Pasing Grades
  • Start Selling
  • Blog
  • Contact
  • 0

    Your cart is empty!

English

  • English
  • Spanish
  • Arabic
Create Account Sign In
  • Library
    • New Prep Guides
    • Featured Prep Guides
    • Free Exam Prep Guides
    • Best sellers
  • General
  • Nursing
    • Research Paper
    • Case Study
    • Discussion Post
    • Assignment
    • Exam
    • Practice Questions and Answers
    • Test Bank
    • solutions manual
    • study guide
  • Accounting
    • Case Study
    • Thesis
    • Study Guide
    • Summary
    • Research Paper
    • test bank
  • English
    • Creative Writing
    • Research Paper
    • Summary
    • Rhetorics
    • Literature
    • Journal
    • Exam
    • Grammar
    • Discussion Post
    • Essay
  • Psychology
    • Hesi
    • Presentation
    • Essay
    • Summary
    • Study Guide
    • Essay
    • Solution Manual
    • Final Exam Review
    • Class Notes
    • test bank
  • Business
    • Lecture Notes
    • Solution Manual
    • Presentation
    • Business Plan
    • Class Notes
    • Experiment
    • Summary
    • Practice Questions
    • Study Guide
    • Case Study
    • test bank
    • Exam
  • More
    • Computer Science
    • Economics
    • Statistics
    • Engineering
    • Biology
    • Religious Studies
    • Physics
    • Chemistry
    • Mathematics
    • History
    • Sociology
    • Science
    • Philosophy
    • Law
  • Pages
    • About Us
    • Selling Tips
    • Delivery Policy
    • Faq
    • Privacy Policy
  • Flash Sale
  • Home
  • UNIV 104 Math Assessment Part 1 Part 2 Liberty University ans wers solutions studyblue All the answers and solutions are here!100% Complete Detailed Verified answers already graded A+

UNIV 104 Math Assessment Part 1 Part 2 Liberty University ans wers solutions studyblue All the answers and solutions are here!100% Complete Detailed Verified answers already graded A+

Preview page 1 Preview page 2 Preview page 3
Add To Favorites

Share this item Share this item

  • Item Details
  • Comments (0)
  • Reviews (0)
  • Contact Seller

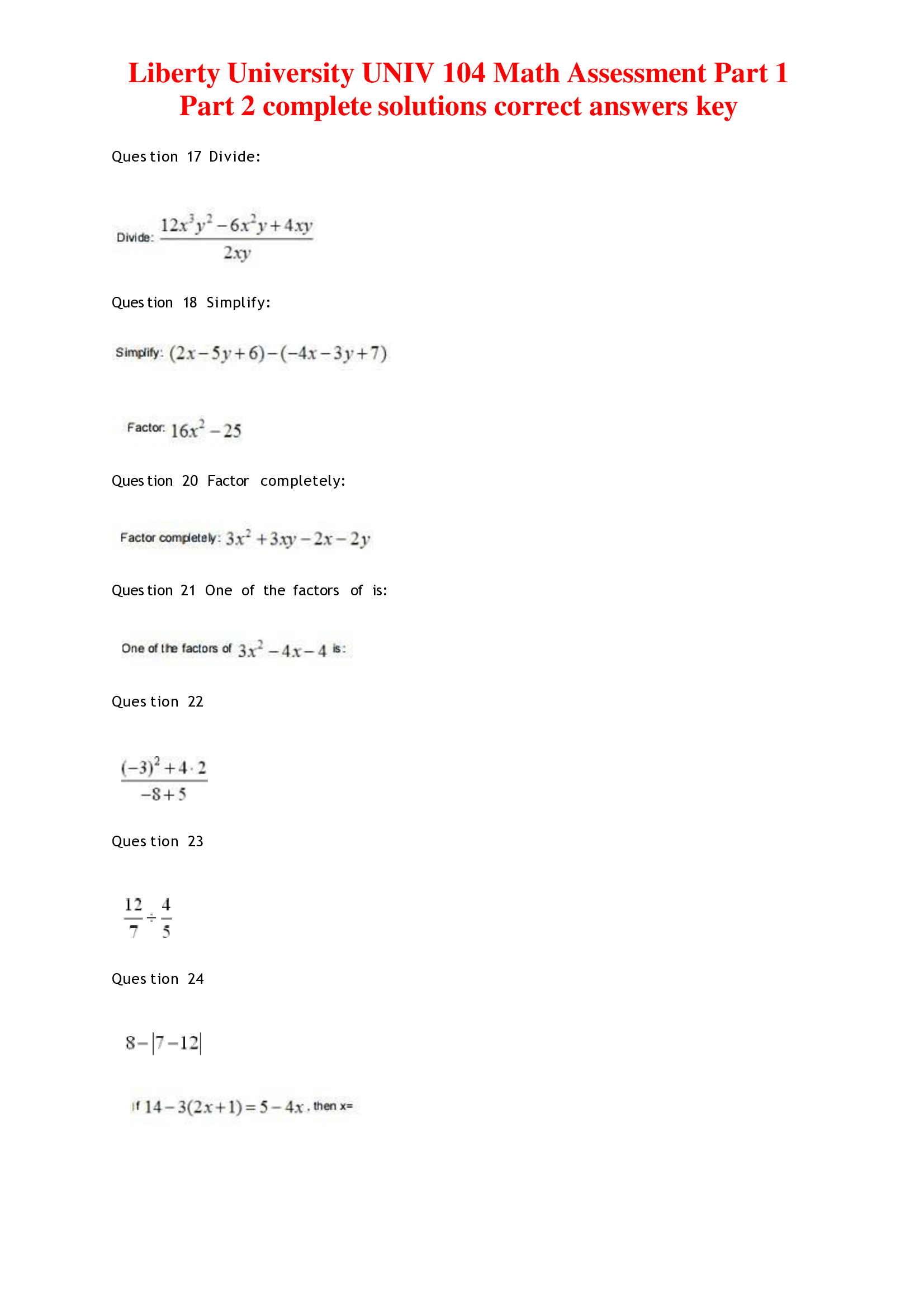
Liberty University UNIV 104 Math Assessment Part 1 Part 2 complete solutions correct answers key UNIV 104 Math Assessment Part 1 Part 2 Liberty University ans wers solutions studyblue All the answers and solutions are here!100%Complete Detailed Verified answers already graded A+ Assessments https://www.coursemerit.com/solution-details/25618/Liberty-University-UNIV-104-Math-Assessment-Part-1-Part-2-complete-solutions-correct-answers-key https://www.coursemerit.com/solution-details/25619/Liberty-University-UNIV-104-English-Assessment-complete-solutions-correct-answers-key Quizzes https://www.coursemerit.com/solution-details/19506/Liberty-University-UNIV-104-module-quiz-1-complete-solutions-correct-answers-key https://www.coursemerit.com/solution-details/19508/Liberty-University-UNIV-104-module-quiz-2-complete-solutions-correct-answers-key https://www.coursemerit.com/solution-details/20132/Liberty-University-UNIV-104-quiz-3-complete-solutions-correct-answers-key https://www.coursemerit.com/solution-details/20386/Liberty-University-UNIV-104-quiz-4-complete-solutions-correct-answers-key Ques tion 1 Ques tion 3 The Smiths s pend 15% of their mo nthly incom e on utilities . Their incom e in M ay was $3500. How mu ch did the y s pen d on utilities in M ay? Ques tion 4 Ques tion 5 Ques tion 6 W hich of the follo wing expr essions repres ents "s even les s than t wice x"? Ques tion 7 Ev aluat e Ques tion 8 W hich expres sion is eq uivale nt to ? Ques tion 9 Liberty University UNIV 104 Math Assessment Part 1 Part 2 complete solutions correct answers key Ques tion 11 The graph repres ents the s olution s et of which of the follo wing equations:

Contact the Seller

Please Sign In to contact this seller.


  • 👎  Report Copyright Violation

Frequently Asked Questions

What Do I Get When I Buy This Study Material?

+

When you buy a study material on Passing Grades, an instant download link will be sent directly to your email, giving you access to the file anytime after payment is completed.

Is Passing Grades a Trusted Platform?

+

Yes, Passing Grades is a reputable students’ marketplace with a secure payment system and reliable customer support. You can trust us to ensure a safe and seamless transaction experience.

Will I Be Stuck with a Subscription?

+

No, all purchases on Passing Grades are one-time transactions. You only pay for the notes you choose to buy, with no subscriptions or hidden fees attached.

Who Am I Buying These Study Materials From?

+

Passing Grades is a marketplace, which means you are purchasing the document from an individual vendor, not directly from us. We facilitate the payment and delivery process between you and the vendor.

Does Passing Grades Offer Free Study Materials?

+

Yes, sellers on Passing Grades have uploaded numerous free test banks, exams, practice questions, and class notes that can be downloaded at no cost.

Pasinggrades - Quality Study Materials

USD 8

    • Quality checked by Pasing Grades
    • 100% satisfaction guarantee
    • Seller: beatricemwash
Buy PDF $8

Seller Information

beatricemwash

Member since December 2023

  • icon
View Profile
  • total sales

    0
  • Favourites

    0
  • Comments

    0
    ( 0 Ratings )

Item Information

  • Uploaded

    03 January 2024

  • Updated

    15 December 2025

  • Category

    Mathematics

  • Item Type

    questions & answers

  • Tags

    Liberty University UNIV 104 Math Assessment

Related Exam Prep Guides by beatricemwash

ATI NUTRITION PROCTORED EXAM |Verified
View Document

ATI NUTRITION PROCTO...

  • beatricemwash

    beatricemwash

  • questions & answers

ATI NUTRITION PROCTORED EXAM |Verified...

8 USD

0

0

Complete 2026/2027 ATI med surg retake (GRADED A) Questions and Answers | 100 percent correct
View Document

Complete 2026/2027 A...

  • beatricemwash

    beatricemwash

  • questions & answers

Complete 2026/2027 ATI med surg retake (GRADED A) Questions and Answers | 100 percent correct – Do...

8 USD

0

0

Test Bank for Medical-Surgical Nursing Critical Thinking in Client Care,
View Document

Test Bank for Medica...

  • beatricemwash

    beatricemwash

  • questions & answers

Test Bank for MedicalSurgical Nursing Critical Thinking in Client Care, – Download PDF...

8 USD

0

0

Purchase

Download link will be sent to this email immediately after purchase.

IMPORTANT LINKS

  • How To Upload Class Notes
  • Selling Tips
  • Passing Grades's Study Materials
  • Scholarships for International Students 2026

POPULAR CATEGORIES

  • Law
  • Accounting
  • English
  • Psychology
  • Business
  • Nursing
  • Computer Science
  • General

View Document

  • Blog
  • Contact
  • Delivery Policy
  • Latest Scholarships Around the World
  • How to Pass Bar Exams: Passing Grades’ Strategies
  • How to Study and Pass the CPA Exam
  • All Test Banks
  • Faq
  • Copyright Claims
  • Privacy Policy
  • Terms of Use

KNOWLEDGE BASE

  • How to Write A+ Grade Good Research Paper
  • How to Manage Stress During Exam Period
  • Best Time to Study
  • How to Pass NCLEX-RN Exam
  • How To Effectively Utilize Test Banks
  • Popular Shadow Health Exam Assessments
  • Popular HESI Case Studies
  • How to Prepare for a Nursing Career
  • The Importance Of Summaries in Exam Revisvion

© 2026 Pasing Grades. All rights reserved.