Pasing Grades
  • Start Selling
  • Blog
  • Contact
  • 0

    Your cart is empty!

English

  • English
  • Spanish
  • Arabic
Create Account Sign In
  • Library
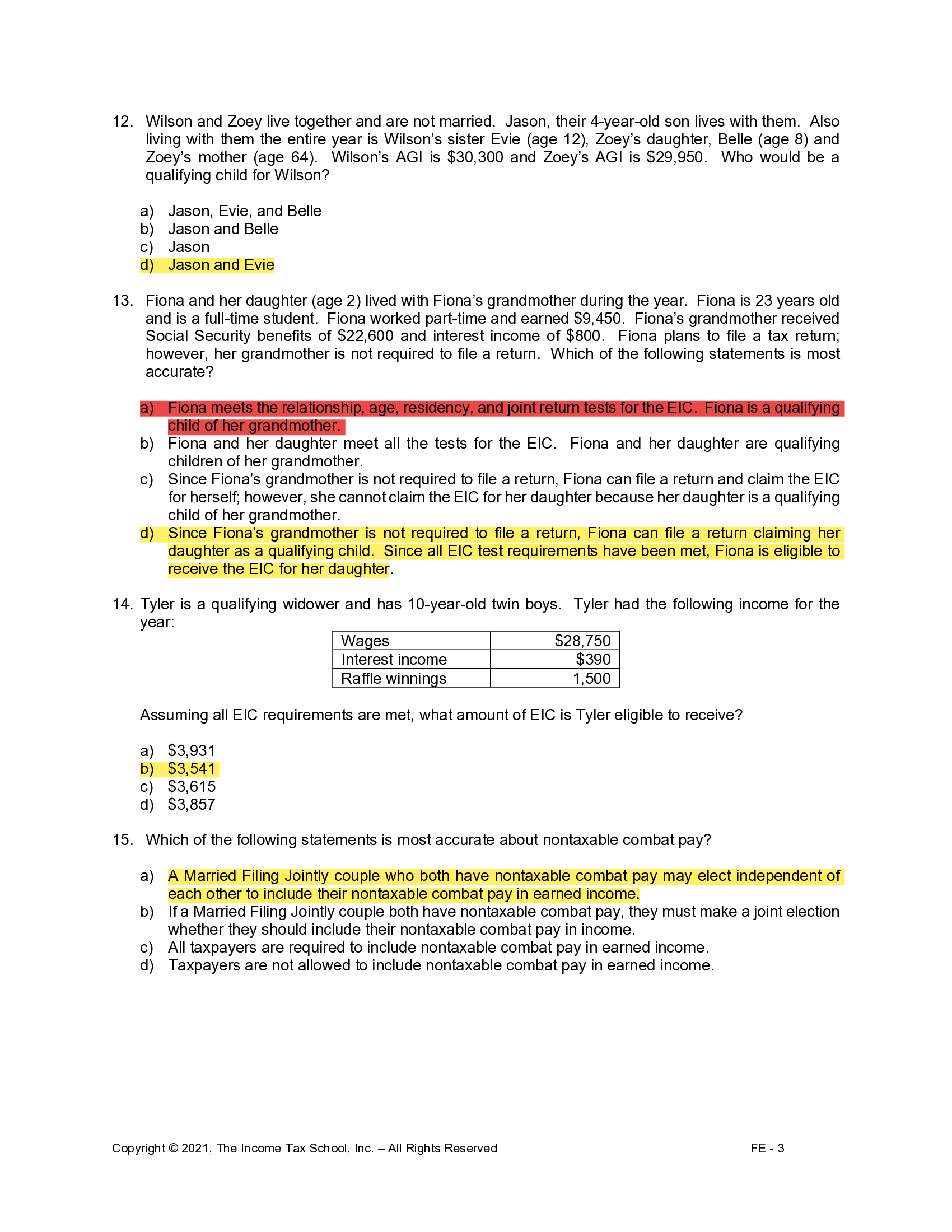
    • New Prep Guides
    • Featured Prep Guides
    • Free Exam Prep Guides
    • Best sellers
  • General
  • Nursing
    • Research Paper
    • Case Study
    • Discussion Post
    • Assignment
    • Exam
    • Practice Questions and Answers
    • Test Bank
    • solutions manual
    • study guide
  • Accounting
    • Case Study
    • Thesis
    • Study Guide
    • Summary
    • Research Paper
    • test bank
  • English
    • Creative Writing
    • Research Paper
    • Summary
    • Rhetorics
    • Literature
    • Journal
    • Exam
    • Grammar
    • Discussion Post
    • Essay
  • Psychology
    • Hesi
    • Presentation
    • Essay
    • Summary
    • Study Guide
    • Essay
    • Solution Manual
    • Final Exam Review
    • Class Notes
    • test bank
  • Business
    • Lecture Notes
    • Solution Manual
    • Presentation
    • Business Plan
    • Class Notes
    • Experiment
    • Summary
    • Practice Questions
    • Study Guide
    • Case Study
    • test bank
    • Exam
  • More
    • Computer Science
    • Economics
    • Statistics
    • Engineering
    • Biology
    • Religious Studies
    • Physics
    • Chemistry
    • Mathematics
    • History
    • Sociology
    • Science
    • Philosophy
    • Law
  • Pages
    • About Us
    • Selling Tips
    • Delivery Policy
    • Faq
    • Privacy Policy
  • Flash Sale
  • Home
  • Comprehensive Module 2 (Questions Answered) 2026

Comprehensive Module 2 (Questions Answered) 2026

Preview page 1 Preview page 2 Preview page 3
Add To Favorites

Share this item Share this item

  • Item Details
  • Comments (0)
  • Reviews (0)
  • Contact Seller

66. The Jenkins, a married couple who file Married Filing Jointly, want to set up Traditional IRA accounts. 

If neither are covered by a retirement plan at work, what is the limit of their modified AGI in order for

the Jenkins to be able to contribute to a Traditional IRA? 

 

a) Less than $124,000

b) Limits do not apply

c) Less than $206,000

d) Less than $65,000 

 

67. Randy, age 42, wants to open an IRA for retirement.  Randy meets the eligibility requirements 

necessary to make an IRA contribution.  Which of the following statements regarding Randy’s IRA

contributions is correct? 

 

a) Randy can only make a traditional IRA contribution.

b) Randy can only make a Roth IRA contribution.

c) If Randy chooses to make a contribution to a traditional IRA, his contribution will be nondeductible 

due to his age.

d) Randy can contribute to a traditional or Roth IRA; however, his contribution could be limited. 

 

68. In June 2020, Rick moved from Norfolk, Virginia, where he was stationed in the military, to Los Angeles, 

California, his new base.  He drove his car from Norfolk, Virginia to Los Angeles, California.  The total

mileage is 3,250 miles.  He paid $180 for parking and tolls, $680 for lodging, and $300 for meals during

the trip.  What amount of the moving expenses can Rick deduct as an adjustment to income on his

2019 tax return if he chooses to use the standard mileage rate? 

 

a) $1,712.50

b) $1,412.50

c) $1,562.50

d) $1,232.50 

 

69. Jake is a self-employed carpenter.  Last year his net self-employment income was $25,200.  How much 

would Jake’s self-employment tax be on line 4 of Schedule 2 (Form 1040)?

 

a) $1,781

b) $3,561

c) $1,928

d) $3,856 

 

70. Sylvia graduated from college last year and started repaying her student loans.  She received a 

statement from the bank showing she paid $2,750 in interest on her student loans for the year.  Her

total income before adjustments is $38,500, and she meets all requirements to be able to deduct the 

interest.  How much, if any, will Sylvia be allowed to deduct as an adjustment to her income?

 

a) $       0

b) $1,375

c) $2,500

d) $2,750 

62. Steve (age 55) and May (age 48) are married and will file a joint return.  Steve is an elementary school

teacher, and May is unemployed.  During the year, Steve contributed $7,000 to his traditional IRA and

May contributed $6,000 to her traditional IRA.  Steve had wages of $10,500 for the year.  Steve also

received $8,500 in unemployment compensation during the year.  They received $1,580 in interest

income and $3,560 in dividend income.  What would the couple’s IRA deduction be for the tax year? 

 

a) $13,000

b) $12,000

c) $  7,000

d) $10,500 

 

63. Diane, single, works for a company that does not have a retirement plan.  Diane is considering making 

contributions to a Roth IRA.  Which of the following is a condition for making contributions to a Roth

IRA? 

 

a) The taxpayer must have earned taxable income during the year and has not reached age 72 by 

the end of the year.

b) The taxpayer must have unearned income and be under the age of 72 by the end of the year.

c) The taxpayer must have earned taxable income during the year and not reach age 59-½ by the 

end of the year.

d) The taxpayer must have earned taxable income during the year, and the modified AGI must be less 

than $139,000.

 

64. Jodie, age 52, filed her tax return using the Married Filing Separately status and lived with her husband

during the year.  Her modified AGI is $68,000.  She is considering making a contribution to her Roth

IRA.  What amount is Jodie allowed to contribute to her Roth IRA for the tax year? 

 

a) $3,000

b) $6,000

c) $       0

d) $7,000 

 

65. Jack (age 45) and Jill (age 42) are married, and their filing status is Married Filing Jointly.  Jack is an 

engineer, and Jill is a homemaker.  During 2020, Jack had wages of $115,000 and was covered by a

retirement plan at work.  They also had interest income of $2,850 and dividend income of $8,580.  Jack

contributed $6,000 to his traditional IRA account.  Jill contributed $3,500 to her traditional account and

$2,500 to her Roth IRA account.  What amount would their IRA deduction be for the year? 

 

a) $11,000

b) $  9,000

c) $  6,000 

d) $  3,500

57. Abner was 72 on April 20, 2020.   The bank which held his IRA account had indicated that he would be

required to take an (RMD) of $4,500.  Abner failed to take his RMD in a timely manner because of a

reasonable error. He took his RMD on June 30, 2022.  Assume that his federal tax rate is 15%.  What

amount of federal taxes must he pay on her $4,500 withdrawal?   

 

a) $   675

b) $2,925

c) $2,250

d) $1,125 

 

58. Chris divorced Ken in November 2020.  Which of the following items may be considered alimony for 

Ken?

 

a) Monthly cash payments

b) Child support.

c) Chris allowing Ken to use tools to maintain property.

d) The car Ken received as part of the divorce settlement. 

 

59. Kevin operates a floral retail store as a sole proprietorship.  During tax year 2020, he had a net profit 

of $150,000.  What is the correct amount of his self-employment tax?

 

a) $21,194

b) $22,950

c) $20,497

d) $21,093 

 

60. Justin, a teacher, spent a total of $500 on classroom supplies for his third-grade students.  He asks his 

tax preparer if he is able to deduct any of these expenses.  How much is he able to deduct, if any, and

where does he report this amount on his tax return? 

 

a) The money Justin has spent out-of-pocket is not deductible.

b) Justin can report all his expenses as an adjustment to income on Schedule 1 (Form 1040), line 10.

c) Justin can deduct $250 as an adjustment to income on Schedule 1 (Form 1040), line 10. The 

remainder can be reported on Schedule A as an unreimbursed employee expense.

d) Justin can report $250 as an adjustment to income on Schedule 1 (Form 1040), line 10 and the 

remaining $250 is not deductible.

 

61. Grayson works for a small business.  His employer established a SIMPLE IRA for each employee’s

retirement.  All the following statements regarding the SIMPLE plan are correct, except: 

 

a) An employer with 100 or fewer employees who earned $5,000 or more is eligible to set up a 

SIMPLE plan for the employees. 

b) SIMPLE plans include SIMPLE IRA and SIMPLE 401(k).

c) A SIMPLE plan is a written agreement between the taxpayer and the employer that allows the 

taxpayer to choose to reduce his compensation by a certain percentage each pay period.

d) All plan participants must be 21 years of age or older. 

 

Contact the Seller

Please Sign In to contact this seller.


  • 👎  Report Copyright Violation

Frequently Asked Questions

What Do I Get When I Buy This Study Material?

+

When you buy a study material on Passing Grades, an instant download link will be sent directly to your email, giving you access to the file anytime after payment is completed.

Is Passing Grades a Trusted Platform?

+

Yes, Passing Grades is a reputable students’ marketplace with a secure payment system and reliable customer support. You can trust us to ensure a safe and seamless transaction experience.

Will I Be Stuck with a Subscription?

+

No, all purchases on Passing Grades are one-time transactions. You only pay for the notes you choose to buy, with no subscriptions or hidden fees attached.

Who Am I Buying These Study Materials From?

+

Passing Grades is a marketplace, which means you are purchasing the document from an individual vendor, not directly from us. We facilitate the payment and delivery process between you and the vendor.

Does Passing Grades Offer Free Study Materials?

+

Yes, sellers on Passing Grades have uploaded numerous free test banks, exams, practice questions, and class notes that can be downloaded at no cost.

Pasinggrades - Quality Study Materials

USD 10

    • Quality checked by Pasing Grades
    • 100% satisfaction guarantee
    • Seller: claratutor1
Buy PDF $10

Seller Information

claratutor1

Member since April 2021

  • icon
  • icon
View Profile
  • total sales

    0
  • Favourites

    0
  • Comments

    0
    ( 0 Ratings )

Item Information

  • Uploaded

    25 December 2023

  • Updated

    05 January 2026

  • Category

    Business

  • Item Type

    exam

  • Tags

    Comprehensive Module 2

Related Exam Prep Guides by claratutor1

TEST BANK FOR HEALTH PROMOTION THROUGH THE LIFE SPAN 8TH EDITION EDELMAN.
View Document

TEST BANK FOR HEALTH...

  • claratutor1

    claratutor1

  • exam

TEST BANK FOR HEALTH PROMOTION THROUGH THE LIFE SPAN 8TH EDITION EDELMAN....

10 USD

0

0

NUR 425 PHARM PSYCH FINAL STUDY GUIDE NOTES EXAM
View Document

NUR 425 PHARM PSYCH ...

  • claratutor1

    claratutor1

  • exam

NUR 425 PHARM PSYCH FINAL STUDY GUIDE NOTES EXAM...

10 USD

0

0

PS-201-AB-21-SP Developmental Psych Exam 4 Latest 2025/2026
View Document

PS-201-AB-21-SP Deve...

  • claratutor1

    claratutor1

  • exam

PS-201-AB-21-SP Developmental Psych Exam 4 50 Questions and Answers...

10 USD

0

0

Purchase

Download link will be sent to this email immediately after purchase.

IMPORTANT LINKS

  • How To Upload Class Notes
  • Selling Tips
  • Passing Grades's Study Materials
  • Scholarships for International Students 2026

POPULAR CATEGORIES

  • Law
  • Accounting
  • English
  • Psychology
  • Business
  • Nursing
  • Computer Science
  • General

View Document

  • Blog
  • Contact
  • Delivery Policy
  • Latest Scholarships Around the World
  • How to Pass Bar Exams: Passing Grades’ Strategies
  • How to Study and Pass the CPA Exam
  • All Test Banks
  • Faq
  • Copyright Claims
  • Privacy Policy
  • Terms of Use

KNOWLEDGE BASE

  • How to Write A+ Grade Good Research Paper
  • How to Manage Stress During Exam Period
  • Best Time to Study
  • How to Pass NCLEX-RN Exam
  • How To Effectively Utilize Test Banks
  • Popular Shadow Health Exam Assessments
  • Popular HESI Case Studies
  • How to Prepare for a Nursing Career
  • The Importance Of Summaries in Exam Revisvion

© 2026 Pasing Grades. All rights reserved.