Pasing Grades
  • Start Selling
  • Blog
  • Contact
  • 0

    Your cart is empty!

English

  • English
  • Spanish
  • Arabic
Create Account Sign In
  • Library
    • New Prep Guides
    • Featured Prep Guides
    • Free Exam Prep Guides
    • Best sellers
  • General
  • Nursing
    • Research Paper
    • Case Study
    • Discussion Post
    • Assignment
    • Exam
    • Practice Questions and Answers
    • Test Bank
    • solutions manual
    • study guide
  • Accounting
    • Case Study
    • Thesis
    • Study Guide
    • Summary
    • Research Paper
    • test bank
  • English
    • Creative Writing
    • Research Paper
    • Summary
    • Rhetorics
    • Literature
    • Journal
    • Exam
    • Grammar
    • Discussion Post
    • Essay
  • Psychology
    • Hesi
    • Presentation
    • Essay
    • Summary
    • Study Guide
    • Essay
    • Solution Manual
    • Final Exam Review
    • Class Notes
    • test bank
  • Business
    • Lecture Notes
    • Solution Manual
    • Presentation
    • Business Plan
    • Class Notes
    • Experiment
    • Summary
    • Practice Questions
    • Study Guide
    • Case Study
    • test bank
    • Exam
  • More
    • Computer Science
    • Economics
    • Statistics
    • Engineering
    • Biology
    • Religious Studies
    • Physics
    • Chemistry
    • Mathematics
    • History
    • Sociology
    • Science
    • Philosophy
    • Law
  • Pages
    • About Us
    • Selling Tips
    • Delivery Policy
    • Faq
    • Privacy Policy
  • Flash Sale
  • Home
  • ATI COMPREHENSIVE RETAKE 2019,2023 with NGN

ATI COMPREHENSIVE RETAKE 2019,2023 with NGN

Preview page 1 Preview page 2 Preview page 3
Add To Favorites

Share this item Share this item

  • Item Details
  • Comments (0)
  • Reviews (0)
  • Contact Seller

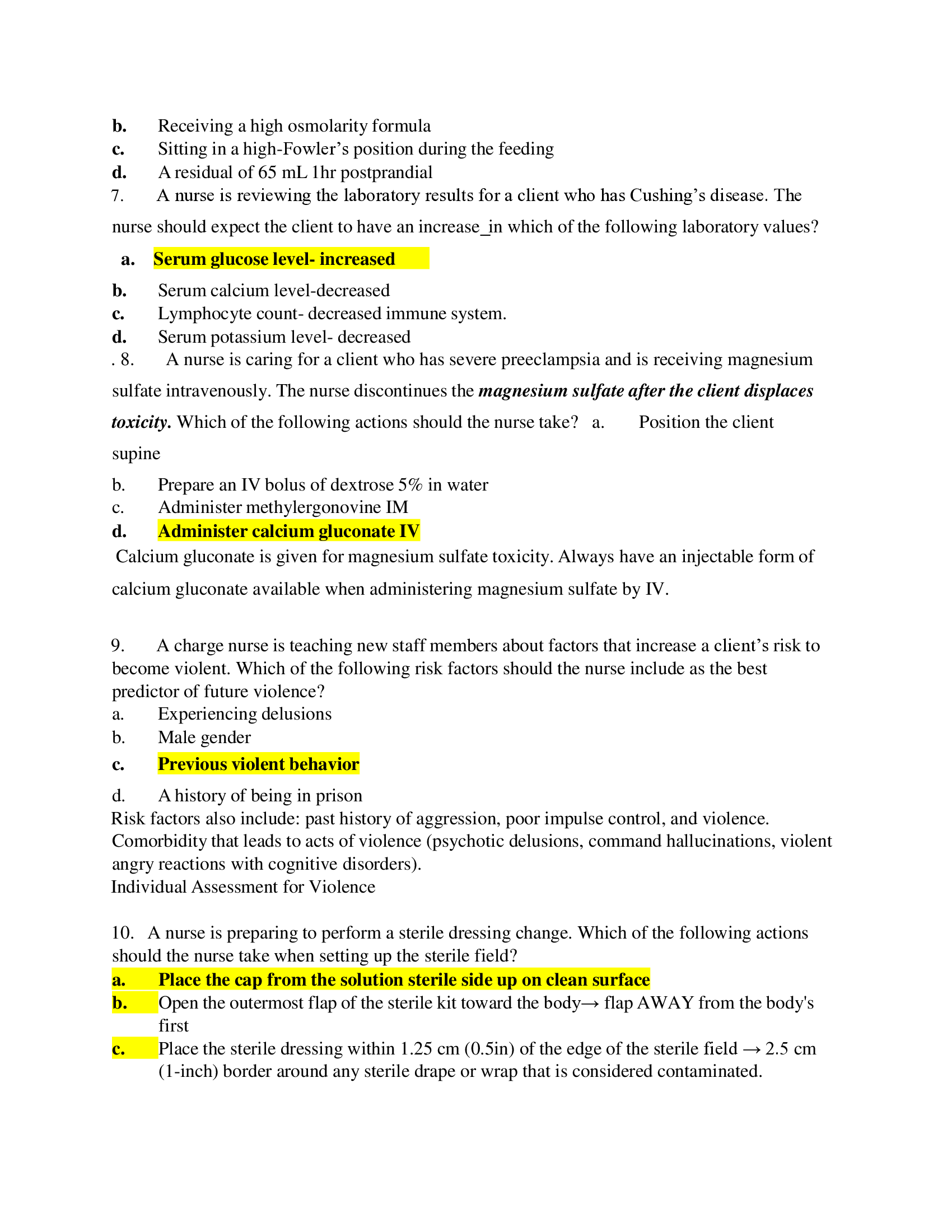
ATI COMPREHENSIVE RETAKE 2019/2023 with NGN ATI COMPREHENSIVERETAKE 2019/2023 with NGN 1. A nurse is caring for a client who has bipolar disorder and is experiencing acute mania. The nurse obtained a verbal prescription for restraints. Which of the following should the actions the nurse take? A. Request a renewal of the prescription every 8 hr. B. Check the client’s peripheral pulse rate every 30 min C. Obtain a prescription for restraint within 4 hr. D. Document the client’s condition every 15 minutes 2. A nursing planning care for a school-age child who is 4 hr postoperative following perforated appendicitis. Which of the following actions should the nurse include in the plan ofcare? a. Offer small amounts of clear liquids 6 hr following surgery (assess for gag reflex first) b. Give cromolyn nebulizer solution every 6 hr (for asthma) c. Apply a warm compress to the operative site every 4 hr d. Administer analgesics on a scheduled basis for the first 24 hr 3. Anurse is receiving change-of-shift report for a group of clients. Which of the following clients should the nurse plan to assess first? a. Aclient who has sinus arrhythmia and is receiving cardiac monitoring b. Aclient who has diabetes mellitus and a hemoglobin A1C of 6.8% c. Aclient who has epidural analgesia and weakness in the lower extremities d. Aclient who has a hip fracture and a new onset of tachypnea

Contact the Seller

Please Sign In to contact this seller.


  • 👎  Report Copyright Violation

Frequently Asked Questions

What Do I Get When I Buy This Study Material?

+

When you buy a study material on Passing Grades, an instant download link will be sent directly to your email, giving you access to the file anytime after payment is completed.

Is Passing Grades a Trusted Platform?

+

Yes, Passing Grades is a reputable students’ marketplace with a secure payment system and reliable customer support. You can trust us to ensure a safe and seamless transaction experience.

Will I Be Stuck with a Subscription?

+

No, all purchases on Passing Grades are one-time transactions. You only pay for the notes you choose to buy, with no subscriptions or hidden fees attached.

Who Am I Buying These Study Materials From?

+

Passing Grades is a marketplace, which means you are purchasing the document from an individual vendor, not directly from us. We facilitate the payment and delivery process between you and the vendor.

Does Passing Grades Offer Free Study Materials?

+

Yes, sellers on Passing Grades have uploaded numerous free test banks, exams, practice questions, and class notes that can be downloaded at no cost.

Pasinggrades - Quality Study Materials

USD 23

    • Quality checked by Pasing Grades
    • 100% satisfaction guarantee
    • Seller: kevv
Buy PDF $23

Seller Information

kevv

Member since December 2023

  • icon
View Profile
  • total sales

    0
  • Favourites

    0
  • Comments

    0
    ( 0 Ratings )

Item Information

  • Uploaded

    20 December 2023

  • Updated

    24 October 2025

  • Category

    Accounting

  • Item Type

    ati

  • Tags

Related Exam Prep Guides by kevv

Fundamentals of Nursing  Test Bank For Potter Perry 11th Edition Chapter 1- 50 | Complete Guide Newest Version 2023  Test Bank For Fundamentals of Nursing 11th Edition Potter Perry Chapter 1-50 | Complete Guide Newest Version 2023
View Document

Fundamentals of Nurs...

  • kevv

    kevv

  • ati

Fundamentals of Nursing Test Bank For Potter Perry 11th Edition Chapter 1- 50 | Complete Guide Newe...

23 USD

0

0

ANATOMY AND PHYSIOLOGY OPENSTAX TEST BANK 2 ANATOMY AND PHYSIOLOGY
View Document

ANATOMY AND PHYSIOLO...

  • kevv

    kevv

  • ati

ANATOMY AND PHYSIOLOGY OPENSTAX TEST BANK 2 ANATOMY AND PHYSIOLOGY...

23 USD

0

0

NURSING MISC TEST BANK Essentials of Pediatric Nursing 4th  Edition Kyle Carman
View Document

NURSING MISC TEST BA...

  • kevv

    kevv

  • ati

NURSING MISC TEST BANK Essentials of Pediatric Nursing 4th Edition Kyle Carman...

23 USD

0

0

Purchase

Download link will be sent to this email immediately after purchase.

IMPORTANT LINKS

  • How To Upload Class Notes
  • Selling Tips
  • Passing Grades's Study Materials
  • Scholarships for International Students 2026

POPULAR CATEGORIES

  • Law
  • Accounting
  • English
  • Psychology
  • Business
  • Nursing
  • Computer Science
  • General

View Document

  • Blog
  • Contact
  • Delivery Policy
  • Latest Scholarships Around the World
  • How to Pass Bar Exams: Passing Grades’ Strategies
  • How to Study and Pass the CPA Exam
  • All Test Banks
  • Faq
  • Copyright Claims
  • Privacy Policy
  • Terms of Use

KNOWLEDGE BASE

  • How to Write A+ Grade Good Research Paper
  • How to Manage Stress During Exam Period
  • Best Time to Study
  • How to Pass NCLEX-RN Exam
  • How To Effectively Utilize Test Banks
  • Popular Shadow Health Exam Assessments
  • Popular HESI Case Studies
  • How to Prepare for a Nursing Career
  • The Importance Of Summaries in Exam Revisvion

© 2026 Pasing Grades. All rights reserved.