Pasing Grades
  • Start Selling
  • Blog
  • Contact
  • 0

    Your cart is empty!

English

  • English
  • Spanish
  • Arabic
Create Account Sign In
  • Library
    • New Prep Guides
    • Featured Prep Guides
    • Free Exam Prep Guides
    • Best sellers
  • General
  • Nursing
    • Research Paper
    • Case Study
    • Discussion Post
    • Assignment
    • Exam
    • Practice Questions and Answers
    • Test Bank
    • solutions manual
    • study guide
  • Accounting
    • Case Study
    • Thesis
    • Study Guide
    • Summary
    • Research Paper
    • test bank
  • English
    • Creative Writing
    • Research Paper
    • Summary
    • Rhetorics
    • Literature
    • Journal
    • Exam
    • Grammar
    • Discussion Post
    • Essay
  • Psychology
    • Hesi
    • Presentation
    • Essay
    • Summary
    • Study Guide
    • Essay
    • Solution Manual
    • Final Exam Review
    • Class Notes
    • test bank
  • Business
    • Lecture Notes
    • Solution Manual
    • Presentation
    • Business Plan
    • Class Notes
    • Experiment
    • Summary
    • Practice Questions
    • Study Guide
    • Case Study
    • test bank
    • Exam
  • More
    • Computer Science
    • Economics
    • Statistics
    • Engineering
    • Biology
    • Religious Studies
    • Physics
    • Chemistry
    • Mathematics
    • History
    • Sociology
    • Science
    • Philosophy
    • Law
  • Pages
    • About Us
    • Selling Tips
    • Delivery Policy
    • Faq
    • Privacy Policy
  • Flash Sale
  • Home
  • Solution Manual for Intermediate Accounting 2nd Edition by Gordon

Solution Manual for Intermediate Accounting 2nd Edition by Gordon

Preview page 1 Preview page 2 Preview page 3
Add To Favorites

Share this item Share this item

  • Item Details
  • Comments (0)
  • Reviews (0)
  • Contact Seller

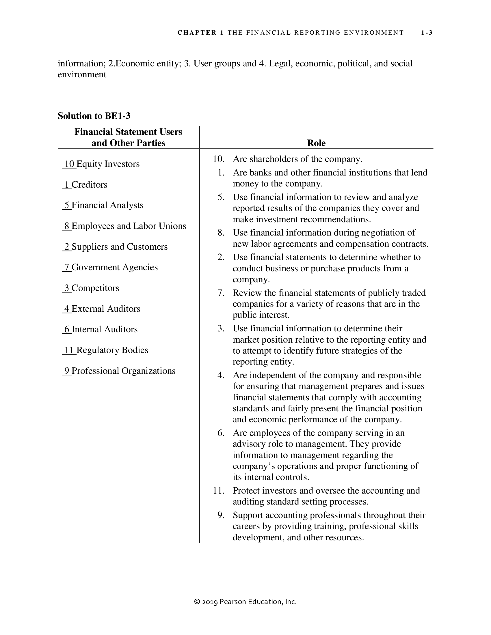
Solution Manual for Intermediate Accounting 2nd Edition by Gordon CHAPTER 1 The Financial Reporting Environment Solutions Questions Q1-1 Financial information is a much broader concept than simply the financial statements and footnotes to the financial statements. Financial information includes items such as the President’s letter to the owners, management’s discussion and analysis, the auditors’ report, the management report and press releases. Of course, the basic financial statements and footnotes are included in the term financial information. The basic financial statements are: the balance sheet (also referred to as the statement of financial position), the statement of comprehensive income (also referred to as the statement of net income and the statement of comprehensive income), the statement of cash flows, and the statement of shareholders’ equity. Financial information is not synonymous with the term financial statements because the financial statements are a subset of the different types of financial information provided. Q1-2 The purpose of generating financial statements is to provide useful information to users to evaluate economic entities and make efficient resource allocation decisions based on the risks and returns of a particular investment. The Financial Accounting Standards Board (FASB) identifies investors, lenders and other creditors as the primary users of the financial statements. The financial statements are the culmination of the financial reporting process. Q1-3 Capital is a scarce resource. Investors and creditors have to make decisions as to how much capital to invest in any given entity; therefore, they demand relevant and faithfully representative information about the economic performance and financial position of a company. This information is provided in the financial statements. Q1-4 External auditors ensure that the management of a company has prepared financial statements in accordance with Generally Accepted Accounting Principles and fairly present the financial position and economic performance of a company. In addition, external auditors must be an independent party and cannot be employees of the company they are auditing. External auditors provide a significant amount of credibility to the financial statements. Q1-5 Standard setters create accounting concepts, rules, and guidelines to ensure that financial statements accurately present the economic performance and financial position of a firm. The standards encourage transparent and truthful reporting. Q1-6 U.S. companies listed on U.S. stock exchanges do not have the option to report under IFRS. However, foreign companies that trade in the U.S. exchanges can report under IFRS. The SEC permits the use of IFRS-based financial statements by international companies with shares trading on U.S. stock exchanges.

Contact the Seller

Please Sign In to contact this seller.


  • 👎  Report Copyright Violation

Frequently Asked Questions

What Do I Get When I Buy This Study Material?

+

When you buy a study material on Passing Grades, an instant download link will be sent directly to your email, giving you access to the file anytime after payment is completed.

Is Passing Grades a Trusted Platform?

+

Yes, Passing Grades is a reputable students’ marketplace with a secure payment system and reliable customer support. You can trust us to ensure a safe and seamless transaction experience.

Will I Be Stuck with a Subscription?

+

No, all purchases on Passing Grades are one-time transactions. You only pay for the notes you choose to buy, with no subscriptions or hidden fees attached.

Who Am I Buying These Study Materials From?

+

Passing Grades is a marketplace, which means you are purchasing the document from an individual vendor, not directly from us. We facilitate the payment and delivery process between you and the vendor.

Does Passing Grades Offer Free Study Materials?

+

Yes, sellers on Passing Grades have uploaded numerous free test banks, exams, practice questions, and class notes that can be downloaded at no cost.

Pasinggrades - Quality Study Materials

USD 12

    • Quality checked by Pasing Grades
    • 100% satisfaction guarantee
    • Seller: mentor2000
Buy PDF $12

Seller Information

mentor2000

Member since April 2021

  • icon
  • icon
View Profile
  • total sales

    0
  • Favourites

    0
  • Comments

    0
    ( 0 Ratings )

Item Information

  • Uploaded

    22 February 2022

  • Updated

    29 September 2025

  • Category

    Business

  • Item Type

    exam

  • Tags

    Solution Manual for Intermediate Accounting 2nd Edition by Gordon

Related Exam Prep Guides by mentor2000

Test Bank for Essentials for Nursing Practice 8th Edition by Potter | All Chapters
View Document

Test Bank for Essent...

  • mentor2000

    mentor2000

  • exam

Master nursing concepts with this study material; Test Bank for Essentials for Nursing Practice, 8th...

12 USD

0

0

A &P 1 MA278 BSC2 Final Module II Questions & Answers 2026 Update
View Document

A &P 1 MA278 BSC2 Fi...

  • mentor2000

    mentor2000

  • exam

Prepare for success with A&P 1 MA278 BSC2 Final Module II 2024 Q&A. Boost your grades with this comp...

12 USD

0

0

ATI Comprehensive Predictor Exam 2026
View Document

ATI Comprehensive Pr...

  • mentor2000

    mentor2000

  • exam

Prepare for success with the ATI Comprehensive Predictor Exam 2026. Access key practice questions to...

12 USD

0

0

Purchase

Download link will be sent to this email immediately after purchase.

IMPORTANT LINKS

  • How To Upload Class Notes
  • Selling Tips
  • Passing Grades's Study Materials
  • Scholarships for International Students 2026

POPULAR CATEGORIES

  • Law
  • Accounting
  • English
  • Psychology
  • Business
  • Nursing
  • Computer Science
  • General

View Document

  • Blog
  • Contact
  • Delivery Policy
  • Latest Scholarships Around the World
  • How to Pass Bar Exams: Passing Grades’ Strategies
  • How to Study and Pass the CPA Exam
  • All Test Banks
  • Faq
  • Copyright Claims
  • Privacy Policy
  • Terms of Use

KNOWLEDGE BASE

  • How to Write A+ Grade Good Research Paper
  • How to Manage Stress During Exam Period
  • Best Time to Study
  • How to Pass NCLEX-RN Exam
  • How To Effectively Utilize Test Banks
  • Popular Shadow Health Exam Assessments
  • Popular HESI Case Studies
  • How to Prepare for a Nursing Career
  • The Importance Of Summaries in Exam Revisvion

© 2026 Pasing Grades. All rights reserved.