Pasing Grades
  • Start Selling
  • Blog
  • Contact
  • 0

    Your cart is empty!

English

  • English
  • Spanish
  • Arabic
Create Account Sign In
  • Library
    • New Prep Guides
    • Featured Prep Guides
    • Free Exam Prep Guides
    • Best sellers
  • General
  • Nursing
    • Research Paper
    • Case Study
    • Discussion Post
    • Assignment
    • Exam
    • Practice Questions and Answers
    • Test Bank
    • solutions manual
    • study guide
  • Accounting
    • Case Study
    • Thesis
    • Study Guide
    • Summary
    • Research Paper
    • test bank
  • English
    • Creative Writing
    • Research Paper
    • Summary
    • Rhetorics
    • Literature
    • Journal
    • Exam
    • Grammar
    • Discussion Post
    • Essay
  • Psychology
    • Hesi
    • Presentation
    • Essay
    • Summary
    • Study Guide
    • Essay
    • Solution Manual
    • Final Exam Review
    • Class Notes
    • test bank
  • Business
    • Lecture Notes
    • Solution Manual
    • Presentation
    • Business Plan
    • Class Notes
    • Experiment
    • Summary
    • Practice Questions
    • Study Guide
    • Case Study
    • test bank
    • Exam
  • More
    • Computer Science
    • Economics
    • Statistics
    • Engineering
    • Biology
    • Religious Studies
    • Physics
    • Chemistry
    • Mathematics
    • History
    • Sociology
    • Science
    • Philosophy
    • Law
  • Pages
    • About Us
    • Selling Tips
    • Delivery Policy
    • Faq
    • Privacy Policy
  • Flash Sale
  • Home
  • ATI RN LEADERSHIP LATEST 2023-2024 FORM A REAL EXAM QUESTIONS AND CORRECT ANSWERS

ATI RN LEADERSHIP LATEST 2023-2024 FORM A REAL EXAM QUESTIONS AND CORRECT ANSWERS

Preview page 1 Preview page 2 Preview page 3
Add To Favorites

Share this item Share this item

  • Item Details
  • Comments (0)
  • Reviews (0)
  • Contact Seller
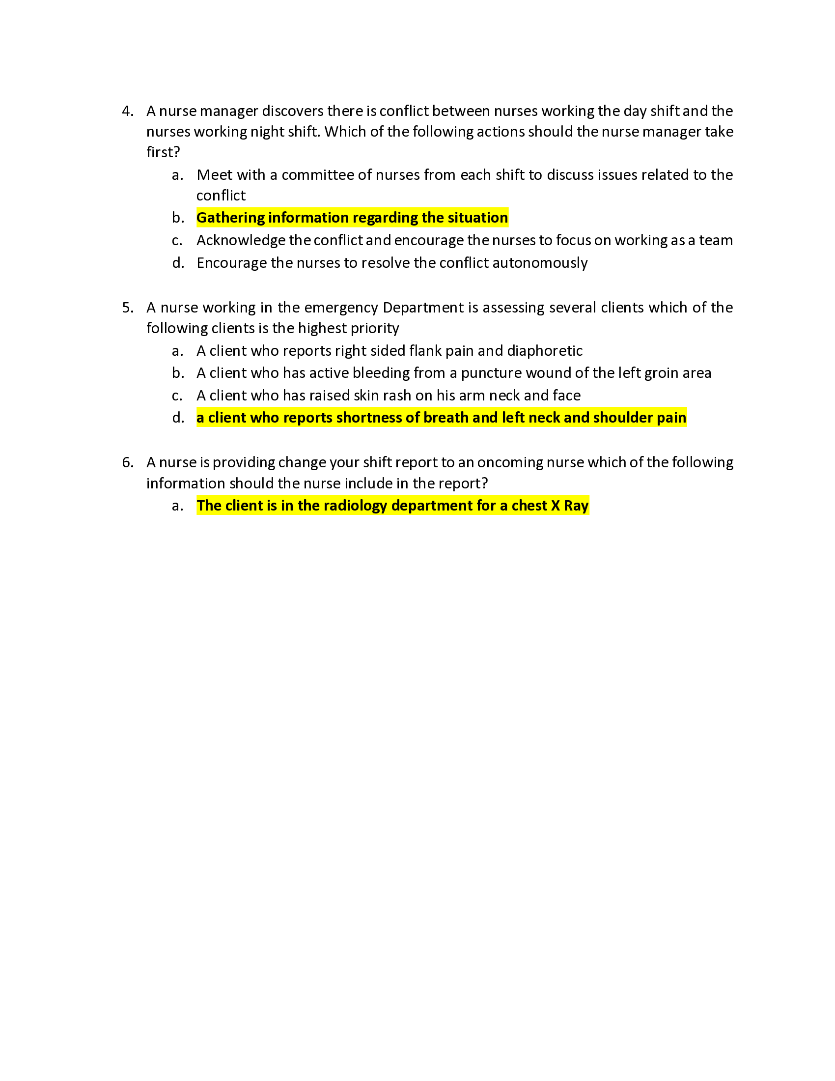
ATI RN LEADERSHIP LATEST 2023-2024 FORM A REAL EXAM QUESTIONS AND CORRECT ANSWERS(ALL ANSWERS ARE CORRECT)|AGRADE A nurse is working on a quality improvement team that is assessing an increase in clients falls at the facility after problem identification which of the following actions should the nurse plan to take first as part of a quality improvement process ATI RN LEADERSHIP LATEST 2023-2024 FORM A REAL EXAM QUESTIONS AND CORRECT ANSWERS(ALL ANSWERS ARE CORRECT)|AGRADE A nurse is working on a quality improvement team that is assessing an increase in clients falls at the facility after problem identification which of the following actions should the nurse plan to take first as part of a quality improvement process ATI RN LEADERSHIP LATEST 2023-2024 FORM A REAL EXAM QUESTIONS AND CORRECT ANSWERS(ALL ANSWERS ARE CORRECT)|AGRADE A nurse is working on a quality improvement team that is assessing an increase in clients falls at the facility after problem identification which of the following actions should the nurse plan to take first as part of a quality improvement process ATI RN LEADERSHIP LATEST 2023-2024 FORM A REAL EXAM QUESTIONS AND CORRECT ANSWERS(ALL ANSWERS ARE CORRECT)|AGRADE A nurse is working on a quality improvement team that is assessing an increase in clients falls at the facility after problem identification which of the following actions should the nurse plan to take first as part of a quality improvement process ATI RN LEADERSHIP LATEST 2023-2024 FORM A REAL EXAM QUESTIONS AND CORRECT ANSWERS(ALL ANSWERS ARE CORRECT)|AGRADE A nurse is working on a quality improvement team that is assessing an increase in clients falls at the facility after problem identification which of the following actions should the nurse plan to take first as part of a quality improvement process

Contact the Seller

Please Sign In to contact this seller.


  • 👎  Report Copyright Violation

Frequently Asked Questions

What Do I Get When I Buy This Study Material?

+

When you buy a study material on Passing Grades, an instant download link will be sent directly to your email, giving you access to the file anytime after payment is completed.

Is Passing Grades a Trusted Platform?

+

Yes, Passing Grades is a reputable students’ marketplace with a secure payment system and reliable customer support. You can trust us to ensure a safe and seamless transaction experience.

Will I Be Stuck with a Subscription?

+

No, all purchases on Passing Grades are one-time transactions. You only pay for the notes you choose to buy, with no subscriptions or hidden fees attached.

Who Am I Buying These Study Materials From?

+

Passing Grades is a marketplace, which means you are purchasing the document from an individual vendor, not directly from us. We facilitate the payment and delivery process between you and the vendor.

Does Passing Grades Offer Free Study Materials?

+

Yes, sellers on Passing Grades have uploaded numerous free test banks, exams, practice questions, and class notes that can be downloaded at no cost.

Pasinggrades - Quality Study Materials

USD 38

    • Quality checked by Pasing Grades
    • 100% satisfaction guarantee
    • Seller: DRDMG
Buy PDF $38

Seller Information

DRDMG

Member since January 2024

  • icon
  • icon
View Profile
  • total sales

    0
  • Favourites

    0
  • Comments

    0
    ( 0 Ratings )

Item Information

  • Uploaded

    20 February 2024

  • Updated

    17 October 2025

  • Category

    Accounting

  • Item Type

    ati

  • Tags

    ATI RN LEADERSHIP LATEST 2023 2024 FORM A REAL EXAM QUESTIONS AND CORRECT ANSWERS(ALL ANSWERS ARE CORRECT)|AGRADE A nurse is working on a quality improvement team that is assessing an increase in clients falls at the facility after problem identification which of the following actions should the nurse plan to take first as part of a quality improvement process ATI RN LEADERSHIP LATEST 2023 2024 FORM A REAL EXAM QUESTIONS AND CORRECT ANSWERS(ALL ANSWERS ARE CORRECT)|AGRADE A nurse is working on a quality improvement team that is assessing an increase in clients falls at the facility after problem identification which of the following actions should the nurse plan to take first as part of a quality improvement process ATI RN LEADERSHIP LATEST 2023 2024 FORM A REAL EXAM QUESTIONS AND CORRECT ANSWERS(ALL ANSWERS ARE CORRECT)|AGRADE A nurse is working on a quality improvement team that is assessing an increase in clients falls at the facility after problem identification which of the following actions should the nurse plan to take first as part of a quality improvement process ATI RN LEADERSHIP LATEST 2023 2024 FORM A REAL EXAM QUESTIONS AND CORRECT ANSWERS(ALL ANSWERS ARE CORRECT)|AGRADE A nurse is working on a quality improvement team that is assessing an increase in clients falls at the facility after problem identification which of the following actions should the nurse plan to take first as part of a quality improvement process ATI RN LEADERSHIP LATEST 2023 2024 FORM A REAL EXAM QUESTIONS AND CORRECT ANSWERS(ALL ANSWERS ARE CORRECT)|AGRADE A nurse is working on a quality improvement team that is assessing an increase in clients falls at the facility after problem identification which of the following actions should the nurse plan to take first as part of a quality improvement process

Related Exam Prep Guides by DRDMG

2024 RN  MEDICAL SURGICAL ATI EXAM, MEDICAL SURGICAL ATI EXAM  2022-2024 QUESTIONS AND ANSWERS |ALREADY GRADED A | BRAND NEW!!   Which of the following is an adverse effect of lactulose?
View Document

2024 RN MEDICAL SUR...

  • DRDMG

    DRDMG

  • ati

2024 RN MEDICAL SURGICAL ATI EXAM, MEDICAL SURGICAL ATI EXAM 2022-2024 QUESTIONS AND ANSWERS |ALRE...

38 USD

0

0

ATI RN MENTAL HEALTH  2020-2023 RETAKE EXAM V1 –V3, MENTAL HEALTH RN  2020-2023 RETAKE EXAM QUESTIONS AND VERIFIED ANSWERS, LATEST UPDATE
View Document

ATI RN MENTAL HEALTH...

  • DRDMG

    DRDMG

  • ati

ATI RN MENTAL HEALTH 2020-2023 RETAKE EXAM V1 –V3, MENTAL HEALTH RN 2020-2023 RETAKE EXAM QUESTI...

38 USD

0

0

PN HESI EXIT EXAM UPDATED 2022, 2024 QUESTIONS AND ANSWERS WITH RATINALES| (ALREADY  GRADED A+)        A 60-year-old female client with a positive family history of ovarian cancer has developed an abdominal mass and is being evaluated for possible ovarian cancer. Her Papanicolau (Pap) smear results are negative. What information should the nurse include in the client‟s teaching plan?
View Document

PN HESI EXIT EXAM UP...

  • DRDMG

    DRDMG

  • ati

PN HESI EXIT EXAM UPDATED 2022, 2024 QUESTIONS AND ANSWERS WITH RATINALES| (ALREADY GRADED A+) A 60...

38 USD

0

0

Purchase

Download link will be sent to this email immediately after purchase.

IMPORTANT LINKS

  • How To Upload Class Notes
  • Selling Tips
  • Passing Grades's Study Materials
  • Scholarships for International Students 2026

POPULAR CATEGORIES

  • Law
  • Accounting
  • English
  • Psychology
  • Business
  • Nursing
  • Computer Science
  • General

View Document

  • Blog
  • Contact
  • Delivery Policy
  • Latest Scholarships Around the World
  • How to Pass Bar Exams: Passing Grades’ Strategies
  • How to Study and Pass the CPA Exam
  • All Test Banks
  • Faq
  • Copyright Claims
  • Privacy Policy
  • Terms of Use

KNOWLEDGE BASE

  • How to Write A+ Grade Good Research Paper
  • How to Manage Stress During Exam Period
  • Best Time to Study
  • How to Pass NCLEX-RN Exam
  • How To Effectively Utilize Test Banks
  • Popular Shadow Health Exam Assessments
  • Popular HESI Case Studies
  • How to Prepare for a Nursing Career
  • The Importance Of Summaries in Exam Revisvion

© 2026 Pasing Grades. All rights reserved.