Pasing Grades
  • Start Selling
  • Blog
  • Contact
  • 0

    Your cart is empty!

English

  • English
  • Spanish
  • Arabic
Create Account Sign In
  • Library
    • New Prep Guides
    • Featured Prep Guides
    • Free Exam Prep Guides
    • Best sellers
  • General
  • Nursing
    • Research Paper
    • Case Study
    • Discussion Post
    • Assignment
    • Exam
    • Practice Questions and Answers
    • Test Bank
    • solutions manual
    • study guide
  • Accounting
    • Case Study
    • Thesis
    • Study Guide
    • Summary
    • Research Paper
    • test bank
  • English
    • Creative Writing
    • Research Paper
    • Summary
    • Rhetorics
    • Literature
    • Journal
    • Exam
    • Grammar
    • Discussion Post
    • Essay
  • Psychology
    • Hesi
    • Presentation
    • Essay
    • Summary
    • Study Guide
    • Essay
    • Solution Manual
    • Final Exam Review
    • Class Notes
    • test bank
  • Business
    • Lecture Notes
    • Solution Manual
    • Presentation
    • Business Plan
    • Class Notes
    • Experiment
    • Summary
    • Practice Questions
    • Study Guide
    • Case Study
    • test bank
    • Exam
  • More
    • Computer Science
    • Economics
    • Statistics
    • Engineering
    • Biology
    • Religious Studies
    • Physics
    • Chemistry
    • Mathematics
    • History
    • Sociology
    • Science
    • Philosophy
    • Law
  • Pages
    • About Us
    • Selling Tips
    • Delivery Policy
    • Faq
    • Privacy Policy
  • Flash Sale
  • Home
  • Introduction to Flight 8th Edition Anderson Solutions Manual

Introduction to Flight 8th Edition Anderson Solutions Manual

Preview page 1 Preview page 2 Preview page 3
Add To Favorites

Share this item Share this item

  • Item Details
  • Comments (0)
  • Reviews (0)
  • Contact Seller
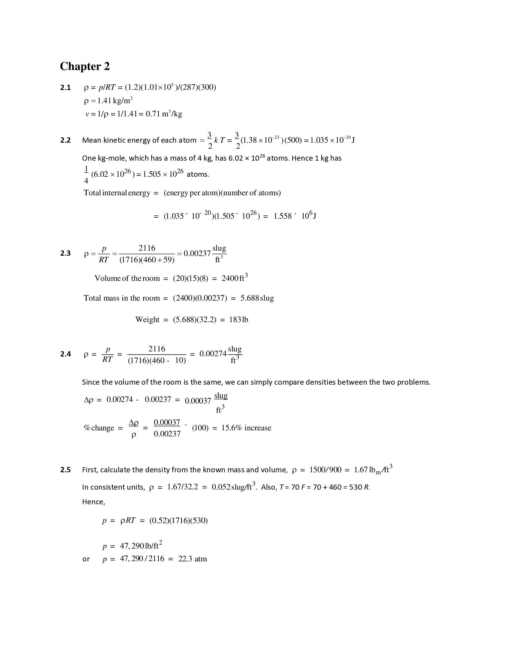
GENERAL ORGANIC AND BIOLOGICAL CHEMISTRY STRUCTURES OF LIFE 4TH EDITION TIMBERLAKE TEST BANK SOLUTIONS MANUAL TO ACCOMPANY INTRODUCTION TO FLIGHT 8 th Edition By John D. Anderson, Jr. Chapter 2 2.1  = p/RT = (1.2)(1.0110 5 )/(287)(300)   1.41 kg/m 2 v = 1/ = 1/1.41= 0.71 m 3 /kg 2.2 Mean kinetic energy of each atom  3 k T = 3 (1.38  10 23 ) (500) = 1.035  10 20 J 2 2 One kg-mole, which has a mass of 4 kg, has 6.02 × 10 26 atoms. Hence 1 kg has 1 (6.02  10 26 ) = 1.505  10 26 atoms. 4 Total internal energy = (energy per atom)(number of atoms) = (1.035 ´ 10 - 20 )(1.505 ´ 10 26 ) = 1.558 ´ 10 6 J p 2116 slug 2.3     0.00237 RT (1716)(460  59) ft 3 Volume of the room = (20)(15)(8) = 2400 ft 3 Total mass in the room = (2400)(0.00237) = 5.688 slug Weight = (5.688)(32.2) = 183 lb p 2116 slug 2.4  = = RT (1716)(460 - = 10) 0.00274 ft 3 Since the volume of the room is the same, we can simply compare densities between the two problems.  = 0.00274 - 0.00237 = 0.00037 slug ft 3 % change =  =  0.00037 ´ 0.00237 (100) = 15.6% increase 2.5 First, calculate the density from the known mass and volume,  = 1500/ 900 = 1.67 lb m /ft 3 In consistent units,  = Hence, 1.67/32.2 = 0.052 slug/ft 3 . Also, T = 70 F = 70 + 460 = 530 R. p =  RT = (0.52)(1716)(530) p = or p = 47, 290 lb/ft 2 47, 290 / 2116 = 22.3 atm p =  RT 2.6 np  np  nR  nT 3 Differentiating with respect to time, 1 dp  1 d   1 dT p dt  dt T dt or, dp  p d    p dT dt  dt T dt or, dp  RT d     R dT (1) dt dt dt At the instant there is 1000 lb m of air in the tank, the density is   1000 / 900  1.11lb m /ft   1.11/32.2  0.0345 slug/ft 3 Also, in consistent units, is given that T = 50 + 460 = 510 R and that dT  1F/min  1R/min  0.016R/sec dt From the given pumping rate, and the fact that the volume of the tank is 900 ft 3 , we also have d   0.5 lb m /sec  0.000556 lb /(ft 3 )(sec) dt 900 ft 3 m d   0.000556  1.7310 5 slug/(ft 3 )(sec) dt 32.2 Thus, from equation (1) above, d   (1716)(510)(1.73  10 5 )  (0.0345)(1716)(0.0167) dt  15.1  0.99  16.1 lb/(ft 2 )(sec)  16.1 2116  0.0076 atm/sec 2.7 In consistent units, T  10  273  263 K Thus,   p/RT  (1.7 10 4 )/(287)(263)   0.225 kg/m 3 2.8   p/RT  0.5 10 5 /(287)(240)  0.726 kg/m 3 v  1/  1/0.726  1.38 m 3 /kg 2.9 0 0 ÷ F p = Force due to pressure = 3 3 ò p dx = ò (2116 - 10x) dx = [2116x - 5x 2 ] 3 = 0 0 6303 lb perpendicular to wall. F τ = Force due to shear stress = ò 3 3 τ dx = ò 90 1 dx 0 0 (x + 1 9) 2 = [180 (x + 9) 2 ] 3 = 623.5 - 540 = 83.5 lb tangential to wall. Magnitude of the resultant aerodynamic force = R = (6303) 2 + (835) 2 = 6303.6 lb æ 83.5 ö  = Arc Tan ç ÷ = 0.76º 6303 ø 2.10 V = 3 2 V  sin  Minimum velocity occurs when sin  = 0, i.e., when  = 0° and 180°. V min = 0 at  = 0° and 180°, i.e., at its most forward and rearward points. Maximum velocity occurs when sin  = 1, i.e., when  = 90°. Hence, V max = 3 (85)(1) = 2 127.5 mph at  = 90, i.e., the entire rim of the sphere in a plane perpendicular to the freestream direction. 2.11 The mass of air displaced is M = (2.2)(0.002377) = 5.23 ´ 10 - 3 slug The weight of this air is W air = (5.23´ 10 - 3 )(32.2) = 0.168 lb This is the lifting force on the balloon due to the outside air. However, the helium inside the balloon has weight, acting in the downward direction. The weight of the helium is less than that of air by the ratio of the molecular weights W H c = (0.168) 4 = 28.8 0.0233 lb. Hence, the maximum weight that can be lifted by the balloon is 0.168  0.0233 = 0.145 lb. 2.12 Let p 3 ,  3 , and T 3 denote the conditions at the beginning of combustion, and p 4 ,  4 , and T 4 denote conditions at the end of combustion. Since the volume is constant, and the mass of the gas is constant, then p 4 =  3 = 11.3 kg/m 3 . Thus, from the equation of state, or, p 4 =  4 RT 4 = (11.3)(287)(4000) = 1.3 ´ 10 7 N/m 2 p 4 = 1.3 ´ 1.01 ´ 10 7 = 10 5 129 atm 2.13 The area of the piston face, where the diameter is 9 cm = 0.09 m, is 2 A = (0.09) = 4 6.36 ´ 10 - 3 m 2 (a) The pressure of the gas mixture at the beginning of combustion is p 3 =  3 RT 3 = 11.3(287)(625) = 2.02 ´ 10 6 N/m 2 The force on the piston is 6 - 3 4 F 3 = p 3 A = (2.02 ´ 10 )(6.36 ´ 10 ) = 1.28 ´ 10 N Since 4.45 N = l lbf, 1.28 ´ 10 4 F 3 = 4.45 = 2876 lb (b) p 4 =  4 RT 4 = (11.3)(287)(4000) = 1.3 ´ 10 7 N/m 2 The force on the piston is 7 - 3 4 F 4 = p 4 A = (1/3 ´ 10 ) (6.36 ´ 10 ) = 8.27 ´ 10 N 8.27 ´ 10 4 F 4 = 4.45 = 18, 579 lb   f f 2.14 Let p 3 and T 3 denote conditions at the inlet to the combustor, and T 4 denote the temperature at the exit. Note: p 3 = p 4 = 4 ´ 10 6 N/m 2 (a)  3 = p 3 = 4 ´ 10 6 = 15.49 kg/m 3 RT 3 (287)(900) (b)  4 = p 4 = 4 ´ 10 6 = 9.29 kg/m 3 RT 4 (287)(1500) 2.15 1 mile = 5280 ft, and 1 hour = 3600 sec. So: æ ÷ öæ= ÷ öæ= ÷ ö miles 5280 ft ç 60 ÷ ç ÷ ç 1 hour ÷ = 88 ft/sec. hour ÷ ø mile ÷ øè ç 3600 sec ÷ ø A very useful conversion to remember is that 60 mph = 88 ft/sec also, 1 ft = 0.3048 m ç 88 ft æ 0.3048 m ö 26.82 m æ ÷ ö ç è ç sec ÷ ø ç è ÷ = 1 ft ø ÷ sec ft m Thus 88 = 26.82 sec sec 2.16 692 miles  88 ft/sec   1015 ft/sec hour  60 mph  692 miles  26.82 m/sec   309.3 m/sec hour   60 mph    2.17 On the front face F  p A  (1.0715 10 5 )(2)  2.14310 5 N On the back face F  p A  (1.01  10 5 )(2)  2.02  10 5 N b b The net force on the plate is F  F f  F b  (2.143  2.02) 10 5  0.123 10 5 N From Appendix C, 1 lb f  4.448 N. So, 0 . 123 10 5 F   2765 lb 4.448 This force acts in the same direction as the flow (i.e., it is aerodynamic drag.)   hr 60 2.18 Wing loading  W  10,100  43.35 lb/ft 2 In SI units: s 233 W  lb   4.448 N   1 ft  2  43.35 s ft 2 1 lb 0.3048 m W  2075.5 N s m 2 In terms of kilogram force, W  N   1 k f   kg f  2075.5 s m 2 9.8 N  211.8 m 2 2.19 V   437 miles   5280 ft   0.3048 m   7.033  10 5 m  703.3 km hr mile 1 ft hr hr Altitude  (25, 000 ft)  0.3048 m   7620 m  7.62 km 1 ft 2.20 V   26, 000 ft   0.3048 m   7.925  10 3 m  7.925 km sec 1 ft sec sec 2.21 From Fig. 2.16, length of fuselage = 33 ft, 4.125 inches = 33.34 ft  33.34 ft  0.3048 m   10.16 m ft wing span = 40 ft, 11.726 inches = 40.98 ft  40.98 ft  0.3048 m   12.49 m ft 2.22 (a) From App. C 1 ft.  0.3048 m. Thus, 354,200 ft  (354,000)(0.3048)  107,960 m  107.96 km (b) From Example 2.6: 60 mph  26.82 m/sec Thus,  26.82 m   4520 miles  4520 miles   sec  2020.4 m/sec hr hr  mi       2.23 m  34, 000 lb  1055.9 slug 32.2 lb/slug From Newton’s 2 nd Law F  ma a  F  57, 000  53.98 ft/sec 2 M 1055.9 2.24 # of g’s  53.98  1.68 32.2 2.25 From Appendix C, one pound of force equals 4.448 N. Thus, the thrust of the Rolls-Royce Trent engine in pounds is 373.7  10 3 N T   84, 015 lb 4.448 N/ lb 2.26 (a) (b)

Contact the Seller

Please Sign In to contact this seller.


  • 👎  Report Copyright Violation

Frequently Asked Questions

What Do I Get When I Buy This Study Material?

+

When you buy a study material on Passing Grades, an instant download link will be sent directly to your email, giving you access to the file anytime after payment is completed.

Is Passing Grades a Trusted Platform?

+

Yes, Passing Grades is a reputable students’ marketplace with a secure payment system and reliable customer support. You can trust us to ensure a safe and seamless transaction experience.

Will I Be Stuck with a Subscription?

+

No, all purchases on Passing Grades are one-time transactions. You only pay for the notes you choose to buy, with no subscriptions or hidden fees attached.

Who Am I Buying These Study Materials From?

+

Passing Grades is a marketplace, which means you are purchasing the document from an individual vendor, not directly from us. We facilitate the payment and delivery process between you and the vendor.

Does Passing Grades Offer Free Study Materials?

+

Yes, sellers on Passing Grades have uploaded numerous free test banks, exams, practice questions, and class notes that can be downloaded at no cost.

Pasinggrades - Quality Study Materials

USD 17

    • Quality checked by Pasing Grades
    • 100% satisfaction guarantee
    • Seller: mentor2000
Buy PDF $17

Seller Information

mentor2000

Member since April 2021

  • icon
  • icon
View Profile
  • total sales

    0
  • Favourites

    0
  • Comments

    0
    ( 0 Ratings )

Item Information

  • Uploaded

    16 April 2023

  • Updated

    21 April 2025

  • Category

    General

  • Item Type

    test bank

  • Tags

    Introduction to Flight 8th Edition Anderson Solutions Manual

Related Exam Prep Guides by mentor2000

Test Bank for Essentials for Nursing Practice 8th Edition by Potter | All Chapters
View Document

Test Bank for Essent...

  • mentor2000

    mentor2000

  • test bank

Master nursing concepts with this study material; Test Bank for Essentials for Nursing Practice, 8th...

17 USD

0

0

A &P 1 MA278 BSC2 Final Module II Questions & Answers 2026 Update
View Document

A &P 1 MA278 BSC2 Fi...

  • mentor2000

    mentor2000

  • test bank

Prepare for success with A&P 1 MA278 BSC2 Final Module II 2024 Q&A. Boost your grades with this comp...

17 USD

0

0

ATI Comprehensive Predictor Exam 2026
View Document

ATI Comprehensive Pr...

  • mentor2000

    mentor2000

  • test bank

Prepare for success with the ATI Comprehensive Predictor Exam 2026. Access key practice questions to...

17 USD

0

0

Purchase

Download link will be sent to this email immediately after purchase.

IMPORTANT LINKS

  • How To Upload Class Notes
  • Selling Tips
  • Passing Grades's Study Materials
  • Scholarships for International Students 2026

POPULAR CATEGORIES

  • Law
  • Accounting
  • English
  • Psychology
  • Business
  • Nursing
  • Computer Science
  • General

View Document

  • Blog
  • Contact
  • Delivery Policy
  • Latest Scholarships Around the World
  • How to Pass Bar Exams: Passing Grades’ Strategies
  • How to Study and Pass the CPA Exam
  • All Test Banks
  • Faq
  • Copyright Claims
  • Privacy Policy
  • Terms of Use

KNOWLEDGE BASE

  • How to Write A+ Grade Good Research Paper
  • How to Manage Stress During Exam Period
  • Best Time to Study
  • How to Pass NCLEX-RN Exam
  • How To Effectively Utilize Test Banks
  • Popular Shadow Health Exam Assessments
  • Popular HESI Case Studies
  • How to Prepare for a Nursing Career
  • The Importance Of Summaries in Exam Revisvion

© 2026 Pasing Grades. All rights reserved.