Pasing Grades
  • Start Selling
  • Blog
  • Contact
  • 0

    Your cart is empty!

English

  • English
  • Spanish
  • Arabic
Create Account Sign In
  • Library
    • New Prep Guides
    • Featured Prep Guides
    • Free Exam Prep Guides
    • Best sellers
  • General
  • Nursing
    • Research Paper
    • Case Study
    • Discussion Post
    • Assignment
    • Exam
    • Practice Questions and Answers
    • Test Bank
    • solutions manual
    • study guide
  • Accounting
    • Case Study
    • Thesis
    • Study Guide
    • Summary
    • Research Paper
    • test bank
  • English
    • Creative Writing
    • Research Paper
    • Summary
    • Rhetorics
    • Literature
    • Journal
    • Exam
    • Grammar
    • Discussion Post
    • Essay
  • Psychology
    • Hesi
    • Presentation
    • Essay
    • Summary
    • Study Guide
    • Essay
    • Solution Manual
    • Final Exam Review
    • Class Notes
    • test bank
  • Business
    • Lecture Notes
    • Solution Manual
    • Presentation
    • Business Plan
    • Class Notes
    • Experiment
    • Summary
    • Practice Questions
    • Study Guide
    • Case Study
    • test bank
    • Exam
  • More
    • Computer Science
    • Economics
    • Statistics
    • Engineering
    • Biology
    • Religious Studies
    • Physics
    • Chemistry
    • Mathematics
    • History
    • Sociology
    • Science
    • Philosophy
    • Law
  • Pages
    • About Us
    • Selling Tips
    • Delivery Policy
    • Faq
    • Privacy Policy
  • Flash Sale
  • Home
  • Test Bank - Psychiatric Nursing: Contemporary Practice (6th Edition by Boyd)

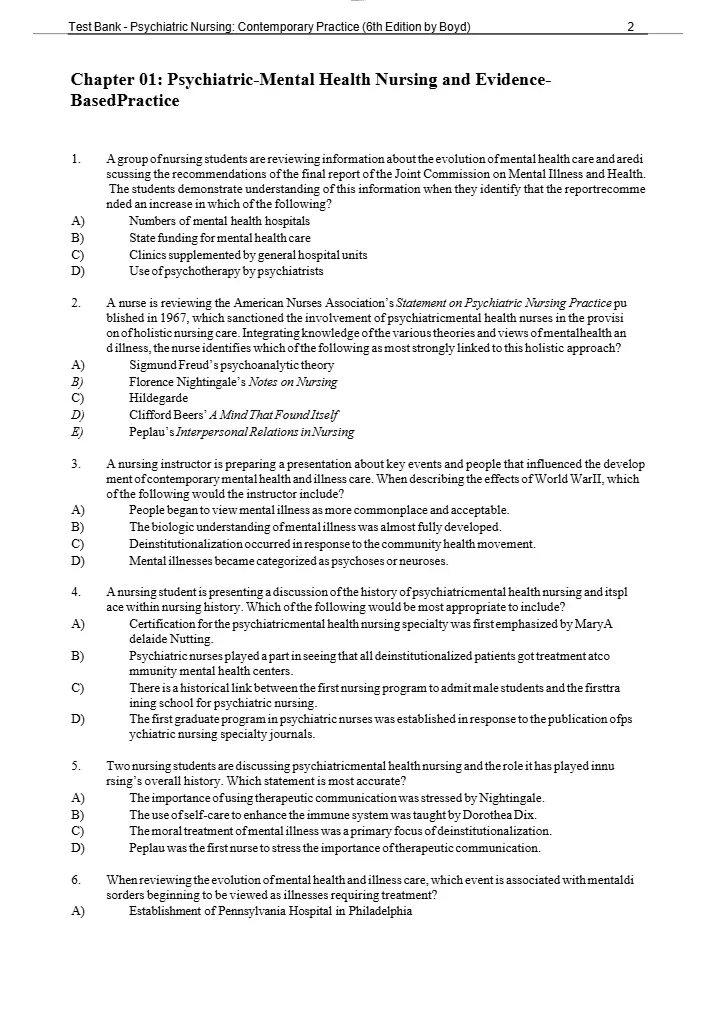
Test Bank - Psychiatric Nursing: Contemporary Practice (6th Edition by Boyd)

Preview page 1 Preview page 2 Preview page 3
Add To Favorites

Share this item Share this item

  • Item Details
  • Comments (0)
  • Reviews (0)
  • Contact Seller
Test Bank - Psychiatric Nursing: Contemporary Practice (6th Edition by Boyd)

Contact the Seller

Please Sign In to contact this seller.


  • 👎  Report Copyright Violation

Frequently Asked Questions

What Do I Get When I Buy This Study Material?

+

When you buy a study material on Passing Grades, an instant download link will be sent directly to your email, giving you access to the file anytime after payment is completed.

Is Passing Grades a Trusted Platform?

+

Yes, Passing Grades is a reputable students’ marketplace with a secure payment system and reliable customer support. You can trust us to ensure a safe and seamless transaction experience.

Will I Be Stuck with a Subscription?

+

No, all purchases on Passing Grades are one-time transactions. You only pay for the notes you choose to buy, with no subscriptions or hidden fees attached.

Who Am I Buying These Study Materials From?

+

Passing Grades is a marketplace, which means you are purchasing the document from an individual vendor, not directly from us. We facilitate the payment and delivery process between you and the vendor.

Does Passing Grades Offer Free Study Materials?

+

Yes, sellers on Passing Grades have uploaded numerous free test banks, exams, practice questions, and class notes that can be downloaded at no cost.

Pasinggrades - Quality Study Materials

USD 20

    • Quality checked by Pasing Grades
    • 100% satisfaction guarantee
    • Seller: TUTORSFLIX
Buy PDF $20

Seller Information

TUTORSFLIX

Member since April 2024

  • icon
View Profile
  • total sales

    0
  • Favourites

    0
  • Comments

    0
    ( 0 Ratings )

Item Information

  • Uploaded

    11 April 2024

  • Updated

    17 October 2025

  • Category

    No category

  • Item Type

    test bank

  • Tags

    Test Bank Psychiatric Nursing: Contemporary Practice (6th Edition by Boyd)

Related Exam Prep Guides by TUTORSFLIX

TEST BANK FOR PATHOPHYSIOLOGY 7TH EDITION BY JACQUELYN L. BANASIK CHAPTER 1-54 COMPLETE GUIDE
View Document

TEST BANK FOR PATHOP...

  • TUTORSFLIX

    TUTORSFLIX

  • test bank

TEST BANK FOR PATHOPHYSIOLOGY 7TH EDITION BY JACQUELYN L. BANASIK CHAPTER 1-54 COMPLETE GUIDE...

20 USD

0

0

Complete Maternal Child Nursing Care 7th Edition Test Bank (Perry, Hockenberry & Cashion) – Chapters 1–50 | Verified Answers & NCLEX-Style Questions
View Document

Complete Maternal Ch...

  • TUTORSFLIX

    TUTORSFLIX

  • test bank

Test Bank for Maternal Child Nursing Care 7th Edition by Shannon E. Perry, Marilyn J. Hockenberry, M...

20 USD

0

0

Test Bank for Safe Maternity & Pediatric NursingCare2nd editionbyLinnardpalmer
View Document

Test Bank for Safe M...

  • TUTORSFLIX

    TUTORSFLIX

  • test bank

Test Bank for Safe Maternity & Pediatric NursingCare2nd editionbyLinnardpalmer...

20 USD

0

0

Purchase

Download link will be sent to this email immediately after purchase.

IMPORTANT LINKS

  • How To Upload Class Notes
  • Selling Tips
  • Passing Grades's Study Materials
  • Scholarships for International Students 2026

POPULAR CATEGORIES

  • Law
  • Accounting
  • English
  • Psychology
  • Business
  • Nursing
  • Computer Science
  • General

View Document

  • Blog
  • Contact
  • Delivery Policy
  • Latest Scholarships Around the World
  • How to Pass Bar Exams: Passing Grades’ Strategies
  • How to Study and Pass the CPA Exam
  • All Test Banks
  • Faq
  • Copyright Claims
  • Privacy Policy
  • Terms of Use

KNOWLEDGE BASE

  • How to Write A+ Grade Good Research Paper
  • How to Manage Stress During Exam Period
  • Best Time to Study
  • How to Pass NCLEX-RN Exam
  • How To Effectively Utilize Test Banks
  • Popular Shadow Health Exam Assessments
  • Popular HESI Case Studies
  • How to Prepare for a Nursing Career
  • The Importance Of Summaries in Exam Revisvion

© 2026 Pasing Grades. All rights reserved.