Pasing Grades
  • Start Selling
  • Blog
  • Contact
  • 0

    Your cart is empty!

English

  • English
  • Spanish
  • Arabic
Create Account Sign In
  • Library
    • New Prep Guides
    • Featured Prep Guides
    • Free Exam Prep Guides
    • Best sellers
  • General
  • Nursing
    • Research Paper
    • Case Study
    • Discussion Post
    • Assignment
    • Exam
    • Practice Questions and Answers
    • Test Bank
    • solutions manual
    • study guide
  • Accounting
    • Case Study
    • Thesis
    • Study Guide
    • Summary
    • Research Paper
    • test bank
  • English
    • Creative Writing
    • Research Paper
    • Summary
    • Rhetorics
    • Literature
    • Journal
    • Exam
    • Grammar
    • Discussion Post
    • Essay
  • Psychology
    • Hesi
    • Presentation
    • Essay
    • Summary
    • Study Guide
    • Essay
    • Solution Manual
    • Final Exam Review
    • Class Notes
    • test bank
  • Business
    • Lecture Notes
    • Solution Manual
    • Presentation
    • Business Plan
    • Class Notes
    • Experiment
    • Summary
    • Practice Questions
    • Study Guide
    • Case Study
    • test bank
    • Exam
  • More
    • Computer Science
    • Economics
    • Statistics
    • Engineering
    • Biology
    • Religious Studies
    • Physics
    • Chemistry
    • Mathematics
    • History
    • Sociology
    • Science
    • Philosophy
    • Law
  • Pages
    • About Us
    • Selling Tips
    • Delivery Policy
    • Faq
    • Privacy Policy
  • Flash Sale
  • Home
  • ATI RN PROCTORED COMPREHENSIVE PREDICTOR FORM A

ATI RN PROCTORED COMPREHENSIVE PREDICTOR FORM A

Preview page 1 Preview page 2 Preview page 3
Add To Favorites

Share this item Share this item

  • Item Details
  • Comments (0)
  • Reviews (0)
  • Contact Seller
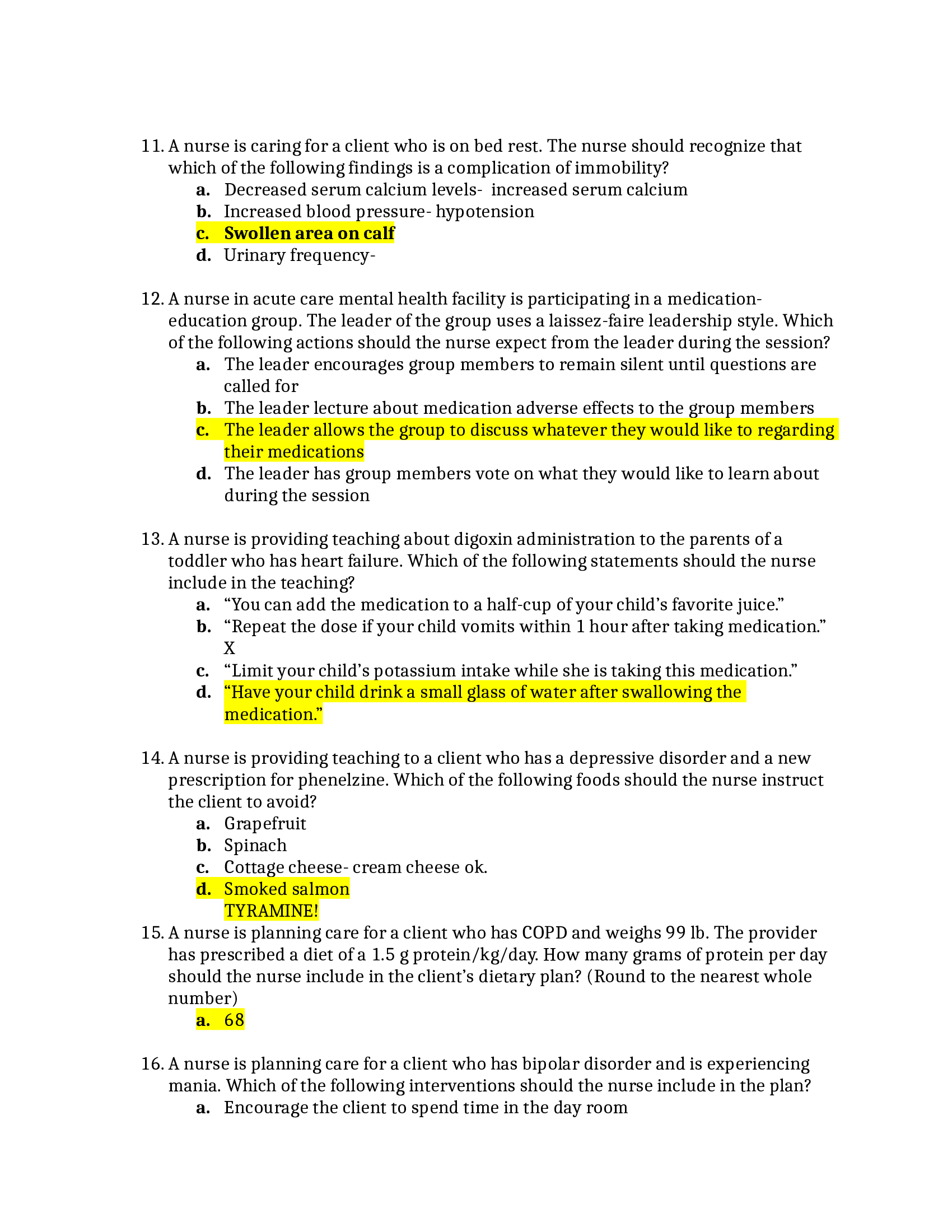
ATI RN PROCTORED COMPREHENSIVE PREDICTOR FORM A|QUESTIONS WITH ANSWERS (RATED A+) 1. A nurse is caring for a client who is at 33 weeks of gestation following an amniocentesis. The nurse should monitor the client for which of the following complications? a. Vomiting b. Hypertension c. Epigastric pain d. Contractions 2. A nurse is providing teaching to an older adult client about methods to promote nighttime sleep. Which of the following instructions should the nurse include? a. Stay in bed at least 1 hr if unable to fall asleep b. Take a 1 hr nap during the day c. Perform exercises prior to bedtime d. Eat a light snack before bedtime 3. A nurse on a telemetry unit is caring for a client who becomes unconscious and whose monitor displays ventricular tachycardia. Which of the following actions should the nurse take first after determining the client does not have a palpable pulse? a. Assess heart sounds b. Defibrillate c. Establish IV access d. Administer epinephrine 4. A nurse is admitting a client who 1 week postpartum and reports excessive vaginal bleeding. The nurse does not speak the same language as the client. The

Contact the Seller

Please Sign In to contact this seller.


  • 👎  Report Copyright Violation

Frequently Asked Questions

What Do I Get When I Buy This Study Material?

+

When you buy a study material on Passing Grades, an instant download link will be sent directly to your email, giving you access to the file anytime after payment is completed.

Is Passing Grades a Trusted Platform?

+

Yes, Passing Grades is a reputable students’ marketplace with a secure payment system and reliable customer support. You can trust us to ensure a safe and seamless transaction experience.

Will I Be Stuck with a Subscription?

+

No, all purchases on Passing Grades are one-time transactions. You only pay for the notes you choose to buy, with no subscriptions or hidden fees attached.

Who Am I Buying These Study Materials From?

+

Passing Grades is a marketplace, which means you are purchasing the document from an individual vendor, not directly from us. We facilitate the payment and delivery process between you and the vendor.

Does Passing Grades Offer Free Study Materials?

+

Yes, sellers on Passing Grades have uploaded numerous free test banks, exams, practice questions, and class notes that can be downloaded at no cost.

Pasinggrades - Quality Study Materials

USD 25

    • Quality checked by Pasing Grades
    • 100% satisfaction guarantee
    • Seller: kevv
Buy PDF $25

Seller Information

kevv

Member since December 2023

  • icon
View Profile
  • total sales

    0
  • Favourites

    0
  • Comments

    0
    ( 0 Ratings )

Item Information

  • Uploaded

    19 December 2023

  • Updated

    21 June 2025

  • Category

    Accounting

  • Item Type

    ati

  • Tags

Related Exam Prep Guides by kevv

Fundamentals of Nursing  Test Bank For Potter Perry 11th Edition Chapter 1- 50 | Complete Guide Newest Version 2023  Test Bank For Fundamentals of Nursing 11th Edition Potter Perry Chapter 1-50 | Complete Guide Newest Version 2023
View Document

Fundamentals of Nurs...

  • kevv

    kevv

  • ati

Fundamentals of Nursing Test Bank For Potter Perry 11th Edition Chapter 1- 50 | Complete Guide Newe...

25 USD

0

0

ANATOMY AND PHYSIOLOGY OPENSTAX TEST BANK 2 ANATOMY AND PHYSIOLOGY
View Document

ANATOMY AND PHYSIOLO...

  • kevv

    kevv

  • ati

ANATOMY AND PHYSIOLOGY OPENSTAX TEST BANK 2 ANATOMY AND PHYSIOLOGY...

25 USD

0

0

NURSING MISC TEST BANK Essentials of Pediatric Nursing 4th  Edition Kyle Carman
View Document

NURSING MISC TEST BA...

  • kevv

    kevv

  • ati

NURSING MISC TEST BANK Essentials of Pediatric Nursing 4th Edition Kyle Carman...

25 USD

0

0

Purchase

Download link will be sent to this email immediately after purchase.

IMPORTANT LINKS

  • How To Upload Class Notes
  • Selling Tips
  • Passing Grades's Study Materials
  • Scholarships for International Students 2026

POPULAR CATEGORIES

  • Law
  • Accounting
  • English
  • Psychology
  • Business
  • Nursing
  • Computer Science
  • General

View Document

  • Blog
  • Contact
  • Delivery Policy
  • Latest Scholarships Around the World
  • How to Pass Bar Exams: Passing Grades’ Strategies
  • How to Study and Pass the CPA Exam
  • All Test Banks
  • Faq
  • Copyright Claims
  • Privacy Policy
  • Terms of Use

KNOWLEDGE BASE

  • How to Write A+ Grade Good Research Paper
  • How to Manage Stress During Exam Period
  • Best Time to Study
  • How to Pass NCLEX-RN Exam
  • How To Effectively Utilize Test Banks
  • Popular Shadow Health Exam Assessments
  • Popular HESI Case Studies
  • How to Prepare for a Nursing Career
  • The Importance Of Summaries in Exam Revisvion

© 2026 Pasing Grades. All rights reserved.