Pasing Grades
  • Start Selling
  • Blog
  • Contact
  • 0

    Your cart is empty!

English

  • English
  • Spanish
  • Arabic
Create Account Sign In
  • Library
    • New Prep Guides
    • Featured Prep Guides
    • Free Exam Prep Guides
    • Best sellers
  • General
  • Nursing
    • Research Paper
    • Case Study
    • Discussion Post
    • Assignment
    • Exam
    • Practice Questions and Answers
    • Test Bank
    • solutions manual
    • study guide
  • Accounting
    • Case Study
    • Thesis
    • Study Guide
    • Summary
    • Research Paper
    • test bank
  • English
    • Creative Writing
    • Research Paper
    • Summary
    • Rhetorics
    • Literature
    • Journal
    • Exam
    • Grammar
    • Discussion Post
    • Essay
  • Psychology
    • Hesi
    • Presentation
    • Essay
    • Summary
    • Study Guide
    • Essay
    • Solution Manual
    • Final Exam Review
    • Class Notes
    • test bank
  • Business
    • Lecture Notes
    • Solution Manual
    • Presentation
    • Business Plan
    • Class Notes
    • Experiment
    • Summary
    • Practice Questions
    • Study Guide
    • Case Study
    • test bank
    • Exam
  • More
    • Computer Science
    • Economics
    • Statistics
    • Engineering
    • Biology
    • Religious Studies
    • Physics
    • Chemistry
    • Mathematics
    • History
    • Sociology
    • Science
    • Philosophy
    • Law
  • Pages
    • About Us
    • Selling Tips
    • Delivery Policy
    • Faq
    • Privacy Policy
  • Flash Sale
  • Home
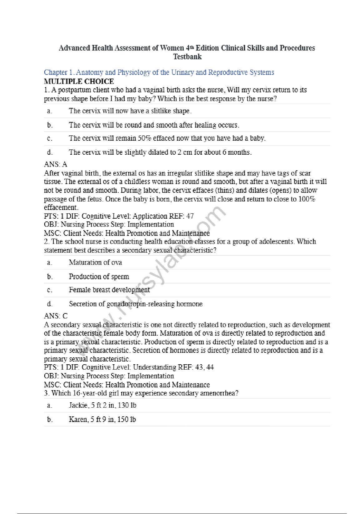
  • Test Bank for Advanced Health Assessment of Women Clinical Skills and Procedures 5th edition by R. Mimi Secor, Aimee Holland

Test Bank for Advanced Health Assessment of Women Clinical Skills and Procedures 5th edition by R. Mimi Secor, Aimee Holland

Preview page 1 Preview page 2 Preview page 3
Add To Favorites

Share this item Share this item

  • Item Details
  • Comments (0)
  • Reviews (0)
  • Contact Seller
Advanced Health Assessment of Women Clinical Skills and Procedures 5th Edition Carcio Secor Test Bank UNIT I. FEMALE REPRODUCTION Chapter 1. Anatomy and Physiology of the Urinary and Reproductive Systems Chapter 2. The Reproductive Cycle UNIT II. HEALTH ASSESSMENT Chapter 3. The Health History Chapter 4. Telehealth in the Women's Health Setting Chapter 5. The Physical Examination Chapter 6. Vaginal Infections and Vaginal Microscopy Chapter 7. Sexually Transmitted Infections Chapter 8. Assessment of the Skin/Aesthetics Chapter 9. Assessment of the Female Breast Chapter 10. Breast Imaging Chapter 11. Mental Health Screening: Anxiety, Depression, Eating Disorders, PTSD, Substance Abuse, Suicide, and Dementia Chapter 12. Preconception Care Chapter 13. Complementary and Alternative Medical Therapies UNIT III. EVALUATION OF SPECIAL POPULATIONS Chapter 14. Assessment of the Pregnant Woman Chapter 15. Adolescent Health Chapter 16. Lactation Assessment and Management Chapter 17. Assessment and Clinical Evaluation of Obesity in Women Chapter 18. Lesbian Health (Don't Ask . . . Won't Tell: Lesbian Women and Women Who Have Sex with Women) Chapter 19. Transgender Healthcare Chapter 20. Female Veterans: When the Woman was a Warrior Chapter 21. Male Sexual and Reproductive Health UNIT IV. EVALUATION OF SPECIAL GYNECOLOGIC PROBLEMS Chapter 22. Assessment of Menopausal Status Chapter 23. Osteoporosis and Evaluation of Fracture Risk Chapter 24. Genitourinary Syndrome of Menopause (GSM) and Vulvovaginal Atrophy Chapter 25. Assessment of Pelvic Pain Chapter 26. Assessment of Vulvar Pain and Vulvodynia Chapter 27. Polycystic Ovarian Syndrome Chapter 28. Abnormal Uterine Bleeding Chapter 29. Amenorrhea Chapter 30. Premenstrual Syndrome (PMS) and Premenstrual Dysphoric Disorder (PMDD) UNIT V. EVALUATION OF THE PELVIC FLOOR Chapter 31. Pelvic Organ Prolapse Chapter 32. Urinary Incontinence Chapter 33. Sexual Health and Related Problems UNIT VI. ASSESSMENT OF WOMEN AT RISK Chapter 34. The Sexual Assault Victim Chapter 35. Intimate Partner Violence Chapter 36. Assessment and Response to Human Trafficking UNIT VII. INFERTILITY AND SUBFERTILITY ASSESSMENT Chapter 37. Initial Evaluation of Infertility Chapter 38. Methods to Detect Ovulation Chapter 39. Intrauterine Insemination UNIT VIII. CONTRACEPTION Chapter 40. The Contraceptive Consult Chapter 41. Medical Eligibility Criteria for Contraceptive Use Chapter 42. Cervical Cap and the One-Size Diaphragm Chapter 43. Intrauterine Contraception Chapter 44. Contraceptive Implants UNIT IX. INVESTIGATIVE PROCEDURES Chapter 45. Cervical Cancer Screening and Colposcopy Chapter 46. Genetic Testing for Hereditary Breast and Ovarian Cancer Chapter 47. Urinalysis and UTI UNIT X. ADVANCED SKILLS Chapter 48. Vulvar Cancer and Biopsy Chapter 49. Endometrial Biopsy Chapter 50. Acrochordonectomy (Skin Tag Removal) Chapter 51. Cervical Polypectomy Chapter 52. Incision and Drainage of Bartholin's Abscess Chapter 53. Pessary Insertion UNIT XI. PHARMACOLOGICAL MANAGEMENT (ONLINE ONLY) Chapter 54. Pharmacological Management Summaries in Women's Health UNIT XI. SUPPLEMENTAL CHAPTERS (ONLINE ONLY) Chapter 55. In-Office Sonohysteroscopy Chapter 56. Donor Insemination Chapter 57. Simple Cystometrogram (CMG) Chapter 58. Pelvic Floor Electrical Stimulation Chapter 59. Percutaneous Tibial Nerve Stimulation

Contact the Seller

Please Sign In to contact this seller.


  • 👎  Report Copyright Violation

Frequently Asked Questions

What Do I Get When I Buy This Study Material?

+

When you buy a study material on Passing Grades, an instant download link will be sent directly to your email, giving you access to the file anytime after payment is completed.

Is Passing Grades a Trusted Platform?

+

Yes, Passing Grades is a reputable students’ marketplace with a secure payment system and reliable customer support. You can trust us to ensure a safe and seamless transaction experience.

Will I Be Stuck with a Subscription?

+

No, all purchases on Passing Grades are one-time transactions. You only pay for the notes you choose to buy, with no subscriptions or hidden fees attached.

Who Am I Buying These Study Materials From?

+

Passing Grades is a marketplace, which means you are purchasing the document from an individual vendor, not directly from us. We facilitate the payment and delivery process between you and the vendor.

Does Passing Grades Offer Free Study Materials?

+

Yes, sellers on Passing Grades have uploaded numerous free test banks, exams, practice questions, and class notes that can be downloaded at no cost.

Pasinggrades - Quality Study Materials

USD 15

    • Quality checked by Pasing Grades
    • 100% satisfaction guarantee
    • Seller: wangeci
Buy PDF $15

Seller Information

wangeci

Member since March 2023

  • icon
View Profile
  • total sales

    0
  • Favourites

    0
  • Comments

    0
    ( 0 Ratings )

Item Information

  • Uploaded

    10 January 2026

  • Updated

    10 January 2026

  • Category

    Nursing

  • Item Type

    test bank

  • Tags

Related Exam Prep Guides by wangeci

NURS 6521 Midterm Exam (Walden University) 2023
View Document

NURS 6521 Midterm Ex...

  • wangeci

    wangeci

  • test bank

NURS 6521 Midterm Exam (Walden University) 2023...

15 USD

0

0

NURS 6521 Pharmacy Final Exam 2023
View Document

NURS 6521 Pharmacy F...

  • wangeci

    wangeci

  • test bank

NURS 6521 Pharmacy Final Exam 2023...

15 USD

0

0

NURS 6521 Pharmacy Midterm Exam Questions with Answers 2026
View Document

NURS 6521 Pharmacy M...

  • wangeci

    wangeci

  • test bank

NURS 6521 Pharmacy Midterm Exam Questions with Answers 2025...

15 USD

0

0

Purchase

Download link will be sent to this email immediately after purchase.

IMPORTANT LINKS

  • How To Upload Class Notes
  • Selling Tips
  • Passing Grades's Study Materials
  • Scholarships for International Students 2026

POPULAR CATEGORIES

  • Law
  • Accounting
  • English
  • Psychology
  • Business
  • Nursing
  • Computer Science
  • General

View Document

  • Blog
  • Contact
  • Delivery Policy
  • Latest Scholarships Around the World
  • How to Pass Bar Exams: Passing Grades’ Strategies
  • How to Study and Pass the CPA Exam
  • All Test Banks
  • Faq
  • Copyright Claims
  • Privacy Policy
  • Terms of Use

KNOWLEDGE BASE

  • How to Write A+ Grade Good Research Paper
  • How to Manage Stress During Exam Period
  • Best Time to Study
  • How to Pass NCLEX-RN Exam
  • How To Effectively Utilize Test Banks
  • Popular Shadow Health Exam Assessments
  • Popular HESI Case Studies
  • How to Prepare for a Nursing Career
  • The Importance Of Summaries in Exam Revisvion

© 2026 Pasing Grades. All rights reserved.