636% $29,088 Partial year* x .5/12 $1,212 *mid- month convention applies to real property in year of acquisition and year of disposition. 55. [LO 2, LO 3] AMP Corporation (calendar year end) has 2015 taxable income of $900,000 before the §179 expense. During 2014, AMP acquired the following assets: Placed in Asset Service Basis Machinery September 12 $1,550,000 Computer Equipment February 10 365,000 Office Building April 2 480,000 Total $2,395,000 Original §179 Remaining Depreciation a) What is the maximum amount of §179 expense AMP may deduct for 2015 (assume the 2014 §179 limits are extended to 2015)? b) What is the maximum total depreciation expense, including §179 expense, that AMP may deduct in 2015 on the assets it placed in service in 2015 assuming no bonus depreciation (assume the 2014 §179 limits are extended to 2015)? a. The maximum §179 expense is $500,000. Description Amount Explanation (1) Property placed in service in 2015 $1,915,000 Total §179 qualified property (2) Threshold for §179 phase-out (2,000,000) 2015 amount [§179(b)(2)] (3) Phase-out of maximum §179 expense $-0- (1) – (2) (permanently disallowed), not less than $0. (4) Maximum 179 expense before phase-out $500,000 2015 amount [§179(b)(1)] (5) Phase-out of maximum §179 expense $-0- From (3) Maximum §179 expense after phase-out $500,000 (4) – (5) b. The maximum depreciation expense is $731,776 (half-year convention). Depreciation is maximized by applying the §179 expense against 7-year rather than 5- year property. Asset Basis Expense Basis Rate Expense Machinery (7-year) Computer Equipment (5 $1,550,000 $500,000 $1,050,000 14.29% $150,045 year) $365,000 $365,000 20.00% $73,000 Office building (39 year) $480,000 $480,000 1.819% $8,731 §179 Expense $500,000 Total cost recovery $731,776 56. [LO 2, LO 3] Assume that TDW Corporation (calendar year end) has 2015 taxable income of $650,000 before the §179 expense, acquired the following assets during 2015: Placed in Asset Service Basis Machinery October 12 $1,270,000 Computer Equipment February 10 263,000 Furniture April 2 880,000 Total $2,413,000 a) What is the maximum amount of §179 expense TDW may deduct for 2015 (assume the 2014 §179 limits are extended to 2015)? b) What is the maximum total depreciation expense, including §179 expense, that TDW may deduct in 2015 on the assets it placed in service in 2015 assuming no bonus depreciation (assume the 2014 §179 limits are extended to 2015)? a. The maximum §179 expense is $87,000. Description Amount Explanation (1) Property placed in service in 2015 $2,413,000 Total qualified property (2) Threshold for §179 phase-out (2,000,000) 2014 amount [§179(b)(2)] (3) Phase-out of maximum §179 expense $413,000 (1) – (2) (permanently disallowed) (4) Maximum 179 expense before phase-out $500,000 2015 amount [§179(b)(1)] (5) Phase-out of maximum §179 expense $413,000 From (3) (6) Maximum §179 expense after phase-out $87,000 (4) – (5) b. The maximum depreciation expense is $378,363 (mid-quarter convention). Depreciation is maximized by applying the §179 expense against 7-year rather than 5- year property, and in this case, depreciation is maximized by applying the §179 expense against the machinery. Original §179 Remaining Depreciation Asset Basis Expense Basis Rate Expense Machinery (7-year) Computer Equipment $1,270,000 $87,000 $1,183,000 3.57% $42,233 (5- year) $263,000 $263,000 35.00% 92,050 Furniture (7 year) $880,000 $880,000 17.85% 157,080 §179 Expense 87,000 Total cost recovery $378,363 57. [LO 2, LO 3] Assume that Timberline Corporation has 2015 taxable income of $240,000 before the §179 expense (assume the 2014 §179 limits are extended to 2015). Purchase Asset Date Basis Furniture (7-year) December 1 $350,000 Computer Equipment (5-year) February 28 90,000 Copier (5-year) July 15 30,000 Machinery (7-year) May 22 480,000 Total $950,000 a) What is the maximum amount of §179 expense Timberline may deduct for 2015? What is Timberline’s §179 carryforward to 2015, if any? b) What would Timberline’s maximum depreciation expense be for 2015 assuming no bonus depreciation? c) What would Timberline’s maximum depreciation expense be for 2015 if the furniture cost $2,000,000 instead of $350,000 and assuming no bonus depreciation? a) The maximum section 179 expense would be $240,000: Description Amount Explanation (1) Property placed in service $950,000 Total qualified assets (2) Threshold for §179 phase-out (2,000,000) 2015 amount (§179(b)(2)) (3) Phase-out of maximum §179 expense $0 (1) – (2) (permanently disallowed), not less than $0. (4) Maximum 179 expense before phase-out $500,000 2015 amount (§179(b)(1)) (5) Phase-out of maximum §179 expense $0 From (3) (6) Maximum §179 expense after phase-out $500,000 (4) – (5) (7) Taxable income before §179 deduction $240,000 Given in problem (8) §179 expense after taxable income limitation. $240,000 Lesser of (6) and (7) §179 carryforward to next year $260,000 (6) – (8) b) The half-year convention applies because only 15.49% of its personal property was placed in service in the 4 th quarter (($350,000 – 240,000)/(950,000 – 240,000)=110,000/710,000). (Because the mid-quarter test is applied after taking §179 expense, it is optimal to take the §179 expense against qualified property placed into service during the fourth quarter.) Timberline’s depreciation expense is $348,311 computed as follows: Original §179 Remaining Depreciation Asset Basis Expense Basis* Rate Expense Furniture $350,000 $240,000 $110,000 14.29% $15,719 Computer Equipment $90,000 $90,000 20.00% $18,000 Copier $30,000 $30,000 20.00% $6,000 Machinery $480,000 $480,000 14.29% $68,592 §179 Expense $240,000 Total Depreciation Expense $348,311 Depreciation expense is maximized by applying the §179 expense against 7-year instead of 5-year property. c) The maximum section 179 expense would be $0, computed as follows: Description Amount Explanation Furniture $2,000,000 $2,000,000 Computer Equipment $90,000 $90,000 Copier $30,000 $30,000 Machinery §179 Expense $480,000 $480,000 3.57% $71,400 35.00% $31,500 15.00% $4,500 17.85% $85,680 $0 $193,080 (1) Property placed in service $2,600,000 Total of qualifying assets (2) Threshold for §179 phase-out (2,000,000) 2015 amount (§179(b)(2)) (3) Phase-out of maximum §179 expense $600,000 (1) – (2) (permanently disallowed) (4) Maximum 179 expense before phase-out $500,000 2015 amount [§179(b)(1)] (5) Phase-out of maximum §179 expense $600,000 From (3) Maximum §179 expense after phase-out $0 (4) – (5), but not below 0 The maximum depreciation expense for 2015 using the mid-quarter convention would be $193,080, computed as follows: Original §179 Remaining Depreciation Asset Basis Expense Basis* Quarter Rate Expense 4 th 1 st 3 rd 2 nd Total Depreciation Expense 58. [LO 2, LO 3] {Planning} Dain’s Diamond Bit Drilling purchased the following assets this year. Assume its taxable income for the year was $53,000 before deducting any §179 expense (assume no bonus depreciation but assume that the 2014 §179 limits are extended to 2015). Purchase Original Asset Date Basis Drill Bits (5-year) January 25 $90,000 Drill Bits (5-year) July 25 95,000 Commercial Building April 22 220,000 a) What is the maximum amount of §179 expense Dain may deduct for the year? b) What is Dain’s maximum depreciation expense for the year (including §179 expense)? c) If the January drill bits’ original basis was $2,375,000, what the maximum amount of §179 expense Dain may deduct for the year? d) If the January drill bits’ basis was $2,495,000, what the maximum amount of §179 expense Dain may deduct for the year? a) The maximum section 179 expense is $53,000, computed as follows: Description Amount Explanation (1) Property placed in service this year $185,000 Total of qualifying assets (2) Threshold for §179 phase-out (2,000,000) 2015 amount (§179(b)(2)) (3) Phase-out of maximum §179 expense $0 (1) – (2) (permanently disallowed), not less than $0 (4) Maximum 179 expense before phase-out $500,000 2015 amount (§179(b)(1)) (5) Phase-out of maximum §179 expense $0 From (3) (6) Maximum §179 expense after phase-out $500,000 (4) – (5) (7) Taxable income before §179 deduction $53,000 Assumed in problem §179 expense deductible in 2015 after taxable income limitation. $53,000 Lesser of (6) and (7) b) Dain’s depreciation expense would be $83,402, calculated as follows: Original §179 Remaining Depreciation Asset Basis Expense Basis* Rate Expense Drill Bits (5 year) $90,000 $53,000 $37,000 20.00% $7,400 Drill Bits (5 year) $95,000 $95,000 20.00% $19,000 Commercial Building (39 year) $220,000 $220,000 1.819% $4,002 §179 Expense $53,000 Total Depreciati on Expense $83,402 c) The maximum section 179 expense would be $30,000: Description Amount Explanation (1) Property placed in service $2,470,000 Total of qualifying assets (2) Threshold for §179 phase-out (2,000,000) 2015 amount (§179(b)(2)) (3) Phase-out of maximum §179 expense $470,000 (1) – (2) (permanently disallowed) (4) Maximum 179 expense before phase-out $500,000 2015 amount (§179(b)(1)) (5) Phase-out of maximum §179 expense $470,000 From (3) (6) Maximum §179 expense after phase-out $30,000 (4) – (5) (7) Taxable income before §179 deduction $53,000 Assumed in problem Maximum §179 expense after taxable income limitation. $30,000 Lesser of (6) and (7) d) The maximum section 179 expense would be $0: Description Amount Explanation (1) Property placed in service $2,590,000 Total of qualifying assets (2) Threshold for §179 phase-out (2,000,000) 2015 amount (§179(b)(2)) (3) Phase-out of maximum §179 expense $590,000 (1) – (2) (permanently disallowed) (4) Maximum 179 expense before phase-out $500,000 2015 amount (§179(b)(1)) (5) Phase-out of maximum §179 expense $590,000 From (3) (6) Maximum §179 expense after phase-out $0 (4) – (5) , not less than $0 (7) Taxable income before §179 deduction $53,000 Assumed in problem Maximum §179 expense after taxable income limitation. $0 Lesser of (6) and (7) 59. [LO 2, LO 3] {Research} Assume that ACW Corporation has 2015 taxable income of $1,000,000 before the §179 expense, acquired the following assets during 2015 (assume no bonus depreciation but assume that the 2014 §179 limits are extended to 2015): Asset Placed in Service Basis Machinery September 12 $470,000 Computer equipment February 10 70,000 Delivery truck August 21 93,000 Qualified leasehold improvements April 2 380,000 Total $1,013,000 a) What is the maximum amount of §179 expense ACW may deduct for 2015? b) What is the maximum total depreciation expense that ACW may deduct in 2015 on the assets it placed in service in 2015? a. The maximum §179 expense is $500,000. Description Amount Explanation (1) Qualifying property placed in service in 2015 $1,013,000 Total of qualifying assets (2) Threshold for §179 phase-out (2,000,000) 2015 amount [§179(b)(2)] (3) Phase-out of maximum §179 expense $-0- (1) – (2) (permanently disallowed), not less than $0 (4) Maximum 179 expense before phase-out $500,000 2015 amount [§179(b)(1)] (5) Phase-out of maximum §179 expense $-0- From (3) Maximum §179 expense after phase-out $500,000 (4) – (5) b. The maximum depreciation expense is $568,371 (half year convention). The §179 amount for qualified leasehold improvements through 2014 is $250,000 . Assuming this provision is extended to 2015, depreciation is maximized by applying the §179 expense against the qualified real property first up to its maximum amount and then applying to the 7-year rather than 5- year property. Original §179 Remaining Depreciation Asset Basis Expense Basis* Rate Expense Machinery (7-year) $470,000 $250,000 $220,000 14.29% $31,438 Computers (5- year) $70,000 $70,000 20.00% $14,000 Delivery Truck (5 year) $93,000 $93,000 20.00% $18,600 Leasehold improvements (15 year)* $380,000 250,000 $130,000 3.33% $4,333 §179 Expense $500,000 Total Depreciation Expense $568,371 *The leasehold improvements are 15-year property and must be depreciated using the half-year convention (§168(d)(1) and the straight-line method (§168(e)(3)(E)(iv)). 60. (LO2, LO3) Chaz Corporation has taxable income in 2015 of $312,000 before the §179 expense and acquired the following assets during the year: Placed in Asset Service Basis Office furniture September 12 $1,280,000 Computer Equipment February 10 930,000 Delivery Truck August 21 68,000 Total $2,278,000 What is the maximum total depreciation expense that Chaz may deduct in 2015 (assume that the 2014 §179 limits and bonus depreciation are extended to 2015)? The maximum depreciation expense is $1,425,394 determined as follows: Description Amount Explanation (1) Property placed in service $2,278,000 Total of qualifying assets (2) Threshold for §179 phase-out (2,000,000) 2015 amount [§179(b)(2)] (3) Phase-out of maximum §179 expense $278,000 (1) – (2) (permanently disallowed) (4) Maximum 179 expense before phase-out $500,000 2015 amount [§179(b)(1)] (5) Phase-out of maximum §179 expense 278,000 From (3) Maximum §179 expense after phase-out $ 222,000 (4) – (5), not limited by taxable income Chaz will receive the most benefit by applying the §179 amount to the furniture (7- year property. Original §179 Remaining Bonus Remaining Depreciation Asset Basis Expense Basis Depreciation Basis Rate Expense Furniture (7-year) $1,280,000 $222,000 $1,058,000 529,000 $529,000 14.29% $75,594 Computers (5- year) 930,000 930,000 465,000 465,000 20.00% 93,000 Delivery Truck (5 year) 68,000 68,000 34,000 34,000 20.00% 6,800 §179 Expense $222,000 Bonus depreciation $1,028,000 $1,028,000 Total Depreciation Expense $1,425,394 61. (LO2, LO3) {Planning} {Research} Woolard Inc. has taxable income in 2015 of $150,000 before any depreciation deductions (§179, bonus, or MACRS) and acquired the following assets during the year: Placed in Asset Service Basis Office furniture (used) March 20 $600,000 a. If Woolard elects $50,000 of §179, what is Woolard’s total depreciation deduction for the year (assume that the 2014 §179 limits are extended to 2015)? b. If Woolard elects the maximum amount of §179 for the year, what is the amount of deductible §179 expense for the year? What is the total depreciation expense that Woolard may deduct in 2015? What is Woolard’s §179 carryforward to next year, if any (assume that the 2014 §179 limits are extended to 2015)? c. Woolard is concerned about future limitations on its §179 expense. How much §179 expense should Woolard expense this year if it wants to maximize its depreciation this year and to avoid any carryover to future years (assume that the 2014 §179 limits are extended to 2015)? a. Woolard’s total deductible depreciation is $128,595 calculated as follows: Description Amount Explanation (1) Property placed in service $600,000 Total of qualifying assets (2) Elected §179 amount (50,000) Given in problem (3) Remaining asset basis $550,000 (1) – (2) (4) MACRS depreciation rate 14.29% 7-yr, half-year convention (5) MACRS depreciation $78,595 (3) x (4) (6) Taxable income limitation for §179 71,405 $150,000 – (5); (7) Deductible §179 50,000 Lesser of elected amount or (6) (7) Total deductible depreciation $128,595 (5) + (7) The furniture does not qualify for bonus depreciation since it is used. b. Woolard deducts $135,710 of §179. Woolard carries forward §179 expense of $364,290 to next year. The total deductible depreciation is $150,000 determined as follows: Description Amount Explanation (1) Property placed in service $600,000 Total of qualifying assets (2) Threshold for §179 phase-out (2,000,000) 2015 amount [§179(b)(2)] (3) Phase-out of maximum §179 expense 0 (1) – (2) (permanently disallowed), not less than $0 (4) Maximum 179 expense before phase-out $500,000 2015 amount [§179(b)(1)] (5) Phase-out of maximum §179 expense 0 From (3) (6) Maximum §179 expense after phase-out $500,000 (4) – (5) This is the amount Woolard elects for the year. (7) Remaining basis in furniture 100,000 (1) – (6) (8) MACRS depreciation rate 14.29% 7-year, half-year convention (9) MACRS depreciation 14,290 (7) x (8) (10) §179 taxable income limitation $135,710 $150,000 – (9) (11) Maximum deductible §179 expense after taxable income limitation. $135,710 Lesser of (6) or (10) Excess §179 expense carried forward $364,290 (6) – (11) Woolard’s total depreciation deduction $150,000 (9) + (11) Woolard elects the maximum allowed for the year and must reduce the assets’ bases by this amount. The remaining basis is subject to regular MACRS depreciation. Since the furniture is used property it is not eligible for bonus depreciation. The §179 taxable income limitation is taxable income after regular depreciation deductions but before the §179 expense. Woolard’s §179 deduction is limited to this taxable income amount. The remaining §179 amount that Woolard elected but is not allowed to deduct this year can be carried over to future years. c. Woolard should elect to expense $74,974 of §179 to maximize its depreciation this year and to avoid any carryover determined as follows: Description Amount Explanation (1) Property placed in service $600,000 Total of qualifying assets (2) Threshold for §179 phase-out (2,000,000) 2015 amount [§179(b)(2)] (3) Phase-out of maximum §179 expense 0 (1) – (2) (permanently disallowed) (4) Maximum 179 expense before phase-out $500,000 2015 amount [§179(b)(1)] (5) Phase-out of maximum §179 expense 0 From (3) (6) Maximum §179 expense after phase-out $500,000 (4) – (5) (7) §179 amount Woolard elects to maximize the current year total depreciation deduction $74,974 See discussion below (8) Remaining basis in furniture 525,026 (1) – (7) (9) MACRS depreciation rate 14.29% 7-year, half-year convention (10) MACRS depreciation 75,026 (9) x (8) (11) §179 taxable income limitation $74,974 $150,000 – (10) (12) Maximum §179 expense after taxable income limitation. $74,974 Lesser of (7) or (11). This is the amount Woolard elects for the year. Excess §179 expense $-0- (7) – (12) Woolard’s total depreciation deduction $150,000 (10) + (12) Woolard must determine the maximum §179 amount allowed for the year without being limited by the taxable income limitation. To do this, Woolard determines the §179 amount as follows: §179 amount = Taxable income before any depreciation minus regular MACRS depreciation. The MACRS depreciation amount is determined after the §179 elected amount because the depreciable basis is reduced by the elected §179 amount and would be determined as follows: MACRS depreciation = Depreciation rate x (asset cost minus elected §179) To solve this, assume the following labels: I = taxable income before any depreciation R = MACRS depreciation rate C = asset cost S = §179 expense The elected §179 amount will equal: S = I – R(C – S) Rearranging and solving for S: S = (I – RxC)/(1 – R) Substituting in Woolard’s facts: S = ($150,000 – 14.29% x $600,000)/(1 – 14.29%) S = $74,974. This amount of §179 minimizes Woolard’s required basis reduction of its assets and produces the most depreciation Woolard is eligible to take this year. 62. [LO 2, LO 3] {Planning} Assume that Sivart Corporation has 2015 taxable income of $750,000 before the §179 expense and acquired the following assets during 2015: Placed in Asset Service Basis Machinery October 12 $1,440,000 Computer Equipment February 10 70,000 Delivery Truck - used August 21 93,000 Furniture April 2 310,000 Total $1,913,000 a) What is the maximum amount of §179 expense Sivart may deduct for 2015 (assume that bonus depreciation and the 2014 §179 limits are extended to 2015)? b) What is the maximum total depreciation expense (§179, bonus, MACRS) that Sivart may deduct in 2015 on the assets it placed in service in 2015 (assume that bonus depreciation and the 2014 §179 limits are extended to 2015)? a. The maximum §179 expense is $500,000. Description Amount Explanation (1) Property placed in service in 2015 $1,913,000 Total of qualifying assets (2) Threshold for §179 phase-out 2,000,000 2015 amount [§179(b)(2)] (3) Phase-out of maximum §179 expense $0 (1) – (2) (permanently disallowed), not less than $0 (4) Maximum §179 expense before phase-out $500,000 2015 amount [§179(b)(1)] (5) Phase-out of maximum §179 expense $0 From (3) (6) Maximum §179 expense after phase-out $500,000 (4) – (5), not limited by taxable income b. The maximum depreciation expense is $1,230,647 (mid-quarter convention). Depreciation is maximized by (1) applying the §179 expense against 7-year rather than 5 year property and (2) applying against the 7-year property placed in service in the 4 th quarter (machinery) rather than the furniture that was placed in service in the second quarter because, due to the mid-quarter convention, the percentage for computing depreciation on the machine is only 3.57% while it is 17.85% for the furniture. As a general rule, the taxpayer will maximize current year depreciation expense by applying the §179 expense against the asset with the lowest depreciation percentage. The new assets are eligible for 50 percent bonus. The truck does not qualify for bonus depreciation because it is used property. Original §179 Remaining Bonus Remaining Depreciation Asset Basis Expense Basis Depreciation Basis Rate Expense Machinery (7-year) $1,440,000 $407,000 $1,033,000 $516,500 $470,000 3.57% $18,439 Computers (5- year) 70,000 70,000 35,000 35,000 35.00% 12,250 Delivery Truck (5 year) 93,000 93,000 - 13,950 Furniture (7 year) 310,000 310,000 155,000 155,000 17.85% 27,668 §179 Expense $500,000 Bonus depreciation $706,500 $706,500 Total Depreciation Expense $1,264,857 63. [LO 2, LO 3] {Planning} Acorn Construction (calendar-year end C-corporation) has had rapid expansion during the last half of the current year due to the housing Original Bonus Remaining MACRS Depreciation market’s recovery. The company has record income and would like to maximize their cost recovery, as much as possible, for the current year. Acorn provided the following information: Assets Placed in Service Basis New Equipment and Tools August 20 $800,000 Used Light Duty Trucks October 17 1,200,000 Used Machinery November 6 525,000 Total $2,525,000 a) What is Acorn’s maximum cost recovery expense in the current year assuming that bonus depreciation and 2014 §179 limits are extended to this year? b) What planning strategies would you advise Acorn to consider? a) Acorn is not eligible for §179 expensing because its new assets exceed the $2,000,000 threshold by more than $500,000. Therefore its maximum §179 amount is reduced to zero. In addition, Acorn must use the mid-quarter convention because it places more than 40 percent of its assets into service in the last quarter ((1,200,000+525,000)/2,525.000 = 68%). Acorn is eligible to take bonus depreciation on its new (not used) assets. Acorn’s maximum cost recovery is $521,583, calculated as follows: Asset Basis Depr Basis Rate Expense New Equipment and Tools (7-year) $800,000 $400,000 400,000 10.71% $42,840 Used Light Duty Trucks (5- year) 1,200,000 -0- 1,200,000 5% 60,000 Used Machinery (7-year) 525,000 -0- 525,000 3.57% 18,743 Bonus depreciation 400,000 Total 2,525,000 $521,583 b) Acorn may want to consider the timing of its asset purchases. It may want to accelerate the purchases to the third quarter or defer them until the first quarter next year in order to avoid using the mid-quarter convention. 64. [LO 3] Phil owns a ranch business and uses 4-wheelers to do much of his work. Occasionally, though, he and his boys will go for a ride together as a family activity. During year 1, Phil put 765 miles on the 4-Wheeler that he bought on January 15 for $6,500. Of the miles driven, only 175 miles were for personal use. Assume 4-Wheelers qualify to be depreciated according to the 5-Year MACRS schedule and the 4-Wheeler was the only asset Phil purchased this year. a. Calculate the allowable depreciation for year 1 (ignore the §179 expense and bonus depreciation). b. Calculate the allowable depreciation for year 2 if total miles were 930 and personal use miles were 400 (ignore the §179 expense and bonus depreciation). a) The depreciation expense will be $1,003 in year 1, calculated as follows: Description Amount Explanation (1) Original basis of 4-wheeler $6,500 Assumed in problem (2) MACRS depreciation rate 20% 5-yr prop, yr. 1, ½ yr. convention. (3) Full MACRS depreciation expense $1,300 (1) x (2) (4) Business use percentage 77.12% 590 miles/765 miles Depreciation deduction for year $1,003 (3) x (4) b) The depreciation expense will be $1,185 in year 2, calculated as follows: Description Amount Explanation (1) Original basis of 4-wheeler $6,500 Assumed in problem (2) MACRS depreciation rate 32% 5-yr prop, yr. 1, ½ yr. convention. (3) Full MACRS depreciation expense $2,080 (1) x (2) (4) Business use percentage 56.99% 530 miles/930 miles Depreciation deduction for year $1,185 (3) x (4) 65. [LO 3] Assume that Ernesto purchased a laptop computer on July 10 of year 1 for $3,000. In year 1, 80 percent of his computer usage was for his business and 20 percent was for computer gaming with his friends. This was the only asset he placed in service during year 1. Ignoring any potential §179 expense and bonus depreciation, answer the questions for each of the following alternative scenarios: a. What is Ernesto’s depreciation deduction for the computer in year 1? b. What would be Ernesto’s depreciation deduction for the computer in year 2 if his year 2 usage were 75 percent business and 25 percent for computer gaming? c. What would be Ernesto’s depreciation deduction for the computer in year 2 if his year 2 usage were 45 percent business and 55 percent for computer gaming? d. What would be Ernesto’s depreciation deduction for the computer in year 2 if his year 2 usage were 30 percent business and 70 percent for computer gaming? a) The depreciation expense will be $480 in year 1, calculated as follows: Description Amount Explanation (1) Original basis of laptop $3,000 Assumed in problem (2) MACRS depreciation rate 20% 5-yr prop, yr. 1, ½ yr. convention. (3) Full MACRS depreciation expense $600 (1) x (2) (4) Business use percentage 80% Assumed in the problem Depreciation deduction for year $480 (3) x (4) b) The depreciation expense will be $720 in year 2, calculated as follows: Description Amount Explanation (1) Original basis of laptop $3,000 Assumed in problem (2) MACRS depreciation rate 32% 5-yr prop, yr. 1, ½ yr. convention. (3) Full MACRS depreciation expense $960 (1) x (2) (4) Business use percentage 75% Assumed in the problem Depreciation deduction for year $720 (3) x (4) c) $30. Because his business usage is below 50%, Ernesto must use the straight-line method to determine depreciation. Using this method, his depreciation expense for year 2 is $270. However, because his business usage dropped from above to below 50%, he must also recalculate prior year depreciation using the straight line method. Any accelerated depreciation that he claimed in the prior year in excess of the straight-line amount for that prior year reduces the $270 of depreciation expense for year 2. In this case, the excess $240 depreciation reduces the $270, leaving $30 of depreciation expense as computed below. Description Amount Explanation (1) Straight-line depreciation in current year $270 $3,000/5 years x 45% business (2) Prior year straight-line depreciation $240 $3,000/5 x ½ year convention x 80% business use percentage (3) Prior year accelerated depreciation $480 From part “a” above (4) Excess accelerated depreciation $240 (3) – (2) Current year depreciation deduction $30 (1) – (4). d) Income of $60 (no depreciation deduction). Because his business usage in year 2 is below 50%, Ernesto must use the straight-line method to determine depreciation. Using this method, his depreciation expense is $180 in year 2 because his business use is 30%. Moreover, because the computer is listed property and fell below 50% business use, depreciation for year 1 must be recalculated using the straight-line method and any excess depreciation reduces the year 2 depreciation amount. In this case, the excess depreciation of $240 is $60 greater than the $180 straight line depreciation so Ernesto does not get to deduct depreciation expense in year 2, but instead he must recognize ordinary income of $60. The $60 of income is computed as follows: Description Amount Explanation (1) Straight-line depreciation in current year $180 $3,000/5 years x 30% business (2) Prior year straight-line depreciation $240 $3,000/5 x ½ year convention x 80% business use percentage (3) Prior year accelerated depreciation $480 From part “a” above (4) Excess accelerated depreciation $240 (3) – (2) Current year income ($60) (1) – (4). 66. [LO 3] Lina purchased a new car for use in her business during 2015. The auto was the only business asset she purchased during the year and her business was extremely profitable. Calculate her maximum depreciation deductions (including §179 expense unless stated otherwise) for the automobile in 2015 and 2016 (Lina doesn’t want to take bonus depreciation for 2015 or 2016) in the following alternative scenarios (assuming half-year convention for all and that the 2014 §179 amounts are extended to 2015): a. The vehicle cost $15,000 and business use is 100 percent (ignore §179 expense). b. The vehicle cost $40,000, and business use is 100 percent. c. The vehicle cost $40,000, and she used it 80 percent for business. d. The vehicle cost $40,000, and she used it 80 percent for business. She sold it on March 1 of year 2. e. The vehicle cost $40,000, and she used it 20 percent for business. f. The vehicle cost $40,000 and is an SUV that weighed 6,500 pounds. Business use was 100 percent. a. The depreciation expense is $3,000 in 2015 and $4,800 in 2016, calculated as follows: Description 2015 Amount 2016 Amount Explanation (1) Original basis of auto $15,000 $15,000 Assumed in problem (2) MACRS depreciation rate 20% 32% 5-yr prop, yr. 1, ½ yr. convention. (3) Full MACRS depreciation expense $3,000 $4,800 (1) x (2) (4) Maximum auto depreciation $3,160 $5,100 Luxury auto limits Depreciation deduction for year $3,000 $4,800 Lesser of (3) or (4)) b. The depreciation expense is $3,160 in 2015 and $5,100 in 2016, calculated as follows: Description 2015 Amount 2016 Amount Explanation (1) Original basis of auto $40,000 $40,000 Assumed in problem (2) MACRS depreciation rate 20% 32% 5-yr prop, yr. 1, ½ yr. convention. (3) Full MACRS depreciation expense $8,000 $12,800 (1) x (2) (4) Maximum auto depreciation $3,160 $5,100 Luxury auto limits Depreciation deduction for year $3,160 $5,100 Lesser of (3) or (4) c. The depreciation expense will be $2,528 in 2015 and $4,080 in 2016, calculated as follows: Description 2015 Amount 2016 Amount Explanation (1) Original basis of auto $40,000 $40,000 Assumed in problem (2) MACRS depreciation rate 20% 32% 5-yr prop, yr. 1, ½ yr. convention. (3) Full MACRS depreciation expense $8,000 $12,800 (1) x (2) (4) Maximum auto depreciation $3,160 $5,100 Luxury auto limits (5) Depreciation deduction for year based on 100% business use $3,160 $5,100 Lesser of (3) or (4) (6) Business use percentage 80% 80% Assumed in problem Depreciation deduction for year $2, 528 $4,080 (5) x (6) d. The depreciation expense will be $2,528 in 2015 (as calculated in part c above).The depreciation expense will be $2,040 in 2016, calculated as follows: Description 2016 Amount Explanation (1) Original basis of auto $40,000 Assumed in problem (2) MACRS depreciation rate 32% 5-yr prop, yr. 1, ½ yr. convention. (3) Full MACRS depreciation expense $12,800 (1) x (2) (4) Maximum auto depreciation $5,100 Luxury auto limit year 2 (5) Depreciation for entire year $5,100 Lesser of (3) or (4) (6) Partial year 50% Half year of depreciation (half-year convention) (7) Depreciation deduction for year $2,550 (8) Business use percentage 80% Assumed in problem Depreciation deduction for year $2,040 (7) x (8) e. The depreciation expense will be $632 in 2015 and $1,020 in 2016, calculated as follows: Description 2015 Amount 2016 Amount Explanation (1) Original basis of auto $40,000 $40,000 Assumed in problem (2) MACRS (Straight-line) depreciation rate 10% 20% 5-yr straight-line, ½ yr. convention. (3) Full MACRS depreciation expense $4,000 $8,000 (1) x (2) (4) Maximum auto depreciation $3,160 $5,100 Luxury auto limits (5) Depreciation deduction for year based on 100% business use $3,160 $5,100 Lesser of (3) or (4) (6) Business use percentage 20% 20% Assumed in problem Depreciation deduction for year $632 $1,020 (5) x (6) f. The depreciation expense will be $28,000 in 2015 and $4,800 in 2016, calculated as follows: Description 2015 Amount 2016 Amount Explanation (1) Original basis of auto $40,000 N/A Assumed in problem (2) Section 179 expense $25,000 N/A Maximum §179 expense for SUV (3) Depreciable basis $15,000 $15,000 (1) – (2) (4) MACRS depreciation rate 20% 32% 5-yr prop, yr. 1, ½ yr. convention. (5) Full MACRS depreciation expense $3,000 $4,800 (3) x (4) Depreciation deduction in including §179 expense for year $28,000 $4,800 (2) + (5) Note that the depreciation is maximized in b – e even without the §179 expense. 67. [LO 2, LO 3] Burbank Corporation (calendar-year end) acquired the following property this year: Asset Placed in Service Basis Used Copier February 12 $7,800 New Computer Equipment June 6 14,000 Furniture July 15 32,000 New Delivery Truck October 28 19,000 Luxury Auto December 31 60,000 Total $132,800 a) Assuming no bonus or §179 expense, what is Burbank’s maximum cost recovery for this year? b) Assuming Burbank would like to maximize its cost recovery by electing bonus and §179 expense, which assets should Burbank immediately expense? Assume the 2014 §179 expense limits and bonus depreciation are extended to this year. c) What is Burbank’s maximum cost recovery this year assuming it elects §179 expense and bonus depreciation? Assume the 2014 §179 expense limits and bonus depreciation are extended to this year. a) Burbank Corporation must use the mid-quarter convention to determine its cost recovery because more than 40% ((19,000 + 60,000)/132,800 = 59%) of its assets are placed in service in its fourth quarter. The cost recovery on the luxury auto is limited to the maximum $3,160 for the year. Burbank’s cost recovery is $13,767, calculated as follows: Asset Original Basis Convention/ Rate Depreciation Expense Quarter Used Copier (5 yr) $7,800 MQ – Q1 35% $2,730 New Computer Equipment (5 yr) 14,000 MQ – Q2 25% 3,500 Furniture (7 yr) 32,000 MQ – Q3 10.71% 3,427 New Delivery Truck (5 yr) 19,000 MQ – Q4 5% 950 Luxury Auto (5 yr – limited) 60,000 MQ – Q4 - 3,160 Total $13,767 b) Burbank is not subject to the §179 asset limitation and may expense all of its assets using §179 expense except the luxury auto. c) Burbank’s maximum cost recovery assuming it elects bonus and §179 expense is $83,960. The cost recovery on the luxury auto is limited to $8,000 of bonus depreciation plus the limited $3,160 under the luxury automobile provisions. Original §179 Remaining Bonus Remaining Depreciation Asset Basis Expense Basis Depreciation Basis Expense Copier (5-year) $7,800 $7,800 $-0- $-0- $-0- $-0- Computer Eq (5- year) 14,000 14,000 -0- -0- -0- -0- Furniture (7-year) Delivery Truck (5 year) 32,000 19,000 32,000 19,000 -0- -0- -0- -0- -0- -0- -0- -0- Luxury Auto (5-year) $60,000 0 60,000 8,000 52,000 3,160 §179 Expense $72,800 Bonus depreciation $8,000 $8,000 Total Cost Recovery $83,960 68. [LO 3] [Research] Paul Vote purchased the following assets this year (ignore §179 expensing and bonus depreciation when answering the questions below): Asset Purchase Date Basis Machinery May 12 $23,500 Computers August 13 $20,000 Warehouse December 13 $180,000 a. What is Paul’s allowable MACRS depreciation expense for the property? b. What is Paul’s allowable alternative minimum tax (AMT) depreciation expense for the property? You will need to find the AMT depreciation tables to compute the depreciation. a. $7,551, under the half-year convention, calculated as follows: Original Depreciation Asset Basis Rate Expense Machinery $23,500 14.29% $3,358 Computers $20,000 20.00% $4,000 Nonresidential building $180,000 0.107% $193 Total Depreciation Expense $7,551 b. $5,710, using the AMT table and the half year convention, calculated as follows: Original Depreciation Asset Basis Rate Expense Machinery (7 year 150% DB) $23,500 10.71% $2,517 Computers (5 year 150% DB) Nonresidential building (39-year $20,000 15.00% $3,000 straight-line) $180,000 0.107% $193 Total Depreciation Expense $5,710 69. [LO 4] After several profitable years running her business, Ingrid decided to acquire the assets of a small competing business. On May 1 of year 1, Ingrid acquired the competing business for $300,000. Ingrid allocated $50,000 of the purchase price to goodwill. Ingrid’s business reports its taxable income on a calendar-year basis. a. How much amortization expense on the goodwill can Ingrid deduct in year 1, year 2, and year 3? b. In lieu of the original facts, assume that Ingrid purchased only a phone list with a useful life of 5 years for $10,000. How much amortization expense on the phone list can Ingrid deduct in year 1, year 2, and year 3? a. Ingrid could deduct $2,222 amortization expense on the goodwill in year 1 and $3,333 of amortization expense on the goodwill in years 2 and 3, computed as follows: Description Amount Explanation (1) Basis of Goodwill $50,000 Provided in example. (2) Recovery period 180 15 years (3) Monthly amortization $277.78 (1) / (2) (4) Months in year 1 x 8 May through December (5) Year 1 straight-line amortization $2,222 (3) x (4) (6) Months in years 2 and 3 x 12 January through December (7) Years 2 and 3, annual straight-line amortization $3,333 (3) x (6) b. Ingrid’s amortization for the phone list for year 1 is $1,333, years 2 and 3 is $2,000, computed as follows: Description Phone List (1) Basis of phone list $10,000 (2) Recovery period in months 60 (3) Monthly amortization $166.67 (4) Months in year 1 x 8 (5) Year 1 straight-line amortization $1,333 (6) Months in years 2 and 3 x 12 (7) Years 2 and 3, annual straight-line amortization $2,000 Since Ingrid purchased only the phone list, it is not considered a §197 intangible and will be amortized over its remaining useful life. 70. [LO 4] Juliette formed a new business to sell sporting goods this year. The business opened its doors to customers on June 1. Determine the amount of start- up costs Juliette can immediately expense (not including amortization) this year in the following alternative scenarios. a. She incurred start-up costs of $2,000. b. She incurred start-up costs of $45,000. c. She incurred start-up costs of $53,500. d. She incurred start-up costs of $63,000. e. How would you answer parts (a-d) if she formed a partnership or a corporation and she incurred the same amount of organizational expenditures rather than start-up costs (how much of the organizational expenditures would be immediately deductible)? a. $2,000, computed as follows: Start-up Expenses Description Amount Explanation (1) Maximum immediate expense $5,000 (2) Total start-up costs $2,000 Given in problem (3) Phase-out threshold 50,000 (4) Immediate expense phase-out $0 (2) – (3) Allowable immediate expense $2,000 Lesser of (2) or [(1) minus – (4)] b. $5,000, computed as follows: Start-up Expenses Description Amount Explanation (1) Maximum immediate expense $5,000 (2) Total start-up costs $45,000 Given in problem (3) Phase-out threshold 50,000 (4) Immediate expense phase-out $0 (2) – (3), not less than $0 Lesser of (2) or [(1) Allowable immediate expense $5,000 minus – (4)] c. $1,500, computed as follows: Start-up Expenses Description Amount Explanation (1) Maximum immediate expense $5,000 (2) Total start-up costs $53,500 Given in problem (3) Phase-out threshold 50,000 (4) Immediate expense phase-out $3,500 (2) – (3), not less than $0 Allowable immediate expense $1,500 Lesser of (2) or [(1) minus – (4)] d. $0, computed as follows: Organizational Expenditures Description Amount Explanation (1) Maximum immediate expense $5,000 (2) Total start-up costs $60,000 Given in problem (3) Phase-out threshold 50,000 (4) Immediate expense phase-out $10,000 (2) – (3) Allowable immediate expense $0 Lesser of (2) or [(1) minus – (4)] (not less than $0) e. The answers would be the same if these were organizational expenditures instead of start-up costs. Note, however, that organizational expenditures only apply to corporations and partnerships and do not apply to businesses organized as sole proprietorships. 71. [LO 4] Nicole organized a new corporation. The corporation began business on April 1 of year 1. She made the following expenditures associated with getting the corporation started: Expense Attorney fees for articles of Date Amount incorporation February 10 $32,000 March 1 – March 30 wages March 30 $4,500 March 1 – March 30 rent March 30 $2,000 Stock issuance costs April 1 $20,000 April 1 – May 30 wages May 30 $12,000 a. What is the total amount of the start-up costs and organizational expenditures for Nicole’s corporation? b. What amount of the start-up costs and organizational expenditures may the corporation immediately expense in year 1? c. What amount can the corporation deduct as amortization expense for the organizational expenditures and for the start-up costs for year 1 (not including the amount it immediately expensed)? d. What would be the allowable organizational expenditures, including immediate expensing and amortization, if Nicole started a sole proprietorship instead? a. The only qualifying organizational expenditure is the $32,000 of attorney fees related to the drafting articles of incorporation. The start-up costs are the wages ($4,500) and rent ($2,000) before business began. Therefore, total start-up costs are $6,500. b. The corporation may immediately expense $5,000 of the organizational expenditure and $5,000 of the start-up costs because the amount of organizational expenditures is under $50,000 and the amount of start-up costs is under $50,000. c. The corporation will deduct amortization expense of $1,350 for organizational expenditures and $75 of amortization for start-up costs, computed as follows: Start-up costs Description Amount Explanation (1) Maximum immediate expense $5,000 §195(b)(1)(A)(ii) (2) Total start-up expenditures $6,500 (3) Phase-out threshold 50,000 §195(b)(1)(A)(ii) (4) Immediate expense phase-out $0 (2) – (3), not less than $0 (5) Allowable immediate expense $5,000 (1) – (4) (6) Remaining organizational expenditures $1,500 (2) – (5) (7) Recovery period in months 180 15 years §195(b)(1)(B) (8) Monthly straight-line amortization 8.33 (6) / (7) (9) Teton business months during year 1 x 9 April through December Year 1 straight-line amortization for start- up costs $75 (8) x (9) Organizational expenditures Description Amount Explanation (1) Maximum immediate expense $5,000 §248(a)(1) (2) Total organizational expenditures $32,000 Given in problem (3) Phase-out threshold 50,000 §248(a)(1)(B) (4) Immediate expense phase-out $0 (2) – (3), not less than $0 (5) Allowable immediate expense $5,000 (1) – (4) (6) Remaining organizational expenditures $27,000 (2) – (5) (7) Recovery period in months 180 15 years §248(a)(2) (8) Monthly straight-line amortization 150 (6) / (7) (9) Teton business months during year 1 x 9 April through December Year 1 straight-line amortization for organizational expenditures $1,350 (8) x (9) d. Organizational expenditures are only authorized for corporations (§248) and partnerships (§709). They are not authorized for sole proprietorships. Typically, sole proprietorships do not incur many of the expenses that would qualify as organizational expenditures anyway. 72. [LO 4] Bethany incurred $20,000 in research and experimental costs for developing a specialized product during July of year 1. Bethany went through a lot of trouble and spent $10,000 in legal fees to receive a patent for the product in August of year 3. Bethany expects the patent to have a remaining useful life of 10 years. a. What amount of research and experimental expenses for year 1, year 2, and year 3 may Bethany deduct if she elects to amortize the expenses over 60 months? b. How much patent amortization expense would Bethany deduct in year 3 assuming she elected to amortize the research and experimental costs over 60 months? c. If Bethany chose to capitalize but not amortize the research and experimental expenses she incurred in year 1, how much patent amortization expense would Bethany deduct in year 3? a. The amortization of the research expenditures is $2,000 in year 1, $4,000 in year 2, and $2,333 in year 3, computed as follows: Description Amount Explanation (1) Research and experimental expenses $20,000 Given in problem (2) Recovery period in months 60 60 months §174 (3) Monthly straight-line amortization 333.33 (1) / (2) (4) Bethany’s business months during year 1 x 6 July through December (5) Year 1 straight-line amortization $2,000 (3) x (4) (6) Bethany’s business months during year 2 12 January through December (7) Year 2 straight-line amortization $4,000 (3) x (5) (8) Bethany’s business months during year 3 before patent is issued in August 7 January through July, year 3 (9) Year 3 straight-line amortization on research and experimentation costs 2,333 (3) x (8) (10) Accumulated amortization through July of year 3 8,333 (5) + (7) + (9) (11) Unamortized research and experimentation expenditures as of August, year 3 $11,667 (1) – (10) Used in answer to part b b. The patent amortization is $902.79, computed as follows: Description Amount Explanation (1) Unamortized research and experimental expenses $11,667 See (11) part a above (2) Legal expenses related to patent $10,000 Given in problem (3) Amortizable expenses for patent $21,667 (1) + (2) (4) Recovery period in months 120 10 year useful life (5) Monthly straight-line amortization 180,56 (3) / (4) (6) Bethany’s business months from August through December x 5 Year 3 straight-line amortization for patent $902.79 (5) x (6) c. The patent amortization is $1,250, computed as follows: Description Amount Explanation (1) Research and experimental expenses $20,000 Given in problem (not amortized) (2) Legal expenses related to patent $10,000 Given in problem (3) Amortizable expenses $30,000 (1) + (2) (4) Recovery period in months 120 10 year useful life (5) Monthly straight-line amortization 250 (3) / (4) (6) Bethany’s business months from August through December x 5 Year 3 straight-line amortization for patent $1,250 (5) x (6) 73. [LO 5] Last Chance Mine (LC) purchased a coal deposit for $750,000. It estimated it would extract 12,000 tons of coal from the deposit. LC mined the coal and sold it reporting gross receipts of $1 million, $3 million, and $2 million for years 1 through 3, respectively. During years 1 – 3, LC reported net income (loss) from the coal deposit activity in the amount of ($20,000), $500,000, and $450,000, respectively. In years 1 – 3, LC actually extracted 13,000 tons of coal as follows: (1) Tons of Coal (2) Basis Depletion Tons extracted per year (2)/(1) Rate Year 1 Year 2 Year 3 12,000 $750,000 $62.50 2,000 7,200 3,800 a. What is Last Chance’s cost depletion for years 1, 2, and 3? b. What is Last Chance’s percentage depletion for each year (the applicable percentage for coal is 10 percent)? c. Using the cost and percentage depletion computations from the previous parts, what is Last Chance’s actual depletion expense for each year? a. Last Chance’s cost depletion is $125,000 for year 1, $450,000 for year 2, and $175,000 for year 3, calculated as follows: Year 1 Year 2 Year 3 Explanation (1) Tons extracted 2,000 7,200 3,800 (2) Depletion rate $62.50 $62.50 $62.50 Cost Depletion Expense $125,000 $450,000 $175,000* (1) x (2) *This is the remaining basis. Under the cost depletion method, the taxpayer’s amortization is limited to the cost basis in the natural resource. The full amount of amortization would have been $237,500 if this were not the case. b. Last Chance’s percentage depletion for each year is calculated as follows: Year 1 Year 2 Year 3 Explanation (1) Net income from activity (before depletion expense) ($20,000) $500,000 $450,000 Given in problem (2) Gross Income $1,000,000 $3,000,000 $2,000,000 (3) Percentage x 10% x 10% x 10% (4) Percentage Depletion Expense before limit $100,000 $300,000 $200,000 (2) x (3) (5) 50% of net income limitation $0 $250,000 $225,000 (1) x 50% Allowable percentage depletion $0 $250,000 $200,000 Lesser of (4) or (5) Note that percentage depletion is not limited to the basis in the property. c. Depletion expense is the greater of cost depletion or percentage depletion calculated as follows: Tax Depletion Expense Year 1 Year 2 Year 3 Explanation (1) Cost depletion $125,000 $450,000 $175,000 Part a (2) Percentage depletion $0 $250,000 $200,000 Part b Deductible depletion expense $125,000 $450,000 $200,000 Greater of (1) or (2) Comprehensive Problems 74. Back in Boston, Steve has been busy creating and managing his new company, Teton Mountaineering (TM), which is based out of a small town in Wyoming. In the process of doing so, TM has acquired various types of assets. Below is a list of assets acquired during 2014: Asset Cost Date Place in Service Office furniture $10,000 02/03/2014 Machinery 560,000 07/22/2014 Used delivery truck* 15,000 08/17/2014 *Not considered a luxury automobile, thus not subject to the luxury automobile limitations During 2014, TM had huge success (and had no §179 limitations) and Steve acquired more assets the next year to increase its production capacity. These are the assets acquired during 2015: Asset Cost Date Place in Service Computers & Info. System $40,000 03/31/2015 Luxury Auto † 80,000 05/26/2015 Assembly Equipment 475,000 08/15/2015 Storage Building 400,000 11/13/2015 † Used 100% for business purposes. . TM generated taxable income in 2015 before any §179 expense of $732,500 (assume bonus depreciation and the 2014 §179 limitations are extended to 2015). Required a. Compute maximum 2014 depreciation deductions including §179 expense (ignoring bonus depreciation). b. Compute maximum 2015 depreciation deductions including §179 expense (ignoring bonus depreciation). c. Compute maximum 2015 depreciation deductions including §179 expense, but now assume that Steve would like to take bonus depreciation. d. Ignoring part c, now assume that during 2015, Steve decides to buy a competitor’s assets for a purchase price of $350,000. Compute maximum 2015 cost recovery including §179 expense (ignoring bonus depreciation). Steve purchased the following assets for the lump-sum purchase price. Asset Cost Date Placed in Service Inventory $20,000 09/15/2015 Office furniture 30,000 09/15/2015 Machinery 50,000 09/15/2015 Patent 98,000 09/15/2015 Goodwill 2,000 09/15/2015 Building 130,000 09/15/2015 Land 20,000 09/15/2015 e. Complete Part I of Form 4562 for part b. a) The 2014 depreciation deduction is $513,003. Description Cost Sec. 179 Expense MACRS Basis Current MACRS Expense Total Expense Office Furniture 10,000 10,000 - - 10,000 Machinery 560,000 490,000 70,000 10,003 500,003 Used Delivery Truck 15,000 15,000 3,000 3,000 Totals 585,000 500,000 85,000 13,003 513,003 b) The 2015 depreciation deduction is $529,387. Description Cost Sec. 179 Expense MACRS Basis Current MACRS Expense Total Expense Office Equipment 10,000 - - - Machinery 560,000 70,000 17,143 17,143 Used Delivery Truck 15,000 15,000 4,800 4,800 Computers & Info. System 40,000 25,000 15,000 3,000 28,000 Luxury Auto 80,000 80,000 3,160 3,160 Assembly Equipment 475,000 475,000 - - 475,000 Storage Building 400,000 400,000 1,284 1,284 Totals 1,580,000 500,000 580,000 29,387 529,387 c) The 2015 depreciation deduction is $543,387. Description Cost Sec. 179 Expense Bonus MACRS Basis Current MACRS Expense Total Expense Office Furniture 10,000 - - Machinery 560,000 70,000 17,143 17,143 Used Delivery Truck 15,000 15,000 4,800 4,800 Computers & Info. System 40,000 25,000 7,500 7,500 1,500 34,000 Luxury Auto 80,000 8,000 72,000 3,160 11,160 Assembly Equipment 475,000 475,000 - - - 475,000 Storage Building 400,000 400,000 1,284 1,284 Totals 1,580,000 500,000 15,500 564,500 27,887 $ 543,387 d) 2015 cost recovery is $545,443. Description Cost Sec. 179 Expense MACRS Basis Current Expense Total Expense Office Furniture 10,000 - - - Machinery 560,000 70,000 17,143 17,143 Used Delivery Truck 15,000 15,000 4,800 4,800 Computers & Info. System 40,000 40,000 8,000 8,000 Luxury Auto 80,000 80,000 3,160 3,160 Assembly Equipment 475,000 475,000 - - 475,000 Storage Building 400,000 400,000 1,284 1,284 Inventory 20,000 n/a - - Office Furniture 30,000 25,000 5,000 715 25,715 Machinery 50,000 50,000 7,145 7,145 Patent 98,000 98,000 2,178 2,178 Goodwill 2,000 2,000 44 44 Building 130,000 130,000 974 974 Land 20,000 n/a - - Totals 1,930,000 500,000 890,000 45,443 545,443 e) Complete Part I of Form 4562 for part b. 72. While completing undergraduate school work in information systems, Dallin Bourne and Michael Banks decided to start a business called ISys Answers which was a technology support company. During year 1, they bought the following assets and incurred the following fees at start-up: Year 1 Assets Purchase Date Basis Computers (5-year) October 30, Y1 $15,000 Office equipment (7-year) October 30, Y1 $10,000 Furniture (7-year) October 30, Y1 $3,000 Start-up costs October 30, Y1 $17,000 In April of year 2, they decided to purchase a customer list from a company started by fellow information systems students preparing to graduate who provided virtually the same services. The customer list cost $10,000 and the sale was completed on April 30 th . During their summer break, Dallin and Michael passed on internship opportunities in an attempt to really grow their business into something they could do full time after graduation. In the summer, they purchased a small van (for transportation, not considered a luxury auto) and a pinball machine (to help attract new employees). They bought the van on June 15, Y2 for $15,000 and spent $3,000 getting it ready to put into service. The pinball machine cost $4,000 and was placed in service on July 1, Y2. Year 2 Assets Purchase Date Basis Van June 15, Y2 $18,000 Pinball Machine (7-year) July 1, Y2 $4,000 Customer List April 30, Y2 $10,000 Computer Equipment $15,000 $15,000 Office Equipment $10,000 $10,000 Furniture $3,000 $3,000 Assume that ISys Answers does not claim any §179 expense or bonus depreciation. a. What are the maximum cost recovery deductions for ISys Answers for Y1 and Y2? b. Complete ISys Answers’ form 4562. c. What is ISys Answers’ basis in each of its assets at the end of Y2? a. ISys Answers’ Y1 cost recovery deductions are $6,414, including the expensing of the start-up costs. ISys Answers’ Y2 cost recovery deductions are $14,754. Original Y1 Cost Recovery Remaining Cost Recovery Asset Basis Expense Basis Quarter Rate Expense 4 th 5.00% $750 4 th 3.57% $357 4 th 3.57% $107 See Start-up costs $17,000 $5,000 $12,000 N/A Start-up immediate below $200 expense $5,000 Total Cost Recovery Expense $6,414 Start-up costs Y1 Description Amount Explanation (1) Maximum immediate expense $5,000 §195 (2) Total start-up costs $17,000 Given in problem (3) Phase-out threshold 50,000 §195 (4) Immediate expense phase-out $0 (2) – (3); not less than $0 (5) Allowable immediate expense $5,000 (1) – (4) (6) Remaining start-up costs $12,000 (2) – (5) (7) Recovery period in months 180 15 years §195 (8) Monthly straight-line amortization 66.67 (6) / (7) (9) ISys’ business months during year 1 x 3 October through December Year 1 straight-line amortization for start- up costs $200 (8) x (9) Original Y2 Cost Recovery Remaining Cost Recovery Asset Basis Expense Basis Quarter Rate Expense Computer Equipment $15,000 $15,000 4 th 38.00% $5,700 Office Equipment $10,000 $10,000 4 th 27.55% $2,755 Furniture $3,000 $3,000 4 th 27.55% $827 $66.67 Start-up costs $17,000 $5,000 $12,000 N/A x 12 $800 Delivery van $18,000 HY 20.00% $3,600 Pinball machine $4,000 HY 14.29% See $572 Customer List $10,000 N/A below $500 Total Cost Recovery Expense $14,754 Description Amount Explanation (1) Customer list (section 197 intangible) $10,000 (2) Recovery period in months 180 Section 197 (3) Monthly straight-line amortization 55.56 (1) / (2) (4) April through December x 9 Year 1 straight-line amortization for customer list $500 (3) x (4) b. ISys Answers’ form 4562 is as follows: c. ISys Answers’ basis is as follows: Original Adjusted Basis Year 1 Cost Year 2 Cost Y2 Ending Asset Basis Expense Recovery Recovery Basis Computer Equipment $15,000 $750 $5,700 $8,550 Office Equipment 10,000 357 2,755 6,888 Furniture 3,000 107 827 2,066 Start-up costs 17,000 $5,000 200 800 11,000 Delivery van 18,000 3,600 14,400 Pinball machine 4,000 572 3,428 Customer List 10,000 500 9,500 Totals $77,000 $5,000 $1,414 $14,754 $55,832 73. Diamond Mountain was originally thought to be one of the few places in North America to contain diamonds, so Diamond Mountain Inc. (DM) purchased the land for $1,000,000. Later, DM discovered that the only diamonds on the mountain had been planted there and the land was worthless for mining. DM engineers discovered a new survey technology and discovered a silver deposit estimated at 5,000 pounds on Diamond Mountain. DM immediately bought new drilling equipment and began mining the silver. In years 1-3 following the opening of the mine, DM had net (gross) income of $200,000 ($700,000), $400,000 ($1,100,000), and $600,000 ($1,450,000), respectively. Mining amounts for each year were as follows: 750 pounds (year 1), 1,450 pounds (year 2), and 1,800 pounds (year 3). At the end of year 2, engineers used the new technology (which had been improving over time) and estimated there was still an estimated 6,000 pounds of silver deposits. DM also began a research and experimentation project with the hopes of gaining a patent for its new survey technology. Diamond Mountain Inc. chooses to capitalize research and experimentation expenditures and amortize the costs over 60 months or until it obtains a patent on its technology. In March of year 1, DM spent $95,000 on research and experimentation. DM spent another $75,000 in February of year 2 for research and experimentation. In September of year 2, DM paid $20,000 of legal fees and was granted the patent in October of year 2 (the entire process of obtaining a patent was unusually fast). Answer the following questions regarding DM’s activities (assume that DM tries to maximize its deductions if given a choice). a. What is DM’s depletion expense for years 1 - 3? b. What is DM’s research and experimentation amortization for years 1 and 2? Description Year 1 Amount Year 2 Amount Research and experimental expenses $95,000 $75,000 Recovery period in months 60 60 Monthly straight-line amortization $1,583.33 $1,250 DM’s business months during year 1 10 0 c. What is DM’s basis in its patent and what is its amortization for the patent in year 2? a. DM’s depletion expense is as follows, actual cost and percentage depletion are shown below: Actual Depletion Original basis $ 1,000,000 Year 1 depletion (cost depletion) $ (150,000) Year 1 Ending basis $ 850,000 Year 2 depletion (cost depletion) $ (165,431) Year 2 Ending basis $ 684,569 Year 3 depletion (percentage depletion) $ (217,500) Year 3 Ending basis $ 467,069 Cost Depletion Method Year 1 Year 2 Year 3 Year 1 Beginning basis $1,000,000 $850,000 $684,569 Estimated pounds of silver in mine at beginning of year 5,000 7,450 6,000 Basis depletion per pound $ 200 $ 114.09 $114.09 Pounds of silver mined in year 750 1,450 1,800 Year depletion $150,000 $165,431 $205,362 Basis at end of year $ 850,000 $ 684,569 $ 479,207 Percentage Depletion Method Year 1 Year 2 Year 3 Net income $ 200,000 $ 400,000 $ 600,000 Gross income $ 700,000 $1,100,000 $ 1,450,000 Percentage 15% 15% 15% Percentage depletion expense before $ 105,000 $ 165,000 $ 217,500 limit 50% of net income limitation $ 100,000 $ 200,000 $ 300,000 Allowable percentage depletion $ 100,000 $ 165,000 $ 217,500 b. DM’s research and experimentation amortization for years 1 and 2 are as follows: Year 1 straight-line amortization $15,833 $ - DM's business months during year 2 before the patent is issued 9 8 Year 2 straight-line amortization $14,250 $10,000 Accumulated amortization through September of year 2 $30,083 $10,000 Unamortized Research and experimentation $64,917 $65,000 $129,917 c. DM’s basis in its patent and amortization for patent in year 2 are as follows: Description Amount Unamortized research and experimental expenses $129,917 Legal expenses related to patent $20,000 Amortizable expenses for patent $149,917 Recovery period in months 204 Monthly straight-line amortization 734.89 DM's business months from October through December 3 Year 2 straight-line amortization for patent $2,205

Contact the Seller

Please Sign In to contact this seller.


  • 👎  Report Copyright Violation

Frequently Asked Questions

What Do I Get When I Buy This Study Material?

+

When you buy a study material on Passing Grades, an instant download link will be sent directly to your email, giving you access to the file anytime after payment is completed.

Is Passing Grades a Trusted Platform?

+

Yes, Passing Grades is a reputable students’ marketplace with a secure payment system and reliable customer support. You can trust us to ensure a safe and seamless transaction experience.

Will I Be Stuck with a Subscription?

+

No, all purchases on Passing Grades are one-time transactions. You only pay for the notes you choose to buy, with no subscriptions or hidden fees attached.

Who Am I Buying These Study Materials From?

+

Passing Grades is a marketplace, which means you are purchasing the document from an individual vendor, not directly from us. We facilitate the payment and delivery process between you and the vendor.

Does Passing Grades Offer Free Study Materials?

+

Yes, sellers on Passing Grades have uploaded numerous free test banks, exams, practice questions, and class notes that can be downloaded at no cost.

Pasinggrades - Quality Study Materials

USD 17

    • Quality checked by Pasing Grades
    • 100% satisfaction guarantee
    • Seller: mentor2000
Buy PDF $17

Seller Information

mentor2000

Member since April 2021

  • icon
  • icon
View Profile
  • total sales

    0
  • Favourites

    0
  • Comments

    0
    ( 0 Ratings )

Item Information

  • Uploaded

    16 April 2023

  • Updated

    21 April 2025

  • Category

    Business

  • Item Type

    test bank

  • Tags

    Taxation of Business Entities 2016 Edition 7th Edition Spilker Solutions Manual

Related Exam Prep Guides by mentor2000

Test Bank for Essentials for Nursing Practice 8th Edition by Potter | All Chapters
View Document

Test Bank for Essent...

  • mentor2000

    mentor2000

  • test bank

Master nursing concepts with this study material; Test Bank for Essentials for Nursing Practice, 8th...

17 USD

0

0

A &P 1 MA278 BSC2 Final Module II Questions & Answers 2026 Update
View Document

A &P 1 MA278 BSC2 Fi...

  • mentor2000

    mentor2000

  • test bank

Prepare for success with A&P 1 MA278 BSC2 Final Module II 2024 Q&A. Boost your grades with this comp...

17 USD

0

0

ATI Comprehensive Predictor Exam 2026
View Document

ATI Comprehensive Pr...

  • mentor2000

    mentor2000

  • test bank

Prepare for success with the ATI Comprehensive Predictor Exam 2026. Access key practice questions to...

17 USD

0

0

Purchase

Download link will be sent to this email immediately after purchase.

IMPORTANT LINKS

  • How To Upload Class Notes
  • Selling Tips
  • Passing Grades's Study Materials
  • Scholarships for International Students 2026

POPULAR CATEGORIES

  • Law
  • Accounting
  • English
  • Psychology
  • Business
  • Nursing
  • Computer Science
  • General

View Document

  • Blog
  • Contact
  • Delivery Policy
  • Latest Scholarships Around the World
  • How to Pass Bar Exams: Passing Grades’ Strategies
  • How to Study and Pass the CPA Exam
  • All Test Banks
  • Faq
  • Copyright Claims
  • Privacy Policy
  • Terms of Use

KNOWLEDGE BASE

  • How to Write A+ Grade Good Research Paper
  • How to Manage Stress During Exam Period
  • Best Time to Study
  • How to Pass NCLEX-RN Exam
  • How To Effectively Utilize Test Banks
  • Popular Shadow Health Exam Assessments
  • Popular HESI Case Studies
  • How to Prepare for a Nursing Career
  • The Importance Of Summaries in Exam Revisvion

© 2026 Pasing Grades. All rights reserved.